Movatterモバイル変換


[0]ホーム

URL:


CN110928951A - A data sharing and arbitration method based on blockchain - Google Patents

A data sharing and arbitration method based on blockchain
Download PDF

Info

Publication number
CN110928951A
CN110928951ACN201911171182.8ACN201911171182ACN110928951ACN 110928951 ACN110928951 ACN 110928951ACN 201911171182 ACN201911171182 ACN 201911171182ACN 110928951 ACN110928951 ACN 110928951A
Authority
CN
China
Prior art keywords
arbitration
data
sharing
committee
data sharing
Prior art date
Legal status (The legal status is an assumption and is not a legal conclusion. Google has not performed a legal analysis and makes no representation as to the accuracy of the status listed.)
Granted
Application number
CN201911171182.8A
Other languages
Chinese (zh)
Other versions
CN110928951B (en
Inventor
王劲松
赵泽宁
张洪豪
张洪玮
Current Assignee (The listed assignees may be inaccurate. Google has not performed a legal analysis and makes no representation or warranty as to the accuracy of the list.)
Tianjin University of Technology
Original Assignee
Tianjin University of Technology
Priority date (The priority date is an assumption and is not a legal conclusion. Google has not performed a legal analysis and makes no representation as to the accuracy of the date listed.)
Filing date
Publication date
Application filed by Tianjin University of TechnologyfiledCriticalTianjin University of Technology
Priority to CN201911171182.8ApriorityCriticalpatent/CN110928951B/en
Publication of CN110928951ApublicationCriticalpatent/CN110928951A/en
Application grantedgrantedCritical
Publication of CN110928951BpublicationCriticalpatent/CN110928951B/en
Activelegal-statusCriticalCurrent
Anticipated expirationlegal-statusCritical

Links

Images

Classifications

Landscapes

Abstract

Translated fromChinese

一种基于区块链的数据共享及仲裁方法。其包括初始化区块链网络;设置数据共享成员准入规则;基于区块链的数据共享;选举仲裁委员会成员及随机生成仲裁位置顺序;发起仲裁请求以验证基于区块链共识的数据并确定仲裁费用;基于仲裁机制的数据仲裁并判断仲裁委员会是否需要重组;支付基于智能合约的仲裁费用等步骤。本发明效果:以区块链网络共享记录形式进行数据共享,在共享数据情况下有效保护数据隐私不被泄露;在数据共享成员相互间进行数据共享时,能在不公开数据情况下保证区块链上数据真实可靠;区块链的去中心化的特点可以减少平台的维护成本,降低数据共享及仲裁机构的实施难度;区块链不可篡改的特性,提高了共享数据和仲裁结果的可信性。

Figure 201911171182

A blockchain-based data sharing and arbitration method. It includes initializing the blockchain network; setting data sharing member access rules; blockchain-based data sharing; electing arbitration committee members and randomly generating the order of arbitration positions; initiating arbitration requests to verify blockchain consensus-based data and determine arbitration Fees; data arbitration based on the arbitration mechanism and judging whether the arbitration committee needs to be reorganized; payment of arbitration fees based on smart contracts and other steps. Effects of the invention: data sharing is carried out in the form of block chain network sharing records, and data privacy is effectively protected from being leaked in the case of sharing data; when data sharing members share data with each other, the block can be guaranteed without disclosing the data. The data on the chain is authentic and reliable; the decentralization of the blockchain can reduce the maintenance cost of the platform, reduce the difficulty of data sharing and the implementation of the arbitration organization; the non-tamperable feature of the blockchain improves the credibility of shared data and arbitration results sex.

Figure 201911171182

Description

Data sharing and arbitration method based on block chain
Technical Field
The invention belongs to the technical field of a block chain consensus protocol, and particularly relates to a data sharing and arbitration method based on a block chain.
Background
With the rapid development of network applications, the data volume of users also grows exponentially, but many enterprises or organizations with data do not have the capability of analyzing data, and people with the capability and the requirement of analyzing cannot obtain the data, so that a so-called data islanding phenomenon is caused, and the data sharing technology based on the block chain can solve the problem. However, in the sharing process, data is not disclosed, so that the data sharing process is not easy to verify, disputes in the data sharing process are solved under the condition of the lowest data exposure, and the arbitration method is designed to ensure that malicious nodes cannot obtain shared data through malicious arbitration, which are two most important problems in the data sharing technology based on the block chain.
The current block chain-based data sharing method mainly comprises the following steps:
the account book type data sharing method comprises the following steps: at present, most of data sharing based on block chains adopts an account book type data sharing method, a data demand side and a data provider side separately sign an agreement, offline data exchange is carried out, the agreement and the process of the data exchange are recorded on the block chains, and after the two sides achieve consensus on the block chains, messages are broadcast to the whole network, so that traceability of the data sharing process is realized. Since both parties of data sharing do not agree through the blockchain and only save the sharing process through the blockchain, an arbitration mechanism based on blockchain consensus is not needed.
The contract type data sharing method comprises the following steps: at present, an intelligent contract-based data sharing method exists, all data sharing parties form a alliance chain, data sharing is carried out through a block chain intelligent contract, the sharing process is identified in the whole network, and shared data are not exposed. In this data sharing method, since the shared data is not exposed, an arbitration mechanism is required to ensure the correctness of the data on the chain when disputes occur.
The existing block chain arbitration method is ECAF of EOS and EOS core arbitration court, which is a centralized arbitration mechanism formed by EOS after special training and is responsible for dispute arbitration in EOS system.
The existing accounting book type data sharing method does not realize dispute arbitration through a block chain technology, but solves contradiction disputes through a method of negotiation under a line, and the negotiation process is not seen by others. When disputes occur in the conventional contract type data sharing method, data provided by a default data provider is credible, so that the behavior of providing false data by the data provider cannot be judged, and the benefit of a data demander is damaged to a certain extent.
The current arbitration method based on the block chain mainly comprises the following steps:
the centralized arbitration method comprises the following steps: the existing arbitration mechanism based on the block chain is actually a centralized arbitration mechanism, professional people form a professional mechanism after training to arbitrate the system, the system is not in accordance with a mode of solving the problem of decentralization of the block chain to a certain extent, and the traditional arbitration mode of core and power has impact on the structure of the block chain.
Disclosure of Invention
In order to solve the above problems, an object of the present invention is to provide a block chain-based data sharing arbitration method.
In order to achieve the above object, the method for sharing and arbitrating data based on block chains according to the present invention comprises the following steps performed in sequence:
1) initializing a blockchain network: each data sharing party as a data sharing member signs a treaty to form a block chain network for common maintenance management and data sharing, and negotiates a communication protocol;
2) setting a data sharing member admission rule: when a non-data sharing member sends a request for joining the block chain network, judging the request, utilizing a consensus mechanism to achieve consensus on the request and carrying out corresponding operation aiming at different requests;
3) data sharing based on block chains: the data requester shares a data processing model based on the block chain, and the data provider shares data based on the data processing model;
4) election arbitration committee members and randomly generating arbitration position order: voting according to the contribution degree of each data sharing member to the block chain network, then electing the first few data sharing members with more votes as arbitration committee members, then randomly generating an arbitration position sequence based on the arbitration committee members, and acquiring arbitration effective time determined when the block chain network is initialized;
5) initiate an arbitration request to validate data based on blockchain consensus and determine an arbitration cost: if the data demand side considers that the data has problems, the data demand side can be used as an arbitration initiator to initiate an arbitration request for the data; the data demand side writes an intelligent contract, then the arbitration cost is put into the intelligent contract, and meanwhile, the data supply side also puts the arbitration cost into the intelligent contract;
6) data arbitration based on arbitration mechanism and determination of whether arbitration committee needs to reorganize: after the data demander initiates an arbitration request, the corresponding arbitration committee members carry out data arbitration and generate an arbitration result according to the arbitration position sequence obtained in the step 4), and whether the arbitration committee needs to be recombined or not is judged according to the arbitration effective time;
7) paying an arbitration fee based on the smart contract: after the arbitration process is finished, the intelligent contract autonomously pays the arbitration cost; if the arbitration result is that the data is true and credible, an arbitration initiator, namely a data requester, provides arbitration cost and returns the arbitration cost of a data provider; if the arbitration result is that the data is false data, the data provider provides arbitration cost, and the arbitration cost of the data requester is returned, so that automatic arbitration cost payment based on the intelligent contract is realized.
In step 3), the method for sharing the data processing model based on the block chain by the data requester includes the following steps:
101) the data requester i generates a data processing model M according to the task requirement of the data requester ii
102) Data requester i processes data processing model MiBroadcasting to a blockchain network to achieve model uploading;
103) the blockchain network agrees by consensus and assigns the data processing model MiAnd storing the data in the block chain for the data provider to call and operate.
In step 3), the method for the data provider to share data based on the data processing model includes the following steps:
201) all received data processing model M in blockchain networkiThe data sharing member selects a corresponding data processing model M according to the interest and the capability of the data sharing memberiSharing is carried out;
202) data provider j participating in data sharing collects sharing process related data Dj
203) Data provider j uses the acquired data processing model MiProcessing shared Process related data DjObtaining processed data Mi(Dj);
204) Data provider j sends data Mi(Dj) Uploading to a block chain to wait for confirmation;
205) the blockchain network determines the data M uploaded by the data provider j through a consensus mechanismi(Dj) And if the data is valid, writing the data meeting the requirement as a new block into the block chain.
In step 4), the method for voting according to the contribution degree of each data sharing member to the blockchain network and then electing the first few data sharing members with more votes as arbitration committee members comprises the following steps:
301) data sharing member
Figure BDA0002288761080000041
The own share right is taken as a vote
Figure BDA0002288761080000042
Deliver it to selected data sharing members
Figure BDA0002288761080000043
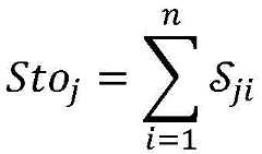
302) And (3) counting the final vote of each data sharing member by the blockchain network:
Figure BDA0002288761080000044
wherein
Figure BDA0002288761080000051
Representing data sharing members
Figure BDA0002288761080000052
Received from a data sharing Member
Figure BDA0002288761080000053
Ballot of
Figure BDA0002288761080000054
n represents the total number of data sharing members in the blockchain network;
303) the blockchain network collects a final vote set { Sto }according to the collected vote1,Sto2,…,Ston}, call Sorted (Sto)1,Sto2,…,Ston) The final votes obtained by each data sharing member are sorted in descending order, and the first N data sharing members are selected
Figure BDA0002288761080000055
As arbitration committee members, where N is the number of arbitration committee members set when initializing the blockchain network.
In step 4), the method for randomly generating the arbitration position sequence based on the arbitration committee members comprises the following steps:
401) according to the formula
Figure BDA0002288761080000056
Calculating the total number of votes of the members of the arbitration committee;
402) sharing the data with members according to the formula j-Sum% n
Figure BDA0002288761080000057
As a member of the arbitration committee at the jth location;
403) sharing the data with the members according to the formula j-Sum% (n-1)
Figure BDA0002288761080000058
Considered as an arbitration committee member for the j-1 th location;
404) repeating the above operations, and randomly disordering the arbitration position sequence of the members of the arbitration committee;
wherein when the data shares the member
Figure BDA0002288761080000059
When the calculated random position is occupied by other data sharing members, continuing to arrange backwards until a first vacant position is found; if no empty position is found until the end, the search is continued from the first position.
In step 5), the arbitration fee CjIs determined by the time T of generating the arbitration resultjAnd resource S of occupied block chain networkjIs determined by the following parameters:
Figure BDA00022887610800000510
in step 6), the method for performing data arbitration and generating arbitration result is that firstly, an arbitration committee member requests a data provider to provide original data and verifies the original data, if the original data are not in accordance, an arbitration result is directly generated, otherwise, a data processing model of the data requester is obtained, then, the original data is calculated by using the data processing model to generate a calculation result, the calculation result is compared with the processed data obtained in the step 3), an arbitration result is generated according to the comparison result, and finally, the arbitration result is generated into a block and is placed at the end of an arbitration chain.
In step 6), the method for determining whether the arbitration committee needs to be reconfigured according to the arbitration valid time is to determine the next arbitration committee member for arbitration according to the arbitration position sequence
Figure BDA0002288761080000061
And waiting for the arbitration committee member to generate an arbitration result within the arbitration valid time(ii) a If the arbitration committee member fails to generate the arbitration result, selecting the next arbitration committee member according to the arbitration position sequence
Figure BDA0002288761080000062
Carrying out arbitration; if the arbitration committee member does not generate the arbitration result within the arbitration valid time, the arbitration committee is required to be regenerated according to the step 4).
The block chain-based data sharing and arbitration method provided by the invention has the beneficial effects that:
(1) data sharing is carried out in a block chain network sharing record mode, and under the condition of sharing data, data privacy is effectively protected from being disclosed; (2) when data sharing is carried out among the data sharing members, the data on the block chain can be guaranteed to be real and reliable under the condition that the data are not disclosed; (3) the decentralized characteristic of the block chain can reduce the maintenance cost of the platform and reduce the implementation difficulty of the data sharing and arbitration mechanism; the block chain is not capable of being tampered, so that the credibility of the shared data and the arbitration result is improved; (4) the distributed architecture of the blocks can ensure that the system is not paralyzed due to the fault of a single node in the arbitration process, and the calculation power dispersion of the data sharing process and the arbitration process is realized; (5) the selection process of the arbitration committee members is a recommendation system, the higher the contribution degree of the system is, the higher the recommendation ticket weight of the person is, the more the person with more system rights can not actively do harm, and the credibility and stability of the system are ensured.
Drawings
Fig. 1 is a flowchart of a block chain-based data sharing and arbitration method according to the present invention.
Fig. 2 is a flow chart of a request initiation process for joining a blockchain network.
FIG. 3 is a flow chart of a block chain based data sharing process
FIG. 4 is a flow chart of the process of electing arbitration committee members and randomly generating arbitration sequences.
Fig. 5 is a flow chart of the data arbitration process based on the arbitration mechanism.
FIG. 6 is a flow chart of a method for arbitrating fee payment based on smart contracts.
Detailed Description
The invention is described in further detail below with reference to the figures and examples.
As shown in fig. 1, the block chain-based data sharing and arbitration method provided by the present invention includes the following steps performed in sequence:
1) initializing a blockchain network: each data sharing party as a data sharing member signs a treaty to form a block chain network for common maintenance management and data sharing, and negotiates a communication protocol;
2) setting a data sharing member admission rule: when a non-data sharing member sends a request for joining a blockchain network, the request is judged, a consensus mechanism is used for achieving consensus on the request, and corresponding operations are performed on different requests, and the specific process is shown in fig. 2.
3) Data sharing based on block chains: the data requester performs data processing model sharing based on the blockchain, and the data provider performs data sharing based on the data processing model, and the specific process is as shown in fig. 3.
In step 3), the method for sharing the data processing model based on the block chain by the data requester includes the following steps:
101) the data requester i generates a data processing model M according to the task requirement of the data requester ii
102) Data requester i processes data processing model MiBroadcasting to a blockchain network to achieve model uploading;
103) the blockchain network agrees by consensus and assigns the data processing model MiAnd storing the data in the block chain for the data provider to call and operate.
In step 3), the method for the data provider to share data based on the data processing model includes the following steps:
201) all received data processing model M in blockchain networkiThe data sharing member selects a corresponding data processing model M according to the interest and the capability of the data sharing memberiSharing is carried out;
202) number participating in data sharingCollecting sharing Process related data D according to provider jj
203) Data provider j uses the acquired data processing model MiProcessing shared Process related data DjObtaining processed data Mi(Dj);
204) Data provider j sends data Mi(Dj) Uploading to a block chain to wait for confirmation;
205) the blockchain network determines the data M uploaded by the data provider j through a consensus mechanismi(Dj) And if the data is valid, writing the data meeting the requirement as a new block into the block chain.
4) Election arbitration committee members and randomly generating arbitration position order: voting is carried out according to the contribution degree of each data sharing member to the block chain network, then the first few data sharing members with more votes are elected as arbitration committee members, then an arbitration position sequence is randomly generated based on the arbitration committee members, and the arbitration effective time determined when the block chain network is initialized is obtained. The arbitration valid time is the time when the arbitration committee member obtains the arbitration right according to the arbitration sequence and generates the arbitration result for a certain arbitration request. The process of electing arbitration committee members and randomly generating arbitration sequence is shown in fig. 4.
In step 4), the method for voting according to the contribution degree of each data sharing member to the blockchain network and then electing the first few data sharing members with more votes as arbitration committee members comprises the following steps:
301) data sharing member
Figure BDA0002288761080000081
The own share right is taken as a vote
Figure BDA0002288761080000082
Deliver it to selected data sharing members
Figure BDA0002288761080000083
302) And (3) counting the final vote of each data sharing member by the blockchain network:
Figure BDA0002288761080000091
wherein
Figure BDA0002288761080000092
Representing data sharing members
Figure BDA0002288761080000093
Received from a data sharing Member
Figure BDA0002288761080000094
Ballot of
Figure BDA0002288761080000095
n represents the total number of data sharing members in the blockchain network;
303) the blockchain network collects a final vote set { Sto }according to the collected vote1,Sto2,…,Ston}, call Sorted (Sto)1,Sto2,…,Ston) The final votes obtained by each data sharing member are sorted in descending order, and the first N data sharing members are selected
Figure BDA0002288761080000096
As arbitration committee members, where N is the number of arbitration committee members set when initializing the blockchain network.
In step 4), the method for randomly generating the arbitration position sequence based on the arbitration committee members comprises the following steps:
401) according to the formula
Figure BDA0002288761080000097
Calculating the total number of votes of the members of the arbitration committee;
402) sharing the data with members according to the formula j-Sum% n
Figure BDA0002288761080000098
As a member of the arbitration committee at the jth location;
403) sharing the data with the members according to the formula j-Sum% (n-1)
Figure BDA0002288761080000099
Considered as an arbitration committee member for the j-1 th location;
404) repeating the above operations, and randomly disordering the arbitration position sequence of the members of the arbitration committee;
wherein when the data shares the member
Figure BDA00022887610800000910
When the calculated random position is occupied by other data sharing members, continuing to arrange backwards until a first vacant position is found; if no empty position is found until the end, the search is continued from the first position.
5) Initiate an arbitration request to validate data based on blockchain consensus and determine an arbitration cost: the consensus content in the new block chain is data, and only the source of the data can be identified, but the authenticity of the result can not be verified, so that the data can be used as an arbitration initiator to initiate an arbitration request for the data if the data demand side considers that the data has a problem;
in the process of initiating the arbitration request, because the arbitration request consumes a large amount of computing resources of the members of the arbitration committee, and in order to avoid abuse of the arbitration mechanism and avoid malicious nodes from acquiring shared data through the arbitration mechanism, the arbitration cost payment mechanism based on the intelligent contract is adopted in the invention, and the arbitration cost C is chargedjIs determined by the time T of generating the arbitration resultjAnd resource S of occupied block chain networkjIs determined by the following parameters:
Figure BDA0002288761080000101
the intelligent contract is written by the data demand side, then the arbitration fee is put into the intelligent contract, and meanwhile, the data supply side also puts the arbitration fee into the intelligent contract.
6) Data arbitration based on arbitration mechanism and determination of whether arbitration committee needs to reorganize: after the data demander initiates an arbitration request, the corresponding arbitration committee members carry out data arbitration and generate an arbitration result according to the arbitration position sequence obtained in the step 4), and whether the arbitration committee needs to be recombined or not is judged according to the arbitration effective time;
the method for arbitrating data and generating arbitration result is that firstly, the member of arbitration committee requests the data provider to provide original data and checks the original data, if the original data is not in accordance with the original data, the arbitration result is directly generated, otherwise, a data processing model of the data requester is obtained, then the original data is calculated by using the data processing model to generate a calculation result, the calculation result is compared with the processed data obtained in the step 3), the arbitration result is generated according to the comparison result, and finally, the arbitration result is generated into a block and is placed at the tail end of the arbitration chain. A flow chart of the data arbitration process based on the arbitration mechanism is shown in fig. 5;
the method for judging whether the arbitration committee needs to be recombined according to the arbitration valid time is to judge the arbitration committee member for arbitration next according to the arbitration position sequence
Figure BDA0002288761080000102
Waiting for the arbitration committee member to generate an arbitration result within the arbitration valid time; if the arbitration committee member fails to generate the arbitration result, selecting the next arbitration committee member according to the arbitration position sequence
Figure BDA0002288761080000103
Carrying out arbitration; if the arbitration committee member does not generate the arbitration result within the arbitration valid time, the arbitration committee is required to be generated again according to the step 4);
7) paying an arbitration fee based on the smart contract: after the arbitration process is finished, the intelligent contract autonomously pays the arbitration cost; if the arbitration result is that the data is true and credible, an arbitration initiator, namely a data requester, provides arbitration cost and returns the arbitration cost of a data provider; if the arbitration result is that the data is false data, the data provider provides arbitration cost, and the arbitration cost of the data requester is returned, so that automatic arbitration cost payment based on the intelligent contract is realized. The arbitration fee payment method based on the smart contract is shown in fig. 6.

Claims (8)

Translated fromChinese
1.一种基于区块链的数据共享及仲裁方法,其特征在于:所述的方法包括按顺序进行的下列步骤:1. A block chain-based data sharing and arbitration method, characterized in that: the method comprises the following steps in order:1)初始化区块链网络:各数据共享方作为数据共享成员签署条约以形成共同维护管理且数据共享的区块链网络,并议定通信协议;1) Initialize the blockchain network: each data sharing party signs a contract as a data sharing member to form a blockchain network for common maintenance and data sharing, and negotiate a communication protocol;2)设置数据共享成员准入规则:当非数据共享成员发出加入区块链网络的请求时,判断该请求,利用共识机制对该请求达成共识并针对不同请求做出相应操作;2) Set data sharing member access rules: when a non-data sharing member sends a request to join the blockchain network, judge the request, use the consensus mechanism to reach a consensus on the request and make corresponding operations for different requests;3)基于区块链的数据共享:数据请求方进行基于区块链的数据处理模型共享,数据提供方进行基于数据处理模型的数据共享;3) Data sharing based on blockchain: The data requester shares the data processing model based on the blockchain, and the data provider performs data sharing based on the data processing model;4)选举仲裁委员会成员及随机生成仲裁位置顺序:首先依据各数据共享成员对区块链网络的贡献度进行投票,然后将得票多的前几位数据共享成员选举为仲裁委员会成员,之后基于上述仲裁委员会成员随机生成仲裁位置顺序,并获取初始化区块链网络时确定的仲裁有效时间;4) Election of members of the arbitration committee and random generation of the order of arbitration positions: first, vote according to the contribution of each data sharing member to the blockchain network, and then elect the top data sharing members with the most votes as members of the arbitration committee, and then based on the above The members of the arbitration committee randomly generate the order of arbitration positions, and obtain the valid time of arbitration determined when the blockchain network is initialized;5)发起仲裁请求以验证基于区块链共识的数据并确定仲裁费用:若数据需求方认为上述数据存在问题,其可作为仲裁发起人对数据发起仲裁请求;由数据需求方编写智能合约,然后将仲裁费用放入智能合约,同时数据提供方也将仲裁费用放入智能合约;5) Initiate an arbitration request to verify the data based on the blockchain consensus and determine the arbitration fee: If the data demander believes that there is a problem with the above data, it can act as the arbitration initiator to initiate an arbitration request for the data; the data demander writes a smart contract, and then Put the arbitration fee into the smart contract, and the data provider also puts the arbitration fee into the smart contract;6)基于仲裁机制的数据仲裁并判断仲裁委员会是否需要重组:数据需求方发起仲裁请求后,根据步骤4)中得到的仲裁位置顺序由相应的仲裁委员会成员进行数据仲裁和产生仲裁结果,并根据仲裁有效时间来判断仲裁委员会是否需要重组;6) Data arbitration based on the arbitration mechanism and determine whether the arbitration committee needs to be reorganized: After the data demander initiates the arbitration request, according to the order of the arbitration positions obtained in step 4), the corresponding arbitration committee members conduct data arbitration and generate arbitration results, and according to Arbitration validity time to judge whether the arbitration committee needs to be reorganized;7)支付基于智能合约的仲裁费用:仲裁过程结束后,智能合约将自主进行仲裁费用的支付;若仲裁结果为数据真实可信,需由仲裁发起人,即数据请求方提供仲裁费用,并将数据提供方的仲裁费用退回;若仲裁结果为数据为虚假数据,则需由数据提供方提供仲裁费用,将数据请求方的仲裁费用退回,从而实现基于智能合约的自动仲裁费用支付。7) Payment of arbitration fees based on smart contracts: After the arbitration process is over, the smart contract will independently pay the arbitration fees; if the arbitration result is true and credible, the arbitration initiator, that is, the data requester, must provide the arbitration fees and pay the arbitration fees. The arbitration fee of the data provider shall be returned; if the arbitration result is that the data is false data, the data provider shall provide the arbitration fee, and the arbitration fee of the data requester shall be returned, so as to realize the automatic payment of arbitration fee based on the smart contract.2.根据权利要求1所述的基于区块链的数据共享及仲裁方法,其特征在于:在步骤3)中,所述的数据请求方进行基于区块链的数据处理模型共享的方法包括下列步骤:2. The blockchain-based data sharing and arbitration method according to claim 1, wherein in step 3), the method for the data requester to share the blockchain-based data processing model comprises the following steps: step:101)数据请求方i根据自己的任务需求生成数据处理模型Mi101) data requesteri generates data processing model Mi according to its own task requirements;102)数据请求方i将数据处理模型Mi广播到区块链网络以实现模型上传;102) The data requesteri broadcasts the data processing model Mi to the blockchain network to realize model uploading;103)区块链网络通过共识达成一致,并将数据处理模型Mi保存在区块链中,供数据提供方调用及运行。103) The blockchain network reaches an agreement through consensus, and saves the data processing modelMi in the blockchain for the data provider to call and run.3.根据权利要求1所述的基于区块链的数据共享及仲裁方法,其特征在于:在步骤3)中,所述的数据提供方进行基于数据处理模型的数据共享的方法包括以下步骤:3. blockchain-based data sharing and arbitration method according to claim 1, is characterized in that: in step 3) in, the method that described data provider carries out data sharing based on data processing model comprises the following steps:201)区块链网络中所有收到数据处理模型Mi的数据共享成员根据自身的兴趣和能力选取相应的数据处理模型Mi进行共享;201) All data sharing members who have received the data processing modelMi in the blockchain network select the corresponding data processing modelMi to share according to their own interests and abilities;202)参与数据共享的数据提供方j收集共享过程相关数据Dj202) The data provider j participating in the data sharing collects the data Dj related to the sharing process;203)数据提供方j使用获取的数据处理模型Mi处理共享过程相关数据Dj,得到处理后的数据Mi(Dj);203) The data provider j uses the acquired data processing modelMi to process the data Dj related to the shared process, and obtains the processed dataMi (Dj );204)数据提供方j将数据Mi(Dj)上传到区块链中等待确认;204) The data provider j uploads the dataMi (Dj ) to the blockchain and waits for confirmation;205)区块链网络通过共识机制确定数据提供方j上传的数据Mi(Dj)是否有效,若有效则将符合要求的数据作为新的区块写入区块链中。205) The blockchain network determines whether the dataMi (Dj ) uploaded by the data provider j is valid through a consensus mechanism, and if it is valid, the data that meets the requirements is written into the blockchain as a new block.4.根据权利要求1所述的基于区块链的数据共享及仲裁方法,其特征在于:在步骤4)中,所述的依据各数据共享成员对区块链网络的贡献度进行投票,然后将得票多的前几位数据共享成员选举为仲裁委员会成员的方法包括下列步骤:4. The blockchain-based data sharing and arbitration method according to claim 1, characterized in that: in step 4), the voting is performed according to the contribution of each data sharing member to the blockchain network, and then The method for electing the top data sharing members with the most votes as members of the arbitration committee includes the following steps:301)数据共享成员
Figure FDA0002288761070000032
将自己持有的股权当作选票
Figure FDA00022887610700000311
将其投给选中的数据共享成员
Figure FDA0002288761070000033
301) Data Sharing Member
Figure FDA0002288761070000032
Treat your stake as a vote
Figure FDA00022887610700000311
Vote it to selected data sharing members
Figure FDA0002288761070000033
302)区块链网络统计每一个数据共享成员的最终选票:302) The blockchain network counts the final votes of each data sharing member:
Figure FDA0002288761070000031
Figure FDA0002288761070000031
其中
Figure FDA00022887610700000312
表示数据共享成员
Figure FDA0002288761070000034
收到的来自数据共享成员
Figure FDA0002288761070000035
的选票
Figure FDA0002288761070000036
n表示该区块链网络中数据共享成员的总数;
in
Figure FDA00022887610700000312
Indicates a data sharing member
Figure FDA0002288761070000034
Received from data sharing members
Figure FDA0002288761070000035
of votes
Figure FDA0002288761070000036
n represents the total number of data sharing members in the blockchain network;
303)区块链网络根据收集到的最终选票集合{Sto1,Sto2,…,Ston},调用Sorted(Sto1,Sto2,…,Ston)对每个数据共享成员获得的最终选票进行降序排列,并选出前N个数据共享成员
Figure FDA0002288761070000037
作为仲裁委员会成员,其中N为初始化区块链网络时设定的仲裁委员会成员个数。
303) The blockchain network calls Sorted(Sto1 , Sto2 ,…,Ston ) according to the collected final ballot set{ Sto1 , Sto2 ,…, Ston } for the final ballots obtained by each data sharing member Sort in descending order and select the top N data sharing members
Figure FDA0002288761070000037
As a member of the arbitration committee, N is the number of members of the arbitration committee set when the blockchain network is initialized.
5.根据权利要求1所述的基于区块链的数据共享及仲裁方法,其特征在于:在步骤4)中,所述的基于仲裁委员会成员随机生成仲裁位置顺序的方法包括下列步骤:5. The data sharing and arbitration method based on block chain according to claim 1, is characterized in that: in step 4), the described method for randomly generating arbitration position sequence based on arbitration committee members comprises the following steps:401)根据公式
Figure FDA0002288761070000039
计算出仲裁委员会成员的总投票数;
401) According to the formula
Figure FDA0002288761070000039
Calculate the total votes of the members of the arbitration committee;
402)根据公式j=Sum%n,将数据共享成员
Figure FDA0002288761070000038
视为第j个位置的仲裁委员会成员;
402) According to the formula j=Sum%n, share the data with members
Figure FDA0002288761070000038
deemed to be a member of the arbitration committee at the jth position;
403)根据公式j=Sum%(n-1),将数据共享成员
Figure FDA00022887610700000310
视为第j-1个位置的仲裁委员会成员;
403) According to the formula j=Sum%(n-1), share the data with members
Figure FDA00022887610700000310
deemed to be a member of the Arbitration Committee at position j-1;
404)重复上述操作,将仲裁委员会成员的仲裁位置顺序随机打乱;404) Repeat the above operation to randomly shuffle the order of the arbitration positions of the members of the arbitration committee;其中当数据共享成员
Figure FDA0002288761070000042
计算出的随机位置已被其余数据共享成员占据时,则继续往后排,直到找到第一空缺位置为止;如果直到最后也没找到空缺位置,则从第一个位置开始继续寻找。
where data sharing members
Figure FDA0002288761070000042
When the calculated random position has been occupied by other data sharing members, continue to row backward until the first vacancy position is found; if no vacancy position is found until the end, continue to search from the first position.
6.根据权利要求1所述的基于区块链的数据共享及仲裁方法,其特征在于:在步骤5)中,所述的仲裁费用Cj的多少由产生仲裁结果的时间Tj及占用区块链网络的资源Sj的多少来确定,即:6. The data sharing and arbitration method based on block chain according to claim 1, is characterized in that: in step 5), the amount of described arbitration fee Cj is determined by the time Tj and the occupied area when the arbitration result is generated The number of resources Sj of the blockchain network is determined, namely:
Figure FDA0002288761070000041
Figure FDA0002288761070000041
7.根据权利要求1所述的基于区块链的数据共享及仲裁方法,其特征在于:在步骤6)中,所述的进行数据仲裁和产生仲裁结果的方法是首先仲裁委员会成员请求数据提供方提供原始数据并对该原始数据进行校验,若原始数据不符则直接产生仲裁结果,否则获取数据请求方的数据处理模型,然后利用数据处理模型对原始数据进行计算,产生计算结果,并将计算结果与上述步骤3)中获得的处理后的数据进行比对,根据比对结果产生仲裁结果,最后将仲裁结果生成区块并放入仲裁链的末尾。7. data sharing and arbitration method based on block chain according to claim 1, is characterized in that: in step 6), the described method of carrying out data arbitration and generating arbitration result is that at first arbitration committee member requests data to provide. The party provides the original data and verifies the original data. If the original data does not match, the arbitration result will be generated directly. Otherwise, the data processing model of the data requester will be obtained, and then the data processing model will be used to calculate the original data, generate the calculation result, and use the data processing model to calculate the original data. The calculation result is compared with the processed data obtained in the above step 3), the arbitration result is generated according to the comparison result, and finally the arbitration result is generated into a block and placed at the end of the arbitration chain.8.根据权利要求1所述的基于区块链的数据共享及仲裁方法,其特征在于:在步骤6)中,所述的根据仲裁有效时间来判断仲裁委员会是否需要重组的方法是根据仲裁位置顺序判断下一位进行仲裁的仲裁委员会成员
Figure FDA0002288761070000043
并在仲裁有效时间内等待该仲裁委员会成员产生仲裁结果;若该仲裁委员会成员未能产生仲裁结果,则依据仲裁位置顺序选择下一位仲裁委员会成员
Figure FDA0002288761070000044
进行仲裁;若该仲裁委员会成员也并未在仲裁有效时间内产生仲裁结果,则需要按照步骤4)重新产生仲裁委员会。
8. data sharing and arbitration method based on block chain according to claim 1, is characterized in that: in step 6), described according to arbitration validity time to judge whether the method for arbitration committee needs to be reorganized is according to arbitration position Judge in order the next member of the arbitration committee to arbitrate
Figure FDA0002288761070000043
And wait for the arbitration committee member to produce the arbitration result within the validity period of the arbitration; if the arbitration committee member fails to produce the arbitration result, the next arbitration committee member will be selected according to the order of the arbitration position.
Figure FDA0002288761070000044
Arbitration; if the member of the arbitration committee does not produce the arbitration result within the validity period of the arbitration, the arbitration committee needs to be re-created according to step 4).
CN201911171182.8A2019-11-262019-11-26Data sharing and arbitration method based on block chainActiveCN110928951B (en)

Priority Applications (1)

Application NumberPriority DateFiling DateTitle
CN201911171182.8ACN110928951B (en)2019-11-262019-11-26Data sharing and arbitration method based on block chain

Applications Claiming Priority (1)

Application NumberPriority DateFiling DateTitle
CN201911171182.8ACN110928951B (en)2019-11-262019-11-26Data sharing and arbitration method based on block chain

Publications (2)

Publication NumberPublication Date
CN110928951Atrue CN110928951A (en)2020-03-27
CN110928951B CN110928951B (en)2023-03-14

Family

ID=69851968

Family Applications (1)

Application NumberTitlePriority DateFiling Date
CN201911171182.8AActiveCN110928951B (en)2019-11-262019-11-26Data sharing and arbitration method based on block chain

Country Status (1)

CountryLink
CN (1)CN110928951B (en)

Cited By (9)

* Cited by examiner, † Cited by third party
Publication numberPriority datePublication dateAssigneeTitle
CN111461885A (en)*2020-03-312020-07-28财付通支付科技有限公司Consensus network management method, device, computer and readable storage medium
CN111510347A (en)*2020-04-082020-08-07北京链化未来科技有限公司 A method to improve the efficiency of blockchain consensus
CN111597273A (en)*2020-05-262020-08-28牛津(海南)区块链研究院有限公司Data sharing method and supply chain financial system
CN112053261A (en)*2020-08-072020-12-08深圳区块大陆科技有限公司Method for realizing free arbitration on block chain
CN112187866A (en)*2020-09-032021-01-05山东大学Novel block chain consensus method based on shared storage
CN112766965A (en)*2021-01-252021-05-07天津理工大学 A privacy-preserving data sharing method based on smart contracts
CN114944954A (en)*2022-05-232022-08-26天津理工大学 A privacy and security data sharing method based on functional encryption
CN116860709A (en)*2023-09-012023-10-10国能(北京)商务网络有限公司Sharing and using method of transaction decision data
CN117787817A (en)*2024-02-282024-03-29西安航科创星电子科技有限公司Ceramic chip inductance capacitor production and tracing method based on conductive copper paste

Citations (9)

* Cited by examiner, † Cited by third party
Publication numberPriority datePublication dateAssigneeTitle
CN107135209A (en)*2017-04-212017-09-05天津理工大学A kind of data sharing method based on block chain
WO2018209542A1 (en)*2017-05-162018-11-22北京大学深圳研究生院Consensus method for decentralized domain name system
CN109447795A (en)*2018-09-112019-03-08中国人民解放军国防科技大学Byzantine consensus method supporting rapid achievement of final confirmation
CN109598616A (en)*2018-12-092019-04-09大连飞创信息技术有限公司Method for block chain data privacy protection by introducing arbitration mechanism
CN109639753A (en)*2018-10-262019-04-16众安信息技术服务有限公司A kind of data sharing method and system based on block chain
WO2019127531A1 (en)*2017-12-292019-07-04深圳前海达闼云端智能科技有限公司Block chain-based data processing method and apparatus, storage medium and electronic device
CN110032573A (en)*2019-03-262019-07-19中山大学A kind of blacklist sharing method, referee method and device based on block chain
CN110335156A (en)*2019-07-092019-10-15广东投盟科技有限公司The regular maintaining method and its system of block chain
CN110348988A (en)*2019-06-182019-10-18平安普惠企业管理有限公司Arbitration process method, electronic device and computer readable storage medium

Patent Citations (9)

* Cited by examiner, † Cited by third party
Publication numberPriority datePublication dateAssigneeTitle
CN107135209A (en)*2017-04-212017-09-05天津理工大学A kind of data sharing method based on block chain
WO2018209542A1 (en)*2017-05-162018-11-22北京大学深圳研究生院Consensus method for decentralized domain name system
WO2019127531A1 (en)*2017-12-292019-07-04深圳前海达闼云端智能科技有限公司Block chain-based data processing method and apparatus, storage medium and electronic device
CN109447795A (en)*2018-09-112019-03-08中国人民解放军国防科技大学Byzantine consensus method supporting rapid achievement of final confirmation
CN109639753A (en)*2018-10-262019-04-16众安信息技术服务有限公司A kind of data sharing method and system based on block chain
CN109598616A (en)*2018-12-092019-04-09大连飞创信息技术有限公司Method for block chain data privacy protection by introducing arbitration mechanism
CN110032573A (en)*2019-03-262019-07-19中山大学A kind of blacklist sharing method, referee method and device based on block chain
CN110348988A (en)*2019-06-182019-10-18平安普惠企业管理有限公司Arbitration process method, electronic device and computer readable storage medium
CN110335156A (en)*2019-07-092019-10-15广东投盟科技有限公司The regular maintaining method and its system of block chain

Non-Patent Citations (2)

* Cited by examiner, † Cited by third party
Title
薛腾飞: "区块链应用若干问题研究"*
陈西蒙: "基于区块链的供应链交易和假货鉴别的关键技术研究"*

Cited By (16)

* Cited by examiner, † Cited by third party
Publication numberPriority datePublication dateAssigneeTitle
CN111461885B (en)*2020-03-312024-03-19财付通支付科技有限公司Consensus network management method, device, computer and readable storage medium
CN111461885A (en)*2020-03-312020-07-28财付通支付科技有限公司Consensus network management method, device, computer and readable storage medium
CN111510347A (en)*2020-04-082020-08-07北京链化未来科技有限公司 A method to improve the efficiency of blockchain consensus
CN111597273A (en)*2020-05-262020-08-28牛津(海南)区块链研究院有限公司Data sharing method and supply chain financial system
CN112053261A (en)*2020-08-072020-12-08深圳区块大陆科技有限公司Method for realizing free arbitration on block chain
CN112053261B (en)*2020-08-072024-06-04深圳区块大陆科技有限公司Method for realizing free arbitration on block chain
CN112187866A (en)*2020-09-032021-01-05山东大学Novel block chain consensus method based on shared storage
CN112187866B (en)*2020-09-032021-10-15山东大学 A Novel Blockchain Consensus Method Based on Shared Storage
CN112766965B (en)*2021-01-252022-09-02天津理工大学Privacy protection data sharing method based on intelligent contracts
CN112766965A (en)*2021-01-252021-05-07天津理工大学 A privacy-preserving data sharing method based on smart contracts
CN114944954A (en)*2022-05-232022-08-26天津理工大学 A privacy and security data sharing method based on functional encryption
CN114944954B (en)*2022-05-232023-08-25天津理工大学 A Privacy and Secure Data Sharing Method Based on Function Encryption
CN116860709A (en)*2023-09-012023-10-10国能(北京)商务网络有限公司Sharing and using method of transaction decision data
CN116860709B (en)*2023-09-012023-12-05国能(北京)商务网络有限公司Sharing and using method of transaction decision data
CN117787817A (en)*2024-02-282024-03-29西安航科创星电子科技有限公司Ceramic chip inductance capacitor production and tracing method based on conductive copper paste
CN117787817B (en)*2024-02-282024-05-07西安航科创星电子科技有限公司Ceramic chip inductance capacitor production and tracing method based on conductive copper paste

Also Published As

Publication numberPublication date
CN110928951B (en)2023-03-14

Similar Documents

PublicationPublication DateTitle
CN110928951A (en) A data sharing and arbitration method based on blockchain
Cui et al.A decentralized and trusted edge computing platform for Internet of Things
CN110232507B (en) The whole process supervision method and system of crowdsourcing activities based on smart contract
CN109872152A (en)Block chain common recognition method and relevant device based on share authorisation verification mechanism
CN111082943B (en)Efficient block chain consensus method
WO2023020233A1 (en)Blockchain-based data processing method, apparatus and device, and storage medium
CN108647988B (en)Advertisement information processing system, method and device and electronic equipment
Hu et al.Reputation-based distributed knowledge sharing system in blockchain
Hurka et al.Learning on the job? EU enlargement and the assignment of (shadow) rapporteurships in the European Parliament
CN111090890B (en)New energy power utilization data processing method and device based on block chain and participating node
CN114861211B (en) A data privacy protection method, system, and storage medium for metaverse scenarios
CN109510713A (en)A kind of shared motivational techniques of the flow based on block chain
CN112118138B (en)System and method for realizing block chain consensus mechanism
CN111047316A (en) An anti-tampering intelligent blockchain system and implementation method
CN112488787A (en)Shared resource leasing method and device based on block chain and computer equipment
WO2023134181A1 (en)Resource allocation method, apparatus and system based on federated learning
CN110264222A (en)Responsible investigation method, apparatus and terminal device based on data acquisition
CN112184274A (en)Online fulfillment system and method
CN115641139A (en)Block chain consensus method based on weight plan behavior certification
CN116796830A (en)Bycibe-hormonarch robust federal learning method and system based on block chain
CN117579693A (en) A method to build a cross-chain data security sharing mechanism based on oracles
CN114666342B (en) A consortium chain node consensus method and blockchain system
CN118014624A (en) Data rights allocation and revenue clearing method, device, electronic equipment and medium
CN113435949B (en)Decentralized federal machine learning method, system and storage medium based on intelligent contracts
CN112260784A (en) A game strategy-based spectrum sensing method and system under the blockchain

Legal Events

DateCodeTitleDescription
PB01Publication
PB01Publication
SE01Entry into force of request for substantive examination
SE01Entry into force of request for substantive examination
GR01Patent grant
GR01Patent grant

[8]ページ先頭

©2009-2025 Movatter.jp