Movatterモバイル変換


[0]ホーム

URL:


CN110981183B - Manufacturing method of broadband multimode optical fiber preform - Google Patents

Manufacturing method of broadband multimode optical fiber preform
Download PDF

Info

Publication number
CN110981183B
CN110981183BCN201911292696.9ACN201911292696ACN110981183BCN 110981183 BCN110981183 BCN 110981183BCN 201911292696 ACN201911292696 ACN 201911292696ACN 110981183 BCN110981183 BCN 110981183B
Authority
CN
China
Prior art keywords
optical fiber
multimode optical
core layer
wavelength
deposition
Prior art date
Legal status (The legal status is an assumption and is not a legal conclusion. Google has not performed a legal analysis and makes no representation as to the accuracy of the status listed.)
Active
Application number
CN201911292696.9A
Other languages
Chinese (zh)
Other versions
CN110981183A (en
Inventor
黄荣
王润涵
肖武丰
万俊雄
王海鹰
杨笛
张安林
王铁军
Current Assignee (The listed assignees may be inaccurate. Google has not performed a legal analysis and makes no representation or warranty as to the accuracy of the list.)
Sichuan Lefei Photoelectric Technology Co.,Ltd.
Original Assignee
Yangtze Optical Fibre and Cable Co Ltd
Priority date (The priority date is an assumption and is not a legal conclusion. Google has not performed a legal analysis and makes no representation as to the accuracy of the date listed.)
Filing date
Publication date
Application filed by Yangtze Optical Fibre and Cable Co LtdfiledCriticalYangtze Optical Fibre and Cable Co Ltd
Priority to CN201911292696.9ApriorityCriticalpatent/CN110981183B/en
Publication of CN110981183ApublicationCriticalpatent/CN110981183A/en
Application grantedgrantedCritical
Publication of CN110981183BpublicationCriticalpatent/CN110981183B/en
Activelegal-statusCriticalCurrent
Anticipated expirationlegal-statusCritical

Links

Images

Classifications

Landscapes

Abstract

The invention relates to a manufacturing method of a broadband multimode optical fiber preform, which comprises the following steps: taking a quartz glass tube as a deposition liner tube, and sequentially depositing a sunken cladding, an inner cladding and a core layer; fusing the liner pipe deposited with the sunken cladding layer, the inner cladding layer and the core layer into a core rod at the high temperature of 1800-2300 ℃; preparing an outer cladding layer to obtain an optical fiber preform; it is characterized by that when the core layer is deposited, the reaction gas SiCl is introduced4、O2Dopant GeCl4And POCl3P, Ge doped silica core layer, in which POCl is obtained3Along with the carrier gas O by a bubbler2Enters the lining tube and carries gas O2And SiCl4The flow rate ratio O/Si is 4-7. The optical fiber drawn by the multimode optical fiber preform prepared by the method has obviously lower bandwidth-wavelength sensitivity, has high bandwidth performance in a wider wavelength range, and can adapt to the wavelength division multiplexing technology of 850-1100 nm wave bands.

Description

Manufacturing method of broadband multimode optical fiber preform
Technical Field
The invention relates to a manufacturing method of a broadband multimode optical fiber preform, belonging to the technical field of optical communication.
Background
The combination of multimode fiber and Vertical Cavity Surface Emitting Laser (VCSEL) has been the most cost-effective scheme for high-speed short-distance interconnection, and is widely used in the fields of data centers, office centers, high-performance computing centers, storage area networks, and the like. Today, multimode optical fibers have three major trends in performance: bending resistance, high bandwidth and support of multiple wavelengths. The application scenario of the multimode optical fiber is often narrow cabinets, wiring boxes and the like, and the optical fiber can be subjected to a small bending radius, so that the bending insensitivity performance becomes an important index. Proceeding from OM2 to OM4, the bandwidth performance of multimode fiber at 850nm wavelength is multiplied. The supportable transmission capacity of the single-wavelength light source is improved by the technology of parallel transmission of a plurality of multimode optical fibers. However, high-speed transmission systems using single-wavelength light sources of 100Gbps, 400Gbps and above require a large number of parallel optical fibers, which undoubtedly increases the cost and difficulty of cable laying and operation and maintenance management. The development of Short Wavelength Division Multiplexing (SWDM) technology in recent years has expanded the cost advantage of VCSELs from 850nm to longer wavelength windows, resulting in a multiple increase in the transmission capacity of a single multimode fiber. ISO/IEC in 2017 publishes the international standard of OM5 optical fiber, and defines that the optical fiber can support multi-wavelength transmission in the 850-950 nm wave band. Wavelength division multiplexing requires multimode fibers with high bandwidth performance over a wide range of wavelengths.
The core of multimode optical fibers is often formed of Ge-doped SiO2Glass composition, a parabolic refractive index profile is achieved by adjusting the radial content profile of the core Ge. However Ge-doped SiO2Glass has high material dispersion, and a multimode fiber with high Ge doping amount usually has high bandwidth performance only in a narrow waveband, and the bandwidth is sensitive to the wavelength change, so that the application of the wavelength division multiplexing technology is not facilitated. Research shows that the SiO doped with P or F2Glass has much lower material dispersion and lower bandwidth-wavelength sensitivity, which allows it to maintain high bandwidth performance over a wider wavelength band. Patent CN105829928A mentions a multimode optical fiber with Ge, P and F doped in the core, which has minimized Effective Mode Bandwidth (EMB) -wavelength dependence and is suitable for wavelength division multiplexing operation in a small wavelength interval in the 780-1550 nm band. Patent CN101135746B describes a composition containing Al2O3、P2O5、GeO2F and SiO2The component multimode optical fiber has the optimal alpha value change of less than about 780-1550 nmPerformance of 0.01. However, the above patents do not show the specific preparation method of the optical fiber, the key process parameters, the doping method of the dopant, etc.
There are four typical methods of manufacturing optical fiber preforms: modified Chemical Vapor Deposition (MCVD), Plasma Chemical Vapor Deposition (PCVD), Outside Vapor Deposition (OVD), and axial vapor deposition (VAD). The MCVD and PCVD methods belong to an in-tube deposition method, chemical reactions occur on the inner wall of a carrier liner tube, a heat source reciprocates along the axial direction of the liner tube to realize the layer-by-layer deposition of a glass thin layer, a prepared preform consists of thousands of deposited layers, and the gas flow of each reactant of each layer of reaction can be accurately controlled. Compared with VAD and OVD outside tube methods, the inside tube method can obtain more accurate and more complex refractive index distribution, and is an ideal process for preparing multi-component doped and graded-index-distribution optical fibers. Because the heat source of the MCVD process is different from that of the PCVD process, the MCVD process and the PCVD process have difference in process control. Patent CN1289421C describes a method for producing rare-earth doped optical fibers by PCVD process, POCl3The optical fiber is doped as a co-dopant in an evaporation mode, and the evaporation temperature is 20-300 ℃. POCl3Is liquid at normal temperature and has a boiling point of about 105 ℃, and POCl is doped by evaporation3The raw material bottles and pipes need to be kept at temperatures above at least 105 ℃. With evaporation of POCl3Compared with the mode, the raw material heat preservation temperature required by the bubbling method is lower, and the maintenance of equipment such as raw material bottles, pipelines and the like is simpler. Patent CN106116136A describes a method for preparing ytterbium-aluminum-phosphorus-fluorine doped silica optical fiber preform core rod by MCVD process, and POCl is doped by bubbling method3To obtain a composition containing 1.22 to 2.73 mol% of P2O5A large-diameter ytterbium-doped core rod.
The bend insensitive multimode optical fiber that is mainstream at present may include the following parts: first, the refractive index profile precisely controls the portion of the core that exhibits an alpha-parabolic shape, and in principle the smoother the profile is, the more beneficial is the DMD and bandwidth performance of the multimode fiber. The width and depth of the depressed cladding structure formed by fluorine-doped glass directly determine the bending insensitivity of the optical fiber, and the wider and deeper the depressed cladding structure, the better the bending insensitivity of the optical fiber. The outermost side is an outer cladding layer made of pure quartz glass and plays a role of an auxiliary optical waveguide.
P doped in multimode fibers to reduce bandwidth-wavelength sensitivity needs to be precisely designed. Excessive P incorporation greatly reduces SiO2The viscosity of the glass and the glass are easy to deform in the deposition process, which can cause the deterioration of the geometric parameters and bandwidth performance of the optical fiber and bring difficulty to the process control. The core layer roundness of the multi-mode optical fiber preform core rod directly influences the differential mode time delay (DMD) of the optical fiber, and how to control the doping amount of P and the process parameters to ensure that the core rod roundness is in a proper range is a difficulty. Secondly, P participating in the reaction consumes a large amount of oxygen, and the doping of P breaks through the original SiCl4And O2Balance of the ratio between the two, when O2When the supply is insufficient, the finally prepared core rod is scrapped because a large amount of bubbles appear in the core layer; when O is present2When the supply is excessive, the reaction power needs to be increased accordingly to ensure the reaction efficiency, thereby increasing unnecessary energy consumption. The technical methods disclosed in the prior patents and papers do not solve the above process problems well.
Disclosure of Invention
For convenience of introduction to the present disclosure, some terms are defined:
performing: the radial refractive index distribution composed of the core layer and the cladding layer meets the design requirements of the optical fiber and can be directly drawn into a glass rod or a combination body of the designed optical fiber;
core rod: a solid glass preform comprising a core layer and a partial cladding layer;
lining pipe: the hollow glass substrate tube meets certain geometric and doping requirements, and reaction products are deposited on the inner wall of the hollow glass substrate tube;
RIT (rod In tube) process: after the core rod and the sleeve are processed (including tapering, lengthening, corroding, cleaning, drying and the like), the core rod is inserted into the sleeve to form a manufacturing process of a large-size optical fiber preform;
deposition rate: dr (position rate), the weight of the product produced by the chemical vapor deposition reaction in unit time, in grams per minute (g/min); the product refers to a glass layer deposited on the inner wall of the liner tube;
deposition efficiency: de (deposition efficiency), the percentage of the weight of glass product deposited on the inner wall of the liner tube by the chemical vapor deposition reaction per unit time to the total product weight is expressed in units of%; the total product comprises the dust collected in the dust collecting device besides the glass layer deposited on the inner wall of the liner tube;
phosphorus doping flow rate: namely DFP (blowing of phosphorous), bubbling doped POCl3While, the carrier gas O2With POCl3Mixed gas O2/POCl3The flow rate of (4) is in sccm;
phosphorus doping coefficient K: when depositing the core layer, the ratio of the phosphorus doping flow rate to the deposition rate, namely K is DFP/DR, and the unit is ml/g;
oxygen-silicon ratio: i.e., O/Si, O during chemical vapor deposition reaction2And SiCl4The ratio of the flow rates;
out-of-roundness of the core: namely CCir, also called "ovality", the percentage of the difference between the longest diameter Dmax and the shortest diameter Dmin of the core layer to the nominal diameter Dn, CCir being (Dmax-Dmin)/Dn 100%;
the refractive index profile of the core layer of the graded-mode multimode fiber satisfies the following power exponential function distribution:
Figure BDA0002319542410000031
wherein n is1Is the refractive index of the optical fiber axis; r is the distance from the axis of the fiber; a is the optical fiber core radius; alpha is a distribution index; delta0The relative index difference of the relatively pure silica glass at the center of the core.
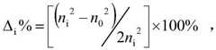
Relative refractive index difference, Δi
Figure BDA0002319542410000032
Wherein n isiIs the refractive index i from the center of the fiber core; n is0The refractive index of pure silica glass.
The problem to be solved by the invention is to provide a method for manufacturing a broadband multimode optical fiber preform, and an optical fiber drawn by the multimode optical fiber preform manufactured by the method has obviously lower bandwidth-wavelength sensitivity and high bandwidth performance in a wider wavelength range.
The technical scheme adopted by the invention for solving the problems comprises the following steps:
taking a quartz glass tube as a deposition liner tube, connecting one end of the quartz glass tube with a raw material supply system, connecting the other end of the quartz glass tube with a vacuumizing and tail gas treatment system, depositing in a PCVD (plasma chemical vapor deposition) process, controlling the pressure of reaction gas in the liner tube through the vacuumizing system, and preserving heat of the whole reaction area in the liner tube through an external heat preservation furnace;
depositing a sunken cladding and an inner cladding in sequence, and introducing reaction gas SiCl4、O2And a doping agent freon, wherein the flow of each reaction gas is controlled by a gas mass flowmeter;
depositing a core layer;
fusing the liner tube deposited with the sinking cladding, the inner cladding and the core layer into a solid glass rod at the high temperature of 1800-2300 ℃, namely the core rod;
pure quartz glass is taken as a sleeve to prepare an optical fiber perform by an RIT process, or an OVD, VAD or APVD overcladding deposition process is adopted to prepare an overcladding layer to prepare the optical fiber perform;
it is characterized in that reaction gas SiCl is introduced when the core layer is deposited4、O2Dopant GeCl4And POCl3P, Ge doped silica core layer, in which POCl is obtained3Along with the carrier gas O by a bubbler2Entering the liner tube, controlling the flow of each reaction gas by a gas mass flowmeter, and carrying a carrier gas O2And SiCl4The flow rate ratio O/Si is 4-7.
According to the scheme, in the core layer deposition process, the O before entering the liner tube is controlled by the gas mass flowmeter2/POCl3Flow rate of mixed gas, to bubbler and O2/POCl3And preserving the heat of the pipeline through which the mixed gas flows.
According to the scheme, in the core layer deposition process, the ratio of the phosphorus-doped flow rate DFP to the deposition rate DR, namely the phosphorus-doped coefficient K is DFP/DR, the unit is ml/g, and the value range of K is 3.7-83 ml/g; more preferably, the value range of K is 8-26.6 ml/g.
According to the scheme, in the deposition process of the core layer, the temperature of the holding furnace is 950-1100 ℃.
According to the scheme, in the deposition process of the depressed cladding and the inner cladding, the temperature of the heat preservation furnace is 1100-1250 ℃, and the temperature of the heat preservation furnace is O2And SiCl4The flow rate ratio O/Si is 1.5-4.
According to the scheme, in the deposition process of the PCVD process, the pressure of the mixed gas in the liner tube is controlled to be 10-18 mBar, and the deposition efficiency is 90-98%.
According to the scheme, the refractive index profile of a multimode optical fiber core layer drawn by the prepared prefabricated rod is parabolic, the distribution index alpha is 1.7-2.2, the radius R1 of the core layer is 12-31.5 mu m, the maximum relative refractive index difference delta 1 of the central position of the core layer is 0.5-2.1%, the radius of an inner cladding layer is R2, the unilateral radial width (R2-R1) is 0-10 mu m, and the relative refractive index difference delta 2 is-0.5-0.2%; the radius of the sunken cladding is R3, the unilateral radial width (R3-R2) is 3-10 mu m, and the relative refractive index difference delta 3 is-1.2-0.25%; the relative refractive index difference delta 4 of the outer cladding is-0.5-0%.
According to the scheme, the multimode optical fiber drawn by the prepared prefabricated rod has an Effective Mode Bandwidth (EMB) of 4700MHz-km or more than 4700MHz-km at the wavelength of 850 nm.
According to the scheme, the multimode optical fiber drawn by the prepared prefabricated rod has an Effective Mode Bandwidth (EMB) of 2470MHz-km or more than 2470MHz-km at the wavelength of 953 nm.
According to the above scheme, the multimode optical fiber drawn from the preform thus obtained has an Effective Mode Bandwidth (EMB) of 2100MHz-km or more at a wavelength of 1060 nm.
According to the scheme, the multimode optical fiber drawn by the prepared prefabricated rod has the full injection bandwidth of 3500MHz-km or more than 3500MHz-km at the wavelength of 850 nm.
According to the scheme, the multimode optical fiber drawn by the prepared prefabricated rod has the full injection bandwidth of 1000MHz-km or more than 1000MHz-km at the wavelength of 1300 nm.
According to the scheme, the multimode optical fiber drawn by the prepared prefabricated rod can adapt to the wavelength division multiplexing technology of 850-1100 nm wave bands.
According to the scheme, the differential mode time delay (DMD) of the multimode optical fiber drawn from the prepared prefabricated rod at the wavelength of 850nm meets the following standard: the DMD Inner Mask (5-18ps/m) and the DMD Outer Mask (0-23ps/m) are both less than or equal to 0.33 ps/m; DMD Interval Mask is less than or equal to 0.25 ps/m; preferably, the DMD of the optical fiber has an Inner Mask (5-18ps/m) and an Outer Mask (0-23ps/m) of 0.14ps/m or less, and a DMD Interval Mask of 0.11ps/m or less.
The invention has the beneficial effects that: 1. the method for preparing the broadband multimode optical fiber preform with the core layer containing two or more than two kinds of doping agents including P, Ge by using the PCVD process is simple in process, convenient to control and suitable for large-scale production; 2. the doping of P can obviously reduce the dispersion of the quartz glass optical fiber, so that the optical fiber has lower bandwidth-wavelength sensitivity, and the bandwidth performance of the obtained optical fiber can keep high bandwidth performance in a wider wavelength range; 3. by reasonably designing the oxygen-silicon ratio of the core layer deposition reaction, the temperature of a holding furnace and other key process parameters, the quality and the qualification rate of the obtained P-doped multimode core rod are effectively improved; 4. the large amount of phosphorus is doped, so that the viscosity of the quartz glass is greatly reduced, and the roundness control difficulty of the core rod is increased. The invention controls the doping amount of P in a reasonable range by the phosphorus doping coefficient K, so that the viscosity reduction amplitude of the core rod is limited, the CCir of the core rod can be ensured to be at an ideal level, and the bandwidth performance of the obtained optical fiber can be ensured to be improved.
Drawings
FIG. 1 is a schematic cross-sectional view of a broadband multimode optical fiber preform according to the present invention.
FIG. 2 is a schematic representation of the refractive index profile of a broadband multimode optical fiber of the present invention.
FIG. 3 is a comparison of the dispersion spectra of the optical fibers obtained in example 1 of the present invention and comparative example 1.
FIG. 4 is a comparison of the effective modal bandwidth versus wavelength distribution of the fibers obtained in examples 1, 2, and 3 of the present invention and comparative example 1.
FIG. 5 is a comparison of the effective modal bandwidth versus wavelength distribution of fibers obtained in example 2 of the present invention and comparative example 3.
Detailed Description
The present invention will be further described with reference to the following detailed examples.
The pure quartzglass liner tube 40 is subjected to doping deposition using a Plasma Chemical Vapor Deposition (PCVD) process. In the deposition process, when the sinkingcladding 30 and theinner cladding 20 are deposited, the furnace temperature of the heat preservation furnace is controlled to be 1100-1250 ℃, and when thecore layer 10 is deposited, the furnace temperature is controlled to be 950-1100 ℃. The deposition efficiency is controlled to be 90-98%. During doping deposition, in the reaction gas SiCl4And O2Introducing fluorine-containing gas for F doping, and introducing GeCl4Ge doping is carried out, POCl is introduced3P doping is carried out, and the pressure of mixed gas in the liner tube is controlled to be 10-18 mBar. POCl3Along with the carrier gas O by a bubbler2Entering a reaction zone, and controlling O before entering a liner tube by a mass flow meter2/POCl3Flow rate of mixed gas, to bubbler and O2/POCl3And preserving the heat of the pipeline through which the mixed gas flows. Other main process parameters are shown in table 1. Ionizing reaction gas in the liner tube into plasma by microwaves, and finally depositing the plasma on the inner wall of the liner tube in the form of glass; after the deposition is finished, the deposited liner tube is fused into a solid core rod by an electric heating furnace; pure quartz glass is taken as a sleeve to prepare a prefabricated rod by an RIT process, or an OVD, VAD or APVD outer cladding deposition process is adopted to prepare anouter cladding layer 50 to prepare the prefabricated rod; 40 and 50 together form an outer wrap. And (3) placing the prefabricated rod on an optical fiber drawing tower to be drawn into an optical fiber, and coating the surface of the optical fiber with an inner layer and an outer layer of ultraviolet cured polyacrylic resin.
A group of bending insensitive multimode fibers are prepared according to the method, the refractive index profile of the fibers is the refractive index profile structure of the existing multimode fibers, and other main process parameters are shown in a table 1.
TABLE 1 other main Process parameters
Figure BDA0002319542410000061
Wherein, the Ge doping amount of the core layer of the example 1 is equivalent to that of the comparative example 1, and the POCl with the phosphorus doping coefficient K of 20 is doped into the core layer of the example 13Whereas the core layer in comparative example 1 was not P-doped. As can be seen from fig. 3, P-doping significantly reduces the material dispersion of the optical fiber obtained in example 1, as compared to comparative example 1.
The Ge doping amount of the core layer of examples 1, 2 and 3 is equivalent to that of comparative example 1, and the core layer of examples 1, 2 and 3 is doped with POCl having phosphorus doping coefficients K of 20, 26.8 and 503Whereas the core layer in comparative example 1 was not P-doped. As can be seen from fig. 4, P-doping significantly reduced the effective modal bandwidth-wavelength sensitivity of the fibers obtained in examples 1, 2, 3 compared to comparative example 1.
Comparative example 3 was prepared by incorporating POCl having a phosphorus doping K of 92.93And the doping amount of P is excessive, and the roundness of the core rod is poor, so that the bandwidth performance of the optical fiber is deteriorated. As shown in fig. 5.
Comparative example 2 was comparable to example 2 in the amount of Ge doped in the core layer and the same phosphorus doping factor K, 26.8, with example 2 having a core oxygen to silicon ratio of 6 and comparative example 2 having a core oxygen to silicon ratio of 3. Comparative example 2 a large amount of bubbles appeared after the core rod was fused due to insufficient oxygen during the phosphorus doping reaction, and the core rod could not be drawn and discarded.
The optical fibers obtained in comparative examples 1 and 3 have a low bandwidth in the long wavelength of 1000nm or more, so that the transmission application of the optical fibers in the wavelength of 1000nm or more is limited, and the optical fibers cannot be adapted to the wavelength division multiplexing technology of 850-1100 nm wave bands.

Claims (9)

1. A method for manufacturing a broadband multimode optical fiber preform, comprising the steps of:
taking a quartz glass tube as a deposition liner tube, connecting one end of the quartz glass tube with a raw material supply system, connecting the other end of the quartz glass tube with a vacuumizing and tail gas treatment system, depositing in a PCVD (plasma chemical vapor deposition) process, controlling the pressure of reaction gas in the liner tube through the vacuumizing system, and preserving heat of the whole reaction area in the liner tube through an external heat preservation furnace;
depositing a sunken cladding and an inner cladding in sequence, and introducing reaction gas SiCl4、O2And a dopant freonControlling the flow of each reaction gas through a gas mass flowmeter;
depositing a core layer;
fusing the liner tube deposited with the sinking cladding, the inner cladding and the core layer into a solid glass rod at the high temperature of 1800-2300 ℃, namely the core rod;
pure quartz glass is taken as a sleeve to prepare an optical fiber perform by an RIT process, or an OVD, VAD or APVD overcladding deposition process is adopted to prepare an overcladding layer to prepare the optical fiber perform;
it is characterized in that reaction gas SiCl is introduced when the core layer is deposited4、O2Dopant GeCl4And POCl3P, Ge doped silica core layer, in which POCl is obtained3Along with the carrier gas O by a bubbler2Entering the liner tube, controlling the flow of each reaction gas by a gas mass flowmeter, and carrying a carrier gas O2And SiCl4The flow rate ratio O/Si is 4-7; in the deposition process of the core layer, the ratio of the phosphorus-doped flow rate DFP to the deposition rate DR, namely the phosphorus-doped coefficient K is equal to DFP/DR, the value range of K is 3.7-83 ml/g, wherein the phosphorus-doped flow rate DFP is carrier gas O2With POCl3Mixed gas O2/POCl3The deposition rate DR is the weight of the product formed by the chemical vapor deposition reaction per unit time, which is the glass layer deposited on the inner wall of the substrate tube.
2. A method for fabricating a broadband multimode optical fiber preform according to claim 1, characterized in that during the core deposition process, the O-flow before entering the liner is controlled by a gas mass flow meter2/POCl3Flow rate of mixed gas, to bubbler and O2/POCl3And preserving the heat of the pipeline through which the mixed gas flows.
3. A method for making a preform for a broadband multimode optical fibre according to claim 1 or 2, characterized in that the holding furnace temperature is 950 to 1100 ℃ during the core deposition.
4. Manufacture of a broadband multimode optical fiber preform according to claim 1 or 2The method is characterized in that in the deposition process of the depressed cladding and the inner cladding, the temperature of a holding furnace is 1100-1250 ℃, and O is2And SiCl4The flow rate ratio O/Si is 1.5-4.
5. The method for fabricating a preform for a broadband multimode optical fiber according to claim 1 or 2, wherein the pressure of the mixed gas in the liner tube is controlled to be 10 to 18mBar during the deposition process of the PCVD process, the deposition efficiency is 90 to 98%, and the deposition efficiency is the percentage of the weight of the glass product deposited on the inner wall of the liner tube by the chemical vapor deposition reaction per unit time to the total product weight.
6. The method of claim 1 or 2, wherein the refractive index profile of the core layer of the multimode optical fiber drawn from the preform is parabolic, the distribution index α is 1.7 to 2.2, the radius R1 of the core layer is 12 to 31.5 μm, the maximum relative refractive index difference Δ 1 at the center of the core layer is 0.5 to 2.1%, the radius of the inner cladding layer is R2, the unilateral radial width R2-R1 is 0 to 10 μm, and the relative refractive index difference Δ 2 is-0.5 to 0.2%; the radius of the sunken cladding is R3, the unilateral radial width R3-R2 is 3-10 μm, and the relative refractive index difference delta 3 is-1.2-0.25%; the relative refractive index difference delta 4 of the outer cladding is-0.5-0%.
7. A method for making a broadband multimode optical fiber preform according to claim 6, characterized in that said multimode optical fiber has an effective mode bandwidth EMB at a wavelength of 850nm of 4700MHz-km or above 4700 MHz-km; the effective mode bandwidth EMB with the wavelength of 953nm of 2470MHz-km or more than 2470 MHz-km; having an effective mode bandwidth EMB of 2100MHz-km or above 2100MHz-km at a wavelength of 1060 nm.
8. The method of making a broadband multimode optical fiber preform according to claim 6, wherein the multimode optical fiber has a full injection bandwidth of 3500MHz-km or more at a wavelength of 850 nm; with a full injection bandwidth of 1000MHz-km or above at 1300nm wavelength.
9. The method for fabricating a preform for a multimode broadband optical fiber according to claim 6, wherein the multimode optical fiber is adapted to wavelength division multiplexing in the wavelength range of 850 to 1100 nm; the DMD differential mode delay of the fiber at 850nm wavelength meets the following criteria: the DMD Inner Mask 5-18ps/m and the DMD Outer Mask 0-23ps/m are both less than or equal to 0.33 ps/m; DMD Interval Mask is 0.25ps/m or less.
CN201911292696.9A2019-12-162019-12-16Manufacturing method of broadband multimode optical fiber preformActiveCN110981183B (en)

Priority Applications (1)

Application NumberPriority DateFiling DateTitle
CN201911292696.9ACN110981183B (en)2019-12-162019-12-16Manufacturing method of broadband multimode optical fiber preform

Applications Claiming Priority (1)

Application NumberPriority DateFiling DateTitle
CN201911292696.9ACN110981183B (en)2019-12-162019-12-16Manufacturing method of broadband multimode optical fiber preform

Publications (2)

Publication NumberPublication Date
CN110981183A CN110981183A (en)2020-04-10
CN110981183Btrue CN110981183B (en)2021-04-27

Family

ID=70093893

Family Applications (1)

Application NumberTitlePriority DateFiling Date
CN201911292696.9AActiveCN110981183B (en)2019-12-162019-12-16Manufacturing method of broadband multimode optical fiber preform

Country Status (1)

CountryLink
CN (1)CN110981183B (en)

Families Citing this family (1)

* Cited by examiner, † Cited by third party
Publication numberPriority datePublication dateAssigneeTitle
CN113716861A (en)*2021-08-112021-11-30山东富通光导科技有限公司Method for preparing bending insensitive optical fiber by external gas phase deposition method

Citations (10)

* Cited by examiner, † Cited by third party
Publication numberPriority datePublication dateAssigneeTitle
CN1401600A (en)*2002-09-192003-03-12江苏法尔胜光子有限公司Method for improving longitudinal uniformity of optic fibre preform rod
CN1558873A (en)*2001-10-182004-12-29科学和工业研究委员会 Method for making rare earth doped optical fiber
CN101891380A (en)*2010-07-132010-11-24长飞光纤光缆有限公司 A kind of manufacturing method of large-size optical fiber preform rod and its optical fiber
CN101932961A (en)*2007-12-132010-12-29康宁公司Bend resistant multimode optical fiber
CN102153276A (en)*2010-12-302011-08-17上海亨通光电科技有限公司Method for preparing rare earth doped optic fiber preform
CN102515501A (en)*2011-11-292012-06-27富通集团有限公司Method for manufacturing doped optical fibre preform by MCVD (modified chemical vapour deposition)
CN103553320A (en)*2013-11-062014-02-05长飞光纤光缆有限公司Quartz sleeve for large-size optical fiber perform, and manufacturing method thereof
CN103562150A (en)*2011-05-272014-02-05J-等离子有限公司Method for producing a semifinished part for the manufacture of an optical fiber which is optimized in terms of bending
CN103922579A (en)*2014-04-172014-07-16中天科技精密材料有限公司Device for manufacturing prefabricated optical fiber core rod based on base pipe outer diameter maintaining and correcting control and method for manufacturing prefabricated optical fiber core rod by device
CN109188603A (en)*2018-09-252019-01-11长飞光纤光缆股份有限公司Small core diameter graded index fiber

Patent Citations (10)

* Cited by examiner, † Cited by third party
Publication numberPriority datePublication dateAssigneeTitle
CN1558873A (en)*2001-10-182004-12-29科学和工业研究委员会 Method for making rare earth doped optical fiber
CN1401600A (en)*2002-09-192003-03-12江苏法尔胜光子有限公司Method for improving longitudinal uniformity of optic fibre preform rod
CN101932961A (en)*2007-12-132010-12-29康宁公司Bend resistant multimode optical fiber
CN101891380A (en)*2010-07-132010-11-24长飞光纤光缆有限公司 A kind of manufacturing method of large-size optical fiber preform rod and its optical fiber
CN102153276A (en)*2010-12-302011-08-17上海亨通光电科技有限公司Method for preparing rare earth doped optic fiber preform
CN103562150A (en)*2011-05-272014-02-05J-等离子有限公司Method for producing a semifinished part for the manufacture of an optical fiber which is optimized in terms of bending
CN102515501A (en)*2011-11-292012-06-27富通集团有限公司Method for manufacturing doped optical fibre preform by MCVD (modified chemical vapour deposition)
CN103553320A (en)*2013-11-062014-02-05长飞光纤光缆有限公司Quartz sleeve for large-size optical fiber perform, and manufacturing method thereof
CN103922579A (en)*2014-04-172014-07-16中天科技精密材料有限公司Device for manufacturing prefabricated optical fiber core rod based on base pipe outer diameter maintaining and correcting control and method for manufacturing prefabricated optical fiber core rod by device
CN109188603A (en)*2018-09-252019-01-11长飞光纤光缆股份有限公司Small core diameter graded index fiber

Also Published As

Publication numberPublication date
CN110981183A (en)2020-04-10

Similar Documents

PublicationPublication DateTitle
CA1116450A (en)High bandwidth optical waveguides and method of fabrication
JP5674593B2 (en) Low-loss optical fiber and manufacturing method thereof
CN101101354B (en) Fluorine doped fiber
CN102354019B (en)Bent non-sensitive micro-structured optical fiber and production method thereof
CN102798927B (en)Single-mode fiber and manufacture method thereof
JP5687355B2 (en) Multimode optical fiber with bending resistance, large core diameter and high numerical aperture
US4229070A (en)High bandwidth optical waveguide having B2 O3 free core and method of fabrication
US4339174A (en)High bandwidth optical waveguide
EP1813581A1 (en)Method for manufacturing an optical fiber preform, optical fiber preform and optical fiber
JP2005502071A (en) Optical waveguide article having a fluorine-containing region
JP2004530621A (en) Method for producing optical waveguide article having high fluorine content region
CN104291676B (en)A kind of manufacture method of large scale bend-insensitive multimode optical fiber preform
US20080260339A1 (en)Manufacture of depressed index optical fibers
CN108181683B (en)Low-crosstalk large-mode-area multi-core optical fiber and preparation method thereof
CN102225843B (en)Method for producing fiber prefabricated rod
CN112305664A (en)Multipurpose polarization maintaining optical fiber and preparation method thereof
US20110176783A1 (en)Optical fiber and method for fabricating the same
CN101458360B (en)Band-width optimized multi-mould optical fiber and method of manufacturing the same
US20110162413A1 (en)Method of manufacturing optical fiber base material
US8565566B2 (en)Multi-mode optical fiber
CN104261670A (en)Method for manufacturing optical fiber
CN102073098A (en)Broadband multi-mode optical fiber and manufacturing method thereof
CN110981183B (en)Manufacturing method of broadband multimode optical fiber preform
CN110937796B (en)Method for manufacturing broadband multimode optical fiber preform
CN102043197A (en)Bend-resistance multimode optical fiber

Legal Events

DateCodeTitleDescription
PB01Publication
PB01Publication
SE01Entry into force of request for substantive examination
SE01Entry into force of request for substantive examination
GR01Patent grant
GR01Patent grant
TR01Transfer of patent right

Effective date of registration:20210917

Address after:614222 No.2, chejian Road, Jiuli Town, Emeishan City, Leshan City, Sichuan Province

Patentee after:Sichuan Lefei Photoelectric Technology Co.,Ltd.

Address before:430073 Optics Valley Avenue, East Lake New Technology Development Zone, Wuhan, Hubei, 9

Patentee before:YANGTZE OPTICAL FIBRE AND CABLE JOINT STOCK Ltd.

TR01Transfer of patent right

[8]ページ先頭

©2009-2025 Movatter.jp