
技术领域Technical Field
本发明属于智能路径规划技术领域,具体涉及一种基于人工智能平台下的路径规划方法。The present invention belongs to the technical field of intelligent path planning, and in particular relates to a path planning method based on an artificial intelligence platform.
背景技术Background Art
机器人是正在蓬勃发展的一个重要领域,集光学、电子学、测控技术、自动控制理论、信息技术、软件技术、计算机技术之大成,形成了一门综合的新技术。由于计算机技术的发展与普及,在全世界范围内,人类的生产已经从机械化、自动化逐步过渡到“智能”时代。Robotics is an important field that is booming. It integrates optics, electronics, measurement and control technology, automatic control theory, information technology, software technology, and computer technology to form a comprehensive new technology. Due to the development and popularization of computer technology, human production has gradually transitioned from mechanization and automation to the "intelligent" era worldwide.
机器人技术综合了多学科的发展成果,代表了高技术的发展前沿,它在人类生活应用领域的不断扩大正在引起国际上重新认识机器人技术的作用和影响,随着机器人技术的不断发展与进步,许多新奇的机器人成员逐步进入到社会的各个领域,并且发挥着越来越重要的作用。它所具有的优势越来越受到世界各国普遍关注和重视,日益成为各国的核心技术。Robotics integrates the development achievements of multiple disciplines and represents the forefront of high-tech development. Its continuous expansion in the application field of human life is causing the international community to re-recognize the role and influence of robotics. With the continuous development and progress of robotics, many novel robot members have gradually entered various fields of society and are playing an increasingly important role. Its advantages are increasingly receiving widespread attention and attention from countries around the world, and are becoming the core technology of various countries.
机器人路径规划的研究背景一般有以下三类:The research background of robot path planning generally falls into the following three categories:
(1)已知环境与静态障碍物规避条件下的路径规划研究;(1) Research on path planning under known environment and static obstacle avoidance conditions;
(2)已知环境与动态障碍物规避条件下的路径规划研究;(2) Research on path planning under known environment and dynamic obstacle avoidance conditions;
(3)未知环境或动态环境下的路径规划研究。(3) Research on path planning in unknown or dynamic environments.
路径规划根据地图环境信息是否已知可以分为两大类:全局与局部路径规划。前者在已建立地图模型的基础上,一般可以完成点到点以及遍历地图的最短路径规划;后者主要应用于整体或局部环境不明晰的环境中,需要装备传感器对周围环境探测以确定可行域的范围。两者从本质上来说并无二异,局部路径规划的方法对于全局路径规划依然有效,而多数全局路径规划方法改进后便可以移植到局部路径规划的应用中。Path planning can be divided into two categories according to whether the map environment information is known or not: global and local path planning. The former can generally complete point-to-point and shortest path planning that traverses the map based on the established map model; the latter is mainly used in environments where the overall or local environment is unclear, and sensors are required to detect the surrounding environment to determine the scope of the feasible domain. The two are essentially the same. The local path planning method is still valid for global path planning, and most global path planning methods can be transplanted to local path planning applications after improvement.
路径规划算法依据基本原理又可以分为传统算法与智能仿生学算法。传统算法有Y算法、模糊逻辑算法与禁忌搜索算法等。但传统路径规划算法在大规模搜索中暴露出的效率低下,使人们不得不探索更为快速和更高适应性的方法。仿生智能算法在路径规划中的应用,是随着二十世纪末智能算法的探索与深入研宄而兴起于发展的,目前应用于机器人路径规划的有蚁群算法、神经网络算法、遗传算法、粒子群算法等。此类算法一般具有更高的搜索效率,但有时会陷入局部最优,甚至某些情况下效率会更低。Path planning algorithms can be divided into traditional algorithms and intelligent bionic algorithms based on basic principles. Traditional algorithms include Y algorithm, fuzzy logic algorithm and taboo search algorithm. However, the low efficiency of traditional path planning algorithms in large-scale searches has forced people to explore faster and more adaptable methods. The application of bionic intelligent algorithms in path planning has emerged and developed with the exploration and in-depth research of intelligent algorithms at the end of the twentieth century. Ant colony algorithms, neural network algorithms, genetic algorithms, particle swarm algorithms, etc. are currently used in robot path planning. Such algorithms generally have higher search efficiency, but sometimes they fall into local optimality, and even in some cases, the efficiency will be lower.
发明内容Summary of the invention
本发明的目的在于提供一种高效率的基于人工智能平台下的路径规划方法。The purpose of the present invention is to provide a highly efficient path planning method based on an artificial intelligence platform.
本发明的目的是这样实现的:The object of the present invention is achieved in that:
一种基于人工智能平台下的路径规划方法,包括如下步骤:A path planning method based on an artificial intelligence platform comprises the following steps:
(1)采集具有路径的图像:采集具有路径的图像,对每张图像进行标类,根据定义的特征类型,建立数据联系,形成数据集;(1) Collecting images with paths: Collect images with paths, label each image, and establish data connections based on the defined feature types to form a data set;
(2)数据预处理:对原始图像计算整个数据集上每个像素的均值和标准差,对每张图像以50%概率翻转,同时进行归一化处理,得到预处理后的图像集合;(2) Data preprocessing: Calculate the mean and standard deviation of each pixel in the entire data set for the original image, flip each image with a probability of 50%, and perform normalization to obtain a set of preprocessed images;
所有均值图像为标准差为std,对于特定图像x,对其进行归一化如下:All mean images are The standard deviation is std, and for a particular image x, it is normalized as follows:
(3)提取初级特征:依次确定从上到下的51层ResNets网络架构和1层ResNets网络架构作为构建特征人工智能网络的底层网络,对路径采集图像进行初级特征提取,提取出5个不同的尺度的特征A1,A2,A3,A4,A5;计算网络架构权重β;(3) Extracting primary features: sequentially determining the 51-layer ResNets network architecture and the 1-layer ResNets network architecture from top to bottom as the underlying network for constructing the feature artificial intelligence network, performing primary feature extraction on the path acquisition image, and extracting features A1 , A2 , A3 , A4 , and A5 of five different scales; calculating the network architecture weight β;
f(x′)代表网络层的单元k在空间中的激活值;wk为单元k对本网络层的权值; f(x′) represents the activation value of unit k in the network layer in space; wk is the weight of unit k to this network layer;
(4)卷积网络叠加:将步骤(3)中得到的5个尺度的特征分别通过从上到下的卷积网络进行叠加得到新特征S1,S2,S3,S4,S5消除不同层之间的混叠效果;(4) Convolutional network superposition: The five scale features obtained in step (3) are superimposed through the convolutional network from top to bottom to obtain new features S1 , S2 , S3 , S4 , S5 to eliminate the aliasing effect between different layers;
将S5尺度特征扩大5-10倍,得到扩倍特征R5,特征R4是由特征S5加2倍之后得到的,同时尺度特征A4经过1×8×128的卷积得到卷积特征A4′,将扩倍特征R5与卷积特征A4′相加得到新特征S4;尺度特征A3经过1×8×128的卷积得到卷积特征A3′,将扩倍特征R4与卷积特征A3′相加得到新特征S3;尺度特征A2经过1×8×128的卷积得到卷积特征A2′,将扩倍特征R3与卷积特征A2′相加得到新特征S2;尺度特征A1经过1×8×128的卷积得到卷积特征A1′,将扩倍特征R2与卷积特征A1′相加得到新特征S1;The scale featureS5 is enlarged by 5-10 times to obtain the expanded featureR5 . The featureR4 is obtained by doubling the featureS5 . At the same time, the scale featureA4 is convolved with 1×8×128 to obtain the convolution featureA4 ′. The expanded featureR5 and the convolution featureA4 ′ are added to obtain the new featureS4 ; the scale featureA3 is convolved with 1×8×128 to obtain the convolution featureA3 ′. The expanded featureR4 and the convolution featureA3 ′ are added to obtain the new featureS3 ; the scale featureA2 is convolved with 1×8×128 to obtain the convolution featureA2 ′. The expanded featureR3 and the convolution featureA2 ′ are added to obtain the new featureS2 ; the scale featureA1 is convolved with 1×8×128 to obtain the convolution featureA1 ′. The expanded featureR2 and the convolution featureA1 ′ are added to obtain the new featureS1 ;
新特征S6是通过对S5进行9×9,步长为2的卷积得到,然后对特征S6进行LeakyReLU函数激活,再通过9×9,步长为2的卷积,得到新特征S7;The new featureS6 is obtained by performing a 9×9 convolution with a step size of 2 onS5 , then activating the featureS6 with the LeakyReLU function, and then performing a 9×9 convolution with a step size of 2 to obtain the new featureS7 ;
(5)特征图重建:建立特征金字塔网络作为主体网络,将得到的特征S5、S6、S7通过上采样和单层卷积生成重建特征,完成特征的重组,重建的特征图的生成方式如下:(5) Feature map reconstruction: A feature pyramid network is established as the main network. The obtained features S5 , S6 , and S7 are reconstructed by upsampling and single-layer convolution to complete the feature reorganization. The reconstructed feature map is generated as follows:
其中Conv代表单层卷积,Upsample代表上采样;Among them, Conv represents a single layer of convolution, and Upsample represents upsampling;
(6)目标框输出:将的5个重建特征连接至适用于重建特征图的目标框输出,将目标框的输出分为两个分类子网络,一个分类子网作为回归目标的类别输出,另一个回归子网则作为回归的边界框的输出:(6) Target box output: Connect the five reconstructed features to the target box output suitable for reconstructing the feature map. The output of the target box is divided into two classification subnetworks, one classification subnetwork as the category output of the regression target, and the other regression subnetwork as the output of the regressed bounding box:
Focal Loss函数输出为:The output of the Focal Loss function is:
FL(Qt)=-(1-Qt)λβlog(Qt);FL(Qt )=-(1-Qt )λ βlog(Qt );
其中Qt是路径图像识别正确的概率,β是权重,取值在0.2-0.3之间,λ是聚焦系数;WhereQt is the probability of correct path image recognition, β is the weight, ranging from 0.2 to 0.3, and λ is the focusing coefficient;
平衡交叉熵函数输出为:The output of the balanced cross entropy function is:
CE(Qt)=-βlog(Qt);CE(Qt )=−βlog(Qt );
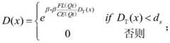
将Focal Loss函数输出和平衡交叉熵函数输出,使用点集置信度函数进行交集并集比计算:The output of the Focal Loss function and the balanced cross entropy function are used to calculate the intersection and union ratio using the point set confidence function:
其中DT(x)为相应特征图中的图集x与真实标签的点集之间的像素距离,ds为预设的最小距离值;Where DT (x) is the pixel distance between the atlas x in the corresponding feature map and the point set of the true label, and ds is the preset minimum distance value;
(7)计算路径图像均方误差:在计算分类子网的同时,将个新特征用于计算均方误差损失:(7) Calculate the mean square error of the path image: While calculating the classification subnet, the new features are used to calculate the mean square error loss:
n≤5,xi'是路径图像识别的值;n≤5,xi ' is the value of path image recognition;
(8)获得路径识别模型:计算分类子网与回归子网的输出后,与最后使用分类子网和回归子网的输出进行梯度下降训练得到路径识别模型,路径识别模型为:(8) Obtaining a path recognition model: After calculating the outputs of the classification subnet and the regression subnet, gradient descent training is performed with the outputs of the classification subnet and the regression subnet to obtain a path recognition model. The path recognition model is:
VD(x)=βMSE+(1-β)D(x)VD(x) = βMSE + (1-β)D(x)
VCE(Qt)=βCE(Qt)+(1-β)VD(x)VCE(Qt) =βCE(Qt )+(1-β)VD(x)
W=VD(x)-αVCE(Qt)W=VD(x) -αVCE(Qt)
b=W-αCE(Qt)b=W-αCE(Qt )
VD(x)为识别速度、VCE(Qt)为最高速度、W为规划路径、b为实际路径,通过此路径识别模型进行路径识别。VD(x) is the recognition speed, VCE(Qt) is the maximum speed, W is the planned path, and b is the actual path. Path recognition is performed through this path recognition model.
本发明的有益效果在于:本发明属于在人工智能平台下执行机器人或者行驶器的基于人工智能平台下的路径识别方法。本发明使用卷积神经网络进行图像识别,相比于传统方法,准确率更高,判断过程更加智能化,且可以应用于多种应用场景。本发明使用全卷积网络作为基础网络结构,保留局部信息,使得学习到的特征更易被可视化和理解,同时全卷积网络对图像大小和类型没有太多限制,增强了实用性。本发明将卷积神经网络加入类激活映射保持原始数据,增强网络识别准确率,辅助判断进行集成,便于非专业人士进行使用与拓展,增加了推广的可能性。既具有单阶段测试模型的速度优势,又具有双阶段测试模型的计算准确度。The beneficial effects of the present invention are as follows: the present invention belongs to a path recognition method based on an artificial intelligence platform for executing a robot or a vehicle under an artificial intelligence platform. The present invention uses a convolutional neural network for image recognition, which has a higher accuracy rate and a more intelligent judgment process than traditional methods, and can be applied to a variety of application scenarios. The present invention uses a full convolutional network as the basic network structure, retains local information, and makes the learned features easier to visualize and understand. At the same time, the full convolutional network does not have too many restrictions on the size and type of the image, which enhances the practicality. The present invention adds a convolutional neural network to a class activation map to maintain the original data, enhances the network recognition accuracy, and assists in the integration of judgments, which is convenient for non-professionals to use and expand, and increases the possibility of promotion. It has both the speed advantage of a single-stage test model and the calculation accuracy of a two-stage test model.
附图说明BRIEF DESCRIPTION OF THE DRAWINGS
图1是本发明的方法流程图。FIG. 1 is a flow chart of the method of the present invention.
具体实施方式DETAILED DESCRIPTION
下面结合附图对本发明作进一步描述。The present invention will be further described below in conjunction with the accompanying drawings.
本发明涉及了深度学习路径识别领域,通过使用深度特征重组进行路径回归和识别,从而更好的利用深度卷积层的特征点,提高对目标的计算速度。本发明具体包括:The present invention relates to the field of deep learning path recognition, and uses deep feature reorganization to perform path regression and recognition, thereby better utilizing the feature points of the deep convolution layer and improving the calculation speed of the target. The present invention specifically includes:
(1)采集具有路径的图像:本发明可以使用监视器、探头等图像录制和采集工具采集具有路径的图像,然后通过植入在装备、设备中的芯片的程序存贮图片,并对每张图像进行标类,根据定义的特征类型,建立数据联系,形成数据集;(1) Collecting images with paths: The present invention can use image recording and acquisition tools such as monitors and probes to collect images with paths, and then store the images through a program of a chip implanted in the equipment and device, and classify each image, establish data connections according to the defined feature types, and form a data set;
(2)数据预处理:芯片或核心计算工具开始工作,如CPU、DSP等对原始图像计算整个数据集上每个像素的均值和标准差,对每张图像以50%概率翻转,同时进行归一化处理,得到预处理后的图像集合;该步骤通过统一的算法可以将不同场景、不同路径和格式的图片处理成能够进行统一评判格式。(2) Data preprocessing: The chip or core computing tool starts working, such as the CPU, DSP, etc., to calculate the mean and standard deviation of each pixel in the entire data set for the original image, flip each image with a probability of 50%, and perform normalization at the same time to obtain a set of preprocessed images; this step can process images of different scenes, different paths and formats into a format that can be uniformly judged through a unified algorithm.
所有均值图像为标准差为std,对于特定图像x,对其进行归一化如下:All mean images are The standard deviation is std, and for a particular image x, it is normalized as follows:
(3)提取初级特征:依次确定从上到下的51层ResNets网络架构和1层ResNets网络架构作为构建特征人工智能网络的底层网络,对路径采集图像进行初级特征提取,提取出5个不同的尺度的特征A1,A2,A3,A4,A5;计算网络架构权重β;(3) Extracting primary features: sequentially determining the 51-layer ResNets network architecture and the 1-layer ResNets network architecture from top to bottom as the underlying network for constructing the feature artificial intelligence network, performing primary feature extraction on the path acquisition image, and extracting features A1 , A2 , A3 , A4 , and A5 of five different scales; calculating the network architecture weight β;
f(x′)代表网络层的单元k在空间中的激活值;wk为单元k对本网络层的权值;本发明采用人工智能网络,引入架构权重有利于提高路径判断的精确度。 f(x′) represents the activation value of unit k of the network layer in space;wk is the weight of unit k to this network layer; the present invention adopts an artificial intelligence network and introduces architectural weights to help improve the accuracy of path judgment.
(4)卷积网络叠加:将步骤(3)中得到的5个尺度的特征分别通过从上到下的卷积网络进行叠加得到新特征S1,S2,S3,S4,S5消除不同层之间的混叠效果;(4) Convolutional network superposition: The five scale features obtained in step (3) are superimposed through the convolutional network from top to bottom to obtain new features S1 , S2 , S3 , S4 , S5 to eliminate the aliasing effect between different layers;
将S5尺度特征扩大5-10倍,得到扩倍特征R5,特征R4是由特征S5加2倍之后得到的,同时尺度特征A4经过1×8×128的卷积得到卷积特征A4′,将扩倍特征R5与卷积特征A4′相加得到新特征S4;尺度特征A3经过1×8×128的卷积得到卷积特征A3′,将扩倍特征R4与卷积特征A3′相加得到新特征S3;尺度特征A2经过1×8×128的卷积得到卷积特征A2′,将扩倍特征R3与卷积特征A2′相加得到新特征S2;尺度特征A1经过1×8×128的卷积得到卷积特征A1′,将扩倍特征R2与卷积特征A1′相加得到新特征S1;The scale featureS5 is enlarged by 5-10 times to obtain the expanded featureR5 . The featureR4 is obtained by doubling the featureS5 . At the same time, the scale featureA4 is convolved with 1×8×128 to obtain the convolution featureA4 ′. The expanded featureR5 and the convolution featureA4 ′ are added to obtain the new featureS4 ; the scale featureA3 is convolved with 1×8×128 to obtain the convolution featureA3 ′. The expanded featureR4 and the convolution featureA3 ′ are added to obtain the new featureS3 ; the scale featureA2 is convolved with 1×8×128 to obtain the convolution featureA2 ′. The expanded featureR3 and the convolution featureA2 ′ are added to obtain the new featureS2 ; the scale featureA1 is convolved with 1×8×128 to obtain the convolution featureA1 ′. The expanded featureR2 and the convolution featureA1 ′ are added to obtain the new featureS1 ;
新特征S6是通过对S5进行9×9,步长为2的卷积得到,然后对特征S6进行LeakyReLU函数激活,再通过9×9,步长为2的卷积,得到新特征S7;The new featureS6 is obtained by performing a 9×9 convolution with a step size of 2 onS5 , then activating the featureS6 with the LeakyReLU function, and then performing a 9×9 convolution with a step size of 2 to obtain the new featureS7 ;
(5)特征图重建:建立特征金字塔网络作为主体网络,将得到的特征S5、S6、S7通过上采样和单层卷积生成重建特征,完成特征的重组,重建的特征图的生成方式如下:(5) Feature map reconstruction: A feature pyramid network is established as the main network. The obtained features S5 , S6 , and S7 are reconstructed by upsampling and single-layer convolution to complete the feature reorganization. The reconstructed feature map is generated as follows:
其中Conv代表单层卷积,Upsample代表上采样;Among them, Conv represents a single layer of convolution, and Upsample represents upsampling;
在特征图重建的过程中,引入了单层卷积上采样重建特征,将归一化后处理的特征进一步查筛,有利于建立特征图谱,增加本发明的准确性。In the process of feature map reconstruction, a single-layer convolution upsampling reconstruction feature is introduced to further screen the normalized post-processing features, which is beneficial to establish a feature map and increase the accuracy of the present invention.
(6)目标框输出:将的5个重建特征连接至适用于重建特征图的目标框输出,将目标框的输出分为两个分类子网络,一个分类子网作为回归目标的类别输出,另一个回归子网则作为回归的边界框的输出:(6) Target box output: Connect the five reconstructed features to the target box output suitable for reconstructing the feature map. The output of the target box is divided into two classification subnetworks, one classification subnetwork as the category output of the regression target, and the other regression subnetwork as the output of the regressed bounding box:
Focal Loss函数输出为:The output of the Focal Loss function is:
FL(Qt)=-(1-Qt)λβlog(Qt);FL(Qt )=-(1-Qt )λ βlog(Qt );
其中Qt是路径图像识别正确的概率,β是权重,取值在0.2-0.3之间,λ是聚焦系数;WhereQt is the probability of correct path image recognition, β is the weight, ranging from 0.2 to 0.3, and λ is the focusing coefficient;
平衡交叉熵函数输出为:The output of the balanced cross entropy function is:
CE(Qt)=-βlog(Qt);CE(Qt )=−βlog(Qt );
将Focal Loss函数输出和平衡交叉熵函数输出,使用点集置信度函数进行交集并集比计算:The output of the Focal Loss function and the balanced cross entropy function are used to calculate the intersection and union ratio using the point set confidence function:
其中DT(x)为相应特征图中的图集x与真实标签的点集之间的像素距离,ds为预设的最小距离值;Where DT (x) is the pixel distance between the atlas x in the corresponding feature map and the point set of the true label, and ds is the preset minimum distance value;
本发明的计算输出引入了目标框输出概念,通过上述输出模式,有利于避免输出结果的失真现象,目前的失真主要原因包括误差和信号干扰,通过目标框输出通过提高路径图像识别正确的概率和权重,避免了信号干扰问题,同时进一步降低了误差值。The calculation output of the present invention introduces the concept of target frame output. The above-mentioned output mode is conducive to avoiding distortion of the output results. The main causes of the current distortion include errors and signal interference. The target frame output improves the probability and weight of correct path image recognition, avoids the signal interference problem, and further reduces the error value.
(7)计算路径图像均方误差:在计算分类子网的同时,将个新特征用于计算均方误差损失:(7) Calculate the mean square error of the path image: While calculating the classification subnet, the new features are used to calculate the mean square error loss:
n≤5,xi'是路径图像识别的值;n≤5,xi ' is the value of path image recognition;
(8)获得路径识别模型:计算分类子网与回归子网的输出后,与最后使用分类子网和回归子网的输出进行梯度下降训练得到路径识别模型,路径识别模型为:(8) Obtaining a path recognition model: After calculating the outputs of the classification subnet and the regression subnet, gradient descent training is performed with the outputs of the classification subnet and the regression subnet to obtain a path recognition model. The path recognition model is:
VD(x)=βMSE+(1-β)D(x)VD(x) = βMSE + (1-β)D(x)
VCE(Qt)=βCE(Qt)+(1-β)VD(x)VCE(Qt) =βCE(Qt )+(1-β)VD(x)
W=VD(x)-αVCE(Qt)W=VD(x) -αVCE(Qt)
b=W-αCE(Qt)b=W-αCE(Qt )
VD(x)为识别速度、VCE(Qt)为最高速度、W为规划路径、b为实际路径,通过此路径识别模型进行路径识别。VD(x) is the recognition speed, VCE(Qt) is the maximum speed, W is the planned path, and b is the actual path. Path recognition is performed through this path recognition model.
上述两个步骤通过路径图像均方误差进一步校正了路径识别模型,得到了最终本发明人工智能平台下的路径识别结果,有助于帮助识别主体进行判断和执行后续操作。The above two steps further correct the path recognition model through the mean square error of the path image, and obtain the final path recognition result under the artificial intelligence platform of the present invention, which helps the recognition subject to make judgments and perform subsequent operations.
| Application Number | Priority Date | Filing Date | Title |
|---|---|---|---|
| CN201911229234.2ACN110986949B (en) | 2019-12-04 | 2019-12-04 | Path identification method based on artificial intelligence platform |
| Application Number | Priority Date | Filing Date | Title |
|---|---|---|---|
| CN201911229234.2ACN110986949B (en) | 2019-12-04 | 2019-12-04 | Path identification method based on artificial intelligence platform |
| Publication Number | Publication Date |
|---|---|
| CN110986949A CN110986949A (en) | 2020-04-10 |
| CN110986949Btrue CN110986949B (en) | 2023-05-09 |
| Application Number | Title | Priority Date | Filing Date |
|---|---|---|---|
| CN201911229234.2AActiveCN110986949B (en) | 2019-12-04 | 2019-12-04 | Path identification method based on artificial intelligence platform |
| Country | Link |
|---|---|
| CN (1) | CN110986949B (en) |
| Publication number | Priority date | Publication date | Assignee | Title |
|---|---|---|---|---|
| CN111553277B (en)* | 2020-04-28 | 2022-04-26 | 电子科技大学 | Chinese signature identification method and terminal introducing consistency constraint |
| WO2021218614A1 (en)* | 2020-04-30 | 2021-11-04 | 陈永聪 | Establishment of general artificial intelligence system |
| CN114639088A (en)* | 2022-03-23 | 2022-06-17 | 姜妹英 | Big data automatic navigation method |
| Publication number | Priority date | Publication date | Assignee | Title |
|---|---|---|---|---|
| CN109272010A (en)* | 2018-07-27 | 2019-01-25 | 吉林大学 | Multi-scale Remote Sensing Image fusion method based on convolutional neural networks |
| CN109740552A (en)* | 2019-01-09 | 2019-05-10 | 上海大学 | A Target Tracking Method Based on Parallel Feature Pyramid Neural Network |
| Publication number | Priority date | Publication date | Assignee | Title |
|---|---|---|---|---|
| US11244191B2 (en)* | 2016-02-17 | 2022-02-08 | Intel Corporation | Region proposal for image regions that include objects of interest using feature maps from multiple layers of a convolutional neural network model |
| US10540961B2 (en)* | 2017-03-13 | 2020-01-21 | Baidu Usa Llc | Convolutional recurrent neural networks for small-footprint keyword spotting |
| US10819724B2 (en)* | 2017-04-03 | 2020-10-27 | Royal Bank Of Canada | Systems and methods for cyberbot network detection |
| US20190147255A1 (en)* | 2017-11-15 | 2019-05-16 | Uber Technologies, Inc. | Systems and Methods for Generating Sparse Geographic Data for Autonomous Vehicles |
| US11443178B2 (en)* | 2017-12-15 | 2022-09-13 | Interntional Business Machines Corporation | Deep neural network hardening framework |
| US11087130B2 (en)* | 2017-12-29 | 2021-08-10 | RetailNext, Inc. | Simultaneous object localization and attribute classification using multitask deep neural networks |
| CN108399362B (en)* | 2018-01-24 | 2022-01-07 | 中山大学 | Rapid pedestrian detection method and device |
| CN108460742A (en)* | 2018-03-14 | 2018-08-28 | 日照职业技术学院 | A kind of image recovery method based on BP neural network |
| CN108520206B (en)* | 2018-03-22 | 2020-09-29 | 南京大学 | A Recognition Method of Fungal Microscopic Image Based on Fully Convolutional Neural Network |
| CN109815886B (en)* | 2019-01-21 | 2020-12-18 | 南京邮电大学 | A pedestrian and vehicle detection method and system based on improved YOLOv3 |
| CN109886161B (en)* | 2019-01-30 | 2023-12-12 | 江南大学 | Road traffic identification recognition method based on likelihood clustering and convolutional neural network |
| CN110244734B (en)* | 2019-06-20 | 2021-02-05 | 中山大学 | Automatic driving vehicle path planning method based on deep convolutional neural network |
| AU2019101133A4 (en)* | 2019-09-30 | 2019-10-31 | Bo, Yaxin MISS | Fast vehicle detection using augmented dataset based on RetinaNet |
| Publication number | Priority date | Publication date | Assignee | Title |
|---|---|---|---|---|
| CN109272010A (en)* | 2018-07-27 | 2019-01-25 | 吉林大学 | Multi-scale Remote Sensing Image fusion method based on convolutional neural networks |
| CN109740552A (en)* | 2019-01-09 | 2019-05-10 | 上海大学 | A Target Tracking Method Based on Parallel Feature Pyramid Neural Network |
| Publication number | Publication date |
|---|---|
| CN110986949A (en) | 2020-04-10 |
| Publication | Publication Date | Title |
|---|---|---|
| US20230206603A1 (en) | High-precision point cloud completion method based on deep learning and device thereof | |
| WO2024060395A1 (en) | Deep learning-based high-precision point cloud completion method and apparatus | |
| CN110986949B (en) | Path identification method based on artificial intelligence platform | |
| CN110827398B (en) | Automatic semantic segmentation method for indoor three-dimensional point cloud based on deep neural network | |
| CN115601661B (en) | Building change detection method for urban dynamic monitoring | |
| CN110880200A (en) | Intelligent checking and accepting method for GIM model engineering based on three-dimensional reconstruction technology | |
| CN111028238B (en) | A 3D segmentation method and system for complex special-shaped curved surfaces based on robot vision | |
| CN111538076A (en) | Earthquake magnitude rapid estimation method based on deep learning feature fusion | |
| CN113988147B (en) | Multi-label classification method and device for remote sensing image scene based on graph network, and multi-label retrieval method and device | |
| CN106991666A (en) | A kind of disease geo-radar image recognition methods suitable for many size pictorial informations | |
| CN112966853A (en) | Urban road network short-term traffic flow prediction method based on space-time residual error mixed model | |
| CN114898212B (en) | Method for extracting multi-feature change information of high-resolution remote sensing image | |
| CN115731355B (en) | SuperPoint-NeRF-based three-dimensional building reconstruction method | |
| CN113836999A (en) | Intelligent identification method and system of tunnel construction risk based on ground penetrating radar | |
| CN114332533A (en) | A Landslide Image Recognition Method and System Based on DenseNet | |
| WO2025098506A1 (en) | Point cloud data simplification method for power line towers, and system | |
| CN116503389A (en) | Automatic detection method of root external resorption | |
| CN117710824A (en) | An intelligent RQD analysis method for core images based on the improved Cascade Mask R-CNN model | |
| CN117726911A (en) | A system and method for ground penetrating radar acquisition and target detection based on deep learning | |
| CN118211920A (en) | Smart city progress prediction method and system | |
| CN119478278A (en) | A method, device, equipment and storage medium for parallel explicit sampling of geological modeling | |
| CN117094925A (en) | Pig body point cloud completion method based on point agent enhancement and layer-by-layer up-sampling | |
| CN115586005A (en) | Bearing fault detection method and system based on recursive graph and depth self-adaptive Transformer | |
| CN111383273A (en) | A high-speed rail catenary component location method based on improved structural reasoning network | |
| CN116597167B (en) | Permanent magnet synchronous motor small sample demagnetization fault diagnosis method, storage medium and system |
| Date | Code | Title | Description |
|---|---|---|---|
| PB01 | Publication | ||
| PB01 | Publication | ||
| SE01 | Entry into force of request for substantive examination | ||
| SE01 | Entry into force of request for substantive examination | ||
| GR01 | Patent grant | ||
| GR01 | Patent grant | ||
| EE01 | Entry into force of recordation of patent licensing contract | ||
| EE01 | Entry into force of recordation of patent licensing contract | Application publication date:20200410 Assignee:Yongxin Electronic Technology Co.,Ltd. Assignor:RIZHAO POLYTECHNIC Contract record no.:X2024980017771 Denomination of invention:A path recognition method based on artificial intelligence platform Granted publication date:20230509 License type:Common License Record date:20241011 |