Movatterモバイル変換


[0]ホーム

URL:


CN110826948A - Warehouse product selection method and device - Google Patents

Warehouse product selection method and device
Download PDF

Info

Publication number
CN110826948A
CN110826948ACN201810896520.3ACN201810896520ACN110826948ACN 110826948 ACN110826948 ACN 110826948ACN 201810896520 ACN201810896520 ACN 201810896520ACN 110826948 ACN110826948 ACN 110826948A
Authority
CN
China
Prior art keywords
item
order
optional
index
warehouse
Prior art date
Legal status (The legal status is an assumption and is not a legal conclusion. Google has not performed a legal analysis and makes no representation as to the accuracy of the status listed.)
Granted
Application number
CN201810896520.3A
Other languages
Chinese (zh)
Other versions
CN110826948B (en
Inventor
肖鹏宇
Current Assignee (The listed assignees may be inaccurate. Google has not performed a legal analysis and makes no representation or warranty as to the accuracy of the list.)
Beijing Jingdong Qianshi Technology Co Ltd
Original Assignee
Tianjin Jingdong Shentuo Robot Technology Co Ltd
Priority date (The priority date is an assumption and is not a legal conclusion. Google has not performed a legal analysis and makes no representation as to the accuracy of the date listed.)
Filing date
Publication date
Application filed by Tianjin Jingdong Shentuo Robot Technology Co LtdfiledCriticalTianjin Jingdong Shentuo Robot Technology Co Ltd
Priority to CN201810896520.3ApriorityCriticalpatent/CN110826948B/en
Publication of CN110826948ApublicationCriticalpatent/CN110826948A/en
Application grantedgrantedCritical
Publication of CN110826948BpublicationCriticalpatent/CN110826948B/en
Activelegal-statusCriticalCurrent
Anticipated expirationlegal-statusCritical

Links

Images

Classifications

Landscapes

Abstract

The invention discloses a warehouse goods selection method and device, and relates to the technical field of computers. One embodiment of the method comprises: determining a singulation index for each of the selectable items; sequentially judging whether the optional articles are target articles which can be stored in the warehouse or not according to the sequence of the order splitting indexes from small to large; wherein the sum of the inventory volumes of all of the target items is no greater than the total available storage space of the warehouse. According to the embodiment, the warehouse selection is carried out in a mode that whether the selectable articles are target articles capable of being stored in the warehouse or not is sequentially judged according to the order splitting indexes of the selectable articles from small to large, commodities can be selected according to the order splitting indexes under the condition that the storage capacity of the warehouse is fully utilized, simplicity and high efficiency are achieved, and then the order splitting condition is reduced as much as possible.

Description

Warehouse product selection method and device
Technical Field
The invention relates to the technical field of computers, in particular to a warehouse goods selection method and device.
Background
When a warehouse is newly built or enlarged, the selection of products stored in the warehouse, namely, warehouse selection, needs to be considered. Generally, the categories of goods stored in a warehouse are determined according to business, i.e. business planning, which category or categories of goods, such as food, clothing or electronic products, etc., can be stored.
However, the number of types of goods in a large category is usually very large, and the storage space of the warehouse is limited, so that all goods in a large category cannot be stored in a warehouse (usually, the storage amount of a kind of goods in a warehouse is a turnover inventory of several days), and therefore, the selection of several kinds of goods in the large category to be stored in the warehouse needs to be considered. Because the types of the commodities stored in one warehouse are limited, only a part of the commodities in the warehouse necessarily exist in one order, and other parts of the commodities need to be selected in other warehouses, namely, the bills need to be split for production, and the bills need to be combined after being produced respectively, so that the cost is high, and the suitable commodities are expected to be selected to be stored in the same warehouse so as to reduce the quantity of the bills.
In the process of implementing the invention, the inventor finds that at least the following problems exist in the prior art:
currently, commodity selection is usually performed manually according to a certain business logic, such as selecting commodities with a relatively high sales volume or selecting certain brands of commodities.
Generally, the number of the types of the commodities in one large category is ten thousand, and manual selection according to certain logic is tedious, and in addition, the selected commodities may not be the selection with the least or less detached quantity.
Disclosure of Invention
In view of this, embodiments of the present invention provide a warehouse item selection method and apparatus, which can dynamically calculate a list splitting index of each item under the condition of fully utilizing the storage capacity of a warehouse, select a commodity according to the list splitting index, are simple and efficient, and further reduce the list splitting condition as much as possible.
To achieve the above object, according to an aspect of an embodiment of the present invention, there is provided a warehouse selection method, including: determining a singulation index for each of the selectable items; sequentially judging whether the optional articles are target articles which can be stored in the warehouse or not according to the sequence of the order splitting indexes from small to large; wherein the sum of the inventory volumes of all of the target items is no greater than the total available storage space of the warehouse.
Optionally, the method further comprises: determining orders related to the selectable items within a preset time period to generate an order set; determining the number of orders in the order set and the item type number of each order; determining a breakdown index for each selectable item based on the quantity of orders and the quantity of item types for each order.
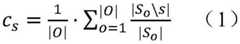
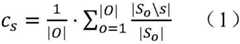
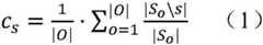
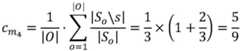
Optionally, the singulation index of the alternative item is determined according to the following equation (1):
Figure BDA0001758308990000021
wherein s represents an optional item, csIndex of splitting of optional item S, | O | represents number of orders, | S |oI represents the number of item types of the order, | So\ s | represents the number of item types in the order after the optional item s has been removed.
Optionally, sequentially judging whether the selectable item is a target item that can be stored in the warehouse according to the order from small to large of the item splitting indexes comprises:
repeating the following steps A-E to judge whether the optional item is a target item which can be stored in the warehouse:
step A: judging whether the sum of the stock volume of the optional item with the minimum singleness index and the determined target item is not larger than the total available storage space of the warehouse;
and B: if yes, determining the optional article with the minimum bill breaking index as a target article;
and C: for each order containing the optional item with the minimum order splitting index, deleting the optional item from the order to update the item type quantity of the order;
step D: deleting the order with the quantity of the item type being zero so as to update the quantity of the order;
step E: determining a split index for the remaining selectable items based on the updated quantity of orders and the quantity of item types for each order.
Optionally, the method further comprises: and determining the inventory volume of the optional item according to the volume of the optional item, the daily average sales volume and the turnover days.
Optionally, the inventory volume of the alternative item is determined according to equation (2) below:
Vs=qs·t·vs(2)
wherein, VsRepresenting the stock volume, q, of the alternative item, ssExpressing the average daily sales of the optional items s, t expressing the number of turnaround days of the optional items s, vsRepresenting the volume of the optional item s.
To achieve the above object, according to another aspect of the embodiments of the present invention, there is provided a warehouse selection device, including: the order splitting index determining module is used for determining the order splitting index of each optional article; the target object judgment module is used for sequentially judging whether the selectable objects are target objects which can be stored in the warehouse or not according to the sequence of the order splitting indexes from small to large; wherein the sum of the inventory volumes of all of the target items is no greater than the total available storage space of the warehouse.
Optionally, the singleton index determination module is further configured to: determining orders related to the selectable items within a preset time period to generate an order set; determining the number of orders in the order set and the item type number of each order; determining a breakdown index for each selectable item based on the quantity of orders and the quantity of item types for each order.
Optionally, the singleness index determination module determines a singleness index for the optional item according to equation (1):
Figure BDA0001758308990000031
wherein s represents an optional item, csIndex of splitting of optional item S, | O | represents number of orders, | S |oI represents the number of item types of the order, | So\ s | represents the number of item types in the order after the optional item s has been removed.
Optionally, the target item determination module is further configured to:
repeating the following steps A-E to judge whether the optional item is a target item which can be stored in the warehouse:
step A: judging whether the sum of the stock volume of the optional item with the minimum singleness index and the determined target item is not larger than the total available storage space of the warehouse;
and B: if yes, determining the optional article with the minimum bill breaking index as a target article;
and C: for each order containing the optional item with the minimum order splitting index, deleting the optional item from the order to update the item type quantity of the order;
step D: deleting the order with the quantity of the item type being zero so as to update the quantity of the order;
step E: determining a split index for the remaining selectable items based on the updated quantity of orders and the quantity of item types for each order.
Optionally, the apparatus further comprises an inventory volume determination module for determining an inventory volume of the optional item according to the volume of the optional item, the daily average sales volume, and the number of turnaround days.
Optionally, the inventory volume determination module determines an inventory volume of the alternative item according to equation (2) below:
Vs=qs·t·vs(2)
wherein, VsRepresenting the stock volume, q, of the alternative item, ssExpressing the average daily sales of the optional items s, t expressing the number of turnaround days of the optional items s, vsRepresenting the volume of the optional item s.
To achieve the above object, according to still another aspect of embodiments of the present invention, there is provided an electronic apparatus including: one or more processors; a storage device for storing one or more programs which, when executed by the one or more processors, cause the one or more processors to implement the warehouse selection method of an embodiment of the present invention.
To achieve the above object, according to still another aspect of the embodiments of the present invention, there is provided a computer-readable medium on which a computer program is stored, the program implementing the warehouse selection method of the embodiments of the present invention when executed by a processor.
One embodiment of the above invention has the following advantages or benefits: the technical means that whether the selectable articles are the target articles which can be stored in the warehouse or not is sequentially judged according to the order from small to large of the list splitting indexes of the selectable articles, wherein the sum of the stock volumes of all the target articles is not larger than the total available storage space of the warehouse, so that commodities can be selected according to the list splitting indexes under the condition that the storage capacity of the warehouse is fully utilized, simplicity and high efficiency are achieved, and the list splitting condition is reduced as much as possible.
Further effects of the above-mentioned non-conventional alternatives will be described below in connection with the embodiments.
Drawings
The drawings are included to provide a better understanding of the invention and are not to be construed as unduly limiting the invention. Wherein:
fig. 1 is a schematic diagram of a main flow of a warehouse selection method according to an embodiment of the present invention;
FIG. 2 is a schematic diagram of the major modules of a warehouse selection device according to an embodiment of the invention;
FIG. 3 is an exemplary system architecture diagram in which embodiments of the present invention may be employed;
fig. 4 is a schematic block diagram of a computer system suitable for use in implementing a terminal device or server of an embodiment of the invention.
Detailed Description
Exemplary embodiments of the present invention are described below with reference to the accompanying drawings, in which various details of embodiments of the invention are included to assist understanding, and which are to be considered as merely exemplary. Accordingly, those of ordinary skill in the art will recognize that various changes and modifications of the embodiments described herein can be made without departing from the scope and spirit of the invention. Also, descriptions of well-known functions and constructions are omitted in the following description for clarity and conciseness.
Fig. 1 is a schematic diagram of a main flow of a warehouse selection method according to an embodiment of the present invention, as shown in fig. 1, the method includes:
step S01: determining a singulation index for each of the selectable items;
step S102: sequentially judging whether the optional articles are target articles which can be stored in the warehouse or not according to the sequence of the order splitting indexes from small to large; wherein the sum of the inventory volumes of all of the target items is no greater than the total available storage space of the warehouse.
In this embodiment, the category of the articles stored in the warehouse may be determined according to the business plan or the business requirement, for example, the category of the articles may be clothing, electronic equipment, furniture/home, or domestic appliances. All articles under the category of articles are optional articles.
The order splitting index is used for indicating the possibility that the optional item is in the same order with other optional items in the large category of the item, and the smaller the order splitting index is, the higher the possibility that the optional item is in the same order with other optional items is, and the lower the possibility of order splitting is.
In an alternative embodiment, the picking index for the alternative merchandise may be determined according to the following process:
determining orders related to the selectable items within a preset time period to generate an order set;
determining the number of orders in the order set and the item type number of each order;
determining a breakdown index for each selectable item based on the quantity of orders and the quantity of item types for each order.
The preset time period can be flexibly set according to the service planning or the service requirement, and the invention is not limited herein. As a specific example, the preset time period may be one month. Further, orders related to the optional items within one month are determined, and an order set O is obtained. Then, the number of orders in the order set O and the number of commodity types in each order are determined, and the order splitting index of each optional item is calculated by using the number of orders and the number of commodity types in each order.
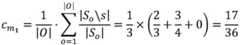
Specifically, the singulation index of the alternative item is determined according to the following equation (1):
Figure BDA0001758308990000061
wherein s represents an optional item, csIndex of splitting of optional item s, | O | represents number of ordersAmount, | SoI represents the number of item types of the order, | So\ s | represents the number of item types in the order after the optional item s has been removed. If the optional item S belongs to the order So(i.e., S ∈ S)o) Then | So\s|=|So1, |; if the optional item S does not belong to the order So(i.e. the
Figure BDA0001758308990000062
) Then | So\s|=|So|。
For step S102, the following steps a-E may be repeated to determine whether the selectable item is a target item that may be stored in the warehouse:
step A: judging whether the sum of the stock volume of the optional item with the minimum singleness index and the determined target item is not larger than the total available storage space of the warehouse;
and B: if yes, determining the optional article with the minimum bill breaking index as a target article;
and C: for each order containing the optional item with the minimum order splitting index, deleting the optional item from the order to update the item type quantity of the order;
step D: deleting the order with the quantity of the item type being zero so as to update the quantity of the order;
step E: determining a split index for the remaining selectable items based on the updated quantity of orders and the quantity of item types for each order.
In this embodiment, after each optional item is determined to be the target item, the optional item is deleted from the order containing the optional item, the item type quantity of the order is updated, then the order with the item type quantity of zero in the updated order is deleted, the order quantity is updated, the splitting indexes of the remaining optional items are recalculated based on the updated order quantity and the item type quantity of each order, the optional item with the smallest splitting index is selected from the remaining optional items and is judged to be the target item, and the above steps are repeated until the stock volume of all the target items is larger than the total available storage space of the warehouse or all the optional items are determined to be the target product.
As a specific example, the set of selectable items may be denoted as set M ═ M1,m2,m3,……mn},mnRepresenting an optional item, n being an integer greater than 1.
Selecting orders related to optional items in the set M in the past month, and recording the orders as an order set O ═ O { (O)1,O2,O3Therefore, the number of orders in the order set O is lO | ═ 3. The quantity of the item type in each order in the order set O is recorded as | SoL. Wherein, order O1There are 3 kinds of articles, each is m1,m2And m3Then order O1Number of article types in
Figure BDA0001758308990000071
Order O2In 4 kinds of articles, each is m1,m2,m4And item p, then order O2Number of article types in
Figure BDA0001758308990000072
Order O3There are 1 kind of article m1Then order O3Number of article types in
Figure BDA0001758308990000073
Thus:
Figure BDA0001758308990000074
Figure BDA0001758308990000075
Figure BDA0001758308990000081
Figure BDA0001758308990000082
optional article m obtainable according to formula (1)1Index of sheet separationComprises the following steps:
Figure BDA0001758308990000084
optional article m obtainable according to formula (1)2Index of sheet separation
Figure BDA0001758308990000085
Comprises the following steps:
optional article m obtainable according to formula (1)3Index of sheet separation
Figure BDA0001758308990000087
Comprises the following steps:
Figure BDA0001758308990000088
optional article m obtainable according to formula (1)4Index of sheet separation
Figure BDA0001758308990000089
Comprises the following steps:
Figure BDA00017583089900000810
optional article m1Index of sheet separation
Figure BDA00017583089900000811
If the minimum value is reached, the optional article m is judged first1Whether the object is a target object which can be stored in the warehouse or not is judged, namely, the selectable object m is judged1Is not greater than the total available storage space of the warehouseAnd judging the optional article m because the determined target article does not exist at the moment1Is not greater than the total available storage space of the warehouse.
Suppose, optional item m1Is not greater than the total available storage space of the warehouse, i.e. optional items m are determined1If the target object is the target object, the following steps are continued:
order O1,O2,O3All contain optional item m1Optional items m in each order1Delete, then order O1M for the remaining 2 kinds of articles2And m3Then order O1Number of article types inOrder O2M for the remaining 3 kinds of articles2,m4And item p, then order O2Number of article types in
Figure BDA00017583089900000813
Order 03If there is no article, order O3Number of article types in
Figure BDA00017583089900000814
Delete order O3If the order set O is { O ═ O1,O2The number of orders in the order set O is | O | ═ 2;
thus:
Figure BDA0001758308990000091
Figure BDA0001758308990000092
Figure BDA0001758308990000093
is selectable according to formula (1)Article m2Index of sheet separation
Figure BDA0001758308990000094
Comprises the following steps:
Figure BDA0001758308990000095
optional article m obtainable according to formula (1)3Index of sheet separation
Figure BDA0001758308990000096
Comprises the following steps:
Figure BDA0001758308990000097
optional article m obtainable according to formula (1)4Index of sheet separationComprises the following steps:
Figure BDA0001758308990000099
optional article m4Index of sheet separation
Figure BDA00017583089900000910
If the minimum value is reached, the optional article m is judged first4Whether the object is a target object which can be stored in the warehouse or not is judged, namely, the selectable object m is judged4And the determined target item m1Is not greater than the total available storage space of the warehouse, if the optional item m4And the determined target item m1Is not greater than the total available storage space of the warehouse, the optional item m is recalculated according to the above steps2And optional article m3The single index is disassembled and judged; if an optional article m4And the determined target item m1If the sum of the stock volumes is greater than the total available storage space of the warehouse, the process is stopped and the stock is determined to be stored in the warehouseTarget object of (1) is m1
In an alternative embodiment, the inventory volume of the alternative item may be determined based on the volume of the alternative item, the average daily sales volume, and the number of turnaround days.
Specifically, the inventory volume of the alternative item is determined according to the following equation (2):
Vs=qs·t·vs(2)
wherein, VsRepresenting the stock volume, q, of the alternative item, ssExpressing the average daily sales of the optional items s, t expressing the number of turnaround days of the optional items s, vsRepresenting the volume of a selectable item s, i.e. the volume of a single selectable item s is vs. The turnover number of days is the number of days that a business spends from the time of acquiring an article to the time of consumption and sale.
The target object is the object that can be stored in the warehouse selected by the embodiment. Selecting the optional item with the smallest singulation index, and judging whether the warehouse can store the optional item, namely judging whether the current available storage space of the warehouse is larger than or equal to the stock volume of the optional item or judging whether the total available storage space of the warehouse is larger than or equal to the sum of the stock volume of the optional item and the determined target item; if yes, the optional item is used as a target item to be stored in the warehouse. Then, recalculating the list splitting indexes of the remaining optional items, and judging whether the optional item with the minimum new list splitting index is the target item or not until the warehouse has no available storage space or all the optional items are traversed.
As a specific example, the total available storage space of the warehouse is VmaxAnd the calculation can be carried out according to the number of the storage units of the warehouse and the available storage space of the storage units. Let the sum of the stock volumes of the target items be V, i.e. the accumulated stock volume of the selected items be V. Let the set of target items be Ω, at which time there are no target items in the set Ω.
Repeating the following steps 1-6:
1. selecting the optional article s with the lowest singleness index;
2. at this time, V ═ V + Vs
3. And (3) judging: if V > VmaxFinishing the product selection; if V is less than or equal to VmaxAdding the commodity s into the set omega;
4. for each order containing the optional items s, deleting the optional items s from the order;
5. removing all empty orders, namely orders with the quantity of the article types being 0, from the order set O;
6. and calculating the splitting index of the optional items except the optional item s based on the new order quantity and the item type quantity of each order.
And the target articles in the set omega are the selected articles to be stored in the warehouse, and the selection is completed.
If the sum of the stock volumes of all the selectable items is not more than the total available storage space of the warehouse after all the selectable items are traversed according to the order of the order splitting indexes from small to large, the item selection can be stopped, or another item large class can be determined according to the service plan, and the selectable items stored in the warehouse under the large class are continuously selected according to the above warehouse item selection method.
According to the warehouse item selection method, whether the selectable items are target items capable of being stored in the warehouse or not is judged in sequence from small to large according to the item splitting indexes of the selectable items, wherein the sum of the stock volumes of all the target items is not larger than the total available storage space of the warehouse, so that the item splitting indexes of all the items can be calculated dynamically under the condition that the storage capacity of the warehouse is fully utilized, commodities are selected according to the item splitting indexes, simplicity and high efficiency are achieved, and the item splitting conditions are reduced as much as possible.
Fig. 2 is a schematic diagram of main blocks of awarehouse selection device 200 according to an embodiment of the present invention, and as shown in fig. 2, thedevice 200 includes:
a singlenessindex determination module 201, configured to determine a singleness index for each optional item;
the targetobject judgment module 202 is configured to sequentially judge whether the selectable objects are target objects that can be stored in the warehouse according to a descending order of the item splitting index; wherein the sum of the inventory volumes of all of the target items is no greater than the total available storage space of the warehouse.
Optionally, the singletonindex determination module 201 is further configured to:
determining orders related to the selectable items within a preset time period to generate an order set;
determining the number of orders in the order set and the item type number of each order;
determining a breakdown index for each selectable item based on the quantity of orders and the quantity of item types for each order.
Optionally, the singulationindex determining module 201 determines the singulation index of the optional item according to the following formula (1):
Figure BDA0001758308990000111
wherein s represents an optional item, csIndex of splitting of optional item S, | O | represents number of orders, | S |oI represents the number of item types of the order, | So\ s | represents the number of item types in the order after the optional item s has been removed.
Optionally, the targetitem determination module 202 is further configured to:
repeating the following steps A-E to judge whether the optional item is a target item which can be stored in the warehouse:
step A: judging whether the sum of the stock volume of the optional item with the minimum singleness index and the determined target item is not larger than the total available storage space of the warehouse;
and B: if yes, determining the optional article with the minimum bill breaking index as a target article;
and C: for each order containing the optional item with the minimum order splitting index, deleting the optional item from the order to update the item type quantity of the order;
step D: deleting the order with the quantity of the item type being zero so as to update the quantity of the order;
step E: determining a split index for the remaining selectable items based on the updated quantity of orders and the quantity of item types for each order.
Optionally, the apparatus further comprises an inventory volume determination module for determining an inventory volume of the optional item according to the volume of the optional item, the daily average sales volume, and the number of turnaround days.
Optionally, the inventory volume determination module determines an inventory volume of the alternative item according to equation (2) below:
Vs=qs·t·vs(2)
wherein, VsRepresenting the stock volume, q, of the alternative item, ssExpressing the average daily sales of the optional items s, t expressing the number of turnaround days of the optional items s, vsRepresenting the volume of the optional item s.
The warehouse item selection device provided by the embodiment of the invention adopts the technical means that whether the selectable items are target items capable of being stored in the warehouse or not is sequentially judged according to the order from small to large of the item splitting indexes of the selectable items, wherein the sum of the stock volumes of all the target items is not more than the total available storage space of the warehouse, so that the item splitting indexes of all the items can be dynamically calculated under the condition of fully utilizing the storage capacity of the warehouse, commodities are selected according to the item splitting indexes, the simplicity and the high efficiency are realized, and the item splitting condition is further reduced as much as possible.
The device can execute the method provided by the embodiment of the invention, and has the corresponding functional modules and beneficial effects of the execution method. For technical details that are not described in detail in this embodiment, reference may be made to the method provided by the embodiment of the present invention.
Fig. 3 illustrates anexemplary system architecture 300 of a warehouse selection method or warehouse selection apparatus to which embodiments of the present invention may be applied.
As shown in fig. 3, thesystem architecture 300 may includeterminal devices 301, 302, 303, anetwork 304, and aserver 305. Thenetwork 304 serves as a medium for providing communication links between theterminal devices 301, 302, 303 and theserver 305.Network 304 may include various connection types, such as wired, wireless communication links, or fiber optic cables, to name a few.
The user may use theterminal device 301, 302, 303 to interact with theserver 305 via thenetwork 304 to receive or send messages or the like. Theterminal devices 301, 302, 303 may have various communication client applications installed thereon, such as shopping applications, web browser applications, search applications, instant messaging tools, mailbox clients, social platform software, and the like.
Theterminal devices 301, 302, 303 may be various electronic devices having a display screen and supporting web browsing, including but not limited to smart phones, tablet computers, laptop portable computers, desktop computers, and the like.
Theserver 305 may be a server providing various services, such as a background management server providing support for shopping websites browsed by the user using theterminal devices 301, 302, 303. The background management server may analyze and perform other processing on the received data such as the product information query request, and feed back a processing result (e.g., target push information and product information) to the terminal device.
It should be noted that the warehouse selection method provided by the embodiment of the present invention is generally executed by theserver 305, and accordingly, the warehouse selection device is generally disposed in theserver 305.
It should be understood that the number of terminal devices, networks, and servers in fig. 3 is merely illustrative. There may be any number of terminal devices, networks, and servers, as desired for implementation.
Referring now to FIG. 4, a block diagram of acomputer system 400 suitable for use with a terminal device implementing an embodiment of the invention is shown. The terminal device shown in fig. 4 is only an example, and should not bring any limitation to the functions and the scope of use of the embodiments of the present invention.
As shown in fig. 4, thecomputer system 400 includes a Central Processing Unit (CPU)401 that can perform various appropriate actions and processes in accordance with a program stored in a Read Only Memory (ROM)402 or a program loaded from astorage section 408 into a Random Access Memory (RAM) 403. In theRAM 403, various programs and data necessary for the operation of thesystem 400 are also stored. TheCPU 401,ROM 402, andRAM 403 are connected to each other via abus 404. An input/output (I/O)interface 405 is also connected tobus 404.
The following components are connected to the I/O interface 405: aninput section 406 including a keyboard, a mouse, and the like; anoutput section 407 including a display device such as a Cathode Ray Tube (CRT), a Liquid Crystal Display (LCD), and the like, and a speaker; astorage section 408 including a hard disk and the like; and acommunication section 409 including a network interface card such as a LAN card, a modem, or the like. Thecommunication section 409 performs communication processing via a network such as the internet. Adriver 410 is also connected to the I/O interface 405 as needed. Aremovable medium 411 such as a magnetic disk, an optical disk, a magneto-optical disk, a semiconductor memory, or the like is mounted on thedrive 410 as necessary, so that a computer program read out therefrom is mounted into thestorage section 408 as necessary.
In particular, according to the embodiments of the present disclosure, the processes described above with reference to the flowcharts may be implemented as computer software programs. For example, embodiments of the present disclosure include a computer program product comprising a computer program embodied on a computer readable medium, the computer program comprising program code for performing the method illustrated in the flow chart. In such an embodiment, the computer program may be downloaded and installed from a network through thecommunication section 409, and/or installed from theremovable medium 411. The computer program performs the above-described functions defined in the system of the present invention when executed by a Central Processing Unit (CPU) 401.
It should be noted that the computer readable medium shown in the present invention can be a computer readable signal medium or a computer readable storage medium or any combination of the two. A computer readable storage medium may be, for example, but not limited to, an electronic, magnetic, optical, electromagnetic, infrared, or semiconductor system, apparatus, or device, or any combination of the foregoing. More specific examples of the computer readable storage medium may include, but are not limited to: an electrical connection having one or more wires, a portable computer diskette, a hard disk, a Random Access Memory (RAM), a read-only memory (ROM), an erasable programmable read-only memory (EPROM or flash memory), an optical fiber, a portable compact disc read-only memory (CD-ROM), an optical storage device, a magnetic storage device, or any suitable combination of the foregoing. In the present invention, a computer readable storage medium may be any tangible medium that can contain, or store a program for use by or in connection with an instruction execution system, apparatus, or device. In the present invention, however, a computer readable signal medium may include a propagated data signal with computer readable program code embodied therein, for example, in baseband or as part of a carrier wave. Such a propagated data signal may take many forms, including, but not limited to, electro-magnetic, optical, or any suitable combination thereof. A computer readable signal medium may also be any computer readable medium that is not a computer readable storage medium and that can communicate, propagate, or transport a program for use by or in connection with an instruction execution system, apparatus, or device. Program code embodied on a computer readable medium may be transmitted using any appropriate medium, including but not limited to: wireless, wire, fiber optic cable, RF, etc., or any suitable combination of the foregoing.
The flowchart and block diagrams in the figures illustrate the architecture, functionality, and operation of possible implementations of systems, methods and computer program products according to various embodiments of the present invention. In this regard, each block in the flowchart or block diagrams may represent a module, segment, or portion of code, which comprises one or more executable instructions for implementing the specified logical function(s). It should also be noted that, in some alternative implementations, the functions noted in the block may occur out of the order noted in the figures. For example, two blocks shown in succession may, in fact, be executed substantially concurrently, or the blocks may sometimes be executed in the reverse order, depending upon the functionality involved. It will also be noted that each block of the block diagrams or flowchart illustration, and combinations of blocks in the block diagrams or flowchart illustration, can be implemented by special purpose hardware-based systems which perform the specified functions or acts, or combinations of special purpose hardware and computer instructions.
The modules described in the embodiments of the present invention may be implemented by software or hardware. The described modules may also be provided in a processor, which may be described as: a processor includes a sending module, an obtaining module, a determining module, and a first processing module. The names of these modules do not in some cases constitute a limitation on the unit itself, and for example, the sending module may also be described as a "module that sends a picture acquisition request to a connected server".
As another aspect, the present invention also provides a computer-readable medium that may be contained in the apparatus described in the above embodiments; or may be separate and not incorporated into the device. The computer readable medium carries one or more programs which, when executed by a device, cause the device to comprise:
determining a singulation index for each of the selectable items;
sequentially judging whether the optional articles are target articles which can be stored in the warehouse or not according to the sequence of the order splitting indexes from small to large; wherein the sum of the inventory volumes of all of the target items is no greater than the total available storage space of the warehouse.
According to the technical scheme of the embodiment of the invention, whether the selectable articles are target articles which can be stored in the warehouse is sequentially judged according to the order from small to large of the list splitting indexes of the selectable articles, wherein the sum of the stock volumes of all the target articles is not more than the total available storage space of the warehouse, so that the list splitting indexes of all the articles can be dynamically calculated under the condition of fully utilizing the storage capacity of the warehouse, and the commodities are selected according to the list splitting indexes, so that the method is simple and efficient, and further the list splitting condition is reduced as much as possible.
The above-described embodiments should not be construed as limiting the scope of the invention. Those skilled in the art will appreciate that various modifications, combinations, sub-combinations, and substitutions can occur, depending on design requirements and other factors. Any modification, equivalent replacement, and improvement made within the spirit and principle of the present invention should be included in the protection scope of the present invention.

Claims (14)

1. A warehouse goods selection method is characterized by comprising the following steps:
determining a singulation index for each of the selectable items;
sequentially judging whether the optional articles are target articles which can be stored in the warehouse or not according to the sequence of the order splitting indexes from small to large; wherein the sum of the inventory volumes of all of the target items is no greater than the total available storage space of the warehouse.
2. The method of claim 1, further comprising:
determining orders related to the selectable items within a preset time period to generate an order set;
determining the number of orders in the order set and the item type number of each order;
determining a breakdown index for each selectable item based on the quantity of orders and the quantity of item types for each order.
3. The method of claim 2, wherein the singulation index of the selectable item is determined according to the following equation (1):
Figure FDA0001758308980000011
wherein s represents an optional item, csIndex of splitting of optional item S, | O | represents number of orders, | S |oI represents the number of item types of the order, | So\ s | represents the number of item types in the order after the optional item s has been removed.
4. The method of claim 3, wherein sequentially determining whether the selectable items are target items that can be stored in the warehouse according to the descending order of the breakdown index comprises:
repeating the following steps A-E to judge whether the optional item is a target item which can be stored in the warehouse:
step A: judging whether the sum of the stock volume of the optional item with the minimum singleness index and the determined target item is not larger than the total available storage space of the warehouse;
and B: if yes, determining the optional article with the minimum bill breaking index as a target article;
and C: for each order containing the optional item with the minimum order splitting index, deleting the optional item from the order to update the item type quantity of the order;
step D: deleting the order with the quantity of the item type being zero so as to update the quantity of the order;
step E: determining a split index for the remaining selectable items based on the updated quantity of orders and the quantity of item types for each order.
5. The method of claim 1, further comprising:
and determining the inventory volume of the optional item according to the volume of the optional item, the daily average sales volume and the turnover days.
6. The method of claim 5, wherein the inventory volume of the selectable item is determined according to equation (2):
Vs=qs·t·vs(2)
wherein, VsRepresenting the stock volume, q, of the alternative item, ssExpressing the average daily sales of the optional items s, t expressing the number of turnaround days of the optional items s, vsRepresenting the volume of the optional item s.
7. A warehouse item selection device, comprising:
the order splitting index determining module is used for determining the order splitting index of each optional article;
the target object judgment module is used for sequentially judging whether the selectable objects are target objects which can be stored in the warehouse or not according to the sequence of the order splitting indexes from small to large; wherein the sum of the inventory volumes of all of the target items is no greater than the total available storage space of the warehouse.
8. The apparatus of claim 7, wherein the singleton index determination module is further configured to:
determining orders related to the selectable items within a preset time period to generate an order set;
determining the number of orders in the order set and the item type number of each order;
determining a breakdown index for each selectable item based on the quantity of orders and the quantity of item types for each order.
9. The apparatus of claim 8, wherein the singulation index determination module determines the singulation index for the selectable item according to the following equation (1):
Figure FDA0001758308980000031
wherein s represents an optional item, csIndex of splitting of optional item S, | O | represents number of orders, | S |oI represents the number of item types of the order, | So\ s | represents the number of item types in the order after the optional item s has been removed.
10. The apparatus of claim 9, wherein the target item determination module is further configured to:
repeating the following steps A-E to judge whether the optional item is a target item which can be stored in the warehouse:
step A: judging whether the sum of the stock volume of the optional item with the minimum singleness index and the determined target item is not larger than the total available storage space of the warehouse;
and B: if yes, determining the optional article with the minimum bill breaking index as a target article;
and C: for each order containing the optional item with the minimum order splitting index, deleting the optional item from the order to update the item type quantity of the order;
step D: deleting the order with the quantity of the item type being zero so as to update the quantity of the order;
step E: determining a split index for the remaining selectable items based on the updated quantity of orders and the quantity of item types for each order.
11. The apparatus of claim 7, further comprising an inventory volume determination module configured to determine an inventory volume for a selectable item based on the volume of the selectable item, a daily average sales volume, and a number of turnaround days.
12. The apparatus of claim 11, wherein the inventory volume determination module determines the inventory volume of the alternative item according to equation (2):
Vs=qs·t·vs(2)
wherein, VsRepresenting the stock volume, q, of the alternative item, ssExpressing the average daily sales of the optional items s, t expressing the number of turnaround days of the optional items s, vsRepresenting the volume of the optional item s.
13. An electronic device, comprising:
one or more processors;
a storage device for storing one or more programs,
when executed by the one or more processors, cause the one or more processors to implement the method of any one of claims 1-6.
14. A computer-readable medium, on which a computer program is stored, which, when being executed by a processor, carries out the method according to any one of claims 1-6.
CN201810896520.3A2018-08-082018-08-08 Warehouse product selection methods and devicesActiveCN110826948B (en)

Priority Applications (1)

Application NumberPriority DateFiling DateTitle
CN201810896520.3ACN110826948B (en)2018-08-082018-08-08 Warehouse product selection methods and devices

Applications Claiming Priority (1)

Application NumberPriority DateFiling DateTitle
CN201810896520.3ACN110826948B (en)2018-08-082018-08-08 Warehouse product selection methods and devices

Publications (2)

Publication NumberPublication Date
CN110826948Atrue CN110826948A (en)2020-02-21
CN110826948B CN110826948B (en)2023-11-03

Family

ID=69540672

Family Applications (1)

Application NumberTitlePriority DateFiling Date
CN201810896520.3AActiveCN110826948B (en)2018-08-082018-08-08 Warehouse product selection methods and devices

Country Status (1)

CountryLink
CN (1)CN110826948B (en)

Cited By (2)

* Cited by examiner, † Cited by third party
Publication numberPriority datePublication dateAssigneeTitle
CN113762822A (en)*2020-06-302021-12-07北京京东振世信息技术有限公司Order processing method and device
CN114186903A (en)*2020-09-142022-03-15上海顺如丰来技术有限公司 Warehouse selection method, device, computer equipment and storage medium

Citations (6)

* Cited by examiner, † Cited by third party
Publication numberPriority datePublication dateAssigneeTitle
CN104574013A (en)*2014-12-222015-04-29北京京东尚科信息技术有限公司Method and device for determining warehouse storage distribution
CN106803158A (en)*2015-11-262017-06-06阿里巴巴集团控股有限公司The processing method of storage data, device and system in products storage circulation system
CN106886874A (en)*2017-01-242017-06-23武汉奇米网络科技有限公司A kind of order splits delivery system and splits delivery method
CN107230035A (en)*2017-06-292017-10-03北京京东尚科信息技术有限公司Information-pushing method and device
CN108053163A (en)*2017-12-282018-05-18创新无限信息技术(武汉)股份有限公司Overseas order merges and overweight singulated method and system
CN108090717A (en)*2017-11-142018-05-29上海伯俊软件科技有限公司A kind of cloud storehouse distribute leaflets method for the retail of full channel

Patent Citations (6)

* Cited by examiner, † Cited by third party
Publication numberPriority datePublication dateAssigneeTitle
CN104574013A (en)*2014-12-222015-04-29北京京东尚科信息技术有限公司Method and device for determining warehouse storage distribution
CN106803158A (en)*2015-11-262017-06-06阿里巴巴集团控股有限公司The processing method of storage data, device and system in products storage circulation system
CN106886874A (en)*2017-01-242017-06-23武汉奇米网络科技有限公司A kind of order splits delivery system and splits delivery method
CN107230035A (en)*2017-06-292017-10-03北京京东尚科信息技术有限公司Information-pushing method and device
CN108090717A (en)*2017-11-142018-05-29上海伯俊软件科技有限公司A kind of cloud storehouse distribute leaflets method for the retail of full channel
CN108053163A (en)*2017-12-282018-05-18创新无限信息技术(武汉)股份有限公司Overseas order merges and overweight singulated method and system

Non-Patent Citations (2)

* Cited by examiner, † Cited by third party
Title
"网上超市订单分配与物流配送联合优化方法", 《系统工程学报》, pages 251 - 258*
HYEYOEN KIM: "Which trader\'s order-splitting strategy is effective? The case of an index options market", 《APPLIED ECONOMICS LETTERS》, vol. 19, no. 17, pages 1683 - 1692*

Cited By (3)

* Cited by examiner, † Cited by third party
Publication numberPriority datePublication dateAssigneeTitle
CN113762822A (en)*2020-06-302021-12-07北京京东振世信息技术有限公司Order processing method and device
CN113762822B (en)*2020-06-302023-09-26北京京东振世信息技术有限公司Method and device for processing order
CN114186903A (en)*2020-09-142022-03-15上海顺如丰来技术有限公司 Warehouse selection method, device, computer equipment and storage medium

Also Published As

Publication numberPublication date
CN110826948B (en)2023-11-03

Similar Documents

PublicationPublication DateTitle
CN112884405B (en)Price inquiry system and scheduling method thereof
CN113450172B (en)Commodity recommendation method and device
CN113095893A (en)Method and device for determining sales of articles
CN110222860B (en) A method and device for generating a delivery warehouse list for an order
CN111612385B (en)Method and device for clustering articles to be distributed
CN113793081A (en) Warehouse monitoring method, device, computer readable medium and electronic device
CN110826948A (en)Warehouse product selection method and device
CN109902847B (en)Method and device for predicting amount of orders in branch warehouse
CN108985805B (en)Method and device for selectively executing push task
CN112784861B (en)Similarity determination method, device, electronic equipment and storage medium
CN113762863A (en)Inventory management method and device
CN113191703A (en)Method and device for allocating storage positions
CN113538080A (en)Task list splitting method and device
CN110956478A (en) Method and device for determining incoming quantity of items
CN112785358B (en) A method and device for accessing an order fulfillment merchant
CN111260269A (en)Store order processing method and device for improving distribution efficiency
CN112115165B (en)Data processing method and device
CN111695749B (en)Grouping task generation method and device
CN112926907B (en)Warehouse inventory layout method and device
CN112783956B (en)Information processing method and device
CN111047242B (en)Inventory difference monitoring method and device
CN112785213A (en)Method and device for building warehouse goods picking order
CN113220677A (en)Warehouse-out positioning method, device, equipment and computer readable medium
CN113627454A (en)Article information clustering method, pushing method and pushing device
CN113205287A (en)Method, device, equipment and computer readable medium for splitting manifest

Legal Events

DateCodeTitleDescription
PB01Publication
PB01Publication
TA01Transfer of patent application right

Effective date of registration:20200601

Address after:Room A1905, 19th floor, No. 2 Building, 18 Kechuang 11th Street, Beijing Daxing District, Beijing

Applicant after:Beijing Jingdong Qianshi Technology Co.,Ltd.

Address before:300 457 days Tianjin Binhai New Area, Tianjin Economic and Technological Development Zone, No. 10 Fourth Avenue, Phase 2, First Floor

Applicant before:Tianjin Jingdong Shentuo Robot Technology Co.,Ltd.

TA01Transfer of patent application right
SE01Entry into force of request for substantive examination
SE01Entry into force of request for substantive examination
GR01Patent grant
GR01Patent grant

[8]ページ先頭

©2009-2025 Movatter.jp