
技术领域technical field
本发明涉及一种立式风洞飞机尾旋试验模型设计方法,属于立式风洞飞机尾旋试验模型设计技术领域。The invention relates to a design method for a vertical wind tunnel aircraft tail spin test model, and belongs to the technical field of vertical wind tunnel aircraft tail spin test model design.
背景技术Background technique
尾旋也称螺旋,是飞机失速后围绕其质心坐标轴系的横轴(垂直于机身对称面)发生俯仰震荡、围绕纵轴(平行于机身轴线)发生滚转震荡、围绕竖轴(垂直于过横轴与竖轴的平面)发生偏航旋转的耦合运动,即沿螺旋线下坠的运动,是飞机飞行过程中最危险的状况。在立式风洞进行的飞机尾旋试验,主要用来研究对象飞机的尾旋进入、发展和改出特性。为在风洞中尽可能真实模拟飞机在空中的飞行特性,通常要求试验用模型与真实飞机的外形和质量分布参数相似,并能耐受至少5倍重力的冲击力。因此,该种模型在设计上有别于常规金属风洞试验模型,其总质量更轻、结构更复杂、加工和调试难度更大。Spin, also known as helix, is the pitch oscillation around the horizontal axis (perpendicular to the plane of symmetry of the fuselage) of the aircraft after stalling, the rolling oscillation around the longitudinal axis (parallel to the fuselage axis), and the rotation around the vertical axis (perpendicular to the fuselage axis). The coupled motion of yaw and rotation occurs in the plane perpendicular to the horizontal axis and the vertical axis, that is, the motion of falling along the helix, which is the most dangerous situation during the flight of the aircraft. Aircraft spin tests conducted in vertical wind tunnels are mainly used to study the spin entry, development and recovery characteristics of the subject aircraft. In order to simulate the flight characteristics of the aircraft in the air as realistically as possible in the wind tunnel, the test model is usually required to be similar in shape and mass distribution parameters to the real aircraft, and can withstand at least 5 times the impact force of gravity. Therefore, the design of this model is different from the conventional metal wind tunnel test model, and its overall weight is lighter, the structure is more complex, and the processing and debugging are more difficult.
相似准则又叫“相似参数”、“相似模数”、“相似判据”等,是在判断两个现象之间相似性时使用的概念,风洞试验的理论基础是相似原理,而相似理论的基础是量的线性变换或称相似变换。两个物理现象相似是指在对应点上对应瞬时所有表征现象的相应物理量都保持各自固定的比例关系(如果是向量还包括方向相同)。相似的正定理指出相似的现象,其同名相似准则数值相同,这是相似现象的必要条件。而根据相似的逆定理,两个物理现象相似的充分条件是两个现象的单值条件相似,而且由单值条件组成的同名相似准则的数值相同。所谓单值条件是指把满足同一物理方程的各种现象单一地区分开来所必须具有的基本条件,它包括几何条件、物理条件、边界条件和时间条件。相似准则一般可由描述现象特征的各个量之间关系的物理方程推导出或由量纲分析推导出。Similarity criterion is also called "similar parameter", "similar modulus", "similarity criterion", etc. It is a concept used when judging the similarity between two phenomena. The theoretical basis of wind tunnel test is the similarity principle, while the similarity theory The basis of is the linear transformation of the quantity or the similarity transformation. The similarity of two physical phenomena means that the corresponding physical quantities corresponding to all the characterization phenomena at the corresponding point at the corresponding instant maintain their respective fixed proportional relationships (if it is a vector, it also includes the same direction). The similarity positive theorem points out that similar phenomena have the same value of the similarity criterion of the same name, which is a necessary condition for similar phenomena. And according to the inverse theorem of similarity, the sufficient condition for two physical phenomena to be similar is that the single-valued conditions of the two phenomena are similar, and the numerical value of the similarity criterion of the same name composed of the single-valued conditions is the same. The so-called single-valued condition refers to the basic conditions that must be possessed to separate various phenomena satisfying the same physical equation, including geometrical conditions, physical conditions, boundary conditions and time conditions. Similarity criteria can generally be derived from physical equations that describe the relationship between various quantities that characterize phenomena or derived from dimensional analysis.
迭代是重复反馈过程的活动,其目的通常是为了逼近所需目标或结果。每一次对过程的重复称为一次“迭代”,而每一次迭代得到的结果会作为下一次迭代的初始值。重复执行一系列运算步骤,从前面的量依次求出后面的量的过程。此过程的每一次结果,都是由对前一次所得结果施行相同的运算步骤得到的。Iteration is the activity of repeating a feedback process, usually in order to approach a desired goal or result. Each repetition of the process is called an "iteration", and the result of each iteration is used as the initial value for the next iteration. The process of repeatedly executing a series of operation steps to obtain the latter quantities from the former quantities in turn. Each result of this process is obtained by applying the same operation steps to the previous result.
发明内容SUMMARY OF THE INVENTION
本发明的发明目的在于:针对上述存在的问题,提供一种立式风洞飞机尾旋试验模型设计方法,本发明能够有效降低模型质量分布参数理论值、设计值、实际值之间的误差和加工难度,提高试验准备效率。The purpose of the present invention is to: in view of the above-mentioned problems, to provide a vertical wind tunnel aircraft spin test model design method, the present invention can effectively reduce the error and the error between the theoretical value, the design value and the actual value of the model mass distribution parameter. Processing difficulty, improve the efficiency of test preparation.
本发明采用的技术方案如下:The technical scheme adopted in the present invention is as follows:
一种立式风洞飞机尾旋试验模型设计方法,包括以下步骤:A method for designing a vertical wind tunnel aircraft spin test model, comprising the following steps:
步骤a:确定模型设计的输入参数;Step a: determine the input parameters of the model design;
步骤b:根据输入参数按照相似准则,对模型的质量分布参数进行换算得到试验状态理论值;Step b: according to the similarity criterion according to the input parameters, the mass distribution parameters of the model are converted to obtain the theoretical value of the experimental state;
步骤c:依据步骤b在三维机械设计软件中进行模型结构布局初步设计;Step c: carry out the preliminary design of the model structure layout in the three-dimensional mechanical design software according to step b;
步骤d:依据模型结构布局初步设计的模型质量分布参数与步骤b试验状态理论值比较的结果,进行模型结构迭代优化设计;Step d: according to the result of comparing the model mass distribution parameter of the preliminary design of the model structure layout with the theoretical value of the test state in step b, carry out iterative optimization design of the model structure;
步骤e:对设计的模型进行关键承力件的强度校核,并依据校核结果进一步优化模型结构设计;Step e: carry out the strength check of the key bearing parts to the designed model, and further optimize the model structure design according to the check result;
步骤f:重复步骤d和步骤e,直至模型的外形、质量分布参数和关键承力件均符合试验要求。Step f: Repeat step d and step e until the shape, mass distribution parameters and key load-bearing parts of the model meet the test requirements.
作为优选,步骤a中,所述输入参数包括模拟飞行高度、质量分布参数和模型相对真实飞机的缩比等,模型相对真实飞机的缩比依据风洞试验段对阻塞度的要求而定。Preferably, in step a, the input parameters include simulated flight height, mass distribution parameters, and the scale of the model relative to the real aircraft.
作为优选,步骤a中,所述输入参数包括模拟飞行高度、质量分布参数和依据风洞试验段对阻塞度要求优化的模型相对真实飞机的缩比、需模拟的飞机表面凸起、外挂状态、活动舵面和替换件等。Preferably, in step a, the input parameters include simulated flight height, mass distribution parameters, and the scale of the model optimized according to the wind tunnel test section to the blockage degree requirements relative to the real aircraft, the surface bulge of the aircraft to be simulated, the external hanging state, Active rudder surfaces and replacement parts, etc.
作为优选,飞机表面凸起包括天线、鼓包、空速管、加/受油管等。Preferably, the protrusions on the surface of the aircraft include antennas, bulges, pitot tubes, fueling/receiving tubes, and the like.
作为优选,活动舵面包括副翼、升降舵和方向舵等。Preferably, the movable rudder surface includes ailerons, elevators, rudders, and the like.
作为优选,步骤b中,根据输入参数中的模拟飞行高度、质量分布参数和模型相对真实飞机的缩比,按照弗劳德数相似准则对模型的质量分布参数进行换算得到试验状态理论值。Preferably, in step b, according to the simulated flight height, mass distribution parameters in the input parameters and the scale of the model relative to the real aircraft, the mass distribution parameters of the model are converted according to the Froude number similarity criterion to obtain the theoretical value of the test state.
作为优选,步骤b中,模型的质量分布参数包括模型质量、沿机身轴线方向的质心位置、围绕模型理论参考质心坐标系各轴的转动惯量。Preferably, in step b, the mass distribution parameters of the model include the model mass, the position of the center of mass along the axis of the fuselage, and the moment of inertia around each axis of the theoretical reference center of mass coordinate system of the model.
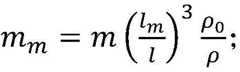
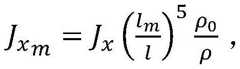
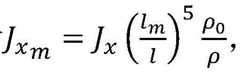
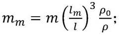
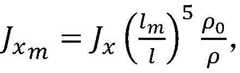
作为优选,步骤b中,质量分布参数通过以下公式计算:模型质量模型的质心位置转动惯量Preferably, in step b, the mass distribution parameter is calculated by the following formula: The centroid location of the model Moment of inertia
作为优选,步骤c中,所述三维机械设计软件为CATIA或其他三维机械设计软件,依据步骤b在三维机械设计软件中进行模型结构布局初步设计。Preferably, in step c, the three-dimensional mechanical design software is CATIA or other three-dimensional mechanical design software, and the preliminary design of the model structure layout is performed in the three-dimensional mechanical design software according to step b.
作为优选,步骤c中,立式风洞飞机尾旋试验模型结构布局包括:由加强筋和支撑板组成的机身和机翼骨架、机身中部吊挂组件、活动舵面偏转运动机构、调节全模型质量分布参数的配重安放机构、模型试验参数测量元器件组件、表面凸起/外挂物/口盖/替换件/起落架/反尾旋伞等的预埋件等。Preferably, in step c, the structure layout of the vertical wind tunnel aircraft tail spin test model includes: a fuselage and a wing frame composed of reinforcing ribs and support plates, a hanging assembly in the middle of the fuselage, a movable rudder surface deflection motion mechanism, an adjustment Counterweight placement mechanism for full model mass distribution parameters, component components for model test parameter measurement, surface protrusions / external objects / flaps / replacement parts / landing gear / anti-spin parachutes and other embedded parts.
作为优选,步骤d中,对所有零件(包括蒙皮)进行选材及密度赋值,并依据密度赋值后的全模型质量分布参数模拟计算结果,对加强筋、支撑板、配重安放机构、预埋件等的位置、形状和材料,以及模型试验参数测量元器件组件的安放位置等,进行迭代优化设计。Preferably, in step d, material selection and density assignment are performed for all parts (including the skin), and according to the results of the simulation calculation of the mass distribution parameters of the full model after the density assignment, the reinforcement ribs, support plates, counterweight placement mechanisms, pre-embedded The position, shape and material of parts, etc., as well as the placement position of components and components measured by model test parameters, etc., are used for iterative optimization design.
步骤d中,将模型结构布局初步设计的模型质量分布参数与试验状态理论值进行比较,并根据差量调整结构布局,反复迭代优化,使两者的差量最终符合误差要求。In step d, the model mass distribution parameters of the preliminary design of the model structure layout are compared with the theoretical value of the test state, and the structure layout is adjusted according to the difference, and iterative optimization is repeated, so that the difference between the two finally meets the error requirement.
作为优选,步骤d中,在无配重情况下,模型质心在机身纵轴方向的位置计算值距理论参考位置误差范围为-20mm~20mm,滚动转动惯量计算值较模型设计要求的转动惯量误差范围为-10%~0,偏航与俯仰转动惯量计算值较模型设计要求的转动惯量误差范围为-20%~-10%,符合以上误差范围时,即认为模型结构设计已最优。Preferably, in step d, in the case of no counterweight, the calculated value of the model's center of mass in the direction of the longitudinal axis of the fuselage has an error range of -20mm to 20mm from the theoretical reference position, and the calculated value of the rolling moment of inertia is higher than the moment of inertia required by the model design. The error range is -10% to 0. The calculated values of the yaw and pitch moments of inertia are -20% to -10% compared with the moment of inertia required by the model design. When the above error ranges are met, the model structure design is considered to be optimal.
作为优选,步骤e中,使用Solidworks软件中的“Simulate”模块进行强度校核工具,或者其它能够进行强度计算的软件。Preferably, in step e, the "Simulate" module in the Solidworks software is used to perform an intensity check tool, or other software capable of performing intensity calculation.
作为优选,步骤e中,关键承力件包括吊挂加强筋、蒙皮翼根部位、骨架的主支撑板等。Preferably, in step e, the key load-bearing components include hanging reinforcing ribs, skin wing root parts, main support plates of the skeleton, and the like.
作为优选,步骤e中,在试验状态,模型质量、质心位置、转动惯量实际值与试验状态理论值的误差:模型质量为±1%,质心位置为±1mm,转动惯量为±5%。Preferably, in step e, in the test state, the error between the actual value of the model mass, the position of the center of mass, the moment of inertia and the theoretical value of the test state: the mass of the model is ±1%, the position of the center of mass is ±1mm, and the moment of inertia is ±5%.
作为优选,步骤e中,所述关键承力件的试验要求为其最大变形量不超过0.5毫米,安全系数不小于3。Preferably, in step e, the test requirements of the key load-bearing parts are that the maximum deformation is not more than 0.5 mm, and the safety factor is not less than 3.
本发明步骤a的目的在于要知道设计的模型有哪些特点,如模型与真实飞机的缩比;需要模拟的参数,如飞行高度、质量特征参数(总质量、前/中/后质心、转动惯量等);包括哪些内容,如哪些部件必须模拟、哪些舵面是活动的、哪些舵面是固定角度的、需不需要反尾旋伞、凸起外挂等要模拟到什么程度等;步骤b的目的在于依据上述换算公式计算出模型的质量分布参数试验状态理论值,以便后期的所有零部件设计都以此为基准;步骤c的目的在于实现设计要求的各种必须模拟的部件结构设计(包括活动舵面、固定舵面、外挂、凸起、反尾旋伞、起落架、舱门等);实现模型骨架搭建、内部空间布局;步骤d的目的在于将模型结构布局初步设计的模型质量分布参数与试验状态理论值进行比较,并根据差量调整结构布局,反复迭代优化,使两者的差量最终符合误差要求;步骤e的目的在于确保模型的关键承力件符合试验条件,在试验中不出现破损、较大形变、断裂等问题,并进一步反复优化结构使模型的质量分布参数也满足要求。The purpose of step a of the present invention is to know the characteristics of the designed model, such as the scale of the model and the real aircraft; parameters that need to be simulated, such as flight height, quality characteristic parameters (total mass, front/middle/rear center of mass, moment of inertia etc.); what content is included, such as which parts must be simulated, which rudder surfaces are movable, which rudder surfaces are fixed at a fixed angle, whether an anti-spin parachute, bulge, etc. should be simulated to what extent, etc.; The purpose is to calculate the theoretical value of the test state of the mass distribution parameters of the model according to the above conversion formula, so that all the later part designs can be based on this; the purpose of step c is to realize the design requirements of various components that must be simulated. Movable rudder surface, fixed rudder surface, external hanging, bulge, anti-spin parachute, landing gear, hatch, etc.); realize model skeleton construction and internal space layout; the purpose of step d is to distribute the model mass distribution of the preliminary design of the model structure layout The parameters are compared with the theoretical value of the test state, and the structural layout is adjusted according to the difference, and the iterative optimization is repeated to make the difference between the two finally meet the error requirements; the purpose of step e is to ensure that the key bearing parts of the model meet the test conditions. There is no damage, large deformation, fracture and other problems in the model, and the structure is further optimized repeatedly so that the mass distribution parameters of the model also meet the requirements.
需要说明的是,上述符号的含义为:m代表飞机质量,mm代表模型质量,l代表飞机的特征长度,lm代表模型的特征长度,ρ0代表风洞试验段大气密度,ρ代表所要模拟的实际高度下的大气密度,Jx代表相对于全机体轴系X轴(纵轴)的(滚动)转动惯量,Jy代表相对于全机体轴系Y轴(横轴)的(俯仰)转动惯量,Jz代表相对于全机体轴系Z轴(竖轴)的(偏航)转动惯量,cA代表平均气动弦长(参考长度),Xc.g代表质心位置,其中公式中的下标:f代表飞机,m代表模型。It should be noted that the meanings of the above symbols are: m represents the mass of the aircraft, mm represents the mass of the model, l represents the characteristic length of the aircraft, lm represents the characteristic length of the model, ρ0 represents the atmospheric density in the wind tunnel test section, and ρ represents the desired Atmospheric density at the simulated actual altitude, Jx represents the (rolling) moment of inertia relative to the X-axis (vertical axis) of the whole body axis, Jy represents the (pitch) relative to the Y axis (horizontal axis) of the whole body axis Moment of inertia, Jz represents the (yaw) moment of inertia relative to the Z-axis (vertical axis) of the whole body shaft system, cA represents the average aerodynamic chord length (reference length), Xcg represents the center of mass position, where the subscript in the formula : f represents the aircraft, m represents the model.
需要说明的是,飞机在飞行过程中,随着油料的消耗、外挂的抛投等,全机的质心位置一直在动态的发生变化,在此过程中,通常在机身纵轴方向的最前质心称为飞机的前质心,最后的位置称为后质心,巡航飞行(半油状态)时的质心位置称为中质心;或者以中质心为参考,在其前方的都称前质心,后方的都称后质心。模型的前/中/后质心是模型设计过程中的基本边界条件之一,设计完成的模型质量分布计算值(三维机械设计软件相关模块计算该值)与边界条件的误差应符合要求。It should be noted that during the flight of the aircraft, the position of the center of mass of the whole aircraft has been changing dynamically with the consumption of fuel and the throwing of the plug-in. It is called the front center of mass of the aircraft, the last position is called the rear center of mass, and the position of the center of mass during cruising flight (half-oil state) is called the center of mass; Called the back centroid. The front/middle/rear centroid of the model is one of the basic boundary conditions in the model design process. The error between the calculated value of the mass distribution of the designed model (the value calculated by the relevant module of the 3D mechanical design software) and the boundary conditions should meet the requirements.
综上所述,由于采用了上述技术方案,本发明的有益效果是:To sum up, due to the adoption of the above-mentioned technical solutions, the beneficial effects of the present invention are:
1、对设计的试验模型和真实飞机的质量分布参数相似实现了闭环控制,提高了试验结果的有效性;1. The closed-loop control is realized for the mass distribution parameters of the designed test model and the real aircraft, which improves the validity of the test results;
2、可有效降低试验模型质量分布参数理论值、设计值、实际值之间的误差和加工难度,提高试验准备效率;2. It can effectively reduce the error and processing difficulty between the theoretical value, design value and actual value of the mass distribution parameters of the test model, and improve the efficiency of test preparation;
3、实用性较强,按本发明的步骤开展立式风洞飞机尾旋试验模型设计,规范了设计流程,降低了设计难度,提高了设计质量。3. It has strong practicability. According to the steps of the present invention, the vertical wind tunnel aircraft tail spin test model design is carried out, the design process is standardized, the design difficulty is reduced, and the design quality is improved.
附图说明Description of drawings
本发明将通过例子并参照附图的方式说明,其中:The invention will be described by way of example and with reference to the accompanying drawings, in which:
图1是本发明立式风洞飞机模型结构示意图。1 is a schematic structural diagram of a vertical wind tunnel aircraft model of the present invention.
具体实施方式Detailed ways
本说明书中公开的所有特征,或公开的所有方法或过程中的步骤,除了互相排斥的特征和/或步骤以外,均可以以任何方式组合。All features disclosed in this specification, or all disclosed steps in a method or process, may be combined in any way except mutually exclusive features and/or steps.
本说明书中公开的任一特征,除非特别叙述,均可被其他等效或具有类似目的的替代特征加以替换。即,除非特别叙述,每个特征只是一系列等效或类似特征中的一个例子而已。Any feature disclosed in this specification, unless expressly stated otherwise, may be replaced by other equivalent or alternative features serving a similar purpose. That is, unless expressly stated otherwise, each feature is but one example of a series of equivalent or similar features.
如图1所示,本实施例的一种立式风洞飞机尾旋试验模型设计方法,包括以下步骤:As shown in FIG. 1 , a method for designing a vertical wind tunnel aircraft spin test model of the present embodiment includes the following steps:
步骤a:确定模型设计的输入参数,包括模拟飞行高度、质量分布参数和依据风洞试验段对阻塞度要求优化的模型相对真实飞机的缩比、需模拟的飞机表面凸起、外挂状态、活动舵面和替换件等;Step a: Determine the input parameters of the model design, including the simulated flight height, mass distribution parameters, and the scale of the model optimized according to the requirements of the wind tunnel test section on the blockage degree relative to the real aircraft, the surface protrusion of the aircraft to be simulated, the state of the plug-in, the activity Rudder surfaces and replacement parts, etc.;
步骤b:根据输入参数中的模拟飞行高度、质量分布参数和模型相对真实飞机的缩比,按照弗劳德数相似准则对模型的质量分布参数进行换算得到试验状态理论值;模型的质量分布参数包括模型质量、沿机身轴线方向的质心位置、围绕模型理论参考质心坐标系各轴的转动惯量,通过以下公式计算:模型质量模型的质心位置转动惯量Step b: according to the simulated flight height in the input parameters, the mass distribution parameters and the scale of the model relative to the real aircraft, according to the Froude number similarity criterion, the mass distribution parameters of the model are converted to obtain the theoretical value of the experimental state; the mass distribution parameters of the model Including the mass of the model, the position of the center of mass along the axis of the fuselage, and the moment of inertia around each axis of the theoretical reference center of mass coordinate system of the model, it is calculated by the following formula: The centroid location of the model Moment of inertia
步骤c:依据步骤b在CATIA设计软件中进行模型结构布局初步设计,立式风洞飞机尾旋试验模型结构布局包括:由加强筋和支撑板组成的机身和机翼骨架、机身中部吊挂组件、活动舵面偏转运动机构、调节全模型分布参数的配重安放机构、模型试验参数测量元器件组件、表面凸起/外挂物/口盖/替换件/起落架/反尾旋伞等的预埋件等;Step c: Carry out the preliminary design of the model structure layout in the CATIA design software according to the step b. The vertical wind tunnel aircraft tail spin test model structure layout includes: the fuselage and the wing frame composed of the stiffener and the support plate, the middle fuselage hanger. Suspension components, movable rudder surface deflection motion mechanism, counterweight placement mechanism for adjusting the distribution parameters of the whole model, component components for model test parameter measurement, surface protrusions / external objects / flaps / replacement parts / landing gear / anti-spin umbrellas, etc. embedded parts, etc.;
步骤d:对所有零件(包括蒙皮)进行选材及密度赋值,并依据密度赋值后的全模型质量分布参数模拟计算的结果,对加强筋、支撑板、配重安放机构、预埋件等的位置、形状和材料,以及模型试验参数测量元器件组件的安放位置等,进行迭代优化设计;将模型结构布局初步设计的模型质量分布参数与试验状态理论值进行比较,并根据差量调整结构布局,反复迭代优化,使两者的差量最终符合误差要求;在无配重情况下,模型质心在机身纵轴方向的位置计算值距理论参考位置误差范围为-20mm~20mm,滚动转动惯量计算值较模型设计要求的转动惯量误差范围为-10%~0,偏航与俯仰转动惯量计算值较模型设计要求的转动惯量误差范围为-20%~-10%,符合以上误差范围时,即认为模型结构设计已最优;Step d: Selecting materials and assigning density to all parts (including skin), and according to the results of the simulation calculation of the mass distribution parameters of the whole model after the density assignment, for the reinforcement ribs, support plates, counterweight placement mechanisms, embedded parts, etc. Position, shape and material, as well as model test parameters, measure the placement position of components and components, etc., to carry out iterative optimization design; compare the model mass distribution parameters of the preliminary design of the model structure layout with the theoretical value of the test state, and adjust the structure layout according to the difference , repeated iterative optimization, so that the difference between the two finally meets the error requirements; in the case of no counterweight, the calculated value of the center of mass of the model in the direction of the longitudinal axis of the fuselage has an error range of -20mm to 20mm from the theoretical reference position, and the rolling moment of inertia The error range of the calculated value is -10% to 0 compared with the moment of inertia required by the model design, and the error range of the calculated value of the yaw and pitch moment of inertia is -20% to -10% compared with the moment of inertia required by the model design. When the above error ranges are met, That is, the model structure design is considered to be optimal;
步骤e:使用Solidworks软件中的“Simulate”模块,或者其它能够进行强度计算的软件,对设计的模型进行关键承力件的强度校核,并依据校核结果进一步优化模型结构设计,关键承力件包括吊挂加强筋、蒙皮翼根部位、骨架的主支撑板等;在试验状态,模型质量、质心位置、转动惯量实际值与试验状态理论值的误差:模型质量为±1%,质心位置为±1mm,转动惯量为±5%;所述关键承力件的试验要求为其最大变形量不超过0.5毫米,安全系数不小于3Step e: Use the "Simulate" module in the Solidworks software, or other software that can perform strength calculation, to check the strength of the key load-bearing parts of the designed model, and further optimize the model structure design according to the check results. The parts include hanging stiffeners, skin wing roots, main support plates of the skeleton, etc.; in the test state, the error between the model mass, center of mass position, the actual value of the moment of inertia and the theoretical value of the test state: the model mass is ± 1%, the center of mass The position is ±1mm, and the moment of inertia is ±5%; the test requirements for the key load-bearing parts are that the maximum deformation does not exceed 0.5mm, and the safety factor is not less than 3
步骤f:重复步骤d和步骤e,直至模型的外形、质量分布参数和关键承力件均符合试验要求。Step f: Repeat step d and step e until the shape, mass distribution parameters and key load-bearing parts of the model meet the test requirements.
下表为某型飞机的质量分布参数:The following table shows the mass distribution parameters of a certain type of aircraft:
下表为对应该型飞机的尾旋试验模型的通过计算得到的质量分布参数:The following table shows the calculated mass distribution parameters corresponding to the spin test model of this type of aircraft:
本发明并不局限于前述的具体实施方式。本发明扩展到任何在本说明书中披露的新特征或任何新的组合,以及披露的任一新的方法或过程的步骤或任何新的组合。The present invention is not limited to the foregoing specific embodiments. The present invention extends to any new features or any new combination disclosed in this specification, as well as any new method or process steps or any new combination disclosed.
| Application Number | Priority Date | Filing Date | Title |
|---|---|---|---|
| CN201911213510.6ACN110889171B (en) | 2019-12-02 | 2019-12-02 | Design method of tail rotor test model of vertical wind tunnel aircraft |
| Application Number | Priority Date | Filing Date | Title |
|---|---|---|---|
| CN201911213510.6ACN110889171B (en) | 2019-12-02 | 2019-12-02 | Design method of tail rotor test model of vertical wind tunnel aircraft |
| Publication Number | Publication Date |
|---|---|
| CN110889171Atrue CN110889171A (en) | 2020-03-17 |
| CN110889171B CN110889171B (en) | 2023-08-18 |
| Application Number | Title | Priority Date | Filing Date |
|---|---|---|---|
| CN201911213510.6AExpired - Fee RelatedCN110889171B (en) | 2019-12-02 | 2019-12-02 | Design method of tail rotor test model of vertical wind tunnel aircraft |
| Country | Link |
|---|---|
| CN (1) | CN110889171B (en) |
| Publication number | Priority date | Publication date | Assignee | Title |
|---|---|---|---|---|
| CN112632698A (en)* | 2020-12-17 | 2021-04-09 | 中国航天空气动力技术研究院 | Design method of virtual flight wind tunnel test model |
| CN112793805A (en)* | 2020-12-29 | 2021-05-14 | 中国航空工业集团公司西安飞机设计研究所 | Full-machine drop-shrink scale model test method |
| CN114419251A (en)* | 2021-12-29 | 2022-04-29 | 中国飞机强度研究所 | A large-scale digital-analog sharing interactive system and method for aircraft strength test |
| CN114861334A (en)* | 2022-07-06 | 2022-08-05 | 航空航天工业沈阳六0一科技装备制造有限公司 | Low-cost pneumatic model construction method for influence of outer hanging objects on elevon |
| CN115828473A (en)* | 2023-02-16 | 2023-03-21 | 湖南云箭科技有限公司 | Airborne foreign object wall thickness calculation method and system with multiple physical parameters as targets |
| CN116739226A (en)* | 2023-08-16 | 2023-09-12 | 中国空气动力研究与发展中心设备设计与测试技术研究所 | A wind tunnel test data quality assessment method based on error propagation |
| CN119720702A (en)* | 2025-03-03 | 2025-03-28 | 中国空气动力研究与发展中心计算空气动力研究所 | Method, device, equipment and medium for constructing mass distribution of structural finite element model of aircraft |
| Publication number | Priority date | Publication date | Assignee | Title |
|---|---|---|---|---|
| CA2491101A1 (en)* | 2003-12-30 | 2005-06-30 | Canadian Space Agency | Zero-g emulating testbed for spacecraft control system |
| CN101819413A (en)* | 2010-03-25 | 2010-09-01 | 中国人民解放军国防科学技术大学 | Variable-radius pitching motion control method and device for large-mass member |
| CN104268399A (en)* | 2014-09-24 | 2015-01-07 | 空气动力学国家重点实验室 | Computing method of model parameters in icing wind tunnel experiment under supercooled large droplet condition |
| CN105021372A (en)* | 2015-08-04 | 2015-11-04 | 中国航天空气动力技术研究院 | Similar design method of wind tunnel free flight model |
| CN105784318A (en)* | 2016-03-04 | 2016-07-20 | 中国空气动力研究与发展中心低速空气动力研究所 | Low-speed wind tunnel model flying experimental system and method |
| CN106081126A (en)* | 2016-06-13 | 2016-11-09 | 王晨 | Bionical cellular active safety escape compartment embeds application and the design of aviation aircraft |
| US20160355252A1 (en)* | 2015-06-05 | 2016-12-08 | Jeremy Straub | Systems and methods for intelligent attitude determination and control |
| CN106768630A (en)* | 2016-11-25 | 2017-05-31 | 中国航空工业集团公司哈尔滨空气动力研究所 | Mono-pendulum type guided missile model rotation inerttia mechanism and its measuring method |
| CN107247839A (en)* | 2017-06-08 | 2017-10-13 | 中国航空工业集团公司哈尔滨空气动力研究所 | A kind of low-speed wind tunnel virtual flight flight test vehicle design methods |
| CN108132134A (en)* | 2017-11-15 | 2018-06-08 | 南京航空航天大学 | Aerodynamic derivative discrimination method and system based on wind tunnel free flight test |
| US10118696B1 (en)* | 2016-03-31 | 2018-11-06 | Steven M. Hoffberg | Steerable rotating projectile |
| CN109272532A (en)* | 2018-08-31 | 2019-01-25 | 中国航空工业集团公司沈阳空气动力研究所 | Model pose calculation method based on binocular vision |
| CN109297666A (en)* | 2018-10-15 | 2019-02-01 | 中国空气动力研究与发展中心高速空气动力研究所 | A kind of stage separation flow tunnel testing device and test method based on two sets of movement mechanisms |
| CN109916589A (en)* | 2019-03-27 | 2019-06-21 | 西北工业大学 | A test method for pressure change characteristics in the air-drop cabin of large-sized objects of transport aircraft |
| CN110186640A (en)* | 2019-06-21 | 2019-08-30 | 中国商用飞机有限责任公司北京民用飞机技术研究中心 | A kind of wing wind tunnel model manufacturing method and wing wind tunnel model |
| CN110309579A (en)* | 2019-06-27 | 2019-10-08 | 复旦大学 | A simulation analysis method and system for elastic aircraft gust response |
| CN110398339A (en)* | 2019-06-28 | 2019-11-01 | 中国航天空气动力技术研究院 | A Method for Determining the Conditions Satisfying the Similarity Law of Multi-level Full Free-flying Wind Tunnel Test |
| Publication number | Priority date | Publication date | Assignee | Title |
|---|---|---|---|---|
| CA2491101A1 (en)* | 2003-12-30 | 2005-06-30 | Canadian Space Agency | Zero-g emulating testbed for spacecraft control system |
| CN101819413A (en)* | 2010-03-25 | 2010-09-01 | 中国人民解放军国防科学技术大学 | Variable-radius pitching motion control method and device for large-mass member |
| CN104268399A (en)* | 2014-09-24 | 2015-01-07 | 空气动力学国家重点实验室 | Computing method of model parameters in icing wind tunnel experiment under supercooled large droplet condition |
| US20160355252A1 (en)* | 2015-06-05 | 2016-12-08 | Jeremy Straub | Systems and methods for intelligent attitude determination and control |
| CN105021372A (en)* | 2015-08-04 | 2015-11-04 | 中国航天空气动力技术研究院 | Similar design method of wind tunnel free flight model |
| CN105784318A (en)* | 2016-03-04 | 2016-07-20 | 中国空气动力研究与发展中心低速空气动力研究所 | Low-speed wind tunnel model flying experimental system and method |
| US10118696B1 (en)* | 2016-03-31 | 2018-11-06 | Steven M. Hoffberg | Steerable rotating projectile |
| CN106081126A (en)* | 2016-06-13 | 2016-11-09 | 王晨 | Bionical cellular active safety escape compartment embeds application and the design of aviation aircraft |
| CN106768630A (en)* | 2016-11-25 | 2017-05-31 | 中国航空工业集团公司哈尔滨空气动力研究所 | Mono-pendulum type guided missile model rotation inerttia mechanism and its measuring method |
| CN107247839A (en)* | 2017-06-08 | 2017-10-13 | 中国航空工业集团公司哈尔滨空气动力研究所 | A kind of low-speed wind tunnel virtual flight flight test vehicle design methods |
| CN108132134A (en)* | 2017-11-15 | 2018-06-08 | 南京航空航天大学 | Aerodynamic derivative discrimination method and system based on wind tunnel free flight test |
| CN109272532A (en)* | 2018-08-31 | 2019-01-25 | 中国航空工业集团公司沈阳空气动力研究所 | Model pose calculation method based on binocular vision |
| CN109297666A (en)* | 2018-10-15 | 2019-02-01 | 中国空气动力研究与发展中心高速空气动力研究所 | A kind of stage separation flow tunnel testing device and test method based on two sets of movement mechanisms |
| CN109916589A (en)* | 2019-03-27 | 2019-06-21 | 西北工业大学 | A test method for pressure change characteristics in the air-drop cabin of large-sized objects of transport aircraft |
| CN110186640A (en)* | 2019-06-21 | 2019-08-30 | 中国商用飞机有限责任公司北京民用飞机技术研究中心 | A kind of wing wind tunnel model manufacturing method and wing wind tunnel model |
| CN110309579A (en)* | 2019-06-27 | 2019-10-08 | 复旦大学 | A simulation analysis method and system for elastic aircraft gust response |
| CN110398339A (en)* | 2019-06-28 | 2019-11-01 | 中国航天空气动力技术研究院 | A Method for Determining the Conditions Satisfying the Similarity Law of Multi-level Full Free-flying Wind Tunnel Test |
| Title |
|---|
| 颜巍;黄灵恩;黎先平;: "大型民用飞机模型Ф5m立式风洞尾旋特性试验研究", 民用飞机设计与研究, no. 01* |
| 颜巍等: "大型民用飞机模型Ф5m立式风洞尾旋特性试验研究", 《民用飞机设计与研究》* |
| 颜巍等: "大型民用飞机模型Ф5m立式风洞尾旋特性试验研究", 《民用飞机设计与研究》, no. 01, 30 March 2017 (2017-03-30)* |
| Publication number | Priority date | Publication date | Assignee | Title |
|---|---|---|---|---|
| CN112632698A (en)* | 2020-12-17 | 2021-04-09 | 中国航天空气动力技术研究院 | Design method of virtual flight wind tunnel test model |
| CN112793805A (en)* | 2020-12-29 | 2021-05-14 | 中国航空工业集团公司西安飞机设计研究所 | Full-machine drop-shrink scale model test method |
| CN114419251A (en)* | 2021-12-29 | 2022-04-29 | 中国飞机强度研究所 | A large-scale digital-analog sharing interactive system and method for aircraft strength test |
| CN114419251B (en)* | 2021-12-29 | 2024-12-20 | 中国飞机强度研究所 | A large-scale digital-analog sharing interactive system and method for aircraft strength test |
| CN114861334A (en)* | 2022-07-06 | 2022-08-05 | 航空航天工业沈阳六0一科技装备制造有限公司 | Low-cost pneumatic model construction method for influence of outer hanging objects on elevon |
| CN114861334B (en)* | 2022-07-06 | 2022-09-02 | 航空航天工业沈阳六0一科技装备制造有限公司 | Low-cost pneumatic model construction method for influence of outer hanging objects on elevon |
| CN115828473A (en)* | 2023-02-16 | 2023-03-21 | 湖南云箭科技有限公司 | Airborne foreign object wall thickness calculation method and system with multiple physical parameters as targets |
| CN116739226A (en)* | 2023-08-16 | 2023-09-12 | 中国空气动力研究与发展中心设备设计与测试技术研究所 | A wind tunnel test data quality assessment method based on error propagation |
| CN119720702A (en)* | 2025-03-03 | 2025-03-28 | 中国空气动力研究与发展中心计算空气动力研究所 | Method, device, equipment and medium for constructing mass distribution of structural finite element model of aircraft |
| CN119720702B (en)* | 2025-03-03 | 2025-05-02 | 中国空气动力研究与发展中心计算空气动力研究所 | Method, device, equipment and medium for constructing mass distribution of structural finite element model of aircraft |
| Publication number | Publication date |
|---|---|
| CN110889171B (en) | 2023-08-18 |
| Publication | Publication Date | Title |
|---|---|---|
| CN110889171B (en) | Design method of tail rotor test model of vertical wind tunnel aircraft | |
| Murua et al. | Assessment of wake-tail interference effects on the dynamics of flexible aircraft | |
| CN104899365A (en) | Helicopter aerodynamic layout optimization method capable of reducing adverse effect of aerodynamic interference | |
| CN105447269A (en) | Non-structural mass trimming method for airplane in steady overload state | |
| CN110990957A (en) | Wing structure weight analysis method in aircraft overload performance design | |
| Zakuan et al. | Modelling and structural analysis of three-dimensional wing | |
| Rasmussen et al. | Joined-wing sensor-craft configuration design | |
| CN111017248A (en) | Static aeroelasticity correction method for airplane wing | |
| Baig et al. | A new methodology for aerodynamic design and analysis of a small scale blended wing body | |
| Kumar et al. | Static & dynamic analysis of a typical aircraft wing structure using Msc Nastran | |
| CN113449375A (en) | Semi-analytic calculation method for fatigue life of composite material blade | |
| Yang et al. | Aeroelastic trim and flight loads analysis of flexible aircraft with large deformations | |
| Supekar | Design, analysis and development of a morphable wing structure for unmanned aerial vehicle performance augmentation | |
| Sharpe et al. | Tailerons for Aeroelastic Stability and Control of Flexible Wings | |
| CN103577649B (en) | The defining method of cargo hold floor load when transport class aircraft cargo drops | |
| El Haddad | Aerodynamic and structural design of a winglet for enhanced performance of a business jet | |
| Mauermann | Flexible aircraft modelling for flight loads analysis of wake vortex encounters | |
| Boffadossi et al. | Analysis on aerodynamic characteristics of a paraglider airfoil | |
| Takahashi et al. | Prediction of wing structural mass for transport category aircraft conceptual design | |
| Stephan et al. | Influence of dynamic flap movement on maximum lift and wake vortex evolution | |
| Brooks et al. | UCRM: an aerostructural model for the study of flexible transonic aircraft wings | |
| Valenti et al. | Design of Curvilinear Ribs and Spars for Wings using 1D Loading Distributions | |
| Immanuvel et al. | Stress analysis and weight optimization of a wing box structure subjected to flight loads | |
| Voß | Comparison between VLM and CFD maneuver loads calculation at the example of a flying wing configuration | |
| Traub et al. | Experimental investigation of a morphable biplane |
| Date | Code | Title | Description |
|---|---|---|---|
| PB01 | Publication | ||
| PB01 | Publication | ||
| SE01 | Entry into force of request for substantive examination | ||
| SE01 | Entry into force of request for substantive examination | ||
| GR01 | Patent grant | ||
| GR01 | Patent grant | ||
| CF01 | Termination of patent right due to non-payment of annual fee | Granted publication date:20230818 | |
| CF01 | Termination of patent right due to non-payment of annual fee |