

技术领域technical field
本发明涉及红外高温测量技术领域,更具体地,涉及一种基于单相机比色测温系统的优化测温方法。The invention relates to the technical field of infrared high temperature measurement, and more particularly, to an optimized temperature measurement method based on a single-camera colorimetric temperature measurement system.
背景技术Background technique
在金属增材制造过程中,金属粉末熔化后形成的熔池温度通常在1000℃以上,而成型件的质量和熔池的温度的分布密切相关,近年来科研人员通常通过测量熔池温度场来在线监测打印质量;在航空发动机涡轮高速运行过程中,航空发动机涡轮叶片表面的局部温度高达1600℃,准确测量其表面温度可以为航空发动机评估性能,改进结构设计提供重要参考。In the process of metal additive manufacturing, the temperature of the molten pool formed by the melting of metal powder is usually above 1000 °C, and the quality of the molded part is closely related to the temperature distribution of the molten pool. In recent years, researchers usually measure the temperature field of the molten pool. Online monitoring of printing quality; during the high-speed operation of aero-engine turbines, the local temperature of the surface of aero-engine turbine blades is as high as 1600 °C. Accurately measuring the surface temperature can provide an important reference for aero-engine performance evaluation and structural design improvement.
目前在高速高温非接触测量领域,双波段比色测温法是一种常用的方法,通常利用两台高速相机同步采集图像,例如文献《Melt pool temperature and cooling ratesin laser powder bed fusion》(Paul A.Hooper,Imperial College London,2018)中使用两台高速相机同步采集图像,但是控制双高速相机同步采集图像增加了实验难度,而且同步误差将对测量精度产生较大影响,单相机比色测温系统的研制克服了这个难题,但是目前单相机比色测温系统的标定方法发展还不完善。At present, in the field of high-speed and high-temperature non-contact measurement, dual-band colorimetric thermometry is a commonly used method. Usually, two high-speed cameras are used to acquire images synchronously. For example, the literature "Melt pool temperature and cooling rates in laser powder bed fusion" (Paul A. .Hooper, Imperial College London, 2018) uses two high-speed cameras to capture images synchronously, but controlling the dual high-speed cameras to capture images synchronously increases the difficulty of the experiment, and the synchronization error will have a greater impact on the measurement accuracy. Single camera colorimetric temperature measurement The development of the system overcomes this problem, but the development of the calibration method of the single-camera colorimetric temperature measurement system is not perfect.
在专利号为ZL201810769907.2的中国专利中,公开了一种基于单相机的温度场测量系统及方法,系统利用分光元件将物体辐射光分成两束,仅设置一台相机就能获取两个波段的图像,由于分光元件的分束比例受光线的入射角影响,不同的分束比例对测温系统具有较大的影响,因此,有必要对单相机的温度场测量系统进行全场分光比例分布标定。此外,分光元件的透过率与反射率、窄带滤光片的透过率、相机对两个波段的光谱响应系数、反射镜的反射率等都是未知参数,需要利用标定实验得到;在双波段比色测温法的实际应用过程中,许多学者将波长参数λ1’和λ2’选取为窄带滤光片的中心透过波长,然而从理论上讲,λ1’和λ2’确切的取值范围是窄带滤光片的工作波段,也就是说在工作波段范围内选取中心透过波长以外的值也具有合理性,因此,有必要单相机的温度场测量系统中温度测量公式中的参数进行优化。In the Chinese patent with the patent number ZL201810769907.2, a temperature field measurement system and method based on a single camera is disclosed. The system uses a spectroscopic element to divide the radiated light of an object into two beams, and only one camera can be set to obtain two wavelength bands. Since the beam splitting ratio of the spectroscopic element is affected by the incident angle of the light, different beam splitting ratios have a greater impact on the temperature measurement system. Therefore, it is necessary to carry out the full-field splitting ratio distribution for the single-camera temperature field measurement system. Calibration. In addition, the transmittance and reflectivity of the spectroscopic element, the transmittance of the narrow-band filter, the spectral response coefficient of the camera to the two wavelength bands, and the reflectivity of the mirror are all unknown parameters, which need to be obtained by calibration experiments; In the practical application of the band colorimetric thermometry, many scholars choose the wavelength parameters λ1 ' and λ2 ' as the central transmission wavelength of the narrow-band filter. However, theoretically, λ1 ' and λ2 ' are exactly The value range of λ is the working band of the narrow-band filter, that is to say, it is reasonable to select values other than the central transmission wavelength within the working band range. Therefore, it is necessary to use the temperature measurement formula in the temperature field measurement system of a single camera. parameters are optimized.
目前,已有部分学者通过黑体炉标定的方法来定比色测温系统的系数K,例如专利号为ZL201810769907.2的中国专利,以及《一种新型红外测温方法研究》(李响等,天津理工大学,2010),上述文献提供了标定系数K的方法以避免“辐射率测量困难”的难题,在一定程度上提高了比色测温系统的测量精度,但是所提供的方法仅仅单独标定了系数K,而忽略了K、λ1’和λ2’三个系统参数关联性,λ1’和λ2’选取不恰当将会给温度测量结果带来不可忽略的误差。At present, some scholars have used the method of blackbody furnace calibration to determine the coefficient K of the colorimetric temperature measurement system, such as the Chinese patent with the patent number of ZL201810769907.2, and "Research on a New Infrared Temperature Measurement Method" (Li Xiang et al., Tianjin University of Science and Technology, 2010), the above literature provides a method for calibrating coefficient K to avoid the problem of "difficulty in measuring emissivity", and to a certain extent, improves the measurement accuracy of the colorimetric temperature measurement system, but the provided method only calibrates it alone. The coefficient K is ignored, and the correlation of the three system parameters of K, λ1 ' and λ2 ' is ignored. Improper selection of λ1 ' and λ2 ' will bring non-negligible errors to the temperature measurement results.
另外,虽然目前有较多学者研究双波段比色测温法中双波段的选择问题,但是当双波段确定后,如何在计算温度时确定比色测温计算公式中的波长参数λ1’和λ2’的具体数值还未发现有相关研究的先例。例如文献《比色测温双波长的选择及滤波片最小带宽的计算》(吴海滨等,安徽大学,2006)以及文献《比色测温的波长选择》(冯驰,哈尔滨工程大学,2013),以上文献均讨论了比色测温法中双波段的选取方法,当确定了两个测温波段后,一般需要利用窄带滤光片来获取这两个波段,由于窄带滤光片所获取的光是一个波段而不是单波长,但是比色测温公式中的参数λ1’和λ2’均为单波长,大部分学者一般是将滤光片工作波段的中心波长当做参数λ1’和λ2’进行计算,例如《利用图像比色法进行激光熔池温度场实时检测的研究》(姜淑娟等,中国科学院沈阳自动化研究所先进制造技术重点实验室,2008)这样选取容易引起较大误差,所以需要进一步解决这两个参数在滤光片的工作波段范围内的选取问题,对于这个问题并未发现有学者有过相关研究。In addition, although many scholars have studied the selection of the dual-band in the dual-band colorimetric thermometry method, how to determine the wavelength parameters λ1 ' and The specific value of λ2 ' has not yet found any relevant research precedent. For example, the literature "Selection of Dual Wavelengths for Colorimetric Temperature Measurement and Calculation of the Minimum Bandwidth of Filters" (Wu Haibin et al., Anhui University, 2006) and the literature "Wavelength Selection for Colorimetric Temperature Measurement" (Feng Chi, Harbin Engineering University, 2013) , the above literatures all discuss the selection method of dual-band in colorimetric temperature measurement. When two temperature measurement bands are determined, narrow-band filters are generally needed to obtain these two bands. Light is a wavelength band rather than a single wavelength, but the parameters λ1 ' and λ2 ' in the colorimetric temperature measurement formula are both single wavelengths. Most scholars generally regard the central wavelength of the filter working band as the parameters λ1 ' and λ 1 ' and λ2 ' is calculated, such as "Research on the Real-time Detection of Laser Melt Pool Temperature Field Using Image Colorimetry" (Jiang Shujuan et al., Key Laboratory of Advanced Manufacturing Technology, Shenyang Institute of Automation, Chinese Academy of Sciences, 2008). Therefore, it is necessary to further solve the problem of the selection of these two parameters within the working wavelength range of the filter. No scholars have found any relevant research on this problem.
综上所述,上述类型的单相机比色测温系统亟需通过分光比例分布标定及系统参数K、λ1’和λ2’的精确标定提高系统测温精度。To sum up, the above-mentioned single-camera colorimetric temperature measurement system urgently needs to improve the system temperature measurement accuracy through the calibration of the spectral ratio distribution and the accurate calibration of the system parameters K, λ1 ' and λ2 '.
发明内容SUMMARY OF THE INVENTION
有鉴于此,本发明提供了一种基于单相机比色测温系统的分光强度比例分布标定方法,其中,通过对基于单相机比色测温系统的分光强度比例分布标定的过程中,将获取的固定位置单相机比色测温系统中分光强度比例作为像素单元温度计算公式的参数,此外,通过黑体炉和经过校准的标准光电测温仪获取K、λ1’和λ2’的最优标定结果,完成像素单元温度计算公式的参数标定。In view of this, the present invention provides a method for calibrating the spectral intensity proportional distribution based on a single-camera colorimetric temperature measurement system, wherein, in the process of calibrating the spectral intensity proportional distribution based on the single-camera colorimetric temperature measurement system, the obtained The spectral intensity ratio in the fixed position single-camera colorimetric temperature measurement system is used as the parameter of the calculation formula for the temperature of the pixel unit. In addition, the optimal values of K, λ1 ' and λ2 ' are obtained through a black body furnace and a calibrated standard photoelectric thermometer. The calibration result completes the parameter calibration of the pixel unit temperature calculation formula.
本申请提供的一种基于单相机比色测温系统的优化测温方法,单相机比色测温系统基于双波段比色测温原理测温,双波段包括第一波段和第二波段,单相机比色测温系统利用分光元件将待测试件的辐射光束分成两束且分别进入通道一和通道二,优化测温方法包括:标定分光强度比例分布;优化像素单元温度计算公式;标定与优化像素单元温度计算公式参数;The application provides an optimized temperature measurement method based on a single-camera colorimetric temperature measurement system. The single-camera colorimetric temperature measurement system measures temperature based on the principle of dual-band colorimetric temperature measurement. The dual-band includes a first band and a second band. The camera colorimetric temperature measurement system divides the radiation beam of the test object into two beams and enters channel 1 and channel 2 respectively. The optimized temperature measurement method includes: calibrating the proportional distribution of the spectral intensity; optimizing the pixel unit temperature calculation formula; calibration and optimization Pixel unit temperature calculation formula parameters;
其中,标定分光强度比例分布的步骤为:Among them, the steps of calibrating the proportional distribution of the spectral intensity are:
在通道一设置中心波长为λ1、带宽为δ的滤光片;在通道二设置中心波长为λ2、带宽为δ的滤光片;A filter with a center wavelength of λ1 and a bandwidth of δ is set in channel one; a filter with a center wavelength of λ2 and a bandwidth of δ is set in channel two;
将单相机比色测温系统固定在指定位置;Fix the single-camera colorimetric temperature measurement system in the designated position;
将待测试件替换为散斑标定板,进行第一波段图像位置标定与子图像匹配,得到与第一波段对应的子图像匹配数据;进行第二波段图像位置标定与子图像匹配,得到与第二波段对应的子图像匹配数据;The specimen to be tested is replaced with a speckle calibration plate, and the first band image position calibration and sub-image matching are performed to obtain sub-image matching data corresponding to the first band; The sub-image matching data corresponding to the two bands;
将散斑标定板替换为白色标定板,获取第一波段的通道一光强分布图像和通道二光强分布图像;获取第二波段的通道一光强分布图像和通道二光强分布图像;Replace the speckle calibration plate with a white calibration plate, and obtain the light intensity distribution image of channel 1 and the light intensity distribution image of channel 2 in the first band; obtain the light intensity distribution image of channel 1 and the light intensity distribution image of channel 2 in the second band;
第一波段和第二波段参考目标点灰度值获取,利用第一波段的子图像匹配数据对第一波段的通道一光强分布图像和通道二光强分布图像进行图像匹配,获取第一波段的通道一子图像中所选第一目标点的灰度值g1和通道二子图像中所选第二目标点的灰度值g2;利用第二波段的子图像匹配数据对第二波段的通道一光强度分布图像和通道二光强度分布图像进行图像匹配,获取第二波段的通道一子图像中所选第三目标点的灰度值g1'和通道二子图像中所选第四目标点的灰度值g2';第一目标点、第二目标点、第三目标点和第四目标点对应待测区域中同一个点,该点为参考目标点;The first waveband and the second waveband are obtained with reference to the gray value of the target point, and the sub-image matching data of the first waveband is used to perform image matching on the light intensity distribution image of the first waveband and the light intensity distribution image of the channel two, and the first waveband is obtained. The gray value g1 of the selected first target point in the sub-image of channel one and the gray value g2 of the second target point selected in the sub-image of channel two; Perform image matching between the light intensity distribution image of channel 1 and the light intensity distribution image of channel 2, and obtain the gray value g1 ' of the third target point selected in the channel 1 sub-image of the second band and the fourth target selected in the channel 2 sub-image The gray value g2 ' of the point; the first target point, the second target point, the third target point and the fourth target point correspond to the same point in the area to be measured, and this point is the reference target point;
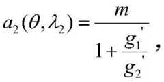
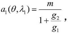
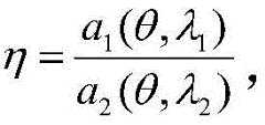
参考目标点分光强度比例计算,根据第一目标点的灰度值g1、第二目标点的灰度值g2、第三目标点的灰度值g1'和第四目标点的灰度值g2',计算参考目标点的分光强度比例η;With reference to the calculation of the spectral intensity ratio of the target point, according to the gray value g1 of the first target point, the gray value g2 of the second target point, the gray value g1 ′ of the third target point and the gray value of the fourth target point value g2 ', calculate the spectral intensity ratio η of the reference target point;
待测区域分光强度比例分布计算,将待测区域内的所有的点设置为参考目标点,并逐点计算不同参考目标点的分光强度比例,获取待测区域分光强度比例分布;Calculating the spectral intensity ratio distribution of the area to be measured, setting all points in the area to be measured as reference target points, and calculating the spectral intensity ratios of different reference target points point by point, to obtain the spectral intensity proportional distribution of the area to be measured;
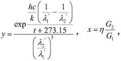
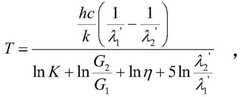
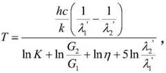
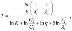
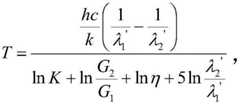
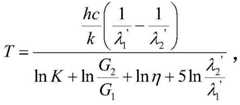
优化像素单元温度计算公式的步骤为:将标定分光强度比例分布过程中获取的参考目标点分光强度比例η作为优化参数带入测温系统的温度计算公式,标定后测温系统的温度计算公式为其中,T为开尔文温度,h为普朗克常数,c为光速,k为玻尔兹曼常数,K为常数,G1为通道一子图像中像素点的灰度值,G2为通道二子图像中像素点的灰度值,λ1’为通道一中的波长参数,λ2’为通道二中的波长参数;The steps of optimizing the temperature calculation formula of the pixel unit are: take the spectral intensity ratio η of the reference target point obtained in the process of calibrating the spectral intensity ratio distribution process as an optimization parameter and bring it into the temperature calculation formula of the temperature measurement system, and the temperature calculation formula of the temperature measurement system after calibration is: Among them, T is the Kelvin temperature, h is Planck's constant, c is the speed of light, k is the Boltzmann constant, K is a constant, G1 is the gray value of the pixel in the sub-image of channel one, and G2 is the sub-channel of channel two. The gray value of the pixel point in the image, λ1 ' is the wavelength parameter in the first channel, and λ2 ' is the wavelength parameter in the second channel;
标定与优化像素单元温度计算公式参数的步骤为:通过黑体炉和经过校准的标准光电测温仪获取K、λ1’和λ2’的最优标定结果;The steps of calibrating and optimizing the parameters of the pixel unit temperature calculation formula are: obtaining the optimal calibration results of K, λ1 ' and λ2 ' through a black body furnace and a calibrated standard photoelectric thermometer;
滤光片选取,通道一选取中心波长为λ1,带宽为δ的滤光片,通道二选取中心波长为λ2,带宽也为δ的滤光片;Filter selection, channel one selects a filter with a center wavelength of λ1 and a bandwidth of δ, and channel two selects a filter with a center wavelength of λ2 and a bandwidth of δ;
参考温度点选取,设置温度范围为t1~tn(℃),在温度范围内均匀选取n个温度点t1,t2,…,tn(℃)作为温度参考点,其中,温度参考点的单位为℃;Reference temperature point selection, set the temperature range from t1 to tn (°C), and evenly select n temperature points t1 , t2 , ..., tn (°C) within the temperature range as the temperature reference points, where the temperature reference The unit of point is °C;
黑体炉升温,加热黑体炉,并用标准光电测温仪监测黑体炉炉底中心点的温度,当温度达到ti(i=1,2,…,n)且稳定后,记录参考点温度为ti;The temperature of the blackbody furnace is heated, and the temperature of the center point of the furnace bottom of the blackbody furnace is monitored with a standard photoelectric thermometer. When the temperature reaches ti (i=1,2,...,n) and is stable, the temperature of the reference point is recorded as ti ;
图像采集,当温度为ti时,获取黑体炉炉底中心点在通道一和通道二子图像的灰度值分别为和Image acquisition, when the temperature is ti , the gray values of the center point of the black body furnace bottom in channel 1 and channel 2 are respectively: and
重复黑体炉升温和图像采集步骤,直至获取n组温度参考点的值ti,以及对应的黑体炉炉底中心点在通道一和通道二子图像的灰度值分别为和Repeat the blackbody furnace heating and image acquisition steps until the value ti of n groups of temperature reference points is obtained, and the gray values of the corresponding blackbody furnace bottom center point in channel 1 and channel 2 sub-images are respectively: and
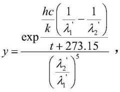
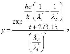
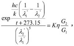
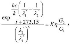
将标定后测温系统的温度计算公式作恒等变形并将T=t+273.15℃带入得到令得到y=Kx,其中,t为摄氏温度;Make constant deformation of the temperature calculation formula of the temperature measurement system after calibration and bring T=t+273.15℃ into get make Obtain y=Kx, where t is the temperature in Celsius;
多参数协同优化,在第一波段和第二波段波长范围内,设定λ1’和λ2’的初始值,计算出n个温度参考点处对应的yi和xi(i=1,2,…,n),利用最小二乘法对y的值和x的值进行线性拟合,线性相关系数为z(0<z≤1),拟合方程为y=Kx+b,利用数值优化迭代算法,不断在第一波段和第二波段的波长范围内迭代更新λ1’和λ2’的值,给定误差判据为α,线性相关系数判据为β(0<β<1),当b≤α且z≤β时,通过迭代获取K、λ1’和λ2’的值即是最优值。Multi-parameter collaborative optimization, within the wavelength range of the first band and the second band, set the initial values of λ1 ' and λ2 ', and calculate the corresponding yi and xi at n temperature reference points (i=1, 2, . Iterative algorithm, iteratively update the values of λ1 ' and λ2 ' in the wavelength range of the first and second bands, the given error criterion is α, and the linear correlation coefficient criterion is β (0<β<1) , when b≤α and z≤β, the values of K, λ1 ' and λ2 ' obtained by iteration are the optimal values.
可选地,第一波段图像位置标定与子图像匹配的过程为:将通道二中的滤光片替换为与通道一相同的滤光片,获取第一波段的通道一子图像和通道二子图像,并对第一波段的通道一子图像和通道二子图像进行像素坐标位置标定,再利用相关性计算公式对第一波段的通道一子图像和通道二子图像进行亚像素精度的图像匹配。Optionally, the process of matching the position calibration of the first waveband image with the sub-image is: replacing the filter in channel two with the same filter as channel one, and obtaining the channel one sub-image and the channel two sub-image of the first waveband. , and perform pixel coordinate position calibration on the channel 1 sub-image and channel 2 sub-image of the first band, and then use the correlation calculation formula to perform sub-pixel accuracy image matching on the channel 1 sub-image and channel 2 sub-image of the first band.
可选地,第二波段图像位置标定与子图像匹配的过程为:将通道一中滤光片替换为与通道二相同的滤光片,获取第二波段的通道一子图像和通道二子图像,并对第二波段的通道一子图像和通道二子图像进行像素坐标位置标定,再利用相关性计算公式对第二波段的通道一子图像和通道二子图像进行亚像素精度的图像匹配。Optionally, the process of matching the position of the second-wavelength image with the sub-image is: replacing the filter in channel 1 with the same filter as channel 2, and obtaining the channel-1 sub-image and the channel-2 sub-image of the second wavelength band, The pixel coordinate position is calibrated for the channel 1 sub-image and the channel 2 sub-image of the second band, and the sub-pixel precision image matching is performed on the channel 1 sub-image and the channel 2 sub-image of the second band by using the correlation calculation formula.
可选地,获取第一波段的通道一光强分布图像和通道二光强分布图像的过程为:将通道二中的滤光片替换为与通道一相同的滤光片,并用特定光源补光,获取与第一波段对应的通道一光强分布图像和通道二光强分布图像。Optionally, the process of acquiring the light intensity distribution image of channel 1 and the light intensity distribution image of channel 2 of the first waveband is: replacing the filter in channel 2 with the same filter as channel 1, and using a specific light source to fill the light. , and obtain the light intensity distribution image of channel one and the light intensity distribution image of channel two corresponding to the first waveband.
可选地,获取第二波段的通道一光强分布图像和通道二光强分布图像的过程为:将通道一中滤光片替换为与通道二相同的滤光片,获取与第二波段对应的通道一光强度分布图像和通道二光强度分布图像。Optionally, the process of obtaining the light intensity distribution image of channel 1 and the light intensity distribution image of channel 2 in the second waveband is: replacing the filter in channel one with the same filter as channel two, and obtaining a filter corresponding to the second waveband. The channel one light intensity distribution image and the channel two light intensity distribution image.
可选地,散斑标定板和白色标定板为表面对入射光线具有漫反射效果的平板,散斑标定板的表面设置有纹理。Optionally, the speckle calibration plate and the white calibration plate are flat plates whose surfaces have a diffuse reflection effect on incident light, and the surface of the speckle calibration plate is provided with a texture.
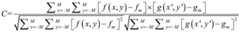
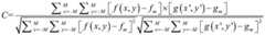
可选地,相关性计算公式为:Optionally, the correlation calculation formula is:
其中,C为相关性系数,f(x,y)为通道一内的像素点的坐标,g(x',y')为通道二内的像素点的坐标,fm为通道一内的像素点的平均灰度值,gm为目通道二内的像素点的平均灰度值,M为区域边界的坐标。Among them, C is the correlation coefficient, f(x, y) is the coordinate of the pixel in channel one, g(x', y') is the coordinate of the pixel in channel two, and fm is the pixel in channel one The average gray value of the point, gm is the average gray value of the pixel point in the target channel 2, and M is the coordinate of the region boundary.
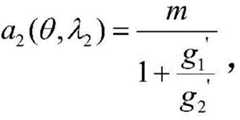
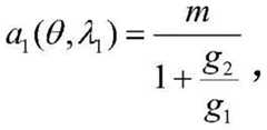
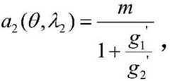
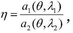
可选地,参考目标点分光强度比例的计算公式为其中,a1(θ,λ)为通道一的光强衰减系数且a2(θ,λ)为通道二的光强衰减系数且通过计算通道一的光强衰减系数和通道二的光强衰减系数,计算参考目标点分光强度比例,其中,g1为第一波段的分光强度图像中所选第一目标点在通道一子图像中的灰度值,g2为第一波段的分光强度图像中所选第二目标点在通道二子图像中的灰度值,g1'为第二波段的分光强度图像中所选第三目标点在通道一子图像中的灰度值,g2'为第二波段的分光强度图像中所选第四目标点在通道二子图像中的灰度值,m为常数,θ为入射光线与分光元件的夹角。Optionally, the calculation formula of the ratio of the spectroscopic intensity of the reference target point is: Among them, a1 (θ,λ) is the light intensity attenuation coefficient of channel one and a2 (θ,λ) is the light intensity attenuation coefficient of channel 2 and By calculating the light intensity attenuation coefficient of channel 1 and the light intensity attenuation coefficient of channel 2, the spectral intensity ratio of the reference target point is calculated, where g1 is the first target point selected in the spectral intensity image of the first band in the channel 1 sub-image , g2 is the gray value of the second target point selected in the spectral intensity image of the first band in the sub-image of channel 2, g1 ' is the third target selected in the spectral intensity image of the second band The gray value of the point in the sub-image of channel 1, g2 ' is the gray value of the fourth target point selected in the spectral intensity image of the second band in the sub-image of channel 2, m is a constant, θ is the incident light and the spectral intensity The angle of the element.
可选地,通过控制特定光源补光,保持光强,使第一波段图像和第二波段图像中所有参考目标点的灰度值均小于其预设范围的最大值。Optionally, by controlling the specific light source to fill light, the light intensity is maintained, so that the grayscale values of all reference target points in the first-band image and the second-band image are smaller than the maximum value of the preset range.
可选地,数值优化迭算代法包括但不限于梯度下降法、牛顿迭代法、拉格朗日乘数法。Optionally, the numerical optimization iterative algorithm includes, but is not limited to, the gradient descent method, the Newton iteration method, and the Lagrange multiplier method.
与现有技术相比,本发明提供的一种基于单相机比色测温系统的分光强度比例分布标定方法,至少实现了如下的有益效果:Compared with the prior art, a method for calibrating the proportional distribution of spectral intensity based on a single-camera colorimetric temperature measurement system provided by the present invention at least achieves the following beneficial effects:
1、本发明的一种基于单相机比色测温系统的优化测温方法,实现了单相机比色测温系统的目标区域内分光比例分布标定,避免了单相机比色测温系统对待测区域内不同点的分光比例不同所引起的测温误差;1. An optimized temperature measurement method based on a single-camera colorimetric temperature measurement system of the present invention realizes the calibration of the spectral ratio distribution in the target area of the single-camera colorimetric temperature measurement system, and avoids the single-camera colorimetric temperature measurement system to be measured. The temperature measurement error caused by the different spectral ratios of different points in the area;
2、本发明的一种基于单相机比色测温系统的优化测温方法,创造性地提出K、λ1’和λ2’三个参数的协同标定方法,仅需一次标定实验,同时完成三个参数的协同标定,进一步提高测温精度,同时,对λ1’和λ2’的标定消除了滤光片带宽的影响;2. An optimized temperature measurement method based on a single-camera colorimetric temperature measurement system of the present invention creatively proposes a collaborative calibration method for the three parameters K, λ1 ' and λ2 ', which requires only one calibration experiment and three simultaneous calibrations. The collaborative calibration of these parameters further improves the temperature measurement accuracy, and at the same time, the calibration of λ1 ' and λ2 ' eliminates the influence of the filter bandwidth;
3、本发明的一种基于单相机比色测温系统的优化测温方法,其中,标定分光强度比例分布,优化像素单元温度计算公式和标定优化与像素单元温度计算公式参数是应用单相机比色测温系统测温不可或缺的关键步骤,能够将单相机测温系统的温度测量误差有效地降低。3. An optimized temperature measurement method based on a single-camera colorimetric temperature measurement system of the present invention, wherein the calibration of the spectral intensity proportional distribution, the optimization of the pixel unit temperature calculation formula, and the calibration optimization and pixel unit temperature calculation formula parameters are based on the application of the single-camera ratio. Color temperature measurement system is an indispensable key step in temperature measurement, which can effectively reduce the temperature measurement error of single-camera temperature measurement system.
当然,实施本发明的任一产品必不特定需要同时达到以上所述的所有技术效果。Of course, any product implementing the present invention does not necessarily need to achieve all of the above-mentioned technical effects at the same time.
通过以下参照附图对本发明的示例性实施例的详细描述,本发明的其它特征及其优点将会变得清楚。Other features and advantages of the present invention will become apparent from the following detailed description of exemplary embodiments of the present invention with reference to the accompanying drawings.
附图说明Description of drawings
被结合在说明书中并构成说明书的一部分的附图示出了本发明的实施例,并且连同其说明一起用于解释本发明的原理。The accompanying drawings, which are incorporated in and constitute a part of this specification, illustrate embodiments of the invention and together with the description serve to explain the principles of the invention.
图1示出了本申请实施例所提供的标定分光比例强度分布流程图;Fig. 1 shows the flow chart of the calibration spectral ratio intensity distribution provided by the embodiment of the present application;
图2示出了本申请实施例所提供的标定像素单元温度计算公式参数流程图。FIG. 2 shows a flow chart of parameters of a calculation formula for calibrating the temperature of a pixel unit provided by an embodiment of the present application.
具体实施方式Detailed ways
现在将参照附图来详细描述本发明的各种示例性实施例。应注意到:除非另外具体说明,否则在这些实施例中阐述的部件和步骤的相对布置、数字表达式和数值不限制本发明的范围。Various exemplary embodiments of the present invention will now be described in detail with reference to the accompanying drawings. It should be noted that the relative arrangement of components and steps, the numerical expressions and numerical values set forth in these embodiments do not limit the scope of the invention unless specifically stated otherwise.
以下对至少一个示例性实施例的描述实际上仅仅是说明性的,决不作为对本发明及其应用或使用的任何限制。The following description of at least one exemplary embodiment is merely illustrative in nature and is in no way intended to limit the invention, its application, or uses.
对于相关领域普通技术人员已知的技术、方法和设备可能不作详细讨论,但在适当情况下,所述技术、方法和设备应当被视为说明书的一部分。Techniques, methods, and apparatus known to those of ordinary skill in the relevant art may not be discussed in detail, but where appropriate, such techniques, methods, and apparatus should be considered part of the specification.
在这里示出和讨论的所有例子中,任何具体值应被解释为仅仅是示例性的,而不是作为限制。因此,示例性实施例的其它例子可以具有不同的值。In all examples shown and discussed herein, any specific values should be construed as illustrative only and not limiting. Accordingly, other instances of the exemplary embodiment may have different values.
应注意到:相似的标号和字母在下面的附图中表示类似项,因此,一旦某一项在一个附图中被定义,则在随后的附图中不需要对其进行进一步讨论。It should be noted that like numerals and letters refer to like items in the following figures, so once an item is defined in one figure, it does not require further discussion in subsequent figures.
以下将结合附图和具体实施例进行详细说明。The following will be described in detail with reference to the accompanying drawings and specific embodiments.
单相机比色测温系统基于双波段比色测温原理测温,双波段包括第一波段和第二波段,单相机比色测温系统利用分光元件将待测试件的辐射光束分成两束且分别进入通道一和通道二,优化测温方法包括:标定分光强度比例分布;优化像素单元温度计算公式;标定与优化像素单元温度计算公式参数。The single-camera colorimetric temperature measurement system is based on the principle of dual-band colorimetric temperature measurement. The dual-band includes the first band and the second band. The single-camera colorimetric temperature measurement system uses a spectroscopic element to divide the radiation beam of the object to be tested Entering channel 1 and channel 2 respectively, the optimized temperature measurement method includes: calibrating the proportional distribution of spectral intensity; optimizing the calculation formula of the temperature of the pixel unit; calibrating and optimizing the parameters of the calculation formula of the temperature of the pixel unit.
具体地,单相机比色测温系统的测温原理为双波段比色测温,仅需一台相机就能够同时获得计算温度分布所需的两个波段的图像,单相机比色测温系统利用分光元件将物体辐射光束分成两束,分别进入通道一和通道二,然后利用窄带滤光片获取两个波段的窄带光。Specifically, the temperature measurement principle of the single-camera colorimetric temperature measurement system is dual-band colorimetric temperature measurement. Only one camera can simultaneously obtain images of the two bands required for calculating the temperature distribution. The single-camera colorimetric temperature measurement system The beam splitting element is used to divide the radiation beam of the object into two beams, which enter channel 1 and channel 2 respectively, and then use a narrow-band filter to obtain narrow-band light in two wavelength bands.
其中,请参见图1,图1为本申请实施例所提供的标定分光比例强度分布流程图,标定分光强度比例分布的步骤为:Wherein, please refer to FIG. 1, FIG. 1 is a flow chart of the calibration of the spectral intensity ratio distribution provided by the embodiment of the application, and the steps of calibrating the spectral intensity ratio distribution are as follows:
S101、在通道一设置中心波长为λ1、带宽为δ的滤光片;在通道二设置中心波长为λ2、带宽为δ的滤光片;S101, setting an optical filter with a center wavelength of λ1 and a bandwidth of δ in channel one; setting an optical filter with a center wavelength of λ2 and a bandwidth of δ in channel two;
具体地,在单相机比色测温系统中,通道一选用中心波长为790nm、带宽为20nm的滤光片,通道二选用中心波长为900nm,带宽也为20nm的滤光片;Specifically, in the single-camera colorimetric temperature measurement system, a filter with a center wavelength of 790nm and a bandwidth of 20nm is selected for channel one, and a filter with a center wavelength of 900nm and a bandwidth of 20nm is selected for channel two;
S102、将单相机比色测温系统固定在指定位置;S102. Fix the single-camera colorimetric temperature measurement system at a designated position;
具体地,将单相机比色测温系统固定在指定的位置上,指定的位置是经过选取的固定单相机比色测温系统的合适位置,在整个分光强度比例分布标定过程中,单相机比色测温系统位置固定不变;Specifically, the single-camera colorimetric temperature measurement system is fixed at a designated position, and the designated position is a suitable position for the fixed single-camera colorimetric temperature measurement system. The position of the color temperature measurement system is fixed;
S103、将待测试件替换为散斑标定板,进行第一波段图像位置标定与子图像匹配,得到与第一波段对应的子图像匹配数据;进行第二波段图像位置标定与子图像匹配,得到与第二波段对应的子图像匹配数据;S103, replacing the test piece with a speckle calibration plate, performing first-band image position calibration and sub-image matching to obtain sub-image matching data corresponding to the first band; performing second-band image position calibration and sub-image matching to obtain sub-image matching data corresponding to the second band;
具体地,匹配数据指通道一的子图像和通道二的子图像的相对位移场,位移场的单位是像素;Specifically, the matching data refers to the relative displacement field of the sub-image of channel 1 and the sub-image of channel 2, and the unit of the displacement field is pixel;
S104、将散斑标定板替换为白色标定板,获取第一波段的通道一光强分布图像和通道二光强分布图像;获取第二波段的通道一光强分布图像和通道二光强分布图像;S104. Replace the speckle calibration plate with a white calibration plate, and obtain the light intensity distribution image of channel 1 and the light intensity distribution image of channel 2 in the first waveband; obtain the light intensity distribution image of channel 1 and the light intensity distribution image of channel 2 in the second waveband ;
具体地,利用第一波段的匹配数据对第一波段的通道一和通道二的光强分布图像进行匹配,利用第二波段的匹配数据对第二波段的通道一和通道二的光强分布图像进行匹配;Specifically, the matching data of the first wavelength band is used to match the light intensity distribution images of channel 1 and channel 2 of the first wavelength band, and the matching data of the second wavelength band is used to match the light intensity distribution images of channel 1 and channel 2 of the second wavelength band. to match;
S105、第一波段和第二波段目标点灰度值获取,利用第一波段的子图像匹配数据对第一波段的通道一光强分布图像和通道二光强分布图像进行图像匹配,获取第一波段的通道一子图像中所选第一目标点的灰度值g1和通道二子图像中所选第二目标点的灰度值g2;利用第二波段的子图像匹配数据对第二波段的通道一光强度分布图像和通道二光强度分布图像进行图像匹配,获取第二波段的通道一子图像中所选第三目标点的灰度值g1'和通道二子图像中所选第四目标点的灰度值g2';第一目标点、第二目标点、第三目标点和第四目标点对应待测区域中同一个点,该点为参考目标点;S105: Obtain the gray value of the target point in the first band and the second band, and use the sub-image matching data of the first band to perform image matching on the light intensity distribution image of channel 1 and the light intensity distribution image of channel 2 in the first band, and obtain the first band. The gray value g1 of the selected first target point in the channel 1 sub-image of the band and the gray value g2 of the selected second target point in the channel 2 sub-image; using the sub-image matching data of the second band to match the second band Perform image matching between the light intensity distribution image of channel one and the light intensity distribution image of channel two, and obtain the gray value g1 ' of the selected third target point in the channel one sub-image of the second band and the selected fourth target point in the channel two sub-image. The gray value g2 ′ of the target point; the first target point, the second target point, the third target point and the fourth target point correspond to the same point in the area to be measured, and this point is the reference target point;
具体地,参考目标点位于散斑标定板和白色标定板上相同位置处,通过获取同一点在第一波段和第二波段中的灰度值,进一步计算第一波段和第二波段的分光强度比例;Specifically, the reference target point is located at the same position on the speckle calibration plate and the white calibration plate, and by obtaining the grayscale values of the same point in the first and second wavelength bands, the spectral intensities of the first and second wavelength bands are further calculated Proportion;
S106、参考目标点分光强度比例计算,根据第一目标点的灰度值g1、第二目标点的灰度值g2、第三目标点的灰度值g1'和第四目标点的灰度值g2',计算参考目标点的分光强度比例η;S106. Calculate the spectral intensity ratio with reference to the target point, according to the gray value g1 of the first target point, the gray value g2 of the second target point, the gray value g1 ′ of the third target point, and the gray value of the fourth target point. Gray value g2 ', calculate the spectral intensity ratio η of the reference target point;
具体地,获取的参考目标点的分光强度比例仅为步骤S102中单相机比色测温系统固定位置的分光强度比例分布,当单相机比色测温系统的位置发生改变时,需要进行重新标定;Specifically, the acquired spectral intensity ratio of the reference target point is only the spectral intensity ratio distribution of the fixed position of the single-camera colorimetric temperature measurement system in step S102. When the position of the single-camera colorimetric temperature measurement system changes, it needs to be re-calibrated ;
S107、待测区域分光强度比例分布计算,将待测区域内的所有的点设置为参考目标点,并逐点计算不同参考目标点的分光强度比例,获取待测区域分光强度比例分布;S107, calculating the spectral intensity ratio distribution of the area to be measured, setting all points in the area to be measured as reference target points, and calculating the spectral intensity ratios of different reference target points point by point, to obtain the spectral intensity ratio distribution of the area to be measured;
具体地,获取的待测区域分光强度比例分布仅为步骤S102中单相机比色测温系统固定位置的待测区域分光强度比例分布,当单相机比色测温系统的位置发生改变时,需要进行重新标定。Specifically, the obtained spectral intensity proportional distribution of the area to be measured is only the spectral intensity proportional distribution of the area to be measured at the fixed position of the single-camera colorimetric temperature measurement system in step S102. When the position of the single-camera colorimetric temperature measurement system changes, it is necessary to Recalibrate.
优化像素单元温度计算公式的步骤为:将标定分光强度比例分布过程中获取的参考目标点分光强度比例η作为优化参数带入测温系统的温度计算公式,标定后测温系统的温度计算公式为其中,T为开尔文温度,h为普朗克常数,c为光速,k为玻尔兹曼常数,K为常数,G1为通道一子图像中像素点的灰度值,G2为通道二子图像中像素点的灰度值,λ1’为通道一中的波长参数,λ2’为通道二中的波长参数。The steps of optimizing the temperature calculation formula of the pixel unit are: take the spectral intensity ratio η of the reference target point obtained in the process of calibrating the spectral intensity ratio distribution process as an optimization parameter and bring it into the temperature calculation formula of the temperature measurement system, and the temperature calculation formula of the temperature measurement system after calibration is: Among them, T is the Kelvin temperature, h is Planck's constant, c is the speed of light, k is the Boltzmann constant, K is a constant, G1 is the gray value of the pixel in the sub-image of channel one, and G2 is the sub-channel of channel two. The gray value of the pixel point in the image, λ1 ' is the wavelength parameter in the first channel, and λ2 ' is the wavelength parameter in the second channel.
具体地,未经过分光强度比例标定的温度计算公式为经过分光强度比例标定的公式在分母中添加了一项lnη,其中,η为分光强度比例标定过程中获取的系数,能够更准确的计算出单相机比色测温系统中的温度值。Specifically, the temperature calculation formula without spectral intensity ratio calibration is: The formula after the spectral intensity ratio calibration adds a term lnη to the denominator, where η is the coefficient obtained during the spectral intensity ratio calibration process, which can more accurately calculate the temperature value in the single-camera colorimetric temperature measurement system.
请参见图2,图2示出了本申请实施例所提供的标定像素单元温度计算公式参数流程图,标定与优化像素单元温度计算公式参数的步骤为:通过黑体炉和经过校准的标准光电测温仪获取K、λ1’和λ2’的最优标定结果。Please refer to FIG. 2. FIG. 2 shows a flow chart of the parameters of the calculation formula and parameters of the calibration pixel unit temperature provided by the embodiment of the present application. The steps of calibrating and optimizing the parameters of the pixel unit temperature calculation formula are: using a black body furnace and a calibrated standard photoelectric measurement The thermometer obtains optimal calibration results for K, λ1 ' and λ2 '.
S201、滤光片选取,通道一选取中心波长为λ1,带宽为δ的滤光片,通道二选取中心波长为λ2,带宽也为δ的滤光片;S201, filter selection, channel one selects a filter with a center wavelength of λ1 and a bandwidth of δ, and channel two selects a filter with a center wavelength of λ2 and a bandwidth of δ;
具体地,在单相机比色测温系统中,通道一选用中心波长为790nm,带宽为20nm的滤光片,通道二选用中心波长为900nm,带宽也为20nm的滤光片;Specifically, in the single-camera colorimetric temperature measurement system, channel one selects a filter with a center wavelength of 790 nm and a bandwidth of 20 nm, and channel two selects a filter with a center wavelength of 900 nm and a bandwidth of 20 nm;
S202、参考温度点选取,设置温度范围为t1~tn,在温度范围内均匀选取n个温度点t1,t2,…,tn作为温度参考点;S202, selecting reference temperature points, setting the temperature range to be t1 ~ tn , and uniformly selecting n temperature points t1 , t2 , . . . , tn as temperature reference points within the temperature range;
具体地,设定的温度范围为800℃~1200℃,并且在温度范围内均匀地选取9个温度点作为温度参考点,其中,温度点为800℃、850℃、900℃、950℃、1000℃、1050℃、1100℃、1150℃和1200℃;Specifically, the set temperature range is 800°C to 1200°C, and 9 temperature points are uniformly selected as temperature reference points within the temperature range, wherein the temperature points are 800°C, 850°C, 900°C, 950°C, 1000°C °C, 1050 °C, 1100 °C, 1150 °C and 1200 °C;
S203、黑体炉升温,加热黑体炉,并用标准光电测温仪监测黑体炉炉底中心点的温度,当温度达到ti(i=1,2,…,n)且稳定后,记录参考点温度为ti;S203, heating the blackbody furnace, heating the blackbody furnace, and monitoring the temperature of the center point of the bottom of the blackbody furnace with a standard photoelectric thermometer, when the temperature reaches ti (i=1,2,...,n) and is stable, record the temperature of the reference point is ti ;
具体地,黑体炉可以有其他具有相同功能的热源代替,经过校准的标准光电测温仪可以由具有相同功能的测温设备代替;Specifically, the black body furnace can be replaced by other heat sources with the same function, and the calibrated standard photoelectric thermometer can be replaced by a temperature measuring device with the same function;
S204、图像采集,当温度为ti时,获取黑体炉炉底中心点在通道一和通道二子图像的灰度值分别为和S204, image acquisition, when the temperature is ti , the gray value of the center point of the black body furnace bottom in the channel 1 and channel 2 sub-images are respectively: and
具体地,单相机比色测温系统在采集图像的过程中可以移动,进一步获取图像;Specifically, the single-camera colorimetric temperature measurement system can move during the process of acquiring images to further acquire images;
S205、重复S203和S204,直至获取n组温度参考点的值ti,以及对应的黑体炉炉底中心点在通道一和通道二子图像的灰度值分别为和S205, repeating S203 and S204 until the values ti of n groups of temperature reference points are obtained, and the gray values of the corresponding black body furnace bottom center point in the sub-images of channel 1 and channel 2 are respectively: and
具体地,重复S203和S204,直至得到9组温度参考点的数据ti,和Specifically, S203 and S204 are repeated until the data ti of 9 groups of temperature reference points are obtained, and
S206、多参数标定公式推导,将标定后测温系统的温度计算公式作恒等变形并将T=t+273.15℃带入得到令得到y=Kx,其中,t为摄氏温度;S206, the multi-parameter calibration formula is derived, the temperature calculation formula of the temperature measurement system after calibration is made constant deformation, and T=t+273.15°C is brought into the get make Obtain y=Kx, where t is the temperature in Celsius;
具体地,多参数标定公式的推导基于优化后的像素单元温度计算公式,能够更精确的测量温度;Specifically, the derivation of the multi-parameter calibration formula is based on the optimized pixel unit temperature calculation formula, which can measure the temperature more accurately;
S207、多参数协同优化,在第一波段和第二波段波长范围内,设定λ1’和λ2’的初始值,计算出n个温度参考点处对应的yi和xi(i=1,2,…,n),利用最小二乘法对y的值和x的值进行线性拟合,线性相关系数为z(0<z≤1),拟合方程为y=Kx+b,利用数值优化迭代算法,不断在第一波段和第二波段的波长范围内迭代更新λ1’和λ2’的值,给定误差判据为α,线性相关系数判据为β(0<β<1),当b≤α且z≤β时,通过迭代获取K、λ1’和λ2’的值即是最优值;S207, multi-parameter collaborative optimization, within the wavelength range of the first band and the second band, set the initial values of λ1 ' and λ2 ', and calculate the corresponding yi and xi at the n temperature reference points (i= 1,2,...,n), use the least squares method to linearly fit the value of y and the value of x, the linear correlation coefficient is z (0<z≤1), the fitting equation is y=Kx+b, using Numerical optimization iterative algorithm is used to iteratively update the values of λ1 ' and λ2 ' in the wavelength range of the first and second bands. The given error criterion is α, and the linear correlation coefficient criterion is β (0<β< 1), when b≤α and z≤β, the values of K, λ1 ' and λ2 ' obtained by iteration are the optimal values;
具体地,在滤光片的工作波段范围内给定λ1’和λ2’一组初始值,从而可以计算出9个参考温度点800℃、850℃、900℃、950℃、1000℃、1050℃、1100℃、1150℃和1200℃处对应的y与x的数值分别为yi和xi(i=1,2,…,9)。Specifically, a set of initial values of λ1' and λ2' are given in the working band range of the filter, so that 9 reference temperature points 800°C, 850°C, 900°C, 950°C, 1000°C, and 1050°C can be calculated. , 1100°C, 1150°C and 1200°C, the corresponding values of y and x are yi and xi (i=1, 2, . . . , 9), respectively.
可选地,第一波段图像位置标定与子图像匹配的过程为:将通道二中的滤光片替换为与通道一相同的滤光片,获取第一波段的通道一子图像和通道二子图像,并对第一波段的通道一子图像和通道二子图像进行像素坐标位置标定,再利用相关性计算公式对第一波段的通道一子图像和通道二子图像进行亚像素精度的图像匹配。Optionally, the process of matching the position calibration of the first waveband image with the sub-image is: replacing the filter in channel two with the same filter as channel one, and obtaining the channel one sub-image and the channel two sub-image of the first waveband. , and perform pixel coordinate position calibration on the channel 1 sub-image and channel 2 sub-image of the first band, and then use the correlation calculation formula to perform sub-pixel accuracy image matching on the channel 1 sub-image and channel 2 sub-image of the first band.
具体地,将通道二中的滤光片更换成与通道一中滤光片相同,目的是获取第一波段中通道一和通道二中的子图像。Specifically, the filter in channel 2 is replaced to be the same as the filter in channel 1, in order to obtain sub-images in channel 1 and channel 2 in the first wavelength band.
可选地,第二波段图像位置标定与子图像匹配的过程为:将通道一中滤光片替换为与通道二相同的滤光片,获取第二波段的通道一子图像和通道二子图像,并对第二波段的通道一子图像和通道二子图像进行像素坐标位置标定,再利用相关性计算公式对第二波段的通道一子图像和通道二子图像进行亚像素精度的图像匹配。Optionally, the process of matching the position of the second-wavelength image with the sub-image is: replacing the filter in channel 1 with the same filter as channel 2, and obtaining the channel-1 sub-image and the channel-2 sub-image of the second wavelength band, The pixel coordinate position is calibrated for the channel 1 sub-image and the channel 2 sub-image of the second band, and the sub-pixel precision image matching is performed on the channel 1 sub-image and the channel 2 sub-image of the second band by using the correlation calculation formula.
具体地,将通道一中的滤光片更换成与通道二中滤光片相同,目的是获取第二波段中通道一和通道二中的子图像。Specifically, the filter in channel one is changed to be the same as the filter in channel two, in order to obtain sub-images in channel one and channel two in the second wavelength band.
可选地,获取第一波段的通道一光强分布图像和通道二光强分布图像的过程为:将通道二中的滤光片替换为与通道一相同的滤光片,并用特定光源补光,获取与第一波段对应的通道一光强分布图像和通道二光强分布图像。Optionally, the process of acquiring the light intensity distribution image of channel 1 and the light intensity distribution image of channel 2 of the first waveband is: replacing the filter in channel 2 with the same filter as channel 1, and using a specific light source to fill the light. , and obtain the light intensity distribution image of channel one and the light intensity distribution image of channel two corresponding to the first waveband.
具体地,特定光源是照明波段包含标定过程中所需的第一波段的光源,并且在补光过程中。Specifically, the specific light source is a light source whose illumination wavelength band includes the first wavelength band required in the calibration process, and is in the fill light process.
可选地,获取第二波段的通道一光强分布图像和通道二光强分布图像的过程为:将通道一中滤光片替换为与通道二相同的滤光片,获取与第二波段对应的通道一光强度分布图像和通道二光强度分布图像。Optionally, the process of obtaining the light intensity distribution image of channel 1 and the light intensity distribution image of channel 2 in the second waveband is: replacing the filter in channel one with the same filter as channel two, and obtaining a filter corresponding to the second waveband. The channel one light intensity distribution image and the channel two light intensity distribution image.
具体地,特定光源是照明波段包含标定过程中所需的第二波段的光源,并且在补光过程中。Specifically, the specific light source is a light source whose illumination wavelength band includes the second wavelength band required in the calibration process, and is in the fill light process.
可选地,散斑标定板和白色标定板均为表面对入射光线具有漫反射效果的平板,散斑标定板的表面设置有纹理。Optionally, both the speckle calibration plate and the white calibration plate are flat plates whose surfaces have a diffuse reflection effect on incident light, and the surface of the speckle calibration plate is provided with textures.
具体地,散斑标定板和白色标定板的材质包括但不限于塑料、金属、陶瓷和木材,散斑标定板表面具有适当密度的斑点或纹理特征,白色标定板表面不具有斑点或纹理特征,漫反射材质能够更好地识别标定板图案细节信息从而达到更高的标定精度和测量精度。Specifically, the materials of the speckle calibration plate and the white calibration plate include but are not limited to plastics, metals, ceramics and wood, the speckle calibration plate surface has spots or texture features of an appropriate density, and the white calibration plate surface does not have spots or texture features, The diffuse reflection material can better identify the details of the calibration plate pattern to achieve higher calibration and measurement accuracy.
可选地,相关性计算公式为:Optionally, the correlation calculation formula is:
其中,C为相关性系数,f(x,y)为通道一内的像素点的坐标,g(x',y')为通道二内的像素点的坐标,fm为通道一内的像素点的平均灰度值,gm为通道二内的像素点的平均灰度值,M为区域边界的坐标。Among them, C is the correlation coefficient, f(x, y) is the coordinate of the pixel in channel one, g(x', y') is the coordinate of the pixel in channel two, and fm is the pixel in channel one The average gray value of the point, gm is the average gray value of the pixel point in channel two, and M is the coordinate of the region boundary.
具体地,C的值越小,表示通道一子图像和通道二中子图像相关性越强。Specifically, the smaller the value of C is, the stronger the correlation between the channel 1 sub-image and the channel 2 neutron image is.
可选地,参考目标点分光强度比例的计算公式为其中,a1(θ,λ)为通道一的光强衰减系数且a2(θ,λ)为通道二的光强衰减系数且通过计算通道一的光强衰减系数和通道二的光强衰减系数,计算参考目标点分光强度比例,其中,g1为第一波段的分光强度图像中所选第一目标点在通道一子图像中的灰度值,g2为第一波段的分光强度图像中所选第二目标点在通道二子图像中的灰度值,g1'为第二波段的分光强度图像中所选第三目标点在通道一子图像中的灰度值,g2'为第二波段的分光强度图像中所选第四目标点在通道二子图像中的灰度值,m为常数,θ为入射光线与分光元件的夹角。Optionally, the calculation formula of the ratio of the spectroscopic intensity of the reference target point is: Among them, a1 (θ,λ) is the light intensity attenuation coefficient of channel one and a2 (θ,λ) is the light intensity attenuation coefficient of channel 2 and By calculating the light intensity attenuation coefficient of channel 1 and the light intensity attenuation coefficient of channel 2, the spectral intensity ratio of the reference target point is calculated, where g1 is the first target point selected in the spectral intensity image of the first band in the channel 1 sub-image , g2 is the gray value of the second target point selected in the spectral intensity image of the first band in the sub-image of channel 2, g1 ' is the third target selected in the spectral intensity image of the second band The gray value of the point in the sub-image of channel 1, g2 ' is the gray value of the fourth target point selected in the spectral intensity image of the second band in the sub-image of channel 2, m is a constant, θ is the incident light and the spectral intensity The angle of the element.
具体地,通过计算目标区域内每一像素点的分光强度比例,进而获取目标区域内所有像素点的分光强度比例,获取目标区域内像素点的分光强度比例分布。Specifically, by calculating the spectral intensity ratio of each pixel in the target area, and then obtaining the spectral intensity ratio of all pixels in the target area, the spectral intensity ratio distribution of the pixels in the target area is obtained.
可选地,通过控制特定光源补光,保持光强,使第一波段图像和第二波段图像中所有参考目标点的灰度值均小于其预设范围的最大值。Optionally, by controlling the specific light source to fill light, the light intensity is maintained, so that the grayscale values of all reference target points in the first-band image and the second-band image are smaller than the maximum value of the preset range.
具体地,目标参考点的灰度值范围受限于灰度值本身所限定的阈值,灰度值的范围是0~255。Specifically, the gray value range of the target reference point is limited by a threshold defined by the gray value itself, and the gray value range is 0-255.
可选地,数值优化迭代算法包括但不限于梯度下降法、牛顿迭代法、拉格朗日乘数法。Optionally, the numerical optimization iterative algorithm includes, but is not limited to, the gradient descent method, the Newton iteration method, and the Lagrange multiplier method.
综上,本发明提供的一种基于单相机比色测温系统的分光强度比例分布标定方法,至少实现了如下的有益效果:To sum up, the present invention provides a method for calibrating the proportional distribution of spectral intensity based on a single-camera colorimetric temperature measurement system, which at least achieves the following beneficial effects:
1、本发明的一种基于单相机比色测温系统的优化测温方法,实现了单相机比色测温系统的待测区域分光比例分布标定,避免了单相机比色测温系统对待测区域内不同点的分光比例不同所引起的测温误差;1. An optimized temperature measurement method based on a single-camera colorimetric temperature measurement system of the present invention realizes the calibration of the spectral ratio distribution of the to-be-measured area of the single-camera colorimetric temperature measurement system, and avoids the need for a single-camera colorimetric temperature measurement system to be measured. The temperature measurement error caused by the different spectral ratios of different points in the area;
2、本发明的一种基于单相机比色测温系统的优化测温方法,创造性地提出K、λ1’和λ2’三个参数的协同标定方法,仅需一次标定实验,同时完成三个参数的协同标定,进一步提高测温精度,同时,对λ1’和λ2’的标定消除了滤光片带宽的影响;2. An optimized temperature measurement method based on a single-camera colorimetric temperature measurement system of the present invention creatively proposes a collaborative calibration method for the three parameters K, λ1 ' and λ2 ', which requires only one calibration experiment and three simultaneous calibrations. The collaborative calibration of these parameters further improves the temperature measurement accuracy, and at the same time, the calibration of λ1 ' and λ2 ' eliminates the influence of the filter bandwidth;
3、本发明的一种基于单相机比色测温系统的优化测温方法,其中,标定分光强度比例分布,优化像素单元温度计算公式和标定优化与像素单元温度计算公式参数是应用单相机比色测温系统测温不可或缺的关键步骤,能够将单相机测温系统的温度测量误差有效地降低。3. An optimized temperature measurement method based on a single-camera colorimetric temperature measurement system of the present invention, wherein the calibration of the spectral intensity proportional distribution, the optimization of the pixel unit temperature calculation formula, and the calibration optimization and pixel unit temperature calculation formula parameters are based on the application of the single-camera ratio. Color temperature measurement system is an indispensable key step in temperature measurement, which can effectively reduce the temperature measurement error of single-camera temperature measurement system.
虽然已经通过例子对本发明的一些特定实施例进行了详细说明,但是本领域的技术人员应该理解,以上例子仅是为了进行说明,而不是为了限制本发明的范围。本领域的技术人员应该理解,可在不脱离本发明的范围和精神的情况下,对以上实施例进行修改。本发明的范围由所附权利要求来限定。Although some specific embodiments of the present invention have been described in detail by way of examples, those skilled in the art should understand that the above examples are provided for illustration only and not for the purpose of limiting the scope of the present invention. Those skilled in the art will appreciate that modifications may be made to the above embodiments without departing from the scope and spirit of the present invention. The scope of the invention is defined by the appended claims.
| Application Number | Priority Date | Filing Date | Title |
|---|---|---|---|
| CN201911310921.7ACN110954222B (en) | 2019-12-18 | 2019-12-18 | An optimized temperature measurement method based on a single-camera colorimetric temperature measurement system |
| Application Number | Priority Date | Filing Date | Title |
|---|---|---|---|
| CN201911310921.7ACN110954222B (en) | 2019-12-18 | 2019-12-18 | An optimized temperature measurement method based on a single-camera colorimetric temperature measurement system |
| Publication Number | Publication Date |
|---|---|
| CN110954222A CN110954222A (en) | 2020-04-03 |
| CN110954222Btrue CN110954222B (en) | 2020-11-03 |
| Application Number | Title | Priority Date | Filing Date |
|---|---|---|---|
| CN201911310921.7AActiveCN110954222B (en) | 2019-12-18 | 2019-12-18 | An optimized temperature measurement method based on a single-camera colorimetric temperature measurement system |
| Country | Link |
|---|---|
| CN (1) | CN110954222B (en) |
| Publication number | Priority date | Publication date | Assignee | Title |
|---|---|---|---|---|
| CN111366265B (en)* | 2020-04-28 | 2021-04-30 | 北京航空航天大学 | A multilayer thermal barrier coating and its phosphorescence-based surface and bottom temperature measurement method |
| CN111637979B (en)* | 2020-06-17 | 2022-02-15 | 上海巨哥电子科技有限公司 | Multicolor temperature measurement-based device and method and storage medium |
| CN113432146B (en)* | 2021-07-06 | 2022-08-16 | 国网河北能源技术服务有限公司 | Method, device and equipment for measuring temperature in furnace |
| CN113357666B (en)* | 2021-07-06 | 2022-09-23 | 国网河北能源技术服务有限公司 | Furnace temperature measurement method, device and equipment based on neural network |
| CN113865717B (en)* | 2021-09-24 | 2023-10-20 | 重庆大学 | Transient high-temperature colorimetric temperature measuring device based on high-speed camera |
| CN114018324B (en)* | 2021-11-02 | 2022-08-19 | 清华大学 | Multi-parameter synchronous measurement method and device, electronic equipment and storage medium |
| CN114370944B (en)* | 2022-01-19 | 2023-07-25 | 北京理工大学 | Real-time online temperature monitoring method and system with calibration and correction functions |
| CN115524014B (en)* | 2022-10-17 | 2023-04-07 | 湖南力得尔智能科技股份有限公司 | Temperature detection system based on ultra-high temperature intelligent temperature measurement sensor |
| CN117537932B (en)* | 2023-11-20 | 2025-09-05 | 应急管理部沈阳消防研究所 | Multi-spectral temperature measurement device and temperature measurement method thereof |
| Publication number | Priority date | Publication date | Assignee | Title |
|---|---|---|---|---|
| CN2935106Y (en)* | 2006-06-08 | 2007-08-15 | 江苏技术师范学院 | Detection device for high temperature temperature field and flame image |
| CN103256979A (en)* | 2013-05-29 | 2013-08-21 | 南京信息工程大学 | Two-channel night airglow imaging temperature and light intensity meter and light intensity and temperature detecting method |
| CN105910712B (en)* | 2016-04-01 | 2018-10-26 | 华北电力大学 | Five-channel self-adaption two-dimensional temperature field measuring apparatus and its measurement method |
| CN107167249A (en)* | 2017-06-05 | 2017-09-15 | 北京理工大学 | One camera two waveband molten bath color comparison temperature measurement method and system |
| CN108225569B (en)* | 2017-12-31 | 2019-10-29 | 北京工业大学 | A kind of normal temperature method based on double spectral line characteristics |
| CN108871585B (en)* | 2018-07-13 | 2019-07-19 | 北京理工大学 | Temperature field measurement system and method based on single camera |
| Publication number | Publication date |
|---|---|
| CN110954222A (en) | 2020-04-03 |
| Publication | Publication Date | Title |
|---|---|---|
| CN110954222B (en) | An optimized temperature measurement method based on a single-camera colorimetric temperature measurement system | |
| Zhang et al. | An improved algorithm for spectral emissivity measurements at low temperatures based on the multi-temperature calibration method | |
| CN103048050B (en) | A radiation temperature measurement method and instrument for measuring the real temperature of a target | |
| Sun et al. | A novel calibration method of focused light field camera for 3-D reconstruction of flame temperature | |
| CN112067147B (en) | Method and device for simultaneous measurement of temperature and deformation | |
| CN108981822B (en) | Reflected light elimination method for temperature deformation synchronous measurement | |
| CN111707382B (en) | A dynamic optical compensation method and device for simultaneous measurement of temperature deformation | |
| CN105965017B (en) | A kind of the temperature field monitoring device and method of SLM forming process | |
| CN114777931A (en) | Object surface temperature distribution measuring method and system based on correlated imaging | |
| CN103913238A (en) | Double-temperature double-waveband infrared radiation accurate temperature measurement method | |
| Fu et al. | Spectral stray light effect on high-temperature measurements using a near-infrared multi-wavelength pyrometer | |
| Danehy et al. | A plenoptic multi-color imaging pyrometer | |
| CN110044495B (en) | Temperature measurement system and temperature measurement method based on multi-spectrum | |
| CN108398191A (en) | High-precision colour temperature measurement method and system based on fiber spectrometer | |
| CN105806491A (en) | Three-wavelength two-dimensional temperature field measuring device and method | |
| Thompson et al. | Thermal expansion measurements on coating materials by digital image correlation | |
| CN108132197B (en) | Uncertainty analysis and calculation method for impact temperature of transparent material | |
| CN212133888U (en) | Color CCD self-calibration temperature measuring device based on radiation spectrum | |
| CN118840481A (en) | Visual reconstruction method for three-dimensional morphology temperature field of high-temperature object surface | |
| Zhang et al. | An innovative technique for real-time adjusting exposure time of silicon-based camera to get stable gray level images with temperature evolution | |
| CN104180905B (en) | Infrared temperature measurement method and device for MOCVD process growth | |
| Quirin et al. | Combining the spectral information of Dual-Band images to enhance contrast and reveal details | |
| CN105333962B (en) | A kind of thermometry and system for correcting two waveband temperature measurement error | |
| CN116046181A (en) | Three-dimensional temperature and three-dimensional deformation measurement method based on single multispectral camera | |
| Mantrova et al. | Measuring the radiation coefficient distribution and surface temperature distribution of a tungsten body heated by a powerful laser |
| Date | Code | Title | Description |
|---|---|---|---|
| PB01 | Publication | ||
| PB01 | Publication | ||
| SE01 | Entry into force of request for substantive examination | ||
| SE01 | Entry into force of request for substantive examination | ||
| GR01 | Patent grant | ||
| GR01 | Patent grant |