Movatterモバイル変換


[0]ホーム

URL:


CN110988079A - In vitro diagnostic test strip preparation method and diagnostic test method - Google Patents

In vitro diagnostic test strip preparation method and diagnostic test method
Download PDF

Info

Publication number
CN110988079A
CN110988079ACN201911330087.8ACN201911330087ACN110988079ACN 110988079 ACN110988079 ACN 110988079ACN 201911330087 ACN201911330087 ACN 201911330087ACN 110988079 ACN110988079 ACN 110988079A
Authority
CN
China
Prior art keywords
electrode
time
current
oxidoreductase
electron mediator
Prior art date
Legal status (The legal status is an assumption and is not a legal conclusion. Google has not performed a legal analysis and makes no representation as to the accuracy of the status listed.)
Withdrawn
Application number
CN201911330087.8A
Other languages
Chinese (zh)
Inventor
贾晓轻
Current Assignee (The listed assignees may be inaccurate. Google has not performed a legal analysis and makes no representation or warranty as to the accuracy of the list.)
Individual
Original Assignee
Individual
Priority date (The priority date is an assumption and is not a legal conclusion. Google has not performed a legal analysis and makes no representation as to the accuracy of the date listed.)
Filing date
Publication date
Application filed by IndividualfiledCriticalIndividual
Priority to CN201911330087.8ApriorityCriticalpatent/CN110988079A/en
Publication of CN110988079ApublicationCriticalpatent/CN110988079A/en
Withdrawnlegal-statusCriticalCurrent

Links

Classifications

Landscapes

Abstract

A method for preparing test strip for in vitro diagnosis of electrochemical analysis features that the contents of glucose, urea, uric acid, lactic acid, choline, galactose, glutamic acid and polypeptide in biological sample are detected by amperometric biosensor. The electrochemical analysis in-vitro diagnostic test strip is provided with a fourth electrode formed at a time different from that of the working electrode, and the fourth electrode is used for correcting current errors caused by oxidation or reduction of the electron mediator, so that the in-vitro diagnostic result is more accurate.

Description

In vitro diagnostic test strip preparation method and diagnostic test method
Technical Field
The invention relates to the technical field of electrochemical analysis, in particular to a preparation method of an electrochemical analysis in-vitro diagnostic test strip and a diagnostic test method of the prepared in-vitro diagnostic test strip.
Background
A sensor is a device that acquires and processes information. The biosensor is a special sensor, which uses biological active units (such as enzyme, antibody, nucleic acid, cell, etc.) as biological sensitive elements, and captures measurable electric signals which are generated by the reaction between a target object and the sensitive elements and are in proportion to the concentration of the target object through various physical and chemical signal converters, so as to realize an analytical instrument for quantitatively measuring the target object.
The electrochemical biosensor is an instrument which takes enzyme as a molecular recognition element, is fixed on a basic electrode, is immersed in a base solution and generates an enzyme catalyzed chemical reaction with a substance to be detected. And converting the signal in the reaction into an electric signal through a converter, and detecting the concentration of the liquid to be detected through the linear relation between the concentration of the liquid to be detected and the electric signal. Up to now, the electrochemical biosensor of the amperometric type is an important clinical diagnostic biosensor, and the measured objects include substrates of enzymes such as glucose, urea, uric acid, lactic acid, choline, galactose, glutamic acid, polypeptide, and the like.
The most used in amperometric biosensors are oxidoreductases, the most common of which are various oxidases and dehydrogenases. The enzyme is easy to deform after being adsorbed on the surface of an electrode, so that direct electron transfer between the enzyme and the electrode is difficult. Therefore, an electron mediator is required to transfer electrons between the enzyme and the electrode. An enzyme in which an oxidase is reduced during oxidation of a substrate; the reduced enzyme reduces the oxidized mediator to a reduced mediator; the reduced mediator is oxidized at the electrode to produce a current signal. Commonly used electron mediators include ferrocene and its derivatives, ferricyanate, quinones and derivatives, tetracyanoquinomethane or fullerenes, etc.
A problem with electrochemical sensors during detection is that they can not only react electrochemically with the analyte to be measured (or a by-product of an enzymatic reaction with the analyte), but also react with other electroactive chemical components that are not intended to be measured, thereby affecting an accurate determination of the analyte concentration. The sources of the interference signals include interference signals caused by interferents in the sample and additional current signals caused by oxidation or reduction of the electron mediator in the measuring electrode under the influence of illumination, stability and the like in the environment with time. The technical means adopted in the prior art comprises that a blank electrode is arranged, and interference signals are eliminated in a signal subtraction mode; the working electrode current signal is corrected using a logical decision relationship and an algorithmic process between the background signal contribution and the blank electrode signal, as described in prior art document 2.
Prior art document 1: CN106290530A
Prior art document 2: CN105891297A
However, the method of prior art document 1 can only eliminate the interference signal of the interferent in the sample, and the background signal base value of prior art document 2 is obtained in advance by a plurality of samples, but due to individual differences, the interferent actually detected in different samples is different, and the background signal thereof cannot accurately reflect the level of the interferent in the actual samples.
Disclosure of Invention
The invention provides a preparation method of a chemical analysis in-vitro diagnostic test strip and a diagnostic test method of the prepared in-vitro diagnostic test strip, which can eliminate detection errors more accurately so as to provide an accurate analyte concentration measurement result.
The invention provides a preparation method of an electrochemical analysis in-vitro diagnostic test strip, which comprises the following steps: forming a fourth electrode on a substrate, modifying oxidoreductase and an electron mediator on the surface of the fourth electrode, and recording the time for modifying the oxidoreductase and the electron mediator on the surface of the fourth electrode; after a certain time interval, forming a first electrode, a second electrode and a third electrode on the substrate; the first electrode is a working electrode, the physical properties of the working electrode are the same as those of the fourth electrode, the surface of the first electrode is modified with the oxidoreductase and the electron mediator which are the same as those of the fourth electrode, and the time for modifying the oxidoreductase and the electron mediator on the surface of the first electrode is recorded; the second electrode is a counter electrode; the third electrode is a blank electrode, the physical properties of the third electrode are the same as those of the fourth electrode, but the surface of the third electrode is not modified with oxidoreductase and an electron mediator; and generating a label which contains time information of the fourth electrode surface modified oxidoreductase and the electron mediator and time information of the first electrode surface modified oxidoreductase and the electron mediator, and attaching the label to the back surface of the substrate.
Preferably, the first electrode, the second electrode, the third electrode, and the fourth electrode are formed by screen printing, physical vapor deposition, or chemical vapor deposition.
Preferably, the first electrode, the third electrode, and the fourth electrode are metal electrodes or carbon electrodes.
Preferably, the second electrode is a silver/silver chloride electrode.
Preferably, the surface-modified oxidoreductase and the electron mediator are formed by preparing a solution containing the oxidoreductase and the electron mediator, dropping the solution on the surface of the electrode, drying the solution on the electrode, and then solidifying the solution.
Preferably, the first electrode, the third electrode and the fourth electrode are equidistant from the second electrode.
Preferably, the substrate is an insulating substrate.
Preferably, the insulating substrate is a PET sheet, a PC sheet, or a PVC sheet.
Preferably, the specific time period is greater than 100 days.
Preferably, the specific time is 100 to 200 days.
Preferably, the third electrode is used to correct the effect of interferents in the test sample.
Preferably, the label is disposed on the back side of the substrate.
Preferably, the electron mediator includes ferrocene and its derivatives, ferricyanate, quinone and its derivatives, tetracyanoquinomethane or fullerene, etc.
Preferably, the device further comprises a reference electrode disposed on the substrate and formed simultaneously with the first electrode, the second electrode and the third electrode.
Preferably, the in vitro diagnostic test strip is used for detecting one of analytes such as glucose, urea, uric acid, lactic acid, choline, galactose, glutamic acid, polypeptide and the like.
Preferably, the electrochemical analytical in vitro diagnostic test strip is used for detecting a blood sample.
Preferably, the label is a barcode or a two-dimensional code, and the time for modifying the oxidoreductase and the electron mediator on the surface of the fourth electrode and the time for modifying the oxidoreductase and the electron mediator on the surface of the first electrode can be obtained by scanning the label.
The invention also provides a test method of the electrochemical analysis in-vitro diagnostic test strip prepared by the preparation method, which comprises the following steps: (1) reading the first time and the second time on the tag by a reading device; (2) determining a time difference T of the first time from a single previous time1And the time difference T between the second time and the current time2(ii) a (3) Dropping the sample on the test strip, and measuring a first current I passing through the first electrode by a constant potential electrochemical measuring current meter1A second current I through the third electrode2And a third current I through the fourth electrode3(ii) a (4) Determining the error current I caused by the interferent contained in the sample according to the second currentg(ii) a (5) According to the first current I1The third current I3Determined in step (2)Time difference T of a time and a distance before single time1And the time difference T between the second time and the current time2And the error current I caused by the interferent contained in the sample determined in the step (4)gDetermining the corrected detection current Ic(ii) a (6) According to the detection current IcAn analyte concentration parameter is determined.
Preferably, in the step (3), the potentials applied to the first electrode, the third electrode and the fourth electrode by the potentiostatic electrochemical measuring current meter are the same.
Preferably, in the step (4), the error current I caused by the interferent contained in the samplegIs equal to the second current I2
Preferably, in the step (5), the corrected detection current includes only a current component caused by the analyte.
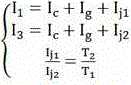
Preferably, in the step (5), the corrected detection current I is calculated based on the following equationc:
Figure DEST_PATH_IMAGE001
Wherein, Ij1Represents the error current, I, of the first electrode due to the electron mediatorj2Indicating the error current of the fourth electrode due to the electron mediator.
Detailed Description
The technical solutions of the present invention are described clearly and completely below, and it is obvious that the described embodiments are some, not all embodiments of the present invention. All other embodiments, which can be derived by a person skilled in the art from the embodiments given herein without making any creative effort, shall fall within the protection scope of the present invention. All publications, patents, and patent applications mentioned in this specification are herein incorporated by reference to the same extent as if each individual publication, patent, or patent application was specifically and individually indicated to be incorporated by reference.
The preparation method of the electrochemical analysis in-vitro diagnostic test strip provided by the embodiment of the invention comprises the following steps:
forming a fourth electrode on a substrate, modifying oxidoreductase and an electron mediator on the surface of the fourth electrode, and recording the time for modifying the oxidoreductase and the electron mediator on the surface of the fourth electrode; wherein the test strip substrate is an insulating substrate for forming electrodes and fluid channels thereon. The test strip substrate may also be provided with a sample inlet. Optionally, the insulating substrate is a PET sheet, a PC sheet, or a PVC sheet. The fourth electrode is used for correcting measurement errors caused by the electron mediator, and the oxidoreductase is an oxidative epoxidase specific to an analyte, wherein the analyte can be one of glucose, urea, uric acid, lactic acid, choline, galactose, glutamic acid, polypeptide and the like in a blood sample; the electron mediator may include ferrocene and its derivatives, ferricyanate, quinone and its derivatives, tetracyanoquinomethane or fullerene, etc.
After a certain time interval, forming a first electrode, a second electrode and a third electrode on the substrate; the specific time is a time interval of more than 100 days, and preferably, the specific time is 100 to 200 days. The first electrode is a working electrode, the physical properties of the working electrode are the same as those of the fourth electrode, the surface of the first electrode is modified with the oxidoreductase and the electron mediator, and the time for modifying the oxidoreductase and the electron mediator on the surface of the first electrode is recorded. The second electrode is a counter electrode; the third electrode is a blank electrode, the physical properties of which are the same as those of the fourth electrode, but the surface of which is not modified with the oxidoreductase and the electron mediator. The counter electrode may be a silver/silver chloride electrode, the working electrode, the third electrode and the fourth electrode may be carbon electrodes. The substrate can also be provided with a reference electrode according to the requirement. The electrodes may be formed on the substrate by screen printing or physical or chemical evaporation.
And generating a label containing time information of the fourth electrode surface modified oxidoreductase and the electron mediator and time information of the first electrode surface modified oxidoreductase and the electron mediator, and attaching the label to the back surface of the substrate. The label can be a bar code or a two-dimensional code, and the time for modifying the oxidoreductase and the electron mediator on the surface of the fourth electrode and the time for modifying the oxidoreductase and the electron mediator on the surface of the first electrode can be obtained by scanning the label.
According to the electrochemical analysis in-vitro diagnostic test strip prepared by the preparation method of the electrochemical analysis in-vitro diagnostic test strip, the oxidation or reduction degree of the electronic mediator is increased along with the time, and is related to the initial time of the modification of the electronic mediator on the surface of the electrode, and the detection error caused by the electronic mediator can be determined by modifying the measurement values of the fourth electrode and the first electrode of the electronic mediator at different times. The specific test method of the electrochemical analysis in-vitro diagnostic test strip comprises the following steps: (1) reading the first time and the second time on the label through a reading device; (2) determining a time difference T between a first time and a single previous time1And the time difference T between the second time and the current time2(ii) a (3) Dropping the sample on the test strip, and measuring a first current I passing through the first electrode by a constant potential electrochemical measuring current meter1A second current I through the third electrode2And a third current I through the fourth electrode3(ii) a Wherein the potentials applied to the first electrode, the third electrode and the fourth electrode by the constant potential electrochemical measuring current instrument are the same; (4) determining the error current I caused by the interferent contained in the sample according to the second currentg(ii) a Error current I caused by interferents contained in the samplegIs equal to the second current I2(ii) a (5) According to the first current I1The third current I3The time difference T between the first time and the single previous time determined in the step (2)1And the time difference T between the second time and the current time2And the error current I caused by the interferent contained in the sample determined in the step (4)gDetermining the corrected detection current Ic(ii) a Specifically, the corrected detection current I is calculated based on the following formulac:
Figure 715206DEST_PATH_IMAGE002
Wherein, Ij1Represents the error current, I, of the first electrode due to the electron mediatorj2Representing the error current of the fourth electrode due to the electron mediator; (6) according to whatThe detection current IcAn analyte concentration parameter is determined.
While preferred embodiments of the present invention have been shown and described herein, it will be obvious to those skilled in the art that such embodiments are provided by way of example only. The present invention is not intended to be limited by the specific examples provided in the specification. While the invention has been described with reference to the foregoing specification, the description of the embodiments herein should not be construed in a limiting sense. Numerous variations, changes, and substitutions will now occur to those skilled in the art without departing from the invention. Further, it is to be understood that all aspects of the present invention are not limited to the specific depictions, configurations or relative proportions set forth herein which depend upon a variety of conditions and variables. It should be understood that various alternatives to the embodiments of the invention described herein may be employed in practicing the invention. It is therefore contemplated that the present invention shall also cover any such alternatives, modifications, variations or equivalents. It is intended that the following claims define the scope of the invention and that methods and structures within the scope of these claims and their equivalents be covered thereby.

Claims (10)

1. A method of making an electrochemical analytical in vitro diagnostic test strip comprising the steps of: forming a fourth electrode on a substrate, modifying oxidoreductase and an electron mediator on the surface of the fourth electrode, and recording the time for modifying the oxidoreductase and the electron mediator on the surface of the fourth electrode; after a certain time interval, forming a first electrode, a second electrode and a third electrode on the substrate; the first electrode is a working electrode, the physical properties of the working electrode are the same as those of the fourth electrode, the surface of the first electrode is modified with the oxidoreductase and the electron mediator which are the same as those of the fourth electrode, and the time for modifying the oxidoreductase and the electron mediator on the surface of the first electrode is recorded; the second electrode is a counter electrode; the third electrode is a blank electrode, the physical properties of the third electrode are the same as those of the fourth electrode, but the surface of the third electrode is not modified with oxidoreductase and an electron mediator; and generating a label which contains time information of the fourth electrode surface modified oxidoreductase and the electron mediator and time information of the first electrode surface modified oxidoreductase and the electron mediator, and attaching the label to the back surface of the substrate.
2. The method of making an electrochemical analytical in vitro diagnostic test strip of claim 1, wherein: the first electrode, the second electrode, the third electrode and the fourth electrode are formed by screen printing or physical vapor deposition or chemical vapor deposition.
3. The method of making an electrochemical analytical in vitro diagnostic test strip of claim 1, wherein: the first electrode, the third electrode and the fourth electrode are metal electrodes or carbon electrodes.
4. The method of making an electrochemical analytical in vitro diagnostic test strip of claim 1, wherein: the second electrode is a silver/silver chloride electrode.
5. The method of making an electrochemical analytical in vitro diagnostic test strip of claim 1, wherein: the surface modified oxidoreductase and the electron mediator are formed by preparing a solution containing the oxidoreductase and the electron mediator, dropping the solution on the surface of an electrode, and drying and solidifying the solution on the electrode.
6. The method of making an electrochemical analytical in vitro diagnostic test strip of claim 1, wherein: the label is arranged on the back of the substrate.
7. The method of making an electrochemical analytical in vitro diagnostic test strip of claim 1, wherein: the electron mediator comprises ferrocene and derivatives thereof, ferricyanate, quinone and derivatives thereof, tetracyanoquinomethane or fullerene and the like.
8. The method of making an electrochemical analytical in vitro diagnostic test strip of claim 1, wherein: the label is a bar code or a two-dimensional code, and the time for modifying the oxidoreductase and the electron mediator on the surface of the fourth electrode and the time for modifying the oxidoreductase and the electron mediator on the surface of the first electrode can be obtained by scanning the label.
9. A method of testing an electrochemical analytical in vitro diagnostic test strip prepared according to the method of preparation of claim 1, comprising the steps of: (1) reading the first time and the second time on the tag by a reading device; (2) determining a time difference T of the first time from a single previous time1And the time difference T between the second time and the current time2(ii) a (3) Dropping the sample on the test strip, and measuring a first current I passing through the first electrode by a constant potential electrochemical measuring current meter1A second current I through the third electrode2And a third current I through the fourth electrode3(ii) a (4) Determining the error current I caused by the interferent contained in the sample according to the second currentg(ii) a (5) According to the first current I1The third current I3The time difference T between the first time and the single previous time determined in the step (2)1And the time difference T between the second time and the current time2And the error current I caused by the interferent contained in the sample determined in the step (4)gDetermining the corrected detection current Ic(ii) a (6) According to the detection current IcAn analyte concentration parameter is determined.
10. The test method of claim 1, wherein: in the step (4), the error current I caused by the interferent contained in the samplegIs equal to the second current I2
CN201911330087.8A2019-12-212019-12-21In vitro diagnostic test strip preparation method and diagnostic test methodWithdrawnCN110988079A (en)

Priority Applications (1)

Application NumberPriority DateFiling DateTitle
CN201911330087.8ACN110988079A (en)2019-12-212019-12-21In vitro diagnostic test strip preparation method and diagnostic test method

Applications Claiming Priority (1)

Application NumberPriority DateFiling DateTitle
CN201911330087.8ACN110988079A (en)2019-12-212019-12-21In vitro diagnostic test strip preparation method and diagnostic test method

Publications (1)

Publication NumberPublication Date
CN110988079Atrue CN110988079A (en)2020-04-10

Family

ID=70073762

Family Applications (1)

Application NumberTitlePriority DateFiling Date
CN201911330087.8AWithdrawnCN110988079A (en)2019-12-212019-12-21In vitro diagnostic test strip preparation method and diagnostic test method

Country Status (1)

CountryLink
CN (1)CN110988079A (en)

Cited By (1)

* Cited by examiner, † Cited by third party
Publication numberPriority datePublication dateAssigneeTitle
CN113049652A (en)*2021-03-242021-06-29可孚医疗科技股份有限公司Electrochemical measurement method

Cited By (2)

* Cited by examiner, † Cited by third party
Publication numberPriority datePublication dateAssigneeTitle
CN113049652A (en)*2021-03-242021-06-29可孚医疗科技股份有限公司Electrochemical measurement method
CN113049652B (en)*2021-03-242023-08-25可孚医疗科技股份有限公司Electrochemical measurement method

Similar Documents

PublicationPublication DateTitle
US10989683B2 (en)Identifying ionizable species with voltammetric duty cycles
JP4256588B2 (en) Electrochemical measurement method and measurement apparatus using statistical methods
Piermarini et al.Uricase biosensor based on a screen-printed electrode modified with Prussian blue for detection of uric acid in human blood serum
CN105738430B (en)The concentration detection method and detection device of substance to be analyzed in biological sample
JP5009897B2 (en) Oxidizable species as an internal reference in control solutions for biosensors
Rai et al.Electrochemical nanoporous alumina membrane-based label-free DNA biosensor for the detection of Legionella sp
Lawal et al.Polypyrrole based amperometric and potentiometric phosphate biosensors: A comparative study B
US20150241378A1 (en)Electrochemical-based analytical test strip with bare interferent electrodes
EP3447483B1 (en)Novel biosensing technology based on enzymatic electrochemical impedance measurement
US8871069B2 (en)Low total salt reagent compositions and systems for biosensors
Arslan et al.Development of a novel phenylalanine biosensor for diagnosis of phenylketonuria
Lau et al.Application of heated electrodes operating in a non-isothermal mode for interference elimination with amperometric biosensors
KR20180126355A (en)Bio sensor and manufacturing method thereof
CN101427129B (en)Biosensor and method for measuring the same
Stoikov et al.Flow-through electrochemical biosensor with a replaceable enzyme reactor and screen-printed electrode for the determination of uric acid and tyrosine
TW201719161A (en)System and method for compensating sample-related measurements based on polarization effects of test strips
CN110988079A (en)In vitro diagnostic test strip preparation method and diagnostic test method
Li et al.An amperometric bienzyme biosensor for rapid measurement of alanine aminotransferase in whole blood
EP2008088B1 (en)Correction of oxygen effect in test sensor using reagents
El Hamdouni et al.Applications and Commercialization Challenges of Voltammetry in Biosensing Applications
CN110927225A (en)Electrochemical analysis in-vitro diagnostic test strip and diagnostic tester
JPH07103939A (en)Measuring method for biosensor
KR101109857B1 (en) Biosensor using double pulse method
PatelElectrochemical biosensors
Biscay et al.Enzymatic determination of ethanol on screen-printed cobalt phthalocyanine/carbon electrodes

Legal Events

DateCodeTitleDescription
PB01Publication
PB01Publication
SE01Entry into force of request for substantive examination
SE01Entry into force of request for substantive examination
WW01Invention patent application withdrawn after publication
WW01Invention patent application withdrawn after publication

Application publication date:20200410


[8]ページ先頭

©2009-2025 Movatter.jp