Movatterモバイル変換


[0]ホーム

URL:


CN110960199A - System for double-variable measurement of arteriosclerosis degree - Google Patents

System for double-variable measurement of arteriosclerosis degree
Download PDF

Info

Publication number
CN110960199A
CN110960199ACN201911347127.XACN201911347127ACN110960199ACN 110960199 ACN110960199 ACN 110960199ACN 201911347127 ACN201911347127 ACN 201911347127ACN 110960199 ACN110960199 ACN 110960199A
Authority
CN
China
Prior art keywords
pwv
pulse wave
blood pressure
wave propagation
arteriosclerosis
Prior art date
Legal status (The legal status is an assumption and is not a legal conclusion. Google has not performed a legal analysis and makes no representation as to the accuracy of the status listed.)
Granted
Application number
CN201911347127.XA
Other languages
Chinese (zh)
Other versions
CN110960199B (en
Inventor
陈妍
Current Assignee (The listed assignees may be inaccurate. Google has not performed a legal analysis and makes no representation or warranty as to the accuracy of the list.)
First Affiliated Hospital of PLA Military Medical University
Original Assignee
First Affiliated Hospital of PLA Military Medical University
Priority date (The priority date is an assumption and is not a legal conclusion. Google has not performed a legal analysis and makes no representation as to the accuracy of the date listed.)
Filing date
Publication date
Application filed by First Affiliated Hospital of PLA Military Medical UniversityfiledCriticalFirst Affiliated Hospital of PLA Military Medical University
Priority to CN201911347127.XApriorityCriticalpatent/CN110960199B/en
Publication of CN110960199ApublicationCriticalpatent/CN110960199A/en
Application grantedgrantedCritical
Publication of CN110960199BpublicationCriticalpatent/CN110960199B/en
Activelegal-statusCriticalCurrent
Anticipated expirationlegal-statusCritical

Links

Images

Classifications

Landscapes

Abstract

Translated fromChinese

本发明公开了一种双变量测量动脉硬化程度的系统,包括生理信号采集单元、人机交互单元、脉搏波传播速度PWV检测单元、血压测量单元、PWV修正单元、动脉硬化测量单元和显示单元;该系统通过归一化模型对脉搏波传播速度PWV进行修正,排除生理因素并提取病理性因素对PWV的影响;还利用与收缩压相关的脉搏波传播速度PWVs和与舒张压相关的脉搏波传播速度PWVd分别反映动脉壁的胶原纤维和弹性纤维的病变程度,能够弥补现有技术仅反映弹性纤维特性的不足,使动脉硬化的评估更加全面、准确。

Figure 201911347127

The invention discloses a system for measuring the degree of arteriosclerosis with two variables, comprising a physiological signal acquisition unit, a human-computer interaction unit, a pulse wave propagation velocity PWV detection unit, a blood pressure measurement unit, a PWV correction unit, an arteriosclerosis measurement unit and a display unit; The system corrects the pulse wave propagation velocity PWV through a normalized model, excludes physiological factors and extracts the influence of pathological factors on PWV; it also uses the pulse wave propagation velocity PWVs related to systolic blood pressure and the pulse wave propagation related to diastolic blood pressure. The velocity PWVd reflects the lesion degree of the collagen fibers and elastic fibers of the arterial wall respectively, which can make up for the deficiency of the existing technology that only reflects the characteristics of elastic fibers, and make the assessment of arteriosclerosis more comprehensive and accurate.

Figure 201911347127

Description

System for double-variable measurement of arteriosclerosis degree
Technical Field
The invention relates to a system for measuring arteriosclerosis degree, in particular to a system for measuring arteriosclerosis degree in a double-variable mode.
Background
Arteriosclerosis is a non-inflammatory disease of an artery, mainly manifested by thickening of a blood vessel wall, deterioration of elasticity, narrowing of a lumen and plaque formation, is a vascular disease which appears with age, and is also an important prediction index of myocardial infarction and cerebral infarction. The Pulse Wave Velocity (PWV) method is the most commonly used method in arteriosclerosis screening, has the advantages of simple and noninvasive measuring method, capability of quantitatively detecting the systemic arteriosclerosis degree and wide acceptance as an independent predictor of cardiovascular diseases.
There are two limitations to the current methods of measuring arteriosclerosis by PWV.
On the first hand, the research on the PWV influencing factors by qian ye university and qian Yi university in japan revealed that the factors clinically influencing PWV can be basically classified into physiological factors (such as sex, age, and immediate blood pressure) and pathological factors (such as hypertension, hyperlipidemia, diabetes, arteriosclerosis, end-stage renal disease, and the like). The change of PWV caused by physiological factors has small correlation with the lesion of the artery wall, and is not suitable for detecting cardiovascular and cerebrovascular diseases. Currently there is no internationally recognized method or formula that can well rule out the effects of physiological factors, especially instantaneous blood pressure, on PWV. How to effectively eliminate the influence of gender, age and instant blood pressure so as to better extract the pathological change of PWV is an urgent problem to be solved.
In the second aspect, the mechanical properties of the arterial vessel are mainly determined by three tissues, elastic fibers, collagen fibers and smooth muscle of the arterial wall. The change in stiffness or rigidity of the arterial wall during a cardiac cycle is determined by the nature of the elastic and collagen fibers. When the heart is in end diastole and has not been ejected, the strain of the vessel wall is small, most collagen fibers are relaxed and curled, and all the stress is borne only by elastic fibers. At this time, the propagation velocity PWV of the pulse wave reflects the characteristics of the elastic fiber, i.e., the compliance. When the heart is in the systolic phase and the amount of blood ejected into the artery rapidly increases, the strain of the vessel wall rapidly increases and the collagen fibers straighten, and the stress at this time is mainly borne by the collagen fibers. Since collagen fibers are much stiffer than elastic fibers, the vessel wall in the systolic phase is also much stiffer than in the diastolic phase. At this time, the propagation velocity PWV of the pulse wave reflects the characteristics of the collagen fiber, i.e., the toughness. The prior art and the device adopt a PWV (usually PWV related to diastolic pressure) to evaluate arteriosclerosis, only reflect the characteristics of elastic fibers, and have limitation on the evaluation of collagen fiber lesions. However, the increase in collagen fibers is one of the main causes of vascular stiffness. No technique or equipment is available to assess the degree of lesion of both elastic and collagen fibers.
Disclosure of Invention
Aiming at the defects in the prior art, the invention provides a system for measuring the arteriosclerosis degree by double variables, which can eliminate the influence of physiological factors such as age, sex, instant blood pressure and the like on PWV and extract the action of pathological factors on PWV; and the pulse wave propagation velocity PWVs related to the systolic pressure and the pulse wave propagation velocity PWVd related to the diastolic pressure are used for respectively reflecting the characteristics and the pathological change degree of the collagen fibers and the elastic fibers of the artery wall, so that the compliance and the toughness of the blood vessel are comprehensively evaluated, and the evaluation of the arteriosclerosis is more comprehensive and accurate.
A system for bivariate measurement of the degree of arteriosclerosis, comprising: the pulse wave propagation speed measuring device comprises a physiological signal acquisition unit, a man-machine interaction unit, a pulse wave propagation speed PWV detection unit, a blood pressure measuring unit, a PWV correction unit, an arteriosclerosis measuring unit and a display unit;
the physiological signal acquisition unit is used for acquiring pulse wave signals of two body parts of the object to be detected and sending the acquired pulse wave signals to the pulse wave propagation speed PWV detection unit;
the human-computer interaction unit is used for providing a human-computer interface for a user to input basic physiological parameters (including age and sex) and a pulse wave propagation distance L; the pulse wave propagation distance L is sent to a pulse wave propagation speed PWV detection unit, and the basic physiological parameters are sent to a PWV correction unit; to calculate the PWV and determine the correction of the PWV with respect to age, gender;
the pulse wave propagation velocity PWV detection unit comprises a pulse wave propagation time identification module and a pulse wave propagation velocity calculation module, wherein the pulse wave propagation time identification module is used for identifying pulse wave propagation time PTTs related to systolic pressure and pulse wave propagation time PTTd related to diastolic pressure on two pulse wave signals and sending the PTTs and the PTTd to the pulse wave propagation velocity calculation module, and the pulse wave propagation velocity calculation module is used for calculating pulse wave propagation velocity PWVs related to systolic pressure and pulse wave propagation velocity PWVVdVd related to diastolic pressure according to pulse wave propagation distance L, the PTTs and the PTTd input in the man-machine interaction unit;
the blood pressure measuring unit is used for obtaining the instant blood pressure (including a systolic pressure SBP and a diastolic pressure DBP) of the tested object and sending the instant blood pressure to the PWV correcting unit; to calculate a correction amount of the PWV with respect to the blood pressure;
the PWV correction unit comprises a correction amount calculation module and a correction module, wherein the correction amount calculation module is used for calculating the correction amount of PWV (PWVs and PWVd respectively) relative to age and gender and the correction amount relative to blood pressure according to the age and the gender input in the human-computer interaction unit and the instant blood pressure measured in the blood pressure measurement unit; the correction module corrects PWV (PWVs and PWVd, respectively) based on the correction amount obtained in the correction amount calculation module.
The arteriosclerosis measuring unit comprises an evaluation index calculating module and an arteriosclerosis measuring module; the evaluation index calculation module is used for calculating an evaluation index Ks related to the characteristics of the viscose fibers and an evaluation index Kd related to the characteristics of the elastic fibers according to the corrected PWVs and PWVd; the arteriosclerosis measuring module is used for measuring pathological hardening degrees of the glue element fiber and the elastic fiber of the artery wall respectively by using the indexes Ks and Kd obtained in the evaluation index calculating module;
the display unit is used for displaying the calculated evaluation indexes Ks and Kd and providing a report of the pathological change degree results of the glue element fibers and the elastic fibers of the artery wall.
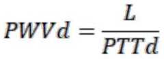
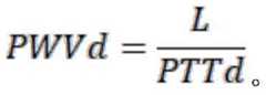
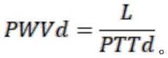
The pulse wave propagation velocity calculating module calculates the relation between PWVs and PWVd as follows:
Figure BDA0002333688720000031
Figure BDA0002333688720000032
the concrete steps of the correction amount calculating module for calculating the correction amount of the PWV (PWVs and PWVd respectively) relative to the age, the sex and the blood pressure are as follows:
s1) establishing a function family between PWV and blood pressure of the population without arteriosclerotic lesions, and obtaining function parameters corresponding to each age and sex to form a parameter database;
s2) establishing a normalized model of PWVs and PWVd under fixed age, gender and blood pressure states;
s3) obtaining corrections of PWVs and PWVd with respect to age, sex and blood pressure.
The step S1 specifically includes: establishing a functional family between PWV and blood pressure of a population without arteriosclerosis foci by the following relation:
Figure BDA0002333688720000041
wherein PWV is the pulse wave propagation velocity and BP is the blood pressure; i represents age, j represents gender; k is a radical ofijAnd bijIs a function parameter related to gender and age; wherein kij and bij are obtained by the following method:
acquiring blood pressure BP (SBP and DBP of a tested object obtained by a blood pressure measuring unit) and PWV (PWVs and PWVd calculated by a pulse wave propagation velocity calculating module) corresponding to the blood pressure BP (SBP and DBP of the tested object) which is widely changed by a population (the sample number is more than 30) without the arteriosclerotic focus aiming at each age and sex; obtaining function parameters Kij and Bij corresponding to each age and gender through a curve fitting method to form parameter databases Kij and Bij;
Figure BDA0002333688720000042
Figure BDA0002333688720000043
wherein, i is 1,2, …, n (1 is not less than n is not more than 100); j-M/F (M is male and F is female).
The step S2 specifically includes:
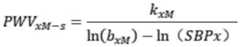
a normalized model of PWVs and PWVd at fixed age, gender and blood pressure was established by:
selecting a function parameter k with age x and gender MxMAnd bxM(ii) a Selecting a blood pressure state SBPx and DBPx, and respectively calculating a normalized model PWV under the states of SBPx and DBPxxM—sAnd PWVxM—d
Figure BDA0002333688720000044
Figure BDA0002333688720000051
In step S3, correction amounts of PWVs and PWVd with respect to age, sex, and blood pressure are obtained by normalizing the model:
under the state of SBPx and DBPx blood pressure, relative to the non-arteriosclerosis lesion population with age of i and sex of j, the correction quantity of PWVs and PWVd relative to age and sex is delta PWVs1And Δ PWVd1
Figure BDA0002333688720000052
Figure BDA0002333688720000053
The actual blood pressure of the population without arteriosclerosis lesion of age i and sex j is SBPm and DBPm, and the correction amount of PWV is delta PWV relative to the selected blood pressure SBPx and DBPxs2And Δ PWVd2
Figure BDA0002333688720000054
Figure BDA0002333688720000055
The correcting module corrects PWVs 'and PWVd' actually measured by the subject of age i and sex j by using the correction amount in step S3, where the corrected PWVs 'and PWVd' are:
Figure BDA0002333688720000056
Figure BDA0002333688720000057
wherein, SBPx and DBPx are systolic pressure and diastolic pressure selected by a normalized model, and SBPm and DBPm are systolic pressure and diastolic pressure obtained by actual measurement.
The calculation formula of the evaluation index calculation module for calculating Ks and Kd is as follows:
Figure BDA0002333688720000061
Figure BDA0002333688720000062
wherein, KsAnd KdRespectively corrected PWVs 'and PWVd' and standard PWV obtained by the normalization modelxM—sAnd PWVxM—dIs used for evaluating the pathological hardening degree of the glue element fiber and the elastic fiber of the artery wall respectively.
The arteriosclerosis measuring module respectively measures the pathological hardening degree of the glue element fiber and the elastic fiber of the artery wall according to the following standards:
when K issLess than or equal to 1.2, which indicates that the glue element fiber of the artery wall is normal and has no obvious pathological thickening;
when 1.6 is more than or equal to Ks>1.2, the glue element fiber of the artery wall begins to thicken and increase the toughness;
when K iss>1.6, the glue element fiber of the artery wall is very seriously thickened, and the toughness is greatly increased;
when K isdLess than or equal to 1.2, which indicates that the elastic fibers of the artery wall are normal and have no obvious pathological changes;
when 1.6 is more than or equal to Kd>1.2, indicating that the compliance of the elastic fibers of the arterial wall begins to deteriorate;
when K isd>1.6, indicating that the compliance of the elastic fibers of the arterial wall has become poor.
The invention has the beneficial effects that:
the influence of physiological factors such as age, sex, instant blood pressure and the like on PWV can be eliminated, and the change of PWV caused by pathological factors such as hypertension, hyperlipidemia, diabetes, arteriosclerosis, end-stage nephropathy and the like can be reflected better; meanwhile, PWVs and PWVd are used for respectively reflecting the characteristics and the pathological change degree of the collagen fibers and the elastic fibers of the artery wall, the compliance and the toughness of the blood vessel are comprehensively evaluated, the defect that the prior art only reflects the characteristics of the elastic fibers can be overcome, and the evaluation of the arteriosclerosis is more comprehensive and accurate.
Drawings
Fig. 1 is a schematic diagram of a system for bivariate measurement of arteriosclerosis according to the present invention.
Detailed Description
Embodiments of the present invention will be described in detail below with reference to the accompanying drawings. The following examples are only for illustrating the technical solutions of the present invention more clearly, and therefore are only examples, and the protection scope of the present invention is not limited thereby.
It is to be noted that, unless otherwise specified, technical or scientific terms used herein shall have the ordinary meaning as understood by those skilled in the art to which the invention pertains.
As shown in fig. 1, the present invention provides a system for bivariate measurement of the degree of arteriosclerosis, which comprises the following units:
physiological signal acquisition unit-is used for acquiring pulse wave signals of one proximal end and one distal end of the measured object in real time, and a sensor for detecting the pulse signals is preferably infrared photoplethysmography (PPG). The detection sites of the PPG signal are preferably the ears and toes.
A man-machine interaction unit, which is used for providing a man-machine interface for a user to input basic physiological parameters (including age and sex) and a pulse wave propagation distance L; the pulse wave propagation distance L is sent to a pulse wave propagation speed PWV detection unit to calculate PWV, and basic physiological parameters (including age and sex) are sent to a PWV correction unit to determine the correction quantity of the PWV relative to the age and the sex. The pulse wave propagation distance L can be obtained by actual measurement, or can be estimated by subtracting a fixed constant from the height or the percentage of the height, for example, the pulse waves of the ears and toes are detected, and L can be 70% of the height.
The pulse wave propagation speed PWV detection unit comprises two modules, namely a pulse wave propagation time identification module and a pulse wave propagation speed calculation module;
the pulse wave propagation time identification module is used for identifying pulse wave propagation time PTTs related to systolic pressure and pulse wave propagation time PTTd related to diastolic pressure on the two pulse wave signals; and sending the PTTs and the PTTd to a pulse wave propagation velocity calculation module; the pulse wave propagation time identification module is used for obtaining pulse wave propagation time PTTd related to diastolic pressure according to the time difference between the starting points of the two pulse wave signals and obtaining pulse wave propagation time PTTs related to systolic pressure according to the time difference between the wave crests of the two pulse wave signals. Specific identification methods for PTTd and PTTs can be understood by reference to YAN CHEN, CHANGYUN WEN, GUOCAI TAO, and MIN BI [. Continuous and Noninival measurement of Systolic and Diastolic Blood Pressure by One Material Model with the Same Model Parameters and Two Separate Pulse Wave vectors 2012.
The pulse wave propagation velocity calculating module is used for calculating pulse wave propagation velocity PWVs related to systolic pressure and pulse wave propagation velocity PWVd related to diastolic pressure according to pulse wave propagation distance L, PTTs and PTTd input in the man-machine interaction unit, and the calculating mode is as follows;
Figure BDA0002333688720000081
Figure BDA0002333688720000082
blood pressure measuring unit for obtaining the instant blood pressure of the measured object and sending the instant blood pressure to the PWV correction unit. The instantaneous blood pressure comprises a systolic pressure SBPm and a diastolic pressure DBPm, wherein the SBPm and the DBPm can be obtained by a vibration automatic sphygmomanometer.
A PWV correction unit, which comprises two modules, namely a correction amount calculation module and a correction module;
the correction amount calculating module is used for calculating the correction amounts of the PWVs and the PWVd relative to the age and the sex and the correction amounts relative to the blood pressure according to the age, the sex and the instant blood pressure measured by the blood pressure measuring unit which are input in the man-machine interaction unit, and sending the calculated correction amounts of the PWVs and the PWVd relative to the age and the sex and the correction amounts relative to the blood pressure to the correction module;
the correction amounts of PWVs and PWVd with respect to age and sex and with respect to blood pressure are specifically calculated as follows:
firstly, establishing a functional family between PWV and blood pressure of a population without arteriosclerosis focus through the following relational expression:
Figure BDA0002333688720000083
wherein PWV is the pulse wave propagation velocity and BP is the blood pressure; i represents age, j represents gender; kij and bij are functional parameters related to gender and age. PWVs and PWVd are general to the above formula, when the blood pressure is SBP, corresponding PWVs; when the blood pressure is DBP, PWVd is corresponded; wherein kij and bij are obtained by the following method:
acquiring blood pressure BP (systolic pressure SBP and diastolic pressure DBP of a tested object obtained by a blood pressure measuring unit) and PWV (PWVs and PWVd calculated by a pulse wave propagation velocity calculating module) corresponding to the blood pressure BP (systolic pressure SBP and diastolic pressure DBP) which are widely changed by a population (the number of samples >30) without arteriosclerotic lesions according to each age and sex; obtaining function parameters Kij and Bij corresponding to each age and gender through a curve fitting method to form parameter databases Kij and Bij;
Figure BDA0002333688720000091
Figure BDA0002333688720000092
wherein, i is 1,2, …, n (1 is not less than n is not more than 100); j-M/F (M is male and F is female).
The method for obtaining the blood pressure BP with wide variation of the population without the arteriosclerotic lesion and the PWV corresponding to the blood pressure BP comprises the following steps:
selecting a group of people needing a surgical operation and without arteriosclerosis focus as an acquisition object, and measuring and recording arterial blood pressure in an operation anesthesia process by using an automatic sphygmomanometer by using a vibration method; under the multiple actions of anesthetic drugs, vasoactive drugs and surgical operations, the blood pressure in the operation fluctuates in a wide range, and the change range can meet the requirement of curve fitting.
Secondly, establishing a normalization model:
selecting a function parameter k with age x and gender MxMAnd bxM(ii) a Selecting a blood pressure state SBPx and DBPx, and respectively calculating a normalized model PWV under the states of SBPx and DBPxxM—sAnd PWVxM—d
Figure BDA0002333688720000093
Figure BDA0002333688720000094
And finally, the correction calculation module selects function parameters kij and bij corresponding to the age i and the sex j in the database according to the age and the sex input in the human-computer interaction unit, and obtains the corrections of the PWVs and the PWVd relative to the age, the sex and the blood pressure by utilizing a normalization model, wherein the specific method comprises the following steps:
under the state of SBPx and DBPx blood pressure, relative to the non-arteriosclerosis lesion population with age of i and sex of j, the correction quantity of PWVs and PWVd relative to age and sex is delta PWVs1And Δ PWVd1
Figure BDA0002333688720000101
Figure BDA0002333688720000102
The actual blood pressure of the population without arteriosclerosis lesion of age i and sex j is SBPm and DBPm, and the correction amount of PWV is delta PWV relative to the selected blood pressure SBPx and DBPxs2And Δ PWVd2
Figure BDA0002333688720000103
Figure BDA0002333688720000104
The correction module corrects PWVs and PWVd actually measured by the subject with age i and sex j according to the correction amount obtained by the correction amount calculation module by the following method, wherein the corrected PWVs 'and PWVd' are as follows:
Figure BDA0002333688720000105
Figure BDA0002333688720000106
wherein, SBPx and DBPx are systolic pressure and diastolic pressure selected by a normalized model, and SBPm and DBPm are systolic pressure and diastolic pressure obtained by actual measurement.
The arteriosclerosis measuring unit comprises two modules, namely an evaluation index calculating module and an arteriosclerosis measuring module;
the evaluation index calculation module is used for calculating an evaluation index Ks related to the characteristics of the viscose fibers and an evaluation index Kd related to the characteristics of the elastic fibers according to the corrected PWVs and PWVd; sending the calculated Ks and Kd to an arteriosclerosis measuring module; calculating Ks and Kd by:
Figure BDA0002333688720000107
Figure BDA0002333688720000111
the arteriosclerosis measuring module is used for measuring pathological hardening degrees of the glue element fiber and the elastic fiber of the artery wall respectively by using the indexes Ks and Kd obtained in the evaluation index calculating module;
the arteriosclerosis measuring module respectively measures the pathological hardening degree of the glue element fiber and the elastic fiber of the artery wall according to the following standards:
when K issLess than or equal to 1.2, which indicates that the glue element fiber of the artery wall is normal and has no obvious pathological thickening;
when 1.6 is more than or equal to Ks>1.2, the glue element fiber of the artery wall begins to thicken and increase the toughness;
when K iss>1.6, the glue element fiber of the artery wall is very seriously thickened, and the toughness is greatly increased;
when K isdLess than or equal to 1.2, which indicates that the elastic fibers of the artery wall are normal and have no obvious pathological changes;
when 1.6 is more than or equal to Kd>1.2, indicating that the compliance of the elastic fibers of the arterial wall begins to deteriorate;
when K isd>1.6, indicating that the compliance of the elastic fibers of the arterial wall has become poor.
And the display unit is used for displaying the calculated evaluation indexes Ks and Kd and providing a result report of the lesion degree of the glue element fibers and the elastic fibers of the artery wall.
Finally, it should be noted that: the above embodiments are only used to illustrate the technical solution of the present invention, and not to limit the same; while the invention has been described in detail and with reference to the foregoing embodiments, it will be understood by those skilled in the art that: the technical solutions described in the foregoing embodiments may still be modified, or some or all of the technical features may be equivalently replaced; such modifications and substitutions do not depart from the spirit and scope of the present invention, and they should be construed as being included in the following claims and description.

Claims (9)

1. A system for bivariate measurement of the degree of arteriosclerosis, comprising: the pulse wave propagation speed measuring device comprises a physiological signal acquisition unit, a man-machine interaction unit, a pulse wave propagation speed PWV detection unit, a blood pressure measuring unit, a PWV correction unit, an arteriosclerosis measuring unit and a display unit;
the physiological signal acquisition unit is used for acquiring pulse wave signals of two body parts of the object to be detected and sending the acquired pulse wave signals to the pulse wave propagation speed PWV detection unit;
the human-computer interaction unit is used for providing a human-computer interface for a user to input basic physiological parameters and a pulse wave propagation distance L; the pulse wave propagation distance L is sent to a pulse wave propagation speed PWV detection unit, and the basic physiological parameters are sent to a PWV correction unit;
the pulse wave propagation velocity PWV detection unit comprises a pulse wave propagation time identification module and a pulse wave propagation velocity calculation module, wherein the pulse wave propagation time identification module is used for identifying pulse wave propagation time PTTs related to systolic pressure and pulse wave propagation time PTTd related to diastolic pressure on two pulse wave signals and sending the PTTs and the PTTd to the pulse wave propagation velocity calculation module, and the pulse wave propagation velocity calculation module is used for calculating pulse wave propagation velocity PWVs related to systolic pressure and pulse wave propagation velocity PWVVdVd related to diastolic pressure according to pulse wave propagation distance L, the PTTs and the PTTd input in the man-machine interaction unit;
the blood pressure measuring unit is used for obtaining the instant blood pressure of the tested object, the instant blood pressure comprises a systolic pressure (SBP) and a diastolic pressure (DBP), and the instant blood pressure is sent to the PWV correcting unit;
the PWV correction unit comprises a correction amount calculation module and a correction module, wherein the correction amount calculation module is used for calculating the correction amounts of PWVs and PWVd relative to age and gender and the correction amounts relative to instant blood pressure according to the age, the gender and the instant blood pressure measured by the blood pressure measurement unit input in the man-machine interaction unit; the correction module corrects PWVs and PWVd according to the correction quantity obtained in the correction quantity calculation module;
the arteriosclerosis measuring unit comprises an evaluation index calculating module and an arteriosclerosis measuring module; the evaluation index calculation module is used for calculating an evaluation index Ks related to the characteristics of the viscose fibers and an evaluation index Kd related to the characteristics of the elastic fibers according to the corrected PWVs and PWVd; the arteriosclerosis measuring module is used for measuring pathological hardening degrees of the glue element fiber and the elastic fiber of the artery wall respectively by using the indexes Ks and Kd obtained in the evaluation index calculating module;
the display unit is used for displaying the calculated evaluation indexes Ks and Kd and providing a report of the pathological change degree results of the glue element fibers and the elastic fibers of the artery wall.
2. The system for bivariate measurement of the degree of arteriosclerosis of claim 1, wherein: the pulse wave propagation velocity calculating module calculates the relation between PWVs and PWVd as follows:
Figure FDA0002333688710000021
Figure FDA0002333688710000022
3. a system for bivariate measurement of the degree of arteriosclerosis in accordance with claim 2, wherein: the specific steps of the correction quantity calculating module for calculating the correction quantities of the PWVs and the PWVd relative to the age, the sex and the blood pressure are as follows:
s1) establishing a function family between PWV and blood pressure of the population without arteriosclerotic lesions, and obtaining function parameters corresponding to each age and sex to form a parameter database;
s2) establishing a normalized model of PWVs and PWVd under fixed age, gender and blood pressure states;
s3) obtaining corrections of PWVs and PWVd with respect to age, sex and blood pressure.
4. A system for bivariate measurement of the degree of arteriosclerosis in accordance with claim 3, wherein: the step S1 specifically includes: establishing a functional family between PWV and blood pressure of a population without arteriosclerosis foci by the following relation:
Figure FDA0002333688710000023
wherein PWV is the pulse wave propagation velocity and BP is the blood pressure; i represents age, j represents gender; k is a radical ofijAnd bijIs a function parameter related to gender and age; wherein kij and bij are obtained by the following method:
acquiring blood pressure BP (SBP and DBP of a tested object obtained by a blood pressure measuring unit) and PWV (PWVs and PWVd calculated by a pulse wave propagation velocity calculating module) corresponding to the blood pressure BP (SBP and DBP of the tested object) which is widely changed by a population (the sample number is more than 30) without the arteriosclerotic focus aiming at each age and sex; obtaining function parameters Kij and Bij corresponding to each age and gender through a curve fitting method to form parameter databases Kij and Bij;
Figure FDA0002333688710000031
Figure FDA0002333688710000032
wherein, i is 1,2, …, n (1 is not less than n is not more than 100); j-M/F (M is male and F is female).
5. The system for bivariate measurement of the degree of arteriosclerosis of claim 4, wherein: the step S2 specifically includes:
a normalized model of PWVs and PWVd at fixed age, gender and blood pressure was established by:
selecting a function parameter k with age x and gender MxMAnd bxM(ii) a Selecting a blood pressure state SBPx and DBPx, and respectively calculating a normalized model PWV under the states of SBPx and DBPxxM—sAnd PWVxM—d
Figure FDA0002333688710000033
Figure FDA0002333688710000034
6. The system for bivariate measurement of the degree of arteriosclerosis of claim 5, wherein: in step S3, correction amounts of PWVs and PWVd with respect to age, sex, and blood pressure are obtained by normalizing the model:
under the state of SBPx and DBPx blood pressure, relative to the non-arteriosclerosis lesion population with age of i and sex of j, the correction quantity of PWVs and PWVd relative to age and sex is delta PWVs1And Δ PWVd1
Figure FDA0002333688710000035
Figure FDA0002333688710000036
The actual blood pressure of the population without arteriosclerosis lesion of age i and sex j is SBPm and DBPm, and the correction amount of PWV is delta PWV relative to the selected blood pressure SBPx and DBPxs2And Δ PWVd2
Figure FDA0002333688710000041
Figure FDA0002333688710000042
7. The system for bivariate measurement of the degree of arteriosclerosis of claim 6, wherein: the correcting module corrects PWVs 'and PWVd' actually measured by the subject of age i and sex j by using the correction amount in step S3, where the corrected PWVs 'and PWVd' are:
Figure FDA0002333688710000043
Figure FDA0002333688710000044
wherein, SBPx and DBPx are systolic pressure and diastolic pressure selected by a normalized model, and SBPm and DBPm are systolic pressure and diastolic pressure obtained by actual measurement.
8. The system for bivariate measurement of the degree of arteriosclerosis of claim 7, wherein: the evaluation index calculation module calculates KsAnd KdThe formula of (1) is:
Figure FDA0002333688710000045
Figure FDA0002333688710000046
wherein, KsAnd KdRespectively corrected PWVs 'and PWVd' and standard PWV obtained by the normalization modelxM—sAnd PWVxM—dIs used for evaluating the pathological hardening degree of the glue element fiber and the elastic fiber of the artery wall respectively.
9. The system for bivariate measurement of the degree of arteriosclerosis of claim 8, wherein: the arteriosclerosis measuring module respectively measures the pathological hardening degree of the glue element fiber and the elastic fiber of the artery wall according to the following standards:
when K issLess than or equal to 1.2, which indicates that the glue element fiber of the artery wall is normal and has no obvious pathological thickening;
when 1.6 is more than or equal to Ks>1.2, the glue element fiber of the artery wall begins to thicken and increase the toughness;
when K iss>1.6, the glue element fiber of the artery wall is very seriously thickened, and the toughness is greatly increased;
when K isdLess than or equal to 1.2, which indicates that the elastic fibers of the artery wall are normal and have no obvious pathological changes;
when 1.6 is more than or equal to Kd>1.2, indicating that the compliance of the elastic fibers of the arterial wall begins to deteriorate;
when K isd>1.6, indicating that the compliance of the elastic fibers of the arterial wall has become poor.
CN201911347127.XA2019-12-242019-12-24System for double-variable measurement of arteriosclerosis degreeActiveCN110960199B (en)

Priority Applications (1)

Application NumberPriority DateFiling DateTitle
CN201911347127.XACN110960199B (en)2019-12-242019-12-24System for double-variable measurement of arteriosclerosis degree

Applications Claiming Priority (1)

Application NumberPriority DateFiling DateTitle
CN201911347127.XACN110960199B (en)2019-12-242019-12-24System for double-variable measurement of arteriosclerosis degree

Publications (2)

Publication NumberPublication Date
CN110960199Atrue CN110960199A (en)2020-04-07
CN110960199B CN110960199B (en)2022-05-27

Family

ID=70036257

Family Applications (1)

Application NumberTitlePriority DateFiling Date
CN201911347127.XAActiveCN110960199B (en)2019-12-242019-12-24System for double-variable measurement of arteriosclerosis degree

Country Status (1)

CountryLink
CN (1)CN110960199B (en)

Cited By (2)

* Cited by examiner, † Cited by third party
Publication numberPriority datePublication dateAssigneeTitle
CN115054207A (en)*2022-06-162022-09-16河南大学Noninvasive continuous monitoring method and device for plaque stenosis rate of superficial artery
US20220336104A1 (en)*2021-04-162022-10-20WithingsDevices, Systems and Processes to Compute A Vascular Health Related Score

Citations (28)

* Cited by examiner, † Cited by third party
Publication numberPriority datePublication dateAssigneeTitle
JPH10276994A (en)*1997-04-101998-10-20Nippon Colin Co LtdAutomatic sphygmomanometer with display function for temporary value of blood pressure
US6358213B1 (en)*1999-08-182002-03-19Critikon Company, LlcCalculation of quality and its use in determination of indirect noninvasive blood pressure
CN1393203A (en)*2001-07-022003-01-29客林公司Apparatus for evaluating arteriosclerosis
WO2003079894A1 (en)*2002-03-252003-10-02Baker Medical Research InstituteMethod of analysis of circadian rhythms
US20040171941A1 (en)*2003-02-282004-09-02Colin Medical Technology CorporationBlood flow amount estimating apparatus
CN1608584A (en)*2004-09-072005-04-27深圳迈瑞生物医疗电子股份有限公司Non-linear fitting method of restoring the envelope of vibrating pulse wave
US20070016083A1 (en)*2005-07-112007-01-18Motoharu HasegawaArterial stiffness evaluation apparatus, and arterial stiffness index calculating program
CN101077299A (en)*2006-05-252007-11-28王超文Electronic sphygmomanometer
TW201108991A (en)*2009-09-032011-03-16Quanta Comp IncApparatus and method for measuring blood pressure with motion artifacts elimination
JP2012075820A (en)*2010-10-062012-04-19Sharp CorpPulse wave propagation velocity measuring device and pulse wave propagation velocity measuring program
CN102525431A (en)*2010-12-102012-07-04李祥Cardiovascular physiology signal detection device and method
CN102711597A (en)*2009-11-102012-10-03夏普株式会社Pulse wave propagation speed measurement device and pulse wave propagation speed measurement program
CN102843962A (en)*2010-03-302012-12-26夏普株式会社Pulse wave velocity measurement device, pulse wave velocity measurement method and pulse wave velocity measurement program
CN103140165A (en)*2010-09-282013-06-05欧姆龙健康医疗事业株式会社Blood pressure information measurement device and method for calculating index for degree of arteriosclerosis using said device
CN103637787A (en)*2013-12-022014-03-19清华大学Real-time blood pressure measuring device and method for measuring pulse wave transmission time difference in real time
CN103908236A (en)*2013-05-132014-07-09天津点康科技有限公司Automatic blood pressure measuring system
CN104757959A (en)*2015-04-202015-07-08上海工程技术大学Pulse wave transmission velocity detecting method and system based on image foldover
US20160089081A1 (en)*2014-09-292016-03-31Microsoft CorporationWearable sensing band
CN106343976A (en)*2016-09-142017-01-25京东方科技集团股份有限公司Method and device for establishing blood pressure model as well as method and device for determining blood pressure
CN106618504A (en)*2017-01-192017-05-10陈妍High-accuracy continuous non-invasive blood pressure measuring device with self-adaptation calibration function
CN107137067A (en)*2017-05-042017-09-08深圳市松恩电子科技有限公司A kind of pulse wave continuous blood pressure monitoring device
US20180042494A1 (en)*2016-03-032018-02-15The Johns Hopkins UniversityDevice and method to measure ventricular arterial coupling and vascular performance
CN107920763A (en)*2015-07-162018-04-17普瑞温迪克斯有限责任公司Handle biological data
CN107961001A (en)*2017-12-202018-04-27中国科学院深圳先进技术研究院Appraisal procedure, device and the atherosclerosis detector of Degree of arteriosclerosis
CN108185996A (en)*2017-12-272018-06-22中国科学院深圳先进技术研究院Arteries age appraising model construction method and device
US20180214037A1 (en)*2015-02-272018-08-02Preventicus GmbhApparatus and method for determining blood pressure
CN109497978A (en)*2018-09-202019-03-22缤刻普达(北京)科技有限责任公司Blood-pressure measurement data modification method, system and sphygmomanometer
CN110037668A (en)*2019-04-102019-07-23常熟理工学院The system that pulse signal time-space domain binding model judges age, health status and malignant arrhythmia identification

Patent Citations (29)

* Cited by examiner, † Cited by third party
Publication numberPriority datePublication dateAssigneeTitle
JPH10276994A (en)*1997-04-101998-10-20Nippon Colin Co LtdAutomatic sphygmomanometer with display function for temporary value of blood pressure
US6358213B1 (en)*1999-08-182002-03-19Critikon Company, LlcCalculation of quality and its use in determination of indirect noninvasive blood pressure
CN1393203A (en)*2001-07-022003-01-29客林公司Apparatus for evaluating arteriosclerosis
WO2003079894A1 (en)*2002-03-252003-10-02Baker Medical Research InstituteMethod of analysis of circadian rhythms
US20040171941A1 (en)*2003-02-282004-09-02Colin Medical Technology CorporationBlood flow amount estimating apparatus
CN1608584A (en)*2004-09-072005-04-27深圳迈瑞生物医疗电子股份有限公司Non-linear fitting method of restoring the envelope of vibrating pulse wave
US20070016083A1 (en)*2005-07-112007-01-18Motoharu HasegawaArterial stiffness evaluation apparatus, and arterial stiffness index calculating program
CN101077299A (en)*2006-05-252007-11-28王超文Electronic sphygmomanometer
TW201108991A (en)*2009-09-032011-03-16Quanta Comp IncApparatus and method for measuring blood pressure with motion artifacts elimination
CN102711597A (en)*2009-11-102012-10-03夏普株式会社Pulse wave propagation speed measurement device and pulse wave propagation speed measurement program
CN102843962A (en)*2010-03-302012-12-26夏普株式会社Pulse wave velocity measurement device, pulse wave velocity measurement method and pulse wave velocity measurement program
US20130184596A1 (en)*2010-09-282013-07-18Omron Healthcare Co., Ltd.Blood pressure information measurement device and method of calculating arterial stiffness index with the device
CN103140165A (en)*2010-09-282013-06-05欧姆龙健康医疗事业株式会社Blood pressure information measurement device and method for calculating index for degree of arteriosclerosis using said device
JP2012075820A (en)*2010-10-062012-04-19Sharp CorpPulse wave propagation velocity measuring device and pulse wave propagation velocity measuring program
CN102525431A (en)*2010-12-102012-07-04李祥Cardiovascular physiology signal detection device and method
CN103908236A (en)*2013-05-132014-07-09天津点康科技有限公司Automatic blood pressure measuring system
CN103637787A (en)*2013-12-022014-03-19清华大学Real-time blood pressure measuring device and method for measuring pulse wave transmission time difference in real time
US20160089081A1 (en)*2014-09-292016-03-31Microsoft CorporationWearable sensing band
US20180214037A1 (en)*2015-02-272018-08-02Preventicus GmbhApparatus and method for determining blood pressure
CN104757959A (en)*2015-04-202015-07-08上海工程技术大学Pulse wave transmission velocity detecting method and system based on image foldover
CN107920763A (en)*2015-07-162018-04-17普瑞温迪克斯有限责任公司Handle biological data
US20180042494A1 (en)*2016-03-032018-02-15The Johns Hopkins UniversityDevice and method to measure ventricular arterial coupling and vascular performance
CN106343976A (en)*2016-09-142017-01-25京东方科技集团股份有限公司Method and device for establishing blood pressure model as well as method and device for determining blood pressure
CN106618504A (en)*2017-01-192017-05-10陈妍High-accuracy continuous non-invasive blood pressure measuring device with self-adaptation calibration function
CN107137067A (en)*2017-05-042017-09-08深圳市松恩电子科技有限公司A kind of pulse wave continuous blood pressure monitoring device
CN107961001A (en)*2017-12-202018-04-27中国科学院深圳先进技术研究院Appraisal procedure, device and the atherosclerosis detector of Degree of arteriosclerosis
CN108185996A (en)*2017-12-272018-06-22中国科学院深圳先进技术研究院Arteries age appraising model construction method and device
CN109497978A (en)*2018-09-202019-03-22缤刻普达(北京)科技有限责任公司Blood-pressure measurement data modification method, system and sphygmomanometer
CN110037668A (en)*2019-04-102019-07-23常熟理工学院The system that pulse signal time-space domain binding model judges age, health status and malignant arrhythmia identification

Non-Patent Citations (2)

* Cited by examiner, † Cited by third party
Title
LOANNIS BARGIOTAS: "Evaluation of Aortic Flow Alterations using MRI: Associations with", 《 COMPUTING IN CARDIOLOGY 2014》*
成志霞: "基于多生理参数的动脉硬化检测技术研究", 《中国优秀硕士学位论文全文数据库》*

Cited By (2)

* Cited by examiner, † Cited by third party
Publication numberPriority datePublication dateAssigneeTitle
US20220336104A1 (en)*2021-04-162022-10-20WithingsDevices, Systems and Processes to Compute A Vascular Health Related Score
CN115054207A (en)*2022-06-162022-09-16河南大学Noninvasive continuous monitoring method and device for plaque stenosis rate of superficial artery

Also Published As

Publication numberPublication date
CN110960199B (en)2022-05-27

Similar Documents

PublicationPublication DateTitle
US20210330203A1 (en)Blood pressure measuring apparatus, blood pressure measuring method, electronic device, and computer readable storage medium
Chen et al.Continuous and noninvasive blood pressure measurement: a novel modeling methodology of the relationship between blood pressure and pulse wave velocity
JP5109027B2 (en) Blood vessel state evaluation apparatus, blood vessel state evaluation method, and blood vessel state evaluation program
US9414755B2 (en)Method for estimating a central pressure waveform obtained with a blood pressure cuff
CN111839488B (en) Device and method for non-invasive continuous blood pressure measurement based on pulse wave
CN106974631A (en)A kind of blood pressure measuring method and device based on pulse waveform and electrocardiosignal
WO2003082100A1 (en)Electronic hemomanometer and blood pressure measuring method of electronic hemomanometer
EP3545832B1 (en)Correction method for pulse wave propagation time related to diastolic blood pressure and systolic blood pressure
Lüers et al.Arterial stiffness and elevated left ventricular filling pressure in patients at risk for the development or a previous diagnosis of HF—a subgroup analysis from the DIAST-CHF study
CN102488503A (en)Continuous blood pressure measurer
Kotovskaya et al.Validation of the integration of technology that measures additional “vascular” indices into an ambulatory blood pressure monitoring system
WO2012021765A2 (en)Methods and apparatus for determining arterial pulse wave velocity
US20210369235A1 (en)Method for determining pulse transmission time, arteriosclerosis detection apparatus and system
CN110960199B (en)System for double-variable measurement of arteriosclerosis degree
US20120157863A1 (en)Circulatory function measurement device
CN103505191B (en) A method and device for estimating central aortic pulse pressure using pressure pulse wave oscillation signal of cuff
CN111000537B (en)Method for correcting influence of age, sex and blood pressure on pulse wave propagation speed
WO2007132865A1 (en)Blood vessel senescence detection system
CN106923812A (en)A kind of rate calculation method based on cardiechema signals autocorrelation analysis
TWI600408B (en)Method for estimating central aortic blood pressure and apparatus using the same
CN103393415A (en)Method for measuring continuous changing blood pressure
CN112155514A (en)Non-contact intraocular pressure measuring method based on pulse bioelectricity detection
Zocalo et al.Forward and backward aortic components and reflection indexes in children and adolescents: determinants and role in high pressure states
Marcelli et al.A novel non-invasive device for the assessment of central venous pressure in hospital, office and home
Almeida et al.Hemodynamic features extraction from a new arterial pressure waveform probe

Legal Events

DateCodeTitleDescription
PB01Publication
PB01Publication
SE01Entry into force of request for substantive examination
SE01Entry into force of request for substantive examination
GR01Patent grant
GR01Patent grant

[8]ページ先頭

©2009-2025 Movatter.jp