Movatterモバイル変換


[0]ホーム

URL:


CN110958587B - A network adaptive method, device and system for ship communication - Google Patents

A network adaptive method, device and system for ship communication
Download PDF

Info

Publication number
CN110958587B
CN110958587BCN202010004246.1ACN202010004246ACN110958587BCN 110958587 BCN110958587 BCN 110958587BCN 202010004246 ACN202010004246 ACN 202010004246ACN 110958587 BCN110958587 BCN 110958587B
Authority
CN
China
Prior art keywords
communication
ship
network
node
frame
Prior art date
Legal status (The legal status is an assumption and is not a legal conclusion. Google has not performed a legal analysis and makes no representation as to the accuracy of the status listed.)
Active
Application number
CN202010004246.1A
Other languages
Chinese (zh)
Other versions
CN110958587A (en
Inventor
文元桥
陈芊芊
肖长诗
周春辉
Current Assignee (The listed assignees may be inaccurate. Google has not performed a legal analysis and makes no representation or warranty as to the accuracy of the list.)
Wuhan University of Technology WUT
Original Assignee
Wuhan University of Technology WUT
Priority date (The priority date is an assumption and is not a legal conclusion. Google has not performed a legal analysis and makes no representation as to the accuracy of the date listed.)
Filing date
Publication date
Application filed by Wuhan University of Technology WUTfiledCriticalWuhan University of Technology WUT
Priority to CN202010004246.1ApriorityCriticalpatent/CN110958587B/en
Publication of CN110958587ApublicationCriticalpatent/CN110958587A/en
Application grantedgrantedCritical
Publication of CN110958587BpublicationCriticalpatent/CN110958587B/en
Activelegal-statusCriticalCurrent
Anticipated expirationlegal-statusCritical

Links

Images

Classifications

Landscapes

Abstract

The invention relates to the technical field of ship communication, and discloses a network self-adaption method, a device and a system for ship communication, wherein the method comprises the following steps: establishing a handshake protocol between a sending node and a receiving node; detecting a network quality parameter according to a request sending frame of the handshake protocol, and selecting a communication parameter value according to a network quality parameter detection value; sending the communication parameter value according to the transmission-allowed frame of the handshake protocol, and adjusting the communication parameter according to the communication parameter value; and sending the data frame according to the adjusted communication parameters to realize network self-adaptive communication. The invention has the technical effects of high speed of ship identification and communication, small time delay, low packet loss rate and low power consumption.

Description

Network self-adaption method, device and system for ship communication
Technical Field
The invention relates to the technical field of ship communication, in particular to a network self-adaption method, device and system for ship communication.
Background
At present, a ship communication identification system is generally realized by AIS equipment, and the AIS equipment at least has the following defects: 1. and limitation of communication modes. The existing AIS equipment broadcasts ship navigation information to adjacent ships through Very High Frequency (VHF) channels, along with the continuous improvement of the demand of data communication on water in recent years, the increase of the demand of the AIS equipment in the VHF Frequency band communication causes the AIS equipment to become Very crowded in the usable Frequency band, especially the problems of information blockage and the like occur in some busy ports and narrow water areas (such as inland rivers or harbor district channels), the communication efficiency of the AIS equipment is seriously influenced, and the phenomenon that broadcasting is delayed or even cannot be transmitted often occurs; 2. the applicability in harbor waters or narrow waters is not high. Because the information sending mode of the existing AIS equipment is carried out through a VHF channel, namely, the ship information is broadcasted to adjacent ships at the same time by all ships in the same water area, so that the ship information displayed on each AIS equipment has a dense and hemp 'bunching' phenomenon under the condition that the ships are dense in some port water areas and narrow water areas (such as a Yangtze river channel and a Zhejiang river waterway), a shipman cannot accurately identify the required navigation information of the adjacent ships at all and cannot judge the current safety situation, the AIS equipment becomes a 'chicken rib', and then a plurality of ships can privately turn off the AIS equipment, so that the energy consumption of the ships is reduced and the operation cost is reduced; 3. because each AIS equipment needs to carry out communication broadcasting through a high-power VHF antenna and the broadcasting distance of the AIS equipment needs to be guaranteed to reach 15km, China stipulates that a ship should be provided with a voltage-stabilized power supply (more than 12A is needed to be provided with an emergency power supply) to guarantee the normal work of the AIS equipment, thus, for some small ships sailing in rivers or reservoirs, the AIS equipment is difficult to be provided due to the limitation of self conditions (the ship electricity of the ship is relatively deficient), and the application of the AIS equipment in the navigation aid and supervision management of the small ships is limited; in addition, the construction and operation costs of AIS shore are also increased due to power consumption problems, which also limits the further spread of AIS.
Disclosure of Invention
The invention aims to overcome the technical defects, provides a network self-adaption method, a device and a system for ship communication, and solves the technical problems of low ship communication efficiency and high required power consumption in the prior art.
In order to achieve the technical purpose, the technical scheme of the invention provides a network self-adaption method for ship communication, which comprises the following steps:
establishing a handshake protocol between a sending node and a receiving node;
detecting a network quality parameter according to a request sending frame of the handshake protocol, and selecting a communication parameter value according to a network quality parameter detection value;
sending the communication parameter value according to the transmission-allowed frame of the handshake protocol, and adjusting the communication parameter according to the communication parameter value;
and sending the data frame according to the adjusted communication parameters to realize communication.
The invention also provides a network adaptive device for ship communication, which comprises a processor and a memory, wherein the memory is stored with a computer program, and the computer program is executed by the processor to realize the network adaptive method for ship communication.
The invention also provides a network self-adaptive system for ship communication, which comprises at least two network self-adaptive devices for ship communication and a base station, wherein the network self-adaptive devices for ship communication realize mutual communication by adopting a network self-adaptive method for ship communication, and the network self-adaptive devices for ship communication realize mutual communication with the base station by adopting the network self-adaptive method for ship communication.
Compared with the prior art, the invention has the beneficial effects that: before sending data frame, the invention detects the network state of the system through the process of establishing handshake protocol, namely, the network quality parameter is detected according to the request sending frame, and the corresponding communication parameter value is selected according to the detected value of the network quality parameter, so that the communication parameter accords with the current network condition, the stable transmission of the subsequent data frame is ensured, the invention is adaptive to different communication distances, the communication time delay is reduced, and the communication efficiency is improved. Meanwhile, due to the self-adaptive adjustment function of the network, the method can adapt to different network conditions and communication distances, and a VHF antenna does not need to be arranged when the method is adopted, so that the communication power consumption is reduced.
Drawings
FIG. 1 is a flow chart of an embodiment of a network adaptation method for ship communication provided by the present invention;
FIG. 2 is a schematic structural diagram of an embodiment of a network adaptive device for ship communication according to the present invention;
fig. 3 is a schematic structural diagram of an embodiment of a network adaptive system for ship communication according to the present invention.
Reference numerals:
1. the system comprises a ship communication network self-adaption device 11, a processor 12, a memory 13, a wireless communication module 14, a display screen 15, an SD card 16 and a sensor.
Detailed Description
In order to make the objects, technical solutions and advantages of the present invention more apparent, the present invention is described in further detail below with reference to the accompanying drawings and embodiments. It should be understood that the specific embodiments described herein are merely illustrative of the invention and are not intended to limit the invention.
Example 1
As shown in fig. 1,embodiment 1 of the present invention provides a network adaptation method for ship communication, including the following steps:
s1, establishing a handshake protocol between the sending node and the receiving node;
s2, sending a frame according to the request of the handshake protocol to detect the network quality parameter, and selecting a communication parameter value according to the detected value of the network quality parameter;
s3, sending the communication parameter value according to the allowed sending frame of the handshake protocol, and adjusting the communication parameter according to the communication parameter value;
and S4, transmitting the data frame according to the adjusted communication parameters to realize communication.
Due to the complex and various ship communication environments, the wireless transmission media are variable, and a single fixed node communication parameter, such as a transmission speed, cannot meet the communication requirements among all nodes, an appropriate communication parameter needs to be selected according to the network environment and the channel state among the transceiving nodes. Therefore, the embodiment of the invention provides a network adaptive algorithm for ship communication. Meanwhile, the ship is not fixed, so that the receiving nodes in the coverage area of the sending node have different distances, the signal strength at each receiving node is different due to the channel attenuation of signals from the sending node to each receiving node, and when the signals are weak, the spreading factor needs to be improved to reduce the signal-to-noise ratio (bit error rate); when the signal is strong, the spreading factor needs to be reduced, so that the data transmission rate is improved, and therefore the implementation steps of the network adaptive algorithm for ship communication provided by the embodiment of the invention are as follows:
according to the embodiment of the invention, data communication among different nodes needs to be established, a handshake protocol is established before the data communication, and is used for establishing a data communication request and permission between a sending node and a receiving node, so that the data packet loss rate can be reduced. The handshake protocol established between the sending node and the receiving node can detect the network quality parameters such as signal strength, signal time delay, channel occupancy rate and the like, and realize accurate estimation of the wireless channel state. The sending node automatically selects communication parameters such as a sending frequency band, a communication speed, a routing path, a sending rate and the like according to the detection result of the network quality parameters, feeds back a CTS (clear to send frame) with the communication parameters to the sending node, and adjusts a local modulation coding mode of the receiving node to receive a DATA (DATA frame); s4: after receiving the CTS, the sending node adjusts communication parameters such as sending rate, modulation coding mode and the like to be consistent with the receiving node according to the CTS requirement; and after the adjustment is completed, the sending node and the receiving node complete the communication of DATA-ACK (DATA frame-acknowledgement frame). And after the data frame and the confirmation frame are sent, switching the sending node and the receiving node to basic communication parameters, and performing self-adaptive adjustment when the next communication is needed.
It should be understood that at least one of the sending node and the receiving node in the present invention is a ship communication node, and the other one may be a ship communication node, or may be other communication nodes, such as a base station communication node. That is to say, the network adaptive method for ship communication provided by the invention can realize distributed data interactive communication between ships, centralized data interactive communication between each ship and the base station, and centralized data interactive communication between each ship and other communication nodes.
Specifically, the communication protocol for data path in the present invention is preferably a communication protocol designed according to the message habit of the AI S, so as to improve compatibility.
The invention establishes a network adaptive algorithm, improves the network communication quality of the system, reduces the system time delay and the error rate, improves the spectrum occupancy rate, can ensure that ships accurately and efficiently identify surrounding ships in ports or wide water areas, reduces the collision danger, solves the problems of low AI S data quality, high power consumption and the like at present, and can be widely applied to the auxiliary navigation and safety supervision of the ships in closed water areas.
Preferably, the request-to-send frame includes a frame header, a ship identification code, request-to-send data, and a frame trailer; the sending-allowed frame comprises a frame head, a ship identification code, sending-allowed data, a frame tail and communication parameters.
Specifically, the formats of the request-to-send frame and the allowed-to-send frame in this embodiment are shown in the following table:
TABLE 1 handshake protocol
Figure BDA0002354637910000051
The path parameter in this embodiment is signal strength.
Preferably, the communication parameter adjustment is performed according to the communication parameter value, specifically:
and the communication parameter value is a spread spectrum factor, and the communication speed is adjusted according to the spread spectrum factor.
In this embodiment, a suitable spreading factor is selected according to the detected value of the network quality parameter, and then the communication speed is adjusted according to the selected spreading factor, so that the communication speed can adapt to the current network state.
Preferably, the network quality parameters include signal strength, signal delay and channel occupancy, and the communication parameters include a transmission frequency band, a spreading factor, a communication speed and a routing path.
Preferably, a handshake protocol is established between the sending node and the receiving node, specifically:
the sending node sends the request sending frame to the receiving node;
and the receiving node sends the transmission permission frame to the sending node after receiving the request transmission frame, so as to realize the establishment of a handshake protocol.
A handshake protocol is established between the sending node and the receiving node by requesting transmission of frames and permitting transmission and reception of frames. Meanwhile, the self-adaptive adjustment of the network parameters is realized by means of the process of establishing a handshake protocol, so that the communication efficiency between the sending node and the receiving node is higher, and the communication effect is better.
Preferably, the selecting the communication parameter value according to the detected value of the network quality parameter specifically comprises:
establishing a mapping relation table among communication distance, network quality parameters and communication parameters;
and acquiring the real-time communication distance between the sending node and the receiving node, and selecting corresponding communication parameter values in the mapping relation table according to the real-time communication distance and the network quality parameter detection values.
The mapping relationship table established in this embodiment is as follows:
TABLE 2 mapping relationship between communication distance and signal strength, spreading factor, data rate
Figure BDA0002354637910000061
And selecting proper communication parameters for the communication between the sending node and the receiving node according to the current network condition and the communication distance. The communication quality between the sending node and the receiving node is ensured, and meanwhile, the antenna is not required to be arranged, so that the power consumption is low.
Preferably, a handshake protocol is established between the sending node and the receiving node, specifically:
establishing the handshake protocol on a common channel;
reallocating the communication channel after the handshake protocol is established;
communication is performed on the reallocated communication channel.
The handshake protocol is established directly on the common channel since it does not require too high a network quality to be established. After the handshake protocol is established and the communication parameters are adjusted, the communication is switched to a more appropriate channel for subsequent formal communication, and the processes of data frame sending, ship identification and the like are carried out.
Preferably, the reallocating the communication channel after the handshake protocol is established is specifically:
setting an initial channel allocation scheme;
calculating the interference amount of the current channel allocation scheme according to the utility function;
and judging whether the current channel allocation scheme can reach an equilibrium state or not according to the interference amount, if so, adopting the current channel allocation scheme for communication, otherwise, switching to the next channel allocation scheme, and turning to the previous step.
The preferred embodiment performs adaptive adjustment on the communication channel on the basis of adjusting the communication parameters, and solves the problem of VHF channel congestion of the AIS equipment at present.
Specifically, the available frequency band in this embodiment is 470-510MHz, which needs to be monitored by the radio management committee, and is increased from 470.3MHz to 509.7MHz every 200KHz, and 144 channels are total, wherein channels No. 6-38 and No. 45-77 are used for china power usage, and are not available in ship identification, and the remaining 78 channels are available. Due to the fact that network resources are limited, the number of ships is large, communication data packets are dense, all ship nodes adopt a spectrum allocation model based on a game theory to conduct channel self-adaptive allocation, whether a utility function can reach an equilibrium state is calculated at a sending node, if yes, channel allocation is conducted according to the strategy, if not, the next channel is continuously switched to, and a channel allocation strategy which can reach the equilibrium state is searched. And after the channel allocation strategy which can reach the equilibrium state is found and the data frame communication is completed, returning to the initial allocation channel again, and waiting for the next time of communication needing to be carried out, carrying out channel self-adaptive allocation.
Preferably, the calculating the interference amount of the current channel allocation scheme according to the utility function specifically includes:
Figure BDA0002354637910000071
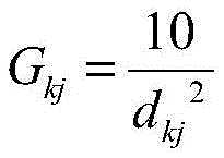
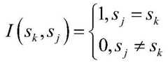
wherein, Ui() As a utility function, PkIs a node skK is equal to [1, n ]]N is the total number of nodes, GkjIs a node skTo node sjI () is an interference equation, which means that when a node receives and transmits data, interference occurs using the same channel;
the interference equation is:
Figure BDA0002354637910000081
the link gain is:
Figure BDA0002354637910000082
wherein d isijIs a node skAnd node sjThe communication distance of (2).
The purpose of channel adaptive allocation is to minimize the interference amount, and the implementation adopts a utility function of a spectrum allocation model based on a game theory to calculate the overall interference amount of the current allocation strategy of the system. And a frequency spectrum allocation model based on a game theory is adopted, so that the channel utilization rate and the throughput of the system are improved. The problem that the existing AIS equipment channel is not enough is solved.
Judging whether the current channel allocation scheme can reach an equilibrium state according to the interference amount, specifically:
and judging whether the interference amount is smaller than a set threshold value, if so, indicating that the balance state can be achieved, otherwise, indicating that the balance state cannot be achieved.
Example 2
As shown in fig. 2, an embodiment 2 of the present invention provides a network adaptive device for ship communication, which includes a processor and a memory, where the memory stores a computer program, and the computer program is executed by the processor to implement the network adaptive method for ship communication provided inembodiment 1.
Specifically, the network adaptive device for ship communication further comprises a wireless communication module, a display screen, an SD card, a sensor and the like. The wireless communication module is used for establishing communication connection so as to realize a network self-adaptive method of ship communication. The wireless communication module can adopt loRa communication module to realize, and loRa communication module has point-to-point data bidirectional transmission function, is used for the sending and receiving of data respectively. The various sensors are used for acquiring position information, navigation speed information, course information and motion information of the ship, for example, the position information and the navigation speed information can be detected by a GPS module, the course information can be detected by a compass sensor, the motion information can be detected by an acceleration sensor, whether the ship is in a navigation state or not can be judged according to the motion information of the ship, and data detected by the sensors are sent as data frames, so that mutual identification among network self-adaption devices of different ship communication is realized. The display screen is used for displaying detection data, identification results and the like. The SD card is used for storing ship navigation information, and ship static information is stored in the SD card module and comprises a ship identification number, a ship length, a ship width, a ship type, ship draft and the like.
The network adaptive device for ship communication provided by the embodiment of the invention is used for realizing a network adaptive method for ship communication, so that the technical effect of the network adaptive method for ship communication is achieved, and the network adaptive device for ship communication also has the technical effect, and the details are not repeated herein.
Example 3
As shown in fig. 3, an embodiment 3 of the present invention provides a network adaptive system for ship communication, including at least two network adaptive devices for ship communication provided in embodiment 2, and further including a base station, where the network adaptive devices for ship communication implement mutual communication by using the network adaptive method for ship communication provided inembodiment 1, and the network adaptive devices for ship communication implement mutual communication with the base station by using the network adaptive method for ship communication provided inembodiment 1.
Fig. 3 shows six ship communication network adaptive devices, and obviously, the number of the network adaptive devices may be other, a base station is not shown in fig. 3, two ship communication network adaptive devices may communicate with each other by using the ship communication network adaptive method provided inembodiment 1, the ship communication network adaptive devices and the base station may communicate with each other by using the ship communication network adaptive method provided inembodiment 1, and the communication quality is good, and arrows in fig. 3 only show some communication connection possibilities. All network-adapted devices communicating with the vessel are connected by wireless communication, such as LoRa. The ship user can send the ship data to the network self-adaptive device for communication of other ships in the communication range through the network self-adaptive device for communication of the ships, and can also forward the data of other ships. The wireless communication module adopts a network self-adaptive method of ship communication to detect the network state of the system before sending data, and automatically selects an optimal communication path, a communication channel and the like according to the network state.
The network adaptive system for ship communication provided by the embodiment of the invention comprises a network adaptive device for ship communication, and the network adaptive device for ship communication is used for communication by adopting a network adaptive method for ship communication, so that the technical effect of the network adaptive method for ship communication is achieved, and the network adaptive system for ship communication is also achieved, and the details are not repeated herein.
The above-described embodiments of the present invention should not be construed as limiting the scope of the present invention. Any other corresponding changes and modifications made according to the technical idea of the present invention should be included in the protection scope of the claims of the present invention.

Claims (6)

Translated fromChinese
1.一种船舶通信的网络自适应方法,其特征在于,包括以下步骤:1. a network adaptive method for ship communication, is characterized in that, comprises the following steps:在发送节点与接收节点之间建立握手协议;Establish a handshake protocol between the sending node and the receiving node;根据所述握手协议的请求发送帧检测网络质量参数,根据网络质量参数检测值选择通信参数值;According to the request of the handshake protocol, the frame is sent to detect the network quality parameter, and the communication parameter value is selected according to the detected value of the network quality parameter;根据所述握手协议的允许发送帧发送所述通信参数值,按所述通信参数值进行通信参数调整;Send the communication parameter value according to the allowable sending frame of the handshake protocol, and adjust the communication parameter according to the communication parameter value;按调整后的通信参数发送数据帧实现通信;Send data frames according to the adjusted communication parameters to realize communication;所述请求发送帧包括帧头、船舶识别码、请求发送数据以及帧尾;所述允许发送帧包括帧头、船舶识别码、允许发送数据、帧尾以及通信参数;The request-to-send frame includes frame header, ship identification code, request-to-send data, and frame trailer; the allow-to-send frame includes frame header, ship identification code, permitted-to-send data, frame trailer, and communication parameters;所述网络质量参数包括信号强度、信号时延以及信道占用率,所述通信参数包括发送频段、扩频因子、通信速度以及路由路径;The network quality parameters include signal strength, signal delay and channel occupancy, and the communication parameters include transmission frequency band, spreading factor, communication speed and routing path;在发送节点与接收节点之间建立握手协议,具体为:A handshake protocol is established between the sending node and the receiving node, specifically:在公共信道上建立所述握手协议;establishing the handshake protocol on a common channel;握手协议建立完成后重新分配通信信道;After the handshake protocol is established, the communication channel is reassigned;在重新分配的通信信道进行通信;communicate on reassigned communication channels;握手协议建立完成后重新分配通信信道,具体为:After the handshake protocol is established, the communication channel is reassigned, specifically:设置初始信道分配方案;Set the initial channel allocation scheme;根据效用函数计算当前信道分配方案的干扰量;Calculate the interference amount of the current channel allocation scheme according to the utility function;根据所述干扰量判断当前信道分配方案能否达到均衡状态,如果能,则采用当前信道分配方案进行通信,否则切换至下一个信道分配方案,并转上一步;Determine whether the current channel allocation scheme can reach an equilibrium state according to the interference amount, if so, use the current channel allocation scheme for communication, otherwise switch to the next channel allocation scheme, and go to the previous step;根据效用函数计算当前信道分配方案的干扰量,具体为:Calculate the interference amount of the current channel allocation scheme according to the utility function, specifically:
Figure FDA0003069611410000011
Figure FDA0003069611410000011
其中,Ui()为效用函数,Pk为节点sk的发射功率,k∈[1,n],n为节点总数量,Gkj为节点sk到节点sj的链路增益,I()为干扰方程,表示当节点收发数据时使用同一信道则会产生干扰;Among them, Ui () is the utility function, Pk is the transmit power of node sk , k∈[1,n], n is the total number of nodes, Gkj is the link gain from node sk to node sj , I () is the interference equation, which means that interference will occur when nodes use the same channel to send and receive data;所述干扰方程为:The interference equation is:
Figure FDA0003069611410000021
Figure FDA0003069611410000021
所述链路增益为:The link gain is:
Figure FDA0003069611410000022
Figure FDA0003069611410000022
其中,dij为节点sk与节点sj的通信距离。Among them, dij is the communication distance between nodesk and node sj .2.根据权利要求1所述的船舶通信的网络自适应方法,其特征在于,按所述通信参数值进行通信参数调整,具体为:2. the network adaptive method of ship communication according to claim 1, is characterized in that, carries out communication parameter adjustment according to described communication parameter value, is specially:所述通信参数值为扩频因子,根据所述扩频因子对通信速度进行调整。The communication parameter value is a spreading factor, and the communication speed is adjusted according to the spreading factor.3.根据权利要求1所述的船舶通信的网络自适应方法,其特征在于,在发送节点与接收节点之间建立握手协议,具体为:3. the network adaptive method of ship communication according to claim 1, is characterized in that, establishes a handshake agreement between sending node and receiving node, is specially:发送节点向接收节点发送所述请求发送帧;The sending node sends the request to send frame to the receiving node;接收节点接收到所述请求发送帧后向所述发送节点发送所述允许发送帧,实现握手协议的建立。After receiving the request-to-send frame, the receiving node sends the allow-to-send frame to the sending node to implement the establishment of a handshake protocol.4.根据权利要求1所述的船舶通信的网络自适应方法,其特征在于,根据网络质量参数检测值选择通信参数值,具体为:4. the network adaptive method of ship communication according to claim 1, is characterized in that, selects communication parameter value according to network quality parameter detection value, is specially:建立通信距离、网络质量参数以及通信参数之间的映射关系表;Establish a mapping relationship table between communication distance, network quality parameters and communication parameters;获取发送节点与接收节点之间的实时通信距离,根据所述实时通信距离、网络质量参数检测值在所述映射关系表中选择相应的通信参数值。Obtain the real-time communication distance between the sending node and the receiving node, and select the corresponding communication parameter value in the mapping relationship table according to the real-time communication distance and the detection value of the network quality parameter.5.一种船舶通信的网络自适应装置,其特征在于,包括处理器以及存储器,所述存储器上存储有计算机程序,所述计算机程序被所述处理器执行时,实现如权利要求1-4任一所述的船舶通信的网络自适应方法。5. A network adaptive device for ship communication, characterized in that it comprises a processor and a memory, and a computer program is stored on the memory, and when the computer program is executed by the processor, it is realized as claimed in claims 1-4 Any of the network adaptation methods for ship communication.6.一种船舶通信的网络自适应系统,其特征在于,包括至少两个如权利要求5所述的船舶通信的网络自适应装置,还包括基站,各所述船舶通信的网络自适应装置之间采用如权利要求1-4任一所述的船舶通信的网络自适应方法实现相互通信,各所述船舶通信的网络自适应装置与所述基站之间采用如权利要求1-4任一所述的船舶通信的网络自适应方法实现相互通信。6. A network adaptive system for ship communication, characterized in that it comprises at least two network adaptive devices for ship communication as claimed in claim 5, and also includes a base station, wherein one of the network adaptive devices for each described ship communication The network adaptation method for ship communication according to any one of claims 1-4 is used to realize mutual communication, and the network adaptation device for communication between each ship and the base station adopts the method according to any one of claims 1-4. The network adaptive method for ship communication described above realizes mutual communication.
CN202010004246.1A2020-01-032020-01-03 A network adaptive method, device and system for ship communicationActiveCN110958587B (en)

Priority Applications (1)

Application NumberPriority DateFiling DateTitle
CN202010004246.1ACN110958587B (en)2020-01-032020-01-03 A network adaptive method, device and system for ship communication

Applications Claiming Priority (1)

Application NumberPriority DateFiling DateTitle
CN202010004246.1ACN110958587B (en)2020-01-032020-01-03 A network adaptive method, device and system for ship communication

Publications (2)

Publication NumberPublication Date
CN110958587A CN110958587A (en)2020-04-03
CN110958587Btrue CN110958587B (en)2021-07-09

Family

ID=69985524

Family Applications (1)

Application NumberTitlePriority DateFiling Date
CN202010004246.1AActiveCN110958587B (en)2020-01-032020-01-03 A network adaptive method, device and system for ship communication

Country Status (1)

CountryLink
CN (1)CN110958587B (en)

Families Citing this family (2)

* Cited by examiner, † Cited by third party
Publication numberPriority datePublication dateAssigneeTitle
CN113207149B (en)*2021-04-092022-09-27东北农业大学 A data transmission rate adaptive method based on LoRaWAN network protocol
CN114157686A (en)*2021-11-012022-03-08浙江时空道宇科技有限公司Ship scanning and identifying method, system and computer storage medium

Family Cites Families (4)

* Cited by examiner, † Cited by third party
Publication numberPriority datePublication dateAssigneeTitle
CN101277271B (en)*2008-05-092010-09-01中国人民解放军理工大学Access control method for distributed CDMA network medium with controllable power
CN101466133A (en)*2009-01-152009-06-24南京航空航天大学DCF protocol node self-adapting power control mechanism for ad hoc network
EP2866514A3 (en)*2010-11-162015-05-20Interdigital Patent Holdings, Inc.Method and apparatus for wireless direct link operation
CN103796295B (en)*2012-10-312017-05-17西门子医疗器械公司Synchronous access method in frequency hopping wireless communication, communication equipment and communication system

Also Published As

Publication numberPublication date
CN110958587A (en)2020-04-03

Similar Documents

PublicationPublication DateTitle
CN109275171B (en)Wireless ad hoc network communication method and device
US9986021B2 (en)Service transmission method and device
US9661555B2 (en)Method and apparatus for transmitting management information frame in wireless local area network system
US9538464B2 (en)Method and apparatus for transmitting management information in wireless local area network system
Coutinho et al.On the design of green protocols for underwater sensor networks
US10440666B2 (en)Managing communication between a plurality of moving objects through control of transmit power and/or transmit rate
US20030203741A1 (en)Autonomous distributed wireless network system, method of autonomous distributed wireless network communication and wireless terminal apparatus
CN103533529A (en)Resource reuse method and system for improving energy efficiency of D2D (device-to-device) system
Hu et al.Load adaptive MAC: a hybrid MAC protocol for MIMO SDR MANETs
KR101153970B1 (en)Routing method for wireless mesh networks and wireless mesh network system using the same
TWI398178B (en)Multi-hop wireless systems having noise reduction and bandwidth expansion capabilities and the methods of the same
CN110958587B (en) A network adaptive method, device and system for ship communication
WO2016026215A1 (en)Multi-frequency flooding power-line carrier communication method
CN106856418B (en) Collaborative Spectrum Sensing Method in Cognitive Vehicle Ad Hoc Networks
Zhou et al.Link-utility-based cooperative MAC protocol for wireless multi-hop networks
CN113810929A (en)STR capability indication method and related device
CN103024796B (en)Bandwidth estimation method for wireless Mesh network
CN106792756B (en)Device and method for covering users in marine communication
JP4742307B2 (en) Wireless communication device and wireless communication method
CN113133096B (en)Information determination method, device, equipment and computer readable storage medium
US20090303917A1 (en)Communication system, communication apparatus, and link use stopping method
JP2010130192A (en)Wireless communication system, wireless terminal, and method of controlling communication
JP2005130010A (en) Wireless LAN system and communication control method thereof
Chen et al.Design of Automatic Identification System for Enclosed Waters Based on LoRa
CN113271611B (en)Spectrum switching optimization method for cognitive satellite network system

Legal Events

DateCodeTitleDescription
PB01Publication
PB01Publication
SE01Entry into force of request for substantive examination
SE01Entry into force of request for substantive examination
GR01Patent grant
GR01Patent grant

[8]ページ先頭

©2009-2025 Movatter.jp