

技术领域technical field
本发明涉及一种绿色施工评价方法,尤其是一种针对地铁绿色施工的评价。The invention relates to a green construction evaluation method, in particular to the evaluation of the subway green construction.
背景技术Background technique
随着城市化进程的加快、大城市人口规模的持续增长,城市轨道交通凭借其“快捷有效、 安全舒适、环保节能”的大容量运输服务,成为城市交通系统中的骨干主体。区别于普通工 程的施工过程,地铁施工通常在城市的密集生活区域展开,整个施工过程被严格局限在受限 空间中,即上部有较大车流量的立交桥,周边紧邻商业区和居民区,甚至还有可能存在重点 文物保护单位,故地铁施工环境保护要求高、施工技术难度大,需引起格外的重视。With the acceleration of urbanization and the continuous growth of the population of large cities, urban rail transit has become the backbone of the urban transportation system by virtue of its large-capacity transportation services that are “fast, effective, safe, comfortable, environmentally friendly and energy-saving”. Different from the construction process of ordinary projects, subway construction is usually carried out in the dense living areas of the city, and the entire construction process is strictly limited to a restricted space, that is, an overpass with a large traffic flow on the upper part, and the surrounding areas are close to commercial areas and residential areas, and even There may also be key cultural relics protection units, so the subway construction has high environmental protection requirements and difficult construction techniques, which need to be paid special attention.
但目前对于地铁绿色施工的研究还较为匮乏,尤其是针对受限空间的地铁施工过程。例如杜 中华等提出的基于熵值法的乌鲁木齐地铁绿色施工评价体系较为笼统,未较好地针对地铁施 工的特点;王敏提出的青岛地铁工程绿色施工评估体系则针对基坑“土岩组合”的特点而未 考虑受限空间的影响。故现阶段缺乏有效的方法和科学的标准来衡量受限空间下的地铁绿色 施工水平,需要研究一种全面有效的评价体系来指导该特殊情况下的地铁绿色施工过程。However, there is still a lack of research on subway green construction, especially for the subway construction process in confined spaces. For example, the green construction evaluation system of Urumqi subway based on entropy method proposed by Du Zhonghua et al. characteristics without considering the effects of confined spaces. Therefore, at this stage, there is no effective method and scientific standard to measure the level of subway green construction in restricted space. It is necessary to study a comprehensive and effective evaluation system to guide the subway green construction process in this special case.
发明内容SUMMARY OF THE INVENTION
本发明的目的在于提供一种基于层次分析和灰色关联度的受限空间地铁绿色施工评价方 法,针对上方有立交桥,周围有商圈、居民区、文物保护单位等这种复杂局限空间下的地铁 施工进行全面有效的综合评价,为施工方案的拟定工作提供科学依据。The purpose of the present invention is to provide a method for evaluating the green construction of a subway in a limited space based on AHP and gray correlation, aiming at a subway in a complicated and limited space with an overpass above and surrounded by business circles, residential areas, cultural relics protection units, etc. A comprehensive and effective comprehensive evaluation of the construction is carried out to provide a scientific basis for the formulation of the construction plan.
本发明解决其技术问题所采用的技术方案包括以下步骤:The technical scheme adopted by the present invention to solve its technical problem comprises the following steps:
(1)确定影响因素,建立层次结构:把受限空间地铁绿色施工综合评价作为目标层,从绿色施 工过程相关评价部门的角度出发,从多方面来进行综合评价,并将其作为指标体系的准则层。 其后进一步形成定量或定性的二级指标、三级指标,形成综合完整的综合评价体系的层次模 型,全面评价受限空间地铁绿色施工的社会、环境、经济效益。(1) Determine the influencing factors and establish a hierarchical structure: take the comprehensive evaluation of the green construction of the subway in confined spaces as the target layer, and from the perspective of the relevant evaluation departments of the green construction process, conduct comprehensive evaluations from many aspects, and use it as the indicator system. standard layer. Afterwards, quantitative or qualitative secondary and tertiary indicators are further formed to form a comprehensive and complete hierarchical model of the comprehensive evaluation system to comprehensively evaluate the social, environmental and economic benefits of the green construction of subways in confined spaces.
(2)根据专家意见,运用层次分析法计算各指标权重:建立递阶层次结构后,根据1~9的 标度原理,对各层次中的指标权重进行两两判断,构造判断矩阵A=(aij)n×m;对判断矩阵 进行进行排序计算,求解矩阵A的特征根,根据AW=λmaxW,计算其最大特征根λmax,计算出其所对应的特征向量W,即得到指标层对其上一层的相对权重,之后对其进行一致性检验;仿照上述步骤逐层进行层次单排序,其后进行层次总排序,确定各指标相对总目标的权重。(2) Calculate the weights of each index by using the AHP method according to the opinions of experts: After establishing the hierarchical structure, according to the scaling principle of 1 to 9, make a pairwise judgment on the weights of the indexes in each level, and construct a judgment matrix A=( aij )n×m ; perform sorting and calculation on the judgment matrix, solve the characteristic root of matrix A, calculate its maximum characteristic root λmax according to AW=λmax W, and calculate its corresponding characteristic vector W, that is, obtain the index The relative weight of the layer to the previous layer is then checked for consistency. Following the above steps, the single-layer sorting is carried out layer by layer, and then the total hierarchical sorting is carried out to determine the weight of each index relative to the overall target.
(3)确定理想方案:它是根据实际情况,以及各指标可能出现的最好情况而确定的,将各指 标的最优值构成一个虚拟的最优方案X0=(x10,x20,…,xm0),其中xj0(j=1,2,…,n)表示第j 个指标的最优值。(3) Determining the ideal plan: it is determined according to the actual situation and the best possible situation of each index, and the optimal value of each index constitutes a virtual optimal plan X0 =(x10 , x20 ,...,xm0 ), where xj0 (j=1,2,...,n) represents the optimal value of the jth index.
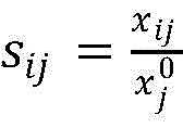
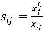
(4)构建评价矩阵,规范化处理,确定参考、比较序列:设有n个待评价方案,每个方案都 有m个评价指标,则Xi=(xi1,xi2,…xim)为方案i的m个原始数据,xij表示方案i的第j个指标值,和最优方案X0可构成评价矩阵:(4) Construct an evaluation matrix, standardize it, and determine the reference and comparison sequence: there are n plans to be evaluated, and each plan has m evaluation indicators, then Xi =(xi1 ,xi2 ,...xim ) is The m original data of scheme i, xij represents the j-th index value of scheme i, and the optimal scheme X0 can form an evaluation matrix:
对矩阵X进行规范化处理,对于效益型指标令或对于成本型指标令或因此得到X的规范化矩阵:Normalize the matrix X, and for the benefit index order or For cost index order or So get the normalized matrix of X:
将经规范化处理后的理想方案S0作为参考数列,将经规范化处理的待评价方案Si作为比较 数列;Take the normalized ideal solution S0 as the reference sequence, and the normalized solution to be evaluated Si as the comparison sequence;
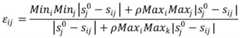
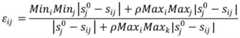
利用灰色关联法计算关联度:确定参考数列和比较数列后,可利用下式确定带评价方案Xi的决策矩阵Si中各元素的关联数εij:Use the grey correlation method to calculate the correlation degree: After the reference sequence and the comparison sequence are determined, the correlation number εij of each element in the decisionmatrix Si with the evaluation scheme Xi can be determined by the following formula:
则该待评价方案的关联度为各元素的关联数与其权重乘积的和,即评价结果式中wj为第j个指标的权重。Then the relevance degree of the scheme to be evaluated is the sum of the product of the relevance number of each element and its weight, that is, the evaluation result. where wj is the weight of the j-th indicator.
评价分析项目综合效益:待评价施工方案得分越高,则其与理想方案的关联度越大,表 示待评价施工方案越接近理想方案,综合效益越好;待评价施工方案得分越低,则其与理想 方案的关联度越小,表示离理想方案越远,综合效益越差。Evaluation and analysis of the comprehensive benefits of the project: the higher the score of the construction scheme to be evaluated, the greater the degree of correlation between it and the ideal scheme, indicating that the construction scheme to be evaluated is closer to the ideal scheme, and the comprehensive benefits are better; the lower the score of the construction scheme to be evaluated, the better The smaller the degree of correlation with the ideal scheme, the farther away from the ideal scheme, the worse the comprehensive benefit.
本发明有益效果是:定义了受限空间概念,引入了特别针对受限空间地铁施工的评价体系, 弥补了相关领域在这一方面的空白,为确定类似情况下的地铁施工方法提供了科学可靠的依 据。本发明公开的评价体系基于多目标层次分析法和灰色关联分析法的结合,克服了关联分 析法对各评价指标主次不分的不足,也克服了层次分析法过分依赖评价指标权重的缺陷,改 善了使用单一方法的评价体系中存在问题,加强了评价体系的可靠性。The beneficial effects of the present invention are as follows: the concept of confined space is defined, and an evaluation system especially for subway construction in confined space is introduced, which makes up for the blank of related fields in this aspect, and provides a scientific and reliable method for determining the subway construction method under similar circumstances. basis. The evaluation system disclosed by the invention is based on the combination of the multi-objective analytic hierarchy process and the grey relational analysis method. The existing problems in the evaluation system using a single method have been improved, and the reliability of the evaluation system has been strengthened.
附图说明Description of drawings
图1是本发明的流程框图。FIG. 1 is a flow chart of the present invention.
图2是本发明的评价指标体系层次结构模型图。FIG. 2 is a model diagram of a hierarchical structure of an evaluation index system of the present invention.
图3是1~9标度原理的表格图。FIG. 3 is a tabular diagram of the principle of the 1-9 scale.
具体实施方式Detailed ways
为使本发明的实施的目的、技术方案等更加清楚,下面将结合本发明实施里中的附图, 对本发明的技术方案进行更加详细的补充描述。所描述的实施例是本发明的一部分实施例, 而不是全部实施例。下面通过参考附图描述的实施例是示例性的,旨在用于解释本发明,而 不能理解为对本发明的限制。In order to make the implementation purpose and technical solutions of the present invention clearer, the technical solutions of the present invention will be described in more detail below with reference to the accompanying drawings in the implementation of the present invention. The described embodiments are some, but not all, of the embodiments of the present invention. The embodiments described below with reference to the accompanying drawings are exemplary, and are intended to explain the present invention and should not be construed as limiting the present invention.
一种基于层次分析法和灰度关联分析法的受限空间地铁绿色施工评价方法,其包括:A method for evaluating green construction of a subway in confined space based on AHP and gray correlation analysis, comprising:
(1)确定影响因素,建立层次结构:从绿色施工过程相关评价部门的角度出发,从多方面来 进行综合评价,将其作为指标体系的准则层。其后进一步形成定量或定性的二级指标、三级 指标,形成综合完整的综合评价体系的层次模型,如图2所示。这里将受限空间地铁绿色施 工评价体系作为总目标,将其分为环境污染、资源节约、施工管理、技术措施和受限空间施 工对周边影响等五个方面,作为准则层。特别说明的是,由于受限空间地铁施工现场常位于 城中密集区域,施工环境极为复杂,对周边的影响也是多维度的、多层次的。故为针对本发 明所提出的受限空间——上方有立交桥,周围有居民区、商铺和文物保护单位,在评价体系 中针对性地引入受限空间施工对周边影响这一指标,并将其放在准则层以突出其重要性,区 别于一些其他地铁绿色施工评价体系将该项作为更低等级的指标。具体地,该指标又分为对 古建筑的影响、对交通的影响、对居民生活的影响、对周边商圈的影响、对地质的影响等二 级指标,又将各二级指标再细化为三级指标,如将对商圈的影响分为商圈人流量、商圈在施 工期间的盈利额等指标,多方面多角度地对其影响进行细致的评估。其次,桩基托换技术日 趋成熟,在上方有立交桥的施工场合被大量运用,对保证立交桥的交通畅通起到了关键的作 用,故在建立评价体系时将其作为单独的技术措施分指标区别于其他技术的使用。同时,又 将桩基托换技术分为社会、经济、环境效益等三个次级指标,对这一多运用于上有立交桥的 地铁施工场合下的特殊技术进行全面的评价,以强调受限空间下使用该技术的重要性。通过 上述方法建立的评价体系能更加有针对性地对受限空间地铁绿色施工进行综合评价。(1) Determine the influencing factors and establish a hierarchical structure: from the perspective of the relevant evaluation departments of the green construction process, comprehensive evaluation is carried out from many aspects, and it is used as the criterion layer of the index system. Subsequently, quantitative or qualitative secondary and tertiary indicators are further formed to form a comprehensive and complete hierarchical model of the comprehensive evaluation system, as shown in Figure 2. Here, the green construction evaluation system of the confined space subway is taken as the overall goal, and it is divided into five aspects: environmental pollution, resource conservation, construction management, technical measures, and the impact of confined space construction on the surrounding area, as the criterion layer. In particular, because the confined space subway construction sites are often located in dense urban areas, the construction environment is extremely complex, and the impact on the surrounding area is also multi-dimensional and multi-layered. Therefore, for the restricted space proposed by the present invention—there is an overpass above, and there are residential areas, shops and cultural relics protection units around, the index of the impact of restricted space construction on the surrounding area is introduced into the evaluation system, and the It is placed on the criterion layer to highlight its importance, which is different from some other subway green construction evaluation systems that use this item as a lower-level indicator. Specifically, this indicator is further divided into secondary indicators such as the impact on ancient buildings, the impact on traffic, the impact on residents' lives, the impact on surrounding business districts, and the impact on geology. Each secondary indicator is further refined. It is a three-level indicator. For example, the impact on the business district is divided into indicators such as the flow of people in the business district, the profit of the business district during the construction period, etc., and conduct a detailed assessment of its impact from various aspects and angles. Secondly, the pile foundation underpinning technology is becoming more and more mature, and it is widely used in construction sites with overpasses above it, which plays a key role in ensuring the smooth traffic of the overpasses. Use of other technologies. At the same time, the pile foundation underpinning technology is divided into three sub-indexes such as social, economic and environmental benefits, and a comprehensive evaluation of this special technology, which is mostly used in subway construction occasions with overpasses, is carried out to emphasize the limited The importance of using this technology in space. The evaluation system established by the above method can comprehensively evaluate the green construction of the subway in confined space more pertinently.
(2)根据专家意见,运用层次分析法计算各指标权重:建立递阶层次结构后,根据1~9的 标度原理,对各层次中的指标权重进行两两判断,构造判断矩阵A=(aij)n×m。其中1~9标 度方法具体如图3所示。人们总是用相同、较强、强、很强、极端强的语言,在进一步细分 可以在相邻的两级中插入折中的提法,因此对于大多数决策判断来说,1~9级的标度是适用 的。其次,心理学表明,大多数人对不同事物在相同的属性上差别的分辨能力在7±2之间, 采用1~9的标度反映多数人的判断能力。当然,根据问题的特点也可以采用其他类型的标度 方法,如0~1标度、指数型标度等。(2) Calculate the weights of each index by using the AHP method according to the opinions of experts: After establishing the hierarchical structure, according to the scaling principle of 1 to 9, make a pairwise judgment on the weights of the indexes in each level, and construct a judgment matrix A=( aij )n×m . The 1-9 scale method is specifically shown in Figure 3. People always use the same language, strong, strong, very strong, and extremely strong. In further subdivisions, a compromise can be inserted between two adjacent levels. Therefore, for most decision-making judgments, 1 to 9 A scale of grades is applicable. Secondly, psychology shows that most people's ability to distinguish the difference between different things in the same attribute is between 7±2, and the scale of 1 to 9 is used to reflect the judgment ability of most people. Of course, other types of scaling methods, such as 0-1 scaling, exponential scaling, etc., can also be used according to the characteristics of the problem.
对判断矩阵进行进行排序计算,求解矩阵A的特征根,根据AW=λmaxW,计算其最大特征根λmax,计算出其所对应的特征向量W,即得到指标层对其上一层的相对权重,具体计算方法有行和正规化法、列和求逆法、乘积方根法、迭代法、对数最小二乘法、最小二乘法、最小偏差法等,在此不做赘述。Sort and calculate the judgment matrix, solve the characteristic root of matrix A, calculate its maximum characteristic root λmax according to AW=λmax W, and calculate its corresponding eigenvector W, that is, obtain the index layer of the upper layer. The specific calculation methods for relative weights include row sum normalization method, column sum inversion method, product square root method, iterative method, log least squares method, least squares method, minimum deviation method, etc., which will not be repeated here.
得到相对权重后对其进行一致性检验。本发明公开的评价体系邀请各领域专家独立地对 各指标的权重进行判断,理想的判断矩阵应满足一致性要求,然而评价体系中的底层指标数 n较多,出于受专家知识水平和个人偏好的影响,现实的判断矩阵往往很难满足条件。为保 证其排序结果的可信度和准确性,必须进行一致性判断。衡量不一致程度的数量,即一致性 指标C.I.通过下式确定:After the relative weights are obtained, they are checked for consistency. The evaluation system disclosed in the present invention invites experts in various fields to independently judge the weight of each index. The ideal judgment matrix should meet the consistency requirements. However, the number of bottom-level indexes in the evaluation system is relatively large. The influence of preferences, the reality judgment matrix is often difficult to meet the conditions. In order to ensure the credibility and accuracy of its ranking results, consistency judgments must be made. The quantity that measures the degree of inconsistency, the consistency index C.I., is determined by:
C.I.=0时,判断矩阵具有完全一致性,C.I.越大,判断矩阵的一致性越差。When C.I.=0, the judgment matrix is completely consistent, and the larger the C.I., the worse the consistency of the judgment matrix.
仿照上述步骤逐层进行层次单排序,其后进行层次总排序,确定各指标相对总目标的权 重。层次总排序即利用同一层次中所有层次单排序的结果,计算针对上一层次而言本层次所 有因素重要性的权值,需要从上而下逐层进行。假定上一层所有因素A1,A2,…,An的总排 序已完成,得到权值分别为a1,a2,…,an与它们所对应的本层因素B1,B2,…,Bn单排序结 果为则层次总排序如下表所示:Following the above steps, single-level sorting is performed layer by layer, and then a total hierarchical sorting is performed to determine the weight of each indicator relative to the overall target. Hierarchical total sorting is to use the results of single sorting of all levels in the same level to calculate the weights of the importance of all factors in this level for the previous level, which needs to be carried out layer by layer from top to bottom. Assuming that the total sorting of all factors A1, A2, ..., An in the previous layer has been completed, the obtained weights are a1, a2, ..., an and their corresponding factors in this layer B1, B2, ..., Bn. The single sorting result is: The total ordering of the hierarchy is shown in the following table:
(3)确定理想方案:它是根据实际情况,以及各指标可能出现的最好情况而确定的,将各指 标的最优值构成一个虚拟的最优方案X0=(x10,x20,…,xm0),其中xj0(j=1,2,…,n)表示第j 个指标的最优值。(3) Determining the ideal plan: it is determined according to the actual situation and the best possible situation of each index, and the optimal value of each index constitutes a virtual optimal plan X0 =(x10 , x20 ,...,xm0 ), where xj0 (j=1,2,...,n) represents the optimal value of the jth index.
(4)构建评价矩阵,规范化处理,确定参考、比较序列:设有n个待评价方案,每个方案都 有m个评价指标,则Xi=(xi1,xi2,…xim)为方案i的m个原始数据,xij表示方案i的第j个指标值,和最优方案X0可构成评价矩阵:(4) Construct an evaluation matrix, standardize it, and determine the reference and comparison sequence: there are n plans to be evaluated, and each plan has m evaluation indicators, then Xi =(xi1 ,xi2 ,...xim ) is The m raw data of scheme i, xij represents the jth index value of scheme i, and the optimal scheme X0 can form an evaluation matrix:
上述矩阵中部分指标可能是非量化的定性指标,因此按灰色系统理论可将其视为灰数, 然后根据定性情况作相应的白化权函数处理。例如在本发明公开的受限空间地铁绿色施工评 价体系中,扬尘、机械设备废气、古建筑受损程度等是越小越好的成本型指标;而商圈在施 工期间的盈利额、古建筑保护措施完善程度等则属于越大越好的效益型指标。这些指标往往 具有不同的量纲,且数值间差异较大,为消除它们对决策效果的影响,需要对指标特征量矩 阵X作规范化处理,方法如下:对于效益型指标令或对于成本型指标令或因此得到X的规范化矩阵:Some indicators in the above matrix may be non-quantified qualitative indicators, so they can be regarded as gray numbers according to the grey system theory, and then the corresponding whitening weight function is processed according to the qualitative situation. For example, in the limited space subway green construction evaluation system disclosed in the present invention, dust, exhaust gas from machinery and equipment, and damage to ancient buildings are cost-based indicators that are as small as possible. The degree of perfection of protection measures belongs to the benefit-type indicators that the bigger the better. These indicators often have different dimensions, and the differences between the values are large. In order to eliminate their influence on the decision-making effect, it is necessary to normalize the indicator feature matrix X. The method is as follows: or For cost index order or So get the normalized matrix of X:
将经规范化处理后的理想方案S0作为参考数列,将经规范化处理的待评价方案Si作为比较数 列Take the normalized ideal solution S0 as the reference sequence, and the normalized solution to be evaluatedSi as the comparison sequence
利用灰色关联法计算关联度:确定参考数列和比较数列后,可利用下式确定带评价方案Xi的决策矩阵Si中各元素的关联数εij:Use the grey correlation method to calculate the correlation degree: After the reference sequence and the comparison sequence are determined, the correlation number εij of each element in the decisionmatrix Si with the evaluation scheme Xi can be determined by the following formula:
式中εij——与S0在第j个因素处的关联系数;where εij ——the correlation coefficient with S0 at the jth factor;
ρ——分辨系数,ρ越小,分辨力越大,一般ρ的取值区间为[0,1],更一般地取ρ=0.5,具 体取值可视具体情况而定。ρ——Resolution coefficient, the smaller the ρ, the greater the resolution. Generally, the value interval of ρ is [0, 1], and more generally, ρ=0.5, and the specific value can be determined according to the specific situation.
则该待评价方案的关联度为各元素的关联数与其权重乘积的和,即评价结果式中wj为第j个指标的权重。Then the relevance degree of the scheme to be evaluated is the sum of the product of the relevance number of each element and its weight, that is, the evaluation result. where wj is the weight of the j-th indicator.
评价分析项目综合效益:待评价施工方案得分越高,则其与理想方案的关联度越大,表 示待评价施工方案越接近理想方案,综合效益越好;待评价施工方案得分越低,则其与理想 方案的关联度越小,表示离理想方案越远,综合效益越差。Evaluation and analysis of the comprehensive benefits of the project: the higher the score of the construction scheme to be evaluated, the greater the degree of correlation between it and the ideal scheme, indicating that the construction scheme to be evaluated is closer to the ideal scheme, and the comprehensive benefits are better; the lower the score of the construction scheme to be evaluated, the better The smaller the degree of correlation with the ideal scheme, the farther away from the ideal scheme, the worse the comprehensive benefit.
图1是本发明的流程框图;图2是本发明的评价指标体系层次结构模型图;图3是1~9 标度原理的表格图。Fig. 1 is a flow chart of the present invention; Fig. 2 is a model diagram of a hierarchical structure of an evaluation index system of the present invention; Fig. 3 is a table diagram of the principles of scaling from 1 to 9.
本发明所提供的一种基于层次分析法和灰色关联分析法的受限空间地铁绿色施工综合评 价方法,有效规避了传统评估单一方法的片面性,增强评价体系的科学性和可靠性。本发明 引入对受限空间概念的定义,针对性地建立了受限空间地铁绿色施工的评价体系,弥补了国 内目前对受限空间地铁施工评价体系研究的空白,为类似情况下地铁施工方案的确定提供了 科学的依据。The invention provides a comprehensive evaluation method for the green construction of the subway in limited space based on the analytic hierarchy process and the grey relational analysis method, which effectively avoids the one-sidedness of the traditional single evaluation method and enhances the scientificity and reliability of the evaluation system. The invention introduces the definition of the concept of confined space, establishes an evaluation system for the green construction of the subway in the confined space, and fills the blank of the current domestic research on the evaluation system of the subway construction in the confined space, and is the best solution for the subway construction plan under similar circumstances. Determined to provide a scientific basis.
最后需要指出的是:以上实施例仅用以说明本发明的技术方案,而非对其限制。尽管参 照前述实施例对本发明进行了详细的说明,本领域的普通技术人员应当理解:其依然可以对 前述各实施例所记载的技术方案进行修改,或者对其中部分技术特征进行等同替换;而这些 修改或者替换,并不使相应技术方案的本质脱离本发明各实施例技术方案的精神和范围。Finally, it should be pointed out that the above embodiments are only used to illustrate the technical solutions of the present invention, but not to limit them. Although the present invention has been described in detail with reference to the foregoing embodiments, those of ordinary skill in the art should understand that: it is still possible to modify the technical solutions described in the foregoing embodiments, or perform equivalent replacements to some of the technical features; and these Modifications or substitutions do not make the essence of the corresponding technical solutions deviate from the spirit and scope of the technical solutions of the embodiments of the present invention.
| Application Number | Priority Date | Filing Date | Title |
|---|---|---|---|
| CN201910907791.9ACN110852560A (en) | 2019-09-24 | 2019-09-24 | A comprehensive evaluation method for the green construction of subways in confined spaces |
| Application Number | Priority Date | Filing Date | Title |
|---|---|---|---|
| CN201910907791.9ACN110852560A (en) | 2019-09-24 | 2019-09-24 | A comprehensive evaluation method for the green construction of subways in confined spaces |
| Publication Number | Publication Date |
|---|---|
| CN110852560Atrue CN110852560A (en) | 2020-02-28 |
| Application Number | Title | Priority Date | Filing Date |
|---|---|---|---|
| CN201910907791.9APendingCN110852560A (en) | 2019-09-24 | 2019-09-24 | A comprehensive evaluation method for the green construction of subways in confined spaces |
| Country | Link |
|---|---|
| CN (1) | CN110852560A (en) |
| Publication number | Priority date | Publication date | Assignee | Title |
|---|---|---|---|---|
| CN111553591A (en)* | 2020-04-27 | 2020-08-18 | 上海市水务规划设计研究院 | Plain river network water resource early warning regulation and control method, early warning regulation and control system and electronic equipment |
| CN111832098A (en)* | 2020-04-21 | 2020-10-27 | 中冶南方城市建设工程技术有限公司 | Method for evaluating traffic organization scheme in municipal road construction period |
| CN112766799A (en)* | 2021-02-01 | 2021-05-07 | 中国市政工程华北设计研究总院有限公司 | Comprehensive evaluation method for ecological side slope of green road in flood stagnation area |
| CN113705941A (en)* | 2020-05-22 | 2021-11-26 | 中国科学院地理科学与资源研究所 | County scale high-risk pollution plot rapid screening method |
| CN114444368A (en)* | 2020-10-31 | 2022-05-06 | 中国石油化工股份有限公司 | Evaluation method and device for integrity of pipeline and electronic equipment |
| CN114529129A (en)* | 2021-12-31 | 2022-05-24 | 北京东方利禾景观设计有限公司 | Low-carbon economical improvement method for urban green land planning design scheme |
| CN116029528A (en)* | 2023-02-17 | 2023-04-28 | 惠州华厦工程咨询有限公司 | Intelligent management platform for building engineering data information |
| CN117633985A (en)* | 2023-12-04 | 2024-03-01 | 南宁轨道交通建设有限公司 | Evaluation method for multi-index comparison and optimization of underground engineering construction plans |
| CN119168457A (en)* | 2024-08-29 | 2024-12-20 | 国网江苏省电力有限公司高邮市供电分公司 | An optimization analysis method and system based on multi-dimensional energy data |
| Publication number | Priority date | Publication date | Assignee | Title |
|---|---|---|---|---|
| CN101826200A (en)* | 2010-04-02 | 2010-09-08 | 北京交通大学 | Method for evaluating operating effect of urban track traffic hub |
| CN103093400A (en)* | 2013-01-24 | 2013-05-08 | 华中科技大学 | Adjacent building safety quantitative evaluation method in tunnel construction |
| CN107609805A (en)* | 2017-10-31 | 2018-01-19 | 辽宁工程技术大学 | A kind of metro safety evaluation method based on fuzzy comprehensive evoluation |
| CN107633337A (en)* | 2016-07-21 | 2018-01-26 | 南瑞(武汉)电气设备与工程能效测评中心 | Based on order relation analysis and grey correlation theory power-saving technology integrated evaluating method |
| Publication number | Priority date | Publication date | Assignee | Title |
|---|---|---|---|---|
| CN101826200A (en)* | 2010-04-02 | 2010-09-08 | 北京交通大学 | Method for evaluating operating effect of urban track traffic hub |
| CN103093400A (en)* | 2013-01-24 | 2013-05-08 | 华中科技大学 | Adjacent building safety quantitative evaluation method in tunnel construction |
| CN107633337A (en)* | 2016-07-21 | 2018-01-26 | 南瑞(武汉)电气设备与工程能效测评中心 | Based on order relation analysis and grey correlation theory power-saving technology integrated evaluating method |
| CN107609805A (en)* | 2017-10-31 | 2018-01-19 | 辽宁工程技术大学 | A kind of metro safety evaluation method based on fuzzy comprehensive evoluation |
| Title |
|---|
| 王思雨: "基于层次—灰色分析的地铁自动售票机可用性评价研究"* |
| Publication number | Priority date | Publication date | Assignee | Title |
|---|---|---|---|---|
| CN111832098A (en)* | 2020-04-21 | 2020-10-27 | 中冶南方城市建设工程技术有限公司 | Method for evaluating traffic organization scheme in municipal road construction period |
| CN111553591A (en)* | 2020-04-27 | 2020-08-18 | 上海市水务规划设计研究院 | Plain river network water resource early warning regulation and control method, early warning regulation and control system and electronic equipment |
| CN113705941A (en)* | 2020-05-22 | 2021-11-26 | 中国科学院地理科学与资源研究所 | County scale high-risk pollution plot rapid screening method |
| CN114444368A (en)* | 2020-10-31 | 2022-05-06 | 中国石油化工股份有限公司 | Evaluation method and device for integrity of pipeline and electronic equipment |
| CN114444368B (en)* | 2020-10-31 | 2024-05-07 | 中国石油化工股份有限公司 | Pipeline integrity evaluation method and device and electronic equipment |
| CN112766799A (en)* | 2021-02-01 | 2021-05-07 | 中国市政工程华北设计研究总院有限公司 | Comprehensive evaluation method for ecological side slope of green road in flood stagnation area |
| CN114529129A (en)* | 2021-12-31 | 2022-05-24 | 北京东方利禾景观设计有限公司 | Low-carbon economical improvement method for urban green land planning design scheme |
| CN116029528A (en)* | 2023-02-17 | 2023-04-28 | 惠州华厦工程咨询有限公司 | Intelligent management platform for building engineering data information |
| CN116029528B (en)* | 2023-02-17 | 2024-01-23 | 惠州华厦工程咨询有限公司 | Intelligent management platform for building engineering data information |
| CN117633985A (en)* | 2023-12-04 | 2024-03-01 | 南宁轨道交通建设有限公司 | Evaluation method for multi-index comparison and optimization of underground engineering construction plans |
| CN119168457A (en)* | 2024-08-29 | 2024-12-20 | 国网江苏省电力有限公司高邮市供电分公司 | An optimization analysis method and system based on multi-dimensional energy data |
| Publication | Publication Date | Title |
|---|---|---|
| CN110852560A (en) | A comprehensive evaluation method for the green construction of subways in confined spaces | |
| CN114117745B (en) | A method for constructing ecological security pattern based on grey correlation and minimum cumulative resistance model | |
| CN101320449A (en) | Distribution Network Evaluation Method Based on Combination Evaluation Method | |
| CN108763161A (en) | A kind of elevator safety grade evaluation method based on multi-layer target system | |
| CN107784394A (en) | Consider that the highway route plan of prospect theory does not know more attribute method for optimizing | |
| CN106096847A (en) | A kind of fuzzy change weighs Engineering-geological environmental quality method | |
| CN116468282A (en) | A risk assessment method for tunnel water inrush | |
| CN112950067A (en) | Power consumer electricity utilization efficiency assessment method based on fuzzy comprehensive evaluation | |
| CN112712284A (en) | Urban gas pipeline risk evaluation system and method based on AHP-entropy weight method | |
| CN107784441A (en) | A kind of power distribution network Rolling Planning Post-assessment Method based on Fuzzy AHP | |
| CN117252331A (en) | Water resource load assessment method for water source area | |
| CN104156878B (en) | Determination method for upgrading of rural power grids upgrading engineering evaluation index weights | |
| CN116433039A (en) | A Calculation Method of Comprehensive Transportation Development Index | |
| CN116258234A (en) | BP neural network model-based energy enterprise carbon emission measuring and predicting method | |
| CN113505952B (en) | Masonry structure building group safety assessment method based on geometric and performance similarity | |
| CN105976099A (en) | Fuzzy information-based aerospace model scientific research and production management level evaluation method | |
| CN108288170A (en) | A kind of evaluation method of the Demand Side Response project based on analytic hierarchy process (AHP) | |
| CN110135742A (en) | Technical value assessment method for scientific and technological achievements in power industry | |
| CN115907532A (en) | Vehicle repair enterprise layout analysis and evaluation method and system | |
| Wan et al. | Risk prediction of expressway PPP project based on PSO-SVM algorithm | |
| CN110852609A (en) | Method and system for regional comprehensive suitability evaluation of cooling and heating technology | |
| CN108694527A (en) | A kind of power distribution network evaluation method | |
| CN108021623A (en) | A kind of method and system for improving map symbol and assigning power objectivity | |
| CN1979540A (en) | Regional agriculture continuous developing ability dynamic estimation system | |
| CN118780634A (en) | Long-distance pipeline route selection method based on AHP-TOPSIS method |
| Date | Code | Title | Description |
|---|---|---|---|
| PB01 | Publication | ||
| PB01 | Publication | ||
| SE01 | Entry into force of request for substantive examination | ||
| SE01 | Entry into force of request for substantive examination | ||
| CB03 | Change of inventor or designer information | ||
| CB03 | Change of inventor or designer information | Inventor after:Ding Yan Inventor after:Yan Rui Inventor after:Wu Shaohong Inventor after:Su Hao Inventor after:Lv Yacong Inventor before:Ding Yan Inventor before:Yan Rui Inventor before:Su Hao Inventor before:Lv Yacong | |
| RJ01 | Rejection of invention patent application after publication | ||
| RJ01 | Rejection of invention patent application after publication | Application publication date:20200228 |