Movatterモバイル変換


[0]ホーム

URL:


CN110986768A - A high-speed acquisition and measurement device for target 3D information - Google Patents

A high-speed acquisition and measurement device for target 3D information
Download PDF

Info

Publication number
CN110986768A
CN110986768ACN201911276052.0ACN201911276052ACN110986768ACN 110986768 ACN110986768 ACN 110986768ACN 201911276052 ACN201911276052 ACN 201911276052ACN 110986768 ACN110986768 ACN 110986768A
Authority
CN
China
Prior art keywords
image acquisition
background plate
acquisition device
image
rotating
Prior art date
Legal status (The legal status is an assumption and is not a legal conclusion. Google has not performed a legal analysis and makes no representation as to the accuracy of the status listed.)
Granted
Application number
CN201911276052.0A
Other languages
Chinese (zh)
Other versions
CN110986768B (en
Inventor
左忠斌
左达宇
Current Assignee (The listed assignees may be inaccurate. Google has not performed a legal analysis and makes no representation or warranty as to the accuracy of the list.)
Tianmu Aishi Beijing Technology Co Ltd
Original Assignee
Tianmu Aishi Beijing Technology Co Ltd
Priority date (The priority date is an assumption and is not a legal conclusion. Google has not performed a legal analysis and makes no representation as to the accuracy of the date listed.)
Filing date
Publication date
Application filed by Tianmu Aishi Beijing Technology Co LtdfiledCriticalTianmu Aishi Beijing Technology Co Ltd
Priority to CN202011184854.1ApriorityCriticalpatent/CN112304222B/en
Priority to CN201911276052.0Aprioritypatent/CN110986768B/en
Publication of CN110986768ApublicationCriticalpatent/CN110986768A/en
Application grantedgrantedCritical
Publication of CN110986768BpublicationCriticalpatent/CN110986768B/en
Priority to PCT/CN2020/134757prioritypatent/WO2021115297A1/en
Activelegal-statusCriticalCurrent
Anticipated expirationlegal-statusCritical

Links

Images

Classifications

Landscapes

Abstract

The invention provides high-speed acquisition and measurement equipment for 3D information of a target object, which comprises an image acquisition device, a rotating device and a background plate, wherein the rotating device is used for driving the image acquisition device to rotate and driving the background plate to rotate; the background plate and the image acquisition device are relatively arranged in the rotation process, so that the background plate becomes a background pattern of an image acquired by the image acquisition device during acquisition; the background plate is required to satisfy a preset condition. It is first proposed to improve both the synthesis speed and the synthesis accuracy by increasing the way in which the background plate rotates together with the camera. By optimizing the size of the background plate, the rotation burden is reduced, and simultaneously the synthesis speed and the synthesis precision can be improved.

Description

High-speed acquisition and measurement equipment for 3D information of target object
Technical Field
The invention relates to the technical field of topography measurement, in particular to the technical field of 3D topography measurement.
Background
When performing 3D measurements, it is necessary to first acquire 3D information. The currently common method includes using a machine vision mode to collect pictures of an object from different angles, and matching and splicing the pictures to form a 3D model. When pictures at different angles are collected, a plurality of cameras can be arranged at different angles of the object to be detected, and the pictures can be collected from different angles through rotation of a single camera or a plurality of cameras. However, both of these methods involve problems of synthesis speed and synthesis accuracy. The synthesis speed and the synthesis precision are a pair of contradictions to some extent, and the improvement of the synthesis speed can cause the final reduction of the 3D synthesis precision; to improve the 3D synthesis accuracy, the synthesis speed needs to be reduced, and more pictures need to be synthesized. In the prior art, in order to simultaneously improve the synthesis speed and the synthesis precision, the synthesis is generally realized by a method of optimizing an algorithm. And the art has always considered that the approach to solve the above problems lies in the selection and updating of algorithms, and no method for simultaneously improving the synthesis speed and the synthesis precision from other angles has been proposed so far. However, the optimization of the algorithm has reached a bottleneck at present, and before no more optimal theory appears, the improvement of the synthesis speed and the synthesis precision cannot be considered.
In the prior art, it has also been proposed to use empirical formulas including rotation angle, object size, object distance to define camera position, thereby taking into account the speed and effect of the synthesis. However, in practical applications it is found that: unless a precise angle measuring device is provided, the user is insensitive to the angle and is difficult to accurately determine the angle; the size of the target is difficult to accurately determine, and particularly, the target needs to be frequently replaced in certain application occasions, each measurement brings a large amount of extra workload, and professional equipment is needed to accurately measure irregular targets. The measured error causes the camera position setting error, thereby influencing the acquisition and synthesis speed and effect; accuracy and speed need to be further improved.
Therefore, ① can greatly improve the synthesis speed and the synthesis precision, ② is convenient to operate, professional equipment is not needed, complicated and excessive measurement is not needed, and the position of the camera can be quickly optimized, ③ is simple in structure and easy to realize.
Disclosure of Invention
In view of the above, the present invention has been made to provide a high-speed acquisition and measurement apparatus for 3D information of an object that overcomes or at least partially solves the above-mentioned problems.
One aspect of the present invention provides a 3D information collecting and measuring apparatus and method, including an image collecting device, a rotating device and a background plate, wherein
The rotating device is used for driving the image acquisition device to rotate and driving the background plate to rotate;
the background plate and the image acquisition device are relatively arranged in the rotation process, so that the background plate becomes a background pattern of an image acquired by the image acquisition device during acquisition;
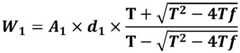
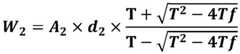
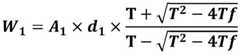
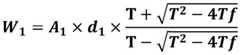
the background plate satisfies: projected in a direction perpendicular to the surface to be imaged, and has a projection shape with a length W in the horizontal direction1Length W in the vertical direction of the projected shape2Is determined by the following conditions:
Figure BDA0002315587250000021
Figure BDA0002315587250000022
wherein d is1For the length of the imaging element in the horizontal direction, d2Is the length of the imaging element in the vertical direction, T is the vertical distance from the sensing element of the image acquisition device to the background plate in the direction of the optical axis, f is the focal length of the image acquisition device, A1、A2Is an empirical coefficient;
wherein A is1>1.04,A2>1.04。
The invention also provides a standard 3D information acquisition and/or measurement method and equipment, when the image acquisition device acquires a target object, the two adjacent acquisition positions meet the following conditions:
Figure BDA0002315587250000023
l is the straight line distance of the optical center of the image acquisition device at two adjacent acquisition positions; f is the focal length of the image acquisition device; d is the rectangular length or width of the photosensitive element of the image acquisition device; t is the distance from the photosensitive element of the image acquisition device to the surface of the target along the optical axis; delta is an adjustment coefficient;
and δ < 0.603.
Alternative, 2>A1>1.1,2>A2>1.1。
Optionally, the background plate and the image acquisition device are respectively arranged at two ends of the rotating beam, and the rotating device drives the rotating beam to rotate.
Alternatively, δ < 0.410.
Alternatively, δ < 0.356.
Optionally, the rotating device is located on the fixed cross beam and drives the rotating cross beam to rotate.
Optionally, the background plate is a flat plate or a curved plate.
Optionally, the background plate body is solid or has indicia.
Optionally, the background plate is an integrally formed or spliced plate.
Another aspect of the present invention provides a 3D identification device using 3D information provided by the above-described device or method.
A third aspect of the invention provides a 3D manufacturing apparatus using 3D information as provided by the apparatus or method described above.
Invention and technical effects
1. It is first proposed to improve both the synthesis speed and the synthesis accuracy by increasing the way in which the background plate rotates together with the camera.
2. By optimizing the size of the background plate, the rotation burden is reduced, and simultaneously the synthesis speed and the synthesis precision can be improved.
3. By optimizing the position of the camera for collecting the picture, the synthesis speed and the synthesis precision can be ensured to be improved simultaneously. And when the position is optimized, the angle and the target size do not need to be measured, and the applicability is stronger.
4. By means of the optimization algorithm, the synthesis speed and the synthesis precision can be guaranteed to be improved simultaneously.
Drawings
Various other advantages and benefits will become apparent to those of ordinary skill in the art upon reading the following detailed description of the preferred embodiments. The drawings are only for purposes of illustrating the preferred embodiments and are not to be construed as limiting the invention. Also, like reference numerals are used to refer to like parts throughout the drawings. In the drawings:
fig. 1 is a front view of a 3D information acquisition apparatus provided in an embodiment of the present invention;
fig. 2 is a perspective view of a 3D information acquisition device according to an embodiment of the present invention;
fig. 3 is another perspective view of a 3D information collecting apparatus according to an embodiment of the present invention;
the correspondence of reference numerals to the respective components is as follows:
the device comprises an image acquisition device 1, arotating device 2, abackground plate 3, a first mounting column 4, a rotatingbeam 5, a horizontal support 6 and asecond mounting column 7.
Detailed Description
Exemplary embodiments of the present disclosure will be described in more detail below with reference to the accompanying drawings. While exemplary embodiments of the present disclosure are shown in the drawings, it should be understood that the present disclosure may be embodied in various forms and should not be limited to the embodiments set forth herein. Rather, these embodiments are provided so that this disclosure will be thorough and complete, and will fully convey the scope of the disclosure to those skilled in the art.
3D information acquisition equipment structure
In order to solve the above technical problem, an embodiment of the present invention provides a 3D information collecting apparatus, which includes an image collecting device 1, arotating device 2, and abackground plate 3.
The image capturing device 1 is used for capturing an image of an object, and may be a fixed focus camera or a zoom camera. In particular, the camera may be a visible light camera or an infrared camera. Of course, it is understood that any device with image capturing function can be used, and does not limit the present invention, and for example, the device can be a CCD, a CMOS, a camera, a video camera, an industrial camera, a monitor, a camera, a mobile phone, a tablet, a notebook, a mobile terminal, a wearable device, a smart glasses, a smart watch, a smart bracelet, and all devices with image capturing function.
Thebackground plate 3 is entirely of a solid color, or mostly (body) of a solid color. In particular, the color plate can be a white plate or a black plate, and the specific color can be selected according to the color of the object body. Thebackground plate 3 is generally a flat plate, and preferably also a curved plate, such as a concave plate, a convex plate, a spherical plate, and even in some application scenarios, a background plate with a wavy surface; the plate can also be made into various shapes, for example, three sections of planes can be spliced to form a concave shape as a whole, or a plane and a curved surface can be spliced. In addition to the surface shape of thebackground plate 3 being variable, the edge shape thereof may be selected as desired. Typically rectilinear, to form a rectangular plate. But in some applications the edges may be curved.
Preferably, thebackground plate 3 is a curved plate, so that the projection size of thebackground plate 3 can be minimized in the case of obtaining the maximum background range. This makes the space that the background board needs when rotating littleer, is favorable to dwindling equipment volume to reduce equipment weight avoids rotating inertia, thereby more is favorable to controlling and rotates.
Regardless of the surface shape and edge shape of thebackground plate 3, the projection is performed in a direction perpendicular to the surface to be photographed, and the projection shape has a length W in the horizontal direction1Length W in the vertical direction of the projected shape2Is determined by the following conditions:
Figure BDA0002315587250000041
Figure BDA0002315587250000042
wherein d is1For the length of the imaging element in the horizontal direction, d2Is the length of the imaging element in the vertical direction, T is the vertical distance from the sensing element of the image acquisition device to the background plate in the direction of the optical axis, f is the focal length of the image acquisition device, A1、A2Are empirical coefficients.
After a large number of experiments, preferably, A1>1.04,A2>1.04; more preferably 2>A1>1.1,2>A2>1.1。
In some application scenarios, the edge of the background plate is non-linear, resulting in the projected image edge being also non-linear after projection. At this time, W is measured at different positions1、W2All are different, so that W is actually calculated1、W2It is not easy to determine. Therefore, it is possible to take 3 to 5 points on the opposite sides of thebackground plate 3 and measure the linear distance between the two opposite pointsTaking the average value of the measurements as W in the above condition1、W2
If thebackground plate 3 is too large, making the cantilever too long, the volume of the device will increase, at the same time placing an extra burden on the rotation, making the device more vulnerable. However, if the background plate is too small, the background is not simple, and the calculation load is increased.
The following table shows experimental control results:
the experimental conditions are as follows:
acquiring an object: head of plaster portrait
A camera: MER-2000-19U3M/C
Lens: OPT-C1616-10M
Empirical coefficientTime of synthesisSynthetic accuracy
A1=1.2,A2=1.23.3 minutesHeight of
A1=1.4,A2=1.43.4 minutesHeight of
A1=0.9,A2=0.94.5 minutesMiddle and high
Is free of7.8 pointsClock (CN)In
Thebackground plate 3 is arranged on a first mounting column 4 through a frame body, and the first mounting column 4 is arranged at one end of arotating beam 5 along the vertical direction; the image acquisition device 1 is installed on the horizontal support, and the horizontal support 6 is connected with the second erection column, andsecond erection column 7 sets up at therotating beam 5 other end along vertical direction. The first mounting post 4 can be horizontally moved along therotating beam 5 to adjust the horizontal position of thebackground plate 3. The second mountingpost 7 can be moved horizontally along therotating beam 5 to adjust the horizontal position of the image pickup device 1. Of course, thebackground plate 3 can be directly mounted on the mounting post, or thebackground plate 3 and the mounting post can be integrally formed.
The frame body of thebackground plate 3 can move up and down along the first mounting column 4, so that the position of thebackground plate 3 in the vertical direction is adjusted; the horizontal bracket 6 can move up and down along the second mountingpost 7, thereby adjusting the position of the image capturing device 1 in the vertical direction.
The image capturing device 1 can also be moved in the horizontal direction along the horizontal bracket 6, thereby adjusting the horizontal position of the image capturing device 1.
The movement can be realized by various ways such as a guide rail, a lead screw, a sliding table and the like.
Therotating beam 5 is connected with the fixed beam through therotating device 2, therotating device 2 drives therotating beam 5 to rotate, so that thebackground plate 3 and the image acquisition device 1 at two ends of the beam are driven to rotate, however, no matter how the background plate rotates, the image acquisition device 1 and thebackground plate 3 are arranged oppositely, and particularly, the optical axis of the image acquisition device 1 penetrates through the center of thebackground plate 3.
The rotating means 2 may be an electric motor and a cooperating rotating transmission system, such as a gear system, a transmission belt, etc.
The light source can be arranged on therotating beam 5, the first upright post 4, the secondupright post 7, the horizontal support 6 and/or the image acquisition device 1, and the light source can be an LED light source or an intelligent light source, namely, the parameters of the light source are automatically adjusted according to the conditions of a target object and ambient light. Usually, the light sources are distributed around the lens of the image capturing device 1, for example, the light sources are ring-shaped LED lamps around the lens. Since in some applications the object to be acquired is a human body, the intensity of the light source needs to be controlled to avoid discomfort to the human body. In particular, a light softening means, for example a light softening envelope, may be arranged in the light path of the light source. Or the LED surface light source is directly adopted, so that the light is soft, and the light is more uniform. Preferably, an OLED light source can be adopted, the size is smaller, the light is softer, and the flexible OLED light source has the flexible characteristic and can be attached to a curved surface.
Between the image capturing device 1 and thebackground plate 3 is typically the object to be captured. When the object is a human body, a seat may be provided in the center of the base of the apparatus. And because the height of different people is different, the seat can be set up to connect liftable structure. The lifting mechanism is driven by a driving motor and is controlled to lift by a remote controller. Of course, the lifting mechanism can also be controlled by the control terminal in a unified way. Namely, the control panel of the driving motor communicates with the control terminal in a wired or wireless mode to receive the command of the control terminal. The control terminal can be a computer, a cloud platform, a mobile phone, a tablet, a special control device and the like.
However, when the target is an object, a stage may be provided at the center of the base of the apparatus. Similarly, the object stage can be driven by the lifting structure to adjust the height so as to conveniently acquire the information of the target object. The specific control method and connection relationship are the same as those described above, and are not described in detail. However, in particular, unlike a human being, the object does not cause discomfort when rotating, and therefore the stage can be rotated by the rotation device, and the image capturing device 1 and thebackground plate 3 are driven to rotate without rotating therotating beam 5 during capturing. Of course, the stage and therotating beam 5 may be rotated simultaneously.
To facilitate the actual size measurement of the object, 4 markers may be placed on the seat or stage, and the coordinates of these markers are known. The absolute size of the 3D synthetic model is obtained by collecting the mark points and combining the coordinates thereof. The marker points may be located on a head rest on the seat.
The device further comprises a processor, also called processing unit, for synthesizing a 3D model of the object according to the plurality of images acquired by the image acquisition means and according to a 3D synthesis algorithm, to obtain 3D information of the object.
3D information acquisition method flow
The object is placed between the image capture device 1 and thebackground plate 3. Preferably on the extension of the rotation axis of therotating device 2, i.e. at the center of the circle around which the image capturing device 1 rotates. Therefore, the distance between the image acquisition device 1 and the target object is basically unchanged in the rotation process, so that the situation that the image acquisition is not clear due to the drastic change of the object distance or the requirement on the depth of field of the camera is too high (the cost is increased) is prevented.
When the subject is a head of a human body, a seat may be placed between the image pickup device 1 and thebackground plate 3, and when the human is seated, the head is located right near the rotation axis and between the image pickup device 1 and thebackground plate 3. Since each person is of a different height, the height of the area to be collected (e.g. the head of a person) is different. The position of the human head in the visual field of the image acquisition device 1 can be adjusted by adjusting the height of the seat. When the collection of object is carried out, can put the thing platform with seat replacement.
In addition to adjusting the height of the seat, the center of the target object can be ensured to be located at the center of the field of view of the image capturing device 1 by adjusting the height of the image capturing device 1 and the height of thebackground plate 3 in the vertical direction. For example, the background plate can be moved up and down along the first mounting 4 column and the horizontal bracket 6 carrying the image capturing device 1 can be moved up and down along thesecond mounting column 7. Typically, the movement of thebackground plate 3 and the image capturing device 1 is synchronized, ensuring that the optical axis of the image capturing device 1 passes through the center position of thebackground plate 3.
The size of the target object is greatly different in each acquisition. If the image acquisition device 1 acquires images at the same position, the ratio of the target object in the images can be changed greatly. For example, when the size of the object a is proper in the image, if the object B is changed to be a smaller object, the proportion of the object B in the image will be very small, which greatly affects the subsequent 3D synthesis speed and accuracy. Therefore, the image acquisition device 1 can be driven to move back and forth on the horizontal support, and the proportion of the target object in the picture acquired by the image acquisition device 1 is ensured to be proper.
The object is ensured to be basically fixed, therotating device 2 drives the image acquisition device 1 and thebackground plate 3 to rotate around the object by rotating therotating beam 5, and the two are ensured to be opposite in the rotating process. When the collection is carried out in the rotating process, the collection can be continuously rotated and collected at fixed angles; or stopping rotating at the position with a fixed interval angle for collection, continuing rotating after collection, and continuing stopping rotating at the next position for collection.
3D acquisition camera position optimization
According to a number of experiments, the separation distance of the acquisitions preferably satisfies the following empirical formula:
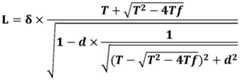
when 3D acquisition is performed, the two adjacent acquisition positions of the image acquisition device 1 satisfy the following conditions:
Figure BDA0002315587250000071
wherein L is the linear distance of the optical center of the image acquisition device 1 at two adjacent acquisition positions; f is the focal length of the image acquisition device 1; d is the rectangular length or width of the photosensitive element (CCD) of the image acquisition device 1; t is the distance from the photosensitive element of the image acquisition device 1 to the surface of the target along the optical axis; δ is the adjustment factor, δ < 0.603.
When the two positions are along the length direction of the photosensitive element of the image acquisition device 1, d is a rectangular length; when the two positions are along the width direction of the photosensitive element of the image pickup device 1, d takes a rectangular width.
When the image pickup device 1 is in any one of the two positions, the distance from the photosensitive element to the surface of the object along the optical axis is taken as T. In addition to this method, in another case, L is An、An+1Linear distance between optical centers of two image capturing devices 1 and An、An+1Two image capturing devices 1 adjacent to each other An-1、An+2Two image capturing devices 1 and An、An+1The distances from the respective photosensitive elements of the two image acquisition devices 1 to the surface of the target along the optical axis are respectively Tn-1、Tn、Tn+1、Tn+2,T=(Tn-1+Tn+Tn+1+Tn+2)/4. Of course, the average value may be calculated by using more positions than the adjacent 4 positions.
L should be a straight-line distance between the optical centers of the two image capturing devices 1, but since the optical center positions of the image capturing devices are not easily determined in some cases, the centers of the photosensitive elements of the image capturing devices 1, the geometric centers of the image capturing devices 1, the axial centers of the image capturing devices 1 connected to the pan/tilt head (or platform, support), and the centers of the lens proximal and distal surfaces may be used instead in some cases, and the errors caused by the replacement are found to be within an acceptable range through experiments.
In general, parameters such as object size and angle of view are used as means for estimating the position of a camera in the prior art, and the positional relationship between two cameras is also expressed in terms of angle. Because the angle is not well measured in the actual use process, it is inconvenient in the actual use. Also, the size of the object may vary with the variation of the measurement object. For example, when the head of a child is collected after 3D information on the head of an adult is collected, the head size needs to be measured again and calculated again. The inconvenient measurement and the repeated measurement bring errors in measurement, thereby causing errors in camera position estimation. According to the scheme, the experience conditions required to be met by the position of the camera are given according to a large amount of experimental data, so that the problem that the measurement is difficult to accurately measure the angle is solved, and the size of an object does not need to be directly measured. In the empirical condition, d and f are both fixed parameters of the camera, and corresponding parameters can be given by a manufacturer when the camera and the lens are purchased without measurement. And T is only a straight line distance, and can be conveniently measured by using a traditional measuring method, such as a ruler and a laser range finder. Therefore, the empirical formula of the invention enables the preparation process to be convenient and fast, and simultaneously improves the arrangement accuracy of the camera position, so that the camera can be arranged in an optimized position, thereby simultaneously considering the 3D synthesis precision and speed, and the specific experimental data is shown in the following.
Experiments were conducted using the apparatus of the present invention, and the following experimental results were obtained.
Figure BDA0002315587250000091
The camera lens is replaced, and the experiment is carried out again, so that the following experiment results are obtained.
Figure BDA0002315587250000092
The camera lens is replaced, and the experiment is carried out again, so that the following experiment results are obtained.
Figure BDA0002315587250000093
From the above experimental results and a lot of experimental experiences, it can be found that the value of δ should satisfy δ <0.603, and at this time, a part of the 3D model can be synthesized, although a part cannot be automatically synthesized, it is acceptable in the case of low requirements, and the part which cannot be synthesized can be compensated manually or by replacing the algorithm. Particularly, when the value of δ satisfies δ <0.410, the balance between the synthesis effect and the synthesis time can be optimally taken into consideration; delta <0.356 can be chosen for better synthesis, where the synthesis time is increased but the synthesis quality is better. Of course, to further enhance the synthesis effect, δ <0.311 may be selected. When the delta is 0.681, the synthesis is not possible. It should be noted that the above ranges are only preferred embodiments and should not be construed as limiting the scope of protection.
Moreover, as can be seen from the above experiment, for the determination of the photographing position of the camera, only the camera parameters (focal length f, CCD size) and the distance T between the camera CCD and the object surface need to be obtained according to the above formula, which makes it easy to design and debug the device. Since the camera parameters (focal length f, CCD size) are determined at the time of purchase of the camera and are indicated in the product description, they are readily available. Therefore, the camera position can be easily calculated according to the formula without carrying out complicated view angle measurement and object size measurement. Particularly, in some occasions, the lens of the camera needs to be replaced, and then the position of the camera can be obtained by directly replacing the conventional parameter f of the lens and calculating; similarly, when different objects are collected, the measurement of the size of the object is complicated due to the different sizes of the objects. By using the method of the invention, the position of the camera can be determined more conveniently without measuring the size of the object. And the camera position determined by the invention can give consideration to both the synthesis time and the synthesis effect. Therefore, the above-described empirical condition is one of the points of the present invention.
The above data are obtained by experiments for verifying the conditions of the formula, and do not limit the invention. Without these data, the objectivity of the formula is not affected. Those skilled in the art can adjust the equipment parameters and the step details as required to perform experiments, and obtain other data which also meet the formula conditions.
3D Synthesis Process
According to the above-described acquisition method, the image acquisition apparatus 1 acquires a set of images of the object by moving relative to the object;
the processing unit obtains the 3D information of the target object according to a plurality of images in the group of images. The specific algorithm is as follows. Of course, the processing unit may be directly disposed in the housing where the image capturing device 1 is located, or may be connected to the image capturing device 1 through a data line or in a wireless manner. For example, an independent computer, a server, a cluster server, or the like may be used as a processing unit, and the image data acquired by the image acquisition apparatus 1 may be transmitted thereto to perform 3D synthesis. Meanwhile, the data of the image acquisition device 1 can be transmitted to the cloud platform, and 3D synthesis is performed by using the powerful computing capability of the cloud platform.
When the collected pictures are used for 3D synthesis, the existing algorithm can be adopted, and the optimized algorithm provided by the invention can also be adopted, and the method mainly comprises the following steps:
step 1: and performing image enhancement processing on all input photos. The contrast of the original picture is enhanced and simultaneously the noise suppressed using the following filters.
Figure BDA0002315587250000111
In the formula: g (x, y) is the gray value of the original image at (x, y), f (x, y) is the gray value of the original image at the position after being enhanced by the Wallis filter, and mgIs the local gray average value, s, of the original imagegIs the local standard deviation of gray scale of the original image, mfFor the transformed image local gray scale target value, sfThe target value of the standard deviation of the local gray scale of the image after transformation. c belongs to (0, 1) as the expansion constant of the image variance, and b belongs to (0, 1) as the image brightness coefficient constant.
The filter can greatly enhance image texture modes of different scales in an image, so that the quantity and the precision of feature points can be improved when the point features of the image are extracted, and the reliability and the precision of a matching result are improved in photo feature matching.
The method mainly comprises the steps of ① constructing a Hessian matrix, generating all interest points for feature extraction, aiming at generating stable edge points (mutant points) of an image, ② constructing a scale space feature point position, comparing each pixel point processed by the Hessian matrix with 26 points in a two-dimensional image space and scale space neighborhood, preliminarily positioning key points, filtering weak key points compared with energy, screening out the finally positioned key points, selecting a stable key point, and taking the maximum charar direction as a wavelet characteristic vector matching region, taking the maximum charar direction of the wavelet characteristic vector matching region as a wavelet characteristic vector matching horizontal characteristic vector, taking the maximum charar direction of the wavelet characteristic vector matching region as a vertical characteristic vector matching vector, taking the maximum charar direction of the wavelet characteristic vector matching horizontal characteristic vector of two adjacent points as a vertical characteristic vector matching region, taking the maximum charar direction of the wavelet characteristic vector matching horizontal characteristic vector matching region as a vertical characteristic vector matching region, taking the maximum charar vector matching horizontal characteristic vector matching horizontal characteristic vector matching region as a vertical characteristic vector matching region, taking the wavelet characteristic vector matching region as a vertical characteristic vector matching region, taking the maximum charar matching vector matching horizontal characteristic vector matching region as a vertical characteristic vector matching region, taking the wavelet transform region as a vertical characteristic vector matching region, and a wavelet transform region, and a vertical characteristic vector matching region as a wavelet transform region, wherein the wavelet transform region, the wavelet.
And step 3: inputting matched feature point coordinates, resolving sparse human face three-dimensional point cloud and position and posture data of a photographing camera by using a light beam method adjustment, namely obtaining model coordinate values of the sparse human face model three-dimensional point cloud and the position; and performing multi-view photo dense matching by taking the sparse feature points as initial values to obtain dense point cloud data. The process mainly comprises four steps: stereo pair selection, depth map calculation, depth map optimization and depth map fusion. For each image in the input data set, we select a reference image to form a stereo pair for use in computing the depth map. Therefore, we can get rough depth maps of all images, which may contain noise and errors, and we use its neighborhood depth map to perform consistency check to optimize the depth map of each image. And finally, carrying out depth map fusion to obtain the three-dimensional point cloud of the whole scene.
And 4, step 4: and reconstructing a human face curved surface by using the dense point cloud. The method comprises the steps of defining an octree, setting a function space, creating a vector field, solving a Poisson equation and extracting an isosurface. And obtaining an integral relation between the sampling point and the indicating function according to the gradient relation, obtaining a vector field of the point cloud according to the integral relation, and calculating the approximation of the gradient field of the indicating function to form a Poisson equation. And (3) solving an approximate solution by using matrix iteration according to a Poisson equation, extracting an isosurface by adopting a moving cube algorithm, and reconstructing a model of the measured point cloud.
The method comprises the following steps of 5, carrying out full-automatic texture mapping on a face model, carrying out texture mapping after the surface model is built, wherein the main process comprises ① obtaining texture data to obtain a surface triangular surface grid of a target reconstructed through an image, ② analyzing the visibility of a triangular surface of the reconstructed model, calculating a visible image set and an optimal reference image of each triangular surface by using calibration information of the image, ③ clustering the triangular surfaces to generate texture patches, clustering the triangular surfaces into a plurality of reference image texture patches according to the visible image set, the optimal reference image and the neighborhood topological relation of the triangular surfaces, automatically sequencing ④ texture patches to generate texture images, sequencing the generated texture patches according to the size relation, generating the texture image with the minimum surrounding area, and obtaining texture mapping coordinates of each triangular surface.
It should be noted that the above algorithm is an optimization algorithm of the present invention, the algorithm is matched with the image acquisition condition, and the use of the algorithm takes account of the time and quality of the synthesis, which is one of the inventions of the present invention. Of course, it can be implemented using conventional 3D synthesis algorithms in the prior art, except that the synthesis effect and speed are somewhat affected.
Glasses matching and making
In order to make glasses suitable for the face shape of a user, a 3D model can be synthesized by collecting 3D information of the head of the user, so that a suitable glasses frame is designed or selected according to the size of the 3D model of the head.
The user sits on the seat of the acquisition device, the height of the seat is adjusted according to the height of the user, and meanwhile, the height of thebackground plate 3 and the height of the camera can also be adjusted, so that the center of the head of the user and the optical axis of the image acquisition device 1 are on the same horizontal plane.
The horizontal position of the image acquisition device 1 is adjusted, so that the head of the user is positioned in the middle of the image, the acquisition is complete, and most area is occupied.
Therotation device 2 drives therotation beam 5 to rotate 360 ° so that the image acquisition device 1 rotates 360 ° around the user's head. In the rotating process, image acquisition is carried out at least once at intervals of a certain distance, so that a plurality of pictures of the head of the human body at different angles are obtained. According to a large number of customer experiments, when delta is less than 0.423, the L value calculated according to the experience is an optimal value, and the optimal camera position is obtained by correcting according to the empirical formula and the experimental data of the human head, and the optimal camera position is one of the invention points of the invention.
And (3) synthesizing the plurality of photos into a 3D model by using 3D synthesis software, wherein the adopted method can use a common 3D picture matching algorithm. And after obtaining the 3D mesh model, adding texture information to form a head 3D model.
And selecting a proper glasses frame for the user according to the relevant position size of the 3D head model, such as cheek width, nose bridge height, auricle size and the like.
When designing an article worn on the head for a user, such as glasses, earrings, etc., it is necessary to obtain the absolute size of the 3D information on the head, and thus it is necessary to calibrate the head of the user. However, if the user directly attaches the mark to the head according to the conventional method, the user experience is not good. And other positions are difficult to be pasted with the marked points. Therefore, the invention skillfully arranges the head support on the seat, arranges the mark points on the head support and records the absolute distance between the mark points. When the image acquisition device 1 rotates to the back of the user, the mark points are acquired, and the size of the head 3D model is finally calculated according to the distance between the mark points. Meanwhile, the mark points are arranged at the position, so that the facial information acquisition of the user is not influenced. Therefore, it is one of the inventions of the present invention that the absolute distance of the head 3D information can be obtained while the user experience can be improved. Meanwhile, the mark point can be arranged on the seat as long as the image acquisition device 1 can acquire the position. The marking point may be a standard gauge block, that is, a marker having a certain spatial size and a predetermined absolute size.
The rotation movement of the invention is that the front position collection plane and the back position collection plane are crossed but not parallel in the collection process, or the optical axis of the front position image collection device and the optical axis of the back position image collection device are crossed but not parallel. That is, the capture area of the image capture device moves around or partially around the target, both of which can be considered as relative rotation. Although the embodiment of the present invention exemplifies more orbital rotation, it should be understood that the limitation of the present invention can be used as long as the non-parallel motion between the acquisition region of the image acquisition device and the target object is rotation. The scope of the invention is not limited to the embodiment with track rotation.
The adjacent acquisition positions refer to two adjacent positions on a movement track where acquisition actions occur when the image acquisition device moves relative to a target object. This is generally easily understood for the image acquisition device movements. However, when the target object moves to cause relative movement between the two, the movement of the target object should be converted into the movement of the target object, which is still, and the image capturing device moves according to the relativity of the movement. And then measuring two adjacent positions of the image acquisition device in the converted movement track.
The target object, and the object all represent objects for which three-dimensional information is to be acquired. The object may be a solid object or a plurality of object components. For example, the head, hands, etc. The three-dimensional information of the target object comprises a three-dimensional image, a three-dimensional point cloud, a three-dimensional grid, a local three-dimensional feature, a three-dimensional size and all parameters with the three-dimensional feature of the target object. Three-dimensional in the present invention means having XYZ three-direction information, particularly depth information, and is essentially different from only two-dimensional plane information. It is also fundamentally different from some definitions, which are called three-dimensional, panoramic, holographic, three-dimensional, but actually comprise only two-dimensional information, in particular not depth information.
The capture area in the present invention refers to a range in which the image capture device 1 (e.g., a camera) can capture an image. The image acquisition device 1 in the invention can be a CCD, a CMOS, a camera, a video camera, an industrial camera, a monitor, a camera, a mobile phone, a tablet, a notebook, a mobile terminal, a wearable device, intelligent glasses, an intelligent watch, an intelligent bracelet and all devices with image acquisition function.
The 3D information of multiple regions of the target obtained in the above embodiments can be used for comparison, for example, for identification of identity. Firstly, the scheme of the invention is utilized to acquire the 3D information of the face and the iris of the human body, and the information is stored in a server as standard data. When the system is used, for example, when the system needs to perform identity authentication to perform operations such as payment and door opening, the 3D acquisition device can be used for acquiring and acquiring the 3D information of the face and the iris of the human body again, the acquired information is compared with standard data, and if the comparison is successful, the next action is allowed. It can be understood that the comparison can also be used for identifying fixed assets such as antiques and artworks, namely, the 3D information of a plurality of areas of the antiques and the artworks is firstly acquired as standard data, when the identification is needed, the 3D information of the plurality of areas is acquired again and compared with the standard data, and the authenticity is identified.
In the description provided herein, numerous specific details are set forth. It is understood, however, that embodiments of the invention may be practiced without these specific details. In some instances, well-known methods, structures and techniques have not been shown in detail in order not to obscure an understanding of this description.
Similarly, it should be appreciated that in the foregoing description of exemplary embodiments of the invention, various features of the invention are sometimes grouped together in a single embodiment, figure, or description thereof for the purpose of streamlining the disclosure and aiding in the understanding of one or more of the various inventive aspects. However, the disclosed method should not be interpreted as reflecting an intention that: that the invention as claimed requires more features than are expressly recited in each claim. Rather, as the following claims reflect, inventive aspects lie in less than all features of a single foregoing disclosed embodiment. Thus, the claims following the detailed description are hereby expressly incorporated into this detailed description, with each claim standing on its own as a separate embodiment of this invention.
Those skilled in the art will appreciate that the modules in the device in an embodiment may be adaptively changed and disposed in one or more devices different from the embodiment. The modules or units or components of the embodiments may be combined into one module or unit or component, and furthermore they may be divided into a plurality of sub-modules or sub-units or sub-components. All of the features disclosed in this specification (including any accompanying claims, abstract and drawings), and all of the processes or elements of any method or apparatus so disclosed, may be combined in any combination, except combinations where at least some of such features and/or processes or elements are mutually exclusive. Each feature disclosed in this specification (including any accompanying claims, abstract and drawings) may be replaced by alternative features serving the same, equivalent or similar purpose, unless expressly stated otherwise.
Furthermore, those skilled in the art will appreciate that while some embodiments herein include some features included in other embodiments, rather than other features, combinations of features of different embodiments are meant to be within the scope of the invention and form different embodiments. For example, in the claims, any of the claimed embodiments may be used in any combination.
The various component embodiments of the invention may be implemented in hardware, or in software modules running on one or more processors, or in a combination thereof. It will be appreciated by those skilled in the art that a microprocessor or Digital Signal Processor (DSP) may be used in practice to implement some or all of the functionality of some or all of the components in an apparatus in accordance with embodiments of the present invention. The present invention may also be embodied as apparatus or device programs (e.g., computer programs and computer program products) for performing a portion or all of the methods described herein. Such programs implementing the present invention may be stored on computer-readable media or may be in the form of one or more signals. Such a signal may be downloaded from an internet website or provided on a carrier signal or in any other form.
It should be noted that the above-mentioned embodiments illustrate rather than limit the invention, and that those skilled in the art will be able to design alternative embodiments without departing from the scope of the appended claims. In the claims, any reference signs placed between parentheses shall not be construed as limiting the claim. The word "comprising" does not exclude the presence of elements or steps not listed in a claim. The word "a" or "an" preceding an element does not exclude the presence of a plurality of such elements. The invention may be implemented by means of hardware comprising several distinct elements, and by means of a suitably programmed computer. In the unit claims enumerating several means, several of these means may be embodied by one and the same item of hardware. The usage of the words first, second and third, etcetera do not indicate any ordering. These words may be interpreted as names.
Thus, it should be appreciated by those skilled in the art that while a number of exemplary embodiments of the invention have been illustrated and described in detail herein, many other variations or modifications consistent with the principles of the invention may be directly determined or derived from the disclosure of the present invention without departing from the spirit and scope of the invention. Accordingly, the scope of the invention should be understood and interpreted to cover all such other variations or modifications.

Claims (12)

1. A 3D information acquisition and/or measurement device and method characterized by: comprises an image acquisition device, a rotation device and a background plate, wherein
The rotating device is used for driving the image acquisition device to rotate and driving the background plate to rotate;
the background plate and the image acquisition device are relatively arranged in the rotation process, so that the background plate becomes a background pattern of an image acquired by the image acquisition device during acquisition;
the background plate satisfies: projected in a direction perpendicular to the surface to be imaged, and has a projection shape with a length W in the horizontal direction1Length W in the vertical direction of the projected shape2Is determined by the following conditions:
Figure FDA0002315587240000011
Figure FDA0002315587240000012
wherein d is1For the length of the imaging element in the horizontal direction, d2Is the length of the imaging element in the vertical direction, T is the vertical distance from the sensing element of the image acquisition device to the background plate in the direction of the optical axis, f is the focal length of the image acquisition device, A1、A2Is an empirical coefficient;
wherein A is1>1.04,A2>1.04。
2. A standard 3D information acquisition and/or measurement method and device are characterized in that: when the image acquisition device acquires a target object, the two adjacent acquisition positions meet the following conditions:
Figure FDA0002315587240000013
l is the straight line distance of the optical center of the image acquisition device at two adjacent acquisition positions; f is the focal length of the image acquisition device; d is the rectangular length or width of the photosensitive element of the image acquisition device; t is the distance from the photosensitive element of the image acquisition device to the surface of the target along the optical axis; delta is an adjustment coefficient;
and δ < 0.603.
3. The apparatus and method of claim 1, wherein: 2>A1>1.1,2>A2>1.1。
4. The apparatus and method of claim 1, wherein: the background plate and the image acquisition device are respectively arranged at two ends of the rotating beam, and the rotating device drives the rotating beam to rotate.
5. The apparatus and method of claim 2, wherein: δ < 0.410.
6. The apparatus and method of claim 5, wherein: δ < 0.356; or δ < 0.311; or δ < 0.284; or δ < 0.261; or δ < 0.241; or δ < 0.107.
7. The apparatus and method of claim 1, wherein: the rotating device is positioned on the fixed cross beam and drives the rotating cross beam to rotate.
8. The apparatus and method of claim 1, wherein: the background plate is a flat plate or a curved plate.
9. The apparatus and method of claim 1, wherein: the background plate body is solid or has a mark.
10. The apparatus and method of claim 1, wherein: the background plate is an integrated molding or splicing plate.
11. A 3D identification device, characterized by: 3D information provided using an apparatus or method according to claims 1-10.
12. A 3D manufacturing apparatus, characterized by: 3D information provided using an apparatus or method according to claims 1-10.
CN201911276052.0A2019-12-122019-12-12High-speed acquisition and measurement equipment for 3D information of target objectActiveCN110986768B (en)

Priority Applications (3)

Application NumberPriority DateFiling DateTitle
CN202011184854.1ACN112304222B (en)2019-12-122019-12-12Background board synchronous revolution's 3D information acquisition equipment
CN201911276052.0ACN110986768B (en)2019-12-122019-12-12High-speed acquisition and measurement equipment for 3D information of target object
PCT/CN2020/134757WO2021115297A1 (en)2019-12-122020-12-093d information collection apparatus and method

Applications Claiming Priority (1)

Application NumberPriority DateFiling DateTitle
CN201911276052.0ACN110986768B (en)2019-12-122019-12-12High-speed acquisition and measurement equipment for 3D information of target object

Related Child Applications (1)

Application NumberTitlePriority DateFiling Date
CN202011184854.1ADivisionCN112304222B (en)2019-12-122019-12-12Background board synchronous revolution's 3D information acquisition equipment

Publications (2)

Publication NumberPublication Date
CN110986768Atrue CN110986768A (en)2020-04-10
CN110986768B CN110986768B (en)2020-11-17

Family

ID=70092982

Family Applications (2)

Application NumberTitlePriority DateFiling Date
CN202011184854.1AActiveCN112304222B (en)2019-12-122019-12-12Background board synchronous revolution's 3D information acquisition equipment
CN201911276052.0AActiveCN110986768B (en)2019-12-122019-12-12High-speed acquisition and measurement equipment for 3D information of target object

Family Applications Before (1)

Application NumberTitlePriority DateFiling Date
CN202011184854.1AActiveCN112304222B (en)2019-12-122019-12-12Background board synchronous revolution's 3D information acquisition equipment

Country Status (1)

CountryLink
CN (2)CN112304222B (en)

Cited By (5)

* Cited by examiner, † Cited by third party
Publication numberPriority datePublication dateAssigneeTitle
CN112254638A (en)*2020-10-152021-01-22天目爱视(北京)科技有限公司Intelligent visual 3D information acquisition equipment that every single move was adjusted
CN112253913A (en)*2020-10-152021-01-22天目爱视(北京)科技有限公司Intelligent visual 3D information acquisition equipment deviating from rotation center
CN112303423A (en)*2020-10-152021-02-02天目爱视(北京)科技有限公司Intelligent three-dimensional information acquisition equipment with stable rotation
WO2021115297A1 (en)*2019-12-122021-06-17左忠斌3d information collection apparatus and method
CN116086351A (en)*2023-04-112023-05-09齐鲁工业大学(山东省科学院) Method and device for measuring the out-of-roundness of a gas cylinder

Citations (6)

* Cited by examiner, † Cited by third party
Publication numberPriority datePublication dateAssigneeTitle
EP1193467A3 (en)*2000-09-212003-04-02Hee Man LeeFoot measurement system and method
CN105308412A (en)*2014-04-072016-02-03大邱庆北科学技术院three-dimensional irradiation device
CN106441086A (en)*2015-08-052017-02-22摩多数据(深圳)有限公司3D scanning system
CN106934777A (en)*2017-03-102017-07-07北京小米移动软件有限公司Scan image acquisition methods and device
CN109035379A (en)*2018-09-102018-12-18天目爱视(北京)科技有限公司 A device for 360° 3D measurement and information acquisition of objects
CN109443199A (en)*2018-10-182019-03-08天目爱视(北京)科技有限公司 3D information measurement system based on intelligent light source

Family Cites Families (11)

* Cited by examiner, † Cited by third party
Publication numberPriority datePublication dateAssigneeTitle
CN102393970B (en)*2011-12-132013-06-19北京航空航天大学Object three-dimensional modeling and rendering system as well as generation and rendering methods of three-dimensional model
JP6043974B2 (en)*2012-05-072016-12-14株式会社ミツトヨ Three-dimensional position measuring device, three-dimensional measuring device, and three-dimensional position measuring program
KR101358631B1 (en)*2012-06-012014-02-04주식회사 디오에프연구소A dental desktop 3d scanner that featues cameras and projectors are mounted on a swing arm
CN103063134B (en)*2012-12-262014-07-23浙江大学Gravel geometric feature acquisition system and acquisition method
CN106969725B (en)*2017-05-122023-11-10西南交通大学Angle adjusting equipment for railway ballast particles and measuring device for multi-angle two-dimensional images of angle adjusting equipment
CN207095515U (en)*2017-08-092018-03-13南京林业大学A kind of phytomorph three-dimensional image acquisition apparatus
CN109118089B (en)*2018-08-102022-08-02韩鹏Chinese food banquet platform setting image acquisition device and scoring system
CN109146961B (en)*2018-09-052019-12-31天目爱视(北京)科技有限公司 A 3D measurement and acquisition device based on virtual matrix
CN111060024B (en)*2018-09-052021-11-30天目爱视(北京)科技有限公司3D measuring and acquiring device with rotation center shaft intersected with image acquisition device
CN109443235A (en)*2018-11-022019-03-08滁州市云米工业设计有限公司A kind of industrial design product collecting device for outline
CN109597095A (en)*2018-11-122019-04-09北京大学Backpack type 3 D laser scanning and three-dimensional imaging combined system and data capture method

Patent Citations (6)

* Cited by examiner, † Cited by third party
Publication numberPriority datePublication dateAssigneeTitle
EP1193467A3 (en)*2000-09-212003-04-02Hee Man LeeFoot measurement system and method
CN105308412A (en)*2014-04-072016-02-03大邱庆北科学技术院three-dimensional irradiation device
CN106441086A (en)*2015-08-052017-02-22摩多数据(深圳)有限公司3D scanning system
CN106934777A (en)*2017-03-102017-07-07北京小米移动软件有限公司Scan image acquisition methods and device
CN109035379A (en)*2018-09-102018-12-18天目爱视(北京)科技有限公司 A device for 360° 3D measurement and information acquisition of objects
CN109443199A (en)*2018-10-182019-03-08天目爱视(北京)科技有限公司 3D information measurement system based on intelligent light source

Cited By (6)

* Cited by examiner, † Cited by third party
Publication numberPriority datePublication dateAssigneeTitle
WO2021115297A1 (en)*2019-12-122021-06-17左忠斌3d information collection apparatus and method
CN112254638A (en)*2020-10-152021-01-22天目爱视(北京)科技有限公司Intelligent visual 3D information acquisition equipment that every single move was adjusted
CN112253913A (en)*2020-10-152021-01-22天目爱视(北京)科技有限公司Intelligent visual 3D information acquisition equipment deviating from rotation center
CN112303423A (en)*2020-10-152021-02-02天目爱视(北京)科技有限公司Intelligent three-dimensional information acquisition equipment with stable rotation
CN112254638B (en)*2020-10-152022-08-12天目爱视(北京)科技有限公司Intelligent visual 3D information acquisition equipment that every single move was adjusted
CN116086351A (en)*2023-04-112023-05-09齐鲁工业大学(山东省科学院) Method and device for measuring the out-of-roundness of a gas cylinder

Also Published As

Publication numberPublication date
CN110986768B (en)2020-11-17
CN112304222A (en)2021-02-02
CN112304222B (en)2022-04-08

Similar Documents

PublicationPublication DateTitle
CN111649690B (en)Handheld 3D information acquisition equipment and method
CN112304222B (en)Background board synchronous revolution&#39;s 3D information acquisition equipment
CN112016570B (en)Three-dimensional model generation method for background plate synchronous rotation acquisition
CN111292364A (en)Method for rapidly matching images in three-dimensional model construction process
CN111160136B (en) A standardized 3D information acquisition and measurement method and system
CN111076674B (en)Closely target object 3D collection equipment
CN111208138B (en)Intelligent wood recognition device
CN111292239A (en)Three-dimensional model splicing equipment and method
CN111780682A (en)3D image acquisition control method based on servo system
CN211178345U (en)Three-dimensional acquisition equipment
WO2021115297A1 (en)3d information collection apparatus and method
CN110973763B (en)Foot intelligence 3D information acquisition measuring equipment
CN111445570B (en)Customized garment design production equipment and method
CN111340959B (en)Three-dimensional model seamless texture mapping method based on histogram matching
CN211085114U (en)Take 3D information acquisition equipment of background board
CN113115024B (en)3D information acquisition equipment
WO2021115296A1 (en)Ultra-thin three-dimensional capturing module for mobile terminal
CN111310661A (en)Intelligent 3D information acquisition and measurement equipment for iris
CN211085115U (en)Standardized biological three-dimensional information acquisition device
CN211085152U (en)3D acquisition equipment
CN111207690B (en)Adjustable iris 3D information acquisition measuring equipment
CN111121620B (en)Rotary 3D information rapid acquisition equipment
CN211375622U (en)High-precision iris 3D information acquisition equipment and iris recognition equipment
CN211672690U (en)Three-dimensional acquisition equipment of human foot
CN111325780A (en) A Rapid Construction Method of 3D Model Based on Image Screening

Legal Events

DateCodeTitleDescription
PB01Publication
PB01Publication
SE01Entry into force of request for substantive examination
SE01Entry into force of request for substantive examination
GR01Patent grant
GR01Patent grant

[8]ページ先頭

©2009-2025 Movatter.jp