Movatterモバイル変換


[0]ホーム

URL:


CN110988864A - MTI radar speed measuring method with frequency agility - Google Patents

MTI radar speed measuring method with frequency agility
Download PDF

Info

Publication number
CN110988864A
CN110988864ACN201911262770.2ACN201911262770ACN110988864ACN 110988864 ACN110988864 ACN 110988864ACN 201911262770 ACN201911262770 ACN 201911262770ACN 110988864 ACN110988864 ACN 110988864A
Authority
CN
China
Prior art keywords
target
phase
signal
mti
speed
Prior art date
Legal status (The legal status is an assumption and is not a legal conclusion. Google has not performed a legal analysis and makes no representation as to the accuracy of the status listed.)
Granted
Application number
CN201911262770.2A
Other languages
Chinese (zh)
Other versions
CN110988864B (en
Inventor
安政帅
Current Assignee (The listed assignees may be inaccurate. Google has not performed a legal analysis and makes no representation or warranty as to the accuracy of the list.)
CETC 20 Research Institute
Original Assignee
CETC 20 Research Institute
Priority date (The priority date is an assumption and is not a legal conclusion. Google has not performed a legal analysis and makes no representation as to the accuracy of the date listed.)
Filing date
Publication date
Application filed by CETC 20 Research InstitutefiledCriticalCETC 20 Research Institute
Priority to CN201911262770.2ApriorityCriticalpatent/CN110988864B/en
Publication of CN110988864ApublicationCriticalpatent/CN110988864A/en
Application grantedgrantedCritical
Publication of CN110988864BpublicationCriticalpatent/CN110988864B/en
Activelegal-statusCriticalCurrent
Anticipated expirationlegal-statusCritical

Links

Images

Classifications

Landscapes

Abstract

The invention provides a frequency agility MTI radar speed measurement method, which utilizes double transmitting and receiving channels to simultaneously transmit and receive signals with different frequencies, then performs signal level fusion on the signals of the two channels through signal processing to improve the detection performance, and simultaneously performs speed calculation by utilizing signal phase information of the two receiving channels without additionally transmitting redundant waveforms for speed ambiguity calculation. The invention adopts the simultaneous dual-frequency transmission, reduces the probability of the reconnaissance receiver intercepting the radar transmission signal, and simultaneously, the dual-frequency reception can effectively resist the narrow-band aiming type interference, overcomes the defect of weak electronic resistance in the existing MTI radar, realizes target detection by adopting dual-channel signal level fusion, does not need redundant waveforms to realize speed ambiguity resolution, overcomes the defect of serious energy loss by transmitting the redundant waveforms in the prior art, and effectively improves the comprehensive detection performance of the target.

Description

MTI radar speed measuring method with frequency agility
Technical Field
The invention relates to the technical field of radar target detection, in particular to a frequency agility MTI radar system structure and a speed measuring method.
Background
The modern radar is faced with increasingly complex tasks, and in order to improve the detection performance of the radar in a complex and variable environment, a plurality of advanced theories and methods are proposed, and a clutter suppression technology is one of key technologies. Moving object display technology, which is one of the earliest technologies for suppressing clutter, uses the doppler shift of the echo signal of a moving object to distinguish between a fixed object and a moving object. The low repetition frequency MTI radar increases the transmitted energy by transmitting a long pulse width, theoretically if the duty cycle and the total time are the same, the detection power of different repetition frequency radars is the same, because the average power and energy are the same, and in fact, the actual detection distance of the low repetition frequency radar is farther because there is no accumulated loss. The repetition frequency is low, the unambiguous Doppler frequency of the low repetition frequency radar is low, the velocity ambiguity is serious, the low repetition frequency radar is not suitable for pulse Doppler processing, the clutter resistance is weak, but with the development of the technology, the improvement factor of the current advanced MTI radar can reach 60 decibels, the capability of detecting a moving target in clutter can be effectively improved, and the anti-jamming capability of the radar is improved.
At present, the low-repetition-frequency MTI radar is mainly applied to the fields of remote early warning, space surveying and mapping and the like due to the characteristic of clear ranging, and due to the radar system, the low-repetition-frequency MTI radar has serious speed ambiguity when measuring the speed and is not suitable for measuring the speed. However, if the speed information of the target can be obtained, the point trace filtering can be performed by using the speed difference between the target and the clutter, so that a better clutter suppression effect can be achieved. In addition, the speed information of the target can improve the tracking precision of the target and also can roughly estimate the type of the target.
In recent years, the electromagnetic environment in which radar is located has become increasingly complex. In order to improve the anti-interference capability, the radar mostly adopts a frequency agility working mode. Pulse-to-pulse frequency agility has the important advantage of increasing the detectability of certain targets, and frequency agility also mitigates the deleterious effects of echo flicker in tracking radar, facilitating more accurate target tracking. In military radars, inter-pulse frequency agility will force enemy interference signal energy to be spread out over a wide bandwidth, rather than concentrating all energy within the narrow bandwidth of fixed frequency radars.
At present, the study on MTI radar speed measurement by domestic scholars is less. The MTI radar speed measurement algorithm based on phase unwrapping is provided by the inventor of Zweiweicheng et al in China, the algorithm adopts the phase unwrapping and the repetition frequency dispersion ambiguity solution method to realize the MTI radar speed measurement, but the algorithm needs to send six repetition frequency dispersion periods for ambiguity resolution, compared with a radar without ambiguity, redundant waveforms mean the energy loss with serious difference and can seriously affect the action distance of the radar, and waveforms sending the same working frequency for a long time are easily interfered by narrow-band aiming, so that target detection cannot be effectively realized, the ambiguity resolution effect difference of different repetition periods is large, and in order to improve the effect, special optimization design needs to be carried out on the repetition frequency periods. In recent years, in the field of radar technology, the development of multi-channel transmitting and receiving technology is rapid, but the current research mainly focuses on transmitting and receiving a single working frequency, that is, all transmitting and receiving channels are consistent, and the structural design is simple to implement, but the anti-interference performance is weak. The 2011 li founding nation proposes a linear channel and logarithmic channel dual-channel receiver, which not only completely retains the amplitude signal of the signal, but also expands the dynamic range of the receiver, but does not research the electronic impedance performance.
Disclosure of Invention
In order to overcome the defects of the prior art, the invention provides a speed measuring method of a frequency agile MTI radar, which overcomes the defects of weak anti-interference capability and serious energy loss of transmitted redundant waveform of the MTI radar in the prior art. Because single frequency transmission is adopted and redundant waveforms are transmitted in a repeated frequency staggered mode to solve the real speed of a target, the same frequency signal is transmitted for a long time and is extremely easy to be intercepted by a reconnaissance receiver and implement narrow-band aiming type interference, and the redundant waveforms transmitted in the repeated frequency staggered mode mean serious energy loss and can seriously influence the action power of a radar.
The technical scheme adopted by the invention for solving the technical problem comprises the following specific steps:
S1:in order to reduce the probability of interception of the transmitted signal by the reconnaissance receiver, the waveform generator generates a waveform and divides the waveform into two paths to be respectively sent to two transmitting channels, and the two transmitting channels respectively receive the local oscillation signal f sent by the local oscillation sourceLO1And fLO2Require | fLO1-fLO2If the frequency is more than 1GHz, the two paths of signals respectively radiate signals to a space target through the same antenna at different transmitting frequencies after up-conversion;
s2: in order to resist narrow-band aiming type interference, an antenna collects a target reflection signal and sends the target reflection signal to two receiving channels, and the two receiving channels respectively receive a local oscillation signal f sent by a local oscillation sourceLO1And fLO2Respectively completing the preprocessing of signal amplification, down conversion, AD conversion and digital down conversion, and then sending the signal to a signal processor;
s3: in order to improve the target detection performance, the signals preprocessed by the two receiving channels respectively complete pulse compression and MTI processing, then the signals processed by the MTI processing of the two receiving channels are subjected to non-coherent fusion to improve the signal-to-noise ratio, and target constant false alarm detection is completed, wherein the specific contents of the non-coherent fusion are as follows:
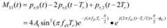
receiving channel-MTI processed signal M11(t)、M12(t) are respectively:
Figure BDA0002312018350000031
Figure BDA0002312018350000032
wherein A is1Representing the amplitude of a signal of the receiving channel, fd1Representing the Doppler frequency, TrWhich represents the pulse repetition period, is shown,
Figure BDA0002312018350000033
representing an initial phase value;
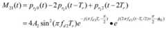
receiving channel two-MTI processed signal M21(t)、M22(t) is:
Figure BDA0002312018350000034
in the same way, there are
Figure BDA0002312018350000035
Wherein A is2Representing the amplitude of the two signals of the receiving channel, fd2Representing the Doppler frequency, TrThe pulse weight gain period is shown as,
Figure BDA0002312018350000036
representing an initial phase value;
receiving channel-MTI processed signal M11(t)、M12(t) and reception channel two MTI processed Signal M21(t)、M22(t) performing modulo value operation to obtain | M11(t)|、|M12(t)|、|M21(t)|、|M22(t) |, and then performing non-coherent fusion, namely:
M(t)=|M11(t)|+|M12(t)|+|M21(t)|+|M22(t)|
completing target detection on the non-coherent fused data M (t) by adopting a unit average constant false alarm algorithm to obtain a detection result D;
s4: in order to obtain the speed information of the target, the signals processed by the two receiving channels MTI in S3 and the detection result of the target constant false alarm are used to complete the resolution of the target speed by using the phase information and the screening method, which includes the following specific contents:
s41: according to the receiving channel-MTI processed signal M11(t) and reception channel two MTI processed Signal M12(t), and let initial time t be 0, calculate the phase value:
Phase11=-2πfd1Tr+π-φ01
Phase12=-4πfd1Tr+π-φ01
the phase difference value is:
phase_dif1=Phase11-Phase12=2πfd1Tr
this gives:
Figure BDA0002312018350000041
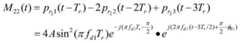
s42: according to the cancellation result M of the three pulses in S321(t) and M22(t), and let initial time t be 0, calculate the phase value:
Phase21=-2πfd2Tr+π-φ01
Phase22=-4πfd2Tr+π-φ01
the phase difference value is as follows:
phase_diff2=Phase21-Phase22=2πfd2Tr
this gives:
Figure BDA0002312018350000042
s43: will f isd1All possible corresponding target speeds are listed, namely:
Figure BDA0002312018350000043
N1=floor(2VmaxfR1/(frc) wherein V) ismaxTo target maximum possible speed, fR1For the transmit channel, a transmit frequency, c the speed of light, fr=1/TrIs the pulse repetition frequency;
will f isd2All possible corresponding target speeds are listed, namely:
Figure BDA0002312018350000044
N2=floor(2VmaxfR2/(frc) wherein V) ismaxTo target maximum possible speed, fR2For the emission channel two emission frequencies, c is the speed of light, fr=1/TrIs the pulse repetition frequency;
will be provided with
Figure BDA0002312018350000045
Each value of (1) is respectively
Figure BDA0002312018350000046
The difference value of each value is calculated and the absolute norm is obtained
Figure BDA0002312018350000047
In that
Figure BDA0002312018350000048
Search for the minimum value, if
Figure BDA0002312018350000049
Is the minimum value, then k1Or k2The target correct speed is finally obtained for the ambiguity
Figure BDA00023120183500000410
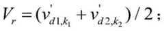
S5: detecting the target D in S3 and the speed information V of the target in S4rAnd sending the data to a subsequent data processing subsystem together for further completing target tracking.
The invention has the beneficial effects that: first, since the present invention employs simultaneous dual frequency transmission, it is possible
The probability of a reconnaissance receiver intercepting radar transmitted signals is reduced, and meanwhile, narrow-band aiming type interference can be effectively resisted by double-frequency receiving, so that the defect that the electronic countermeasure capability in the existing MTI radar is weak is overcome, and the method has the advantage of strong anti-interference capability; secondly, the invention adopts the dual-channel signal level fusion to realize the target detection and does not need redundant waveforms to realize the speed ambiguity resolution, thereby overcoming the defect of serious energy loss by transmitting the redundant waveforms in the prior art and effectively improving the comprehensive detection performance of the target. Therefore, the invention effectively solves the problems of weak anti-interference capability and low utilization rate of transmitting energy of the MTI radar, and provides powerful technical support for realizing remote target detection in a complex electromagnetic environment.
Drawings
Fig. 1 is a schematic block diagram of a frequency agile MTI radar according to the present invention.
Fig. 2 is a schematic diagram of the variation of the speed measurement accuracy with the signal-to-noise ratio according to the present invention.
Fig. 3 is a detection probability curve of the present invention and the conventional method under different signal-to-noise ratios under the same false alarm rate.
Detailed Description
The invention is further illustrated with reference to the following figures and examples.
The invention utilizes the technology of simultaneously transmitting and receiving signals with different frequencies by two channels, thereby not only effectively improving the detection and speed measurement performance of the target, but also improving the comprehensive anti-interference capability and providing powerful technical support for the practical use of the method in the MTI radar.
The invention provides a frequency agility MTI radar speed measurement method, which not only can effectively detect the speed of a target, but also can obviously improve the detection performance and the comprehensive anti-interference capability of a radar, and lays a technical foundation for improving the comprehensive detection capability of the radar in a defense area.
Referring to fig. 1, a schematic block diagram of a frequency agile MTI radar system structure and a speed measurement method according to the present invention is shown. The invention relates to a method for measuring the speed of a frequency agility MTI radar, which comprises the following steps:
s1: referring to fig. 1, a waveform generator generates four pulse periodic waveforms and divides the waveforms into two paths of signals, one of which is sent to a first transmission channel and a local oscillation signal f sent from a local oscillation sourceLO1Performing up-conversion, filtering, amplifying, and processing by circulator at RF frequency fR1Radiating a signal to a spatial target; at the same time, the other path of signal is sent to the local oscillation signal f sent by the second transmission channel and the local oscillation sourceLO2Performing up-conversion, filtering, amplifying, and processing by circulator at RF frequency fR2Radiating a signal to a target in space, requiring | fLO1-fLO2| > 1GHz, i.e. | fR1-fR2|>1GHz。
S2: the antenna collects the target reflection signal and sends the target reflection signal to two receiving channels through a circulator: receiving a local oscillation signal f sent by a local oscillation source after a target echo signal is received by a first receiving channel and is subjected to amplification and filtering processingLO1Finishing down-conversion treatment, and obtaining a four-pulse signal set of a receiving channel I through AD conversion and digital down-conversion filtering treatment after filtering and amplifying
Figure BDA0002312018350000061
Namely:
Figure BDA0002312018350000062
Trdenotes the pulse repetition period, r1It is indicated that the receiving channel one,
Figure BDA0002312018350000063
indicates the first pulse signal of the receiving channel, and l indicates the pulse number.
The second receiving channel receives the local oscillation signal f sent by the local oscillation source after the target echo signal is amplified and filteredLO1Finishing down-conversion treatment, and obtaining a four-pulse signal set of a second receiving channel through AD conversion and digital down-conversion filtering treatment after filtering and amplifying
Figure BDA0002312018350000064
Namely:
Figure BDA0002312018350000065
here TrDenotes the pulse repetition period, r2It is indicated that the receiving channel one,
Figure BDA0002312018350000066
indicates the first pulse signal of the receiving channel, and l indicates the pulse number.
S3: the signals preprocessed by the two receiving channels respectively complete pulse compression and MTI processing, and then the signals preprocessed by the two receiving channels MTI are subjected to non-coherent fusion, and the implementation is as follows:
s31: receiving channel one according to the preprocessed signal S in S2r1(t) respectively completing the pulse compression treatment to obtain the result after the pulse compression
Figure BDA0002312018350000067
The signal model is represented as:
Figure BDA0002312018350000068
Figure BDA0002312018350000069
Figure BDA00023120183500000610
Figure BDA00023120183500000611
wherein A is1Representing the amplitude of a signal of the receiving channel, fd1Representing the Doppler frequency, TrWhich represents the pulse repetition period, is shown,
Figure BDA00023120183500000614
representing the initial phase value.
And (3) three-pulse cancellation MTI treatment:
Figure BDA00023120183500000612
Figure BDA00023120183500000613
s32: the second receiving channel is based on the preprocessed signal S in S2r2(t) respectively completing the pulse compression treatment to obtain the result after the pulse compression
Figure BDA0002312018350000071
Signal moduleThe type is represented as:
Figure BDA0002312018350000072
Figure BDA0002312018350000073
Figure BDA0002312018350000074
Figure BDA0002312018350000075
wherein A is2Representing the amplitude of the two signals of the receiving channel, fd2Representing the Doppler frequency, TrThe pulse weight gain period is shown as,
Figure BDA0002312018350000076
representing the initial phase value.
And (3) three-pulse cancellation MTI treatment:
Figure BDA0002312018350000077
in the same way, there are
Figure BDA0002312018350000078
S33: receiving channel-MTI processed signal M11(t)、M12(t) and reception channel two MTI processed Signal M21(t)、M22(t) performing modulo value operation to obtain | M11(t)|、|M12(t)|、|M21(t)|、|M22(t) |, and then subjected to non-coherent fusion, i.e.
M(t)=|M11(t)|+|M12(t)|+|M21(t)|+|M22(t)|
S34: and (4) completing target detection on the data M (t) after non-coherent fusion in the S33 by adopting a traditional unit average constant false alarm algorithm to obtain a detection result D.
S4: and (3) utilizing the signals processed by the two receiving channels MTI in S31 and S32, the target constant false alarm detection result and the phase information to complete the calculation of the target real speed by adopting a screening method, and concretely implementing the following steps:
s41: according to the receiving channel-MTI processed signal M11(t) and reception channel two MTI processed Signal M12(t), and let initial time t be 0, calculate the phase value:
Phase11=-2πfd1Tr+π-φ01
Phase12=-4πfd1Tr+π-φ01
the phase difference value is:
phase_diff1=Phase11-Phase12=2πfd1Tr
this gives:
Figure BDA0002312018350000081
s42: according to the cancellation result M of the three pulses in S321(t) and M22(t), and let initial time t be 0, calculate the phase value:
Phase21=-2πfd2Tr+π-φ01
Phase22=-4πfd2Tr+π-φ01
the phase difference value is as follows:
phase_diiff2=Phase21-Phase22=2πfd2Tr
this gives:
Figure BDA0002312018350000082
s43: will f isd1All possible corresponding target speeds are listed, namely:
Figure BDA0002312018350000083
N1=floor(2VmaxfR1/(frc) wherein V) ismaxTo target maximum possible speed, fR1For the transmit channel, a transmit frequency, c the speed of light, fr=1/TrIs the pulse repetition frequency;
will f isd2All possible corresponding target speeds are listed, namely:
Figure BDA0002312018350000084
N2=floor(2VmaxfR2/(frc) wherein V) ismaxTo target maximum possible speed, fR2For the emission channel two emission frequencies, c is the speed of light, fr=1/TrIs the pulse repetition frequency;
will be provided with
Figure BDA0002312018350000085
Each value of (1) is respectively
Figure BDA0002312018350000086
The difference value of each value is calculated and the absolute norm is obtained
Figure BDA0002312018350000087
In that
Figure BDA0002312018350000088
Search for the minimum value, if
Figure BDA0002312018350000089
Is the minimum value, then k1Or k2The target correct speed is finally obtained for the ambiguity
Figure BDA00023120183500000810
S5: detecting the target D in S3 and the speed information V of the target in S4rConstituent target detection information R ═ { D, VrAnd sending the data to a subsequent data processing subsystem to further complete target tracking.
The effect of the present invention is further explained by simulation experiments.
Simulation experiment contents: setting the transmitting waveform as linear frequency modulation signal with time width of 100 mus, bandwidth of 4MHz and pulse repetition period Tr1000 mus, target speed [100m/s,1500m/s]Randomly generated, radar transmission channel-transmission frequency fR10.9GHz, two transmitting frequencies f of radar transmitting channelR2The number of monte carlo tests was 1000 times at 2 GHz. Experiments are carried out in MATLAB13.0a software, and target speed calculation is carried out according to the method provided by the invention to obtain the real speed of the target. Referring to fig. 2, a schematic diagram of speed correct resolution probability variation under different signal-to-noise ratios is shown, in fig. 2, a horizontal axis represents the signal-to-noise ratio (unit: decibel), and a vertical axis represents the detection probability; referring to fig. 3, it is a detection probability curve of the method of the present invention and the conventional method under the condition of the same false alarm rate and different signal-to-noise ratios, in fig. 3, the horizontal axis represents the signal-to-noise ratio (unit: decibel) and the vertical axis represents the detection probability.
From fig. 2, it can be seen that the method provided by the invention has a high probability of correctly resolving the target speed under a certain signal-to-noise ratio; from fig. 3, it can be seen that the method provided by the present invention has better detection performance compared with the conventional method, thereby proving the effectiveness of the present invention.
It will be apparent to those skilled in the art that various changes and modifications may be made in the present invention without departing from the spirit and scope of the invention. Thus, if such modifications and variations of the present invention fall within the scope of the claims of the present invention and their equivalents, the present invention is also intended to include such modifications and variations.

Claims (1)

Translated fromChinese
1.一种频率捷变MTI雷达测速方法,其特征在于包括下述步骤:1. a frequency agility MTI radar speed measurement method is characterized in that comprising the following steps:S1:为了降低发射信号被侦察接收机截获概率,波形产生器产生波形并功分两路分别送给两个发射通道,两个发射通道分别接收本振源送来的本振信号fLO1和fLO2,要求|fLO1-fLO2|>1GHz,经上变频后两路信号分别以不同的发射频率通过同一天线向空间目标辐射信号;S1: In order to reduce the probability of the transmitted signal being intercepted by the reconnaissance receiver, the waveform generator generates a waveform and divides the power into two channels and sends them to two transmitting channels respectively. The two transmitting channels receive the local oscillator signals fLO1 and f sent by the local oscillator source respectively.LO2 , it is required that |fLO1 -fLO2 |>1GHz, after up-conversion, the two signals respectively radiate signals to the space target through the same antenna at different transmit frequencies;S2:为对抗窄带瞄准式干扰,天线收集目标反射信号送两个接收通道,两个接收通道分别接收本振源送来的本振信号fLO1和fLO2分别完成信号放大、下变频、AD变换和数字下变频的预处理,然后送信号处理机;S2: In order to combat narrow-band aiming interference, the antenna collects the reflected signal of the target and sends it to two receiving channels. The two receiving channels respectively receive the local oscillator signal fLO1 and fLO2 sent by the local oscillator source to complete signal amplification, down-conversion and AD conversion respectively. and digital down-conversion preprocessing, and then sent to the signal processor;S3:为提高目标探测性能,两个接收通道预处理后的信号分别完成脉冲压缩和MTI处理,然后将两个接收通道MTI处理后的信号进行非相参融合以提高信噪比,并完成目标恒虚警检测,非相参融合的具体内容如下:S3: In order to improve the target detection performance, pulse compression and MTI processing are performed on the preprocessed signals of the two receiving channels, respectively, and then the MTI-processed signals from the two receiving channels are non-coherently fused to improve the signal-to-noise ratio and complete the target. Constant false alarm detection, the specific content of non-coherent fusion is as follows:接收通道一MTI处理后的信号M11(t)、M12(t)分别为:Signals M11 (t) and M12 (t) processed by receiving channel one MTI are respectively:
Figure FDA0002312018340000011
Figure FDA0002312018340000011
Figure FDA0002312018340000012
Figure FDA0002312018340000012
其中,A1表示接收通道一信号幅度,fd1表示多普勒频率,Tr表示脉冲重复周期,
Figure FDA0002312018340000013
表示初始相位值;
Among them, A1 represents the signal amplitude of the receiving channel, fd1 represents the Doppler frequency,Tr represents the pulse repetition period,
Figure FDA0002312018340000013
represents the initial phase value;
接收通道二MTI处理后的信号M21(t)、M22(t)为:The signals M21 (t) and M22 (t) processed by the MTI of the receiving channel 2 are:
Figure FDA0002312018340000014
Figure FDA0002312018340000014
同理,有Similarly, there are
Figure FDA0002312018340000015
Figure FDA0002312018340000015
其中A2表示接收通道二信号幅度,fd2表示多普勒频率,Tr表示脉重得周期,
Figure FDA0002312018340000016
表示初始相位值;
where A2 represents the signal amplitude of the receiving channel 2, fd2 represents the Doppler frequency,Tr represents the pulse weight cycle,
Figure FDA0002312018340000016
represents the initial phase value;
将接收通道一MTI处理后的信号M11(t)、M12(t)和接收通道二MTI处理后的信号M21(t)、M22(t)分别进行取模值运算,得到|M11(t)|、|M12(t)|、|M21(t)|、|M22(t)|,然后进行非相参融合,即:The signals M11 (t) and M12 (t) processed by MTI of receiving channel one and the signals M21 (t) and M22 (t) processed by MTI of receiving channel two are respectively subjected to modulo operation to obtain |M11 (t)|, |M12 (t)|, |M21 (t)|, |M22 (t)|, and then perform non-coherent fusion, that is:M(t)=|M11(t)|+|M12(t)|+|M21(t)|+|M22(t)|M(t)=|M11 (t)|+|M12 (t)|+|M21 (t)|+|M22 (t)|对非相参融合后的数据M(t)采用单元平均恒虚警算法完成目标检测,得到检测结果D;For the non-coherently fused data M(t), the unit average constant false alarm algorithm is used to complete the target detection, and the detection result D is obtained;S4:为了获得目标的速度信息,利用S3中两个接收通道MTI处理后的信号和目标恒虚警检测结果利用相位信息采用筛选法完成目标速度的解算,具体内容如下:S4: In order to obtain the speed information of the target, use the signal processed by the MTI of the two receiving channels in S3 and the detection result of the target constant false alarm, and use the phase information to complete the calculation of the target speed by the screening method. The details are as follows:S41:根据接收通道一MTI处理后的信号M11(t)和接收通道二MTI处理后的信号M12(t),并令初始时刻t=0,计算相位值:S41: Calculate the phase value according to the signal M11 (t) processed by the MTI of the receiving channel 1 and the signal M12 (t) processed by the MTI of the receiving channel 2, and set the initial time t=0:Phase11=-2πfd1Tr+π-φ01Phase11 = -2πfd1 Tr +π-φ01Phase12=-4πfd1Tr+π-φ01Phase12 = -4πfd1 Tr +π-φ01相位差值为:The phase difference is:phase_diif1=Phase11-Phase12=2πfd1Trphase_diif1 =Phase11 -Phase12 =2πfd1 Tr由此得到:This results in:
Figure FDA0002312018340000021
Figure FDA0002312018340000021
S42:根据S3中三脉冲对消结果M21(t)和M22(t),并令初始时刻t=0,计算相位值:S42: According to the three-pulse cancellation results M21 (t) and M22 (t) in S3, and set the initial time t=0, calculate the phase value:Phase21=-2πfd2Tr+π-φ01Phase21 =-2πfd2 Tr +π-φ01Phase22=-4πfd2Tr+π-φ01Phase22 =-4πfd2 Tr +π-φ01其相位差值:Its phase difference value:phase_diff2=Phase21-Phase22=2πfd2Trphase_diff2 =Phase21 -Phase22 =2πfd2 Tr由此得到:This results in:
Figure FDA0002312018340000022
Figure FDA0002312018340000022
S43:将fd1所有可能的对应目标速度一一列出,即:S43: List all possible corresponding target speeds of fd1 one by one, namely:
Figure FDA0002312018340000023
Figure FDA0002312018340000023
N1=floor(2VmaxfR1/(frc)),其中Vmax为目标最大可能速度,fR1为发射通道一发射频率,c为光速,fr=1/Tr为脉冲重复频率;N1 =floor(2Vmax fR1 /(fr c)), where Vmax is the maximum possible speed of the target, fR1 is the emission frequency of the emission channel, c is the speed of light, and fr =1/Tr is the pulse repetition frequency ;将fd2所有可能的对应目标速度一一列出,即:List all possible corresponding target speeds of fd2 one by one, namely:
Figure FDA0002312018340000031
Figure FDA0002312018340000031
N2=floor(2VmaxfR2/(frc)),其中Vmax为目标最大可能速度,fR2为发射通道二发射频率,c为光速,fr=1/Tr为脉冲重复频率;N2 =floor(2Vmax fR2 /(fr c)), where Vmax is the maximum possible speed of the target, fR2 is the emission frequency of the emission channel 2, c is the speed of light, and fr =1/Tr is the pulse repetition frequency ;
Figure FDA0002312018340000032
中的每一个值分别与
Figure FDA0002312018340000033
中每一个值求取差值并取绝对值范数,得
Will
Figure FDA0002312018340000032
Each value in
Figure FDA0002312018340000033
Calculate the difference of each value in and take the absolute value norm, we get
Figure FDA0002312018340000034
Figure FDA0002312018340000034
Figure FDA0002312018340000035
中搜索最小值,若
Figure FDA0002312018340000036
为最小值,则k1或k2为所求的模糊度,最后得到目标正确的速度为
Figure FDA0002312018340000037
exist
Figure FDA0002312018340000035
search for the minimum value in , if
Figure FDA0002312018340000036
is the minimum value, then k1 or k2 is the desired ambiguity, and finally the correct speed of the target is obtained as
Figure FDA0002312018340000037
S5:将S3中目标检测结果D和S4中目标的速度信息Vr一起送后续数据处理分系统,用于进一步完成目标跟踪。S5: Send the target detection result D in S3 and the speed information Vr of the target in S4 together to the subsequent data processing subsystem for further completion of target tracking.
CN201911262770.2A2019-12-112019-12-11 A Frequency-Agile MTI Radar Velocity Measurement MethodActiveCN110988864B (en)

Priority Applications (1)

Application NumberPriority DateFiling DateTitle
CN201911262770.2ACN110988864B (en)2019-12-112019-12-11 A Frequency-Agile MTI Radar Velocity Measurement Method

Applications Claiming Priority (1)

Application NumberPriority DateFiling DateTitle
CN201911262770.2ACN110988864B (en)2019-12-112019-12-11 A Frequency-Agile MTI Radar Velocity Measurement Method

Publications (2)

Publication NumberPublication Date
CN110988864Atrue CN110988864A (en)2020-04-10
CN110988864B CN110988864B (en)2022-10-04

Family

ID=70092209

Family Applications (1)

Application NumberTitlePriority DateFiling Date
CN201911262770.2AActiveCN110988864B (en)2019-12-112019-12-11 A Frequency-Agile MTI Radar Velocity Measurement Method

Country Status (1)

CountryLink
CN (1)CN110988864B (en)

Cited By (5)

* Cited by examiner, † Cited by third party
Publication numberPriority datePublication dateAssigneeTitle
CN111337902A (en)*2020-04-292020-06-26杭州爱莱达科技有限公司Multi-channel high-repetition-frequency large-dynamic-range distance and speed measuring laser radar method and device
CN111693995A (en)*2020-06-172020-09-22中国科学院光电技术研究所Inverse synthetic aperture laser radar imaging vibration phase error estimation device and method
CN112485772A (en)*2020-11-282021-03-12中国电子科技集团公司第二十研究所Clutter suppression method for inter-pulse frequency agility radar
CN113138369A (en)*2021-03-292021-07-20核工业西南物理研究院Microwave detector based on spread spectrum modulation
CN116840804A (en)*2023-08-282023-10-03中国人民解放军空军预警学院Speed false target suppression method and device based on dual carrier frequency pulse

Citations (4)

* Cited by examiner, † Cited by third party
Publication numberPriority datePublication dateAssigneeTitle
EP1923718A1 (en)*2006-11-162008-05-21Omron CorporationMeasuring system and method, measuring apparatus and method, and information processing apparatus and method
CN106646446A (en)*2017-03-152017-05-10中国人民解放军国防科学技术大学Detection method for moving target of pulse compression frequency-agile radar
CN110109078A (en)*2019-05-052019-08-09西安电子科技大学Velocity solution blur method based on coherent frequency agile radar
CN110426701A (en)*2019-09-032019-11-08河海大学A kind of quick frequency conversion radar target speed measurement method based on speed dimension rarefaction representation

Patent Citations (4)

* Cited by examiner, † Cited by third party
Publication numberPriority datePublication dateAssigneeTitle
EP1923718A1 (en)*2006-11-162008-05-21Omron CorporationMeasuring system and method, measuring apparatus and method, and information processing apparatus and method
CN106646446A (en)*2017-03-152017-05-10中国人民解放军国防科学技术大学Detection method for moving target of pulse compression frequency-agile radar
CN110109078A (en)*2019-05-052019-08-09西安电子科技大学Velocity solution blur method based on coherent frequency agile radar
CN110426701A (en)*2019-09-032019-11-08河海大学A kind of quick frequency conversion radar target speed measurement method based on speed dimension rarefaction representation

Non-Patent Citations (1)

* Cited by examiner, † Cited by third party
Title
崔炜程 等: "一种基于相位解缠的MTI雷达测速算法", 《电子技术与软件工程》, 31 December 2015 (2015-12-31), pages 143*

Cited By (10)

* Cited by examiner, † Cited by third party
Publication numberPriority datePublication dateAssigneeTitle
CN111337902A (en)*2020-04-292020-06-26杭州爱莱达科技有限公司Multi-channel high-repetition-frequency large-dynamic-range distance and speed measuring laser radar method and device
CN111337902B (en)*2020-04-292021-11-23杭州爱莱达科技有限公司Multi-channel high-repetition-frequency large-dynamic-range distance and speed measuring laser radar method and device
CN111693995A (en)*2020-06-172020-09-22中国科学院光电技术研究所Inverse synthetic aperture laser radar imaging vibration phase error estimation device and method
CN111693995B (en)*2020-06-172023-10-03中国科学院光电技术研究所Inverse synthetic aperture laser radar imaging vibration phase error estimation device and method
CN112485772A (en)*2020-11-282021-03-12中国电子科技集团公司第二十研究所Clutter suppression method for inter-pulse frequency agility radar
CN112485772B (en)*2020-11-282023-11-10中国电子科技集团公司第二十研究所Inter-pulse agile radar clutter suppression method
CN113138369A (en)*2021-03-292021-07-20核工业西南物理研究院Microwave detector based on spread spectrum modulation
CN113138369B (en)*2021-03-292023-08-15核工业西南物理研究院Microwave detector based on spread spectrum modulation
CN116840804A (en)*2023-08-282023-10-03中国人民解放军空军预警学院Speed false target suppression method and device based on dual carrier frequency pulse
CN116840804B (en)*2023-08-282023-11-10中国人民解放军空军预警学院Speed false target suppression method and device based on dual carrier frequency pulse

Also Published As

Publication numberPublication date
CN110988864B (en)2022-10-04

Similar Documents

PublicationPublication DateTitle
CN110988864B (en) A Frequency-Agile MTI Radar Velocity Measurement Method
CN107037410B (en)Method and device for interfering radar and frequency control array jammer
CN109613506B (en) A Random Frequency Hopping Repeated Frequency Agility Radar Target Echo Signal Detection Method
CN104931938B (en)Coherent frequency-agile radar clutter suppression method and system
CN113093123B (en) A jammer against pulse Doppler radar and its jamming method
US20240142571A1 (en)Method of radar jamming based on frequency diverse array jammer
CN101470202A (en)Pulse Doppler radar system and its signal processing method
CN108562892A (en)A kind of UAV system passive bistatic radar device and object localization method
CN116068501B (en)Method for generating anti-interference radio altimeter modulation signal
CN111123218A (en)Track deception jamming system and method for airborne early warning PD radar
CN114019462A (en)Method for improving low interception performance and anti-interference performance of radar
CN113759359B (en)Passive bistatic radar receiving device based on empty pipe radar and target detection method
CN113985376A (en)Radar comprehensive display and control excitation system
CN103048695B (en)Based on the sniffer of combination Barker code burst
CN110609264B (en) A target echo Doppler frequency estimation method for pulsed lidar
CN108508413A (en)Target detection method based on probability statistics under low signal-to-noise ratio condition
CN113030878A (en)Non-uniform intermittent sampling random forwarding interference method for space-time adaptive processing
CN118244223A (en)Multi-base radar distance deception jamming recognition and high-speed target detection method
CN115616629B (en)Moving target detection compensation method based on space-based external radiation source signals
Madhupriya et al.Implementation of compressed wave pulsed radar altimeter in signal processing
Huang et al.Human target enhancement based on radon Fourier transform in through-wall imaging radar
CN111077515A (en) A Target Detection Method Based on Analog TV External Radiation Source Radar
Wang et al.Bistatic ISAR imaging based on BP algorithm
Zhu et al.A novel method of wideband radar signal detection
RU2713380C1 (en)Digital signal processing method in pulse-doppler radar with high repetition rate and device for its implementation

Legal Events

DateCodeTitleDescription
PB01Publication
PB01Publication
SE01Entry into force of request for substantive examination
SE01Entry into force of request for substantive examination
GR01Patent grant
GR01Patent grant

[8]ページ先頭

©2009-2025 Movatter.jp