Movatterモバイル変換


[0]ホーム

URL:


CN110821475B - Drilling resistivity monitoring method for coal mine working face bottom plate and cable pushing device - Google Patents

Drilling resistivity monitoring method for coal mine working face bottom plate and cable pushing device
Download PDF

Info

Publication number
CN110821475B
CN110821475BCN201911188745.4ACN201911188745ACN110821475BCN 110821475 BCN110821475 BCN 110821475BCN 201911188745 ACN201911188745 ACN 201911188745ACN 110821475 BCN110821475 BCN 110821475B
Authority
CN
China
Prior art keywords
hole
cable
drilling
bottom plate
coal mine
Prior art date
Legal status (The legal status is an assumption and is not a legal conclusion. Google has not performed a legal analysis and makes no representation as to the accuracy of the status listed.)
Active
Application number
CN201911188745.4A
Other languages
Chinese (zh)
Other versions
CN110821475A (en
Inventor
刘磊
李博凡
赵兆
王冰纯
安又新
范涛
鲁晶津
赵睿
张鹏
Current Assignee (The listed assignees may be inaccurate. Google has not performed a legal analysis and makes no representation or warranty as to the accuracy of the list.)
Xian Research Institute Co Ltd of CCTEG
Original Assignee
Xian Research Institute Co Ltd of CCTEG
Priority date (The priority date is an assumption and is not a legal conclusion. Google has not performed a legal analysis and makes no representation as to the accuracy of the date listed.)
Filing date
Publication date
Application filed by Xian Research Institute Co Ltd of CCTEGfiledCriticalXian Research Institute Co Ltd of CCTEG
Priority to CN201911188745.4ApriorityCriticalpatent/CN110821475B/en
Publication of CN110821475ApublicationCriticalpatent/CN110821475A/en
Application grantedgrantedCritical
Publication of CN110821475BpublicationCriticalpatent/CN110821475B/en
Activelegal-statusCriticalCurrent
Anticipated expirationlegal-statusCritical

Links

Images

Classifications

Landscapes

Abstract

The invention relates to a resistivity monitoring method and a cable pushing device, belongs to the technical field of geophysical exploration, and particularly relates to a coal mine working face bottom plate drilling resistivity monitoring method and a cable pushing device based on pseudo-random coding. After pushing the high-density cable in the hole into the grouting reconstruction drilling hole of the coal mine bottom plate, grouting to block the grouting reconstruction drilling hole of the bottom plate; and (3) connecting the high-density cable in the hole into a downhole resistivity monitoring control substation, and performing perspective exploration among resistivity holes by utilizing the bottom plate grouting reconstruction drilling. Therefore, the invention provides a coal mine working face bottom plate drilling resistivity monitoring technology aiming at the current state of the art, and provides a powerful guarantee for monitoring delayed water burst caused by goaf bottom plate rock breaking in real time in the working face mining process.

Description

Drilling resistivity monitoring method for coal mine working face bottom plate and cable pushing device
Technical Field
The invention relates to a resistivity monitoring method and a cable pushing device, belongs to the technical field of geophysical exploration, and particularly relates to a coal mine working face bottom plate drilling resistivity monitoring method and a cable pushing device based on pseudo-random coding.
Background
After the coal mine working face is formed, the potential water-rich hidden danger of the bottom plate is detected, and the water-rich detection of the bottom plate of the working face is mainly carried out in a roadway by adopting audio-frequency electric perspective at present, so that the one-time detection work is realized. In the stoping process of the working face, stress release of rock stratum of the top and bottom plates is caused by the absence of the coal layer to form an upper three zone ' and a lower three zone ' of the top plate ', and for the coal layer taking limestone as a direct bottom plate, the stress release of the bottom plate brings great potential safety hazard, so that a hidden structure of the bottom plate of a goaf or a water guide channel is activated to form delayed water burst.
Because the goaf has already been collapsed, the goaf stress distribution condition and rock deformation condition cannot be continuously monitored after coal seam stoping, the hysteresis water burst cannot be monitored and early-warned, and a goaf monitoring method which is not broken by a top plate and is closed by a top plate and a bottom plate must be considered. The grouting transformation of the bottom plate is utilized to reform the drilling hole to be an effective means for monitoring the delayed water burst of the goaf. As shown in fig. 1, in coal mining, deep and long drilling holes are not formed in a base plate of a working face if not necessary, and the meaning of the deep and long drilling holes is that the base plate is reinforced by grouting, and the reinforced base plate is required to be monitored. In the conventional monitoring means, the emitted current waveform is a square waveform or a harmonic waveform, and the anti-interference capability of the system is relatively poor. The underground coal mine equipment has small emission current for the anti-explosion safety, the emission current waveform is modulated by adopting a pseudo-random coding sequence to increase the anti-interference capability, and the noise interference is removed by utilizing the correlation between the received signal waveform and the emission current waveform.
In inverting a three-dimensional resistivity structure from two-dimensional monitored data, a non-uniform grid is typically used to dissect the region to be inverted,
disclosure of Invention
The invention mainly solves the technical problems in the prior art and provides a coal mine working face bottom plate drilling resistivity monitoring method based on pseudo-random coding and a cable pushing device.
The technical problems of the invention are mainly solved by the following technical proposal:
a coal mine working face bottom plate drilling resistivity monitoring method comprises the following steps:
after pushing the high-density cable in the hole into the grouting reconstruction drilling hole of the coal mine bottom plate, grouting to block the grouting reconstruction drilling hole of the bottom plate;
and (3) connecting the high-density cable in the hole into a downhole resistivity monitoring control substation, and performing perspective exploration among resistivity holes by utilizing the bottom plate grouting reconstruction drilling.
Preferably, in the method for monitoring the resistivity of the drilling holes of the base plate of the coal mine working face, the horizontal section of the drilling hole is subjected to grouting reconstruction of the base plate, and resistivity holes are subjected to perspective exploration.
Preferably, in the method for monitoring the resistivity of the drilling hole of the coal mine working face bottom plate, a hydraulic conveying mode is adopted to push the high-density cable in the hole into the grouting reconstruction drilling hole of the coal mine bottom plate.
Preferably, in the method for monitoring the resistivity of the coal mine working face floor drilling hole, the resistivity holes are subjected to perspective exploration in at least two coal mine floor grouting reconstruction drilling holes, a power supply electrode A is placed in one coal mine floor grouting reconstruction drilling hole, and two receiving electrodes matched with the power supply electrode A are placed in the other coal mine floor grouting reconstruction drilling hole.
Preferably, in the method for monitoring the resistivity of the drilling hole of the floor of the coal mine working face, a high-density cable pushing device is used for pushing the high-density cable in the hole into the grouting reconstruction drilling hole of the floor of the coal mine, and the high-density cable pushing device comprises: the wire coring drill rod is provided with a coring bit in front of the wire coring drill rod, a suspension device is arranged in the wire coring drill rod, the rear end of the suspension device is sequentially connected with a hydraulic conveyer, and the hydraulic conveyer is connected with a high-density cable in a hole through a fixed nipple.
A coal mine working face bottom plate drilling resistivity monitoring method comprises the following steps:
step 1, after the directional drilling grouting reconstruction engineering is completed, all drill rods are withdrawn, and the coring drill rods are replaced;
step 2, fixedly connecting the hole bottom suspension device, the hydraulic conveyer, the fixed pup joint and the high-density cable in the hole in sequence, and sending the high-density cable into the coring drill rod; the fixed nipple is used for connecting the hydraulic conveyor with the high-density cable in the hole;
step 3, special water is fixed at the tail end of the coring drill rod, a high-pressure water column is conveyed at an opening at the side of the drill rod, the hydraulic conveyer moves forwards under the pressure of the high-pressure water column, and the high-density cable in the traction hole continuously moves towards the bottom of the hole;
step 4, the suspension device is moved to the bottom of the hole of the drill hole, the coring drill rod is withdrawn, and the high-density cable in the hole is tiled in the drill hole;
and 5, connecting the high-density cable in the hole into a monitoring host, under the control of the monitoring host, supplying a set pseudo-random coding sequence current waveform by a power supply electrode on a transmitting cable, synchronously collecting a voltage waveform between adjacent electrodes on a receiving cable by a receiver, and calculating a stable potential difference of the adjacent receiving electrodes on the receiving cable through a cross correlation algorithm.
Preferably, in the method for monitoring the drilling resistivity of the coal mine working face bottom plate, the hanging device is provided with a barb structure, so that the hanging device can only move unidirectionally.
A high density cable pusher for colliery bottom plate slip casting reforms transform drilling includes: the core drill rod is characterized in that a core drill bit is arranged in front of the core drill rod, a suspension device is arranged in the core drill rod, the rear end of the suspension device is sequentially connected with a hydraulic conveyer, and the hydraulic conveyer is connected with a high-density cable in a hole through a fixed nipple.
Therefore, the invention provides a coal mine working face bottom plate drilling resistivity monitoring technology aiming at the current state of the art, and provides a powerful guarantee for monitoring delayed water burst caused by goaf bottom plate rock breaking in real time in the working face mining process.
Drawings
FIG. 1 is a schematic view of a spatial configuration of grouting and drilling holes in a floor of a coal mine working face
FIG. 2 is a schematic illustration of hydraulic pushing of high density cables in holes
FIG. 3 is a schematic diagram of power supply and power reception for monitoring the resistivity of a substrate
FIG. 4 is a diagram of an overall floor borehole resistivity monitoring system
FIG. 5 is a diagram showing the positional relationship between a column and a borehole in a test sample
Fig. 6 shows the detection results at different times, and the presence or absence of a water burst precursor is inferred from the change in the sheet resistivity over time.
FIG. 7 is a schematic view of an inversion meshing in which the meshing is progressively expanded in the radial direction of the borehole, maintaining the same resolution in the direction of drilling the borehole.
Detailed Description
The technical scheme of the invention is further specifically described below through examples and with reference to the accompanying drawings.
Examples:
the method and the cable pushing device for monitoring the water-rich property of the bottom plate of the working face in real time in the grouting drilling of the bottom plate of the coal mine are provided on the basis of the technology, which is a mature technology, but the exploration result is disposable and continuous construction cannot be carried out in the mining process. The invention comprises the following aspects:
1. high-density cable pushing technology in middle hole of deep and long drilling hole
In vertical drilling, high-density cable arrangement in the hole is simpler, can be completed by means of self gravity of the cable, and in the horizontal/near-horizontal hole section, the cable arrangement needs to be achieved in an external force pushing mode, a bottom plate drilling schematic diagram is shown in fig. 1, and the cable is pushed to the bottom of the hole in a high-pressure hydraulic pushing mode.
2. Inter-hole resistivity dynamic monitoring technology
After the high-density cables are arranged, real-time dynamic monitoring can be performed in the mining process of the working face, a tripolar power supply mode is adopted, namely, 1 power supply electrode A and two receiving electrodes M, N are respectively positioned in different drilling holes, the power supply electrodes adopt a rolling power supply mode, the connection line of the point electrodes and the receiving electrodes is as shown in fig. 2, the underground optical fiber ring network is transmitted to a ground monitoring host for automatic real-time processing after data acquisition is completed, and the whole-course tracking of the mining process is completed.
The present embodiment is further described below with reference to the drawings.
As shown in fig. 1, which is a schematic diagram of a model of bottom plate grouting, grouting drilling holes are divided into a deflecting section and a horizontal section, and in-hole monitoring is performed on the horizontal section of the drilling holes. The deflecting section can be used, but the horizontal section is more stable, the drilling space is more stable, and the data processing and interpretation are more convenient, so that the horizontal section is used for in-hole monitoring in the embodiment.
In the embodiment, the existing coal mine bottom plate is utilized to grouting and reform a drilling hole, a hydraulic conveying mode is adopted to push high-density cables in two holes into the drilling hole, grouting and plugging are carried out on the drilling hole after the cables are pushed to the bottom of the drilling hole, the two conveyed cables are connected into an underground resistivity monitoring control substation, resistivity holes are subjected to perspective exploration in a working face stoping stage, monitoring data are transmitted to a ground host in real time through an underground looped network, the broken condition of the bottom plate below the working face is analyzed through perspective data processing, and an early warning means is provided for hysteretic water burst of a goaf of the working face of the coal mine.
The method for real-time monitoring in the drilling hole in the embodiment mainly comprises the following steps:
1) After the directional drilling grouting reconstruction engineering is finished, all drill rods are withdrawn, and the special core drill rod with the outer diameter of 73mm and the inner diameter of 55mm is replaced;
2) According to the sequence, the hole bottom suspension device, the hydraulic conveyer, the fixed pup joint and the high-density cable in the hole are fixedly connected in sequence and are sent into the coring drill rod;
3) The special water is fixed at the tail end of the coring drill rod, a high-pressure water column with the pressure not exceeding 6MPa is conveyed at an opening at the side of the drill rod, the hydraulic conveyer moves forwards under the pressure of the high-pressure water column, and the high-density cable in the traction hole continuously moves towards the bottom of the hole;
4) When the suspension device moves to the bottom of a drilling hole and withdraws from the coring drill rod, the suspension device, the hydraulic conveyer and the fixed pup joint are fixed at the bottom of the hole due to the unidirectional movement of the suspension device, and after the drill rod is completely withdrawn, high-density large lines in the hole are flatly paved in the drilling hole;
5) And (3) connecting the high-density cable in the hole into a monitoring host, under the control of the monitoring host, supplying a set pseudo-random coded sequence current waveform by a power supply electrode on the transmitting cable, synchronously collecting a voltage waveform between adjacent electrodes on the receiving cable by a receiver, and calculating the stable potential difference of the adjacent receiving electrodes on the receiving cable by a cross correlation algorithm.
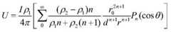
6) And carrying out non-uniform mesh dissection on the region to be inverted. For three-dimensional inversion, to ensure the inversion process is stable, the scale of the regional grid far from power supply/reception is properly enlarged. In order to ensure that the influence of each grid on the received data is basically the same, the size of the cross section of the grid when the distance from any position of the drilling hole is calculated according to the global abnormal body full-space abnormal potential formula. Under the uniform space, the potential formula of the sphere under the condition of power supply of the point electrode is as follows:
Figure SMS_1
ρ12 background resistivity and abnormal sphere resistivity, d, r, respectively0 The method comprises the steps of respectively carrying out volume equivalence (the influence of the triangular prism is equivalent to a sphere with the same volume) on each divided triangular prism body, so that the abnormal potential calculated value of each triangular prism body is basically consistent, and the optimal mesh subdivision scheme is determined. The inversion subdivision scheme is shown in FIG. 7.
7) And detecting the whole working face mining process in real time, analyzing and processing acquired data, and inverting to obtain the resistivity distribution condition of the area around the drilling hole. And comparing detection results at different moments to obtain the resistivity change condition of the working surface under mining disturbance, and indirectly giving early warning on water condition hidden danger in advance.
FIG. 1 shows the relative position relationship between the grouting drilling holes of the bottom plate and the coal seam, the top plate and the bottom plate, and the two grouting directional drilling tracks are distributed on the depth of the coal seam bottom plate 40-60m in a parallel state after gradually entering the horizontal section.
Fig. 2 shows a graph of the correlation between the emission and reception of electrodes in the wells. After the high-density cables are arranged, real-time dynamic monitoring can be performed in the mining process of the working face, a tripolar power supply mode is adopted, namely, 1 power supply electrode A and two receiving electrodes M, N are respectively positioned in different drilling holes, and the power supply electrodes adopt a rolling power supply mode. The distance between cable electrodes in the holes can be adjusted according to the hole depth, and is 10m generally, when each power supply electrode supplies power, 10-20 electrodes of the other drilling hole measure potential difference, and rolling measurement is carried out. After the data acquisition is completed, the data is transmitted to a ground monitoring host by an underground optical fiber ring network for automatic real-time processing, and the whole course tracking of the mining process is completed.
The high-density cable pushing device in the hole is described below with reference to fig. 3. Comprising the following steps: the wire coring drill rod is provided with a coring bit in front, a suspension device is arranged in the wire coring drill rod, and the rear end of the wire coring drill rod is sequentially connected with a hydraulic conveyer, a fixed nipple and a cable. Wherein, the hanging device is provided with a barb structure, so that the hanging device can only move unidirectionally. In the embodiment, the high-density cable in the hole is paved in the drill hole under the traction of the suspension device and the hydraulic conveyer, and the suspension device is fixed at the bottom of the hole after the drill rod exits.
Fig. 4 is a schematic diagram of the whole monitoring system in this embodiment, including four parts of cable in hole, monitoring host, underground ring network, and ground server, the underground collected data is transmitted to the ground processing station in real time through the network, and the whole mining process is monitored. The in-hole monitoring data are stored in an underground monitoring host, the monitoring host transmits the data to an underground industrial ring network through an underground optical network switch, and then the data are transmitted to a ground server through a core switch, so that the data are dynamically processed, and the dynamic change of the resistivity of the bottom plate is monitored in real time.
The resistivity monitoring technology is already applied to ground vertical drilling, and related experiments are reported when monitoring in a roadway, and the embodiment is different from the prior art in the following steps:
firstly, the construction environment has great change, the ground vertical drilling monitoring cable can be laid through self gravity, the drilling used in the patent is underground horizontal drilling completed by the directional drilling machine, the drilling machine and the hydraulic conveying device are matched, the working condition environment has great difference, and the construction difficulty is greatly increased
Secondly, for the detection of the goaf lag water burst, no good method exists at present, after the coal seam is mined, the top and the bottom of the coal seam are crushed, the original space is collapsed and filled, a monitoring device arranged in a roadway can be damaged immediately, and only in a bottom plate drilling hole, a monitoring cable can be stored, so that the possibility of monitoring the goaf lag water burst exists.
The effects of this embodiment are further described below in conjunction with fig. 5-6.
Fig. 5-6 show test results of the in-hole monitoring method of this embodiment, the test drilling depth is 120m, the distance between two holes is 40m, the electrode distance in the holes is 10m, a trapping column with a long axis of 60m and a short axis of 45m exists between the two holes, uninterrupted monitoring is carried out for one month by adopting the monitoring technology, the drilling and trapping column are shown in fig. 5, monitoring results in different time periods are shown in fig. 6, and compared with monitoring results in different time periods, judgment can be made on the change condition of resistivity between the holes, so as to indirectly infer whether there is a hidden danger of water lag.
The specific embodiments described herein are offered by way of example only to illustrate the spirit of the invention. Those skilled in the art may make various modifications or additions to the described embodiments or substitutions thereof without departing from the spirit of the invention or exceeding the scope of the invention as defined in the accompanying claims.

Claims (2)

1. The utility model provides a colliery working face bottom plate drilling resistivity monitoring method which characterized in that adopts high density cable pusher to push the high density cable in hole to colliery bottom plate slip casting transformation drilling, high density cable pusher includes: the wire coring drill rod is provided with a coring bit in front of the wire coring drill rod, a suspension device is arranged in the wire coring drill rod, the rear end of the suspension device is sequentially connected with a hydraulic conveyer, and the hydraulic conveyer is connected with a high-density cable in a hole through a fixed nipple;
and specifically comprises the following steps:
step 1, after the directional drilling grouting reconstruction engineering is completed, all drill rods are withdrawn, and the rope coring drill rods are replaced;
step 2, fixedly connecting the suspension device, the hydraulic conveyer, the fixed pup joint and the high-density cable in the hole in sequence, and sending the high-density cable into the core drill rod of the rope; the fixed nipple is used for connecting the hydraulic conveyor with the high-density cable in the hole;
step 3, special water is fixed at the tail end of the rope coring drill rod, a high-pressure water column is conveyed at an opening at the side of the drill rod, the hydraulic conveyer moves forwards under the pressure of the high-pressure water column, and the high-density cable in the traction hole continuously moves towards the bottom of the hole;
step 4, the suspension device is moved to the bottom of the hole of the drill hole, the wire core drill rod is withdrawn, and the high-density cable in the hole is paved in the drill hole;
step 5, connecting the high-density cable in the hole into a monitoring host, under the control of the monitoring host, supplying a set pseudo-random coding sequence current waveform by a power supply electrode on a transmitting cable, synchronously collecting a voltage waveform between adjacent electrodes on a receiving cable by a receiver, and calculating a stable potential difference of the adjacent receiving electrodes on the receiving cable by a cross correlation algorithm;
and the two receiving electrodes on the receiving cable matched with the power supply electrodes are arranged in the other coal mine floor grouting reconstruction drilling hole.
2. A method of monitoring the resistivity of a coal mine face floor borehole in accordance with claim 1 wherein the suspension means is provided with a barb arrangement whereby the suspension means is moveable in only one direction.
CN201911188745.4A2019-11-282019-11-28Drilling resistivity monitoring method for coal mine working face bottom plate and cable pushing deviceActiveCN110821475B (en)

Priority Applications (1)

Application NumberPriority DateFiling DateTitle
CN201911188745.4ACN110821475B (en)2019-11-282019-11-28Drilling resistivity monitoring method for coal mine working face bottom plate and cable pushing device

Applications Claiming Priority (1)

Application NumberPriority DateFiling DateTitle
CN201911188745.4ACN110821475B (en)2019-11-282019-11-28Drilling resistivity monitoring method for coal mine working face bottom plate and cable pushing device

Publications (2)

Publication NumberPublication Date
CN110821475A CN110821475A (en)2020-02-21
CN110821475Btrue CN110821475B (en)2023-04-25

Family

ID=69542553

Family Applications (1)

Application NumberTitlePriority DateFiling Date
CN201911188745.4AActiveCN110821475B (en)2019-11-282019-11-28Drilling resistivity monitoring method for coal mine working face bottom plate and cable pushing device

Country Status (1)

CountryLink
CN (1)CN110821475B (en)

Families Citing this family (6)

* Cited by examiner, † Cited by third party
Publication numberPriority datePublication dateAssigneeTitle
CN111414657B (en)*2020-03-092023-02-10中煤科工集团沈阳设计研究院有限公司Method for determining coal seam bifurcation position and establishing refined three-dimensional solid model
CN111764893B (en)*2020-07-072023-03-03中煤科工集团西安研究院有限公司Coal mine underground horizontal deep hole fiber bragg grating strain sensor arrangement device and construction method thereof
CN114016932B (en)*2021-11-052023-11-21中煤科工集团西安研究院有限公司Cable disengaging device, cable conveying assembly and timing recovery method
CN115493737B (en)*2022-08-172024-05-31中煤科工西安研究院(集团)有限公司Original rock stress determination method based on downhole directional long-borehole hydraulic fracturing method
CN115857030A (en)*2022-11-182023-03-28中煤科工西安研究院(集团)有限公司 A Coal Mine Underground Hole-Road Audio Audio Perspective Detection System and Detection Method
CN116557068A (en)*2023-04-102023-08-08江西理工大学Stress and deformation integrated ore pillar stability monitoring device, system and method

Citations (8)

* Cited by examiner, † Cited by third party
Publication numberPriority datePublication dateAssigneeTitle
US6041872A (en)*1998-11-042000-03-28Gas Research InstituteDisposable telemetry cable deployment system
CN101082267A (en)*2005-12-122007-12-05普拉德研究及开发股份有限公司Method and conduit for transmitting signals
CN201386557Y (en)*2009-04-302010-01-20中国石油集团川庆钻探工程有限公司钻采工艺技术研究院Relay transmission measurement while drilling device
CN102419455A (en)*2011-08-232012-04-18安徽理工大学Interwell parallel resistivity CT (computed tomography) testing method
RU2492323C1 (en)*2012-04-092013-09-10Анатолий Георгиевич МалюгаMethod to investigate beds in process of oil and gas wells drilling and sampler for its realisation
CN203277878U (en)*2013-05-242013-11-06温州奇诚电器有限公司Light-control device socket
CN109681141A (en)*2019-03-072019-04-26湖南科技大学A kind of coring device and construction method for mine rock coring
RU2686761C1 (en)*2018-02-262019-04-30Общество с Ограниченной Ответственностью "ТНГ-Групп"Method for delivering geophysical instruments into zone for examination of horizontal section of well shaft and device for direct connection for realizing said method

Family Cites Families (12)

* Cited by examiner, † Cited by third party
Publication numberPriority datePublication dateAssigneeTitle
US4354558A (en)*1979-06-251982-10-19Standard Oil Company (Indiana)Apparatus and method for drilling into the sidewall of a drill hole
US8044819B1 (en)*2006-10-232011-10-25Scientific Drilling InternationalCoal boundary detection using an electric-field borehole telemetry apparatus
CN101787880A (en)*2010-02-262010-07-28煤炭科学研究总院重庆研究院Measurement-while-drilling device for underground sub-horizontal directional long drill hole of cola mine
RU2447289C1 (en)*2010-08-062012-04-10Федеральное государственное бюджетное образовательное учреждение высшего профессионального образования "Кузбасский государственный технический университет имени Т.Ф. Горбачева" (КузГТУ)Method to identify outburst zones in coal beds
CN102768369B (en)*2012-06-052015-06-03武汉长盛煤安科技有限公司Roadway drivage drilling induced polarization advance water probing forecasting method, device and probe
US8882204B2 (en)*2012-08-212014-11-11George Anthony AulisioApparatus and method for mining coal
CN104280779A (en)*2014-09-192015-01-14中国矿业大学Water diversion fracture height test method used in underwater filling coal mining process
CN104459808A (en)*2014-12-152015-03-25中煤科工集团西安研究院有限公司Monitoring and forecasting method and device for water bursting hazards on roof and floor of coal working face
CN104730585B (en)*2015-03-262016-08-24山东科技大学One adopts floor damage of working face method of real-time
CN106246162B (en)*2016-09-212019-03-22山东科技大学Across the borescopic imaging device of floor undulation and slip casting effect monitoring method
CN107387166B (en)*2017-08-012020-04-10安徽理工大学Real-time monitoring and early warning system and method for failure depth of coal seam floor of stope face
CN110219611B (en)*2019-06-142021-02-05山西晋煤集团技术研究院有限责任公司Coal mine underground horizontal drilling core drill tool combination and use method thereof

Patent Citations (8)

* Cited by examiner, † Cited by third party
Publication numberPriority datePublication dateAssigneeTitle
US6041872A (en)*1998-11-042000-03-28Gas Research InstituteDisposable telemetry cable deployment system
CN101082267A (en)*2005-12-122007-12-05普拉德研究及开发股份有限公司Method and conduit for transmitting signals
CN201386557Y (en)*2009-04-302010-01-20中国石油集团川庆钻探工程有限公司钻采工艺技术研究院Relay transmission measurement while drilling device
CN102419455A (en)*2011-08-232012-04-18安徽理工大学Interwell parallel resistivity CT (computed tomography) testing method
RU2492323C1 (en)*2012-04-092013-09-10Анатолий Георгиевич МалюгаMethod to investigate beds in process of oil and gas wells drilling and sampler for its realisation
CN203277878U (en)*2013-05-242013-11-06温州奇诚电器有限公司Light-control device socket
RU2686761C1 (en)*2018-02-262019-04-30Общество с Ограниченной Ответственностью "ТНГ-Групп"Method for delivering geophysical instruments into zone for examination of horizontal section of well shaft and device for direct connection for realizing said method
CN109681141A (en)*2019-03-072019-04-26湖南科技大学A kind of coring device and construction method for mine rock coring

Non-Patent Citations (5)

* Cited by examiner, † Cited by third party
Title
何裕盛.《地下动态导体的充电法探测》.地质出版社,2001,第6-7页.*
冯帆.海底绳索取芯钻具的设计与研究.中国优秀硕士学位论文全文数据库(基础科学辑).2016,第1-64页.*
贺涛.天然气水合物保温保压绳索取心钻具设计.中国优秀硕士学位论文全文数据库(工程科技Ⅰ辑).2011,第1-69页.*
高致宏等.工作面富水区探测与矿井电法——音频电透视在工作面富水区探测中的应用效果.煤田地质与勘探.2002,第30卷(第4期),第51-54页.*
黄声树.《煤矿瓦斯治理适用新技术》.中国矿业大学出版社,2008,第193-194页.*

Also Published As

Publication numberPublication date
CN110821475A (en)2020-02-21

Similar Documents

PublicationPublication DateTitle
CN110821475B (en)Drilling resistivity monitoring method for coal mine working face bottom plate and cable pushing device
CN107165676B (en) Trinity monitoring method for rock formation control
CN103529488B (en)Mine roof and floor gushing water monitoring and forecasting system and method
CN106555609B (en)A kind of coal mine gob water, which is visited, puts method
CN113360592B (en)N00 construction method coal seam roof water inrush danger early warning method based on microseismic monitoring
CN111123365B (en)Goaf lagging water inrush early warning system based on natural potential method and application method thereof
CN103967476B (en)With boring physical prospecting forward probe device and detection method
CN106437843B (en)coal mine bottom plate water guide channel identification method based on microseismic monitoring
CN103792569B (en)A kind of microseismic sensors moisture weak rocks soil body deep hole is installed and retracting device
CN205593478U (en)Overlying strata after coal mine goaf fills remove deformation monitoring system
CN101581234A (en)Comprehensive underground test method for deformation and damage of terranes of mining top plate and mining bottom plate of coal bed
CN204256186U (en)The monitoring prediction device of coal-face top, Water Inrush disaster
CN109387244A (en)A kind of intelligent monitoring method and system of mine fault stability
CN111599137B (en) Multi-physics field monitoring and early warning system and method for surrounding rock stability of underground engineering
CN104459808A (en)Monitoring and forecasting method and device for water bursting hazards on roof and floor of coal working face
CN106907145A (en)A kind of apparent resistivity measuring system and method with brill advanced prediction
CN102691520A (en)Monitoring system for heading face
CN107065023B (en)Detection system based on underground space three-dimensional transient electromagnetic data acquisition
CN101942993A (en)Inter-well potential tomography imaging system and method while drilling
CN212208515U (en) Multiphysics Monitoring and Early Warning System for Surrounding Rock Stability in Underground Engineering
CN104265364B (en)Monitoring determining method for working face goaf lateral coal plastic area width
CN102691521A (en)Installation method for driving working face monitoring system
CN213598023U (en)Multidirectional stress and deformation wireless monitoring and early warning system for coal mine tunnel
CN114675333A (en)Method for exploring abnormal area of stope face
CN111830580B (en)Mine water inrush vertical electric source TEM real-time monitoring system

Legal Events

DateCodeTitleDescription
PB01Publication
PB01Publication
SE01Entry into force of request for substantive examination
SE01Entry into force of request for substantive examination
GR01Patent grant
GR01Patent grant

[8]ページ先頭

©2009-2025 Movatter.jp