
技术领域technical field
本发明属于流量管理技术领域,特别是涉及一种网络流量缴费系统。The invention belongs to the technical field of traffic management, and in particular relates to a network traffic payment system.
背景技术Background technique
网络是我们和外界交流的重要平台。随着硬件设备的不断健全,用户的复杂性及多样性,对网络提出了更多的需求,网络需要运营,因此也有了计费收费的需要。The Internet is an important platform for us to communicate with the outside world. With the continuous improvement of hardware equipment and the complexity and diversity of users, more demands are placed on the network, and the network needs to be operated, so there is also the need for billing and charging.
在收费方面比较简单的方式是包月制,用户一个月只需交纳一定金额的费用,就可以在套餐内享受随时上网的权利。针对流量及收费相一致的原理,流量多的交钱多,流量少的交钱少,但目前,针对用户没有较为优惠、合理的缴费方式,也造成资源的浪费。In terms of charging, the simpler method is the monthly subscription system. Users only need to pay a certain amount of fees per month to enjoy the right to surf the Internet at any time in the package. According to the principle of consistency between traffic and charging, those with more traffic will pay more, and those with less traffic will pay less. However, at present, there is no more favorable and reasonable payment method for users, which also results in a waste of resources.
为了优化服务,防止网络资源浪费,更好地为用户服务,结合网络快速发展的实际情况,现提供一种网络流量缴费系统。In order to optimize services, prevent waste of network resources, and better serve users, combined with the actual situation of rapid network development, a network traffic payment system is now provided.
发明内容SUMMARY OF THE INVENTION
本发明的目的在于提供一种网络流量缴费系统,通过对用户每个月的网络流量使用总量及对应的网络费用、用户每月使用的网络流量套餐上限值及对应的套餐价格进行分析计算,获得当月预估费用、优惠费用,数据融合端根据融合计费规则计算用户当月对应的网络费用,针对用户之前的使用情况给与当月适当的收费优惠,降低网络资源的浪费,更好的为用户服务。The object of the present invention is to provide a network traffic payment system, by analyzing and calculating the total amount of network traffic used by the user each month and the corresponding network fee, the upper limit value of the network traffic package used by the user each month and the corresponding package price. , obtain the estimated cost and preferential cost of the current month, and the data fusion terminal calculates the network cost corresponding to the user in the current month according to the converged billing rules, and gives the appropriate charging discount for the current month according to the user's previous usage to reduce the waste of network resources. User Services.
为解决上述技术问题,本发明是通过以下技术方案实现的:In order to solve the above-mentioned technical problems, the present invention is achieved through the following technical solutions:
本发明为一种网络流量缴费系统,包括使用监测单元、个人数据库、计费单元、计费规则库、数据融合端、关联单元、关联规则库、处理器、显示单元、存储单元;所述个人数据库中存储有用户每月的网络流量使用总量及对应的网络费用、用户每月使用的网络流量套餐上限值及对应的套餐价格;所述个人数据库将用户每月的网络流量使用总量依次标记为Qi,每月对应的网络费用依次标记为Fi,用户每月使用的网络流量套餐上限值标记为Xi,用户每月对应的套餐价格标记为Ti,i=1、2、…n,n取整数;其中,当月的网络流量使用总量为Qn,当月对应的网络费用为Fn,用户当月使用的网络流量套餐上限值为Xn,用户当月对应的套餐价格为Tn;所述使用监测单元从个人数据库中读取用户当月的网络流量使用总量Qn、当月使用的网络流量套餐上限值Xn、用户当月对应的套餐价格Tn,并将其传输至计费单元;所述计费单元根据计费规则库中的计费规则对当月网络流量进行初步计费,获得当月预估费用Gn;所述关联单元从个人数据库中读取用户上个月的网络流量使用总量、使用的网络流量套餐上限值、对应的套餐价格,并根据关联规则库中的关联规则进行优惠计算,获得优惠费用Yn;所述计费单元将当月预估费用Gn、所述关联单元将优惠费用Yn传输至数据融合端,所述数据融合端根据融合计费规则计算用户当月对应的网络费用Fn,并将用户当月对应的网络费用Fn传输至处理器。The present invention is a network traffic payment system, including a usage monitoring unit, a personal database, a charging unit, a charging rule base, a data fusion terminal, an association unit, an association rule base, a processor, a display unit, and a storage unit; The database stores the user's monthly total network traffic usage and the corresponding network fees, the user's monthly network traffic package upper limit value and the corresponding package price; the personal database stores the user's monthly network traffic usage total. Marked as Qi in turn, marked as Fi for the corresponding monthly network cost, marked as Xi for the upper limit of the network traffic package used by the user each month, marked as Ti for the monthly corresponding package price of the user, i=1, 2, ... n , n is an integer; wherein, the total amount of network traffic usage in the current month is Qn, the corresponding network fee in the current month is Fn, the upper limit of the network traffic package used by the user in the current month is Xn, and the price of the package corresponding to the user in the current month is Tn; The monitoring unit reads the user's total network traffic usage Qn in the current month, the network traffic package upper limit value Xn used in the current month, and the user's corresponding package price Tn in the current month from the personal database, and transmits them to the billing unit; the billing The unit preliminarily charges the current month's network traffic according to the charging rules in the charging rule base, and obtains the estimated cost Gn of the current month; the associated unit reads the user's total network traffic usage in the previous month from the personal database , the upper limit of the network traffic plan used , corresponding package price , and perform preferential calculation according to the association rules in the association rule base to obtain the preferential fee Yn; the charging unit will estimate the current month fee Gn, the associated unit will transmit the preferential fee Yn to the data fusion terminal, and the data fusion terminal Calculate the network fee Fn corresponding to the user in the current month according to the integrated charging rule, and transmit the network fee Fn corresponding to the user in the current month to the processor.
进一步地,所述处理器将用户当月对应的网络费用Fn传输至显示单元进行显示,并将其打上时间戳传输至存储单元进行存储;所述存储单元将当月对应的网络费用Fn返回至个人数据库,通过个人数据库留存用户个人网络使用情况,便于后续的计算分析。Further, the processor transmits the network fee Fn corresponding to the current month of the user to the display unit for display, and time stamps it and transmits it to the storage unit for storage; the storage unit returns the network fee Fn corresponding to the current month to the personal database. , to retain the user's personal network usage through the personal database, which is convenient for subsequent calculation and analysis.
进一步地,所述计费规则库中的计费规则为:Further, the charging rules in the charging rule base are:
SS01:判断用户当月的网络流量使用总量Qn与当月使用的网络流量套餐上限值Xn之间的大小关系;SS01: Determine the relationship between the total amount of network traffic used by the user in the current month Qn and the upper limit value Xn of the network traffic package used in the current month;
SS02:根据Qn与Xn之间的大小关系及用户当月对应的套餐价格Tn计算当月预估费用Gn;SS02: Calculate the estimated cost Gn of the current month according to the size relationship between Qn and Xn and the user's corresponding package price Tn in the current month;
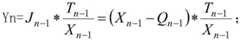
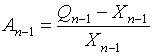
当Qn≦Xn时,当月预估费用Gn为当月对应的套餐价格Tn,Gn=Tn;When Qn≦Xn, the estimated cost Gn of the current month is the corresponding package price Tn of the current month, Gn=Tn;
当Qn>Xn时,当月预估费用Gn为:When Qn>Xn, the monthly estimated cost Gn is:
。 .
进一步地,所述关联规则库中的关联规则为:Further, the association rules in the association rule base are:
S001:根据用户上个月的网络流量使用总量、使用的网络流量套餐上限值计算用户上月的网络流量超量;S001: According to the user's total network traffic usage in the last month , the upper limit of the network traffic plan used Calculate the user's network traffic excess in the previous month ;
当≦时,网络流量超量=-;when ≦ When the network traffic is excessive = - ;
当>时,网络流量超量=;when > When the network traffic is excessive = ;
S002:根据用户上月的网络流量超量、对应的套餐价格、使用的网络流量套餐上限值计算优惠费用Yn;S002: According to the user's network traffic excess in the previous month , corresponding package price , the upper limit of the network traffic plan used Calculate the preferential fee Yn;
当≦时,优惠费用Yn:Yn=;when ≦ , the preferential fee Yn: Yn= ;
当>时,优惠费用Yn:when > , the preferential fee Yn:
Yn=;Yn= ;
其中,为调节值。in, is the adjustment value.
进一步地,所述调节值为计算值或预设值,其中,计算值的计算公式为:。Further, the adjustment value is a calculated value or a preset value, where the calculation formula of the calculated value is: .
进一步地,所述数据融合端根据融合计费规则计算用户当月对应的网络费用Fn的方法为:Further, the method for the data fusion terminal to calculate the network fee Fn corresponding to the user in the current month according to the fusion charging rule is:
第一个月时,当月对应的网络费用Fn为当月预估费用Gn;In the first month, the network fee Fn corresponding to the current month is the estimated cost Gn of the current month;
第二个月时,当月对应的网络费用Fn为:;In the second month, the network fee Fn corresponding to that month is: ;
第三个月时,当月对应的网络费用Fn为:;In the third month, the corresponding network fee Fn for that month is: ;
第四个月时,当月对应的网络费用Fn为:;In the fourth month, the corresponding network fee Fn for that month is: ;
往后以三个月为一个计费周期,以此类推:In the future, three months will be a billing cycle, and so on:
n≧5时,第n个月对应的网络费用Fn方式与第n-3个月的计费方式相同。When n≧5, the network fee Fn corresponding to the nth month is the same as the billing method for the n-3th month.
本发明具有以下有益效果:The present invention has the following beneficial effects:
本发明通过对用户每个月的网络流量使用总量及对应的网络费用、用户每月使用的网络流量套餐上限值及对应的套餐价格进行分析计算,获得当月预估费用、优惠费用,数据融合端根据融合计费规则计算用户当月对应的网络费用,针对用户之前的使用情况给与当月适当的收费优惠,降低网络资源的浪费,更好的为用户服务。The present invention obtains the estimated cost of the current month, preferential cost, data by analyzing and calculating the total amount of network traffic used by the user each month and the corresponding network cost, the upper limit value of the network traffic package used by the user each month and the corresponding package price. The fusion end calculates the user's corresponding network fee for the current month according to the fusion billing rules, and gives appropriate charging discounts for the current month according to the user's previous usage to reduce the waste of network resources and better serve the user.
当然,实施本发明的任一产品并不一定需要同时达到以上所述的所有优点。Of course, it is not necessary for any product embodying the present invention to achieve all of the above-described advantages simultaneously.
附图说明Description of drawings
为了更清楚地说明本发明实施例的技术方案,下面将对实施例描述所需要使用的附图作简单地介绍,显而易见地,下面描述中的附图仅仅是本发明的一些实施例,对于本领域普通技术人员来讲,在不付出创造性劳动的前提下,还可以根据这些附图获得其他的附图。In order to illustrate the technical solutions of the embodiments of the present invention more clearly, the following briefly introduces the accompanying drawings used in the description of the embodiments. Obviously, the drawings in the following description are only some embodiments of the present invention. For those of ordinary skill in the art, other drawings can also be obtained from these drawings without any creative effort.
图1为本发明网络流量缴费系统的结构示意图。FIG. 1 is a schematic structural diagram of a network traffic payment system according to the present invention.
具体实施方式Detailed ways
下面将结合本发明实施例中的附图,对本发明实施例中的技术方案进行清楚、完整地描述,显然,所描述的实施例仅仅是本发明一部分实施例,而不是全部的实施例。基于本发明中的实施例,本领域普通技术人员在没有作出创造性劳动前提下所获得的所有其它实施例,都属于本发明保护的范围。The technical solutions in the embodiments of the present invention will be clearly and completely described below with reference to the accompanying drawings in the embodiments of the present invention. Obviously, the described embodiments are only a part of the embodiments of the present invention, but not all of the embodiments. Based on the embodiments of the present invention, all other embodiments obtained by those of ordinary skill in the art without creative efforts shall fall within the protection scope of the present invention.
请参阅图1所示,本发明为一种网络流量缴费系统,包括使用监测单元、个人数据库、计费单元、计费规则库、数据融合端、关联单元、关联规则库、处理器、显示单元、存储单元;所述个人数据库中存储有用户每月的网络流量使用总量及对应的网络费用、用户每月使用的网络流量套餐上限值及对应的套餐价格;所述个人数据库将用户每月的网络流量使用总量依次标记为Qi,每月对应的网络费用依次标记为Fi,用户每月使用的网络流量套餐上限值标记为Xi,用户每月对应的套餐价格标记为Ti,i=1、2、…n,n取整数;其中,当月的网络流量使用总量为Qn,当月对应的网络费用为Fn,用户当月使用的网络流量套餐上限值为Xn,用户当月对应的套餐价格为Tn。Referring to Figure 1, the present invention is a network traffic payment system, including a usage monitoring unit, a personal database, a charging unit, a charging rule base, a data fusion terminal, an association unit, an association rule base, a processor, and a display unit , a storage unit; the personal database stores the user's monthly network traffic usage total amount and corresponding network charges, the user's monthly network traffic package upper limit value and the corresponding package price; The total monthly network traffic usage is marked as Qi, the corresponding monthly network charges are marked as Fi, the upper limit of the network traffic package used by the user per month is marked as Xi, and the monthly corresponding package price of the user is marked as Ti, i =1, 2, ... n, n is an integer; among them, the total amount of network traffic used in the current month is Qn, the corresponding network fee in the current month is Fn, the upper limit of the network traffic package used by the user in the current month is Xn, and the package corresponding to the user in the current month is The price is Tn.
将本系统用于网络流量计费:Use this system for network traffic billing:
具体实施方式一:Specific implementation one:
李某第一个月使用的网络流量使用总量为Q1=800M,网络流量套餐上限值为X1=1000M,对应的套餐价格为T1=25元;The total amount of network traffic used by Li in the first month is Q1=800M, the upper limit of the network traffic package is X1=1000M, and the corresponding package price is T1=25 yuan;
Q1≦X1,当月预估费用G1为当月对应的套餐价格T1,G1=T1=25元,李某第一个月对应的网络费用为F1=G1=25元。Q1≦X1, the estimated cost G1 of the current month is the corresponding package price T1 of the current month, G1=T1=25 yuan, and the network cost corresponding to Li’s first month is F1=G1=25 yuan.
具体实施方式二:Specific implementation two:
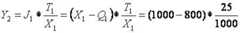
针对具体实施方式一中的李某,李某第二个月使用的网络流量使用总量为Q2=1010M,网络流量套餐上限值为X2=1000M,对应的套餐价格为T2=25元,则李某第二个月对应的网络费用F2为:For Li in the first embodiment, the total amount of network traffic used by Li in the second month is Q2=1010M, the upper limit of the network traffic package is X2=1000M, and the corresponding package price is T2=25 yuan, then The network fee F2 corresponding to Li’s second month is:
=25+(1010-1000)*1=35元(默认超出部分为1元/M); =25+(1010-1000)*1=35 yuan (the default excess part is 1 yuan/M);
=5元; = 5 yuan;
=35-5=5元。 =35-5=5 yuan.
李某,第五个月对应的网络费用F5与第二个月对应的网络费用F2的计算方式相同,,第六个月对应的网络费用F6与第三个月对应的网络费用F3的计算方式相同,…以此类推。Li, the network fee F5 corresponding to the fifth month is calculated in the same way as the network fee F2 corresponding to the second month. , the network fee F6 corresponding to the sixth month is calculated in the same way as the network fee F3 corresponding to the third month, …and so on.
具体实施方式三:Specific implementation three:
章某第一个月使用的网络流量使用总量为Q1=1100M,网络流量套餐上限值为X1=1000M,对应的套餐价格为T1=25元;The total amount of network traffic used by Zhang in the first month is Q1=1100M, the upper limit of the network traffic package is X1=1000M, and the corresponding package price is T1=25 yuan;
Q1>X1,当月预估费用G1为:Q1>X1, the estimated cost G1 for the current month is:
(默认超出部分为1元/M); (The default excess part is 1 yuan/M);
对应的网络费用为F1=G1=125元。The corresponding network fee is F1=G1=125 yuan.
具体实施方式四:Specific implementation four:
针对具体实施方式三中的章某,章某第二个月使用的网络流量使用总量为Q2=2500M,网络流量套餐上限值为X2=3000M,对应的套餐价格为T2=50元,则李某第二个月对应的网络费用F2为:For Zhang in the third embodiment, the total amount of network traffic used by Zhang in the second month is Q2=2500M, the upper limit of the network traffic package is X2=3000M, and the corresponding package price is T2=50 yuan, then The network fee F2 corresponding to Li’s second month is:
当月预估费用G2为当月对应的套餐价格T2,G2=T2=50元;The estimated cost G2 of the current month is the corresponding package price T2 of the current month, G2=T2=50 yuan;
; ;
=50-10=40元。 =50-10=40 yuan.
一种网络流量缴费系统,通过对用户每个月的网络流量使用总量及对应的网络费用、用户每月使用的网络流量套餐上限值及对应的套餐价格进行分析计算,获得当月预估费用、优惠费用,数据融合端根据融合计费规则计算用户当月对应的网络费用,针对用户之前的使用情况给与当月适当的收费优惠,降低网络资源的浪费,更好的为用户服务。A network traffic payment system, which obtains the estimated cost of the current month by analyzing and calculating the total amount of network traffic used by the user each month and the corresponding network fee, the upper limit value of the network traffic package used by the user each month and the corresponding package price. , preferential fees, the data fusion terminal calculates the network fees corresponding to the user in the current month according to the fusion billing rules, and gives appropriate charging discounts for the current month according to the previous usage of the user, reducing the waste of network resources and better serving users.
在本说明书的描述中,参考术语“一个实施例”、“示例”、“具体示例”等的描述意指结合该实施例或示例描述的具体特征、结构、材料或者特点包含于本发明的至少一个实施例或示例中。在本说明书中,对上述术语的示意性表述不一定指的是相同的实施例或示例。而且,描述的具体特征、结构、材料或者特点可以在任何的一个或多个实施例或示例中以合适的方式结合。In the description of this specification, description with reference to the terms "one embodiment," "example," "specific example," etc. means that a particular feature, structure, material, or characteristic described in connection with the embodiment or example is included in at least one aspect of the present invention. in one embodiment or example. In this specification, schematic representations of the above terms do not necessarily refer to the same embodiment or example. Furthermore, the particular features, structures, materials or characteristics described may be combined in any suitable manner in any one or more embodiments or examples.
以上公开的本发明优选实施例只是用于帮助阐述本发明。优选实施例并没有详尽叙述所有的细节,也不限制该发明仅为所述的具体实施方式。显然,根据本说明书的内容,可作很多的修改和变化。本说明书选取并具体描述这些实施例,是为了更好地解释本发明的原理和实际应用,从而使所属技术领域技术人员能很好地理解和利用本发明。本发明仅受权利要求书及其全部范围和等效物的限制。The above-disclosed preferred embodiments of the present invention are provided only to help illustrate the present invention. The preferred embodiments do not exhaust all the details, nor do they limit the invention to only the described embodiments. Obviously, many modifications and variations are possible in light of the content of this specification. The present specification selects and specifically describes these embodiments in order to better explain the principles and practical applications of the present invention, so that those skilled in the art can well understand and utilize the present invention. The present invention is to be limited only by the claims and their full scope and equivalents.
| Application Number | Priority Date | Filing Date | Title |
|---|---|---|---|
| CN201911037623.5ACN110830937B (en) | 2019-10-29 | 2019-10-29 | Network flow payment system |
| Application Number | Priority Date | Filing Date | Title |
|---|---|---|---|
| CN201911037623.5ACN110830937B (en) | 2019-10-29 | 2019-10-29 | Network flow payment system |
| Publication Number | Publication Date |
|---|---|
| CN110830937A CN110830937A (en) | 2020-02-21 |
| CN110830937Btrue CN110830937B (en) | 2021-05-18 |
| Application Number | Title | Priority Date | Filing Date |
|---|---|---|---|
| CN201911037623.5AActiveCN110830937B (en) | 2019-10-29 | 2019-10-29 | Network flow payment system |
| Country | Link |
|---|---|
| CN (1) | CN110830937B (en) |
| Publication number | Priority date | Publication date | Assignee | Title |
|---|---|---|---|---|
| CN112132605A (en)* | 2020-08-28 | 2020-12-25 | 北京思特奇信息技术股份有限公司 | A recommendation method and system based on data analysis |
| CN114244425A (en)* | 2021-12-28 | 2022-03-25 | 上海蔚星数据科技有限公司 | WIFI application system based on satellite communication |
| Publication number | Priority date | Publication date | Assignee | Title |
|---|---|---|---|---|
| CN1790996A (en)* | 2004-12-14 | 2006-06-21 | 卓望数码技术(深圳)有限公司 | General charging method and method for realizing general charging model |
| CN101511075A (en)* | 2009-03-17 | 2009-08-19 | 中国移动(深圳)有限公司 | Communication service billing method and communication service billing system |
| Publication number | Priority date | Publication date | Assignee | Title |
|---|---|---|---|---|
| CN101577772A (en)* | 2009-06-05 | 2009-11-11 | 中兴通讯股份有限公司 | Garding charging method and device |
| CN103905215B (en)* | 2014-04-08 | 2018-10-30 | 国家广播电影电视总局广播科学研究院 | Integrated service convergent billing method and regulation engine device under a kind of converged network |
| US9992352B2 (en)* | 2014-11-01 | 2018-06-05 | Somos, Inc. | Toll-free telecommunications and data management platform |
| Publication number | Priority date | Publication date | Assignee | Title |
|---|---|---|---|---|
| CN1790996A (en)* | 2004-12-14 | 2006-06-21 | 卓望数码技术(深圳)有限公司 | General charging method and method for realizing general charging model |
| CN101511075A (en)* | 2009-03-17 | 2009-08-19 | 中国移动(深圳)有限公司 | Communication service billing method and communication service billing system |
| Publication number | Publication date |
|---|---|
| CN110830937A (en) | 2020-02-21 |
| Publication | Publication Date | Title |
|---|---|---|
| Yang et al. | VCG-Kelly mechanisms for allocation of divisible goods: Adapting VCG mechanisms to one-dimensional signals | |
| Friedman et al. | Three methods to share joint costs or surplus | |
| Moulin et al. | Average cost pricing versus serial cost sharing: an axiomatic comparison | |
| CN110830937B (en) | Network flow payment system | |
| CN103905215B (en) | Integrated service convergent billing method and regulation engine device under a kind of converged network | |
| JP2011510564A (en) | A practical model for high-speed file delivery services that supports delivery time guarantees and segmented service levels | |
| CN103475495A (en) | A cloud computing virtual machine resource usage billing method | |
| Tuffin | Revisited progressive second price auction for charging telecommunication networks | |
| CN104219647A (en) | Wireless channel control method, traffic packet transaction and recommendation method and related equipment | |
| CN113807972A (en) | A Credit Mechanism Method for Electricity Trading | |
| CN110662188A (en) | Charging method and system | |
| CN105977958B (en) | Bilateral transaction loss allocation methods based on network catalogue system | |
| CN114862439B (en) | A platform hybrid equilibrium pricing method considering path selection rights in the context of MaaS | |
| CN110996396B (en) | A mobile edge network resource allocation method based on online combined auction | |
| CN104639631B (en) | SDN resource transaction methods based on MAS price negotiations | |
| CN115879725A (en) | Electric power spot market clearing method and system | |
| CN106685671A (en) | Implementation method, device and traffic service platform of a directional traffic card | |
| CN115358737A (en) | A cloud service metering and billing method, device, equipment, and readable storage medium | |
| CN110838988A (en) | A network traffic limiting system | |
| CN114298773A (en) | Micro-grid point-to-point electric power transaction method and system based on block chain | |
| CN113763163A (en) | A method and system for allocating transaction fees in a blockchain payment channel network | |
| CN118747677A (en) | A strategic bidding method for flexibility resource aggregators to participate in the distribution network flexibility market | |
| US9911106B2 (en) | System and method for charging services using effective quanta units | |
| CN103237072B (en) | A kind of data center services method for arranging based on user satisfaction perception | |
| CN107786956A (en) | A kind of determination method and apparatus of set meal real-time priority |
| Date | Code | Title | Description |
|---|---|---|---|
| PB01 | Publication | ||
| PB01 | Publication | ||
| SE01 | Entry into force of request for substantive examination | ||
| SE01 | Entry into force of request for substantive examination | ||
| GR01 | Patent grant | ||
| GR01 | Patent grant | ||
| TR01 | Transfer of patent right | ||
| TR01 | Transfer of patent right | Effective date of registration:20241204 Address after:13G-15, Daqing Building, southeast of the intersection of Shennan Road and Guangshen Expressway, Tian'an Community, Shatou Street, Futian District, Shenzhen City, Guangdong Province, 518000 Patentee after:Shenzhen Guanglong Network Technology Co.,Ltd. Country or region after:China Address before:518000 Unit 01-04A/12, 38th Floor, Luohu Business Center, 2028 Shennan East Road, Dongmen Street, Luohu District, Shenzhen City, Guangdong Province Patentee before:GOLD SEA COMM Corp. Country or region before:China |