



技术领域technical field
本发明涉及设备维护和生产调度集成优化技术。具体地说是在考虑不同加工任务的操作工况的情况下,结合批量生产系统的特点,建立在批量生产系统中设备的机会非完美性预防性维护和生产调度集成优化模型。The invention relates to an integrated optimization technology of equipment maintenance and production scheduling. Specifically, considering the operating conditions of different processing tasks and combining the characteristics of batch production systems, an integrated optimization model of opportunistic imperfection preventive maintenance and production scheduling of equipment in batch production systems is established.
背景技术Background technique
在生产实践中,一个产品往往需要在多台不同的设备上进行加工才能完成其生产任务。在此系统中的任意一台设备的失效或维护都会对生产系统的生产造成影响,因此有必要将设备的维护和生产调度进行集成优化。在进行优化时,需要考虑维护的策略、维护效力、维护时间和维护成本等多方面的影响。此外,不同的生产模式要求设备维护方式也不同,因此,在对设备进行维护和生产调度集成优化时,不仅需要考虑设备的当前状态,还需要考虑设备维护后的状态以及执行维护后设备的退化轨迹,还要考虑时间因素(维护时间、加工时间、设备启动和停机时间、作业转换时间)、成本因素(维护成本、加工成本、交货延迟成本)、生产任务的自身特点以及生产模式和生产系统特性。In production practice, a product often needs to be processed on multiple different equipments to complete its production tasks. The failure or maintenance of any piece of equipment in this system will affect the production of the production system, so it is necessary to integrate and optimize equipment maintenance and production scheduling. When optimizing, it is necessary to consider the influence of maintenance strategy, maintenance effectiveness, maintenance time and maintenance cost. In addition, different production modes require different equipment maintenance methods. Therefore, when performing integrated optimization of equipment maintenance and production scheduling, not only the current state of the equipment, but also the state of the equipment after maintenance and the degradation of the equipment after performing maintenance must be considered. trajectory, but also consider time factors (maintenance time, processing time, equipment start-up and downtime, job conversion time), cost factors (maintenance costs, processing costs, delivery delay costs), the characteristics of production tasks, and the production mode and production system characteristics.
发明内容Contents of the invention
本发明的目的是:建立在批量生产系统中设备的机会非完美性预防维护和生产调度集成优化模型。The purpose of the present invention is to establish an integrated optimization model of chance imperfection preventive maintenance and production scheduling of equipment in a batch production system.
为了达到上述目的,本发明的技术方案是提供了一种时变工况下设备机会维护和生产调度集成优化方法,其特征在于,包括以下步骤:In order to achieve the above object, the technical solution of the present invention is to provide an integrated optimization method for equipment opportunity maintenance and production scheduling under time-varying working conditions, which is characterized in that it includes the following steps:
第一步、确定问题和假设
假设一个工作间job-shop含有M个设备,一个包括N个批量的加工任务要在此工作间job-shop上进行处理,在加工任务开始前所有的批量都已准备就绪,N个批量之间是相互独立的;对于每一个批量有一个交货截止时间,如果批量的完成时间滞后于相应的交货截止时间,则会产生延迟成本作为成本;设备为转换不同批量的启动时间及批量间的转移时间忽略不计;如果设备发生故障,则对设备进行小修,使其恢复到可以运行的状态但是不改变其风险率,设备的小修时间忽略不计;假设设备上进行成批生产模式,但是预防性维护PM行为不能打断一个正在进行加工的设备,因此预防性维护PM行为不得不提前至加工任务前,或推迟至加工任务后;Assume that a job-shop contains M equipment, and a processing task including N batches needs to be processed in this job-shop. Before the processing task starts, all batches are ready. Between N batches are independent of each other; there is a delivery cut-off time for each batch, and if the completion time of the batch lags behind the corresponding delivery cut-off time, delay costs will be generated as costs; The transfer time is negligible; if the equipment fails, minor repairs are made to the equipment to restore it to an operational state without changing its risk rate, and the minor repair time of the equipment is negligible; it is assumed that batch production mode is performed on the equipment, but prevent The maintenance PM behavior cannot interrupt a device that is being processed, so the preventive maintenance PM behavior has to be advanced before the processing task, or postponed until after the processing task;
第二步、确定优化目标The second step is to determine the optimization goal
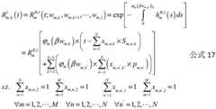
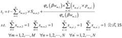
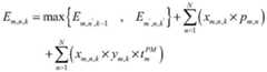
集成优化的目标是通过确定工作间job-shop上各个设备上的加工顺序和预防性维护PM的执行时间使总成本最小,总成本包括延迟成本、预防性维护PM成本和期望小修成本,一个批量的延迟成本与它的完成时间有关,预防性维护PM成本和小修成本与预防性维护PM的执行次数和时间有关,目标函数为:The goal of integrated optimization is to minimize the total cost by determining the processing sequence on each device on the job-shop and the execution time of preventive maintenance PM. The total cost includes delay cost, preventive maintenance PM cost and expected minor repair cost, a batch The delay cost of is related to its completion time, the preventive maintenance PM cost and minor repair cost are related to the execution times and time of preventive maintenance PM, and the objective function is:
min Ctotal=CT+CP+CFmin Ctotal =CT +CP +CF
式中,Ctotal为总成本;In the formula, Ctotal is the total cost;
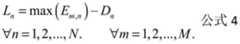
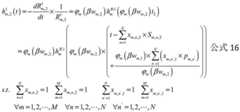
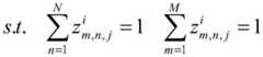
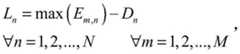
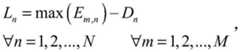
CT为总延迟成本,N为批量总数,Tn为批量n的延迟成本,Ln为批量n的延迟,Em,n为批量n在设备m上的完成时间,Dn为给定的批量n的预计完成时间,为批量n的单位时间内延迟成本;CT is the total delay cost, N is the total number of batches, Tn is the delay cost of batch n, Ln is the delay of batch n, Em,n is the completion time of batch n on device m, Dn is the estimated completion time of a given batch n, Delay cost per unit time for batch n;
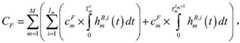
CP为总预防性维护PM成本:CP is the total preventive maintenance PM cost:
Im为任务周期内设备m上执行预防性维护PM的总次数,为一次预防性维护PM成本; Im is the total number of preventive maintenance PMs performed on equipment m in the task period, PM cost for one preventive maintenance;
CF为总期望小修成本:CF is the total expected minor repair cost:
为设备m上一次小修成本,为在基准工况下设备m在第i个预防性维护PM周期内的等价加工时间,为在基准工况下设备m进行完最后一次预防性维护PM后的等价加工时间,为第i个预防性维护PM周期内设备m的基准失效率函数; is the last minor repair cost of equipment m, is the equivalent processing time of equipment m in the i-th preventive maintenance PM cycle under the baseline condition, is the equivalent processing time after the last preventive maintenance PM of equipment m under the baseline condition, is the baseline failure rate function of equipment m in the i-th PM period of preventive maintenance;
第三步、确定批量完成时间The third step is to determine the batch completion time
一台设备上一个批量的完成时间与四项因素有关:(1)此台设备上上一批量的完成时间;(2)此台设备上此批量的加工时间;(3)此批量在上一台设备上的完成时间;(4)如果在加工此批量前需要进行预防性维护PM,则维护的执行时间;The completion time of a batch on a piece of equipment is related to four factors: (1) the completion time of the previous batch on this equipment; (2) the processing time of this batch on this equipment; (4) If preventive maintenance PM is required before processing this batch, the execution time of maintenance;
第四步、确定预防性维护PM周期内的设备可靠性
确定初始执行预防性维护PM时间的成本率函数如下式:The cost rate function to determine the initial PM time for preventive maintenance is as follows:
式中,为设备m在第i个预防性维护PM周期内的维护成本率,为设备m上的执行一次预防性维护PM所需的时间;In the formula, is the maintenance cost rate of equipment m in the i-th PM cycle of preventive maintenance, is the time required to perform a preventive maintenance PM on equipment m;
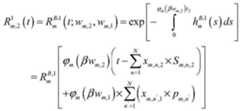
假设在设备m的第i个周期内已经有个加工完或正在加工的批量,在该周期内设备的风险率函数写为:Assume that during the i-th cycle of device m there has been A batch that has been processed or is being processed, the risk rate function of the equipment in this period is written as:
式中,是0-1变量,如果设备m上的第i个预防性维护PM周期内的第j个加工是批量n,则为1;为在第i个预防性维护PM周期中第j个加工过程中设备m的风险率函数;In the formula, is a 0-1 variable, which is 1 if the j-th process in the i-th preventive maintenance PM cycle on equipment m is batch n; is the risk rate function of equipment m in the j-th process in the i-th preventive maintenance PM cycle;
在第1个预防性维护PM周期内设备在进行第1项加工时的设备可靠性为:During the first PM cycle of preventive maintenance, the equipment reliability when the equipment is performing the first processing is:
式中,表示在第1个预防性维护PM周期内设备在进行第1项加工时的可靠性,是在基准工况下设备的等价可靠性,是设备m上第k个加工时的工况调节参数,为在基准工况下在第i个预防性维护PM周期内设备m的风险率函数;In the formula, Indicates the reliability of the equipment during the first item of processing during the first PM cycle of preventive maintenance, is the equivalent reliability of the equipment under the reference condition, is the working condition adjustment parameter of the kth processing on the equipment m, is the risk rate function of equipment m in the i-th preventive maintenance PM cycle under the baseline condition;
在第1个预防性维护PM周期内设备m在进行第1个加工时设备的风险率函数为:In the first PM cycle of preventive maintenance, the risk rate function of equipment m when it is performing the first processing is:
在第1个预防性维护PM周期内,设备m在进行第2个加工时设备的可靠性为:In the first PM cycle of preventive maintenance, the reliability of the equipment m during the second processing is:
其中:in:
其中,Sm,n,k为如果设备m上第k个加工是批量n,设备m的加工开始时间;Among them, Sm,n,k is the processing start time of equipment m if the kth processing on equipment m is batch n;
设备m在第1个预防性维护PM周期内第2个加工时设备的风险率函数为:The risk rate function of equipment m during the second processing in the first preventive maintenance PM cycle is:
设备m在第1个预防性维护PM周期内第k次加工时设备m的可靠性为:The reliability of equipment m during the k-th processing in the first preventive maintenance PM cycle is:
设备m在第1个预防性维护PM周期内第k次加工过程中设备的风险率函数为:The risk rate function of equipment m during the k-th processing in the first preventive maintenance PM cycle is:
由于前文假设,预防性维护PM为非完美性,引入役龄递减因子和失效率递增因子,设备m在第i个预防性维护PM周期内设备的基准风险率函数为:Due to the previous assumption that the preventive maintenance PM is not perfect, and the service life decreasing factor and the failure rate increasing factor are introduced, the basic risk rate function of the equipment m in the i-th preventive maintenance PM cycle is:
第五步、使用随机键遗传算法GA进行集成优化。The fifth step is to use the random key genetic algorithm GA for integrated optimization.
优选地,通过计算在每个设备上的第一个加工的完成时间计算在此工作间job-shop中其他批量的完成时间,则有:Preferably, the completion time of other batches in this job-shop is calculated by calculating the completion time of the first processing on each device, then:
若在此工作间job-shop上分配给每台设备上的第一个加工批量互不相同,则设备上的第一个加工的完成时间为:If the first processing batches assigned to each device in this job-shop are different from each other, the completion time of the first processing on the device is:
式中,Em,n,1为在设备m上如果第1个加工是批量n它的完成时间;xm,n,1为0-1变量,如果设备m上第1个加工是批量n,则xm,n,1的值为1;pm,n为批量n在设备m上的加工时间;In the formula, Em,n,1 is the completion time if the first processing on equipment m is batch n; xm,n,1 is a 0-1 variable, if the first processing on equipment m is batch n , then the value of xm,n,1 is 1; pm,n is the processing time of batch n on equipment m;
若在此job-shop上分配给每台设备上的第一个加工批量有相同的,则设备上的第一个加工的完成时间为:If the first processing batch assigned to each device on this job-shop has the same number, the completion time of the first processing on the device is:
如果在设备m上的第k次加工为批量n,它的完成时间从以下几个方面进行推断:如果该批量已经在其他设备上进行了加工,则它的完成时间;设备m上第k-1个加工的完成时间;如果要执行预防性维护PM,则预防性维护PM的执行时间,计算公式为:If the kth processing on equipment m is batch n, its completion time is inferred from the following aspects: if the batch has been processed on other equipment, its completion time; The completion time of 1 machining; if the preventive maintenance PM is to be executed, the execution time of the preventive maintenance PM, the calculation formula is:
式中,为设备m上的执行一次预防性维护PM所需的时间,k与k'相等或不相等,如果k=k',说明在设备m和设备m'上批量n所处的顺序是相同的,否则,设备m和设备m'上批量n所处的顺序不相同。In the formula, It is the time required to perform a preventive maintenance PM on equipment m, k and k' are equal or not equal, if k=k', it means that the order of batch n on equipment m and equipment m' is the same, Otherwise, the order of batch n on device m and device m' is not the same.
优选地,所述第五步包括以下步骤:Preferably, the fifth step includes the following steps:
首先,定义染色体类型,染色体组是由两部分构成,第1部分为设备上批量的分配,它是一个排序问题,因此,产生一些随机键并将它们按照大小排序,进而得到了加工顺序;第2部分为预防性维护PM决策,此不为排序问题;First, define the chromosome type. The chromosome group is composed of two parts. The first part is the batch allocation on the device. It is a sorting problem. Therefore, some random keys are generated and sorted according to their size, and then the processing order is obtained; the
随后,进行交叉:计算经过编码后每个染色体组的适应度,以目标函数作为适应度函数,为保持随机键遗传算法GA的进化为单调非减性,采用精英策略,在每次迭代过程中把精英记录下来并放回交配池中,仅在加工顺序部分执行交叉操作;在预防性维护PM决策部分不进行交叉操作,最小维修成本率与设备在执行前一个预防性维护PM之后的服役时间有关,预防性维护PM决策矩阵是与加工顺序部分有关,交叉操作仅作用于随机键部分;所有的染色体组和他们的键分为两部分:一部分为精英组,一部分为非精英组,精英组中的染色体组和非精英组中的染色体组进行交配,执行单点交叉,并进入凸集理论加速算法的收敛;在交叉过程中,交叉点随机选择,父代在交叉点左侧保持不变,在右侧的部分彼此交换,使用线性连接方法获得交叉点的数值;Then, crossover: calculate the fitness of each chromosome group after encoding, and use the objective function as the fitness function. In order to keep the evolution of the random key genetic algorithm GA as monotonous and non-reduced, an elite strategy is adopted. In each iteration process Record the elites and put them back in the mating pool, only perform cross operations in the processing sequence part; do not perform cross operations in the preventive maintenance PM decision part, the minimum repair cost rate and the service time of the equipment after the execution of the previous preventive maintenance PM Related, the PM decision matrix for preventive maintenance is related to the processing order part, and the crossover operation only acts on the random key part; all chromosome groups and their keys are divided into two parts: one part is the elite group, the other part is the non-elite group, and the elite group Mate the chromosome group in the non-elite group and the chromosome group in the non-elite group, perform single-point crossover, and enter the convergence of the convex set theory to accelerate the algorithm; during the crossover process, the intersection point is randomly selected, and the parent remains unchanged on the left side of the intersection point , the parts on the right are exchanged with each other, and the value of the intersection point is obtained using the linear connection method;
之后,进行变异:变异发生在加工顺序部分和预防性维护PM决策部分,在一个染色体上随机的选择两个基因,然后执行凸连接变异,与交叉算子相同,变异也仅在随机键上进行,对于变异发生在预防性维护PM决策部分的情况,突变在预防性维护PM决策部分进行,在预防性维护PM决策部分,选择某个非零的位置,因为非零的位置为理论上执行预防性维护PM的时间;在突变位置,突变后的结果为1减去原来的值。After that, mutation: the mutation occurs in the processing order part and the preventive maintenance PM decision part. Two genes are randomly selected on a chromosome, and then the convex connection mutation is performed, which is the same as the crossover operator, and the mutation is only performed on the random key. , for the case where the mutation occurs in the PM decision-making part of the preventive maintenance, the mutation is carried out in the PM decision-making part of the preventive maintenance. The time to maintain the PM; at the mutation position, the result after the mutation is 1 minus the original value.
本发明具有如下优点:The present invention has the following advantages:
1)本方法可以在保持设备具有较高的可靠性的前提下优化设备上批量的加工顺序。1) This method can optimize the batch processing sequence on the equipment on the premise of maintaining high reliability of the equipment.
2)本方法与工程实践中常用的提前和滞后定周期预防性维护策略相比,取得了较好的效果。2) This method achieves better results compared with the early and late fixed-period preventive maintenance strategies commonly used in engineering practice.
附图说明Description of drawings
图1为在一个任务周期内不同批量下的设备可靠性;Figure 1 shows the reliability of equipment under different batches within a task cycle;
图2为在有限时间内批量和PM提前和PM滞后的关系图;Fig. 2 is the relationship diagram of batch and PM advance and PM lag in limited time;
图3为在给定加工顺序的情况下验证本文提出的机会维护;Figure 3 is a verification of the opportunistic maintenance proposed in this paper under the given processing sequence;
图4为集成优化模型的验证。Figure 4 is the verification of the integrated optimization model.
具体实施方式Detailed ways
下面结合具体实施例,进一步阐述本发明。应理解,这些实施例仅用于说明本发明而不用于限制本发明的范围。此外应理解,在阅读了本发明讲授的内容之后,本领域技术人员可以对本发明作各种改动或修改,这些等价形式同样落于本申请所附权利要求书所限定的范围。Below in conjunction with specific embodiment, further illustrate the present invention. It should be understood that these examples are only used to illustrate the present invention and are not intended to limit the scope of the present invention. In addition, it should be understood that after reading the teachings of the present invention, those skilled in the art can make various changes or modifications to the present invention, and these equivalent forms also fall within the scope defined by the appended claims of the present application.
本发明方法部分1:确定问题和假设Invention Method Part 1: Determining the Problem and Hypothesis
假设一个job-shop含有M个设备。一个包括N个批量的加工任务要在此job-shop上进行处理。对于每一个批量,它对设备的工况要求是不同的,但是在加工特定批量时,设备的工况是固定的。在一个定周期预防性维护(PM)周期内,设备加工不同的批量导致的设备的可靠性变化如图1所示。图1中,虚线表示在基准工况下设备的可靠性,红线和绿线分别表示在不同批量下设备的可靠性变化。Suppose a job-shop contains M devices. A processing task including N batches needs to be processed on this job-shop. For each batch, it has different requirements for the working conditions of the equipment, but when processing a specific batch, the working conditions of the equipment are fixed. In a regular preventive maintenance (PM) cycle, the reliability changes of the equipment caused by different batches of equipment processing are shown in Figure 1. In Figure 1, the dotted line represents the reliability of the equipment under the benchmark conditions, and the red line and the green line represent the reliability changes of the equipment under different batches respectively.
在加工任务开始前所有的批量都已准备就绪。这些批量之间是相互独立的。对于每一个批量都有一个交货截止时间,如果批量的完成时间滞后于相应的交货时间,则会产生延迟成本作为成本。设备为转换不同批量的启动时间可以忽略不计。另外,批量间的转移时间是可以忽略的。All batches are ready before the machining job starts. These batches are independent of each other. There is a delivery cut-off time for each batch, and if the completion time of the batch lags behind the corresponding delivery time, delay costs will be incurred as costs. The start-up time of the equipment for converting different batches is negligible. In addition, the transfer time between batches is negligible.
如果设备发生故障,则对设备进行小修,使其恢复到可以运行的状态但是不改变其风险率。为了简化计算,设备的小修时间忽略不计。假设设备上进行成批生产模式,但是预防性维护PM不能打断一个正在进行加工的设备。维护不得不提前至加工任务前,或推迟至加工任务后,如图2所示。If the equipment fails, minor repairs are made to the equipment to restore it to an operable state without changing its risk rate. In order to simplify the calculation, the minor repair time of the equipment is ignored. It is assumed that batch production mode is performed on the equipment, but the preventive maintenance PM cannot interrupt an equipment that is being processed. Maintenance has to be advanced before the processing task, or postponed until after the processing task, as shown in Figure 2.
本发明中的基本假设和符号说明见下表1:Basic assumptions and symbolic descriptions in the present invention are shown in the following table 1:
表1:设备机会维护和生产调度集成优化模型数据说明Table 1: Data description of the integrated optimization model of equipment opportunity maintenance and production scheduling
A1:加工任务伊始,所有的设备都是新的。A1: At the beginning of the processing task, all the equipment is new.
A2:如果设备发生了故障,对设备进行小修并且小修仅能使设备“as bad asold”。预防性维护PM是非完美性的,能够使设备恢复到一个较好但非新的状态。A2: If the equipment fails, make minor repairs to the equipment and minor repairs can only make the equipment "as bad asold". Preventive maintenance (PM) is imperfect and restores equipment to a better but not new condition.
A3:PM必须是在批量加工前或批量加工后进行。A3: PM must be carried out before or after batch processing.
A4:小修时间、设备启动时间、批量转换和运输时间是可以忽略的。A4: Minor repair time, equipment start-up time, batch conversion and shipping time are negligible.
A5:在加工任务开始时,所有的批量准备就绪,取消一个正在加工的批量而加工其他批量是不允许的。A5: At the beginning of the processing task, all batches are ready, it is not allowed to cancel a batch being processed while processing other batches.
A6:不同的批量要求的工况也不一样,但是在一个批量下,工况是不变的。A6: Different batches require different working conditions, but in one batch, the working conditions remain the same.
A7:在一个时刻设备仅能被一个批量占用,且一个批量仅在一台设备上加工。A7: The equipment can only be occupied by one batch at a time, and one batch can only be processed on one equipment.
表1Table 1
本发明方法部分2:确定优化目标
本发明的集成优化是指通过确定job-shop上各个设备上的加工顺序和PM的执行时间使总成本最小。总成本包括延迟成本、PM成本和期望小修成本。一个批量的延迟成本与它的完成时间有关。PM成本和小修成本与PM的执行次数和时间有关。本文的目标函数可以写成:The integrated optimization of the present invention refers to minimizing the total cost by determining the processing sequence on each device on the job-shop and the execution time of PM. The total cost includes delay cost, PM cost and expected minor repair cost. The delay cost of a batch is related to its completion time. PM cost and minor repair cost are related to the number and time of PM execution. The objective function of this paper can be written as:
min Ctotal=CT+CP+CF 公式1min Ctotal =CT +CP +CF Formula 1
式中,Ctotal为完成全部生产任务后的总成本,CT为总延迟成本,CP为总PM成本,CF为总期望小修成本。In the formula, Ctotal is the total cost after completing all production tasks, CT is the total delay cost, CP is the total PM cost, and CF is the total expected minor repair cost.
式中,N为批量总数,Tn为批量n的延迟成本。为批量n的单位时间内延迟成本。In the formula, N is the total number of batches, and Tn is the delay cost of batch n. Delay cost per unit time for batch n.
其中,Ln为批量n的延迟。Among them, Ln is the delay of batch n.
式中,Em,n为批量n在设备m上的完成时间。Dn为给定的批量n的预计完成时间In the formula, Em,n is the completion time of batch n on equipment m. Dn is the expected completion time of a given batch n
式中,Im为任务周期内设备m上执行预防性维护PM的总次数,为一次预防性维护PM成本。In the formula, Im is the total number of PM executions of preventive maintenance on device m in the task period, PM cost for one preventive maintenance.
式中,为在基准工况下设备m在第i个预防性维护PM周期内的等价加工时间,为在基准工况下设备m进行完最后一次预防性维护PM后的等价加工时间,为第i个预防性维护PM周期内设备m的基准失效率函数。In the formula, is the equivalent processing time of equipment m in the i-th preventive maintenance PM cycle under the baseline condition, is the equivalent processing time after the last preventive maintenance PM of equipment m under the baseline condition, is the baseline failure rate function of equipment m in the i-th preventive maintenance PM cycle.
本发明方法部分3:确定批量完成时间Inventive method part 3: Determining batch completion time
一台设备上一个批量的完成时间是很复杂的。它主要与四项因素有关:(1)此台设备上上一批量的完成时间;(2)此台设备上此批量的加工时间;(3)此批量在上一台设备上的完成时间;(4)如果在加工此批量前需要进行PM,则PM的执行时间。The completion time of a batch on a device is complex. It is mainly related to four factors: (1) the completion time of the previous batch on this equipment; (2) the processing time of this batch on this equipment; (3) the completion time of this batch on the previous equipment; (4) If PM is required before processing this batch, the execution time of PM.
在每个设备上的第一个加工的完成时间是计算在此job-shop中其他批量的完成时间的基础。需要考虑两种情景。一是在此job-shop上分配给每台设备上的第一个加工批量互不相同。另一个情景是在此job-shop上分配给每台设备上的第一个加工批量有相同的。对于第一种情景,则第一个加工的完成时间为:The completion time of the first process on each machine is the basis for calculating the completion time of other batches in this job-shop. Two scenarios need to be considered. One is that the first processing batch assigned to each device in this job-shop is different from each other. Another scenario is that the first processing batch assigned to each device on this job-shop has the same. For the first scenario, the completion time of the first process is:
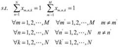
其中,Em,n,1为在设备m上如果第1个加工是批量n它的完成时间;xm,n,1为0-1变量,如果设备m上第1个加工是批量n,则xm,n,1的值为1;pm,n为批量n在设备m上的加工时间。公式7的约束说明在一个时刻,设备只能被一个批量占用且一个批量仅能占用一个设备。Among them, Em,n,1 is the completion time if the first processing on equipment m is batch n; xm,n,1 is a 0-1 variable, if the first processing on equipment m is batch n, Then the value of xm,n,1 is 1; pm,n is the processing time of batch n on equipment m. The constraint of formula 7 shows that at a moment, a device can only be occupied by one batch and a batch can only occupy one device.
对于第二种情景,在一个设备上的第1个加工完成时间和该批量在其他设备上的完成时间有关,如公式8所示。For the second scenario, the completion time of the first processing on one device is related to the completion time of the batch on other devices, as shown in Equation 8.
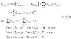
如果在设备m上的第k次加工为批量n,它的完成时间能从以下几个方面进行推断:如果该批量已经在其他设备上进行了加工,则它的完成时间;设备m上第k-1个加工的完成时间;如果要执行PM,则PM的执行时间。其计算公式如公式9所示:If the kth processing on equipment m is batch n, its completion time can be inferred from the following aspects: if the batch has been processed on other equipment, its completion time; - Completion time of 1 machining; if PM is to be performed, execution time of PM. Its calculation formula is shown in formula 9:
其中,为设备m上的执行一次预防性维护PM所需的时间,k与k'相等或不相等,如果k=k',说明在设备m和设备m'上批量n所处的顺序是相同的,否则,设备m和设备m'上批量n所处的顺序不相同。in, It is the time required to perform a preventive maintenance PM on equipment m, k and k' are equal or not equal, if k=k', it means that the order of batch n on equipment m and equipment m' is the same, Otherwise, the order of batch n on device m and device m' is not the same.
本发明方法部分4:确定PM周期内的设备可靠性Inventive Method Part 4: Determining Equipment Reliability During a PM Period
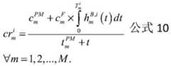
执行一次PM的初始时间是根据在设备上最小维护成本率确定的。一台正在加工的设备不能因为执行PM被中断,所以PM不得不被提前或推后至加工任务完成。确定初始执行PM时间的成本率函数为公式10The initial time to execute a PM is determined according to the minimum maintenance cost rate on the device. A machine that is being processed cannot be interrupted by executing PM, so PM has to be advanced or postponed until the processing task is completed. The cost rate function to determine the initial execution PM time is Equation 10
其中,为设备m在第i个预防性维护PM周期内的维护成本率,为设备m上的执行一次预防性维护PM所需的时间。in, is the maintenance cost rate of equipment m in the i-th PM cycle of preventive maintenance, is the time required to perform a preventive maintenance PM on device m.
由于设备工作在不同的工况下,设备风险率也随着加工批量的不同而不同。假设在设备m的第i个周期内已经有个加工完或正在加工的批量,在该周期内设备的风险率函数写为:Since the equipment works under different working conditions, the equipment risk rate also varies with the processing batch. Assume that during the i-th cycle of device m there has been A batch that has been processed or is being processed, the risk rate function of the equipment in this period is written as:
式中,是0-1变量,如果设备m上的第i个预防性维护PM周期内的第j个加工是批量n,则为1;为在第i个预防性维护PM周期中第j个加工过程中设备m的风险率函数。In the formula, is a 0-1 variable, which is 1 if the j-th process in the i-th preventive maintenance PM cycle on equipment m is batch n; is the risk rate function of equipment m in the j-th process in the i-th preventive maintenance PM cycle.
时变的工况可以通过AFTM转换成基准工况。以第1个PM周期为例,在第1个PM周期内设备在进行第1项加工时的可靠性为:Time-varying operating conditions can be converted to baseline operating conditions by AFTM. Taking the first PM cycle as an example, the reliability of the equipment during the first processing in the first PM cycle is:
其中,表示在第1个预防性维护PM周期内设备在进行第1项加工时的可靠性,是在基准工况下设备的等价可靠性,是设备m上第k个加工时的工况调节参数,为在基准工况下在第i个预防性维护PM周期内设备m的风险率函数。in, Indicates the reliability of the equipment during the first item of processing during the first PM cycle of preventive maintenance, is the equivalent reliability of the equipment under the reference condition, is the working condition adjustment parameter of the kth processing on the equipment m, is the risk rate function of equipment m in the ith preventive maintenance PM cycle under the baseline condition.
则,在第1个PM周期内设备m在进行第1个加工是设备的风险率函数为:Then, the risk rate function of equipment m performing the first processing in the first PM cycle is:
在第1个PM周期内,设备m在进行第2个加工时设备的可靠性为:In the first PM cycle, the reliability of the equipment m during the second processing is:
其中,in,
其中,Sm,n,k为如果设备m上第k个加工是批量n,设备m的加工开始时间。设备m在第1个PM周期内第2个加工时设备的风险率函数为:Among them, Sm,n,k is the processing start time of equipment m if the k-th processing on equipment m is batch n. The risk rate function of equipment m during the second processing in the first PM cycle is:
设备m在第1个PM周期内第k次加工时设备m的可靠性为:The reliability of equipment m during the kth processing of equipment m in the first PM cycle is:
设备m在第1个PM周期内第k次加工过程中设备的风险率函数为:The risk rate function of equipment m during the kth processing in the first PM cycle is:
由于前文假设,PM为非完美性,引入役龄递减因子和失效率递增因子。设备m在第i个PM周期内设备的基准风险率函数为:Due to the previous assumption that PM is not perfect, the service age decreasing factor and the failure rate increasing factor are introduced. The basic risk rate function of equipment m in the i-th PM period is:
本发明方法部分5:使用随机键遗传算法GA进行集成优化
首先,定义染色体类型。考虑到此为多设备多批量问题,因此引入染色体组的概念。染色体组是由两部分构成,第1部分为设备上批量的分配,它是一个排序问题,因此,产生一些随机键并将它们按照大小排序,进而得到了加工顺序;第2部分为PM决策,此不为排序问题,因此没有必要对它们分配随机键。First, define the chromosome type. Considering that this is a multi-device and multi-batch problem, the concept of chromosome set is introduced. The genome is composed of two parts. The first part is the batch allocation on the device. It is a sorting problem. Therefore, some random keys are generated and sorted according to their size, and then the processing order is obtained; the second part is PM decision, This is not a matter of ordering, so there is no need to assign random keys to them.
随后,进行交叉。计算经过编码后每个染色体组的适应度,以本方法的目标函数作为适应度函数。为保持GA的进化为单调非减性,采用精英策略。在每次迭代过程中把精英记录下来并放回交配池中。仅在加工顺序部分执行交叉操作。因为PM的机会是根据最小维修成本率获得的,所以在PM决策部分不进行交叉操作。最小维修成本率与设备在执行前一个PM之后的服役时间有关。也就是说,与在PM之后的加工顺序有关。因此PM决策矩阵是与加工顺序部分有关。交叉操作仅作用于随机键部分。所有的染色体组和他们的键分为两部分:一部分为精英组,一部分为非精英组。精英组中的染色体组和非精英组中的染色体组进行交配。执行单点交叉,并进入凸集理论加速算法的收敛。在交叉过程中,交叉点随机选择。父代在交叉点左侧保持不变,在右侧的部分彼此交换。使用线性连接方法获得交叉点的数值。Subsequently, a crossover is performed. Calculate the fitness of each chromosome group after encoding, and use the objective function of this method as the fitness function. In order to keep the evolution of GA as monotonous and non-subtractive, an elite strategy is adopted. Elites were recorded and returned to the mating pool during each iteration. Interleave operations are performed only in part of the machining sequence. Because PM opportunities are obtained based on the minimum maintenance cost rate, no crossover is performed in the PM decision part. The minimum repair cost rate is related to how long the equipment has been in service since the previous PM was performed. That is, it is related to the processing sequence after PM. Therefore the PM decision matrix is partly related to the processing sequence. The crossover operation only works on the random key part. All chromosome sets and their bonds are divided into two parts: an elite group and a non-elite group. The sets of chromosomes in the elite group are mated with the sets of chromosomes in the non-elite group. Performing one-point crossover and entering convex set theory speeds up the convergence of the algorithm. During the crossover process, the intersection point is chosen randomly. The parents remain unchanged on the left side of the intersection, and the parts on the right side are swapped with each other. Use the linear join method to obtain the value of the intersection point.
之后,进行变异。变异可以发生在加工顺序部分和PM决策部分。在一个染色体上随机的选择两个基因,然后执行凸连接变异。与交叉算子相同,变异也仅在随机键上进行。对于第二种情况,突变在PM决策部分进行。在PM决策部分,选择某个非零的位置,因为非零的位置为理论上执行PM的时间。在突变位置,突变后的结果为1减去原来的值。After that, mutate. Variation can occur in the processing sequence part and the PM decision part. Randomly select two genes on a chromosome and perform convex join mutation. Like the crossover operator, mutations are also performed only on random keys. For the second case, mutations are made in the PM decision part. In the PM decision part, choose some non-zero position, because the non-zero position is the theoretical time to perform PM. At the mutated position, the mutated result is 1 minus the original value.
需要说明的是,如果在PM决策部分发生了突变,则在设备上的加工顺序保持不变,在突变发生后,重新计算适应度。重复选择、交叉、突变过程,直到当前迭代次数超过最大迭代次数的限制。It should be noted that if a mutation occurs in the PM decision-making part, the processing sequence on the equipment remains unchanged, and the fitness is recalculated after the mutation occurs. Repeat the process of selection, crossover and mutation until the current number of iterations exceeds the limit of the maximum number of iterations.
| Application Number | Priority Date | Filing Date | Title |
|---|---|---|---|
| CN201911111516.2ACN110865617B (en) | 2019-11-14 | 2019-11-14 | Equipment opportunity maintenance and production scheduling integrated optimization method under time-varying working condition |
| Application Number | Priority Date | Filing Date | Title |
|---|---|---|---|
| CN201911111516.2ACN110865617B (en) | 2019-11-14 | 2019-11-14 | Equipment opportunity maintenance and production scheduling integrated optimization method under time-varying working condition |
| Publication Number | Publication Date |
|---|---|
| CN110865617A CN110865617A (en) | 2020-03-06 |
| CN110865617Btrue CN110865617B (en) | 2022-11-04 |
| Application Number | Title | Priority Date | Filing Date |
|---|---|---|---|
| CN201911111516.2AActiveCN110865617B (en) | 2019-11-14 | 2019-11-14 | Equipment opportunity maintenance and production scheduling integrated optimization method under time-varying working condition |
| Country | Link |
|---|---|
| CN (1) | CN110865617B (en) |
| Publication number | Priority date | Publication date | Assignee | Title |
|---|---|---|---|---|
| CN113408750A (en)* | 2021-05-18 | 2021-09-17 | 同济大学 | Opportunity maintenance method of serial production system based on energy-saving time window |
| CN114510874B (en)* | 2022-01-13 | 2024-07-19 | 北京大学 | Production scheduling and machine maintenance optimization method based on joint optimization model |
| CN115619171B (en)* | 2022-10-28 | 2025-10-03 | 浙江大学 | Production and maintenance coupling task allocation method and system considering equipment operating status |
| Publication number | Priority date | Publication date | Assignee | Title |
|---|---|---|---|---|
| CN1746910A (en)* | 2004-09-11 | 2006-03-15 | 鸿富锦精密工业(深圳)有限公司 | Mould Machining production deploying management system and method |
| BRPI0614086A2 (en)* | 2005-08-05 | 2011-03-09 | Pfizer Prod Inc | automated batch manufacturing |
| CN103955766B (en)* | 2014-04-29 | 2017-05-10 | 上海交通大学 | Prevention and maintenance associated scheduling optimization method of large-batch customization production system |
| US20170091688A1 (en)* | 2015-09-30 | 2017-03-30 | Embraer S.A. | Method and system for maintenance services planning and scheduling optimization |
| JP6526081B2 (en)* | 2017-02-28 | 2019-06-05 | ファナック株式会社 | Inventory management system having functions of inventory management and preventive maintenance |
| CN108171435B (en)* | 2018-01-09 | 2022-01-18 | 上海交通大学 | Production plan decision method considering preventive maintenance |
| CN110427712B (en)* | 2019-08-07 | 2020-05-15 | 广东工业大学 | Preventive maintenance method based on fault influence analysis and workshop manufacturing system |
| Publication number | Publication date |
|---|---|
| CN110865617A (en) | 2020-03-06 |
| Publication | Publication Date | Title |
|---|---|---|
| CN110865617B (en) | Equipment opportunity maintenance and production scheduling integrated optimization method under time-varying working condition | |
| CN111356988B (en) | Method and system for scheduling semiconductor processing | |
| CN104808636B (en) | Flexible Flow Shop energy optimization dispatching method | |
| CN107831745A (en) | A kind of flexible job shop inserts single action state method for optimizing scheduling | |
| CN110221585A (en) | A kind of energy-saving distribution control method considering plant maintenance for hybrid flowshop | |
| JP2000077289A (en) | Manufacturing forecast management system | |
| CN113867275B (en) | Optimization method for preventive maintenance joint scheduling of distributed workshop | |
| US11372396B2 (en) | Control product flow of semiconductor manufacture process under time constraints | |
| CN111966049B (en) | Scheduling control method for production equipment of mixed flow shop | |
| CN116414094B (en) | Intelligent scheduling method and system for welding assembly | |
| CN112686474A (en) | Parallel assembly line balancing method based on improved water wave optimization algorithm | |
| CN105988424B (en) | The generation method and generating means of semiconductor technology processing procedure information | |
| CN113902264A (en) | A flexible job shop resource scheduling method | |
| CN117555305A (en) | NSGAII-based multi-target variable sub-batch flexible workshop job scheduling method | |
| JP2012093865A (en) | Production schedule computation method and production schedule computing device | |
| CN116700171A (en) | Workshop Machine Tool and AGV Scheduling Method Based on Improved Contract Network Protocol and Hybrid Simulation | |
| CN117829526A (en) | A printing and packaging product production scheduling method, system and storage medium | |
| JP7437366B2 (en) | How to operate a cell-based mobility production system | |
| JP2001344008A (en) | Production controller | |
| CN108196518A (en) | Dual-proxy dynamic mixed flow operation minimization weights manufacture phase problem lower bound method for solving | |
| KR101498528B1 (en) | Steel bias cutter allocating plan system and method in cutting Process | |
| CN117666492B (en) | Multi-product production line optimization design method facing machine faults | |
| CN105631079A (en) | Configurable sectional type production task scheduling method | |
| WO2020136875A1 (en) | Information processing device, setup operation correction method, and setup operation correction program | |
| CN119668223B (en) | A simplified fluid relaxation method for dynamic multiple flexible job-shop scheduling |
| Date | Code | Title | Description |
|---|---|---|---|
| PB01 | Publication | ||
| PB01 | Publication | ||
| SE01 | Entry into force of request for substantive examination | ||
| SE01 | Entry into force of request for substantive examination | ||
| GR01 | Patent grant | ||
| GR01 | Patent grant |