Movatterモバイル変換


[0]ホーム

URL:


CN111007026A - Food freshness detection system and detection method based on spectrum chip - Google Patents

Food freshness detection system and detection method based on spectrum chip
Download PDF

Info

Publication number
CN111007026A
CN111007026ACN201911372904.6ACN201911372904ACN111007026ACN 111007026 ACN111007026 ACN 111007026ACN 201911372904 ACN201911372904 ACN 201911372904ACN 111007026 ACN111007026 ACN 111007026A
Authority
CN
China
Prior art keywords
spectrum
module
food
spectral
information
Prior art date
Legal status (The legal status is an assumption and is not a legal conclusion. Google has not performed a legal analysis and makes no representation as to the accuracy of the status listed.)
Withdrawn
Application number
CN201911372904.6A
Other languages
Chinese (zh)
Inventor
姚治海
任玉
石晶
亓唯赫
徐子佳
张英
Current Assignee (The listed assignees may be inaccurate. Google has not performed a legal analysis and makes no representation or warranty as to the accuracy of the list.)
Jilin Truth Spectrum Data Technology Co ltd
Original Assignee
Jilin Truth Spectrum Data Technology Co ltd
Priority date (The priority date is an assumption and is not a legal conclusion. Google has not performed a legal analysis and makes no representation as to the accuracy of the date listed.)
Filing date
Publication date
Application filed by Jilin Truth Spectrum Data Technology Co ltdfiledCriticalJilin Truth Spectrum Data Technology Co ltd
Priority to CN201911372904.6ApriorityCriticalpatent/CN111007026A/en
Publication of CN111007026ApublicationCriticalpatent/CN111007026A/en
Withdrawnlegal-statusCriticalCurrent

Links

Images

Classifications

Landscapes

Abstract

The invention provides a food freshness detection system based on a spectrum chip, which comprises: the food sample containing device comprises a host, a light source, a food sample containing device and a spectrum chip, wherein the light source, the food sample containing device and the spectrum chip are arranged in a shell of the host; the light source provides light source illumination of near ultraviolet, visible to near infrared full wave band; the food sample containing device is used for containing food samples; the data processing module comprises a food sample spectrum data module and a matching identification module, and the spectrum chip is used for collecting the spectrum information of the food sample to be detected after being irradiated by the light source; the invention has the advantages that: to food nondestructive test, utilize the spectrum chip to acquire the materialization information of food, including food new freshness, acquire the new freshness percentage of vegetables and fruits through data processing system, in addition, spectrum chip energy utilization is high, the size is little, detect simple structure, the precision is high, the simple operation, detect fast, do not have the damage to food.

Description

Food freshness detection system and detection method based on spectrum chip
Technical Field
The invention relates to the technical field of spectrum identification, in particular to a food freshness detection system and a detection method based on a spectrum chip.
Background
The food is the basis for the survival and development of human beings, the food safety is directly related to the life health of human beings, food poisoning is easy to happen to food which is spoiled by eating by mistake and mildewed, and people with serious poisoning may lose life, so the detection of the freshness of the food is always a focus of social attention. The existing detection methods not only identify the food appearance through practical experience and carry out sensory judgment to give out the freshness of the food, but also adopt an image acquisition device to acquire food images and an odor detection device to detect gas released in the food decay process, and the detection methods cannot acquire food freshness information in advance and have the defects of low sensitivity, low detection speed, poor accuracy and the like. Therefore, the rapid, accurate and nondestructive detection of the food can be realized by using the spectrum method. However, the existing spectrum chip device has the disadvantages of large volume, high price, inconvenience in carrying and the like, and brings great difficulty to the popularization of spectrum food safety detection.
Disclosure of Invention
In view of the above problems, an object of the present invention is to provide a system and a method for detecting food freshness based on a spectrum chip, which utilize a spectrum chip with dimensions and thickness both in the micrometer range to achieve quantitative, nondestructive, rapid and efficient detection of food freshness, so as to solve the above disadvantages of the prior art.
The invention provides a food freshness detection system based on a spectrum chip, which comprises: the food sample containing device comprises a host, a light source, a food sample containing device and a spectrum chip, wherein the light source, the food sample containing device and the spectrum chip are arranged in a shell of the host;
the host is used for carrying out instruction control on the light source switch of the light source, the spectrum acquisition of the spectrum chip and the spectrum acquisition of the data processing module;
the wavelength range of the light source is 350-2500nm, and the light source provides light source illumination of near ultraviolet, visible to near infrared full wave band;
the food sample containing device is used for containing food samples;
the data processing module comprises a food sample spectrum data module and a matching identification module, the food sample spectrum data module is used for storing the spectrum data of a known food sample, the matching identification module is used for processing and analyzing the spectrum acquired by the spectrum chip and matching the spectrum data in the food sample spectrum data module to obtain information related to the food sample and transmitting the information to the host, the matching identification module comprises a food freshness standard module, the freshness% established by the food freshness standard module is the spectrum in food detection/(the spectrum in the fresh food-the spectrum in food decay), the food freshness percentage can be obtained by using the quantitative standard, the food freshness percentage is expressed, 100% represents freshness, 0% represents decay and deterioration, and the change of the spectrum data according to the food is calculated;
the spectrum chip is used for collecting the spectrum information of the food sample to be detected after being irradiated by the light source; the spectrum chip includes: the system comprises an optical collecting mirror device, a spectrum modulation module, a detector, a spectrum demodulation module, a spectrum display control module, a spectrum analysis module and an analysis result display module;
the optical collecting mirror device is used for receiving a spectral signal of an emission spectrum of a substance to be detected, which is excited by an external light source or radiates an optical signal outwards;
wherein, the spectrum modulation module includes: the spectrum material module is used for modulating the intensity of spectrum information and corresponding pixel position information, receiving a spectrum signal emitted by a substance to be detected, and carrying out regional spectrum modulation on the received spectrum signal, wherein different regions can obtain different spectrum modulation information;
the detector is used for detecting the intensity of spectral information and corresponding pixel position information modulated by the spectral material module in the spectral modulation module;
the spectrum demodulation module comprises a spectrum intensity and position acquisition module and a spectrum information demodulation module, wherein the spectrum intensity and position acquisition module is used for acquiring spectrum information detected by the detector, and the spectrum information demodulation module is used for inverting the spectrum information of the object to be detected;
the spectrum display control module comprises a spectrum chip system control module, a spectrum data display module and a spectrum data storage module, wherein the spectrum chip system control module is used for controlling the switch and working parameters of the whole system;
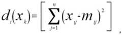
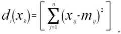
wherein, the spectral analysis module utilizes the spectral data processing algorithm to handle the spectral data that gathers in spectrum display and the control module group, and the spectral data processing algorithm includes:
Figure RE-GDA0002404517980000031
wherein i is the intensity of spectral information in the labeled spectrum, n is the total number of wave bands, and mijCorresponding pixel position information in a spectrum library, wherein x is collected spectrum data;
wherein, analysis result display module group, including data display module and data result storage module, data display module is used for showing the result display of spectral analysis module group, and data result storage module is used for showing the information storage of spectral analysis module group.
Preferably, the food sample spectrum data module comprises a database of food freshness, the database is a database which uses a spectrum chip to obtain scattering spectrum information of food to be detected at the latest fresh moment, and obtains the scattering spectrum information of the food to be detected when the food is corrupted after a food corruption period to obtain a spectrum evolution behavior capable of reflecting the freshness of the food to be detected, so as to form the database of the information processing module, the matching identification module detects the spectrum of the food sample, and then compares the spectrum with the database data to obtain the corresponding food freshness, and the database uses the chinese patent application CN110361368A to establish the database.
Preferably, the detector is QHY5-II model QHYCCDD, and a QHY5-IIcamera 1/2 inch black-and-white sensor is adopted.
Another object of the present invention is to provide a method for detecting a spectrum of food freshness, which specifically comprises the following steps:
step S1: placing the food sample on a food sample containing device, and adjusting the distance between the light source and the food sample containing device so as to facilitate the spectrum acquisition of the spectrum chip;
step S2: the host starts self-checking, and after the self-checking is normal, the host sends out a detection instruction, and the spectrum chip and the data processing module are in a preheating standby state;
step S3: after the light source receives the starting instruction, the light source emits near ultraviolet to near infrared light to irradiate the food sample, the food sample receives the light source irradiation, and the incident light forms diffuse reflection on the surface of the food sample; simultaneously starting a spectrum chip, collecting light waves with freshness information scattered by a food sample to a light source, guiding the light waves scattered by the food sample into the spectrum chip, splitting the light by the spectrum chip to obtain the spectrum of the food sample, collecting the spectrum data, entering a data processing module, processing and analyzing the stored spectrum data of the known food sample by a food sample spectrum data module of the data processing module through a matching identification module, and matching the spectrum data in the spectrum data module of the food sample to quickly identify the food sample;
step S4: after the food samples are successfully identified, the freshness of the food samples is judged by using the food freshness standard module, and the freshness is compared with the database spectrum of the food sample spectrum data module again, so that the freshness information of the food is finally obtained.
Preferably, in step S4, the scattered spectrum signal of the physicochemical information of the food sample is processed by an inversion method, and compared with the spectrum of the database, so as to obtain the freshness information of the food.
Preferably, the step of collecting by the spectrum chip in step S3 is:
s31: receiving a spectral signal of an emission spectrum of a substance to be measured, which is excited by an external light source or radiates an optical signal outwards by the substance to be measured, by using an optical collecting mirror device;
s32: the spectral material module of the spectral modulation module is used for modulating the intensity of spectral information and corresponding pixel position information and receiving a spectral signal emitted by a substance to be detected, the received spectral signal is subjected to regional spectral modulation, different regions can obtain different spectral modulation information, wherein the spectral modulation material used by the spectral material module can generate different spectral information by incident spectral signals after passing through different spectral modulation materials according to the modulation characteristics of the modulation materials, and the spectral intensity information is received by a detector;
s33: detecting the intensity of the spectral information and the corresponding pixel position information modulated by the spectral material module in the spectral modulation module by using a detector;
s34: acquiring spectral information detected by a detector by using a spectral intensity and position acquisition module of a spectral demodulation module, and inverting the spectral information of the object to be detected by using a spectral information demodulation module of the spectral demodulation module;
s35: controlling the switch and working parameters of the whole system by using a spectrum chip system control module of a spectrum display control module, displaying a detection spectrum curve in real time by using a spectrum data display module of the spectrum display control module, and storing detected spectrum information original data by using a spectrum data storage module of the spectrum display control module;
s36: the spectral analysis module utilizes the spectral data processing algorithm to handle the spectral data that gathers in the spectrum display and the control module group, and the spectral data processing algorithm includes:
Figure RE-GDA0002404517980000051
wherein i is the intensity of spectral information in the labeled spectrum, n is the total number of wave bands, and mijCorresponding pixel position information in a spectrum library, wherein x is collected spectrum data;
s37: the data display module of the analysis result display module is used for displaying the result display of the spectral analysis module, and the data result storage module of the analysis result display module is used for displaying the information storage of the spectral analysis module.
The invention has the advantages and positive effects that:
1. according to the invention, food spectrum information acquired by a spectrum chip is used as a standard for judging food freshness, and nondestructive and quantitative detection of food freshness is finally realized through spectrum data inversion and comparison with database information. The spectrum detection technology can realize appearance detection in a visible light wave band range, can reflect the internal quality problem of food in an ultraviolet or near-infrared wave band, has stronger reliability, and establishes the freshness standard of the food as follows: the spectrum at the time of food detection/(spectrum at the time of the freshest food-spectrum at the time of food decay), and the percentage of food freshness can be obtained using this quantitative criterion.
2. The invention realizes quantitative, nondestructive, rapid and efficient detection of food freshness, and the spectral detection system for food freshness provided by the invention utilizes a light source with a wide spectral range to excite food, obtains spectral information capable of reflecting food freshness through a spectral chip, and combines a data processing system to form a low-cost and ultra-portable freshness spectral detection device.
3. The spectrum chip comprises a prism spectrum chip, a diffraction grating spectrum chip and an interference spectrum chip, and the types of the spectrum chips are adjusted according to different wave bands and spectrum resolution requirements so as to obtain the optimal spectrum information capable of reflecting the freshness of food, wherein the spectrum range of the spectrum chip comprises the whole wave band from ultraviolet to near infrared, and the resolution reaches the nanometer level.
4. The spectrum detection system for food freshness has the advantages of simple structure, convenience in operation, high detection speed and high accuracy, realizes nondestructive detection on food, utilizes the spectrum chip to acquire physicochemical information of the food, including food freshness, and acquires the freshness percentage of vegetables and fruits through the data processing system. The invention provides quantitative standard for food freshness and scientific and powerful technical support for people to select safe food. In addition, the food freshness database related to the invention provides immeasurable value for the food safety problem of people.
5. The spectrum chip has the advantages of energy utilization rate of more than 80%, wide spectrum range, small volume, higher spectral resolution, spatial resolution, light weight, simple structure, convenient operation and high detection speed, obtains chemical composition components of substances by demodulating the spectral information of the substances to be detected, and provides scientific and powerful technical support for selecting daily living goods, food safety and the like.
Drawings
Other objects and results of the present invention will become more apparent and more readily appreciated as the same becomes better understood by reference to the following description taken in conjunction with the accompanying drawings. In the drawings:
FIG. 1 is a schematic block diagram of a spectral detection system according to an embodiment of the present invention.
FIG. 2 is a flow chart of a spectroscopic detection system according to an embodiment of the present invention.
FIG. 3 is a photograph of spinach over four time periods according to an embodiment of the invention.
FIG. 4 is a graph of fluorescence spectra of spinach over four time periods according to an embodiment of the invention.
FIG. 5 is a scattered spectrum of spinach over four time periods according to an embodiment of the invention.
FIG. 6 is a schematic diagram of an imaging spectroscopy chip according to an embodiment of the invention.
Wherein the reference numerals include:light source 1, foodsample hold device 2,spectrum chip 3,data processing module 4.
Detailed Description
In the following description, for purposes of explanation, numerous specific details are set forth in order to provide a thorough understanding of one or more embodiments. It may be evident, however, that such embodiment(s) may be practiced without these specific details. In other instances, well-known structures and devices are shown in block diagram form in order to facilitate describing one or more embodiments.
Example 1
Referring to fig. 1-6, the spectral detection system for food freshness of the present invention comprises: the food sample containing device comprises a host, alight source 1, a foodsample containing device 2 and aspectrum chip 3, wherein thelight source 1, the food sample containing device and thespectrum chip 3 are arranged in a shell of the host;
the host is used for carrying out instruction control on a light source switch of thelight source 1, spectrum acquisition of thespectrum chip 3 and spectrum acquisition of thedata processing module 4;
the wavelength range of thelight source 1 is 350-2500nm, and the light source provides light source illumination of near ultraviolet, visible to near infrared full wave band;
the foodsample containing device 2 is used for containing food samples;
thedata processing module 4 comprises a food sample spectrum data module and a matching identification module, the food sample spectrum data module is used for storing the spectrum data of a known food sample, the matching identification module is used for processing and analyzing the spectrum acquired by the spectrum chip and matching the spectrum data in the food sample spectrum data module to obtain the information related to the food sample and transmitting the information to the host, the matching identification module comprises a food freshness standard module, the freshness% established by the food freshness standard module is the spectrum in food detection/(the spectrum in the fresh food-the spectrum in food decay), the food freshness percentage can be obtained by using the quantitative standard, the food freshness is expressed by percentage, 100% represents freshness, 0% represents decay and deterioration, and the change of the spectrum data according to the food is calculated;
thespectrum chip 3 is used for collecting the spectrum information of the food sample to be detected after being irradiated by the light source; the spectrum chip size is 4.5mm, thickness is 100 mu m, spectral range is 200 nm-1100 nm, spectral resolution is 10nm, data acquisition time is 1ms, and thespectrum chip 3 includes: the system comprises an optical collecting mirror device, a spectrum modulation module, a detector, a spectrum demodulation module, a spectrum display control module, a spectrum analysis module and an analysis result display module;
the optical collecting mirror device is used for receiving a spectral signal of an emission spectrum of a substance to be detected, which is excited by an external light source or radiates an optical signal outwards;
wherein, the spectrum modulation module includes: the spectrum material module is used for modulating the intensity of spectrum information and corresponding pixel position information, receiving a spectrum signal emitted by a substance to be detected, and carrying out regional spectrum modulation on the received spectrum signal, wherein different regions can obtain different spectrum modulation information;
the detector is used for detecting the intensity of spectral information and corresponding pixel position information modulated by the spectral material module in the spectral modulation module;
the spectrum demodulation module comprises a spectrum intensity and position acquisition module and a spectrum information demodulation module, wherein the spectrum intensity and position acquisition module is used for acquiring spectrum information detected by the detector, and the spectrum information demodulation module is used for inverting the spectrum information of the object to be detected;
the spectrum display control module comprises a spectrum chip system control module, a spectrum data display module and a spectrum data storage module, wherein the spectrum chip system control module is used for controlling the switch and working parameters of the whole system;
wherein, the spectral analysis module utilizes the spectral data processing algorithm to handle the spectral data that gathers in spectrum display and the control module group, and the spectral data processing algorithm includes:
Figure RE-GDA0002404517980000091
wherein i is the intensity of spectral information in the labeled spectrum, n is the total number of wave bands, and mijCorresponding pixel position information in a spectrum library, wherein x is collected spectrum data;
wherein, analysis result display module group, including data display module and data result storage module, data display module is used for showing the result display of spectral analysis module group, and data result storage module is used for showing the information storage of spectral analysis module group.
The detector is QHY5-II model QHYCCDD, and is a black-and-white sensor of 1/2 inches with a QHY5-II camera.
The food sample spectrum data module in the embodiment comprises a database with food freshness, the database obtains scattering spectrum information of food to be detected at the latest fresh moment by using a spectrum chip, the scattering spectrum information of the food to be detected in the food spoilage period is obtained, the spectrum evolution behavior capable of reflecting the freshness of the food to be detected is obtained, the database of the information processing module is formed, the matching identification module detects the spectrum of the food sample, and then the spectrum is compared with the database data to obtain the corresponding food freshness, the database utilizes Chinese patent application CN110361368A to establish the database.
Example 2
The invention discloses a method for detecting a spectrum of food freshness, which comprises the following steps:
step S1: placing the food sample on a food sample containing device, and adjusting the distance between the light source and the food sample containing device so as to facilitate the spectrum acquisition of the spectrum chip;
step S2: the host starts self-checking, and after the self-checking is normal, the host sends out a detection instruction, and the spectrum chip and the data processing module are in a preheating standby state;
step S3: after the light source receives the starting instruction, the light source emits near ultraviolet to near infrared light to irradiate the food sample, the food sample receives the light source irradiation, and the incident light forms diffuse reflection on the surface of the food sample; simultaneously starting a spectrum chip, collecting light waves with freshness information scattered by a food sample to a light source, guiding the light waves scattered by the food sample into the spectrum chip, splitting the light by the spectrum chip to obtain the spectrum of the food sample, collecting the spectrum data, entering a data processing module, processing and analyzing the stored spectrum data of the known food sample by a food sample spectrum data module of the data processing module through a matching identification module, and matching the spectrum data in the spectrum data module of the food sample to quickly identify the food sample;
the spectrum chip acquisition steps are as follows:
s31: receiving a spectral signal of an emission spectrum of a substance to be measured, which is excited by an external light source or radiates an optical signal outwards by the substance to be measured, by using an optical collecting mirror device;
s32: the spectral material module of the spectral modulation module is used for modulating the intensity of spectral information and corresponding pixel position information and receiving a spectral signal emitted by a substance to be detected, the received spectral signal is subjected to regional spectral modulation, different regions can obtain different spectral modulation information, wherein the spectral modulation material used by the spectral material module can generate different spectral information by incident spectral signals after passing through different spectral modulation materials according to the modulation characteristics of the modulation materials, and the spectral intensity information is received by a detector;
s33: detecting the intensity of the spectral information and the corresponding pixel position information modulated by the spectral material module in the spectral modulation module by using a detector;
s34: acquiring spectral information detected by a detector by using a spectral intensity and position acquisition module of a spectral demodulation module, and inverting the spectral information of the object to be detected by using a spectral information demodulation module of the spectral demodulation module;
s35: controlling the switch and working parameters of the whole system by using a spectrum chip system control module of a spectrum display control module, displaying a detection spectrum curve in real time by using a spectrum data display module of the spectrum display control module, and storing detected spectrum information original data by using a spectrum data storage module of the spectrum display control module;
s36: the spectral analysis module utilizes the spectral data processing algorithm to handle the spectral data that gathers in the spectrum display and the control module group, and the spectral data processing algorithm includes:
Figure RE-GDA0002404517980000111
wherein i is the intensity of spectral information in the labeled spectrum, n is the total number of wave bands, and mijCorresponding pixel position information in a spectrum library, wherein x is collected spectrum data;
s37: the data display module of the analysis result display module is used for displaying the result display of the spectral analysis module, and the data result storage module of the analysis result display module is used for displaying the information storage of the spectral analysis module;
step S4: after the food samples are successfully identified, the freshness of the food samples is judged by using the food freshness standard module, and the freshness is compared with the database spectrum of the food sample spectrum data module again to finally obtain the freshness information of the food, wherein the scattered spectrum signals of the physicochemical information of the food samples are subjected to data processing by an inversion method and are compared with the database spectrum to finally obtain the freshness information of the food.
Example 3
Referring to fig. 3-5, thelight source 1 is an LED ultraviolet lamp, the wavelength is set to 380nm, the irradiation intensity is 650 μ W, the illuminance 104Lux is more than 70%, when the distance between the light source and thefood sample 2 is 30cm, the spot size is 13cm2, the light wave is scattered after interacting with thefood sample 2, and the scattered light spectrum reflects the physicochemical information of thefood sample 2, including the freshness of the food, and is blue light seen by naked eyes;
thespectrum chip 3 is used for collecting the reflection spectrum, the spectrum range of the spectrum chip is 200 nm-1100 nm, the resolution is 0.8nm, when the scattered light wave of thefood sample 2 is guided into thespectrum chip 3 through the optical fiber, the light is split, the spectrum information is obtained, and the other steps are the same as the step of theembodiment 2.
Example 4
Referring to fig. 3-5, thelight source 1 selects near infrared light waves, and the rest of the steps are the same as those ofembodiment 2.
Example 5
Referring to fig. 3-5, thelight source 1 selects visible light waves, and the rest of the steps are the same as those ofembodiment 2.
Example 6
The excitation light source is a near-infrared light source with the wavelength of 950nm, the food to be detected is green vegetables, when the distance between the excitation light source and the food to be detected is adjusted to 20cm, the scattering spectrum of the food to be detected is excited, and the scattering spectrum carries freshness information of the food to be detected.
The scattering spectrum is collected by using a spectrum chip, the size of the spectrum chip is 4.5mm multiplied by 4.5mm, the thickness of the spectrum chip is 100 mu m, the spectrum range is 200 nm-1100 nm, the spectrum resolution is 10nm, the data collection time is 1ms, the spectrum chip obtains the scattering spectrum of the food to be detected and performs light splitting, then an information processing module is used for comparing the spectrum data with a database, the freshness of the food is finally obtained, and the rest steps are the same as those of theembodiment 2.
The above description is only for the specific embodiments of the present invention, but the scope of the present invention is not limited thereto, and any person skilled in the art can easily conceive of the changes or substitutions within the technical scope of the present invention, and the changes or substitutions should be covered within the scope of the present invention. Therefore, the protection scope of the present invention shall be subject to the protection scope of the claims.

Claims (6)

1. A food freshness detection system based on a spectral chip, comprising: the food sample containing device comprises a host, a light source, a food sample containing device and a spectrum chip, wherein the light source, the food sample containing device and the spectrum chip are arranged in a shell of the host;
the host is used for carrying out instruction control on a light source switch of the light source, spectrum acquisition of the spectrum chip and spectrum acquisition of the data processing module;
the wavelength range of the light source is 350-2500nm, and the light source provides light source illumination of near ultraviolet, visible to near infrared full wave bands;
the food sample containing device is used for containing food samples;
the data processing module comprises a food sample spectrum data module and a matching identification module, the food sample spectrum data module is used for storing the spectrum data of the known food sample, the matching identification module is used for processing and analyzing the spectrum acquired by the spectrum chip and matching the spectrum with the data in the food sample spectrum data module to obtain the information about the food sample and transmitting the information to the host, the matching identification module comprises a food freshness standard module, the freshness specified by the food freshness standard module is spectrum/(spectrum when food is fresh-spectrum when food is rotten), the percentage of food freshness can be obtained by utilizing the quantitative standard, the food freshness is expressed by percentage, 100% represents freshness, 0% represents rotten and rotten, and the change of the spectrum data according to the food is calculated;
the spectrum chip is used for collecting the spectrum information of the food sample to be detected after being irradiated by the light source; the spectrum chip includes: the system comprises an optical collecting mirror device, a spectrum modulation module, a detector, a spectrum demodulation module, a spectrum display control module, a spectrum analysis module and an analysis result display module;
the optical collecting mirror device is used for receiving a spectral signal of an emission spectrum of a substance to be detected, which is excited by an external light source or radiates an optical signal outwards;
wherein, the spectrum modulation module includes: the spectrum material module is used for modulating the intensity of spectrum information and corresponding pixel position information, receiving a spectrum signal emitted by a substance to be detected, and carrying out regional spectrum modulation on the received spectrum signal, wherein different regions can obtain different spectrum modulation information;
the detector is used for detecting the intensity of spectral information and corresponding pixel position information after modulation by the spectral material module in the spectral modulation module;
the spectrum demodulation module comprises a spectrum intensity and position acquisition module and a spectrum information demodulation module, wherein the spectrum intensity and position acquisition module is used for acquiring spectrum information detected by the detector, and the spectrum information demodulation module is used for inverting the spectrum information of the object to be detected;
the spectrum display control module comprises a spectrum chip system control module, a spectrum data display module and a spectrum data storage module, wherein the spectrum chip system control module is used for controlling the switch and working parameters of the whole system, the spectrum data display module is used for displaying a detection spectrum curve in real time, and the spectrum data storage module is used for storing detected spectrum information original data;
wherein, theThe spectral analysis module utilizes the spectral data processing algorithm to handle the spectral data that gathers in the spectrum display and control module group, the spectral data processing algorithm includes:
Figure RE-FDA0002404517970000021
wherein i is the intensity of spectral information in the labeled spectrum, n is the total number of wave bands, and mijCorresponding pixel position information in a spectrum library, wherein x is collected spectrum data;
the analysis result display module comprises a data display module and a data result storage module, wherein the data display module is used for displaying the result display of the spectral analysis module, and the data result storage module is used for displaying the information storage of the spectral analysis module.
2. The food freshness detection system based on the spectral chip according to claim 1, wherein the food sample spectral data module comprises a database of food freshness, the database is a database that uses the spectral chip to obtain the scattering spectrum information of the food to be detected at the latest freshness moment, and obtains the scattering spectrum information of the food when the food is corrupted after the food corruption period, so as to obtain the spectrum evolution behavior that can reflect the freshness of the food to be detected, thereby forming the database of the information processing module, and the matching identification module detects the spectrum of the food sample and then compares the spectrum with the database data to obtain the corresponding food freshness.
3. The system for spectroscopic detection of food freshness as claimed in claim 1 wherein said detector is a QHY5-II model of QHYCCDD with a QHY5-II camera 1/2 inch black and white sensor.
4. A method for detecting the spectrum of food freshness is characterized by comprising the following steps:
step S1: placing the food sample on a food sample containing device, and adjusting the distance between the light source and the food sample containing device so as to facilitate the spectrum acquisition of the spectrum chip;
step S2: the host starts self-checking, and after the self-checking is normal, the host sends out a detection instruction, and the spectrum chip and the data processing module are in a preheating standby state;
step S3: after the light source receives the starting instruction, the light source emits near ultraviolet to near infrared light to irradiate the food sample, the food sample receives the light source irradiation, and the incident light forms diffuse reflection on the surface of the food sample; simultaneously starting a spectrum chip, collecting light waves with freshness information scattered by a food sample to a light source, guiding the light waves scattered by the food sample into the spectrum chip, splitting the light by the spectrum chip to obtain the spectrum of the food sample, collecting the spectrum data, entering a data processing module, processing and analyzing the stored spectrum data of the known food sample by a food sample spectrum data module of the data processing module through a matching identification module, and matching the spectrum data in the spectrum data module of the food sample to quickly identify the food sample;
step S4: after the food samples are successfully identified, the freshness of the food samples is judged by using the food freshness standard module, and the freshness is compared with the database spectrum of the food sample spectrum data module again, so that the freshness information of the food is finally obtained.
5. The method for detecting the spectrum of food freshness according to claim 4, wherein in the step S4, the scattered spectrum signal of the physicochemical information of the food sample is subjected to data processing by an inversion method and is compared with the spectrum of the database, and finally the freshness information of the food is obtained.
6. The method for detecting the spectrum of food freshness according to claim 4, wherein the step of collecting the spectrum chip in the step S3 is:
s31: receiving a spectral signal of an emission spectrum of a substance to be measured, which is excited by an external light source or radiates an optical signal outwards by the substance to be measured, by using an optical collecting mirror device;
s32: the spectral material module of the spectral modulation module is used for modulating the intensity of spectral information and corresponding pixel position information and receiving a spectral signal emitted by a substance to be detected, the received spectral signal is subjected to regional spectral modulation, different regions can obtain different spectral modulation information, wherein the spectral modulation material used by the spectral material module can generate different spectral information by incident spectral signals after passing through different spectral modulation materials according to the modulation characteristics of the modulation materials, and the spectral intensity information is received by a detector;
s33: detecting the intensity of the spectral information and the corresponding pixel position information modulated by the spectral material module in the spectral modulation module by using a detector;
s34: acquiring spectral information detected by the detector by using a spectral intensity and position acquisition module of a spectral demodulation module, and inverting the spectral information of the object to be detected by using a spectral information demodulation module of the spectral demodulation module;
s35: controlling the switch and working parameters of the whole system by using a spectrum chip system control module of a spectrum display control module, displaying a detection spectrum curve in real time by using a spectrum data display module of the spectrum display control module, and storing detected spectrum information original data by using a spectrum data storage module of the spectrum display control module;
s36: the spectral analysis module utilizes the spectral data processing algorithm to handle the spectral data that gathers in the spectrum display and control module group, the spectral data processing algorithm includes:
Figure RE-FDA0002404517970000051
wherein i is the intensity of spectral information in the labeled spectrum, n is the total number of wave bands, and mijCorresponding pixel position information in a spectrum library, wherein x is collected spectrum data;
s37: the data display module of the analysis result display module is used for displaying the result display of the spectral analysis module, and the data result storage module of the analysis result display module is used for displaying the information storage of the spectral analysis module.
CN201911372904.6A2019-12-272019-12-27Food freshness detection system and detection method based on spectrum chipWithdrawnCN111007026A (en)

Priority Applications (1)

Application NumberPriority DateFiling DateTitle
CN201911372904.6ACN111007026A (en)2019-12-272019-12-27Food freshness detection system and detection method based on spectrum chip

Applications Claiming Priority (1)

Application NumberPriority DateFiling DateTitle
CN201911372904.6ACN111007026A (en)2019-12-272019-12-27Food freshness detection system and detection method based on spectrum chip

Publications (1)

Publication NumberPublication Date
CN111007026Atrue CN111007026A (en)2020-04-14

Family

ID=70118837

Family Applications (1)

Application NumberTitlePriority DateFiling Date
CN201911372904.6AWithdrawnCN111007026A (en)2019-12-272019-12-27Food freshness detection system and detection method based on spectrum chip

Country Status (1)

CountryLink
CN (1)CN111007026A (en)

Cited By (5)

* Cited by examiner, † Cited by third party
Publication numberPriority datePublication dateAssigneeTitle
CN111982835A (en)*2020-08-172020-11-24吉林求是光谱数据科技有限公司Fruit sugar degree nondestructive testing device and method based on silicon-based multispectral chip
CN111999293A (en)*2020-07-032020-11-27中国农业大学 A kind of fruit and vegetable freshness detection and evaluation method
CN112229808A (en)*2020-09-212021-01-15佛山国防科技工业技术成果产业化应用推广中心 A kind of food microorganism detection device and detection method based on multispectral technology
CN114965373A (en)*2022-06-242022-08-30四川大学Food freshness identification system based on vector vortex optical rotation detection and application thereof
CN119715391A (en)*2025-02-282025-03-28吉林求是光谱数据科技有限公司Meat freshness quality detection system and method based on spectral image detection chip

Citations (9)

* Cited by examiner, † Cited by third party
Publication numberPriority datePublication dateAssigneeTitle
KR20130133949A (en)*2012-05-302013-12-10김응수A measuring device for food freshness and maleficence using visible and infrared light spectrometric sensor
CN204287031U (en)*2014-12-312015-04-22华东交通大学A kind of online the cannot-harm-detection device of fish freshness based on high light spectrum image-forming technology
CN105717051A (en)*2016-04-222016-06-29合肥美菱股份有限公司System capable of rapidly detecting fruit and vegetable freshness and refrigerator
CN106525235A (en)*2016-09-302017-03-22西北工业大学Chip type spectral imaging system
CN106841052A (en)*2016-12-292017-06-13中国科学院遥感与数字地球研究所A kind of method and system of quick detection meat freshness
CN206725436U (en)*2017-04-012017-12-08食品行业生产力促进中心A kind of device for nutritious food solid food materials freshness quick detection
CN107835938A (en)*2015-07-082018-03-23皮道练Food state measuring device, food state measuring block, include its intelligent apparatus
CN109580501A (en)*2018-12-252019-04-05上海理工大学A kind of fruits and vegetables fresh quality intelligent distinguishing device and method of embeddeding refrigerator
CN110398479A (en)*2019-07-172019-11-01南京理工大学 A kind of microscopic spectrum measurement device and method based on optical chip substrate

Patent Citations (9)

* Cited by examiner, † Cited by third party
Publication numberPriority datePublication dateAssigneeTitle
KR20130133949A (en)*2012-05-302013-12-10김응수A measuring device for food freshness and maleficence using visible and infrared light spectrometric sensor
CN204287031U (en)*2014-12-312015-04-22华东交通大学A kind of online the cannot-harm-detection device of fish freshness based on high light spectrum image-forming technology
CN107835938A (en)*2015-07-082018-03-23皮道练Food state measuring device, food state measuring block, include its intelligent apparatus
CN105717051A (en)*2016-04-222016-06-29合肥美菱股份有限公司System capable of rapidly detecting fruit and vegetable freshness and refrigerator
CN106525235A (en)*2016-09-302017-03-22西北工业大学Chip type spectral imaging system
CN106841052A (en)*2016-12-292017-06-13中国科学院遥感与数字地球研究所A kind of method and system of quick detection meat freshness
CN206725436U (en)*2017-04-012017-12-08食品行业生产力促进中心A kind of device for nutritious food solid food materials freshness quick detection
CN109580501A (en)*2018-12-252019-04-05上海理工大学A kind of fruits and vegetables fresh quality intelligent distinguishing device and method of embeddeding refrigerator
CN110398479A (en)*2019-07-172019-11-01南京理工大学 A kind of microscopic spectrum measurement device and method based on optical chip substrate

Cited By (5)

* Cited by examiner, † Cited by third party
Publication numberPriority datePublication dateAssigneeTitle
CN111999293A (en)*2020-07-032020-11-27中国农业大学 A kind of fruit and vegetable freshness detection and evaluation method
CN111982835A (en)*2020-08-172020-11-24吉林求是光谱数据科技有限公司Fruit sugar degree nondestructive testing device and method based on silicon-based multispectral chip
CN112229808A (en)*2020-09-212021-01-15佛山国防科技工业技术成果产业化应用推广中心 A kind of food microorganism detection device and detection method based on multispectral technology
CN114965373A (en)*2022-06-242022-08-30四川大学Food freshness identification system based on vector vortex optical rotation detection and application thereof
CN119715391A (en)*2025-02-282025-03-28吉林求是光谱数据科技有限公司Meat freshness quality detection system and method based on spectral image detection chip

Similar Documents

PublicationPublication DateTitle
CN111007026A (en)Food freshness detection system and detection method based on spectrum chip
CN111044466A (en)Spectrum detection system and method for freshness of fruits and vegetables
Edelman et al.Hyperspectral imaging for non-contact analysis of forensic traces
US9188546B2 (en)Latent fingerprint detectors and fingerprint scanners therefrom
US20130200276A1 (en)Substance detection, inspection and classification system using enhanced photoemission spectroscopy
CN112219110A (en) Method for assessing suitability of lighting conditions for detection of analytes in samples using a camera of a mobile device
US20070114419A1 (en)Apparatus and method for detecting a designated group of materials and apparatus and method for determining if a designated group of materials can be distinguished from one or more other materials
JP2003527594A (en) Apparatus and method for measuring and correlating fruit properties with visible / near infrared spectra
CN106996916B (en) A method for identifying substances
JP2021530681A (en) Method of detecting the analyte in the sample
CN107870149B (en)Method and device for measuring spectrum and use thereof
US20060187449A1 (en)Pesticide detector and method
WO2020070514A1 (en)Raman spectrometer
CN204044070U (en)Pesticide residue determination device
CN104406940A (en)Nondestructive identification method of rice with industrial wax
Chen et al.Identification of various food residuals on denim based on hyperspectral imaging system and combination optimal strategy
CN113504185A (en)Multispectral agricultural product heavy metal content detection modeling system based on LIBS calibration
KR101230230B1 (en)Non-destructive near-infrared spectrum analysis apparatus for objects to be measured
EP3242249A1 (en)Optical fingerprint capturing apparatus and method, capturing at different wavelengths in as sequential manner
CN110954513A (en)Spectrum chip based on spectrum modulation method
US20210010935A1 (en)Detection systems and method for multi-chemical substance detection using ultraviolet fluorescence, specular reflectance, and artificial intelligence
US8823802B2 (en)Multi-mode imaging in the thermal infrared for chemical contrast enhancement
CN108802376A (en)A kind of quantitative detecting method and device of up-conversion fluorescence test paper
CN207215690U (en)A kind of hyperspectral food detecting system
CN105372215A (en)Pesticide residue quantity detecting device and method

Legal Events

DateCodeTitleDescription
PB01Publication
PB01Publication
SE01Entry into force of request for substantive examination
SE01Entry into force of request for substantive examination
WW01Invention patent application withdrawn after publication
WW01Invention patent application withdrawn after publication

Application publication date:20200414


[8]ページ先頭

©2009-2025 Movatter.jp