Movatterモバイル変換


[0]ホーム

URL:


CN110933147A - Information technology analysis system based on cloud computing - Google Patents

Information technology analysis system based on cloud computing
Download PDF

Info

Publication number
CN110933147A
CN110933147ACN201911120164.7ACN201911120164ACN110933147ACN 110933147 ACN110933147 ACN 110933147ACN 201911120164 ACN201911120164 ACN 201911120164ACN 110933147 ACN110933147 ACN 110933147A
Authority
CN
China
Prior art keywords
processing
module
computer
server
processed
Prior art date
Legal status (The legal status is an assumption and is not a legal conclusion. Google has not performed a legal analysis and makes no representation as to the accuracy of the status listed.)
Granted
Application number
CN201911120164.7A
Other languages
Chinese (zh)
Other versions
CN110933147B (en
Inventor
钟剑荣
Current Assignee (The listed assignees may be inaccurate. Google has not performed a legal analysis and makes no representation or warranty as to the accuracy of the list.)
Chain Rui Information Service (Nantong) Co.,Ltd.
Original Assignee
Guangzhou Zhuo Zhuo Mdt Infotech Ltd
Priority date (The priority date is an assumption and is not a legal conclusion. Google has not performed a legal analysis and makes no representation as to the accuracy of the date listed.)
Filing date
Publication date
Application filed by Guangzhou Zhuo Zhuo Mdt Infotech LtdfiledCriticalGuangzhou Zhuo Zhuo Mdt Infotech Ltd
Priority to CN201911120164.7ApriorityCriticalpatent/CN110933147B/en
Publication of CN110933147ApublicationCriticalpatent/CN110933147A/en
Application grantedgrantedCritical
Publication of CN110933147BpublicationCriticalpatent/CN110933147B/en
Activelegal-statusCriticalCurrent
Anticipated expirationlegal-statusCritical

Links

Images

Classifications

Landscapes

Abstract

The invention discloses an information technology analysis system based on cloud computing, which is used for solving the problems that the existing cloud computing cannot match data into a corresponding server for processing, so that the processing and distribution of the data are unreasonable, and the cloud computing safety of the data is reduced, and the utilization rate of a notebook computer and a desktop computer of an existing user is not high, and a plurality of users are idle, so that the resource waste is caused; the system comprises a registration login module, an auditing module, a database, an importance calculation module, a cloud calculation distribution module, a cloud server, a result sending module, a data acquisition module and a security analysis module; the important degree calculation is carried out on the to-be-processed program of the user, the safety of important data processing is ensured, the idle computer is used for carrying out cloud computing service, the utilization rate of computer resources is improved, and the problem that the existing notebook computer and desktop computer of the user are not high in utilization rate and idle, and resource waste is caused due to the fact that a plurality of users are idle is avoided.

Description

Information technology analysis system based on cloud computing
Technical Field
The invention relates to the technical field of cloud computing, in particular to an information technology analysis system based on cloud computing.
Background
Cloud computing is one of distributed computing, and means that a huge data computing processing program is decomposed into countless small programs through a network cloud, and then the small programs are processed and analyzed through a system consisting of a plurality of servers to obtain results and are returned to a user. In the early stage of cloud computing, simple distributed computing is adopted, task distribution is solved, and computing results are merged. Thus, cloud computing is also known as grid computing. By the technology, tens of thousands of data can be processed in a short time (several seconds), so that strong network service is achieved.
Patent CN107690001A discloses an information technology analysis system based on cloud computing, which realizes improvement of a cloud encryption module, and when a processor sends analyzed data to the cloud encryption module, the analyzed data can be respectively sent to a file encryption submodule, an authentication information encryption submodule and a cloud encryption submodule according to different types of information, so that different types of information can be stored and encrypted differently; but has the following defects: (1) the data information can not be matched into the corresponding server for processing; (2) the number of processing devices for cloud computing cannot be increased by using idle computers.
Disclosure of Invention
The invention aims to provide an information technology analysis system based on cloud computing; according to the method and the device, the importance degree calculation is carried out on the program to be processed of the user, the safety of important data processing is ensured, and the problems that the existing cloud computing cannot match the data into the corresponding server for processing, so that the data processing distribution is unreasonable and the safety of the data is reduced are avoided; the cloud computing service is carried out by using the idle computer, the utilization rate of computer resources is improved, and the problem that resources are wasted due to the fact that the utilization rates of a notebook computer and a desktop computer of an existing user are not high and a plurality of users are idle is avoided.
The technical problem to be solved by the invention is as follows:
(1) how to perform importance calculation on information data provided by a user and matching the information data to a corresponding server according to the importance to perform cloud calculation; the safety of important data processing is ensured, and the problems that the data cannot be matched into a corresponding server for processing by the conventional cloud computing, so that the processing and distribution of the data are unreasonable, and the safety of the cloud computing of the data is reduced are solved;
(2) how to obtain a processing host for the cloud computing service through auditing and judging idle computers, so that the number of cloud computing servers is increased; the problem of current user's notebook, desktop computer utilization ratio not high, a lot of users all are idle, cause the wasting of resources is solved.
The purpose of the invention can be realized by the following technical scheme: an information technology analysis system based on cloud computing comprises a registration login module, an audit module, a database, an importance calculation module, a cloud computing distribution module, a cloud server, a result sending module, a data acquisition module and a safety analysis module;
the registration login module is used for providing user information registration login for a user and sending the information after successful registration to the database for storage; marking the user successfully registered as a registered user; the importance calculating module is used for calculating the importance of the data processing program sent by the registered user, and comprises the following specific calculating steps:
the method comprises the following steps: the registered user sends a data calculation processing program to be processed to the importance calculation module through the computer terminal; the importance degree calculation module decomposes a data calculation processing program to be processed into a plurality of programs to be processed, and marks the programs to be processed as Ci, i is 1, … … and n;
step two: the importance calculation module sends the program Ci to be processed to a computer terminal of a registered user;
step three: a registered user adds a security coefficient value and a performance value to a program Ci to be processed through a computer terminal; marking the safety factor value as ACi(ii) a The performance values are marked XCi
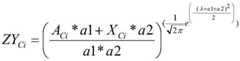
Step four: using formulas
Figure BDA0002275234870000031
Obtaining the importance degree ZY of the program Ci to be processedCi(ii) a Wherein a1 and a2 are both preset proportional coefficient fixed values, and λ is a correction factor, and the value is 2.1543427; e is the base of the natural logarithm;
step five: sending the program to be processed and the corresponding importance degree to a cloud computing distribution module;
the cloud computing distribution module is used for acquiring a security value in the database, matching the security value with the importance of the program to be processed to obtain a corresponding processing host and a corresponding server, sending the program to be processed to the matched processing host and the matched server for processing, and increasing the total processing times of the processing host and the server once; the cloud server sends a result processed by the program to be processed to a result sending module; the result sending module sends the result processed by the program to be processed to the computer terminal of the registered user for displaying;
the auditing module is used for auditing the idle computers of the registered users and marking the audited computers as the processing host of the cloud server; and sending the information of the processing host to the database for storage.
Preferably, the auditing module audits the idle computer of the registered user as follows:
the method comprises the following steps: a registered user submits idle computer information through an idle computer and sends the idle computer information to an auditing module; the computer information comprises the computer model, the purchase time, the maintenance times, the parts to be maintained and replaced and the time period for the computer to be used for cloud computing service;
step two: the auditing module sends the computer information to a computer terminal of a worker for auditing; the staff sends a success instruction or a failure instruction to the auditing module through the computer terminal; and when the auditing module receives the success instruction, sending a preset data processing program to an idle computer of the registered user and processing the preset data processing program, wherein the steps are as follows:
s1: setting the data processing type of a preset data processing program as Yj, wherein j is 1, … … and n;
s2: sequentially sending the corresponding preset data processing programs of all the data processing types to an idle computer for operation; the idle computer sends the starting processing time and the ending time of a preset data processing program corresponding to the data processing type to the auditing module; the auditing module calculates the time difference according to the starting processing time and the ending time to obtain the running time G corresponding to all data processing types of the idle computerYj(ii) a When running for a long time GYjWhen the running time length is less than the preset value, marking the data processing type with the minimum running time length as the data processing type of the cloud computing service of the idle computer; then sending an audit success instruction to the idle computer; when in operationDuration GYjIf the current value is greater than the preset value, sending an audit failure instruction to the idle computer;
the auditing module sends an auditing failure instruction to an idle computer of a registered user when receiving the failure instruction;
step three: the auditing module marks the idle computer as a processing host, and simultaneously sends the processing host and the corresponding data processing type to the database for storage.
Preferably, the cloud server is composed of a plurality of servers and a processing host; the data acquisition module is used for acquiring server information of the server and corresponding total processing times as well as computer information and total processing times information of the processing host; the server information comprises a server model, initial use time, maintenance times and parts to be maintained and replaced; the data acquisition module sends the acquired server information of the server and the corresponding total processing times as well as the computer information of the processing host and the total processing times information to the safety analysis module; the safety analysis module is used for analyzing the safety values of the server and the processing host, and comprises the following specific analysis steps:
SS 1: marking the server and the processing host as Fi, i ═ 1, … …, n; respectively calculating time difference between the initial use time of the server and the purchase time of the processing host and the current system time to obtain the use duration T of the FiFi
SS 2: matching the parts maintained by the server and the processing host with the comparison parts; setting a preset maintenance value corresponding to each part; when the parts maintained by the server and the processing host are the same as the comparison parts, the preset maintenance value is obtained, and then the preset maintenance values matched with the parts maintained by the server and the processing host are summed to obtain a total maintenance value WFi
SS 3: setting the total processing times of the server and the processing host as DFi(ii) a Maintenance times are recorded as XFi
SS 4: using formulas
Figure BDA0002275234870000041
Obtaining the Fi's safetyFull value AQFi(ii) a Wherein h1, h2, h3 and h4 are fixed values of preset proportions; mu is a correction value and takes the value as 100;
SS 5: and the safety analysis module sends the calculated safety value to the database for storage.
Preferably, the process of matching the cloud computing allocation module to obtain the corresponding processing host is as follows:
a: classifying the programs to be processed according to the data processing types, sequencing each type of programs to be processed according to the importance degree from high to low, and sequentially matching the programs to be processed according to the sequencing sequence;
b: matching the program to be processed with the maximum importance, matching the safety values of all servers and processing hosts of the data processing type corresponding to the program to be processed, and sorting according to the safety values; screening the processing hosts, and removing the processing hosts of which the time period for the cloud computing service is not at the current time; then sending a use instruction to a processing host, wherein the processing host receives the use instruction and generates a reply instruction, and the processing host is a matched processing host and simultaneously sends a use message to a mobile phone terminal of a registered user corresponding to the processing host when receiving the reply instruction; if the reply instruction is not received, the processing host is removed, and the number of times of non-connection of the processing host is increased once and is sent to the database for storage;
c: matching the server with the maximum importance degree and the maximum security value with the processing host; matching the server with the second importance degree and the processing host; and after all the servers and the processing hosts are matched, the programs to be processed are not matched, the rest programs to be processed are matched with the server and the processing host with the maximum safety value again, and the like.
Preferably, the database is internally provided with a removing unit, the removing unit is used for removing the computer information of the processing host, and the specific process is as follows: the rejecting unit acquires the number of times of non-connection of the processing host, sends a non-connection abnormal command to a mobile phone terminal of a registered user of the processing host when the number of times of non-connection is equal to a first set threshold, and rejects the computer information of the processing host when the number of times of non-connection is equal to a second set threshold.
The invention has the beneficial effects that:
(1) the registered user sends a data calculation processing program to be processed to the importance calculation module through the computer terminal; the importance calculation module decomposes a data calculation processing program to be processed into a plurality of programs to be processed, and sends the programs to be processed to the computer terminal of the registered user; a registered user adds a safety coefficient value and a performance value to a program to be processed through a computer terminal; obtaining the importance of the program to be processed by using a formula; sending the program to be processed and the corresponding importance degree to a cloud computing distribution module; the importance degree calculation is carried out on the program to be processed of the user, so that the safety of important data processing is ensured, and the problems that the existing cloud computing cannot match the data into the corresponding server for processing, the data processing distribution is unreasonable, and the safety of the data is reduced are avoided;
(2) the auditing module audits the idle computer of the registered user, and the registered user submits idle computer information to the auditing module through the idle computer; the auditing module sends the computer information to a computer terminal of a worker for auditing; the staff sends a success instruction or a failure instruction to the auditing module through the computer terminal; the auditing module sends a preset data processing program to the idle computer of the registered user and processes the program after receiving the success instruction, and the auditing module calculates the time difference according to the starting processing time and the ending time to obtain the running time corresponding to all data processing types of the idle computer; when the operation time length is less than a preset value, marking the data processing type with the minimum operation time length as the data processing type of the cloud computing service of the idle computer; then sending an audit success instruction to the idle computer; the cloud computing service is carried out by using the idle computer, the utilization rate of computer resources is improved, and the problem that resources are wasted due to the fact that the utilization rates of a notebook computer and a desktop computer of an existing user are not high and a plurality of users are idle is avoided.
Drawings
The invention will be further described with reference to the accompanying drawings.
Fig. 1 is a schematic block diagram of an information technology analysis system based on cloud computing according to the present invention.
Detailed Description
The technical solutions in the embodiments of the present invention will be clearly and completely described below with reference to the drawings in the embodiments of the present invention, and it is obvious that the described embodiments are only a part of the embodiments of the present invention, and not all of the embodiments. All other embodiments, which can be derived by a person skilled in the art from the embodiments given herein without making any creative effort, shall fall within the protection scope of the present invention.
Referring to fig. 1, the invention relates to an information technology analysis system based on cloud computing, which comprises a registration login module, an audit module, a database, an importance calculation module, a cloud computing allocation module, a cloud server, a result sending module, a data acquisition module and a security analysis module;
the registration login module is used for providing user information registration login for a user and sending the information after successful registration to the database for storage; marking the user successfully registered as a registered user; the importance calculating module is used for calculating the importance of the data processing program sent by the registered user, and comprises the following specific calculating steps:
the method comprises the following steps: the registered user sends a data calculation processing program to be processed to the importance calculation module through the computer terminal; the importance degree calculation module decomposes a data calculation processing program to be processed into a plurality of programs to be processed, and marks the programs to be processed as Ci, i is 1, … … and n;
step two: the importance calculation module sends the program Ci to be processed to a computer terminal of a registered user;
step three: a registered user adds a security coefficient value and a performance value to a program Ci to be processed through a computer terminal; marking the safety factor value as ACi(ii) a The performance values are marked XCi
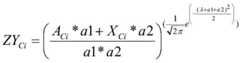
Step four: using formulas
Figure BDA0002275234870000071
Obtaining the importance degree ZY of the program Ci to be processedCi(ii) a Wherein a1 and a2 are both preset proportional coefficient fixed values, and λ is a correction factor, and the value is 2.1543427; e is the base of the natural logarithm; the safety coefficient value is larger, the importance degree is higher, the more important the program to be processed is, the higher the required safety of the cloud server is; the greater the performance value, the higher the importance;
step five: sending the program to be processed and the corresponding importance degree to a cloud computing distribution module; the importance degree calculation is carried out on the program to be processed of the user, so that the safety of important data processing is ensured, and the problems that the existing cloud computing cannot match the data into the corresponding server for processing, the data processing distribution is unreasonable, and the safety of the data is reduced are avoided;
the cloud computing distribution module is used for acquiring a security value in the database, matching the security value with the importance of the program to be processed to obtain a corresponding processing host and a corresponding server, sending the program to be processed to the matched processing host and the matched server for processing, and increasing the total processing times of the processing host and the server once; the cloud server sends a result processed by the program to be processed to a result sending module; the result sending module sends the result processed by the program to be processed to the computer terminal of the registered user for displaying;
the auditing module is used for auditing the idle computers of the registered users and marking the audited computers as the processing host of the cloud server; and sending the information of the processing host to the database for storage.
The auditing steps of the auditing module for the idle computer of the registered user are as follows:
the method comprises the following steps: a registered user submits idle computer information through an idle computer and sends the idle computer information to an auditing module; the computer information comprises the computer model, the purchase time, the maintenance times, the parts to be maintained and replaced and the time period for the computer to be used for cloud computing service;
step two: the auditing module sends the computer information to a computer terminal of a worker for auditing; the staff sends a success instruction or a failure instruction to the auditing module through the computer terminal; and when the auditing module receives the success instruction, sending a preset data processing program to an idle computer of the registered user and processing the preset data processing program, wherein the steps are as follows:
s1: setting the data processing type of a preset data processing program as Yj, wherein j is 1, … … and n;
s2: sequentially sending the corresponding preset data processing programs of all the data processing types to an idle computer for operation; the idle computer sends the starting processing time and the ending time of a preset data processing program corresponding to the data processing type to the auditing module; the auditing module calculates the time difference according to the starting processing time and the ending time to obtain the running time G corresponding to all data processing types of the idle computerYj(ii) a When running for a long time GYjWhen the running time length is less than the preset value, marking the data processing type with the minimum running time length as the data processing type of the cloud computing service of the idle computer; then sending an audit success instruction to the idle computer; when running for a long time GYjIf the current value is greater than the preset value, sending an audit failure instruction to the idle computer;
the auditing module sends an auditing failure instruction to an idle computer of a registered user when receiving the failure instruction;
step three: the auditing module marks the idle computer as a processing host, and simultaneously sends the processing host and the corresponding data processing type to the database for storage; the cloud computing service is carried out by using the idle computer, the utilization rate of computer resources is improved, and the resource waste caused by the fact that the utilization rates of the existing notebook computer and desktop computer of users are not high and a plurality of users are idle is avoided;
the cloud server consists of a plurality of servers and a processing host; the data acquisition module is used for acquiring server information of the server and corresponding total processing times as well as computer information and total processing times information of the processing host; the server information comprises a server model, initial use time, maintenance times and parts to be maintained and replaced; the data acquisition module sends the acquired server information of the server and the corresponding total processing times as well as the computer information of the processing host and the total processing times information to the safety analysis module; the safety analysis module is used for analyzing the safety values of the server and the processing host, and comprises the following specific analysis steps:
SS 1: marking the server and the processing host as Fi, i ═ 1, … …, n; respectively calculating time difference between the initial use time of the server and the purchase time of the processing host and the current system time to obtain the use duration T of the FiFi
SS 2: matching the parts maintained by the server and the processing host with the comparison parts; setting a preset maintenance value corresponding to each part; when the parts maintained by the server and the processing host are the same as the comparison parts, the preset maintenance value is obtained, and then the preset maintenance values matched with the parts maintained by the server and the processing host are summed to obtain a total maintenance value WFi
SS 3: setting the total processing times of the server and the processing host as DFi(ii) a Maintenance times are recorded as XFi
SS 4: using formulas
Figure BDA0002275234870000091
Obtaining a safety value AQ of FiFi(ii) a Wherein h1, h2, h3 and h4 are fixed values of preset proportions; mu is a correction value and takes the value as 100; 3650 expressed as days; the safety value is larger when the total processing times of the server and the processing host are more, which indicates that the safety of the server and the processing host is higher; the smaller the maintenance times and the total maintenance value are, the larger the safety value is,
SS 5: the safety analysis module sends the calculated safety value to a database for storage;
the process of matching the cloud computing allocation modules to obtain the corresponding processing host is as follows:
a: classifying the programs to be processed according to the data processing types, sequencing each type of programs to be processed according to the importance degree from high to low, and sequentially matching the programs to be processed according to the sequencing sequence;
b: matching the program to be processed with the maximum importance, matching the safety values of all servers and processing hosts of the data processing type corresponding to the program to be processed, and sorting according to the safety values; screening the processing hosts, and removing the processing hosts of which the time period for the cloud computing service is not at the current time; then sending a use instruction to a processing host, wherein the processing host receives the use instruction and generates a reply instruction, and the processing host is a matched processing host and simultaneously sends a use message to a mobile phone terminal of a registered user corresponding to the processing host when receiving the reply instruction; if the reply instruction is not received, the processing host is removed, and the number of times of non-connection of the processing host is increased once and is sent to the database for storage;
c: matching the server with the maximum importance degree and the maximum security value with the processing host; matching the server with the second importance degree and the processing host; and after all the servers and the processing hosts are matched, the programs to be processed are not matched, the rest programs to be processed are matched with the server and the processing host with the maximum safety value again, and the like.
The internally mounted of database has the unit of rejecting, and the unit of rejecting is used for rejecting the computer information of handling the host computer, and specific process is: the rejecting unit acquires the number of times of non-connection of the processing host, sends a non-connection abnormal command to a mobile phone terminal of a registered user of the processing host when the number of times of non-connection is equal to a first set threshold, and rejects the computer information of the processing host when the number of times of non-connection is equal to a second set threshold; by eliminating the computer information, a part of useless information storage is reduced, and the storage space of the database is improved.
The working principle of the invention is as follows: the registered user sends a data calculation processing program to be processed to the importance calculation module through the computer terminal; the importance calculation module decomposes a data calculation processing program to be processed into a plurality of programs to be processed, and sends the programs to be processed Ci to the computer terminal of the registered user; a registered user adds a security coefficient value and a performance value to a program Ci to be processed through a computer terminal; marking the safety factor value as ACi(ii) a The performance values are marked XCi(ii) a Using formulas
Figure BDA0002275234870000111
Obtaining the importance degree ZY of the program Ci to be processedCi(ii) a The safety coefficient value is larger, the importance degree is higher, the more important the program to be processed is, the higher the required safety of the cloud server is; the greater the performance value, the higher the importance; sending the program to be processed and the corresponding importance degree to a cloud computing distribution module; the importance degree calculation is carried out on the program to be processed of the user, so that the safety of important data processing is ensured, and the problems that the existing cloud computing cannot match the data into the corresponding server for processing, the data processing distribution is unreasonable, and the safety of the data is reduced are avoided; the auditing module audits the idle computer of the registered user, and the registered user submits idle computer information to the auditing module through the idle computer; the auditing module sends the computer information to a computer terminal of a worker for auditing; the staff sends a success instruction or a failure instruction to the auditing module through the computer terminal; the auditing module sends a preset data processing program to an idle computer of a registered user and processes the preset data processing program after receiving a success instruction, and sequentially sends the corresponding preset data processing programs of all data processing types to the idle computer for operation; the idle computer sends the starting processing time and the ending time of a preset data processing program corresponding to the data processing type to the auditing module; the auditing module calculates the time difference according to the starting processing time and the ending time to obtain the running time G corresponding to all data processing types of the idle computerYj(ii) a When running for a long time GYjWhen the running time length is less than the preset value, marking the data processing type with the minimum running time length as the data processing type of the cloud computing service of the idle computer; then sending an audit success instruction to the idle computer; the auditing module marks the idle computer as a processing host, and simultaneously sends the processing host and the corresponding data processing type to the database for storage; the cloud computing service is carried out by using the idle computer, the utilization rate of computer resources is improved, and the problem that resources are wasted due to the fact that the utilization rates of a notebook computer and a desktop computer of an existing user are not high and a plurality of users are idle is avoided.
The foregoing is merely exemplary and illustrative of the present invention and various modifications, additions and substitutions may be made by those skilled in the art to the specific embodiments described without departing from the scope of the invention as defined in the following claims.

Claims (5)

1. An information technology analysis system based on cloud computing is characterized by comprising a registration login module, an audit module, a database, an importance degree calculation module, a cloud computing distribution module, a cloud server, a result sending module, a data acquisition module and a safety analysis module;
the registration login module is used for providing user information registration login for a user and sending the information after successful registration to the database for storage; marking the user successfully registered as a registered user; the importance calculating module is used for calculating the importance of the data processing program sent by the registered user, and comprises the following specific calculating steps:
the method comprises the following steps: the registered user sends a data calculation processing program to be processed to the importance calculation module through the computer terminal; the importance degree calculation module decomposes a data calculation processing program to be processed into a plurality of programs to be processed, and marks the programs to be processed as Ci, i is 1, … … and n;
step two: the importance calculation module sends the program Ci to be processed to a computer terminal of a registered user;
step three: a registered user adds a security coefficient value and a performance value to a program Ci to be processed through a computer terminal; marking the safety factor value as ACi(ii) a The performance values are marked XCi
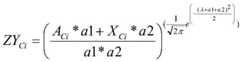
Step four: using formulas
Figure FDA0002275234860000011
Obtaining the importance degree ZY of the program Ci to be processedCi(ii) a Wherein a1 and a2 are both preset proportional coefficient fixed values, and λ is a correction factor, and the value is 2.1543427; e is the base of the natural logarithm;
step five: sending the program to be processed and the corresponding importance degree to a cloud computing distribution module;
the cloud computing distribution module is used for acquiring a security value in the database, matching the security value with the importance of the program to be processed to obtain a corresponding processing host and a corresponding server, sending the program to be processed to the matched processing host and the matched server for processing, and increasing the total processing times of the processing host and the server once; the cloud server sends a result processed by the program to be processed to a result sending module; the result sending module sends the result processed by the program to be processed to the computer terminal of the registered user for displaying;
the auditing module is used for auditing the idle computers of the registered users and marking the audited computers as the processing host of the cloud server; and sending the information of the processing host to the database for storage.
2. The cloud-computing-based information technology analysis system of claim 1, wherein the auditing module audits computers idle by registered users by:
the method comprises the following steps: a registered user submits idle computer information through an idle computer and sends the idle computer information to an auditing module; the computer information comprises the computer model, the purchase time, the maintenance times, the parts to be maintained and replaced and the time period for the computer to be used for cloud computing service;
step two: the auditing module sends the computer information to a computer terminal of a worker for auditing; the staff sends a success instruction or a failure instruction to the auditing module through the computer terminal; and when the auditing module receives the success instruction, sending a preset data processing program to an idle computer of the registered user and processing the preset data processing program, wherein the steps are as follows:
s1: setting the data processing type of a preset data processing program as Yj, wherein j is 1, … … and n;
s2: sequentially sending the corresponding preset data processing programs of all the data processing types to an idle computer for operation; the idle computer sends the start processing time and the end time of the preset data processing program corresponding to the data processing type to the auditA core module; the auditing module calculates the time difference according to the starting processing time and the ending time to obtain the running time G corresponding to all data processing types of the idle computerYj(ii) a When running for a long time GYjWhen the running time length is less than the preset value, marking the data processing type with the minimum running time length as the data processing type of the cloud computing service of the idle computer; then sending an audit success instruction to the idle computer; when running for a long time GYjIf the current value is greater than the preset value, sending an audit failure instruction to the idle computer;
the auditing module sends an auditing failure instruction to an idle computer of a registered user when receiving the failure instruction;
step three: the auditing module marks the idle computer as a processing host, and simultaneously sends the processing host and the corresponding data processing type to the database for storage.
3. The cloud computing-based information technology analysis system according to claim 1, wherein the cloud server is composed of a plurality of servers and processing hosts; the data acquisition module is used for acquiring server information of the server and corresponding total processing times as well as computer information and total processing times information of the processing host; the server information comprises a server model, initial use time, maintenance times and parts to be maintained and replaced; the data acquisition module sends the acquired server information of the server and the corresponding total processing times as well as the computer information of the processing host and the total processing times information to the safety analysis module; the safety analysis module is used for analyzing the safety values of the server and the processing host, and comprises the following specific analysis steps:
SS 1: marking the server and the processing host as Fi, i ═ 1, … …, n; respectively calculating time difference between the initial use time of the server and the purchase time of the processing host and the current system time to obtain the use duration T of the FiFi
SS 2: matching the parts maintained by the server and the processing host with the comparison parts; setting a preset maintenance value corresponding to each part; when the parts maintained by the server and the processing host are the same as the comparison partsThen, the preset maintenance value is obtained, and then the preset maintenance values matched with the parts maintained by the server and the processing host are summed to obtain a total maintenance value WFi
SS 3: setting the total processing times of the server and the processing host as DFi(ii) a Maintenance times are recorded as XFi
SS 4: using formulas
Figure FDA0002275234860000031
Obtaining a safety value AQ of FiFi(ii) a Wherein h1, h2, h3 and h4 are fixed values of preset proportions; mu is a correction value and takes the value as 100;
SS 5: and the safety analysis module sends the calculated safety value to the database for storage.
4. The information technology analysis system based on cloud computing according to claim 1, wherein the process of matching the cloud computing allocation modules to obtain the corresponding processing hosts is as follows:
a: classifying the programs to be processed according to the data processing types, sequencing each type of programs to be processed according to the importance degree from high to low, and sequentially matching the programs to be processed according to the sequencing sequence;
b: matching the program to be processed with the maximum importance, matching the safety values of all servers and processing hosts of the data processing type corresponding to the program to be processed, and sorting according to the safety values; screening the processing hosts, and removing the processing hosts of which the time period for the cloud computing service is not at the current time; then sending a use instruction to a processing host, wherein the processing host receives the use instruction and generates a reply instruction, and the processing host is a matched processing host and simultaneously sends a use message to a mobile phone terminal of a registered user corresponding to the processing host when receiving the reply instruction; if the reply instruction is not received, the processing host is removed, and the number of times of non-connection of the processing host is increased once and is sent to the database for storage;
c: matching the server with the maximum importance degree and the maximum security value with the processing host; matching the server with the second importance degree and the processing host; and after all the servers and the processing hosts are matched, the programs to be processed are not matched, the rest programs to be processed are matched with the server and the processing host with the maximum safety value again, and the like.
5. The information technology analysis system based on cloud computing according to claim 1, wherein a removing unit is installed inside the database, and the removing unit is used for removing computer information of the processing host, and the specific process is as follows: the rejecting unit acquires the number of times of non-connection of the processing host, sends a non-connection abnormal command to a mobile phone terminal of a registered user of the processing host when the number of times of non-connection is equal to a first set threshold, and rejects the computer information of the processing host when the number of times of non-connection is equal to a second set threshold.
CN201911120164.7A2019-11-152019-11-15Information technology analysis system based on cloud computingActiveCN110933147B (en)

Priority Applications (1)

Application NumberPriority DateFiling DateTitle
CN201911120164.7ACN110933147B (en)2019-11-152019-11-15Information technology analysis system based on cloud computing

Applications Claiming Priority (1)

Application NumberPriority DateFiling DateTitle
CN201911120164.7ACN110933147B (en)2019-11-152019-11-15Information technology analysis system based on cloud computing

Publications (2)

Publication NumberPublication Date
CN110933147Atrue CN110933147A (en)2020-03-27
CN110933147B CN110933147B (en)2020-07-17

Family

ID=69853995

Family Applications (1)

Application NumberTitlePriority DateFiling Date
CN201911120164.7AActiveCN110933147B (en)2019-11-152019-11-15Information technology analysis system based on cloud computing

Country Status (1)

CountryLink
CN (1)CN110933147B (en)

Cited By (7)

* Cited by examiner, † Cited by third party
Publication numberPriority datePublication dateAssigneeTitle
CN111524029A (en)*2020-04-162020-08-11苏州科腾软件开发有限公司Electric power communication system based on cloud calculates
CN112908036A (en)*2021-02-262021-06-04邢冠南Driving behavior risk assessment system
CN112991731A (en)*2021-02-262021-06-18邢冠南Teaching method based on dangerous driving behavior evaluation model
CN114528112A (en)*2022-04-252022-05-24睿至科技集团有限公司Big data information analysis method and system based on cloud computing
CN114912143A (en)*2022-05-052022-08-16福州年盛信息科技有限公司Big data-based computer data security evaluation system
CN115373857A (en)*2022-10-242022-11-22日照职业技术学院Data optimization system for economic management
CN116432903A (en)*2023-04-012023-07-14国网新疆电力有限公司电力科学研究院 A communication simulation data management system

Citations (9)

* Cited by examiner, † Cited by third party
Publication numberPriority datePublication dateAssigneeTitle
CN102014169A (en)*2010-12-222011-04-13北京中电普华信息技术有限公司Distributed service system as well as distributed service system task execution method and device
CN102014042A (en)*2009-09-082011-04-13中兴通讯股份有限公司Web load balancing method, grid server and system
EP2624501A1 (en)*2010-10-262013-08-07ZTE CorporationAuthentication routing system, method and authentication router of cloud computing service
US20130332470A1 (en)*2012-06-122013-12-12Sony CorporationInformation processing apparatus, information processing method, and program
CN104038444A (en)*2013-03-052014-09-10中国移动通信集团山西有限公司Resource allocation method, equipment and system
CN104580288A (en)*2013-10-152015-04-29腾讯科技(深圳)有限公司Method and device for controlling request volumes of clients
CN106658727A (en)*2016-04-282017-05-10电子科技大学Business importance determining and resource allocating method based on multiple correlated attributes
CN108762907A (en)*2018-05-312018-11-06口口相传(北京)网络技术有限公司Task processing method based on multiple client and system
CN109697597A (en)*2018-11-292019-04-30合肥工业大学A kind of E-Government customized information integrated service system

Patent Citations (9)

* Cited by examiner, † Cited by third party
Publication numberPriority datePublication dateAssigneeTitle
CN102014042A (en)*2009-09-082011-04-13中兴通讯股份有限公司Web load balancing method, grid server and system
EP2624501A1 (en)*2010-10-262013-08-07ZTE CorporationAuthentication routing system, method and authentication router of cloud computing service
CN102014169A (en)*2010-12-222011-04-13北京中电普华信息技术有限公司Distributed service system as well as distributed service system task execution method and device
US20130332470A1 (en)*2012-06-122013-12-12Sony CorporationInformation processing apparatus, information processing method, and program
CN104038444A (en)*2013-03-052014-09-10中国移动通信集团山西有限公司Resource allocation method, equipment and system
CN104580288A (en)*2013-10-152015-04-29腾讯科技(深圳)有限公司Method and device for controlling request volumes of clients
CN106658727A (en)*2016-04-282017-05-10电子科技大学Business importance determining and resource allocating method based on multiple correlated attributes
CN108762907A (en)*2018-05-312018-11-06口口相传(北京)网络技术有限公司Task processing method based on multiple client and system
CN109697597A (en)*2018-11-292019-04-30合肥工业大学A kind of E-Government customized information integrated service system

Non-Patent Citations (1)

* Cited by examiner, † Cited by third party
Title
朱李楠: ""云制造环境下资源建模及其匹配方法研究"", 《中国博士学位论文全文数据库》*

Cited By (8)

* Cited by examiner, † Cited by third party
Publication numberPriority datePublication dateAssigneeTitle
CN111524029A (en)*2020-04-162020-08-11苏州科腾软件开发有限公司Electric power communication system based on cloud calculates
CN112908036A (en)*2021-02-262021-06-04邢冠南Driving behavior risk assessment system
CN112991731A (en)*2021-02-262021-06-18邢冠南Teaching method based on dangerous driving behavior evaluation model
CN114528112A (en)*2022-04-252022-05-24睿至科技集团有限公司Big data information analysis method and system based on cloud computing
CN114912143A (en)*2022-05-052022-08-16福州年盛信息科技有限公司Big data-based computer data security evaluation system
CN115373857A (en)*2022-10-242022-11-22日照职业技术学院Data optimization system for economic management
CN115373857B (en)*2022-10-242023-03-24日照职业技术学院Data optimization system for economic management
CN116432903A (en)*2023-04-012023-07-14国网新疆电力有限公司电力科学研究院 A communication simulation data management system

Also Published As

Publication numberPublication date
CN110933147B (en)2020-07-17

Similar Documents

PublicationPublication DateTitle
CN110933147B (en)Information technology analysis system based on cloud computing
JP7373611B2 (en) Log auditing methods, equipment, electronic equipment, media and computer programs
CN112035258B (en)Data processing method, device, electronic equipment and medium
CN105281981B (en)The data traffic monitoring method and device of network service
US20210035126A1 (en)Data processing method, system and computer device based on electronic payment behaviors
CN106713290B (en)Method for identifying main user account and server
CN111667141A (en)Pending task case processing method, device, equipment and storage medium
CN114070707A (en)Internet performance monitoring method and system
CN116776361B (en) A public data resource development and utilization management platform based on privacy computing
CN115204733A (en)Data auditing method and device, electronic equipment and storage medium
CN113868509A (en)Science and technology policy data information consultation service system based on cloud computing
CN118631593A (en) A secure resource pool management method and system based on cloud computing
CN118394532B (en)Digital financial service platform based on block chain
CN107229605A (en) Calculation method and device for text similarity
CN110086826B (en)Information processing method
CN118227580A (en)Log analysis method and device, electronic equipment and storage medium
CN113032089B (en)Distributed simulation service construction method based on API gateway
CN114048512B (en)Method and device for processing sensitive data
CN116340009A (en)Data processing method and system based on Internet of things technology
CN115344633A (en)Data processing method, device, equipment and storage medium
CN115396142A (en) Information access method, device, computer equipment and medium based on zero trust
CN115237998A (en)Information auditing processing method and device
CN112882893A (en)Method for real-time monitoring application service log generated by mobile terminal
US20210051107A1 (en)Access origin classification device, access origin classification method, and program
CN111460337A (en)UR L recognition rate analysis method and device

Legal Events

DateCodeTitleDescription
PB01Publication
PB01Publication
SE01Entry into force of request for substantive examination
SE01Entry into force of request for substantive examination
TA01Transfer of patent application right

Effective date of registration:20200617

Address after:226000 Four Third Floors, 120 Zilang Road, Chongchuan District, Nantong City, Jiangsu Province

Applicant after:Chain Rui Information Service (Nantong) Co.,Ltd.

Address before:511400 Fudu Building, No. 11-13 Jiejin Middle Road, Shiqiao Street, Panyu District, Guangzhou City, Guangdong Province

Applicant before:GUANGZHOU SHENZHUO INFORMATION TECHNOLOGY Co.,Ltd.

TA01Transfer of patent application right
GR01Patent grant
GR01Patent grant

[8]ページ先頭

©2009-2025 Movatter.jp