Movatterモバイル変換


[0]ホーム

URL:


CN110972065A - Building entrance and exit associating method and device, terminal device and storage medium - Google Patents

Building entrance and exit associating method and device, terminal device and storage medium
Download PDF

Info

Publication number
CN110972065A
CN110972065ACN201911223840.3ACN201911223840ACN110972065ACN 110972065 ACN110972065 ACN 110972065ACN 201911223840 ACN201911223840 ACN 201911223840ACN 110972065 ACN110972065 ACN 110972065A
Authority
CN
China
Prior art keywords
entrance
building
exit
entrances
wifi
Prior art date
Legal status (The legal status is an assumption and is not a legal conclusion. Google has not performed a legal analysis and makes no representation as to the accuracy of the status listed.)
Granted
Application number
CN201911223840.3A
Other languages
Chinese (zh)
Other versions
CN110972065B (en
Inventor
王宁君
徐潜
Current Assignee (The listed assignees may be inaccurate. Google has not performed a legal analysis and makes no representation or warranty as to the accuracy of the list.)
Guangdong Genius Technology Co Ltd
Original Assignee
Guangdong Genius Technology Co Ltd
Priority date (The priority date is an assumption and is not a legal conclusion. Google has not performed a legal analysis and makes no representation as to the accuracy of the date listed.)
Filing date
Publication date
Application filed by Guangdong Genius Technology Co LtdfiledCriticalGuangdong Genius Technology Co Ltd
Priority to CN201911223840.3ApriorityCriticalpatent/CN110972065B/en
Publication of CN110972065ApublicationCriticalpatent/CN110972065A/en
Application grantedgrantedCritical
Publication of CN110972065BpublicationCriticalpatent/CN110972065B/en
Activelegal-statusCriticalCurrent
Anticipated expirationlegal-statusCritical

Links

Images

Classifications

Landscapes

Abstract

The invention provides a building entrance and exit association method and device, terminal equipment and a storage medium, wherein the building entrance and exit association method comprises the following steps: detecting the intensity of the satellite signal in real time; judging whether the condition of entering a building through an entrance or leaving the building through the entrance is met according to the intensity change of the satellite signal; if yes, storing the in-out state and the corresponding access in an associated manner; and determining the incidence relation of the building entrance and exit according to the stored multiple entrance and exit results. The method judges whether the building enters or exits the entrance according to the satellite signal intensity detected by the terminal equipment, and then rapidly excavates the association relationship between the entrances and the exits according to the results of multiple judgments, associates the originally independent entrance and the building without manual participation and marking, and saves a large amount of manpower.

Description

Building entrance and exit association method and device, terminal equipment and storage medium
Technical Field
The present invention relates to the field of communications technologies, and in particular, to a building entrance and exit association method and apparatus, a terminal device, and a storage medium.
Background
With the rapid development of science and technology, electronic maps provide convenience for people's daily trips, and have become an essential auxiliary tool. At present, the outlines of buildings in electronic maps established by map manufacturers are basically clear, but the incidence relation among the buildings and the incidence relation among different building entrances and exits cannot be reflected, so that people often walk in curved paths in different buildings, and time is wasted.
Although the problem can be solved by a manual field test statistic method, manual statistics requires to go to each place on the field in person, is time-consuming and labor-consuming, and inevitably has negligence in statistics.
Disclosure of Invention
The invention aims to provide a building entrance and exit association method and device, terminal equipment and a storage medium, which effectively solve the technical problem that the prior art cannot automatically establish the association relationship among buildings and the association relationship among different building entrances and exits.
The technical scheme provided by the invention is as follows:
a building doorway association method comprising:
detecting the intensity of the satellite signal in real time;
judging whether the condition of entering a building through an entrance or leaving the building through the entrance is met or not according to the intensity change of the satellite signal;
if yes, storing the in-out state and the corresponding access in an associated manner;
and determining the incidence relation of the building entrance and exit according to the stored multiple entrance and exit results.
According to the technical scheme, whether the building enters or exits the entrance or the exit is judged according to the satellite signal strength detected by the terminal equipment, the incidence relation among the entrances and the exits is further rapidly mined according to the multiple judgment results, the originally independent entrance and the exit are associated with the building, manual participation and marking are not needed, the data cost is low, a large amount of manpower can be saved, and the data reliability is high.
Further preferably, the determining the association relationship of the building entrance according to the stored multiple entrance and exit results includes:
forming a transfer matrix for the entrance and the exit of each entrance and exit according to the stored multiple entrance and exit results; in the transfer matrix, one row corresponds to an entrance and an exit of a building, the other row corresponds to an entrance and an exit of a building, and the entrances and the exits corresponding to the adjacent entrance and exit states are used as a group;
and clustering the associated entrances and exits according to the transfer matrix to form the transfer matrix aiming at the same building or a plurality of buildings communicated with the entrances and exits, and determining the incidence relation of the entrances and exits.
In the technical scheme, the incidence relation of each access is determined in a mode of forming a transfer matrix, and the method is simple and convenient.
Further preferably, in determining whether a condition for entering a building through an entrance or exiting the building through an entrance is satisfied according to a change in the intensity of the satellite signal, the method includes:
judging whether the intensity of the satellite signal is changed sharply within a first preset time, wherein the change value is greater than a preset intensity threshold value;
if so, further judging whether the duration time of the changed satellite signal state is longer than a second preset time;
if so, determining the time when the satellite signal intensity changes rapidly as the time when the satellite signal enters the building through an entrance or the time when the satellite signal intensity leaves the building through the entrance;
and determining the entrance or exit of the satellite signal when the satellite signal strength changes sharply according to the satellite positioning information.
In the technical scheme, except for the intensity change of the satellite signal, the duration time of the state after the intensity change of the satellite signal is further acquired, and only when the intensity of the satellite signal changes sharply and lasts for a second preset time, the moment is judged to be the moment when the satellite signal enters or leaves the building entrance, so that the corresponding entrance is determined according to satellite positioning, and the entrance is accurately judged.
Further preferably, after determining the association relationship between the building entrances and exits according to the stored multiple entrance and exit results, the method further includes a step of sequentially verifying whether two associated entrances and exits belong to the same building or belong to multiple buildings with communicating entrances and exits, including:
acquiring WiFi Mac and corresponding WiFi strength detected by an entrance and an exit respectively;
calculating the intersection of the WiFi Macs detected at the two entrances and exits, and further calculating the intersection degree of the WiFi Macs at the two entrances and exits;
calculating the difference value of the detected corresponding WiFi strength when entering and exiting the two entrances and exits according to the WiFi Mac of each intersection;
calculating the similarity of the two entrances and exits according to the intersection degree of the WiFi Macs of the two entrances and exits and the difference value of the WiFi strength of each intersection;
and determining whether the two entrances and exits belong to the same building or belong to a plurality of buildings with communicated entrances and exits according to the similarity.
In the technical scheme, the similarity of the two entrances and exits is further analyzed according to the detected WiFi Mac and the strength of the WiFi Mac, and the accuracy of the incidence relation of the entrances and exits of the building is guaranteed.
The invention also provides a building entrance and exit association device, comprising:
the satellite signal detection module is used for detecting the strength of the satellite signal in real time;
the building entrance and exit judging module is used for judging whether the condition of entering the building through an entrance or leaving the building through the entrance according to the intensity change of the satellite signal detected by the satellite signal detecting module;
the storage module is used for storing the corresponding access state and the corresponding access in an associated manner when the building access judging module judges that the condition of entering the building through an access or leaving the building through the access is met;
and the entrance and exit relationship determining module is used for determining the incidence relationship of the building entrance and exit according to the multiple entrance and exit results stored in the storage module.
According to the technical scheme, whether the building enters or exits the entrance or the exit is judged according to the satellite signal strength detected by the terminal equipment, the incidence relation among the entrances and the exits is further rapidly excavated according to the multiple judgment results, the originally independent entrance and the exit are associated with the building, manual participation and marking are not needed, and a large amount of manpower is saved.
Further preferably, the entrance-exit relationship determination module includes:
the transfer matrix forming unit is used for forming a transfer matrix for the entrance and the exit of each entrance and exit according to the stored multiple entrance and exit results; in the transfer matrix, one row corresponds to an entrance and an exit of a building, the other row corresponds to an entrance and an exit of a building, and the entrances and the exits corresponding to the adjacent entrance and exit states are used as a group;
the transfer matrix clustering unit is used for clustering the related entrances and exits according to the transfer matrix formed by the transfer matrix forming unit to form transfer matrices aiming at the same building or a plurality of buildings communicated with the entrances and exits;
and the incidence relation determining unit is used for determining the incidence relation of the entrance and the exit of the transfer matrix clustered by the transfer matrix clustering unit.
In the technical scheme, the incidence relation of each access is determined in a mode of forming a transfer matrix, and the method is simple and convenient.
Further preferably, the building entry and exit determination module includes:
the in-out judging unit is used for judging whether the intensity of the satellite signal is changed sharply within a first preset time, and the change value is greater than a preset intensity threshold value; the method is used for further judging whether the duration time of the state of the changed satellite signal is longer than a second preset time or not when the intensity of the satellite signal is changed sharply within a first preset time; and when the duration of the changed satellite signal state is longer than a second preset time, determining that the moment when the satellite signal intensity changes sharply is the moment when the satellite signal enters the building through an entrance or the moment when the satellite signal intensity leaves the building through the entrance;
and the entrance and exit judging unit is used for determining the entrance and exit of the satellite signal when the satellite signal intensity changes sharply according to the satellite positioning information.
In the technical scheme, except for the intensity change of the satellite signal, the duration time of the state after the intensity change of the satellite signal is further acquired, and only when the intensity of the satellite signal changes sharply and lasts for a second preset time, the moment is judged to be the moment when the satellite signal enters or leaves the building entrance, so that the corresponding entrance is determined according to satellite positioning, and the entrance is accurately judged.
Further preferably, the building entrance and exit association apparatus further comprises an entrance and exit relationship verification module, configured to sequentially verify whether two associated entrances and exits belong to the same building or to multiple buildings with communicating entrances and exits;
the entrance and exit relationship verification module comprises:
the WiFi Mac acquisition unit is used for acquiring WiFi Mac detected respectively in and out of the two entrances and exits and corresponding WiFi strength;
the computing unit is used for computing the intersection of the WiFi Mac detected by the WiFi Mac acquisition units at the two entrances and exits, and further computing the intersection degree of the WiFi Mac at the two entrances and exits; the WiFi Mac calculation module is used for calculating the difference value of the detected corresponding WiFi strength when the WiFi Mac enters and exits the two entrances and exits according to each intersection; and the similarity of the two entrances and exits is calculated according to the intersection degree of the WiFi Macs of the two entrances and exits and the difference value of the WiFi strengths of the intersections;
and the entrance determining unit is used for determining whether the two entrances belong to the same building or belong to a plurality of buildings with communicated entrances according to the similarity calculated by the calculating unit.
In the technical scheme, the similarity of the two entrances and exits is further analyzed according to the detected WiFi Mac and the strength of the WiFi Mac, and the accuracy of the incidence relation of the entrances and exits of the building is guaranteed.
The invention also provides a terminal device, which comprises a memory, a processor and a computer program stored in the memory and capable of running on the processor, and is characterized in that the processor realizes the steps of the building entrance association method when running the computer program.
The present invention also provides a computer-readable storage medium storing a computer program, wherein the computer program is executed by a processor to implement the steps of the building doorway associating method.
Drawings
The foregoing features, technical features, advantages and implementations of which will be further described in the following detailed description of the preferred embodiments in a clearly understandable manner in conjunction with the accompanying drawings.
FIG. 1 is a flow chart of an embodiment of a building doorway correlation method of the present invention;
FIG. 2 is a schematic diagram of the change in GPS signal strength during the entrance and exit of a building;
FIG. 3 is a flow chart of another embodiment of a building doorway correlation method of the present invention;
FIG. 4 is a diagram of the association between an entrance and a building;
FIG. 5 is a flow chart of another embodiment of a building doorway correlation method of the present invention;
FIG. 6 is a schematic structural diagram of an embodiment of a building doorway linking apparatus according to the present invention;
FIG. 7 is a schematic structural diagram of another embodiment of the building doorway linking apparatus of the present invention;
FIG. 8 is a schematic structural diagram of another embodiment of the building doorway linking apparatus of the present invention;
fig. 9 is a schematic structural diagram of a terminal device in the present invention.
The reference numbers illustrate:
100-building entrance and exit association device, 110-satellite signal detection module, 120-building entrance and exit judgment module, 121-entrance and exit judgment unit, 122-entrance and exit judgment unit, 130-storage module, 140-entrance and exit relationship determination module and 150-entrance and exit relationship verification module.
Detailed Description
In order to more clearly illustrate the embodiments of the present invention or the technical solutions in the prior art, specific embodiments of the present invention will be described below with reference to the accompanying drawings. It is to be understood that the drawings in the following description are merely exemplary of the invention and that other drawings and embodiments may be devised by those skilled in the art without the use of inventive faculty.
A first embodiment of the present invention, a building doorway associating method, as shown in fig. 1, includes: s10, detecting the strength of the satellite signals in real time; s20, judging whether the condition of entering the building through an entrance or leaving the building through an entrance is satisfied according to the intensity change of the satellite signal; s30, if yes, storing the access state and the corresponding access in an associated manner; s40, determining the association relationship of building entrance and exit according to the stored multiple entrance and exit results.
In the present embodiment, the terminal device equipped with the satellite sensor detects the intensity of the satellite signal in real time, and enters the building according to the detected intensity of the satellite signal. Generally, a building blocks a satellite signal, so that when the environment is switched between indoor and outdoor of the building, the satellite signal intensity changes sharply, and specifically, when the building enters through an entrance, the satellite signal intensity changes sharply from a certain value to a minimum value (the minimum value is specifically a value close to 0 or even 0); when the satellite signal is leaving the building through the entrance, the satellite signal intensity is rapidly changed from a minimum value to a constant value, and thus whether the conditions for entering the building through the entrance or leaving the building through the entrance are satisfied is determined. When the condition of entering or leaving the building entrance is met, the entrance state is recorded, so that the association relationship between the entrances and the exits can be conveniently and rapidly mined according to the multiple judgment results, and the originally independent entrance and exit are associated with the building. In one example, the satellite sensor is a GPS sensor, and the current terminal device is generally configured with the GPS sensor, so that the purpose of the embodiment can be achieved without adding extra hardware. In other examples, the terminal device may further be configured with a satellite sensor of another positioning system, such as beidou, which is not limited herein.
In order to accurately determine whether the change in the satellite signal strength satisfies the condition of entering the building through an entrance or leaving the building through an entrance, the embodiment is modified, and in this embodiment, the building entrance association method includes: s10, detecting the strength of the satellite signals in real time; s21, judging whether the intensity of the satellite signal changes sharply within a first preset time, wherein the change value is greater than a preset intensity threshold value; if so, further judging whether the duration time of the changed satellite signal state is longer than a second preset time; s23, if yes, determining that the time when the satellite signal intensity changes rapidly is the time when the satellite signal enters a building through an entrance or the time when the satellite signal intensity leaves the building through the entrance; s24, determining the entrance or exit of the satellite signal intensity at the moment of sharp change according to the satellite positioning information; s30, if yes, storing the access state and the corresponding access in an associated manner; s40, determining the association relationship of building entrance and exit according to the stored multiple entrance and exit results.
In this embodiment, in addition to the intensity variation of the satellite signal as the basis for determining whether to enter or leave a building entrance, the duration of the state after the intensity variation of the satellite signal is also used as the basis for determination. And only when the satellite signal intensity changes sharply and lasts for a second preset time, judging that the moment is the moment of entering or leaving the building entrance, further determining the corresponding entrance according to satellite positioning, and accurately judging the entrance.
Since the intensity of the satellite signal changes instantaneously when entering the building through the doorway and when leaving the building through the doorway, the first preset time should be set as small as possible, for example, set to 1s, 5s, 10s, 30s, 1min, and the like, and is not limited herein. The preset intensity threshold may be set according to actual conditions, such as 30dB, 50dB, etc., to ensure that the noise of the interference is eliminated. The second preset time is the duration of the satellite signal intensity after the satellite signal intensity is changed, and can also be set according to the actual situation, and the time can be set relatively longer to improve the accuracy of the entrance and exit judgment, for example, set to be 2min, 5min or more. For the state after the satellite signal strength changes: when entering the entrance of the building, the satellite signal intensity changes from a certain value to a minimum value rapidly, and the changed satellite signal state is the state that the satellite signal intensity is in the minimum value; when the satellite signal strength changes abruptly from a minimum value to a certain strength value when the satellite signal leaves the entrance of the building, the state of the changed satellite signal is a state in which the satellite signal strength is the strength value. Certainly, in order to improve the accuracy of the determination, a certain change threshold, such as 5dB, 10dB, etc., is set in advance for the satellite signal strength value change after the change, so as to avoid the small-range fluctuation of the satellite signal strength caused by external interference.
In one example, as shown in fig. 2, the GPS signal strength changes during the entrance and exit of the building, where the abscissa is time t in units of s, the ordinate is GPS signal strength in units of dB, the preset strength threshold is set to 50dB, the second preset time is set to 5min, and then thetime ① and thetime ④ are determined as the time when the building enters through an entrance and thetime ② and thetime ③ are interference times.
Determining an entrance or an exit where the satellite signal intensity changes sharply according to the satellite positioning information, obtaining the position information of the satellite signal intensity at the sharp change time, then comparing the position information (longitude and latitude information) with the stored position information of the entrance or the exit, and if the distance between the position information of the entrance or the exit and the position information of a certain entrance is less than a preset distance threshold, determining the entrance or the exit as the same entrance; if the distance between the entrance and the exit is larger than a preset distance threshold value, the entrance is judged to be a new entrance and the exit is not stored in advance, then the entrance and the exit are named and are stored in association with the entrance and exit state. The preset distance threshold is set according to actual conditions, such as 10m, 20m and the like.
In one example, the memory stores the entrance doorway A, the exit doorway B, the entrance doorway A, the exit doorway C, and the position information of each doorway. When the intensity change of the satellite signal is judged to meet the condition that the satellite signal enters a building through an entrance, and the position of the entrance is 5m away from the entrance A and is smaller than a preset distance threshold value 20m, the entrance is judged to be the entrance A at the moment, and the state of entering the entrance A is stored; and when the intensity change of the satellite signal is judged to meet the condition that the satellite signal leaves the building through an entrance, and the distances from the position of the entrance to the entrance A, the position of the entrance to the exit B and the position of the entrance to the exit C are all larger than a preset distance threshold value 20m, judging that the exit memory which leaves at the moment is not stored, naming the exit memory as the entrance D, and storing the state of the exit D and the position information of the entrance D.
The present embodiment is obtained by modifying the above-described embodiment, and in the present embodiment, as shown in fig. 3, the building entrance and exit association method includes: s10, detecting the strength of the satellite signals in real time; s20, judging whether the condition of entering the building through an entrance or leaving the building through an entrance is satisfied according to the intensity change of the satellite signal; s30, if yes, storing the access state and the corresponding access in an associated manner; s41, forming a transfer matrix for the entrance and the exit of each entrance and exit according to the stored multiple entrance and exit results; s42, clustering the related entrances and exits according to the transfer matrix to form the transfer matrix aiming at the same building or a plurality of buildings with the entrances and exits communicated, and determining the incidence relation of the entrances and exits.
In this embodiment, when it is determined from the detected satellite signal intensity that the condition for entering or leaving the building entrance is satisfied, the entry/exit state is recorded. When the environment is switched from indoor to outdoor or from outdoor to indoor for many times, the records of the access states of the buildings for many times are stored in the memory, and the accesses of the buildings can be identified and marked after a certain number of the records are reached.
In obtaining the incidence relation of each entrance and exit of the building according to the stored multiple entrance and exit states, a transfer matrix is formed according to the stored information. Specifically, the transition matrix is a 2-column matrix, wherein one column corresponds to an entrance and an exit of an entering building, the other column corresponds to an exit and an entrance of an exiting building, and the entrances and the exits corresponding to adjacent entrance and exit states are used as a group (the adjacent entrance and exit of the entering building and the exit of the exiting building are a group). Then, according to the mapping relation of the transfer matrix, clustering is carried out to obtain the transfer matrix with the same entrance, namely, the entrance with the association relation is clustered in the same transfer matrix, each class contains common elements (entrance/exit of entering/leaving buildings), and each class can be used as a mark of one building, so that the association relation of each entrance of the building is accurately judged.
In one example, a GPS sensor is disposed in the terminal device, and after the entrance/exit of the building is determined according to the GPS signal strength detected by the GPS sensor, the information table stored in the memory is shown in table 1.
Table 1: in-out entrance and exit information table
IDEntrance_idCreate_timeIs_entrance
1At11
2Et2-1
3At31
4At4-1
5Bt51
6At6-1
7Ct71
8Dt8-1
9Bt91
10Et10-1
11Dt111
12Dt12-1
Wherein, the entry _ id Is the number of the Entrance, the Create _ time represents the time when the data occurs, the Is _ entry Is the mark of entering or leaving, 1 represents the entering state, and-1 represents the leaving state. The 1 st data indicates that the door A enters at time t1, and the 2 nd data indicates that the door E exits at time t2, and so on.
From the data provided in Table 1, the states before and after entering the building are taken as a combination to form a transition matrix as in equation (1):
Figure BDA0002298773610000101
clustering according to the mapping relationship to obtain the transition matrices with the same access, the transition matrix in the formula (1) can be clustered into two categories as the formula (2) and the formula (3):
Figure BDA0002298773610000102
Figure BDA0002298773610000103
from the above clustering results, the doorway C is associated with the doorway D, and the doorway a, the doorway B, and the doorway E are associated, whereby as shown in fig. 4, the doorway a, the doorway B, and the doorway E are associated with the doorway of the building a, and the doorway C and the doorway D are associated with the doorway of the building B.
In this embodiment, the determining whether the condition for entering the building through an entrance or leaving the building through an entrance is satisfied according to the strength variation of the satellite signal further includes: judging whether the intensity of the satellite signal is changed sharply within a first preset time, wherein the change value is greater than a preset intensity threshold value; if so, further judging whether the duration time of the changed satellite signal state is longer than a second preset time; if so, determining the time when the satellite signal intensity changes rapidly as the time when the satellite signal enters the building through an entrance or the time when the satellite signal intensity leaves the building through the entrance; and determining an entrance or exit at which the satellite signal intensity abruptly changes according to the satellite positioning information, wherein the specific process is the same as that in the previous embodiment and is not described herein.
The present embodiment is obtained by modifying the above-described embodiment, and in the present embodiment, as shown in fig. 5, the building entrance and exit association method includes: s10, detecting the strength of the satellite signals in real time; s20, judging whether the condition of entering the building through an entrance or leaving the building through an entrance is satisfied according to the intensity change of the satellite signal; s30, if yes, storing the access state and the corresponding access in an associated manner; s40, determining the incidence relation of building entrance and exit according to the stored multiple entrance and exit results; s50 sequentially verifies whether two associated entrances and exits belong to the same building or to a plurality of buildings with the entrances and exits communicating with each other.
In this embodiment, in order to avoid that the terminal device cannot completely and accurately acquire the state of the building entrance due to errors such as satellite positioning and the like and that the transition matrix cannot accurately reflect the transition state of the building entrance due to noise accompanying in the original data, after the originally independent entrance and exit are associated with the building according to the satellite signal strength detected by the terminal device, WiFi data is used to verify whether the entrance and exit data are accurate again. Here, when entering or leaving a gateway, in addition to detecting the satellite signal strength, WiFi data, including WiFi Mac and corresponding WiFi strength, are detected at the same time, as shown in table 2.
Table 2: in-out entrance and exit information table
IDEntrance_idWiFi_MacsRssisCreate_timeIs_entrance
1AMac1Rssi1t11
2EMac2Rssi2t2-1
3AMac3Rssi3t31
4AMac4Rssi4t4-1
5BMac5Rssi5t51
6AMac6Rssi6t6-1
7CMac7Rssi7t71
8DMac8Rssi8t8-1
9BMac9Rssi9t91
10EMac10Rssi10t10-1
11DMac11Rssi11t111
12DMac12Rssi12t12-1
Wherein, the entry _ id Is the number of the Entrance, the Create _ time represents the time when the data occurs, the Is _ entry Is the mark of entering or leaving, 1 represents the entering state, and-1 represents the leaving state. The 1 st data indicates that the door A enters at time t1, and the 2 nd data indicates that the door E exits at time t2, and so on. The WiFi _ Macs are WiFi Mac information collected at the time of entering and exiting the entrance and are composed of WiFi Mac lists { Mac1, Mac2, … and Macn }; and the Rssis is a list of WiFi strengths { Rssi1, Rssi2, … and Rssi3} in the collected WiFiMac information, and the length of the Rssis is equal to the WiFi Mac list.
It is assumed that it is verified whether the doorway a and the doorway E in the building a belong to the same building as shown in fig. 4. Entering an entrance A at a time t1 to obtain a WiFi Mac1, wherein the corresponding signal strength isRssi 1; leaving the entrance E at the time of t2 to obtain the WiFi Mac2, wherein the corresponding signal strength is Rssi2, and then the WiFi Mac intersection MAC detected by the two entrancesinterAs shown in formula (4):
Macinter=intersection(Mac1,Mac2)(4)
the intersection β of the two inlet and outlet WiFi macs is as follows (5):
Figure BDA0002298773610000121
when the WiFi Mac of each intersection enters and exits the two entrances, the difference value delta rssi of the corresponding WiFi strength is detected as formula (6):
Δrssi=|rssia-rssie|(6)
wherein rssiaIndicates the WiFi intensity, rssi, of a certain WiFi Mac detected at Access AeIndicating that the entrance E detects the WiFi strength of the WiFi Mac.
The similarity between the two entrances and exits is as shown in formula (7):
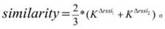
Figure BDA0002298773610000122
when the similarity between entrances is greater than the threshold α, it is determined that the entrances belong to the same building or to multiple buildings with communicating entrances and exits, the threshold α is determined according to the actual situation and is related to the value of K, and is not limited specifically here.
In an example, the gateway a enters at a time t1 to acquire a WiFi Mac _ a, a WiFi Mac _ b and a WiFi Mac _ c, and the WiFi strength corresponding to the WiFi Mac _ a is rssia1WiFi Mac _ b corresponds to a WiFi intensity of rsib1The WiFi strength corresponding to the WiFiMac _ c is rssic1(ii) a Leaving the entrance E at the moment of t2 to obtain WiFi Mac _ a, WiFi Mac _ b and WiFi Mac _ d, wherein the WiFi strength corresponding to the WiFi Mac _ a is rssia2WiFi Mac _ b corresponds to a WiFi intensity of rsib2WiFi Mac _ d corresponds to a WiFi intensity of rsid1. The intersection Mac of the WiFi MACs detected at both entrances and exitsinterWiFi Mac _ a and WiFi Macb; len (Mac)inter) 2, len (min (Mac1, Mac2)) -3, intersection degree β -2/3, and the intensity difference between WiFi Mac _ a and WiFi Mac _ b at two entrances and exits delta rssi1=rssia1-rssia2、Δrssi2=rssib1-rssib2(ii) a Degree of similarity
Figure BDA0002298773610000123
In the embodiment, only the terminal equipment is required to be provided with the satellite sensor (such as a GPS sensor) and the WiFi sensor, the incidence relation between the building entrance and the building exit can be established quickly and accurately without excessive manual participation and manual marking, and the manpower is greatly saved; after the association relationship of the entrance and the exit is established, the accuracy of the association result of the entrance and the exit of the building is ensured through the entrance and exit state and the similarity analysis of the WiFi signals. The building entrance and exit association method can be applied to an electronic map, helps a user to quickly locate and find a position, and can also be applied to other scenes.
The present invention also provides a building doorway correlation apparatus 100, which in one embodiment, as shown in fig. 6, comprises: a satellite signal detection module 110 for detecting the intensity of the satellite signal in real time; a building entrance/exit determining module 120 for determining whether a condition for entering a building through an entrance or leaving the building through an entrance is satisfied according to a change in intensity of the satellite signal detected by the satellite signal detecting module 110; a storage module 130, configured to store the corresponding entry and exit states and corresponding entrances and exits in association when the building entry and exit determining module 120 determines that the condition for entering the building through an entrance or leaving the building through an entrance is satisfied; the entrance and exit relationship determination module 140 is configured to determine an association relationship between the building entrance and exit according to the multiple entrance and exit results stored in the storage module 130.
In this embodiment, the satellite signal detection module 110 detects the strength of the satellite signal in real time and determines whether the detected strength of the satellite signal enters the building. Generally, a building blocks a satellite signal, so that when the environment is switched between indoor and outdoor of the building, the satellite signal intensity changes sharply, and specifically, when the building enters through an entrance, the satellite signal intensity changes sharply from a certain value to a minimum value (the minimum value is specifically a value close to 0 or even 0); when the satellite signal is leaving the building through the entrance, the satellite signal intensity is rapidly changed from a minimum value to a constant value, and thus whether the conditions for entering the building through the entrance or leaving the building through the entrance are satisfied is determined. When the condition of entering or leaving the building entrance is met, the entrance state is recorded, so that the association relationship between the entrances and the exits can be conveniently and rapidly mined according to the multiple judgment results, and the originally independent entrance and exit are associated with the building. In an example, the satellite signal detection module 110 detects the strength of the GPS signal in real time, and the current terminal device is usually configured with a GPS sensor, so that the purpose of the embodiment can be achieved without adding additional hardware. In other examples, the terminal device may further be configured with a satellite sensor of another positioning system, such as beidou, which is not limited herein.
In order to accurately determine whether the variation of the satellite signal strength satisfies the condition of entering the building through an entrance or leaving the building through an entrance, the embodiment is modified, as shown in fig. 7, in the embodiment, the building entrance association apparatus 100 includes a satellite signal detection module 110, a building entrance and exit determination module 120, a storage module 130, and an entrance and exit relationship determination module 140, and the building entrance and exit determination module 120 includes: an in-out determining unit 121, configured to determine whether the intensity of the satellite signal changes sharply within a first preset time, where a change value is greater than a preset intensity threshold; the method is used for further judging whether the duration time of the state of the changed satellite signal is longer than a second preset time or not when the intensity of the satellite signal is changed sharply within a first preset time; and when the duration of the changed satellite signal state is longer than a second preset time, determining that the moment when the satellite signal intensity changes sharply is the moment when the satellite signal enters the building through an entrance or the moment when the satellite signal intensity leaves the building through the entrance; and an entrance/exit determination unit 122 for determining an entrance/exit at which the satellite signal intensity abruptly changes according to the satellite positioning information.
In this embodiment, in addition to the intensity variation of the satellite signal as the basis for determining whether to enter or leave a building entrance, the duration of the state after the intensity variation of the satellite signal is also used as the basis for determination. And only when the satellite signal intensity changes sharply and lasts for a second preset time, judging that the moment is the moment of entering or leaving the building entrance, further determining the corresponding entrance according to satellite positioning, and accurately judging the entrance.
Since the intensity of the satellite signal changes instantaneously when entering the building through the doorway and when leaving the building through the doorway, the first preset time should be set as small as possible, for example, set to 1s, 5s, 10s, 30s, 1min, and the like, and is not limited herein. The preset intensity threshold may be set according to actual conditions, such as 30dB, 50dB, etc., to ensure that the noise of the interference is eliminated. The second preset time is the duration of the satellite signal intensity after the satellite signal intensity is changed, and can also be set according to the actual situation, and the time can be set relatively longer to improve the accuracy of the entrance and exit judgment, for example, set to be 2min, 5min or more. For the state after the satellite signal strength changes: when entering the entrance of the building, the satellite signal intensity changes from a certain value to a minimum value rapidly, and the changed satellite signal state is the state that the satellite signal intensity is in the minimum value; when the satellite signal strength changes abruptly from a minimum value to a certain strength value when the satellite signal leaves the entrance of the building, the state of the changed satellite signal is a state in which the satellite signal strength is the strength value. Certainly, in order to improve the accuracy of the determination, a certain change threshold, such as 5dB, 10dB, etc., is set in advance for the satellite signal strength value change after the change, so as to avoid the small-range fluctuation of the satellite signal strength caused by external interference.
Determining an entrance or an exit where the satellite signal intensity changes sharply according to the satellite positioning information, obtaining the position information of the satellite signal intensity at the sharp change time, then comparing the position information (longitude and latitude information) with the stored position information of the entrance or the exit, and if the distance between the position information of the entrance or the exit and the position information of a certain entrance is less than a preset distance threshold, determining the entrance or the exit as the same entrance; if the distance between the entrance and the exit is larger than a preset distance threshold value, the entrance is judged to be a new entrance and the exit is not stored in advance, then the entrance and the exit are named and are stored in association with the entrance and exit state. The preset distance threshold is set according to actual conditions, such as 10m, 20m and the like.
The above-mentioned embodiments are improved to obtain the present embodiment, in the present embodiment, the building entrance and exit association apparatus 100 includes a satellite signal detection module 110, a building entrance and exit determination module 120, a storage module 130, and an entrance and exit relationship determination module 140, and the entrance and exit relationship determination module 140 includes: the transfer matrix forming unit is used for forming a transfer matrix for the entrance and the exit of each entrance and exit according to the stored multiple entrance and exit results; the transfer matrix clustering unit is used for clustering the related entrances and exits according to the transfer matrix formed by the transfer matrix forming unit to form transfer matrices aiming at the same building or a plurality of buildings communicated with the entrances and exits; and the incidence relation determining unit is used for determining the incidence relation of the entrance and the exit of the transfer matrix clustered by the transfer matrix clustering unit.
In this embodiment, when the building entry/exit determining module 120 determines that the condition of entering or leaving the building entrance is satisfied according to the detected satellite signal strength, the storage module 130 records the entry/exit state. When the environment is switched from indoor to outdoor or from outdoor to indoor for many times, the storage module 130 stores multiple access state records, and the access of the building can be identified and marked after a certain number of the access state records are obtained. The classification time of the entrance/exit relationship determination module 140 may be determined by the number of the entrance/exit state records stored inside, or may be determined by a preset frequency, for example, after 10, 20 or more entrance/exit state data are stored in the storage module 130, the classification is performed once, and if the subsequent associated entrance/exit state records are stored, the classification is supplemented and re-classified; and for another example, classifying once every 30min, 1h and the like, even half a day, and setting the classification frequency according to the actual requirement.
In obtaining the incidence relation of each entrance and exit of the building according to the stored multiple entrance and exit states, the transfer matrix forming unit forms a transfer matrix according to the stored information. Specifically, the transition matrix is a 2-column matrix, wherein one column corresponds to an entrance and an exit of an entering building, the other column corresponds to an exit and an entrance of an exiting building, and the entrances and the exits corresponding to adjacent entrance and exit states are used as a group (the adjacent entrance and exit of the entering building and the exit of the exiting building are a group). Then, the transfer matrix clustering unit clusters the transfer matrices with the same entrance according to the mapping relationship of the transfer matrices to obtain the transfer matrices with the same entrance, namely, the entrance with the association relationship is clustered in the same transfer matrix, each class contains common elements (entrance/exit of the entering/leaving building), each class can be used as a mark of one building, and then the association relationship determining unit accurately judges the association relationship of each entrance of the building.
In this embodiment, the building entry and exit determining module 120 includes: an in-out determining unit 121, configured to determine whether the intensity of the satellite signal changes sharply within a first preset time, where a change value is greater than a preset intensity threshold; the method is used for further judging whether the duration time of the state of the changed satellite signal is longer than a second preset time or not when the intensity of the satellite signal is changed sharply within a first preset time; and when the duration of the changed satellite signal state is longer than a second preset time, determining that the moment when the satellite signal intensity changes sharply is the moment when the satellite signal enters the building through an entrance or the moment when the satellite signal intensity leaves the building through the entrance; and an entrance/exit determination unit 122 for determining an entrance/exit at which the satellite signal intensity abruptly changes according to the satellite positioning information. The specific determination process is the same as that in the previous embodiment, and is not described herein.
In this embodiment, as shown in fig. 8, the building entrance and exit association apparatus 100 includes a satellite signal detection module 110, a building entrance and exit determination module 120, a storage module 130, and an entrance and exit relationship determination module 140, and further includes an entrance and exit relationship verification module 150 for sequentially verifying whether two associated entrances and exits belong to the same building or belong to multiple buildings with communicating entrances and exits. Specifically, the entrance/exit relationship verification module 150 includes: the WiFi Mac acquisition unit is used for acquiring WiFi Mac detected respectively in and out of the two entrances and exits and corresponding WiFi strength; the computing unit is used for computing the intersection of the WiFi Mac detected by the WiFi Mac acquisition units at the two entrances and exits, and further computing the intersection degree of the WiFi Mac at the two entrances and exits; the WiFi Mac calculation module is used for calculating the difference value of the detected corresponding WiFi strength when the WiFi Mac enters and exits the two entrances and exits according to each intersection; and the similarity of the two entrances and exits is calculated according to the intersection degree of the WiFi Macs of the two entrances and exits and the difference value of the WiFi strengths of the intersections; and the entrance determining unit is used for determining whether the two entrances belong to the same building or belong to a plurality of buildings with communicated entrances according to the similarity calculated by the calculating unit.
In this embodiment, in order to avoid that the terminal device cannot completely and accurately acquire the state of the building entrance due to errors such as satellite positioning and the like and that the transition matrix cannot accurately reflect the transition state of the building entrance due to noise accompanying in the original data, after the originally independent entrance and exit are associated with the building according to the satellite signal strength detected by the terminal device, WiFi data is used to verify whether the entrance and exit data are accurate again. Here, when entering or leaving a gateway, in addition to detecting the satellite signal strength, WiFi data, including WiFi Mac and corresponding WiFi strength, are detected at the same time, as shown in table 2.
It is assumed that it is verified whether the doorway a and the doorway E in the building a belong to the same building as shown in fig. 4. Entering an entrance A at a time t1 to obtain Mac1, wherein the corresponding signal intensity isRssi 1; leaving the entrance E at the time of t2 to obtain the WiFi Mac2, wherein the corresponding signal strength is Rssi2, and the intersection of the WiFi Mac detected by the two entrances is MacinterInter (Mac1, Mac2), the intersection degree of WiFi Mac of the two entrances is β ═ len (Mac)inter) Len (min (Mac1, Mac2)), and when each intersected WiFi Mac enters or exits from the two entrances and exits, the difference value of the corresponding WiFi strength detected is delta rsi ═ rsia-rssieI, the similarity of two entrances and exits is
Figure BDA0002298773610000171
When the similarity between entrances is greater than the threshold α, it is determined that the entrances belong to the same building or to multiple buildings with communicating entrances and exits, the threshold α is determined according to the actual situation and is related to the value of K, and is not limited specifically here.
It will be apparent to those skilled in the art that, for convenience and brevity of description, only the above-described division of program modules is illustrated, and in practical applications, the above-described distribution of functions may be performed by different program modules, that is, the internal structure of the apparatus may be divided into different program units or modules to perform all or part of the above-described functions. Each program module in the embodiments may be integrated in one processing unit, or each unit may exist alone physically, or two or more units are integrated in one processing unit, and the integrated unit may be implemented in a form of hardware, or may be implemented in a form of software program unit. In addition, the specific names of the program modules are only used for distinguishing the program modules from one another, and are not used for limiting the protection scope of the application.
Fig. 9 is a schematic structural diagram of a terminal device provided in an embodiment of the present invention, and as shown, the terminal device 200 includes: a processor 220, a memory 210, and a computer program 211 stored in the memory 210 and executable on the processor 220, such as: building entrance and exit association program. The processor 220 implements the steps in the above-described embodiments of the building doorway associating method when executing the computer program 211, or the processor 220 implements the functions of the modules in the above-described embodiments of the building doorway associating apparatus when executing the computer program 211.
The terminal device 200 may be a notebook, a palm computer, a tablet computer, a mobile phone, or the like. Terminal device 200 may include, but is not limited to, processor 220, memory 210. Those skilled in the art will appreciate that fig. 9 is merely an example of terminal device 200, does not constitute a limitation of terminal device 200, and may include more or fewer components than shown, or some components may be combined, or different components, such as: terminal device 200 may also include input-output devices, display devices, network access devices, buses, and the like.
The Processor 220 may be a Central Processing Unit (CPU), other general purpose Processor, a Digital Signal Processor (DSP), an Application Specific Integrated Circuit (ASIC), a Field Programmable Gate Array (FPGA) or other Programmable logic device, discrete Gate or transistor logic, discrete hardware components, etc. The general purpose processor 220 may be a microprocessor or the processor may be any conventional processor or the like.
The memory 210 may be an internal storage unit of the terminal device 200, such as: a hard disk or a memory of the terminal device 200. The memory 210 may also be an external storage device of the terminal device 200, such as: a plug-in hard disk, a Smart Media Card (SMC), a Secure Digital (SD) Card, a Flash memory Card (Flash Card), and the like provided on the terminal device 200. Further, the memory 210 may also include both an internal storage unit of the terminal device 200 and an external storage device. The memory 210 is used to store the computer program 211 and other programs and data required by the terminal device 200. The memory 210 may also be used to temporarily store data that has been output or is to be output.
In the above embodiments, the descriptions of the respective embodiments have respective emphasis, and reference may be made to the related descriptions of other embodiments for parts that are not described or recited in detail in a certain embodiment.
Those of ordinary skill in the art will appreciate that the various illustrative elements and algorithm steps described in connection with the embodiments disclosed herein may be implemented as electronic hardware or combinations of computer software and electronic hardware. Whether such functionality is implemented as hardware or software depends upon the particular application and design constraints imposed on the implementation. Skilled artisans may implement the described functionality in varying ways for each particular application, but such implementation decisions should not be interpreted as causing a departure from the scope of the present application.
In the embodiments provided in the present application, it should be understood that the disclosed apparatus/terminal device and method may be implemented in other ways. For example, the above-described apparatus/terminal device embodiments are merely illustrative, and for example, a module or a unit may be divided into only one logical function, and may be implemented in other ways, for example, multiple units or components may be combined or integrated into another system, or some features may be omitted, or not executed. In addition, the shown or discussed mutual coupling or direct coupling or communication connection may be an indirect coupling or communication connection of some interfaces, devices or units, and may be in an electrical, mechanical or other form.
Units described as separate parts may or may not be physically separate, and parts displayed as units may or may not be physical units, may be located in one place, or may be distributed on a plurality of network units. Some or all of the units can be selected according to actual needs to achieve the purpose of the solution of the embodiment.
In addition, functional units in the embodiments of the present application may be integrated into one processing unit, or each unit may exist alone physically, or two or more units are integrated into one unit. The integrated unit can be realized in a form of hardware, and can also be realized in a form of a software functional unit.
The integrated modules/units, if implemented in the form of software functional units and sold or used as separate products, may be stored in a computer readable storage medium. Based on such understanding, all or part of the flow of the method according to the embodiments of the present invention may also be implemented by sending instructions to relevant hardware through the computer program 211, where the computer program 211 may be stored in a computer readable storage medium, and when the computer program 211 is executed by the processor 220, the steps of the method embodiments may be implemented. Wherein the computer program 211 comprises: computer program code which may be in the form of source code, object code, an executable file or some intermediate form, etc. The computer-readable storage medium may include: any entity or device capable of carrying the code of computer program 211, recording medium, usb disk, removable hard disk, magnetic disk, optical disk, computer Memory, Read-Only Memory (ROM), Random Access Memory (RAM), electrical carrier wave signals, telecommunications signals, software distribution medium, and the like. It should be noted that the content of the computer readable storage medium can be increased or decreased according to the requirements of the legislation and patent practice in the jurisdiction, for example: in certain jurisdictions, in accordance with legislation and patent practice, the computer-readable medium does not include electrical carrier signals and telecommunications signals.
It should be noted that the above embodiments can be freely combined as necessary. The foregoing is only a preferred embodiment of the present invention, and it should be noted that, for those skilled in the art, various modifications and improvements can be made without departing from the principle of the present invention, and these modifications and improvements should also be construed as the protection scope of the present invention.

Claims (12)

1. A building doorway associating method comprising:
detecting the intensity of the satellite signal in real time;
judging whether the condition of entering a building through an entrance or leaving the building through the entrance is met or not according to the intensity change of the satellite signal;
if yes, storing the in-out state and the corresponding access in an associated manner;
and determining the incidence relation of the building entrance and exit according to the stored multiple entrance and exit results.
2. The building entrance/exit association method according to claim 1, wherein determining the association relationship of the building entrance/exit based on the stored multiple entrance/exit results comprises:
forming a transfer matrix for the entrance and the exit of each entrance and exit according to the stored multiple entrance and exit results; in the transfer matrix, one row corresponds to an entrance and an exit of a building, the other row corresponds to an entrance and an exit of a building, and the entrances and the exits corresponding to the adjacent entrance and exit states are used as a group;
and clustering the associated entrances and exits according to the transfer matrix to form the transfer matrix aiming at the same building or a plurality of buildings communicated with the entrances and exits, and determining the incidence relation of the entrances and exits.
3. The building doorway associating method of claim 1 or claim 2, wherein determining whether a condition for entering the building through a doorway or for exiting the building through a doorway is satisfied based on a change in intensity of the satellite signal comprises:
judging whether the intensity of the satellite signal is changed sharply within a first preset time, wherein the change value is greater than a preset intensity threshold value;
if so, further judging whether the duration time of the changed satellite signal state is longer than a second preset time;
if so, determining the time when the satellite signal intensity changes rapidly as the time when the satellite signal enters the building through an entrance or the time when the satellite signal intensity leaves the building through the entrance;
and determining the entrance or exit of the satellite signal when the satellite signal strength changes sharply according to the satellite positioning information.
4. The building entrance and exit association method according to claim 1 or 2, further comprising the step of sequentially verifying whether two associated entrances and exits belong to the same building or to buildings having the entrances and exits communicating with each other, after determining the association relationship of the building entrance and exit based on the stored multiple entrance and exit results, comprising:
acquiring WiFi Mac and corresponding WiFi strength detected by an entrance and an exit respectively;
calculating the intersection of the WiFi Macs detected at the two entrances and exits, and further calculating the intersection degree of the WiFi Macs at the two entrances and exits;
calculating the difference value of the detected corresponding WiFi strength when entering and exiting the two entrances and exits according to the WiFi Mac of each intersection;
calculating the similarity of the two entrances and exits according to the intersection degree of the WiFi Macs of the two entrances and exits and the difference value of the WiFi strength of each intersection;
and determining whether the two entrances and exits belong to the same building or belong to a plurality of buildings with communicated entrances and exits according to the similarity.
5. The building entrance/exit association method according to claim 4, wherein in the calculating of the similarity between the two entrances and exits according to the intersection WiFi macs and the difference between the respective intersection WiFi strengths, the similarity is:
Figure FDA0002298773600000021
wherein, MacinterThe intersection of WiFi Mac detected for the two entrances and MacinterInter (Mac1, Mac2), Mac1 is the WiFi Mac detected entering one import/export, Mac2 is the WiFi Mac detected entering the other import/export, β is the intersection degree of the WiFi Mac of the two entrances/exits, and β is len (Mac)inter) Len (min (Mac1, Mac 2)); m is the intersection number of WiFi Mac detected at the two entrances and exits; Δ rssi is the difference between the detected WiFi intensities of the WiFi Mac at the intersection of the two entrances when the two entrances enter and exit, and Δ rssi ═ rssia-rssie|,rssiaIndicating a WiFi intensity, rssi, of a WiFi Mac detected entering an exiteThe WiFi strength indicating that the same WiFi Mac is detected when the door enters the other entrance; k is a predefined index.
6. A building doorway correlation apparatus comprising:
the satellite signal detection module is used for detecting the strength of the satellite signal in real time;
the building entrance and exit judging module is used for judging whether the condition of entering the building through an entrance or leaving the building through the entrance according to the intensity change of the satellite signal detected by the satellite signal detecting module;
the storage module is used for storing the corresponding access state and the corresponding access in an associated manner when the building access judging module judges that the condition of entering the building through an access or leaving the building through the access is met;
and the entrance and exit relationship determining module is used for determining the incidence relationship of the building entrance and exit according to the multiple entrance and exit results stored in the storage module.
7. The building doorway correlation apparatus of claim 6, wherein the doorway relation determining module comprises:
the transfer matrix forming unit is used for forming a transfer matrix for the entrance and the exit of each entrance and exit according to the stored multiple entrance and exit results; in the transfer matrix, one row corresponds to an entrance and an exit of a building, the other row corresponds to an entrance and an exit of a building, and the entrances and the exits corresponding to the adjacent entrance and exit states are used as a group;
the transfer matrix clustering unit is used for clustering the related entrances and exits according to the transfer matrix formed by the transfer matrix forming unit to form transfer matrices aiming at the same building or a plurality of buildings communicated with the entrances and exits;
and the incidence relation determining unit is used for determining the incidence relation of the entrance and the exit of the transfer matrix clustered by the transfer matrix clustering unit.
8. The building entrance/exit correlation apparatus according to claim 6 or 7, wherein the building entrance/exit determination module comprises:
the in-out judging unit is used for judging whether the intensity of the satellite signal is changed sharply within a first preset time, and the change value is greater than a preset intensity threshold value; the method is used for further judging whether the duration time of the state of the changed satellite signal is longer than a second preset time or not when the intensity of the satellite signal is changed sharply within a first preset time; and when the duration of the changed satellite signal state is longer than a second preset time, determining that the moment when the satellite signal intensity changes sharply is the moment when the satellite signal enters the building through an entrance or the moment when the satellite signal intensity leaves the building through the entrance;
and the entrance and exit judging unit is used for determining the entrance and exit of the satellite signal when the satellite signal intensity changes sharply according to the satellite positioning information.
9. The building entrance and exit correlation device according to claim 6 or 7, further comprising an entrance and exit relationship verification module for sequentially verifying whether two correlated entrances and exits belong to the same building or to a plurality of buildings with communicating entrances and exits;
the entrance and exit relationship verification module comprises:
the WiFi Mac acquisition unit is used for acquiring WiFi Mac detected respectively in and out of the two entrances and exits and corresponding WiFi strength;
the computing unit is used for computing the intersection of the WiFi Mac detected by the WiFi Mac acquisition units at the two entrances and exits, and further computing the intersection degree of the WiFi Mac at the two entrances and exits; the WiFi Mac calculation module is used for calculating the difference value of the detected corresponding WiFi strength when the WiFi Mac enters and exits the two entrances and exits according to each intersection; and the similarity of the two entrances and exits is calculated according to the intersection degree of the WiFi Macs of the two entrances and exits and the difference value of the WiFi strengths of the intersections;
and the entrance determining unit is used for determining whether the two entrances belong to the same building or belong to a plurality of buildings with communicated entrances according to the similarity calculated by the calculating unit.
10. The building doorway correlation apparatus of claim 9, wherein in the calculation unit, a similarity degree similarity of two doorways is:
Figure FDA0002298773600000041
wherein, MacinterThe intersection of WiFi Mac detected for the two entrances and MacinterInter (Mac1, Mac2), Mac1 is the WiFi Mac detected entering one import/export, Mac2 is the WiFi Mac detected entering the other import/export, β is the intersection degree of the WiFi Mac of the two entrances/exits, and β is len (Mac)inter) Len (min (Mac1, Mac 2)); m is the intersection number of WiFi Mac detected at the two entrances and exits; Δ rssi is the difference between the detected WiFi intensities of the WiFi Mac at the intersection of the two entrances when the two entrances enter and exit, and Δ rssi ═ rssia-rssie|,rssiaIndicating a WiFi intensity, rssi, of a WiFi Mac detected entering an exiteThe WiFi strength indicating that the same WiFi Mac is detected when the door enters the other entrance; k is a predefined index.
11. Terminal device comprising a memory, a processor and a computer program stored in said memory and executable on said processor, characterized in that said processor realizes the steps of the building doorway associating method according to any one of claims 1 to 5 when running said computer program.
12. A computer-readable storage medium, in which a computer program is stored which, when being executed by a processor, carries out the steps of the building doorway association method according to any one of claims 1 to 5.
CN201911223840.3A2019-12-022019-12-02 Building entrance and exit associating method and device, terminal device and storage mediumActiveCN110972065B (en)

Priority Applications (1)

Application NumberPriority DateFiling DateTitle
CN201911223840.3ACN110972065B (en)2019-12-022019-12-02 Building entrance and exit associating method and device, terminal device and storage medium

Applications Claiming Priority (1)

Application NumberPriority DateFiling DateTitle
CN201911223840.3ACN110972065B (en)2019-12-022019-12-02 Building entrance and exit associating method and device, terminal device and storage medium

Publications (2)

Publication NumberPublication Date
CN110972065Atrue CN110972065A (en)2020-04-07
CN110972065B CN110972065B (en)2021-06-15

Family

ID=70032815

Family Applications (1)

Application NumberTitlePriority DateFiling Date
CN201911223840.3AActiveCN110972065B (en)2019-12-022019-12-02 Building entrance and exit associating method and device, terminal device and storage medium

Country Status (1)

CountryLink
CN (1)CN110972065B (en)

Citations (18)

* Cited by examiner, † Cited by third party
Publication numberPriority datePublication dateAssigneeTitle
US20130157682A1 (en)*2011-12-162013-06-20Curtis LingMethod and system for location determination and navigation using textual information
US20140045535A1 (en)*2011-11-302014-02-13International Business Machines CorporationEnergy efficient location tracking on smart phones
CN104427613A (en)*2013-08-292015-03-18百度在线网络技术(北京)有限公司Mobile terminal position determination method and device, and mobile terminal and system thereof
CN104483658A (en)*2014-12-302015-04-01杭州云象网络技术有限公司Indoor positioning method based on WiFi and geomagnetic field
US20150145727A1 (en)*2010-10-082015-05-28HJ Laboratories, LLCTracking a mobile computer indoors using wi-fi and motion sensor information
CN105246138A (en)*2015-09-112016-01-13小米科技有限责任公司Control method and device of Internet-of-things device
US9282436B2 (en)*2012-10-172016-03-08Cellco PartnershipMethod and system for adaptive location determination for mobile device
CN105869349A (en)*2016-04-262016-08-17广东小天才科技有限公司Auxiliary monitoring method and system
CN106550331A (en)*2015-09-232017-03-29中兴通讯股份有限公司A kind of indoor orientation method and equipment
CN106920287A (en)*2015-12-242017-07-04中国电信股份有限公司Based on Work attendance method and system and server that WiFi network is realized
CN107046711A (en)*2017-02-212017-08-15沈晓龙The database building method and indoor orientation method and device of a kind of indoor positioning
CN108151743A (en)*2017-12-132018-06-12联想(北京)有限公司Indoor and outdoor location recognition method and system
CN108668233A (en)*2017-03-312018-10-16高德软件有限公司A kind of building entrance detection method and system
CN108733715A (en)*2017-04-212018-11-02北京嘀嘀无限科技发展有限公司The determination method and device of building entrance
CN109874112A (en)*2017-12-052019-06-11华为技术有限公司 A positioning method and terminal
CN109931927A (en)*2017-12-192019-06-25阿里巴巴集团控股有限公司Track recording method, indoor map method for drafting, device, equipment and system
CN110310152A (en)*2019-06-152019-10-08韶关市启之信息技术有限公司A kind of market shopping path recommended method and device
CN110413655A (en)*2019-06-212019-11-05中国矿业大学 A Floor Recognition Method Based on Improved Hidden Markov Model

Patent Citations (18)

* Cited by examiner, † Cited by third party
Publication numberPriority datePublication dateAssigneeTitle
US20150145727A1 (en)*2010-10-082015-05-28HJ Laboratories, LLCTracking a mobile computer indoors using wi-fi and motion sensor information
US20140045535A1 (en)*2011-11-302014-02-13International Business Machines CorporationEnergy efficient location tracking on smart phones
US20130157682A1 (en)*2011-12-162013-06-20Curtis LingMethod and system for location determination and navigation using textual information
US9282436B2 (en)*2012-10-172016-03-08Cellco PartnershipMethod and system for adaptive location determination for mobile device
CN104427613A (en)*2013-08-292015-03-18百度在线网络技术(北京)有限公司Mobile terminal position determination method and device, and mobile terminal and system thereof
CN104483658A (en)*2014-12-302015-04-01杭州云象网络技术有限公司Indoor positioning method based on WiFi and geomagnetic field
CN105246138A (en)*2015-09-112016-01-13小米科技有限责任公司Control method and device of Internet-of-things device
CN106550331A (en)*2015-09-232017-03-29中兴通讯股份有限公司A kind of indoor orientation method and equipment
CN106920287A (en)*2015-12-242017-07-04中国电信股份有限公司Based on Work attendance method and system and server that WiFi network is realized
CN105869349A (en)*2016-04-262016-08-17广东小天才科技有限公司Auxiliary monitoring method and system
CN107046711A (en)*2017-02-212017-08-15沈晓龙The database building method and indoor orientation method and device of a kind of indoor positioning
CN108668233A (en)*2017-03-312018-10-16高德软件有限公司A kind of building entrance detection method and system
CN108733715A (en)*2017-04-212018-11-02北京嘀嘀无限科技发展有限公司The determination method and device of building entrance
CN109874112A (en)*2017-12-052019-06-11华为技术有限公司 A positioning method and terminal
CN108151743A (en)*2017-12-132018-06-12联想(北京)有限公司Indoor and outdoor location recognition method and system
CN109931927A (en)*2017-12-192019-06-25阿里巴巴集团控股有限公司Track recording method, indoor map method for drafting, device, equipment and system
CN110310152A (en)*2019-06-152019-10-08韶关市启之信息技术有限公司A kind of market shopping path recommended method and device
CN110413655A (en)*2019-06-212019-11-05中国矿业大学 A Floor Recognition Method Based on Improved Hidden Markov Model

Non-Patent Citations (4)

* Cited by examiner, † Cited by third party
Title
IGOR BISIO等: "GPSHPS-and Wi-Fi Fingerprint-Based Location Recognition for Check-In Applications Over Smartphones in Cloud-Based LBSs", 《IEEE TRANSACTIONS ON MULTIMEDIA》*
MASAYUKI MURATA等: "Smartphone-based Indoor Localization for Blind Navigation across Building Complexes", 《2018 IEEE INTERNATIONAL CONFERENCE ON PERVASIVE COMPUTING AND COMMUNICATIONS (PERCOM)》*
张武: "基于Wi-Fi的商场定位服务系统的设计与实现", 《中国优秀硕士学位论文全文数据库信息科技辑》*
蔡仁钦: "基于RSSI的WiFi室内定位算法研究与系统实现", 《中国优秀硕士学位论文全文数据库信息科技辑》*

Also Published As

Publication numberPublication date
CN110972065B (en)2021-06-15

Similar Documents

PublicationPublication DateTitle
CN110222170B (en)Method, device, storage medium and computer equipment for identifying sensitive data
US11762396B2 (en)Positioning system and positioning method based on WI-FI fingerprints
CN110363076B (en)Personnel information association method and device and terminal equipment
CN102098780B (en)Positioning method and device
CN103889051B (en)Indoor WLAN fingerprint positioning methods based on AP ID filterings and Kalman filtering
CN108966121B (en) A Fingerprint Database Updating Method Applicable to Fingerprint Localization Algorithm
US9930541B2 (en)Maintaining the integrity of configuration information of a network of access points for use in positioning an apparatus
CN109300119B (en) Detection method, detection device and terminal equipment for rusted area on steel structure surface
CN115063746B (en)Vehicle warehouse entry management method and device, computer equipment and storage medium
CN103134571A (en)Water meter automatic verification technology based on dynamic video image processing and pattern recognition algorithm
CN114120221A (en)Environment checking method based on deep learning, electronic equipment and storage medium
CN110366100A (en) Terminal positioning method, positioning device, readable storage medium and terminal device
CN105044659B (en)Indoor positioning device and method based on ambient light spectrum fingerprint
CN114861825A (en)Method and device for classifying positioning performance of digital key end, classification equipment and medium
CN110705338A (en)Vehicle detection method and device and monitoring equipment
WO2024037113A1 (en)State detection method and apparatus, terminal, and storage medium
CN110972065B (en) Building entrance and exit associating method and device, terminal device and storage medium
CN108734072B (en)Multi-source object association method and device
CN109246634B (en) Indoor positioning method, indoor positioning device and electronic equipment
CN115588008A (en)Vision-based method for judging standard placement of bicycle and application thereof
CN109889977B (en)Bluetooth positioning method, device, equipment and system based on Gaussian regression
CN108521631A (en) A mobile AP identification method for indoor positioning
CN109341000B (en)Method and device for detecting compliance of air conditioner installation position and server
CN114095947B (en)Network coverage evaluation method and device, electronic equipment and storage medium
CN106412838A (en)Bluetooth indoor positioning method based on statistical matching

Legal Events

DateCodeTitleDescription
PB01Publication
PB01Publication
SE01Entry into force of request for substantive examination
SE01Entry into force of request for substantive examination
GR01Patent grant
GR01Patent grant

[8]ページ先頭

©2009-2025 Movatter.jp