Movatterモバイル変換


[0]ホーム

URL:


CN111000537A - A method to correct the effects of age, gender and blood pressure on pulse wave propagation velocity - Google Patents

A method to correct the effects of age, gender and blood pressure on pulse wave propagation velocity
Download PDF

Info

Publication number
CN111000537A
CN111000537ACN201911346488.2ACN201911346488ACN111000537ACN 111000537 ACN111000537 ACN 111000537ACN 201911346488 ACN201911346488 ACN 201911346488ACN 111000537 ACN111000537 ACN 111000537A
Authority
CN
China
Prior art keywords
blood pressure
age
pwv
gender
pulse wave
Prior art date
Legal status (The legal status is an assumption and is not a legal conclusion. Google has not performed a legal analysis and makes no representation as to the accuracy of the status listed.)
Granted
Application number
CN201911346488.2A
Other languages
Chinese (zh)
Other versions
CN111000537B (en
Inventor
陈妍
Current Assignee (The listed assignees may be inaccurate. Google has not performed a legal analysis and makes no representation or warranty as to the accuracy of the list.)
First Affiliated Hospital of PLA Military Medical University
Original Assignee
First Affiliated Hospital of PLA Military Medical University
Priority date (The priority date is an assumption and is not a legal conclusion. Google has not performed a legal analysis and makes no representation as to the accuracy of the date listed.)
Filing date
Publication date
Application filed by First Affiliated Hospital of PLA Military Medical UniversityfiledCriticalFirst Affiliated Hospital of PLA Military Medical University
Priority to CN201911346488.2ApriorityCriticalpatent/CN111000537B/en
Publication of CN111000537ApublicationCriticalpatent/CN111000537A/en
Application grantedgrantedCritical
Publication of CN111000537BpublicationCriticalpatent/CN111000537B/en
Activelegal-statusCriticalCurrent
Anticipated expirationlegal-statusCritical

Links

Images

Classifications

Landscapes

Abstract

Translated fromChinese

本发明公开了一种修正年龄性别和血压对脉搏波传播速度的影响的方法,其特征在于:包括如下以下步骤:建立无动脉硬化病灶人群PWV与血压之间的函数族,并获得每个年龄和性别所对应的函数参数,形成参数数据库;建立PWV在固定年龄、性别和血压状态下的归一化模型;获得PWV相对于年龄、性别和血压的修正量;利用相对于年龄、性别和血压的修正量对实测的PWV进行修正。通过上述步骤,本发明能够排除年龄、性别和即时血压等生理因素对PWV的影响,更好地反映出高血压、高血脂、糖尿病、动脉硬化、末期肾病等病理性因素引起的PWV的变化,使动脉硬化的评估更加精准。

Figure 201911346488

The invention discloses a method for correcting the influence of age, gender and blood pressure on pulse wave propagation velocity, which is characterized by comprising the following steps: establishing a function family between PWV and blood pressure in a population without arteriosclerosis lesions, and obtaining each age and the function parameters corresponding to gender to form a parameter database; establish a normalized model of PWV under the condition of fixed age, gender and blood pressure; obtain the correction of PWV relative to age, gender and blood pressure; use relative to age, gender and blood pressure The correction amount of , corrects the measured PWV. Through the above steps, the present invention can eliminate the influence of physiological factors such as age, gender and real-time blood pressure on PWV, and better reflect the changes in PWV caused by pathological factors such as hypertension, hyperlipidemia, diabetes, arteriosclerosis, end-stage renal disease, etc., Make the assessment of arteriosclerosis more accurate.

Figure 201911346488

Description

Method for correcting influence of age, sex and blood pressure on pulse wave propagation speed
Technical Field
The invention relates to a method for correcting the influence of age, sex and blood pressure on the pulse wave propagation speed.
Background
Arteriosclerosis is a non-inflammatory lesion of an artery, mainly manifested by thickening of a blood vessel wall, deterioration of elasticity, narrowing of a lumen and plaque formation, and is an important prediction index of myocardial infarction and cerebral infarction. Conventional methods for diagnosing arteriosclerosis are classified into an imaging examination and a Pulse Wave Velocity (PWV) examination. The imaging examination includes methods such as arteriography, CT, doppler ultrasound, etc., mainly presumes the condition of the whole arterial system by observing the pathological changes of part of arteries, and is not suitable for large-area screening such as health examination, etc. in view of the problems of radiation, traumatism, operation difficulty, etc. The Pulse Wave Velocity (PWV) method is the most commonly used method in arteriosclerosis screening, has the advantages of simple and noninvasive measuring method, capability of quantitatively detecting the systemic arteriosclerosis degree and wide acceptance as an independent predictor of cardiovascular diseases.
Research on the PWV influencing factors is carried out by Japan Qianye university and Cihui doctor, and the factors clinically influencing PWV are found to be basically divided into physiological factors (such as sex, age, and instant blood pressure) and pathological factors (such as hypertension, hyperlipidemia, diabetes, arteriosclerosis, end-stage renal disease, and the like). Physiological factors are invariable factors, age is slowly-varying factors, and the influence of the physiological factors on the elasticity and toughness of the artery and the relation of the PWV have strong regularity and can be obtained by a statistical method. Blood pressure is a transient factor, and PWV is affected by blood pressure fluctuation caused by external stimuli (such as exercise, drugs, drinking, etc.). However, the change of PWV caused by physiological factors has a small correlation with the lesion of the artery wall, and is not suitable for detecting cardiovascular and cerebrovascular diseases. Currently there is no internationally recognized method or formula that can well rule out the effects of physiological factors, especially instantaneous blood pressure, on PWV. How to effectively eliminate the influence of gender, age and instant blood pressure so as to better extract the pathological change of PWV is an urgent problem to be solved.
Disclosure of Invention
Aiming at the defects in the prior art, the invention provides a method for correcting the influence of age, sex and blood pressure on the pulse wave propagation speed, and the method can eliminate the influence of physiological factors such as age, sex and instant blood pressure on PWV and better reflect the pathological change of PWV.
A method of correcting the influence of age, sex and blood pressure on the pulse wave propagation velocity, characterized by: the method comprises the following steps:
s1) establishing a function family between PWV and blood pressure of the population without arteriosclerotic lesions, and obtaining function parameters corresponding to each age and sex to form a parameter database;
s2) establishing a normalized model of the PWV under the fixed age, gender and blood pressure states;
s3) obtaining correction amounts of PWV with respect to age, sex and blood pressure;
s4) corrects the measured PWV with correction amounts for age, sex, and blood pressure.
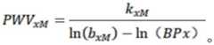
A functional family between PWV and blood pressure of the arteriosclerotic lesion-free population in step S1 is established using the following relationship:
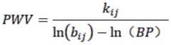
Figure BDA0002333507220000021
wherein PWV is the pulse wave propagation velocity and BP is the blood pressure; i represents age, j represents gender; k is a radical ofijAnd bijIs a functional parameter related to gender and age.
K isijAnd bijObtained by the following method:
for each age and sex, a population without arteriosclerotic lesions (number of samples) was obtained>30) Blood pressure BP and PWV corresponding to it, which vary widely; obtaining a function parameter k corresponding to each age and gender by a curve fitting methodijAnd bijForming a database K of parametersijAnd Bij
Figure BDA0002333507220000022
Figure BDA0002333507220000023
Wherein, i is 1,2, …, n (1 is not less than n is not more than 100); j-M/F (M is male and F is female).
The method for obtaining the blood pressure BP with wide variation of the population without the arteriosclerotic lesion and the PWV corresponding to the blood pressure BP comprises the following steps:
selecting a crowd needing a surgical operation and without an arteriosclerotic focus as an acquisition object, and monitoring and recording arterial blood pressure in an operation anesthesia process in real time through arterial puncture;
meanwhile, collecting PWV corresponding to the arterial blood pressure time; PWV is obtained by detecting the pulse wave propagation time PTT and the propagation distance L, and by the following relationship:
Figure BDA0002333507220000031
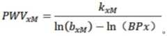
in step S2, a normalized model of PWV at a fixed age, gender and blood pressure is established by:
selecting a function parameter k with age x and gender MxMAnd bxM(ii) a Selecting a blood pressure state BPx, calculating PWV under BPxxM:
Figure BDA0002333507220000032
In step S3, correction amounts of PWV with respect to age, sex, and blood pressure are obtained by normalizing the model:
in the blood pressure BPx state, the correction amount of PWV relative to age and sex is Δ PWV for the non-arteriosclerosis lesion group with age i and sex j relative to the non-arteriosclerosis lesion group with age x and sex M1
Figure BDA0002333507220000033
The actual blood pressure of the patient without arteriosclerosis lesion is BPm, the age is i years, the sex is j, and the correction quantity of PWV is delta PWV relative to the selected blood pressure BPx2
Figure BDA0002333507220000034
In step S4, PWVm actually measured by the subject aged i and sexed j is corrected by the correction amount in step S3, and the corrected PWVr is:
Figure BDA0002333507220000035
the invention has the beneficial effects that:
the invention can eliminate the influence of physiological factors such as age, sex, instant blood pressure and the like on PWV, better reflect the change of PWV caused by pathological factors such as hypertension, hyperlipidemia, diabetes, arteriosclerosis, end-stage nephropathy and the like, and make the evaluation of arteriosclerosis more accurate.
Drawings
FIG. 1 is a graph of sensitivity and specificity (ROC curve) of uncorrected PWVm for detecting atherosclerosis.
FIG. 2 is a graph of sensitivity and specificity (ROC curve) of PWVr in detecting atherosclerosis corrected by the method of the invention.
Detailed Description
The invention provides a method for correcting the influence of age, sex and blood pressure on the pulse wave propagation speed, which is characterized by comprising the following steps: the method comprises the following steps:
s1) establishing a function family between PWV and blood pressure of the population without arteriosclerotic lesions, and obtaining function parameters corresponding to each age and sex to form a parameter database;
establishing a family of functions requires establishing through the following relationships:
Figure BDA0002333507220000041
wherein PWV is the pulse wave propagation velocity and BP is the blood pressure; i represents age, j represents gender; k is a radical ofijAnd bijIs a functional parameter related to gender and age. Wherein k isijAnd bijThe acquisition of (2) requires obtaining a population without arteriosclerotic lesions (number of samples) for each age and sex>30) Blood pressure BP and PWV corresponding to it, which vary widely; obtaining a function parameter k corresponding to each age and gender by a curve fitting methodijAnd bijForming a database K of parametersijAnd Bij
Figure BDA0002333507220000042
Figure BDA0002333507220000043
Wherein, i is 1,2, …, n (1 is not less than n is not more than 100); j-M/F (M is male and F is female).
The method for obtaining the blood pressure BP with wide variation of the population without the arteriosclerotic lesion and the PWV corresponding to the blood pressure BP comprises the following steps:
selecting a crowd needing a surgical operation and without an arteriosclerotic focus as a collection object, and monitoring and recording arterial blood pressure in an operation anesthesia process in real time through arterial puncture (under the multiple actions of an anesthetic, a vasoactive drug and an operation, the blood pressure in the operation can fluctuate in a large range, and the change range can meet the requirement of curve fitting);
meanwhile, collecting PWV corresponding to the arterial blood pressure time; PWV is obtained by detecting the pulse wave propagation time PTT and the propagation distance L, and by the following relationship:
Figure BDA0002333507220000051
the means for detecting the pulse wave may include any one or more of the following: pressure sensors, photoplethysmography (PPG) or impedance plethysmography;
the method for obtaining the pulse wave propagation time PTT comprises the following steps: PTT can be obtained by simultaneous measurement of ECG, PPG, and ICG: firstly, obtaining the arrival time PAT of pulse propagation through ECG and PPG, wherein the PAT is defined as the time interval between the peak of an R wave of the ECG and the starting point of a PPG pulse wave signal; the pre-ejection PEP is then determined by ECG and ICG, PTT equals PAT minus PEP;
the PTT can also be obtained by synchronously detecting a PPG pulse wave signal at the proximal end and a PPG pulse wave signal at the distal end according to the time difference between the two pulse wave signals; the sites where the PPG signal is detected are preferably the ears and toes; specific identification methods for PTT can be understood by reference to YAN CHEN, CHANGYUN WEN, GUOCAI TAO, and MIN BI "Continuous and Noninival measurements of Systolic and Diastolic blood pressure by One of the chemical models with the Same Model Parameters and twoseperate Pulse Wave vectors" 2012;
the pulse wave propagation distance L can be obtained by actual measurement or can be estimated by subtracting a fixed constant from the percentage of height or height.
S2) establishing a normalized model of PWV at a fixed age, gender and blood pressure:
selecting a function parameter k with age x and gender MxMAnd bxM(ii) a Selecting a blood pressure state BPx, calculating PWV under BPxxM:
Figure BDA0002333507220000052
S3) obtaining correction amounts of PWV with respect to age, sex and blood pressure;
in the blood pressure BPx state, the correction amount of PWV relative to age and sex is Δ PWV for the non-arteriosclerosis lesion group with age i and sex j relative to the non-arteriosclerosis lesion group with age x and sex M1
Figure BDA0002333507220000061
The actual blood pressure of the patient without arteriosclerosis lesion is BPm, the age is i years, the sex is j, and the correction quantity of PWV is delta PWV relative to the selected blood pressure BPx2
Figure BDA0002333507220000062
S4) correcting the measured PWV with correction amounts for age, gender, and blood pressure:
PWVm actually measured by the subject aged i and sexed j is corrected by the correction amount in step S3, and the corrected PWVr is:
Figure BDA0002333507220000063
the method can eliminate the influence of age, sex and instant blood pressure and obtain the change of pulse wave propagation speed caused by pathological factors.
The above method is explained in detail by taking an example as follows:
this example shows how the method of the present invention can be used to correct PWV measured in a subject, to exclude the effects of age, sex, and blood pressure, and to obtain the changes in PWV caused by pathological factors.
The present embodiment employs an infrared photoplethysmography (PPG) to detect pulse wave signals of ears and toes of a subject to be measured, obtains a pulse wave propagation time PTT from a time difference between two pulse wave signals, and obtains PWV by the following relationship:
Figure BDA0002333507220000064
the propagation distance is determined by: l is-0.3 m in height.
Selecting a crowd needing a surgical operation and without an arteriosclerotic focus as an acquisition object, and monitoring and recording arterial blood pressure in an operation anesthesia process in real time through arterial puncture; and synchronously recording the PWV obtained by the method, and establishing a function family between the PWV of the population without the arteriosclerosis focus and the blood pressure and a function parameter database corresponding to each age and gender.
Figure BDA0002333507220000071
Figure BDA0002333507220000072
Then selecting a standard age, gender and pulse wave propagation distance L to establish a normalized model:
in this embodiment, the mathematical model parameters of a male with age of 40 years and gender are selected. In the above-mentioned established KijAnd BijFunction parameterK for men aged 40 years in the database40MAnd b40M11.2 and 255 respectively (as long as a function parameter database is established according to the steps provided by the invention, relevant specific numerical values can be obtained); the selected blood pressure state was the mean arterial pressure of 90 mmHg. The selected height is 1.7 m, and the pulse wave propagation distance L is 1.7-0.3-1.4 m. The normalized model of PWV is then:
Figure BDA0002333507220000073
the existing test subject with age of 60 years, sex of woman and height of 1.6 m (pulse wave propagation distance L is 1.6-0.3-1.3 m) has mathematical model parameter k60FAnd b60F12.7 and 242 respectively (may be at established K)ijAnd BijQueried in a function parameter database); when the actually measured mean arterial pressure is 102mmHg and the actually measured pulse wave propagation time PTT is 78 milliseconds, PWVm (m/s) is:
Figure BDA0002333507220000074
the corrected PWVr (m/s) is:
Figure BDA0002333507220000075
the 60 year old female received carotid ultrasound examination and the results showed: the carotid artery has normal blood vessel malformation, thick intima-media, normal inner diameter of the blood vessel cavity and no abnormal echo in the blood vessel cavity, and obviously the subject does not have the typical arteriosclerosis focus. The actually measured PWvm is 16.67 m/s, which is obviously higher than that of normal people, reaches the standard of arteriosclerosis and is inconsistent with the result of ultrasonic imaging examination; however, the corrected PWVr was 12.72 m/s, which was not very different from the normal one, indicating that the subject did not develop significant arteriosclerosis, consistent with the results of the ultrasonography.
Fig. 1 and 2 show sensitivity and specificity curves (ROC curves) for uncorrected PWVm and PWVr corrected by the method of the invention for detecting atherosclerosis, respectively. Clearly, PWVr has higher specificity and sensitivity than PWVm (area 0.815vs 0.613 under ROC curve).
Finally, it should be noted that: the above embodiments are only used to illustrate the technical solution of the present invention, and not to limit the same; while the invention has been described in detail and with reference to the foregoing embodiments, it will be understood by those skilled in the art that: the technical solutions described in the foregoing embodiments may still be modified, or some or all of the technical features may be equivalently replaced; such modifications and substitutions do not depart from the spirit and scope of the present invention, and they should be construed as being included in the following claims and description.

Claims (7)

Translated fromChinese
1.一种修正年龄性别和血压对脉搏波传播速度的影响的方法,其特征在于:包括如下以下步骤:1. a method for revising the influence of age, sex and blood pressure on pulse wave propagation velocity, is characterized in that: comprise the following steps:S1)建立无动脉硬化病灶人群PWV与血压之间的函数族,并获得每个年龄和性别所对应的函数参数,形成参数数据库;S1) establish a function family between PWV and blood pressure in the population without arteriosclerosis lesions, and obtain the function parameters corresponding to each age and gender to form a parameter database;S2)建立PWV在固定年龄、性别和血压状态下的归一化模型;S2) establish a normalized model of PWV under fixed age, gender and blood pressure;S3)获得PWV相对于年龄、性别和血压的修正量;S3) obtain the correction of PWV relative to age, sex and blood pressure;S4)利用相对于年龄、性别和血压的修正量对实测的PWV进行修正。S4) Correct the measured PWV with corrections for age, sex, and blood pressure.2.根据权利要求1所述的一种修正年龄性别和血压对脉搏波传播速度的影响的方法,其特征在于:使用以下关系建立步骤S1中的无动脉硬化病灶人群PWV和血压之间的函数族:2. a kind of method that corrects the influence of age sex and blood pressure on pulse wave propagation velocity according to claim 1, it is characterized in that: use following relation to establish the function between PWV and blood pressure of the crowd without arteriosclerosis in step S1 family:
Figure FDA0002333507210000011
Figure FDA0002333507210000011
其中,PWV是脉搏波传播速度,BP是血压;i代表年龄,j代表性别;kij和bij是与性别和年龄相关的函数参数。Among them, PWV is pulse wave propagation velocity, BP is blood pressure; i represents age, j represents gender; kij and bij are function parameters related to gender and age.3.根据权利要求2所述的一种修正年龄性别和血压对脉搏波传播速度的影响的方法,其特征在于:所述kij和bij通过以下方法获得:3. The method for revising the effects of age, gender and blood pressure on pulse wave propagation velocity according to claim 2, wherein the kij and bij are obtained by the following methods:针对每个年龄和性别,获取无动脉硬化病灶的人群大范围变化的血压BP以及与之对应的PWV;通过曲线拟合的方法,获得每个年龄和性别所对应的函数参数kij和bij,形成参数的数据库Kij和BijFor each age and gender, obtain the blood pressure BP and the corresponding PWV of the population without arteriosclerosis lesions in a wide range; obtain the function parameters kij and bij corresponding to each age and gender by the method of curve fitting , forming a database of parameters Kij and Bij ;
Figure FDA0002333507210000012
Figure FDA0002333507210000012
Figure FDA0002333507210000013
Figure FDA0002333507210000013
其中,i=1,2,…,n(1≤n≤100);j=M/F(M为男性,F为女性)。Among them, i=1,2,...,n (1≤n≤100); j=M/F (M is male, F is female).
4.根据权利要求3所述的一种修正年龄性别和血压对脉搏波传播速度的影响的方法,其特征在于:所述获得无动脉硬化病灶的人群大范围变化的血压BP以及与之对应的PWV的方法是:4. A method for correcting the influence of age, gender and blood pressure on pulse wave propagation velocity according to claim 3, characterized in that: said obtaining blood pressure BP and corresponding The method of PWV is:选择需要进行外科手术且无动脉硬化病灶的人群作为采集对象,通过动脉穿刺监测并实时记录手术麻醉过程中动脉血压;Select the population who need surgery and without arteriosclerosis as the collection object, monitor the arterial blood pressure through arterial puncture and record the arterial blood pressure in real time during the surgical anesthesia;同时,采集与动脉血压时间对应的PWV;PWV通过检测脉搏波传播时间PTT和传播距离L,并通过以下关系来获得:At the same time, the PWV corresponding to the arterial blood pressure time is collected; PWV is obtained by detecting the pulse wave propagation time PTT and the propagation distance L, and through the following relationship:
Figure FDA0002333507210000021
Figure FDA0002333507210000021
5.根据权利要求3所述的一种修正年龄性别和血压对脉搏波传播速度的影响的方法,其特征在于:5. a kind of method that corrects the influence of age sex and blood pressure on pulse wave propagation velocity according to claim 3, is characterized in that:S2步骤中,通过以下方法建立PWV在固定年龄、性别和血压状态下的归一化模型:In step S2, a normalized model of PWV under a fixed age, gender and blood pressure state is established by the following methods:选择年龄为x、性别为M的函数参数kxM和bxM;选定一个血压状态BPx,计算在BPx下的PWVxM:Select function parameters kxM and bxM with age x and gender M; select a blood pressure state BPx, and calculate PWVxM under BPx:
Figure FDA0002333507210000022
Figure FDA0002333507210000022
6.根据权利要求5所述的一种修正年龄性别和血压对脉搏波传播速度的影响的方法,其特征在于:6. a kind of method that corrects the influence of age sex and blood pressure on pulse wave propagation velocity according to claim 5, is characterized in that:S3步骤中,通过归一化模型获得PWV相对于年龄、性别和血压的修正量:In step S3, the corrections of PWV relative to age, gender and blood pressure are obtained by normalizing the model:在血压BPx状态下,年龄为i岁、性别为j的无动脉硬化病灶人群相对于年龄为x岁、性别为M的无动脉硬化病灶人群,其PWV相对于年龄和性别的修正量为ΔPWV1Under the condition of blood pressure BPx, the correction of PWV relative to age and gender is ΔPWV1 for the age-i-year, gender-j without atherosclerotic lesions compared to the age-x-year-M without atherosclerosis-lesion population :
Figure FDA0002333507210000023
Figure FDA0002333507210000023
年龄为i岁、性别为j的无动脉硬化病灶人群的实际测量血压为BPm,相对与选定的血压BPx,PWV的修正量为ΔPWV2The actual measured blood pressure of the population without arteriosclerosis lesions of age i and gender j is BPm, and the correction of PWV relative to the selected blood pressure BPx is ΔPWV2 :
Figure FDA0002333507210000024
Figure FDA0002333507210000024
7.根据权利要求6所述的一种修正年龄性别和血压对脉搏波传播速度的影响的方法,其特征在于:7. a kind of method that corrects the influence of age sex and blood pressure on pulse wave propagation velocity according to claim 6, is characterized in that:S4步骤中,利用S3步骤中的修正量对年龄为i岁、性别为j的受试者实际测量的PWVm进行修正,修正后的PWVr为:In step S4, the PWVm actually measured by the subject whose age is i and gender is j is corrected by the correction amount in step S3, and the corrected PWVr is:
Figure FDA0002333507210000031
Figure FDA0002333507210000031
CN201911346488.2A2019-12-242019-12-24Method for correcting influence of age, sex and blood pressure on pulse wave propagation speedActiveCN111000537B (en)

Priority Applications (1)

Application NumberPriority DateFiling DateTitle
CN201911346488.2ACN111000537B (en)2019-12-242019-12-24Method for correcting influence of age, sex and blood pressure on pulse wave propagation speed

Applications Claiming Priority (1)

Application NumberPriority DateFiling DateTitle
CN201911346488.2ACN111000537B (en)2019-12-242019-12-24Method for correcting influence of age, sex and blood pressure on pulse wave propagation speed

Publications (2)

Publication NumberPublication Date
CN111000537Atrue CN111000537A (en)2020-04-14
CN111000537B CN111000537B (en)2022-05-27

Family

ID=70116041

Family Applications (1)

Application NumberTitlePriority DateFiling Date
CN201911346488.2AActiveCN111000537B (en)2019-12-242019-12-24Method for correcting influence of age, sex and blood pressure on pulse wave propagation speed

Country Status (1)

CountryLink
CN (1)CN111000537B (en)

Cited By (3)

* Cited by examiner, † Cited by third party
Publication numberPriority datePublication dateAssigneeTitle
CN110251105A (en)*2019-06-122019-09-20广州视源电子科技股份有限公司Noninvasive blood pressure measuring method, device, equipment and system
CN114176532A (en)*2021-12-312022-03-15北京大学人民医院Clinical verification method for determining cfPWV parameters and application system thereof
CN118873106A (en)*2024-09-182024-11-01荣耀终端有限公司 A method and electronic device for determining carotid-femoral artery pulse wave velocity

Citations (23)

* Cited by examiner, † Cited by third party
Publication numberPriority datePublication dateAssigneeTitle
CN1186646A (en)*1997-08-271998-07-08陈瑜Multiple parameter monitor and its detecting method
US6017313A (en)*1998-03-202000-01-25Hypertension Diagnostics, Inc.Apparatus and method for blood pressure pulse waveform contour analysis
JP2000316821A (en)*1999-05-062000-11-21Nippon Colin Co LtdLower/upper extremity blood pressure index measuring apparatus
JP2001190506A (en)*2000-01-172001-07-17Nippon Colin Co LtdArterial sclerosis evaluating device
JP2003010139A (en)*2001-07-022003-01-14Nippon Colin Co LtdMeasuring device for information on pulse wave propagation speed
JP2003116798A (en)*2001-10-102003-04-22Nippon Colin Co LtdBlood vessel disorder diagnostic system
CN1593330A (en)*2004-06-172005-03-16肖行贯Cardiovascular dynamics checking checkup method
EP1531732A2 (en)*2002-06-052005-05-25Wisconsin Alumni Research FoundationUltrasonic apparatus and method for providing quantitative indication of risk of coronary heart disease
CN101229058A (en)*2007-01-262008-07-30香港中文大学Initial calibration device for measuring arterial blood pressure by pulse wave transmission time method
US20090163821A1 (en)*2007-12-212009-06-25Csem Centre Suisse D'electronique Et De Microtechnique Sa-Recherche Et Dev.Method and apparatus for a continuous non-invasive and non-obstrusive monitoring of blood pressure
CN101810474A (en)*2010-01-222010-08-25徐亮禹Device for realizing no-invasive measurement of blood pressure and pulse wave velocity
CN102397064A (en)*2011-12-142012-04-04中国航天员科研训练中心Continuous blood pressure measuring device
CN103140165A (en)*2010-09-282013-06-05欧姆龙健康医疗事业株式会社Blood pressure information measurement device and method for calculating index for degree of arteriosclerosis using said device
CN104958064A (en)*2015-07-152015-10-07四川宇峰科技发展有限公司Wearable arteriosclerosis detector and pulse wave velocity detecting method
CN205814309U (en)*2016-04-292016-12-21张苏豫A kind of Intelligent alarm type blood pressure monitor system based on Internet of Things
US20170119265A1 (en)*2015-11-042017-05-04Sharp Laboratories of America (SLA), Inc.System and Method for using Demographic Data to Derive a Pulse Wave Velocity-Blood Pressure Transform
US20170119263A1 (en)*2015-11-042017-05-04Sharp Laboratories of America (SLA), Inc.System and Method for Deriving a Pulse Wave Velocity-Blood pressure Transform
CN106618517A (en)*2016-12-062017-05-10山东大学Method for evaluating arterial elastic function through pulse waves on basis of arm position variation
CN107920763A (en)*2015-07-162018-04-17普瑞温迪克斯有限责任公司Handle biological data
CN107961001A (en)*2017-12-202018-04-27中国科学院深圳先进技术研究院Appraisal procedure, device and the atherosclerosis detector of Degree of arteriosclerosis
CN108185996A (en)*2017-12-272018-06-22中国科学院深圳先进技术研究院Arteries age appraising model construction method and device
CN108523867A (en)*2018-03-282018-09-14武汉麦咚健康科技有限公司A kind of self calibration PPG non-invasive blood pressure measuring methods and system
US20190083045A1 (en)*2014-11-172019-03-21Rochester Institute Of TechnologyPulse Wave Velocity, Arterial Compliance, and Blood Pressure

Patent Citations (26)

* Cited by examiner, † Cited by third party
Publication numberPriority datePublication dateAssigneeTitle
CN1186646A (en)*1997-08-271998-07-08陈瑜Multiple parameter monitor and its detecting method
US6017313A (en)*1998-03-202000-01-25Hypertension Diagnostics, Inc.Apparatus and method for blood pressure pulse waveform contour analysis
US20030023173A1 (en)*1998-03-202003-01-30Hypertension Diagnostics, Inc.Apparatus and method for blood pressure pulse waveform contour analysis
JP2000316821A (en)*1999-05-062000-11-21Nippon Colin Co LtdLower/upper extremity blood pressure index measuring apparatus
JP2001190506A (en)*2000-01-172001-07-17Nippon Colin Co LtdArterial sclerosis evaluating device
JP2003010139A (en)*2001-07-022003-01-14Nippon Colin Co LtdMeasuring device for information on pulse wave propagation speed
JP2003116798A (en)*2001-10-102003-04-22Nippon Colin Co LtdBlood vessel disorder diagnostic system
EP1531732A2 (en)*2002-06-052005-05-25Wisconsin Alumni Research FoundationUltrasonic apparatus and method for providing quantitative indication of risk of coronary heart disease
CN1593330A (en)*2004-06-172005-03-16肖行贯Cardiovascular dynamics checking checkup method
CN101229058A (en)*2007-01-262008-07-30香港中文大学Initial calibration device for measuring arterial blood pressure by pulse wave transmission time method
US20090163821A1 (en)*2007-12-212009-06-25Csem Centre Suisse D'electronique Et De Microtechnique Sa-Recherche Et Dev.Method and apparatus for a continuous non-invasive and non-obstrusive monitoring of blood pressure
CN101810474A (en)*2010-01-222010-08-25徐亮禹Device for realizing no-invasive measurement of blood pressure and pulse wave velocity
US20130184596A1 (en)*2010-09-282013-07-18Omron Healthcare Co., Ltd.Blood pressure information measurement device and method of calculating arterial stiffness index with the device
CN103140165A (en)*2010-09-282013-06-05欧姆龙健康医疗事业株式会社Blood pressure information measurement device and method for calculating index for degree of arteriosclerosis using said device
CN102397064A (en)*2011-12-142012-04-04中国航天员科研训练中心Continuous blood pressure measuring device
US20190083045A1 (en)*2014-11-172019-03-21Rochester Institute Of TechnologyPulse Wave Velocity, Arterial Compliance, and Blood Pressure
CN104958064A (en)*2015-07-152015-10-07四川宇峰科技发展有限公司Wearable arteriosclerosis detector and pulse wave velocity detecting method
CN107920763A (en)*2015-07-162018-04-17普瑞温迪克斯有限责任公司Handle biological data
US20180199893A1 (en)*2015-07-162018-07-19Preventicus GmbhProcessing biological data
US20170119265A1 (en)*2015-11-042017-05-04Sharp Laboratories of America (SLA), Inc.System and Method for using Demographic Data to Derive a Pulse Wave Velocity-Blood Pressure Transform
US20170119263A1 (en)*2015-11-042017-05-04Sharp Laboratories of America (SLA), Inc.System and Method for Deriving a Pulse Wave Velocity-Blood pressure Transform
CN205814309U (en)*2016-04-292016-12-21张苏豫A kind of Intelligent alarm type blood pressure monitor system based on Internet of Things
CN106618517A (en)*2016-12-062017-05-10山东大学Method for evaluating arterial elastic function through pulse waves on basis of arm position variation
CN107961001A (en)*2017-12-202018-04-27中国科学院深圳先进技术研究院Appraisal procedure, device and the atherosclerosis detector of Degree of arteriosclerosis
CN108185996A (en)*2017-12-272018-06-22中国科学院深圳先进技术研究院Arteries age appraising model construction method and device
CN108523867A (en)*2018-03-282018-09-14武汉麦咚健康科技有限公司A kind of self calibration PPG non-invasive blood pressure measuring methods and system

Non-Patent Citations (6)

* Cited by examiner, † Cited by third party
Title
IOANNIS BARGIOTAS: "Evaluation of aortic flow alterations using MRI: Associations with left ventricular remodeling", 《COMPUTING IN CARDIOLOGY 2014》*
严恺等: "应用GAMLSS技术构建基于性别、年龄和身高的新疆7~17岁儿童青少年血压参考标准", 《中国循证儿科杂志》*
全晓莉等: "基于脉搏波的新型血压与血管硬度测量仪的研制", 《中国医学物理学杂志》*
姚建阁: "基于脉搏波的动脉弹性指数算法研究和临床试验分析", 《中国优秀硕士学位论文全文数据库(电子期刊)》*
彭万忠: "高血压病患者血压昼夜节律与性别、年龄关系的研究", 《中国医药导刊》*
黄晖明等: "脉搏波传导速度(PWV)在体质综合评价中的应用", 《中国体育科技》*

Cited By (5)

* Cited by examiner, † Cited by third party
Publication numberPriority datePublication dateAssigneeTitle
CN110251105A (en)*2019-06-122019-09-20广州视源电子科技股份有限公司Noninvasive blood pressure measuring method, device, equipment and system
CN114176532A (en)*2021-12-312022-03-15北京大学人民医院Clinical verification method for determining cfPWV parameters and application system thereof
CN114176532B (en)*2021-12-312023-06-23北京大学人民医院 A clinical verification method and application system for measuring cfPWV parameters
CN118873106A (en)*2024-09-182024-11-01荣耀终端有限公司 A method and electronic device for determining carotid-femoral artery pulse wave velocity
CN118873106B (en)*2024-09-182025-02-18荣耀终端有限公司Carotid artery-femoral artery pulse wave velocity determination method and electronic equipment

Also Published As

Publication numberPublication date
CN111000537B (en)2022-05-27

Similar Documents

PublicationPublication DateTitle
TWI669096B (en)Versatile monitoring device with a determining carotid artery pressure function
Tang et al.Measurement of local pulse wave velocity for carotid artery by using an ultrasound-based method
CN111000537B (en)Method for correcting influence of age, sex and blood pressure on pulse wave propagation speed
WO2012021765A2 (en)Methods and apparatus for determining arterial pulse wave velocity
Lüers et al.Arterial stiffness and elevated left ventricular filling pressure in patients at risk for the development or a previous diagnosis of HF—a subgroup analysis from the DIAST-CHF study
Huang et al.Comparison of different pulse waveforms for local pulse wave velocity measurement in healthy and hypertensive common carotid arteries in vivo
JP6239341B2 (en) Evaluation of arteriosclerosis degree by aortic blood flow waveform analysis
JP6865685B2 (en) Systems and methods for measuring arterial parameters
US20070004982A1 (en)Apparatus and method for early detection of cardiovascular disease using vascular imaging
Pasierski et al.Evaluation of aortic distensibility with transesophageal echocardiography
Xu et al.Online continuous measurement of arterial pulse pressure and pressure waveform using ultrasound
CN110960199B (en)System for double-variable measurement of arteriosclerosis degree
RU2511059C1 (en)Method for detecting high aortic rigidity in patients suffering cardiopathologies
RU2563229C1 (en)Method for assessing growing child's cardiovascular fitness at early pathology stages
KR102035731B1 (en)Method and apparatus for measuring pain depth using photoplethysmograph
CN117159035A (en)Coronary heart disease prediction system and equipment based on peripheral atherosclerosis integral
Mireles et al.A poor correlation exists between oscillometric and radial arterial blood pressure as measured by the Philips MP90 monitor
Xu et al.Continuous and noninvasive measurement of arterial pulse pressure and pressure waveform using an image-free ultrasound system
Graf et al.Non invasive assessment of carotid and femoral arterial pressure using B-mode ultrasound diameter waveforms
Xu et al.Evaluation of carotid artery blood pressure waveform using a wearable ultrasound patch
Park et al.Cuffless and noninvasive tonometry mean arterial pressure measurement by physiological characteristics and applied pressure
Lopez et al.Continuous blood pressure measurement in daily activities
Lee et al.Validation of a new index for estimating arterial stiffness: measurement of the QPV interval by Doppler ultrasound
Zanatta et al.COMPARATIVE ANALYSIS OF THE RESULTS IN ARTERIAL STIFFNESS BETWEEN TWO ASSESSMENT METHODS–SPHYGMOCOR AGAINST MOBIL-PULSE WAVE VELOCITY–IN HYPERTENSIVE PATIENTS
CN120168103A (en) Models for the diagnosis of sepsis cardiomyopathy

Legal Events

DateCodeTitleDescription
PB01Publication
PB01Publication
SE01Entry into force of request for substantive examination
SE01Entry into force of request for substantive examination
GR01Patent grant
GR01Patent grant

[8]ページ先頭

©2009-2025 Movatter.jp