Movatterモバイル変換


[0]ホーム

URL:


CN110863818A - Description method and device for residual oil/gas distribution - Google Patents

Description method and device for residual oil/gas distribution
Download PDF

Info

Publication number
CN110863818A
CN110863818ACN201810899113.8ACN201810899113ACN110863818ACN 110863818 ACN110863818 ACN 110863818ACN 201810899113 ACN201810899113 ACN 201810899113ACN 110863818 ACN110863818 ACN 110863818A
Authority
CN
China
Prior art keywords
oil
residual
gas
reserve abundance
abundance
Prior art date
Legal status (The legal status is an assumption and is not a legal conclusion. Google has not performed a legal analysis and makes no representation as to the accuracy of the status listed.)
Granted
Application number
CN201810899113.8A
Other languages
Chinese (zh)
Other versions
CN110863818B (en
Inventor
刘国旗
付明世
李长春
饶蕾
李彦华
朱浩然
李霞
崔英琢
Current Assignee (The listed assignees may be inaccurate. Google has not performed a legal analysis and makes no representation or warranty as to the accuracy of the list.)
China Petroleum and Chemical Corp
Exploration and Development Research Institute of Sinopec Zhongyuan Oilfield Co
Original Assignee
China Petroleum and Chemical Corp
Exploration and Development Research Institute of Sinopec Zhongyuan Oilfield Co
Priority date (The priority date is an assumption and is not a legal conclusion. Google has not performed a legal analysis and makes no representation as to the accuracy of the date listed.)
Filing date
Publication date
Application filed by China Petroleum and Chemical Corp, Exploration and Development Research Institute of Sinopec Zhongyuan Oilfield CofiledCriticalChina Petroleum and Chemical Corp
Priority to CN201810899113.8ApriorityCriticalpatent/CN110863818B/en
Publication of CN110863818ApublicationCriticalpatent/CN110863818A/en
Application grantedgrantedCritical
Publication of CN110863818BpublicationCriticalpatent/CN110863818B/en
Activelegal-statusCriticalCurrent
Anticipated expirationlegal-statusCritical

Links

Images

Classifications

Landscapes

Abstract

The invention provides a description method and a description device of residual oil/gas distribution, which comprehensively calculate the reserve abundance of residual oil/gas or residual movable oil/gas through the relevant parameters of the residual oil/gas and can intuitively describe the plane distribution of the residual oil/gas.

Description

Description method and device for residual oil/gas distribution
Technical Field
The invention belongs to the technical field of exploration and development of coal bed gas reservoirs, shale oil reservoirs or oil and gas reservoirs, and particularly relates to a method and a device for describing remaining oil/gas distribution.
Background
Because the oil storage address has the characteristics of small size, scattering, poor quality and fragmentation, the development well pattern and the reserve control degree are greatly influenced by the planar distribution shape of the reservoir, and most broken blocks cannot form a perfect injection-production well pattern. Therefore, the problems of rapid water content rise and low extraction degree commonly exist in the complex fault block oil reservoir, and the key for improving the oil reservoir recovery ratio is how to effectively improve the recognition degree of the residual oil distribution.
With the development of computer technology, the oil deposit is developed into high water content, and the residual oil research is widely applied by applying the oil deposit numerical simulation technology after the oil deposit is developed into high water content, but the residual oil/gas saturation or the residual movable oil/gas saturation is mainly applied to description in the numerical simulation description, and because the saturation single factor is considered, the factors such as effective thickness, porosity and the like are not considered, so that the residual oil/gas description is not accurate enough. For this reason, the method for describing the residual oil/gas by using the residual oil/gas reserves abundance is provided, for example, a Chinese patent with the publication number of 'CN 102336339B' named as 'a method for analyzing the residual oil distribution of a fracture-cavity type oil reservoir', the scheme of the patent realizes scientific description and accurate numerical simulation of the fracture-cavity type oil reservoir, lays a technical foundation for finding the distribution position of the residual oil of the fracture-cavity type oil reservoir through the numerical simulation technology, quantitatively determining the reserves abundance of the oil reservoir, scientifically and reasonably developing the oil field and finally improving the recovery ratio, comprehensively considers various parameters for calculating the residual reserves, and intuitively describes the plane distribution of the residual oil, but the method provided by the patent has more complex steps and large calculation amount and influences the efficiency of residual oil description.
Disclosure of Invention
The invention aims to provide a description method and a description device for residual oil/gas distribution, which are used for solving the problem of low efficiency of residual oil/gas distribution description in the prior art.
In order to achieve the above object, the present invention provides a method for describing distribution of remaining oil, comprising the steps of:
1) outputting node coordinates of each grid according to an oil reservoir numerical simulation result, acquiring oil layer thickness, porosity, oil saturation, crude oil density, bound oil saturation and crude oil volume coefficient, and calculating remaining oil reserve abundance and/or remaining movable oil reserve abundance of each grid according to the oil layer thickness, porosity, oil saturation, crude oil density, bound oil saturation and crude oil volume coefficient;
2) and calculating the center coordinate of each grid according to the node coordinate of each grid, acquiring the residual oil reserve abundance and/or the residual movable oil reserve abundance of each single sand body according to the center coordinate of each grid and the residual oil reserve abundance and/or the residual movable oil reserve abundance of each grid, and further determining the distribution position and the distribution quantity of the residual oil and/or the residual movable oil.
Further, in order to more accurately show the distribution of the residual oil and/or the residual movable oil, the residual oil reserve abundance and/or the residual movable oil reserve abundance of each grid of the single sand body are stacked in layers in the direction perpendicular to the ground level to obtain the residual oil reserve abundance and/or the residual movable oil reserve abundance of each sand group, the residual oil reserve abundance and/or the residual movable oil reserve abundance of the bed series are obtained according to the residual oil reserve abundance and/or the residual movable oil reserve abundance of each sand group, and the distribution position and the distribution amount of the residual oil and/or the residual movable oil are determined according to the residual oil reserve abundance and/or the residual movable oil reserve abundance of the bed series.
In order to clearly see the distribution situation of the residual oil and/or the residual movable oil in each sand group or bed series, according to the residual oil reserve abundance and/or the residual movable oil reserve abundance of each sand group or bed series, a plan view with well position equivalence of the residual oil reserve abundance and/or the residual movable oil reserve abundance of each sand group or bed series is made, and the distribution position and the distribution quantity of the residual oil and/or the residual movable oil are determined according to the plan view.
In order to clearly see the distribution of the residual oil and/or the residual movable oil of each single sand body, a well position equivalent plane map is made according to the residual oil reserve abundance and/or the residual movable oil reserve abundance of each single sand body, and the size of the numerical value in the well position equivalent plane map indicates the enrichment degree of the residual oil and/or the residual movable oil.
Further, the expression of the remaining oil reserve abundance is as follows:
Figure BDA0001758929870000021
wherein, IoThe remaining oil reserves abundance, H the oil layer thickness,
Figure BDA0001758929870000022
is the porosity, poIs the density of crude oil, SoIs oil saturation, BoIs the volume factor of crude oil.
Further, the expression of the remaining mobile oil reserve abundance is:
Figure BDA0001758929870000023
wherein, IomThe remaining mobile oil reserve abundance, H is the oil layer thickness,
Figure BDA0001758929870000024
is the porosity, poIs the density of crude oil, SoIs the oil saturation, SocTo limit oil saturation, BoIs the volume factor of crude oil.
The invention also provides a description method of the distribution of the residual gas, which comprises the following steps:
(1) outputting node coordinates of each grid according to a gas reservoir numerical simulation result, acquiring gas layer thickness, porosity, gas saturation, bound gas saturation, ground standard temperature, ground standard pressure, formation temperature and a gas deviation coefficient, and calculating residual gas reserves abundance and/or residual movable gas reserves abundance of each grid according to the gas layer thickness, porosity, gas saturation, bound gas saturation, ground standard temperature, ground standard pressure, formation temperature and the gas deviation coefficient;
(2) and calculating the center coordinate of each grid according to the node coordinate of each grid, acquiring the residual gas reserve abundance and/or the residual movable gas reserve abundance of each single sand body according to the center coordinate of each grid and the residual gas reserve abundance and/or the residual movable gas reserve abundance of each grid, and further determining the distribution position and the distribution quantity of the residual gas and/or the residual movable gas.
Further, in order to more accurately show the distribution of the residual gas and/or the residual movable gas, the residual gas reserve abundance and/or the residual movable gas reserve abundance of each grid of the single sand body are overlapped in layers in the direction perpendicular to the ground level to obtain the residual gas reserve abundance and/or the residual movable gas reserve abundance of each sand group, the residual movable gas reserve abundance and/or the residual movable gas reserve abundance of the bed series are obtained according to the residual movable gas reserve abundance and/or the residual movable gas reserve abundance of each sand group, and the distribution position and the distribution amount of the residual gas and/or the residual movable gas are determined according to the residual gas reserve abundance and/or the residual movable gas reserve abundance of the bed series.
In order to clearly see the distribution situation of the residual gas and/or the residual movable gas of each sand group or layer system, a plan view with well position equivalence of the residual gas reserve abundance and/or the residual movable gas reserve abundance of each sand group or layer system is made according to the residual gas reserve abundance and/or the residual movable gas reserve abundance of each sand group or layer system, and the distribution position and the distribution quantity of the residual gas and/or the residual movable gas are determined according to the plan view.
In order to clearly see the distribution of the residual gas and/or the residual movable gas of each single sand body, a well position equivalent plane graph is made according to the residual gas reserve abundance and/or the residual movable gas reserve abundance of each single sand body, and the size of the numerical value in the well position equivalent plane graph represents the enrichment degree of the residual gas and/or the residual movable gas.
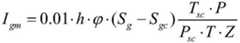
Further, the remaining gas reserve abundance is expressed as:
Figure BDA0001758929870000031
wherein, IgIs the abundance of the remaining gas reserves, h is the gas layer thickness,
Figure BDA0001758929870000032
is porosity, SgIs the gas saturation, P is the formation pressure at a certain time, Z is the gas deviation coefficient, T is the gas formation temperature, TscIs ground standard temperature, PscIs the standard pressure at the ground.
Further, the remaining mobile gas reserve abundance is represented as:
Figure BDA0001758929870000041
wherein, IgmThe abundance of the residual movable air reserves, h is the thickness of the air layer,
Figure BDA0001758929870000042
is porosity, SgIs the gas saturation, SgcFor irreducible gas saturation, P is formation pressure at a certain time, Z is gas deviation coefficient, T is gas layer temperature, TscIs ground standard temperature, PscIs the standard pressure at the ground.
The invention also provides a device for describing a remaining oil distribution, comprising a memory, a processor and a computer program stored on the memory and executable on the processor, the processor implementing the following steps when executing the program:
1) outputting node coordinates of each grid according to an oil reservoir numerical simulation result, acquiring the oil layer thickness, the porosity, the oil saturation, the crude oil density, the bound oil saturation and the crude oil volume coefficient of each grid, and calculating the remaining oil reserve abundance and/or the remaining movable oil reserve abundance of each grid according to the oil layer thickness, the porosity, the oil saturation, the crude oil density, the bound oil saturation and the crude oil volume coefficient;
2) and calculating the center coordinate of each grid according to the node coordinate of each grid, acquiring the residual oil reserve abundance and/or the residual movable oil reserve abundance of each single sand body according to the center coordinate of each grid and the residual oil reserve abundance and/or the residual movable oil reserve abundance of each grid, further determining the distribution position and the distribution amount of residual gas and/or residual movable gas, and further determining the distribution position and the distribution amount of residual oil and/or residual movable oil.
The invention also provides a residual gas distribution describing device, which comprises a memory, a processor and a computer program stored on the memory and capable of running on the processor, wherein the processor executes the program to realize the following steps:
(1) outputting node coordinates of each grid according to a gas reservoir numerical simulation result, acquiring gas layer thickness, porosity, gas saturation, bound gas saturation, ground standard temperature, ground standard pressure, formation temperature and a gas deviation coefficient, and calculating residual gas reserves abundance and/or residual movable gas reserves abundance of each grid according to the gas layer thickness, porosity, gas saturation, bound gas saturation, ground standard temperature, ground standard pressure, formation temperature and the gas deviation coefficient;
(2) and calculating the center coordinate of each grid according to the node coordinate of each grid, acquiring the residual gas reserve abundance and/or the residual movable gas reserve abundance of each single sand body according to the center coordinate of each grid and the residual gas reserve abundance and/or the residual movable gas reserve abundance of each grid, and further determining the distribution position and the distribution quantity of the residual gas and/or the residual movable gas.
The invention has the beneficial effects that:
the invention provides a residual oil/gas distributed description method, which can comprehensively calculate the reserve abundance of residual oil/gas or residual movable oil/gas through the relevant parameters of the residual oil/gas and can intuitively describe the plane distribution of the residual oil/gas.
Drawings
FIG. 1 is a flow chart depicting a method of residual oil/gas distribution of the present invention;
FIG. 2 is a plot of the abundance of remaining oil reserves in a given reservoir;
FIG. 3 is a schematic diagram of a three-dimensional model of a grid, a single sand body, and a layer system therebetween.
Detailed Description
The following further describes embodiments of the present invention with reference to the drawings:
the invention provides a description method of remaining oil distribution, which comprises the following steps:
1) outputting the node coordinates of each grid according to the numerical reservoir simulation result, and acquiring the thickness H and the porosity of an oil layer
Figure BDA0001758929870000051
Oil saturation SoCrude oil density ρoBound oil saturation SocAnd crude oil volume coefficient BoAccording to the thickness H and the porosity of the oil layer
Figure BDA0001758929870000052
Oil saturation SoCrude oil density ρoBound oil saturation SocAnd crude oil volume coefficient BoCalculating the remaining oil reserve abundance and/or the remaining mobile oil reserve abundance of each grid;
2) and calculating the center coordinate of each grid according to the node coordinate of each grid, acquiring the residual oil reserve abundance and/or the residual movable oil reserve abundance of each single sand body according to the center coordinate of each grid and the residual oil reserve abundance and/or the residual movable oil reserve abundance of each grid, and further determining the distribution position and the distribution quantity of the residual oil and/or the residual movable oil.
Further, the remaining oil reserve abundance and/or the remaining movable oil reserve abundance of each grid of the single sand body are superposed in a direction perpendicular to the ground level to obtain the remaining oil reserve abundance and/or the remaining movable oil reserve abundance of each sand group, the remaining oil reserve abundance and/or the remaining movable oil reserve abundance of the stratum system are obtained according to the remaining oil reserve abundance and/or the remaining movable oil reserve abundance of each sand group, and the distribution position and the distribution amount of the remaining oil and/or the remaining movable oil are determined according to the remaining oil reserve abundance and/or the remaining movable oil reserve abundance of the stratum system.
Further, in order to clearly see the distribution situation of the residual oil and/or the residual movable oil in each sand group or each bed series, according to the residual oil reserve abundance and/or the residual movable oil reserve abundance of each sand group or each bed series, a plan view with well position equivalence of the residual oil reserve abundance and/or the residual movable oil reserve abundance of each sand group or each bed series is made, and the distribution position and the distribution quantity of the residual oil and/or the residual movable oil are determined according to the plan view.
Further, in order to clearly see the distribution of the residual oil and/or the residual movable oil of each single sand body, a well position equivalent plane graph is made according to the residual oil reserve abundance and/or the residual movable oil reserve abundance of each single sand body, and the size of the numerical value in the well position equivalent plane graph represents the enrichment degree of the residual oil and/or the residual movable oil.
Specifically, as shown in fig. 1, a method for describing distribution of remaining oil, including a method for predicting distribution of remaining oil and remaining mobile oil, includes the following steps:
1. data acquisition and preparation:
1.1, outputting the node coordinates of each grid according to the numerical reservoir simulation result; the reservoir numerical simulation result of the embodiment can be obtained through general reservoir numerical simulation software, and the adopted software comprises VIP reservoir numerical simulation software of LANDMRK company, Schlumberger ECLIPSE reservoir numerical simulation software, CMG reservoir numerical simulation software and INTERSECT reservoir numerical simulation software jointly developed by Schlumberger company and Chevrolen energy technology company.
1.2 after the numerical simulation initialization of the oil reservoir, outputting the thickness H and the porosity of the oil layer
Figure BDA0001758929870000061
Data;
1.3 after the oil reservoir numerical simulation history is well fitted, outputting the oil saturation S of each grid at a certain timeoCrude oil density ρoBound oil saturation SocAnd crude oil volume coefficient BoForming a grid attribute file;
1.4 calculating the center coordinate of each network according to the output node coordinate of each network.
2. And (3) calculating the reserves abundance of the residual oil and the residual movable oil of the single sand body:
2.1 porosity according to reservoir thickness H
Figure BDA0001758929870000062
Oil saturation SoCrude oil density ρoBound oil saturation SocAnd crude oil volume coefficient BoCalculating the remaining oil reserve abundance and the remaining movable oil reserve abundance of each grid, wherein the expression of the remaining oil reserve abundance is as follows:
Figure BDA0001758929870000063
wherein, IoThe remaining oil reserves abundance, H the oil layer thickness,
Figure BDA0001758929870000064
is the porosity, poIs the density of crude oil, SoIs oil saturation, BoIs the volume factor of crude oil.
The expression for the remaining mobile oil reserve abundance is:
Figure BDA0001758929870000065
wherein, IomThe remaining mobile oil reserve abundance, H is the oil layer thickness,
Figure BDA0001758929870000066
is the porosity, poIs the density of crude oil, SoIs the oil saturation, Soc is the bound oil saturation, BoIs the volume factor of crude oil.
And 2.2, obtaining the residual oil reserve abundance and the residual movable oil reserve abundance of each single sand body according to the central coordinate of each grid and the residual oil reserve abundance and the residual movable oil reserve abundance of the corresponding grid, wherein the specific data format is x, y and z, the x and y refer to the ground coordinate, and the z refers to the specific values corresponding to the residual oil reserve abundance and the residual movable oil reserve abundance.
2.3 making an equivalent plan with well positions by utilizing the remaining oil reserve abundance and the remaining movable oil reserve abundance of each single sand body by using mapping software, wherein the numerical values respectively reflect the enrichment degrees of the remaining oil and the remaining movable oil.
3. Calculation of remaining oil reserves and remaining mobile oil reserves abundances for sand groups or strata:
and 3.1, adding the residual oil reserve abundance and the residual movable oil reserve abundance of each grid of the single sand body in a direction vertical to the ground level in a stacking manner to obtain the residual oil reserve abundance and the residual movable oil reserve abundance of the sand group.
And 3.2, adding the residual oil reserve abundance and the residual movable oil reserve abundance of each grid of the single sand body of the bed series in a direction vertical to the ground level in a stacking manner to obtain the residual oil reserve abundance and the residual movable oil reserve abundance of the sand group.
And 3.3, obtaining the residual oil reserve abundance and the residual movable oil reserve abundance of the stratum system through the central coordinates of the plane grid and the residual oil reserve abundance and the residual movable oil reserve abundance of the corresponding sand group, wherein the specific data format is x, y and z, as shown in the figure 2, the x and the y refer to the ground coordinates, and the z refers to the specific values corresponding to the residual oil reserve abundance and the residual movable oil reserve abundance.
And (3.4) making an equivalent plan map with well positions by utilizing the remaining oil reserve abundance and the remaining movable oil reserve abundance of the layer system by using mapping software, wherein the numerical values in the plan map respectively reflect the enrichment degrees of the remaining oil and the remaining movable oil.
The relationship among the grids, the single sand bodies, the sand groups and the bed series is shown in figure 3, x and y refer to the length and the width of the grids, z refers to the height of the grids, all the grids of each small layer are the single sand bodies, the relation between the No. 8 small layer and the grids is shown in the figure, the three-dimensional model shown in the figure is a 9 multiplied by 7 multiplied by 8 model, the model shows 1 bed series, one bed series longitudinally comprises 3 sand groups, 1 sand group comprises 3 (1, 2 and 3) small layers, 2 sand group comprises 3 (4, 5 and 6) small layers, and 3 sand group comprises 2 (7 and 8) small layers.
4. Description of distribution of remaining oil and use
The description of the residual oil distribution is the description by applying an equivalent graph of the residual oil reserve abundance and the residual movable oil reserve abundance, a residual oil concentration distribution area is positioned at a large value of an equivalent line, and a residual oil dispersion distribution area is positioned at a small value of the equivalent line. The remaining oil reserve abundance of a certain reservoir is shown in fig. 2 as an equivalent graph. And obtaining the drilling well or adjusting the injection-production relation of the residual oil centralized distribution area through the residual oil reserve abundance equivalent diagram, and excavating the residual oil or the residual movable oil.
In addition, the invention also provides a description method of the distribution of the residual gas, which comprises the following steps:
(1) outputting node coordinates of each grid according to a gas reservoir numerical simulation result, acquiring gas layer thickness, porosity, gas saturation, bound gas saturation, ground standard temperature, ground standard pressure, formation temperature and a gas deviation coefficient, and calculating residual gas reserves abundance and/or residual movable gas reserves abundance of each grid according to the gas layer thickness, porosity, gas saturation, bound gas saturation, ground standard temperature, ground standard pressure, formation temperature and the gas deviation coefficient;
(2) and calculating the center coordinate of each grid according to the node coordinate of each grid, acquiring the residual gas reserve abundance and/or the residual movable gas reserve abundance of each single sand body according to the center coordinate of each grid and the residual gas reserve abundance and/or the residual movable gas reserve abundance of each grid, and further determining the distribution position and the distribution quantity of the residual gas and/or the residual movable gas.
Further, the residual gas reserve abundance and/or the residual movable gas reserve abundance of each grid of the single sand body are stacked in layers in the direction perpendicular to the ground level to obtain the residual gas reserve abundance and/or the residual movable gas reserve abundance of each sand group, the residual movable gas reserve abundance and/or the residual movable gas reserve abundance of the layer series are obtained according to the residual gas reserve abundance and/or the residual movable gas reserve abundance of each sand group, and the distribution position and the distribution amount of the residual movable gas and/or the residual movable gas are determined according to the residual gas reserve abundance and/or the residual movable gas reserve abundance of the sand group or the layer series.
Further, in order to clearly see the distribution situation of the residual gas and/or the residual movable gas of the sand groups or the bed series, according to the residual gas reserve abundance and/or the residual movable gas reserve abundance of the sand groups or the bed series, a plan view with well position equivalence of the residual gas reserve abundance and/or the residual movable gas reserve abundance of each sand group or the bed series is made, and the distribution position and the distribution quantity of the residual gas and/or the residual movable gas are determined according to the plan view.
Further, in order to clearly see the distribution of the residual gas and/or the residual movable gas of each single sand body, a well position equivalent plane graph is made according to the residual gas reserve abundance and/or the residual movable gas reserve abundance of each single sand body, and the size of the numerical value in the well position equivalent plane graph represents the enrichment degree of the residual gas and/or the residual movable gas.
Specifically, the method for describing the distribution of the residual gas comprises a method for detecting the distribution of the residual gas and the residual movable gas, and comprises the following steps of:
A. data acquisition and preparation:
1a, outputting the node coordinates of each grid according to the gas reservoir numerical simulation result;
1b output gas layer thickness h and porosity after gas reservoir numerical simulation initialization
Figure BDA0001758929870000081
Data;
1c, after simulating the history according to the gas reservoir numerical value, outputting the gas saturation S of each grid at a certain momentgSaturation of bound gas SgcFormation pressure P, ground standard temperature TscGround standard pressure PscAnd a gas deviation coefficient Z, forming a grid attribute file;
1d calculating the center coordinates of each network according to the outputted node coordinates of each network.
B. Calculating the abundance of the residual gas and the residual movable gas reserves of the single sand body:
2a according to gas saturation SgSaturation of bound gas SgcFormation pressure P, formation temperature T, and ground standard temperature TscGround standard pressure PscAnd calculating the residual gas reserve abundance and the residual movable gas reserve abundance of each grid by using the gas deviation coefficient Z, wherein the expression of the residual gas reserve abundance is as follows:
Figure BDA0001758929870000091
wherein, IgIs the abundance of the remaining gas reserves, h is the gas layer thickness,
Figure BDA0001758929870000092
is porosity, SgIs the gas saturation, P is the formation pressure at a certain time, Z is the gas deviation coefficient, T is the gas formation temperature, TscIs ground standard temperature, PscIs the standard pressure at the ground.
The expression of the remaining mobile air reserve abundance is:
Figure BDA0001758929870000093
wherein, IgmThe abundance of the residual movable air reserves, h is the thickness of the air layer,
Figure BDA0001758929870000094
is porosity, SgIs the gas saturation, SgcFor irreducible gas saturation, P is a certainTime formation pressure, Z is gas deviation coefficient, T is gas layer temperature, TscIs ground standard temperature, PscIs the ground standard pressure; wherein the ground standard temperature Tsc20 ℃ and ground standard pressure PscThe pressure was 0.101 MPa.
And 2b, obtaining the residual gas reserve abundance and the residual movable gas reserve abundance of each single sand body through the central coordinate of each grid and the residual gas reserve abundance and the residual movable gas reserve abundance of the corresponding grid, wherein the specific data format is x, y and z, the x and y refer to ground coordinates, and the z refers to specific values corresponding to the residual gas reserve abundance and the residual movable gas reserve abundance.
2c, making an equivalent plan with a well position by using residual gas reserve abundance and residual movable gas reserve abundance of each single sand body by using mapping software, wherein the numerical values respectively reflect the enrichment degrees of residual gas and residual movable gas.
C. Calculation of remaining gas reserves and remaining mobile gas reserves abundances for sand groups or strata series:
and 3a, stacking the residual gas reserve abundance and the residual movable gas reserve abundance of each grid of the single sand body in a direction vertical to the ground level, so as to obtain the residual gas reserve abundance and the residual movable gas reserve abundance of the sand group.
And 3b, stacking the residual gas reserve abundance and the residual movable gas reserve abundance of each grid of the single sand body of the bed series in a direction vertical to the ground plane, so as to obtain the residual gas reserve abundance and the residual movable gas reserve abundance of the gas reservoir bed series.
And 3c, making the residual gas reserve abundance and the residual movable gas reserve abundance of each sand group or each bed series according to the central coordinates of the plane grids and the residual gas reserve abundance or the residual movable gas reserve abundance of the corresponding sand group and bed series grids, wherein the specific data format is x, y and z, the x and y refer to x and y and the ground coordinates, and the z refers to the specific values corresponding to the residual gas reserve abundance and the residual movable gas reserve abundance.
And 3d, making an equivalent plan with a well position by using residual gas reserve abundance and residual movable gas reserve abundance of each sand group or layer system by using mapping software, wherein the numerical values respectively reflect the enrichment degree of residual gas or residual movable gas.
D. Description of distribution of residual gas and use thereof
The description of the residual gas distribution is realized by applying an equivalent graph of the residual gas reserve abundance and the residual movable gas reserve abundance, a residual gas concentration distribution area is arranged at a position with a large value of an equivalent line, and a residual gas dispersion distribution area is arranged at a position with a small value of the equivalent line. And (4) obtaining the drilling well of the residual gas concentrated distribution area or adjusting the injection-production relation through the residual gas reserves abundance equivalence map, and excavating the residual gas or the residual movable gas.
The specific embodiments are given above, but the present invention is not limited to the above-described embodiments. The basic idea of the present invention lies in the above basic scheme, and it is obvious to those skilled in the art that no creative effort is needed to design various modified models, formulas and parameters according to the teaching of the present invention. Variations, modifications, substitutions and alterations may be made to the embodiments without departing from the principles and spirit of the invention, and still fall within the scope of the invention.

Claims (10)

1. A method for describing the distribution of residual oil, comprising the steps of:
1) outputting node coordinates of each grid according to an oil reservoir numerical simulation result, acquiring oil layer thickness, porosity, oil saturation, crude oil density, bound oil saturation and crude oil volume coefficient, and calculating remaining oil reserve abundance and/or remaining movable oil reserve abundance of each grid according to the oil layer thickness, porosity, oil saturation, crude oil density, bound oil saturation and crude oil volume coefficient;
2) and calculating the center coordinate of each grid according to the node coordinate of each grid, acquiring the residual oil reserve abundance and/or the residual movable oil reserve abundance of each single sand body according to the center coordinate of each grid and the residual oil reserve abundance and/or the residual movable oil reserve abundance of each grid, and further determining the distribution position and the distribution quantity of the residual oil and/or the residual movable oil.
2. The description method of the remaining oil distribution as recited in claim 1, wherein in step 2), the remaining oil reserve abundance and/or the remaining mobile oil reserve abundance of each grid of the single sand body are stacked in layers in a direction perpendicular to the ground level to obtain the remaining oil reserve abundance and/or the remaining mobile oil reserve abundance of each sand group, the remaining oil reserve abundance and/or the remaining mobile oil reserve abundance of the bed series are obtained according to the remaining oil reserve abundance and/or the remaining mobile oil reserve abundance of each sand group, and the distribution position and the distribution amount of the remaining oil and/or the remaining mobile oil are determined according to the remaining oil reserve abundance and/or the remaining mobile oil reserve abundance of the bed series.
3. The method for describing the remaining oil distribution according to claim 2, wherein a plan view with well position values of the remaining oil reserve abundance and/or the remaining mobile oil reserve abundance of each sand group or layer is made based on the remaining oil reserve abundance and/or the remaining mobile oil reserve abundance of each sand group or layer, and the distribution position and the distribution amount of the remaining oil and/or the remaining mobile oil of each sand group or layer are determined based on the plan view.
4. The residual oil distribution description method according to claim 1, wherein a well-position equivalent plan is made according to the residual oil reserve abundance and/or the residual movable oil reserve abundance of each single sand body, and the size of the numerical value in the well-position equivalent plan indicates the enrichment degree of the residual oil and/or the residual movable oil.
5. The residual oil distribution description method according to claim 4, wherein the residual oil reserve abundance is expressed by:
Figure FDA0001758929860000011
wherein, IoThe remaining oil reserves abundance, H the oil layer thickness,
Figure FDA0001758929860000012
is degree of porosity,ρoIs the density of crude oil, SoIs oil saturation, BoIs the volume factor of crude oil.
6. The method for describing the remaining oil distribution according to claim 4, wherein the expression of the remaining mobile oil reserve abundance is:
Figure FDA0001758929860000021
wherein, IomThe remaining mobile oil reserve abundance, H is the oil layer thickness,
Figure FDA0001758929860000022
is the porosity, poIs the density of crude oil, SoIs the oil saturation, SocTo limit oil saturation, BoIs the volume factor of crude oil.
7. A description method of residual gas distribution is characterized by comprising the following steps:
(1) outputting node coordinates of each grid according to a gas reservoir numerical simulation result, acquiring gas layer thickness, porosity, gas saturation, bound gas saturation, ground standard temperature, ground standard pressure, formation temperature and a gas deviation coefficient, and calculating residual gas reserves abundance and/or residual movable gas reserves abundance of each grid according to the gas layer thickness, porosity, gas saturation, bound gas saturation, ground standard temperature, ground standard pressure, formation temperature and the gas deviation coefficient;
(2) and calculating the center coordinate of each grid according to the node coordinate of each grid, acquiring the residual gas reserve abundance and/or the residual movable gas reserve abundance of each single sand body according to the center coordinate of each grid and the residual gas reserve abundance and/or the residual movable gas reserve abundance of each grid, and further determining the distribution position and the distribution quantity of the residual gas and/or the residual movable gas.
8. The residual gas distribution description method according to claim 7, wherein in the step (2), the residual gas reserve abundance and/or the residual movable gas reserve abundance of each grid of the single sand body are stacked in layers in a direction perpendicular to the ground plane to obtain the residual gas reserve abundance and/or the residual movable gas reserve abundance of each sand group, the residual gas reserve abundance and/or the residual movable gas reserve abundance of the bed series are obtained according to the residual gas reserve abundance and/or the residual movable gas reserve abundance of each sand group, and the distribution position and the distribution amount of the residual gas and/or the residual movable gas are determined according to the residual gas reserve abundance and/or the residual movable gas reserve abundance of the bed series.
9. A device for describing a distribution of residual oil, comprising a memory, a processor and a computer program stored on the memory and being executable on the processor, wherein the processor when executing the program performs the steps of:
1) outputting node coordinates of each grid according to an oil reservoir numerical simulation result, acquiring oil layer thickness, porosity, oil saturation, crude oil density, bound oil saturation and crude oil volume coefficient, and calculating remaining oil reserve abundance and/or remaining movable oil reserve abundance of each grid according to the oil layer thickness, porosity, oil saturation, crude oil density, bound oil saturation and crude oil volume coefficient;
2) and calculating the center coordinate of each grid according to the node coordinate of each grid, acquiring the residual oil reserve abundance and/or the residual movable oil reserve abundance of each single sand body according to the center coordinate of each grid and the residual oil reserve abundance and/or the residual movable oil reserve abundance of each grid, and further determining the distribution position and the distribution quantity of the residual oil and/or the residual movable oil.
10. A device for describing a distribution of residual gas, comprising a memory, a processor and a computer program stored on the memory and executable on the processor, wherein the processor executes the program to perform the steps of:
(1) outputting node coordinates of each grid according to a gas reservoir numerical simulation result, acquiring gas layer thickness, porosity, gas saturation, bound gas saturation, ground standard temperature, ground standard pressure, formation temperature and a gas deviation coefficient, and calculating residual gas reserves abundance and/or residual movable gas reserves abundance of each grid according to the gas layer thickness, porosity, gas saturation, bound gas saturation, ground standard temperature, ground standard pressure, formation temperature and the gas deviation coefficient;
(2) and calculating the center coordinate of each grid according to the node coordinate of each grid, acquiring the residual gas reserve abundance and/or the residual movable gas reserve abundance of each single sand body according to the center coordinate of each grid and the residual gas reserve abundance and/or the residual movable gas reserve abundance of each grid, and further determining the distribution position and the distribution quantity of the residual gas and/or the residual movable gas.
CN201810899113.8A2018-08-082018-08-08Description method and device for residual oil/gas distributionActiveCN110863818B (en)

Priority Applications (1)

Application NumberPriority DateFiling DateTitle
CN201810899113.8ACN110863818B (en)2018-08-082018-08-08Description method and device for residual oil/gas distribution

Applications Claiming Priority (1)

Application NumberPriority DateFiling DateTitle
CN201810899113.8ACN110863818B (en)2018-08-082018-08-08Description method and device for residual oil/gas distribution

Publications (2)

Publication NumberPublication Date
CN110863818Atrue CN110863818A (en)2020-03-06
CN110863818B CN110863818B (en)2023-08-29

Family

ID=69650891

Family Applications (1)

Application NumberTitlePriority DateFiling Date
CN201810899113.8AActiveCN110863818B (en)2018-08-082018-08-08Description method and device for residual oil/gas distribution

Country Status (1)

CountryLink
CN (1)CN110863818B (en)

Cited By (3)

* Cited by examiner, † Cited by third party
Publication numberPriority datePublication dateAssigneeTitle
CN112459775A (en)*2020-11-262021-03-09中国石油天然气集团有限公司Residual oil dispersion degree characterization method
CN112796748A (en)*2021-03-052021-05-14中国海洋石油集团有限公司Method for quantitative characterization of residual oil occurrence mode in layer
CN112945829A (en)*2021-02-072021-06-11西安石油大学Method and system for analyzing water drive residual oil of tight sandstone reservoir

Citations (8)

* Cited by examiner, † Cited by third party
Publication numberPriority datePublication dateAssigneeTitle
CA2177623A1 (en)*1996-05-291997-11-30Lloyd G. AlexanderMethod of determining inflow rates from underbalanced wells
CN103679540A (en)*2013-12-312014-03-26中国石油大学(北京)Reservoir model coarsening method and system based on reservoir architecture element interfaces
CN104747154A (en)*2015-03-052015-07-01中国石油天然气股份有限公司Method for improving research precision of steam flooding residual oil by utilizing oil displacement efficiency ratio
CN106351651A (en)*2016-08-262017-01-25中国石油天然气股份有限公司Shale gas well productivity prediction method and device
CN106481332A (en)*2015-08-312017-03-08中国石油化工股份有限公司Method for determining area's dynamic holdup inside and outside shale gas multistage pressure break horizontal well
CN106802988A (en)*2017-01-062017-06-06中海石油(中国)有限公司 A Method for Estimating Remaining Flowable Reserves
CN106837289A (en)*2016-12-292017-06-13中国石油天然气集团公司A kind of method and apparatus for determining well location
CN107849910A (en)*2015-05-202018-03-27沙特阿拉伯石油公司 Parallel solution or fully coupled fully implicit wellbore modeling in reservoir simulation

Patent Citations (8)

* Cited by examiner, † Cited by third party
Publication numberPriority datePublication dateAssigneeTitle
CA2177623A1 (en)*1996-05-291997-11-30Lloyd G. AlexanderMethod of determining inflow rates from underbalanced wells
CN103679540A (en)*2013-12-312014-03-26中国石油大学(北京)Reservoir model coarsening method and system based on reservoir architecture element interfaces
CN104747154A (en)*2015-03-052015-07-01中国石油天然气股份有限公司Method for improving research precision of steam flooding residual oil by utilizing oil displacement efficiency ratio
CN107849910A (en)*2015-05-202018-03-27沙特阿拉伯石油公司 Parallel solution or fully coupled fully implicit wellbore modeling in reservoir simulation
CN106481332A (en)*2015-08-312017-03-08中国石油化工股份有限公司Method for determining area's dynamic holdup inside and outside shale gas multistage pressure break horizontal well
CN106351651A (en)*2016-08-262017-01-25中国石油天然气股份有限公司Shale gas well productivity prediction method and device
CN106837289A (en)*2016-12-292017-06-13中国石油天然气集团公司A kind of method and apparatus for determining well location
CN106802988A (en)*2017-01-062017-06-06中海石油(中国)有限公司 A Method for Estimating Remaining Flowable Reserves

Non-Patent Citations (4)

* Cited by examiner, † Cited by third party
Title
李兴业等: "剩余气监测技术的应用及改进", 《河南化工》*
滕英翠: "地质储量丰度在剩余油研究中的应用", 《内江科技》*
王烽: "鄂尔多斯盆地东部神木区块二叠系山西组致密砂岩气低产主控因素分析", 《天然气地球科学》*
肖博等: "气井合理产能优化研究", 《内蒙古石油化工》*

Cited By (4)

* Cited by examiner, † Cited by third party
Publication numberPriority datePublication dateAssigneeTitle
CN112459775A (en)*2020-11-262021-03-09中国石油天然气集团有限公司Residual oil dispersion degree characterization method
CN112945829A (en)*2021-02-072021-06-11西安石油大学Method and system for analyzing water drive residual oil of tight sandstone reservoir
CN112796748A (en)*2021-03-052021-05-14中国海洋石油集团有限公司Method for quantitative characterization of residual oil occurrence mode in layer
CN112796748B (en)*2021-03-052023-05-23中国海洋石油集团有限公司Method for quantitatively representing occurrence mode of residual oil in layer

Also Published As

Publication numberPublication date
CN110863818B (en)2023-08-29

Similar Documents

PublicationPublication DateTitle
CN105651676B (en)A kind of reservoir heterogeneity characterizing method under horizontal well rule well pattern
CN102930345B (en)A kind of self-adaptation well net optimization method based on gradient algorithm
US8463586B2 (en)Machine, program product, and computer-implemented method to simulate reservoirs as 2.5D unstructured grids
CN113313825B (en)Three-dimensional geological modeling method and device for oil reservoir
CN104750896B (en)A kind of fractured-cavernous carbonate reservoir method for numerical simulation
US9026420B2 (en)Method and system of updating a geocellular model
Li et al.Estimation of relative permeability by assisted history matching using the ensemble Kalman filter method
JP2018119967A (en)Computer implementation method, data processing system, and data storage device
CN109753671B (en) A Precise Well Location Optimization Method Based on Fish Swarm Algorithm
CN110056346B (en)Oil reservoir three-dimensional original water saturation simulation method based on trend change function
US20160342718A1 (en)Adaptive multiscale multi-fidelity reservoir simulation
CN102339325A (en)Method for analyzing flow of discrete fractured reservoir fluid
CN105652341B (en)Rapid quantitative ancient landform restoration method considering ancient structure influence
CN110863818A (en)Description method and device for residual oil/gas distribution
CN114549774A (en) A 3D stratigraphic modeling method based on borehole data
CN104574513A (en)Representation method for accurately depicting three-dimensional distribution of interlayers based on geometrical morphology
CN108241785A (en)A kind of fine characterizing method of Heterogeneous reservoir saturation field
CN115618768A (en) A Calculation Method for Effective Gas Storage Space of Gas Storage
CN107886573A (en)A kind of complex geological condition slope three-dimensional finite element mesh generation method
CA2803144C (en)Machine, program product, and computer-implemented method to simulate reservoirs as 2.5d unstructured grids
CN111768503B (en)Sea sand resource amount estimation method based on three-dimensional geological model
CN115019004B (en) A method for calculating oil and gas reserves based on reservoir geological modeling
CN112507551B (en)Unstructured dynamic mesh generation method and device
CN108254779A (en)Three-dimensional construction modeling method
CN115545480B (en) A method for evaluating reservoir connectivity based on lithofacies model

Legal Events

DateCodeTitleDescription
PB01Publication
PB01Publication
SE01Entry into force of request for substantive examination
SE01Entry into force of request for substantive examination
GR01Patent grant
GR01Patent grant

[8]ページ先頭

©2009-2025 Movatter.jp