Movatterモバイル変換


[0]ホーム

URL:


CN110866206B - Data update setting method and device - Google Patents

Data update setting method and device
Download PDF

Info

Publication number
CN110866206B
CN110866206BCN201810983052.3ACN201810983052ACN110866206BCN 110866206 BCN110866206 BCN 110866206BCN 201810983052 ACN201810983052 ACN 201810983052ACN 110866206 BCN110866206 BCN 110866206B
Authority
CN
China
Prior art keywords
expiration time
exploration
ticket
information
ticket information
Prior art date
Legal status (The legal status is an assumption and is not a legal conclusion. Google has not performed a legal analysis and makes no representation as to the accuracy of the status listed.)
Active
Application number
CN201810983052.3A
Other languages
Chinese (zh)
Other versions
CN110866206A (en
Inventor
杨硕
刘佳男
叶峰
Current Assignee (The listed assignees may be inaccurate. Google has not performed a legal analysis and makes no representation or warranty as to the accuracy of the list.)
Alibaba Group Holding Ltd
Original Assignee
Alibaba Group Holding Ltd
Priority date (The priority date is an assumption and is not a legal conclusion. Google has not performed a legal analysis and makes no representation as to the accuracy of the date listed.)
Filing date
Publication date
Application filed by Alibaba Group Holding LtdfiledCriticalAlibaba Group Holding Ltd
Priority to CN201810983052.3ApriorityCriticalpatent/CN110866206B/en
Publication of CN110866206ApublicationCriticalpatent/CN110866206A/en
Application grantedgrantedCritical
Publication of CN110866206BpublicationCriticalpatent/CN110866206B/en
Activelegal-statusCriticalCurrent
Anticipated expirationlegal-statusCritical

Links

Images

Classifications

Landscapes

Abstract

The embodiment of the application provides a data updating setting method and device, so that the accuracy of ticket information caching is improved. The method comprises the following steps: after the caching time of the ticket information is over, determining the expiration time according to the caching updating stage and the ticket information; and setting the expiration time as the caching expiration time of the ticket information. The expiration time of the cache is automatically adjusted, so that the ticket information in the cache can be updated in time, and the accuracy of the ticket information is improved.

Description

Data update setting method and device
Technical Field
The present disclosure relates to the field of computer technologies, and in particular, to a data update setting method, a data update setting apparatus, an electronic device, and a storage medium.
Background
With the development of science and technology, the life of a user is more and more convenient, for example, the user can inquire and purchase ticket information of movie tickets, airplane tickets, train tickets and the like of various merchants on a network platform.
The price, the quantity and the like in the ticket information of the merchant are continuously updated, and in the case of airplane tickets, the inquiry price at different time, the quantity of the remaining airplane tickets and the like can be different. When a user inquires an air ticket on a network platform, if the given ticket information is inaccurate, the problem that the user fails after clicking to buy the ticket occurs. Therefore, the network platform needs to update the ticket information on the network platform, the change of ticket price, amount and other ticket information by the selling merchant is not actively pushed to the network platform, the network platform needs to obtain various ticket information from each merchant, and the ticket information cannot be updated in real time due to resource limitation, and the ticket information is usually cached in the platform for feedback.
Therefore, one technical problem that needs to be solved by those skilled in the art is: how to improve the accuracy of ticket information caching.
Disclosure of Invention
The embodiment of the application provides a data updating and setting method, so that the accuracy of ticket information caching is improved.
Correspondingly, the embodiment of the application also provides a data updating and setting device, electronic equipment and a storage medium, which are used for ensuring the realization and application of the device.
In order to solve the above problem, an embodiment of the present application discloses a data update setting method, where the method includes: after the caching time of the ticket information is over, determining the expiration time according to the caching updating stage and the ticket information; and setting the expiration time as the cache expiration time of the ticket information.
Optionally, the determining the expiration time according to the cache update stage and the ticket information includes: extracting state information of the ticket information, and determining a cache updating stage according to the exploration rate; and determining the corresponding expiration time of the state information according to the cache updating stage.
Optionally, the determining the expiration time corresponding to the status feature according to the cache update stage includes: determining the expiration time corresponding to the state information according to the exploration rate when the cache is in a first cache updating stage; and when the cache is in the second cache updating stage, acquiring the expiration time corresponding to the state information from an expiration time table.
Optionally, the determining an expiration time corresponding to the state information according to the exploration rate includes: generating a random number, and judging whether the random number is greater than the exploration rate; if the random number is larger than the exploration rate, acquiring the expiration time of the state information corresponding to the maximum action value in the first cache updating stage; and if the random number is not greater than the exploration rate, randomly acquiring the expiration time corresponding to the state information in the first cache updating stage.
Optionally, the obtaining of the expiration time corresponding to the state information from the expiration time table includes: and inquiring the action value corresponding to the state information in an expiration time table to obtain the expiration time corresponding to the maximum action value.
Optionally, the method further includes: and at the first cache updating stage, calculating an action value of the state information corresponding to the expiration time, and filling the action value into the expiration time table.
Optionally, the calculating an action value of the state information corresponding to the expiration time includes: after one round of exploration learning stage is finished, calculating the error rate of the state information corresponding to the expiration time, and calculating the action value corresponding to the expiration time according to the error rate, wherein one round of exploration learning stage corresponds to one expiration time.
Optionally, the method further includes: recording exploration times and error rate parameters according to the access to the ticket source in a round of exploration learning phase, wherein the error rate parameters comprise: opening times of the ticket information page and changing times of the ticket information; and determining that the exploration learning phase of the round is ended after the exploration times reach an exploration threshold value.
Optionally, the method further includes: judging whether the caching time of the ticket information is expired or not according to the ticket inquiry request; and if the caching time of the ticket information is expired, acquiring updated ticket information by accessing a ticket source.
The embodiment of the application also discloses a data update setting device, the device include: the expiration time determining module is used for determining the expiration time according to the cache updating stage and the ticket information after the cache time of the ticket information is expired; and the expiration time setting module is used for setting the expiration time as the caching expiration time of the ticket information.
Optionally, the expiration time determining module includes: the extraction submodule is used for extracting the state information of the ticket information; the stage determining submodule is used for determining a cache updating stage according to the exploration rate; and the time determining submodule is used for determining the expiration time corresponding to the state information according to the cache updating stage.
Optionally, the time determining sub-module includes: the first determining unit is used for determining the corresponding expiration time of the state information according to the exploration rate when the cache is in a first cache updating stage; and the second determining unit is used for acquiring the expiration time corresponding to the state information from the expiration time table when the cache is in the second cache updating stage.
Optionally, the first determining unit is configured to generate a random number, and determine whether the random number is greater than the exploration rate; if the random number is larger than the exploration rate, acquiring the expiration time of the state information corresponding to the maximum action value in the first cache updating stage; and if the random number is not greater than the exploration rate, randomly acquiring the expiration time corresponding to the state information in the first cache updating stage.
Optionally, the second determining unit is configured to query the action value corresponding to the state information in an expiration time table, and obtain the expiration time corresponding to the maximum action value.
Optionally, the method further includes: and the exploration module is used for calculating an action value of the state information corresponding to the expiration time at the first cache updating stage and filling the action value into the expiration time table.
Optionally, the exploration module includes: and the calculating submodule is used for calculating the error rate of the state information corresponding to the expiration time after the round of exploring learning stage is finished, and calculating the action value corresponding to the expiration time according to the error rate, wherein the round of exploring learning stage corresponds to one expiration time.
Optionally, the exploration module further includes: the learning submodule is used for recording exploration times and error rate parameters according to the access records of ticket sources in a round of exploration learning phase, wherein the error rate parameters comprise: opening times of a page of the ticket information and changing times of the ticket information; and determining that the exploration learning phase of the round is ended after the exploration times reach an exploration threshold value.
Optionally, the method further includes: the judging module is used for judging whether the caching time of the ticket information is expired or not according to the ticket inquiry request; and the ticket source access module is used for acquiring the updated ticket information by accessing the ticket source after the caching time of the ticket information is over.
The embodiment of the application also discloses an electronic device, which comprises: a processor; and a memory having executable code stored thereon, which when executed, causes the processor to perform a data update setting method as described in one or more of the embodiments of the present application.
One or more machine-readable media having stored thereon executable code that, when executed, causes a processor to perform a data update setup method as described in one or more of the embodiments of the present application are also disclosed.
Compared with the prior art, the embodiment of the application has the following advantages:
in the embodiment of the application, after the caching time of the ticket information is over, the expiration time can be determined according to the caching updating stage and the ticket information, and then the expiration time is set as the caching expiration time of the ticket information, so that the caching expiration time is automatically adjusted, the ticket information in the caching can be updated in time, and the accuracy of the ticket information is improved.
Drawings
FIG. 1 is a flowchart illustrating steps of an embodiment of a data update setting method according to the present application;
FIG. 2 is a flow chart of steps in an embodiment of expiration time exploration in an embodiment of the present application;
FIG. 3 is a flow chart of steps in another embodiment of a data update setup method of the present application;
FIG. 4 is a block diagram of an embodiment of a data update setting apparatus according to the present application;
FIG. 5 is a block diagram of another embodiment of a data update setting apparatus according to the present application;
FIG. 6 is a block diagram of a time determination submodule in another embodiment of a data update setting apparatus according to the present application;
fig. 7 is a schematic structural diagram of an apparatus according to an embodiment of the present application.
Detailed Description
In order to make the aforementioned objects, features and advantages of the present application more comprehensible, the present application is described in further detail with reference to the accompanying drawings and the detailed description.
The bill is a voucher, and many activities in life need the bill as a certificate, for example, train ticket is needed when taking a train, airplane ticket is needed when taking a plane, movie ticket is needed when watching a movie, and the bill can be generated by printing, writing, electronic and other modes. The ticket information refers to information related to the ticket, such as time information, travel information, price information, quantity information, and the like. Taking an airplane ticket as an example, the ticketing information can be the travel information of the departure point + the destination, the time information of the departure time, the price and the quantity of the airplane ticket, and the like.
At present, many tickets support network ordering, but the tickets are not necessarily from one ticket source, for example, movie tickets are provided by different cinemas, airline tickets are provided by different airlines, a third-party platform is provided for ticket purchasing in order to facilitate user shopping, and a user can inquire ticket information provided by servers of different ticket sources on the third-party platform and purchase the tickets. The third-party platform acquires the ticket information from the servers of different ticket sources, wherein the servers of the ticket sources do not actively push the change of the ticket information and need to be actively acquired by the third-party platform, and the third-party platform generally caches the ticket information and feeds the ticket information back when a user inquires. However, if there is a difference between the cached ticket information and the real-time ticket information in the ticket source, for example, there is no ticket in the ticket source, but the cached ticket information shows that there is a ticket, or the two ticket prices are inconsistent, there is a problem that the user may fail to purchase the ticket in the process of purchasing the ticket information after inquiring the ticket information. In order to reduce the occurrence of such problems, the third-party platform sets the cache expiration time of the ticket information, wherein different ticket information may correspond to different cache expiration times, and may be set according to parameters of each ticket information, for example, the cache expiration time of an airline ticket may be set according to the number of days of departure, the number of remaining tickets, and the like. The cache expiration time can be used for judging the validity of the cached ticket information, if the cache expiration time is not exceeded (unexpired), the ticket information is valid, and if the cache expiration time is exceeded (expired), the ticket information is invalid. Therefore, the accuracy of the ticket information can be improved by reasonably setting the cache expiration time.
Referring to fig. 1, a flowchart illustrating steps of an embodiment of a data update setting method according to the present application is shown.
And 102, after the caching time of the ticket information is over, determining the expiration time according to the caching updating stage and the ticket information.
Andstep 104, setting the expiration time as the cache expiration time of the ticket information.
The embodiment of the application can determine the expiration time based on the cache updating stage and the ticket information, and the expiration time is used as the cache expiration time of the ticket information. Therefore, in the processes of user inquiry, automatic cache inquiry and the like, if the cache time of the ticket information is inquired to be expired, the cache updating stage can be determined, the expiration time can be determined according to the cache updating stage and the ticket information, and then the expiration time is set as the cache expiration time of the ticket information.
Therefore, the cache expiration time can be reasonably adjusted in different stages, the effectiveness of the cached ticket information is accurately measured, the accuracy of the ticket information is improved, and the failure problem of the user in the ticket purchasing process is further reduced.
In this embodiment of the present application, the cache update stage includes: the method comprises a first cache updating stage and a second cache updating stage, wherein the first cache updating stage can be understood as an exploration stage, and the expiration times of various ticket information are explored in the first cache updating stage; the second cache update phase may be understood as a use phase or a utilization phase, and the expiration time is set by the exploration result of the first cache update phase. The first cache update stage and the second cache update stage may be determined according to the exploration rate. The search rate is a probability of executing the expiration time search, and may be set before [0,1], and when the search rate is greater than 0, it indicates that there is a certain probability of performing the search. When the search rate =0, it indicates that the search is completed, and the utilization stage can be entered. The cache update phase may thus be determined based on the probe rate, being in a first cache update phase when the probe rate >0 and in a second cache update phase when the probe rate =0.
Different ticketing information has different expiration times, e.g., airline tickets that are shorter in distance from the departure time are generally more susceptible to change than airline tickets that are longer in distance from the departure time. Therefore, the state information of the ticket information can be determined, and corresponding expiration time can be set for the ticket information of different state information, wherein the state information refers to the state of the ticket corresponding to the ticket information, and the time for starting (or leaving), the number of remaining tickets and the like can be determined according to the distance. The state information of the ticket information can be extracted according to corresponding features, for example, according to inquired travel time, and if the air ticket is characterized by the air ticket flying from the place A to the place B on the departure date, the corresponding number of days and the number of remaining tickets extracted from the departure can be extracted as the state information. Thus obtaining the ticket information of the airline tickets, such as the flight number, the takeoff time, the number of the remaining tickets, the price of the airline tickets, and the like of the corresponding airline company.
In the first cache updating stage, the expiration time of ticket information corresponding to various state information can be explored. The expiration time of the ticket information is related to the status information and thus may be explored based on the status information. The search for the ticket information from the ticket source is called a search, and the search is performed for a plurality of times in a round of search learning stage, and the number of search times corresponding to the round of search learning stage can be determined according to a search threshold. And when the exploration frequency reaches an exploration threshold value, a round of exploration learning stage of the state information is determined to be completed, and then calculation is carried out based on various parameters of the ticket information, so that the exploration of the expiration time is realized.
In the first cache updating stage, an action value of the state information corresponding to the expiration time may be calculated and filled in the expiration time table. Recording exploration times and error rate parameters according to the access to the ticket source in a round of exploration learning phase, wherein the error rate parameters comprise: opening times of the ticket information page and changing times of the ticket information; and determining that the exploration learning phase of the round is ended after the exploration times reach an exploration threshold value. Then, the calculating the action value of the state information corresponding to the expiration time includes: after one round of exploration learning phase is finished, calculating the error rate of the state information corresponding to the expiration time, and calculating the action value corresponding to the expiration time according to the error rate, wherein one round of exploration learning phase corresponds to one expiration time.
For an embodiment of exploring the expiration time of ticket information, the flowchart of the steps of the embodiment of exploring the expiration time shown in fig. 2:
after the time for caching the ticket information expires, the corresponding ticket information may be queried from the ticket source, and the status information of the ticket information may be extracted instep 202. The corresponding state information can be extracted according to the characteristics of the ticket information, for example, for an airline ticket, a train ticket and the like, the number of days and the number of remaining tickets away from a departure date can be extracted according to the inquired travel time to serve as the state information, and for a movie ticket, the departure time, the field number, the ticket price and the like can be determined according to the movie name and the date to serve as the state information.
Then, instep 204, it is determined whether the exploration learning phase corresponding to the state information has already started. If not, an expiration time may be randomly set instep 206, and an exploration learning phase corresponding to the state information may be started. If yes, instep 208, the expiration time corresponding to the status information in the exploration learning phase is obtained. Afterstep 206 or step 208,step 210 may be executed to update the number of exploration times, that is, the total number of exploration times is counted by +1 for each exploration of the ticket information corresponding to the feature state. After the cache time expires, performing exploration once when the ticket information corresponding to the state information is inquired by the ticket source.
The returned ticket information may be obtained based on the query to the ticket source, so that instep 212, it is determined whether the ticket information has been changed before and after the query, i.e., whether the ticket information returned by the ticket source is consistent with the previously cached ticket information. If so, then the variable-price times are updated instep 214, and the variable-price times can be +1; if no change has occurred orstep 214 is completed, the page open count is updated instep 216, and the page open count may be +1. Wherein, the change times refer to the times of change before and after the ticket information inquiry; the opening times of the page refers to the opening times of the ticket purchasing page corresponding to the ticket information in the inquiry page. The page open times are less than or equal to the explore times.
Then, instep 218, it is determined whether the number of exploration times reaches a threshold value; if the threshold value is not reached, the exploration learning can be finished; if the threshold is reached, the heuristic learning phase for the expiration time under the state information is ended, and the error rate of the heuristic learning phase may be calculated instep 220. Where the error rate errorRate = change times X/page open times Y.
Then, instep 222, an action value corresponding to the expiration time may be calculated according to the error rate calculation, and the expiration time table may be updated according to the action value, for example, the status information, the action value corresponding to the expiration time, and the error rate are filled in the expiration time table.
When the expiration time corresponding to the ticket information is searched, the Q value of each expiration time is searched for each state information (state), so that the reasonable expiration time corresponding to the state information is determined. If a round of exploration learning is performed for an expiration Time, the round of exploration learning can be regarded as an action of an exploration action for the expiration Time, the expiration Time can be represented as TTL (Time To Live), and an example of updating the expiration schedule is as follows:
firstly, the state information state and the expiration time TTL of the ticket information can be set when exploring under the application scene. For example, in an exploration scenario for airline ticket expiration time, the state information may include: the distance departure days and the minimum remaining number of the travel tickets, wherein the distance departure days refer to the days from the departure day of the inquiry day, and the travel refers to the departure place + the arrival place, such as the travel from Beijing to Shanghai. The minimum remaining ticket number of the journey refers to the minimum remaining ticket number of a plurality of flights from a departure place to an arrival place on a certain day, for example, when two flights are started from beijing-shanghai-20180501, 2 remaining tickets are left on one flight, and 9 remaining tickets are left on the other flight, the minimum remaining ticket number of the journey from beijing-shanghai-20180501 is 2.
A certain value can be preset for the state information, so that a certain value range of the state information can be set, and the exploration of the corresponding expiration time of the state information is facilitated. For example: the distance from the starting days can be selected from the values of 0-1,2-3,4-5,6-7,8-9,10-11,12-13,14-15,16-20,21-30,31-45,46-; the minimum number of the remaining tickets of the travel is taken as [1,2-3,4-5,6-9,10- ]. Of course, the determination may also be determined based on a specific scenario, which is not limited in the embodiment of the present application.
The state information can be represented as the minimum remaining ticket number from the departure days to the journey in the exploration phase, taking the value of the set state information as an example: assuming that the query date is 20180501, the journey is Beijing-Shanghai, and the departure date is 20180501, the distance-to-departure days are 0-1, and assuming that the number of the most xiao Yu tickets is 1, the corresponding state information can be set to 0-1_1. If the query day is 20180501, the journey is Beijing-Shanghai, and the departure day is 20180503, the distance-to-departure days are 2-3, and if the minimum number of remaining tickets is 9, the corresponding state information can be set to be 2-3_6-9.
And outputting the corresponding time-to-live TTL aiming at the exploration action. A corresponding TTL value may be set for an exploration action, so that an exploration action may explore an expiration time TTL, and certainly, the TTL value of the exploration action may not be preset, but may be determined based on a specific scenario, which is not limited in the embodiment of the present application. An example of the TTL value of the exploration action is [28800,14400,7200,3600,1800,900,450], which may be set to a value within a certain range or continuously.
The embodiment of the application can balance error rate and call amount according to reward and punishment function reward function, wherein:
error rate errorRate = change times X/page open times Y
reward=f1(errorRate)+f2(TTL)
The reward and punishment parameter reward is a balance between an error rate and a call amount, f1 and f2 can be determined according to a specific ticket source, for example, for the exploration of an airplane ticket, f1 and f2 can be determined according to an airline department. The specific definitions of f1 and f2 in the reward and penalty function are as follows:
f1(errorRate)=-errorRate
f2(TTL)=actionList.indexOf(TTL)*punishFactor
then reward = f1 (errorRate) + f2 (TTL) = -errorRate + actionlist
indiexOf (TTL) is corresponding to the value of the expiration time TTL of the exploration action, punishFactor is a penalty factor of the call volume, and if punishFactor = -0.01, the TTL is reduced by 1/2 (for example, the TTL value is from 28800 to 14400) every time, the error rate needs to be reduced by more than 1% to be economical, and the error rate can be reduced by at least 1% if a smaller level of TTL is needed.
In one example, assuming punishFactor = -0.01, when TTL =450, the error rate errorRate is 0.02; when TTL =3600, the error rate errorRate is 0.04
When TTL =450, the corresponding reward and punishment parameter reward = f1 (0.02) + f2 (450) = -0.02+6 (= -0.01) = -0.08 +
Then TTL =3600, the corresponding reward and punishment parameter reward = f1 (0.04) + f2 (3600) = -0.04+3 (= -0.01) = -0.07
The reward and punishment function in the above example is a distance of the reward and punishment function, and other strategies can be adopted to balance the modulation amount and the error rate in actual processing, which is not limited in the embodiment of the present application.
In the embodiment of the application, after the ticket information is expired and inquired to the ticket source, the ticket information is explored, so that the exploration can be understood as counting error rate of corresponding expiration time of the ticket information. Since the purpose of the exploration is to count the error rate of the expiration time, for the ticket information, it is necessary to perform multiple explorations according to the status information to obtain the corresponding error rate, for example, the error rate may be the error rate of (status information, expiration time). Therefore, a certain exploration threshold value can be set, a round of exploration learning is finished after the exploration times reach the exploration threshold value, and then the error rate, the reward and punishment parameters and the corresponding action values are calculated. In the embodiment of the present application, the action value refers to the desire to perform an action under the state information, that is, the desire to set the expiration time under the state information.
In a round of exploration learning, the state information can be extracted based on the characteristics of the ticket business information, and the specific state value extracted by the characteristics may change. Taking airline tickets as an example, the status information is determined to be the distance departure days _ minimum remaining ticket number based on the journey of the query day. The distance departure days determined according to the query day in the exploration process are not changed, but the minimum remaining ticket number corresponding to the journey is possibly changed, namely when the state information is extracted according to the characteristics in the exploration process, the extracted state values are possibly different. Therefore, in one round of exploration learning, the number of times of change or transition of a state value is recorded by taking the state value as a reference, and an action value corresponding to the expiration time is calculated based on the state value, the transition of the state value, the error rate and the like.
When calculating the action value of the expiration time, it is necessary to calculate by weighting different state values to be transferred, where the state value transfer weight W = number of times of transferring to the state/total number of state transfers. For example, in a round of search learning process, a reference state value 0-1_6-9 of state information is searched, and assuming that the search threshold is 50 times, if 10 times of transition to a state value 0-1_1, 20 times of transition to a state value 0-1_4-5, and 20 times of transition to a reference state value (no change in state value), the weight W1=10/50=0.2 of transition to a state value 0-1_1 is assumed; weight W2=20/50=0.4 transitioning to state value 0-1_4-5; the weight W0=20/50=0.4 shifted to the reference state value, i.e., not shifted.
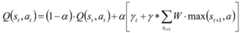
Then, the action value corresponding to the expiration time is calculated in a round of search learning, for example, Q-learning for reinforcement learning,
Figure BDA0001779066190000111
wherein s is a state parameter state, a is an exploration action, the value is an expiration time TTL, r is a reward and punishment parameter reward, alpha is a learning rate, and s ist Is a state value of the state parameter state, and W is a transition to state value st+1 The weight of (c).
In the above example, the Q-Learning technique for reinforcement Learning is taken as an example, in the actual processing, the expiration time may also be determined based on other manners, for example, a DQN (Deep Q-Learning) algorithm based on Deep reinforcement Learning, an A3C (Asynchronous adaptive access-critical) algorithm, and the like, to perform training of the expiration time corresponding strategy.
The calculated action value may then be updated to an expiration schedule. The parameters in the expiration schedule in the embodiments of the present application may include: the state information, the expiration time TTL, the error rate corresponding to the expiration time TTL, the corresponding action value and the like.
In the first cache updating stage, the expiration time of the ticket information corresponding to each state parameter is explored, so that the expiration time table can be continuously updated, and the accuracy of the expiration time is improved.
The switching of the cache updating stage is determined according to an exploration rate, the exploration rate can be manually adjusted, and can also be adjusted according to experience, rules and the like, for example, when the user queries for multiple orders and fails, or when the user queries for multiple times, the cached ticket information is overdue, and if the user queries for multiple times after the cached ticket information is overdue, the ticket information is changed, and the like, the adjustable exploration rate is greater than 0, so that the first cache updating stage is entered; if the action values corresponding to the expiration times TTL are stably obtained in a plurality of learning stages, the exploration rate may be adjusted to 0, and the second cache update stage is entered. In the second cache update phase, the required expiration time table is obtained, so that the required expiration time can be directly inquired according to the expiration time table.
The exploration phase (first cache update phase) and the utilization phase (second cache update phase) of the embodiments of the present application may be performed on-line. When a user accesses a third-party platform to inquire ticket information, aiming at the condition that the cached ticket information is expired, inquiring latest ticket information from a ticket source, and setting the cached expiration time.
Referring to fig. 3, a flow chart of steps of another embodiment of a data update setting method of the present application is shown, which may include at least the following steps:
step 302, a ticket query request is received.
The user can access the third-party platform, then inputs the search information of the ticket information required to be inquired on the page of the platform, and can generate a ticket inquiry request based on the search information and return the ticket inquiry request to the server of the third-party platform.
And step 304, judging whether the caching time of the ticket information is expired or not according to the ticket inquiry request.
The third party platform may determine search information based on the ticket query request and then determine the required ticket information based on the search information. The third-party platform stores ticket information of different ticket sources, can store the ticket information in the cache device, and then obtains corresponding ticket information from the cache after receiving a ticket inquiry request. However, if the cache expiration time of the ticket information, that is, the valid time of the ticket information, is set in the cache, and if the cache time of the ticket information expires (the ticket information is invalid), the data directly returned may be inaccurate, and the setting may cause the subsequent ticket booking failure of the user. Therefore, when the ticket information is inquired in the cache, whether the cache time of the ticket information is expired or not is judged, namely whether the cache expiration time of the ticket information is exceeded or not is judged.
For example, when a flight flying from beijing to shanghai is queried at 20180501, all ticket information with a date of 20180501, an origin of beijing, and a destination of shanghai can be obtained as ticket information, the ticket information may come from different airlines, and corresponding valid times may be different, so that cache expiration times of the ticket information can be detected, and invalid ticket information can be determined.
If yes, the buffer time is expired, and step 308 is executed; if not, i.e. the buffer time is not expired, go to step 306.
Step 306, obtaining corresponding ticket information from the cache.
If the caching time of the ticket information is not expired, the corresponding ticket information can be obtained from the cache, and then a corresponding query result page is generated and returned to be displayed to the user.
Step 308, obtaining updated ticketing information by accessing a ticketing source.
If the caching time of the ticket information is expired, the server of the ticket source can be accessed through the access interface corresponding to the ticket source, the returned ticket information is acquired through the access interface, a corresponding query result page is generated according to the ticket information, and the query result page is returned and displayed to the user.
Step 310, determine the cache update phase.
When the access interface of the ticket source is called, the update setting of the expiration time corresponding to the ticket information is also triggered. Therefore, the state information of the ticket information can be extracted firstly, wherein the characteristics can be determined according to the ticket inquiry request, and then the corresponding state information is extracted based on the characteristics. And acquiring the exploration rate, and then judging the current cache updating stage according to the exploration rate. Therefore, the corresponding expiration time of the state information can be determined according to the cache updating stage.
If the second cache update stage is true, go to step 312; if the first cache update stage is true, go to step 314.
Step 312, obtaining the expiration time corresponding to the status information from the expiration time table.
If the cache is in the second cache updating stage, the expiration time corresponding to the state information can be inquired from the expiration time table, wherein the action value corresponding to the state information is inquired in the expiration time table, and the expiration time corresponding to the maximum action value is obtained. According to the state value corresponding to the state information, each action value corresponding to the state value can be inquired, then the maximum action value is determined, and the expiration time corresponding to the maximum action value is obtained.
And step 314, determining the expiration time corresponding to the state information according to the exploration rate.
If the current exploration rate is in the first cache updating stage, the corresponding expiration time of the state information can be determined according to the current exploration rate, so that different expiration times can be determined according to different exploration rates. Wherein, the determining the expiration time corresponding to the state information according to the exploration rate includes: generating a random number, and judging whether the random number is greater than the exploration rate; if the random number is larger than the exploration rate, acquiring the expiration time of the state information corresponding to the maximum action value in the first cache updating stage; and if the random number is not greater than the exploration rate, randomly acquiring the expiration time corresponding to the state information in the first cache updating stage.
In the embodiment of the present application, when the cache is in the first cache update stage, a random number may be generated, and the value of the random number may be taken within the same range as the exploration rate, for example, the value of both the random number and the exploration rate is taken before [0,1 ]. It may then be determined whether the random number is greater than the exploration rate. If the random number is larger than the exploration rate, inquiring an expiration time table in the first cache updating stage, then determining the maximum action value corresponding to the state information from the table, and acquiring the expiration time corresponding to the maximum action value. If the random number is not greater than the exploration rate, the expiration time corresponding to the state information may be randomly determined in the first cache update stage, for example, the expiration time corresponding to the state information is randomly obtained in an expiration time table, or for example, the expiration time of the exploration learning stage is used as the expiration time corresponding to the state information.
And step 316, setting the expiration time as the caching expiration time of the ticket information.
After the expiration time corresponding to the state information is determined, the expiration time can be set as the cache expiration time corresponding to the ticket information in the cache, so that the cache expiration time can be dynamically adjusted, the ticket information in the cache can be updated in time, and the accuracy of the ticket information is improved.
In the embodiment of the application, the relation between the modulation amount and the error rate can be more intuitively controlled through a reinforcement learning technology and a reinforcement learning method based on the reward and punishment function balanced by the modulation amount and the error rate, and then the strategy for adjusting the TTL value of the expiration time is controlled.
It should be noted that, for simplicity of description, the method embodiments are described as a series of acts or combination of acts, but those skilled in the art will recognize that the embodiments are not limited by the order of acts described, as some steps may occur in other orders or concurrently depending on the embodiments. Further, those skilled in the art will also appreciate that the embodiments described in the specification are presently preferred and that no particular act is required of the embodiments of the application.
On the basis of the foregoing embodiments, the present embodiment further provides a data update setting apparatus, which is applied to a device of a platform, such as a server of the platform.
Referring to fig. 4, a block diagram of a structure of an embodiment of a data update setting apparatus according to the present application is shown, which may specifically include the following modules:
an expiration time determining module 402, configured to determine an expiration time according to the cache updating stage and the ticket information after the cache time of the ticket information expires.
An expiration time setting module 404, configured to set the expiration time as a cache expiration time of the ticket information.
In summary, in the embodiment of the present application, after the caching time of the ticket information expires, the expiration time may be determined according to the caching update stage and the ticket information, and then the expiration time is set as the caching expiration time of the ticket information, so as to automatically adjust the caching expiration time, enable the ticket information in the cache to be updated in time, and improve the accuracy of the ticket information.
Referring to fig. 5, a block diagram of another embodiment of the data update setting apparatus according to the present application is shown, and specifically, the apparatus may include the following modules:
the judging module 406 is configured to judge whether the cache time of the ticket information is expired according to the ticket query request;
the ticket source accessing module 408 is configured to obtain updated ticket information by accessing the ticket source after the cache time of the ticket information expires.
An expiration time determining module 402, configured to determine an expiration time according to the cache updating stage and the ticket information after the cache time of the ticket information expires.
An expiration time setting module 404, configured to set the expiration time as a cache expiration time of the ticket information.
The exploration module 410 is configured to calculate an action value of the state information corresponding to the expiration time at the first cache update stage, and fill the action value in the expiration time table.
Wherein the expiration time determining module 402 includes: an extraction sub-module 4022, a stage determination sub-module 4024, and a time determination sub-module 4026, wherein:
the extracting sub-module 4022 is configured to extract status information of the ticket information.
The stage determining sub-module 4024 is configured to determine a cache update stage according to the exploration rate.
The time determining submodule 4026 is configured to determine an expiration time corresponding to the state information according to the cache update stage.
Referring to fig. 6, a block diagram of a time determination submodule in another embodiment of the data update setting apparatus of the present application is shown.
The time determination sub-module 4026 includes:
a first determining unit 40262, configured to determine an expiration time corresponding to the state information according to the exploration rate when the cache is in a first cache update stage;
the second determining unit 40264 is configured to acquire the expiration time corresponding to the status information from the expiration time table when the cache is in the second cache update stage.
The first determining unit 40262 is configured to generate a random number, and determine whether the random number is greater than the exploration rate; if the random number is larger than the exploration rate, acquiring the expiration time of the state information corresponding to the maximum action value in the first cache updating stage; and if the random number is not greater than the exploration rate, randomly acquiring the expiration time corresponding to the state information in the first cache updating stage.
The second determining unit 40264 is configured to query the action value corresponding to the status information in an expiration time table, and obtain the expiration time corresponding to the maximum action value.
The exploration module 410 includes: a computation submodule 4102 and a learning submodule 4104, wherein:
the calculating submodule 4102 is configured to calculate an error rate of the state information corresponding to the expiration time after a round of exploring learning stage is finished, and calculate an action value corresponding to the expiration time according to the error rate, where the round of exploring learning stage corresponds to an expiration time.
A learning sub-module 4104, configured to record, in a round of exploration learning phase, exploration times and error rate parameters according to accesses to a ticket source, where the error rate parameters include: opening times of the ticket information page and changing times of the ticket information; and determining that the exploration learning phase of the round is ended after the exploration times reach an exploration threshold value.
The error rate and the call volume can be balanced according to a reward and punishment function, wherein:
error rate errorRate = change times X/page open times Y
reward=f1(errorRate)+f2(TTL)
The reward and punishment parameter reward is a balance between an error rate and a call amount, f1 and f2 can be determined according to a specific ticket source, for example, for the exploration of an airplane ticket, f1 and f2 can be determined according to an airline department. The specific definitions of f1 and f2 in the reward and penalty function are as follows:
f1(errorRate)=-errorRate
f2(TTL)=actionList.indexOf(TTL)*punishFactor
then reward = f1 (errorRate) + f2 (TTL) = -errorRate + actionlist
indiexOf (TTL) corresponds to the value of the TTL of the exploration action, and punishFactor is a penalty factor of the call volume.
The reward and punishment function in the above example is a distance of the reward and punishment function, and other strategies can be adopted to balance the modulation amount and the error rate in actual processing, which is not limited in the embodiment of the present application.
In the embodiment of the application, after the ticket information is expired and inquired to the ticket source, the ticket information is explored, so that the exploration can be understood as counting error rate of corresponding expiration time of the ticket information. Since the purpose of the exploration is to count the error rate of the expiration time, for the ticket information, it is necessary to perform multiple explorations according to the status information to obtain the corresponding error rate, which may be the error rate of (status information, expiration time). Therefore, a certain exploration threshold value can be set, a round of exploration learning is finished after the exploration times reach the exploration threshold value, and then the error rate, the reward and punishment parameters and the corresponding action values are calculated. In the embodiment of the present application, the action value refers to the desire to perform an action under the state information, that is, the desire to set the expiration time under the state information.
In a round of exploration learning, the state information can be extracted based on the characteristics of the ticket business information, and the specific state value extracted by the characteristics may change. Taking airline tickets as an example, the status information is determined to be the distance departure days _ minimum remaining ticket number based on the journey of the query day. The distance departure days determined according to the query day in the exploration process are not changed, but the minimum remaining ticket number corresponding to the journey is possibly changed, namely when the state information is extracted according to the characteristics in the exploration process, the extracted state values are possibly different. Therefore, in one round of exploration learning, the number of times of change or transition of a state value is recorded by taking the state value as a reference, and an action value corresponding to the expiration time is calculated based on the state value, the transition of the state value, the error rate and the like.
When calculating the action value of the expiration time, it is necessary to calculate by weighting different state values to be transferred, where the state value transfer weight W = the number of transfers to the state/the total number of state transfers. For example, in a round of search learning process, a reference state value 0-1_6-9 of state information is searched, and assuming that a search threshold is set to 50 times, for example, 10 times of transition to a state value 0-1_1, 20 times of transition to a state value 0-1_4-5, and 20 times of transition to a reference state value (no change in state value), a weight W1=10/50=0.2 of transition to a state value 0-1_1; weight W2=20/50=0.4 transitioning to state value 0-1_4-5; the weight W0=20/50=0.4 shifted to the reference state value, i.e., not shifted.
Then, the action value corresponding to the expiration time is calculated in a round of search learning, for example, Q-learning for reinforcement learning,
Figure BDA0001779066190000171
wherein s is a state parameter state, a is an exploration action, the value of the exploration action is an expiration time TTL, r is a reward and punishment parameter reward, alpha is a learning rate, and s ist Is a state value of the state parameter state, and W is a transition to state value st+1 The weight of (c).
In the above example, the Q-Learning technique of reinforcement Learning is taken as an example, and in actual processing, the expiration time may also be determined based on other manners, such as a DQN (Deep Q-Learning) algorithm based on Deep reinforcement Learning, an A3C (Asynchronous adaptive algorithm-critical) algorithm, and the like.
The calculated action value may then be updated to an expiration schedule. The parameters in the expiration schedule in the embodiment of the present application may include: the state information, the expiration time TTL, the error rate corresponding to the expiration time TTL, the corresponding action value and the like.
In the embodiment of the application, the relation between the modulation amount and the error rate can be more intuitively controlled through a reinforcement learning technology and a reinforcement learning method based on the reward and punishment function balanced by the modulation amount and the error rate, and then the strategy for adjusting the TTL value of the expiration time is controlled.
The embodiments of the present application also provide a non-volatile readable storage medium, where one or more modules (programs) are stored in the storage medium, and when the one or more modules are applied to a device, the one or more modules may cause the device to execute instructions (instructions) of method steps in the embodiments of the present application.
Embodiments of the present application provide one or more machine-readable media having instructions stored thereon, which when executed by one or more processors, cause an electronic device to perform the methods as described in one or more of the above embodiments. In the embodiment of the application, the electronic device includes a server of a platform and other devices.
Embodiments of the disclosure may be implemented as an apparatus, which may comprise an electronic device such as a server of a platform, using any suitable hardware, firmware, software, or any combination thereof, to perform a desired configuration. Fig. 7 schematically illustrates anexample apparatus 700 that may be used to implement various embodiments described herein.
For one embodiment, fig. 7 illustrates anexemplary apparatus 700 having one ormore processors 702, a control module (chipset) 704 coupled to at least one of the processor(s) 702, a memory 706 coupled to thecontrol module 704, a non-volatile memory (NVM)/storage 708 coupled to thecontrol module 704, one or more input/output devices 710 coupled to thecontrol module 704, and anetwork interface 712 coupled to the control module 706.
Theprocessor 702 may include one or more single-core or multi-core processors, and theprocessor 702 may include any combination of general-purpose or special-purpose processors (e.g., graphics processors, application processors, baseband processors, etc.). In some embodiments, theapparatus 700 can be an electronic device such as a server of the platform described in the embodiments of the present application.
In some embodiments, theapparatus 700 may include one or more computer-readable media (e.g., the memory 706 or the NVM/storage 708) having instructions 714 and one ormore processors 702 in combination with the one or more computer-readable media configured to execute the instructions 714 to implement modules to perform the actions described in this disclosure.
For one embodiment,control module 704 may include any suitable interface controllers to provide any suitable interface to at least one of processor(s) 702 and/or any suitable device or component in communication withcontrol module 704.
Control module 704 may include a memory controller module to provide an interface to memory 706. The memory controller module may be a hardware module, a software module, and/or a firmware module.
The memory 706 may be used, for example, to load and store data and/or instructions 714 for theapparatus 700. For one embodiment, memory 706 may comprise any suitable volatile memory, such as suitable DRAM. In some embodiments, the memory 706 may comprise a double data rate type four synchronous dynamic random access memory (DDR 4 SDRAM).
For one embodiment,control module 704 may include one or more input/output controllers to provide an interface to NVM/storage 708 and input/output device(s) 710.
For example, NVM/storage 708 may be used to store data and/or instructions 714. NVM/storage 708 may include any suitable non-volatile memory (e.g., flash memory) and/or may include any suitable non-volatile storage device(s) (e.g., one or more hard disk drive(s) (HDD (s)), one or more Compact Disc (CD) drive(s), and/or one or more Digital Versatile Disc (DVD) drive (s)).
NVM/storage 708 may include storage resources that are physically part of the device on whichapparatus 700 is installed, or it may be accessible by the device and need not be part of the device. For example, NVM/storage 708 may be accessible over a network via input/output device(s) 710.
Input/output device(s) 710 may provide an interface forapparatus 700 to communicate with any other suitable device, input/output device(s) 710 may include communication components, audio components, sensor components, and so forth.Network interface 712 may provide an interface fordevice 700 to communicate over one or more networks, anddevice 700 may wirelessly communicate with one or more components of a wireless network according to any of one or more wireless network standards and/or protocols, such as to access a communication standard-based wireless network, such as WiFi, 2G, 3G, 4G, etc., or a combination thereof.
For one embodiment, at least one of the processor(s) 702 may be packaged together with logic for one or more controller(s) (e.g., memory controller module) ofcontrol module 704. For one embodiment, at least one of the processor(s) 702 may be packaged together with logic for one or more controllers ofcontrol module 704 to form a System In Package (SiP). For one embodiment, at least one of the processor(s) 702 may be integrated on the same die with logic for one or more controller(s) ofcontrol module 704. For one embodiment, at least one of the processor(s) 702 may be integrated on the same die with logic for one or more controllers ofcontrol module 704 to form a system on a chip (SoC).
In various embodiments, theapparatus 700 may be, but is not limited to being: a server, a desktop computing device, or a mobile computing device (e.g., a laptop computing device, a handheld computing device, a tablet, a netbook, etc.), among other terminal devices. In various embodiments,apparatus 700 may have more or fewer components and/or different architectures. For example, in some embodiments,device 700 includes one or more cameras, a keyboard, a Liquid Crystal Display (LCD) screen (including a touch screen display), a non-volatile memory port, multiple antennas, a graphics chip, an Application Specific Integrated Circuit (ASIC), and speakers.
An embodiment of the present application further provides an electronic device, including: a processor; and a memory having executable code stored thereon, which when executed, causes the processor to perform a data update setting method as described in one or more of the embodiments of the present application.
Embodiments of the present application also provide one or more machine-readable media having executable code stored thereon that, when executed, cause a processor to perform a data update setup method as described in one or more of the embodiments of the present application.
For the apparatus embodiment, since it is substantially similar to the method embodiment, the description is relatively simple, and reference may be made to the partial description of the method embodiment for relevant points.
The embodiments in the present specification are described in a progressive manner, each embodiment focuses on differences from other embodiments, and the same and similar parts among the embodiments are referred to each other.
Embodiments of the present application are described with reference to flowchart illustrations and/or block diagrams of methods, terminal devices (systems), and computer program products according to embodiments of the application. It will be understood that each flow and/or block of the flow diagrams and/or block diagrams, and combinations of flows and/or blocks in the flow diagrams and/or block diagrams, can be implemented by computer program instructions. These computer program instructions may be provided to a processor of a general purpose computer, special purpose computer, embedded processor, or other programmable data processing terminal to produce a machine, such that the instructions, which execute via the processor of the computer or other programmable data processing terminal, create means for implementing the functions specified in the flowchart flow or flows and/or block diagram block or blocks.
These computer program instructions may also be stored in a computer-readable memory that can direct a computer or other programmable data processing apparatus to function in a particular manner, such that the instructions stored in the computer-readable memory produce an article of manufacture including instruction means which implement the function specified in the flowchart flow or flows and/or block diagram block or blocks.
These computer program instructions may also be loaded onto a computer or other programmable data processing terminal to cause a series of operational steps to be performed on the computer or other programmable terminal to produce a computer implemented process such that the instructions which execute on the computer or other programmable terminal provide steps for implementing the functions specified in the flowchart flow or flows and/or block diagram block or blocks.
While preferred embodiments of the present application have been described, additional variations and modifications of these embodiments may occur to those skilled in the art once they learn of the basic inventive concepts. Therefore, it is intended that the appended claims be interpreted as including the preferred embodiment and all such alterations and modifications as fall within the true scope of the embodiments of the application.
Finally, it should also be noted that, herein, relational terms such as first and second, and the like may be used solely to distinguish one entity or action from another entity or action without necessarily requiring or implying any actual such relationship or order between such entities or actions. Also, the terms "include", "including" or any other variations thereof are intended to cover non-exclusive inclusion, so that a process, method, article, or terminal device including a series of elements includes not only those elements but also other elements not explicitly listed or inherent to such process, method, article, or terminal device. Without further limitation, an element defined by the phrase "comprising a … …" does not exclude the presence of another identical element in a process, method, article, or terminal apparatus that comprises the element.
The data update setting method and apparatus, the electronic device, and the storage medium provided by the present application are introduced in detail above, and specific examples are applied in the present application to explain the principles and embodiments of the present application, and the descriptions of the above embodiments are only used to help understand the method and the core idea of the present application; meanwhile, for a person skilled in the art, according to the idea of the present application, there may be variations in the specific embodiments and the application scope, and in summary, the content of the present specification should not be construed as a limitation to the present application.

Claims (6)

1. A data update setting method is characterized by comprising the following steps:
after the caching time of the ticket information is over, determining the expiration time according to the caching updating stage and the ticket information;
setting the expiration time as the caching expiration time of the ticket information;
wherein, the determining the expiration time according to the cache updating stage and the ticket information comprises:
extracting state information of the ticket information, and determining a cache updating stage according to the exploration rate; the exploration refers to a process of inquiring ticket information from a ticket source, wherein the exploration rate is the probability of executing the exploration of the expiration time;
when the exploration rate is greater than 0, determining that the cache is in a first cache updating stage, generating a random number, and judging whether the random number is greater than the exploration rate; if the random number is larger than the exploration rate, acquiring the expiration time of the state information corresponding to the maximum action value in the first cache updating stage; the action value is the expectation of the expiration time correspondingly set by the state information; if the random number is not greater than the exploration rate, randomly acquiring the expiration time corresponding to the state information in the first cache updating stage;
and when the exploration rate =0 is determined to be in a second cache updating stage, inquiring the action value corresponding to the state information in an expiration time table, and acquiring the expiration time corresponding to the maximum action value.
2. The method of claim 1, further comprising:
and at the first cache updating stage, calculating an action value of the state information corresponding to the expiration time, and filling the action value into the expiration time table.
3. The method of claim 2, wherein calculating the action value of the status information corresponding to the expiration time comprises:
after one round of exploration learning stage is finished, calculating the error rate of state information corresponding to expiration time, and calculating the action value corresponding to the expiration time according to the error rate, wherein one round of exploration learning stage corresponds to one expiration time, and the error rate is the ratio of the change times to the page opening times.
4. The method of claim 3, further comprising:
in a round of exploration learning stage, recording exploration times and error rate parameters according to the access to ticket sources, wherein the error rate parameters comprise: opening times of the ticket information page and changing times of the ticket information;
and determining that the exploration learning phase of the round is ended after the exploration times reach an exploration threshold value.
5. The method of any of claims 1-4, further comprising:
judging whether the caching time of the ticket information is expired or not according to the ticket inquiry request;
and if the caching time of the ticket information is expired, acquiring updated ticket information by accessing a ticket source.
6. A data update setting apparatus, comprising:
the expiration time determining module is used for determining the expiration time according to the cache updating stage and the ticket information after the cache time of the ticket information is expired;
the expiration time setting module is used for setting the expiration time as the caching expiration time of the ticket information;
wherein the expiration time determination module comprises:
the extraction submodule is used for extracting the state information of the ticket information;
the stage determining submodule is used for determining a cache updating stage according to an exploration rate, wherein the exploration refers to a process of inquiring ticket information from a ticket source, and the exploration rate is the probability of executing expiration time exploration;
the time determining submodule is used for determining the expiration time corresponding to the state information according to the cache updating stage;
the time determination submodule includes:
the first determining unit is used for determining that the cache is in a first cache updating stage when the exploration rate is greater than 0, generating a random number and judging whether the random number is greater than the exploration rate; if the random number is larger than the exploration rate, acquiring the expiration time of the state information corresponding to the maximum action value in the first cache updating stage; the action value is the expectation of the expiration time correspondingly set by the state information; if the random number is not larger than the exploration rate, randomly acquiring expiration time corresponding to the state information in the first cache updating stage;
and a second determining unit, configured to, when it is determined that the state information is in the second cache update stage when the exploration rate =0, query an action value corresponding to the state information in an expiration time table, and acquire an expiration time corresponding to the maximum action value.
CN201810983052.3A2018-08-272018-08-27Data update setting method and deviceActiveCN110866206B (en)

Priority Applications (1)

Application NumberPriority DateFiling DateTitle
CN201810983052.3ACN110866206B (en)2018-08-272018-08-27Data update setting method and device

Applications Claiming Priority (1)

Application NumberPriority DateFiling DateTitle
CN201810983052.3ACN110866206B (en)2018-08-272018-08-27Data update setting method and device

Publications (2)

Publication NumberPublication Date
CN110866206A CN110866206A (en)2020-03-06
CN110866206Btrue CN110866206B (en)2023-04-18

Family

ID=69651285

Family Applications (1)

Application NumberTitlePriority DateFiling Date
CN201810983052.3AActiveCN110866206B (en)2018-08-272018-08-27Data update setting method and device

Country Status (1)

CountryLink
CN (1)CN110866206B (en)

Families Citing this family (1)

* Cited by examiner, † Cited by third party
Publication numberPriority datePublication dateAssigneeTitle
CN112699153B (en)*2021-01-142023-03-24上海交通大学Cache survival time setting and collaborative updating method and system in air ticket query

Citations (3)

* Cited by examiner, † Cited by third party
Publication numberPriority datePublication dateAssigneeTitle
CN103729353A (en)*2012-10-102014-04-16阿里巴巴集团控股有限公司Method for searching for ticket business information and servers
CN104794191A (en)*2015-04-162015-07-22北京京东尚科信息技术有限公司Method and device for updating air ticket data
CN107291920A (en)*2017-06-282017-10-24南京途牛科技有限公司A kind of air ticket query caching method

Family Cites Families (1)

* Cited by examiner, † Cited by third party
Publication numberPriority datePublication dateAssigneeTitle
US8276143B2 (en)*2008-03-102012-09-25Oracle America, Inc.Dynamic scheduling of application tasks in a distributed task based system

Patent Citations (3)

* Cited by examiner, † Cited by third party
Publication numberPriority datePublication dateAssigneeTitle
CN103729353A (en)*2012-10-102014-04-16阿里巴巴集团控股有限公司Method for searching for ticket business information and servers
CN104794191A (en)*2015-04-162015-07-22北京京东尚科信息技术有限公司Method and device for updating air ticket data
CN107291920A (en)*2017-06-282017-10-24南京途牛科技有限公司A kind of air ticket query caching method

Non-Patent Citations (1)

* Cited by examiner, † Cited by third party
Title
邱鹏 ; 万怀宇 ; 林友芳 ; 刘宇 ; 姚一 ; .基于用户行为分析的在线订票系统缓存优化策略研究.计算机与现代化.2017,(05),92-98.*

Also Published As

Publication numberPublication date
CN110866206A (en)2020-03-06

Similar Documents

PublicationPublication DateTitle
CN108921333B (en)Traffic prediction method and device
WO2021217863A1 (en)Order identifier generation method and apparatus, server, and storage medium
US10263858B2 (en)Environment simulator for user percentile
CN110599277A (en)Inventory deduction method and device
US20180204144A1 (en)Apparatus and method for accepting transaction reservation
US20230334370A1 (en)Model gradient determining methods, apparatuses, devices, and media based on federated learning
WO2022267766A1 (en)Method, apparatus and device for accessing aggregate code payment page, and medium
US9928123B1 (en)Precomputing processes associated with requests
CN112734064A (en)Data processing method, device and storage medium
CN109726878A (en)A kind of method, server, client and the data platform of online visa
EP3826271A1 (en)Responsive cache to improve latency in service-based architectures
CN110866206B (en)Data update setting method and device
CN116484033A (en) Method, device, medium and equipment for determining media material
CN110555744A (en)Service data processing method and system
US20210056109A1 (en)Deduplicated data transmission
US10147126B2 (en)Machine to generate a self-updating message
CN114782129A (en)Information recommendation method and device
US10366094B2 (en)Data access using aggregation
CN109685561B (en)Electronic certificate pushing method and device based on user behavior and electronic equipment
CN112364232A (en)Information generation method and device, electronic equipment and computer readable medium
US12050630B2 (en)Method, system, and apparatus for rapid geographic search in an actor-based geographic search network
US10389866B2 (en)Advanced content retrieval
CN113436003A (en)Duration determination method, duration determination device, electronic device, medium, and program product
CN114429360A (en)Conversion rate determination method, device, electronic equipment and computer readable storage medium
CN114385655A (en)Method for providing flight inquiry service and flight inquiry system

Legal Events

DateCodeTitleDescription
PB01Publication
PB01Publication
SE01Entry into force of request for substantive examination
SE01Entry into force of request for substantive examination
GR01Patent grant
GR01Patent grant

[8]ページ先頭

©2009-2025 Movatter.jp