


技术领域technical field
本发明涉及一种防冰装置及其方法,特别涉及一种基于超声振动的飞机机翼防冰装置及其方法,属于防结冰技术领域。The invention relates to an anti-icing device and a method thereof, in particular to an anti-icing device and a method for an aircraft wing based on ultrasonic vibration, belonging to the technical field of anti-icing.
背景技术Background technique
在能源及交通运输领域,如高压输电线缆、油气输运管道、公路和飞行器等,都面临着在恶劣环境下结冰的危害,历史上许多飞机坠毁事故的发生都是机翼覆冰导致的,给人们的人身和财产安全带来了巨大的威胁。飞机的机翼或发动机结冰会影响飞机的气动力设计,导致升力减少、阻力增加,甚至出现操纵失灵和失速等恶劣后果,因此对于飞行器的防除冰的研究一直是人们关注的重点。In the fields of energy and transportation, such as high-voltage power transmission cables, oil and gas transportation pipelines, roads and aircraft, they are all facing the danger of icing in harsh environments. In history, many aircraft crashes were caused by icing on the wings. , posing a huge threat to people's personal and property safety. The icing of the wings or engines of an aircraft will affect the aerodynamic design of the aircraft, resulting in a reduction in lift, an increase in drag, and even adverse consequences such as control failure and stall.
目前常用的防除冰方法包括主动方法和被动方法两类。主动除冰方法有电加热法、机械除冰法和化学方法等,被动防冰方法有低表面能涂层法等。目前大部分的防除冰方法都是利用电加热、超声振动等方法主动清除机翼表面已经凝固的冰层。在飞行器飞行过程中的防冰方法主要依赖于低表面能涂层法。然而,涂层法极其依赖于表面涂层的润湿性,且一旦表面开始结冰则表面涂层就会丧失其防冰的特性。因此,需要进一步发明能够在飞行器飞行过程中有效且连续的防冰方法。At present, the commonly used anti-icing methods include active methods and passive methods. Active de-icing methods include electric heating, mechanical de-icing and chemical methods, and passive anti-icing methods include low surface energy coating methods. Most of the current anti-icing methods use electric heating, ultrasonic vibration and other methods to actively remove the frozen ice layer on the surface of the wing. Anti-icing methods during aircraft flight mainly rely on low surface energy coating methods. However, the coating method is very dependent on the wettability of the surface coating and once the surface starts to freeze, the surface coating loses its anti-icing properties. Therefore, there is a need for further invention of methods of anti-icing that can be effective and continuous during the flight of the aircraft.
发明内容SUMMARY OF THE INVENTION
有鉴于此,本发明的目的是提供一种基于超声振动的飞机机翼防冰装置及其方法,使其在不影响飞机气动平衡的前提下能够有效且持续地防止飞行过程中机翼表面的结冰。In view of this, the purpose of the present invention is to provide an anti-icing device for an aircraft wing based on ultrasonic vibration and a method thereof, so that it can effectively and continuously prevent the surface of the wing from being damaged during flight without affecting the aerodynamic balance of the aircraft. freeze.
本发明的技术方案如下:The technical scheme of the present invention is as follows:
一种基于超声振动的飞机机翼防冰装置,其特征在于:所述防冰装置内嵌于飞机机翼内,该防冰装置包括超声波发生器、压电换能器、变幅杆和探头;所述压电换能器采用纵向振动换能器,该纵向振动换能器含有后金属盖板、压电陶瓷片、金属电极片和前金属盖板;所述超声波发生器通过导线与所述金属电极片连接;所述的前金属盖板通过螺栓与变幅杆的底端连接,变幅杆的前端用螺栓与所述探头连接,探头的前端形状由翼型前缘决定,并与机翼前缘表面吻合。An aircraft wing anti-icing device based on ultrasonic vibration is characterized in that: the anti-icing device is embedded in the aircraft wing, and the anti-icing device comprises an ultrasonic generator, a piezoelectric transducer, a horn and a probe The piezoelectric transducer adopts a longitudinal vibration transducer, and the longitudinal vibration transducer contains a rear metal cover plate, a piezoelectric ceramic sheet, a metal electrode sheet and a front metal cover plate; the ultrasonic generator is connected to the The metal electrode sheet is connected; the front metal cover is connected with the bottom end of the horn through bolts, the front end of the horn is connected with the probe with bolts, and the shape of the front end of the probe is determined by the leading edge of the airfoil, and is connected with the The leading edge surfaces of the wings match.
优选地,所述的压电换能器采用纵向振动夹心式换能器。Preferably, the piezoelectric transducer is a longitudinal vibration sandwich type transducer.
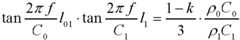
本发明的另一技术特征是:所述压电换能器的后金属盖板的长度l1和前金属盖板长度l2满足如下关系式:Another technical feature of the present invention is that the length l1 of the rear metal cover plate and the length l2 of the front metal cover plate of the piezoelectric transducer satisfy the following relationship:
其中,l01为波节到后金属盖板的长度,l02为波节到前金属盖板的长度,f为超声振动频率,ρ1为金属盖板的密度,C1为声波在金属盖板中的速度,k为压电陶瓷的机电耦合系数,ρ0为压电陶瓷的密度,C0为声波在压电陶瓷中的速度。Among them,l01 is the length from the node to the back metal cover,l02 is the length from the node to the front metal cover, f is the ultrasonic vibration frequency,ρ1 is the density of the metal cover, andC1 is the sound wave in the metal cover The velocity in the plate, k is the electromechanical coupling coefficient of the piezoelectric ceramic, ρ0 is the density of the piezoelectric ceramic, and C0 is the velocity of the sound wave in the piezoelectric ceramic.
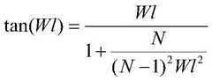
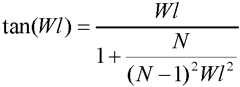
本发明装置的又一技术特征是:所述变幅杆的长度l满足以下关系:Another technical feature of the device of the present invention is: the length l of the horn satisfies the following relationship:
式中,N=D1/D2,D1和D2分别为变幅杆的底端直径和前端直径;W表示圆波数,f为超声振动频率;c表示纵波在变幅杆中的传播速度。In the formula, N=D1 /D2 , D1 and D2 are the diameter of the bottom end and the front end of the horn, respectively; W is the number of circular waves, f is the ultrasonic vibration frequency; c is the propagation speed of the longitudinal wave in the horn.
本发明提供的一种基于超声振动的飞机机翼防冰方法,其特征在于该方法包括如下步骤:An anti-icing method for an aircraft wing based on ultrasonic vibration provided by the present invention is characterized in that the method comprises the following steps:
1)超声波发生器产生的频率与所述变幅杆固有共振频率相等的超声电振动信号经由压电换能器将之转换成纵向超声频机械振动信号,再通过变幅杆将所述的纵向超声频机械振动信号的振幅进行放大;1) The ultrasonic electric vibration signal with the frequency equal to the natural resonant frequency of the horn generated by the ultrasonic generator is converted into a longitudinal ultrasonic mechanical vibration signal through the piezoelectric transducer, and then the longitudinal ultrasonic vibration signal is converted by the horn. The amplitude of the ultrasonic mechanical vibration signal is amplified;
2)放大后的纵向超声频机械振动信号传递到探头上,形成纵向超声频机械振动;所述纵向超声频机械振动的振幅大于0小于等于20微米;2) The amplified longitudinal ultrasonic mechanical vibration signal is transmitted to the probe to form longitudinal ultrasonic mechanical vibration; the amplitude of the longitudinal ultrasonic mechanical vibration is greater than 0 and less than or equal to 20 microns;
3)通过调节超声波发生器的功率改变探头表面的超声振动振幅,促使碰撞到机翼表面的过冷液滴快速地飞溅与回弹,从而达到防冰除冰的目的。3) By adjusting the power of the ultrasonic generator to change the ultrasonic vibration amplitude of the probe surface, the supercooled droplets that hit the wing surface will splash and rebound quickly, so as to achieve the purpose of anti-icing and deicing.
本发明具有以下优点及突出性的技术效果:①通过将防冰装置内嵌于机翼内部并设计和机翼前缘相吻合的探头形状,使其和机翼外部轮廓吻合,在机翼表面产生微米量级的超声频机械振动的同时不影响机翼的气动特性。②通过设计压电换能器以及变幅杆各部分的物理参数,机翼表面产生的纵向超声频机械振动能够使飞机飞行过程中碰到机翼表面的过冷液快速地回弹和飞溅,从而达到防止结冰的效果。③另外,本发明的防冰装置及方法不依赖于表面润湿性,能够解决被动防冰持久性的问题,达到有效连续的防冰效果。The present invention has the following advantages and outstanding technical effects: (1) By embedding the anti-icing device inside the wing and designing a probe shape that is consistent with the leading edge of the wing, it matches the outer contour of the wing, and the surface of the wing is The aerodynamic characteristics of the wing are not affected while generating micron-scale ultrasonic mechanical vibration. ②By designing the physical parameters of the piezoelectric transducer and each part of the horn, the longitudinal ultrasonic mechanical vibration generated on the surface of the wing can make the supercooled liquid that touches the surface of the wing quickly rebound and splash during the flight of the aircraft. So as to achieve the effect of preventing freezing. ③ In addition, the anti-icing device and method of the present invention do not depend on surface wettability, can solve the problem of passive anti-icing persistence, and achieve an effective and continuous anti-icing effect.
附图说明Description of drawings
图1所示为本发明的飞机机翼防冰装置的整体结构示意图。FIG. 1 is a schematic diagram showing the overall structure of the anti-icing device for an aircraft wing of the present invention.
图2所示为本发明的防冰装置各配件间的能量传递示意图。FIG. 2 is a schematic diagram showing the energy transfer between the accessories of the anti-icing device of the present invention.
图3所示为本发明的压电换能器结构示意图。FIG. 3 is a schematic structural diagram of the piezoelectric transducer of the present invention.
图4所示为本发明的变幅杆的纵向振动示意图。FIG. 4 is a schematic diagram showing the longitudinal vibration of the horn of the present invention.
标号说明:1-飞机机翼;2-超声波发生器;3-压电换能器;4-变幅杆;5-连接螺栓;6-探头;7-后金属盖板;8-金属电极;9-压电陶瓷片;10-前金属盖板。Label description: 1-airplane wing; 2-ultrasonic generator; 3-piezoelectric transducer; 4-amplifier; 5-connecting bolt; 6-probe; 7-rear metal cover; 8-metal electrode; 9- Piezoelectric ceramic sheet; 10- Front metal cover.
具体实施方式Detailed ways
为更进一步阐述本发明的技术手段、所实现目的及工作过程,以下结合附图及具体实施方式,详细说明如下:In order to further illustrate the technical means of the present invention, the achieved object and the working process, the following detailed description is as follows in conjunction with the accompanying drawings and specific embodiments:
图1所示为本发明的飞机机翼防冰装置的整体结构示意图,所述防冰装置内嵌于飞机机翼1内,该防冰装置包括超声波发生器2、压电换能器3、变幅杆4和探头6;所述压电换能器采用纵向振动换能器,该纵向振动换能器含有后金属盖板7、压电陶瓷片9、金属电极片8和前金属盖板10;所述超声波发生器通过导线与所述金属电极片8连接;所述的前金属盖板10通过螺栓与变幅杆4的底端连接,变幅杆4的前端用螺栓与所述探头6连接,探头的前端形状由翼型前缘决定,需根据应用的不同类型的飞机机翼的前缘设计形状,使探头前端表面能够和翼型前缘表面完全吻合,即加入防冰装置后不影响机翼的外轮廓曲线,保证飞机飞行过程中的气动平衡。FIG. 1 is a schematic diagram of the overall structure of the aircraft wing anti-icing device of the present invention, the anti-icing device is embedded in the
本发明最关键的构思在于:该防冰装置将超声波发生器产生的超声频电振动信号经由压电换能器转换成纵向超声频机械振动信号,并由变幅杆将超声振动振幅增大,最终传递给探头前端,使探头表面产生超声频的机械振动;由于防冰装置内嵌于机翼内部,并设计和机翼前缘相吻合的探头形状使其和机翼外部轮廓吻合,在机翼表面产生微米量级的超声频机械振动的同时不影响机翼的气动特性;机翼表面的纵向超声频的机械振动能够使飞机飞行过程中碰撞到机翼表面的过冷液滴快速地回弹和飞溅,从而能够有效且连续地防止飞机飞行过程中过冷液滴在与机翼表面高速碰撞过程中的结冰。The key idea of the present invention is that: the anti-icing device converts the ultrasonic frequency electrical vibration signal generated by the ultrasonic generator into the longitudinal ultrasonic frequency mechanical vibration signal through the piezoelectric transducer, and the amplitude of the ultrasonic vibration is increased by the horn. Finally, it is transmitted to the front end of the probe to generate ultrasonic mechanical vibration on the surface of the probe; because the anti-icing device is embedded in the interior of the wing, and the probe shape is designed to match the leading edge of the wing so that it matches the outer contour of the wing, in the aircraft. The surface of the wing generates micron-scale ultrasonic mechanical vibration without affecting the aerodynamic characteristics of the wing; the longitudinal ultrasonic mechanical vibration on the surface of the wing can make the supercooled droplets that hit the surface of the wing return quickly during the flight. It can effectively and continuously prevent the freezing of supercooled droplets during the high-speed collision with the wing surface during the flight of the aircraft.
所述超声波发生器的主要作用是得到超声频的电振荡信号,向压电换能器提供能量。本发明所述超声波发生器包括信号发生器、功率放大器、输出变压器等,在满足幅度和相位条件下提供足够的功率,并将超声频电信号传递给压电换能器,使压电换能器谐振于其机械共振频率上。图2所示为本发明的能量传递示意图。在超声防冰设备工作时,压电换能器3、变幅杆4和探头6等均工作在谐振状态,因此需要反馈电路使超声波发生器在工作时频率比较稳定并且使其与压电换能器的阻抗能较好匹配。通过调节超声波发生器的输入功率来调节超声波发生器向压电换能器提供的能量大小,即控制超声频机械振动的振幅大小。The main function of the ultrasonic generator is to obtain the electric oscillation signal of ultrasonic frequency and provide energy to the piezoelectric transducer. The ultrasonic generator of the present invention includes a signal generator, a power amplifier, an output transformer, etc., provides sufficient power under the condition of satisfying the amplitude and phase, and transmits the ultrasonic frequency electrical signal to the piezoelectric transducer, so that the piezoelectric transducer can be converted into energy. The device resonates at its mechanical resonant frequency. Figure 2 shows a schematic diagram of the energy transfer of the present invention. When the ultrasonic anti-icing equipment is working, the piezoelectric transducer 3, the horn 4 and the probe 6 all work in a resonant state. Therefore, a feedback circuit is required to make the frequency of the ultrasonic generator relatively stable during operation and to make it compatible with the piezoelectric transducer. The impedance of the energizer can be better matched. By adjusting the input power of the ultrasonic generator, the energy provided by the ultrasonic generator to the piezoelectric transducer is adjusted, that is, the amplitude of the ultrasonic mechanical vibration is controlled.
超声波发生器2通过导电的金属电极8和压电换能器3连接,压电换能器则将超声电振动信号转换为超声频的机械振动信号。本发明所采用的压电换能器为纵向振动夹心式换能器。如图3所示,所述纵向振动夹心式压电换能器装配结构示意图,所述压电换能器包括后金属盖板7、压电陶瓷片9、金属电极片8以及前金属盖板10等。压电换能器中的陶瓷晶堆由压电陶瓷片所组成,而各组压电陶瓷片之间通过机械串联、电路并联的方法连接。后金属盖板、压电陶瓷片、金属电极片和前金属盖板通过螺栓连接,金属电极片8位于每相邻两压电陶瓷片之间,前金属盖板10和变幅杆4底端用螺栓连接。压电换能器能够实现电声能量转换,可以将超声发生器提供的超声频电振动信号转变为超声频机械振动。另外,需根据谐振频率方程和各部分物理参数来设计压电换能器的外形尺寸。The
假设谐振频率为f,压电陶瓷的机电耦合系数为k,密度为ρ0,声波传播速度为C0;前后金属盖板的密度为ρ1,声波传播速度为C1;根据声传输线原理,可得谐振频率方程:Assuming that the resonant frequency is f, the electromechanical coupling coefficient of piezoelectric ceramics is k, the density is ρ0 , and the acoustic wave propagation velocity is C0 ; the density of the front and rear metal cover plates is ρ1 , and the acoustic wave propagation velocity is C1 ; according to the principle of acoustic transmission line, The resonance frequency equation can be obtained:
式中,l01为波节到后金属盖板的距离,l1为后金属盖板的长度(如图3所示),则根据以上关系式可得到l01与l1的关系:In the formula, l01 is the distance from the node to the rear metal cover plate, l1 is the length of the rear metal cover plate (as shown in Figure 3), then the relationship between l01 and l1 can be obtained according to the above relationship:
同理,根据谐振频率方程:Similarly, according to the resonance frequency equation:
可得波节到前金属盖板10的距离l02与前金属盖板的长度l2(如图3所示)的关系:The relationship between the distance l02 from the node to the front metal cover plate 10 and the length l2 of the front metal cover plate (as shown in FIG. 3 ) can be obtained:
本发明所述超声变幅杆主要有两个作用:①聚能作用:将机械振动位移或速度的振幅放大,或者把能量集中在较小的辐射面上。在忽略传播过程中损耗的作用下,因为通过任一界面的振动能量是不变的,那么截面小的地方能量密度越大,振幅也就越大。为了得到所需的较大振幅,则使变幅杆工作时处于共振状态,即使变幅杆的固有共振频率和外激振频率相等;②有效地向负载传输:作为机械阻抗的变换器,变幅杆可对换能器和声负载进行阻抗匹配,使超声能量通过超声换能器更加有效地传输到负载。The ultrasonic horn in the present invention has two main functions: ① Energy gathering effect: amplifying the amplitude of mechanical vibration displacement or velocity, or concentrating energy on a smaller radiation surface. Under the action of ignoring the loss in the propagation process, because the vibration energy through any interface is constant, the energy density is larger in the small cross-section, and the amplitude is larger. In order to obtain the required large amplitude, the horn is in a resonance state when working, even if the natural resonance frequency of the horn is equal to the external excitation frequency; ②Effectively transmit to the load: as a converter of mechanical impedance, the variable The horn provides impedance matching between the transducer and the acoustic load, enabling more efficient transmission of ultrasonic energy through the ultrasonic transducer to the load.
本发明所述变幅杆4为底端大前端小的结构,形状可为阶梯形、圆锥形、指数形等。现以圆锥形为例,简要阐述变幅杆的工作原理及尺寸设计。如图4所示为圆锥形变幅杆的纵向振动示意图,作用于小体积元(x,x+dx)上的张应力为根据牛顿定律可得其动力学方程为:The horn 4 of the present invention has a structure with a large bottom end and a small front end, and the shape may be a stepped shape, a conical shape, an exponential shape, or the like. Now take the cone shape as an example to briefly describe the working principle and size design of the horn. Figure 4 shows the schematic diagram of the longitudinal vibration of the conical horn. The tensile stress acting on the small volume element (x, x+dx) is According to Newton's law, the dynamic equation can be obtained as:
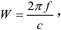
式中,A是杆的横截面面积函数,ξ是质点位移函数,σ是应力函数,t是时间。在简谐振动的情况下,上式可写成:where A is the cross-sectional area function of the rod, ξ is the mass point displacement function, σ is the stress function, and t is the time. In the case of simple harmonic vibration, the above equation can be written as:
式中,W表示圆波数,c表示纵波在变幅杆中的传播速度。where W represents the circular wave number, c represents the propagation velocity of longitudinal waves in the horn.
对于圆锥形变幅杆,假设其在x=0位置直径为D1,x=l位置的直径为D2,如图4所示。则任一位置的直径:For the conical horn, it is assumed that its diameter is D1 at the position x=0, and the diameter at the position x=1 is D2 , as shown in FIG. 4 . Then the diameter at any location:
D(x)=D1(1-αx)D(x)=D1 (1-αx)
式中,α=(D1-D2)/(D1l)=(N-1)/(Nl),N=D1/D2。In the formula, α=(D1 -D2 )/(D1 l)=(N-1)/(Nl), and N=D1 /D2 .
假设在变幅杆两端的作用力与速度分别为F1、F2与ξ1、ξ2,则其通解为:Assuming that the force and speed at both ends of the horn are F1 , F2 and ξ1 , ξ2 respectively, the general solution is:
本发明的变幅杆是半波长的,有以下边界条件:The horn of the present invention is half wavelength and has the following boundary conditions:
则,频率方程为Then, the frequency equation is
则,变幅杆的长度l,直径比D1/D2应满足上式。Then, the length l and diameter ratio D1 /D2 of the horn should satisfy the above formula.
进一步地,在飞机飞行过程中,开启超声波发生器,超声波发生器产生频率与所述变幅杆固有共振频率相等的超声电振动信号,超声电振动信号经由压电换能器将之转换成纵向超声频机械振动信号,再通过变幅杆将所述纵向超声频机械振动信号的振幅进行放大;放大后的超声频机械振动信号传递到探头上,形成超声频的机械振动,即超声防冰装置开始作业;所述超声频机械振动的振幅大于0,小于等于20微米;通过调节超声波发生器的功率改变探头表面的超声频机械振动的振幅;在过冷液滴与纵向超声振动表面碰撞时,由于声场力、惯性力、表面张力的共同作用,液滴会产生大量的飞溅,并发生回弹现象。这种快速促使液滴飞溅与回弹的特性给予纵向超声振动表面能够在飞机飞行过程中防止结冰的功能。Further, during the flight of the aircraft, the ultrasonic generator is turned on, and the ultrasonic generator generates an ultrasonic electric vibration signal with a frequency equal to the natural resonance frequency of the horn, and the ultrasonic electric vibration signal is converted into a longitudinal direction through a piezoelectric transducer. Ultrasonic mechanical vibration signal, and then amplify the amplitude of the longitudinal ultrasonic mechanical vibration signal through the horn; the amplified ultrasonic mechanical vibration signal is transmitted to the probe to form ultrasonic mechanical vibration, that is, the ultrasonic anti-icing device Start the operation; the amplitude of the ultrasonic mechanical vibration is greater than 0 and less than or equal to 20 microns; the amplitude of the ultrasonic mechanical vibration on the probe surface is changed by adjusting the power of the ultrasonic generator; when the supercooled droplet collides with the longitudinal ultrasonic vibration surface, Due to the combined action of sound field force, inertial force and surface tension, the droplet will produce a lot of splash and rebound phenomenon. This rapid splashing and rebounding of droplets gives the longitudinal ultrasonic vibrating surface the ability to prevent icing during aircraft flight.
综上所述,本发明是将防冰装置内嵌于机翼中,并将其和翼型前缘完全吻合,保证整体翼型的完整性,不影响飞机飞行过程中的气动平衡。本发明将超声波发生器产生的超声电振动信号经由压电换能器将之转换成超声频机械振动,再由变幅杆将超声频机械振动的振幅进行放大,最后传递到探头上,使探头形成微米量级的超声频机械振动,促进碰撞到机翼表面的过冷液滴的飞溅与回弹;本发明提供的基于超声振动的飞机机翼防冰装置及方法能够在不依赖于表面性质的基础上起到连续有效的防冰效果,解决了传统的被动防冰方法,如涂层法,依赖表面性质,一旦表面结冰则丧失其防冰效果的弊端,进而提高飞机机翼的防冰效率,增强飞机飞行的安全性与寿命。To sum up, the present invention embeds the anti-icing device in the wing, and completely matches it with the leading edge of the airfoil to ensure the integrity of the overall airfoil without affecting the aerodynamic balance of the aircraft during flight. The invention converts the ultrasonic electric vibration signal generated by the ultrasonic generator into ultrasonic mechanical vibration through the piezoelectric transducer, and then the amplitude of the ultrasonic mechanical vibration is amplified by the horn, and finally transmitted to the probe, so that the probe Ultrasonic mechanical vibration of the order of microns is formed to promote the splashing and rebound of supercooled droplets that collide with the surface of the wing; the anti-icing device and method for an aircraft wing based on ultrasonic vibration provided by the present invention can be independent of surface properties. On the basis of the continuous and effective anti-icing effect, the traditional passive anti-icing method, such as the coating method, depends on the surface properties. Ice efficiency, enhance the safety and life of aircraft flight.
| Application Number | Priority Date | Filing Date | Title |
|---|---|---|---|
| CN201911051774.6ACN110816855B (en) | 2019-10-31 | 2019-10-31 | An aircraft wing anti-icing device and method based on ultrasonic vibration |
| Application Number | Priority Date | Filing Date | Title |
|---|---|---|---|
| CN201911051774.6ACN110816855B (en) | 2019-10-31 | 2019-10-31 | An aircraft wing anti-icing device and method based on ultrasonic vibration |
| Publication Number | Publication Date |
|---|---|
| CN110816855Atrue CN110816855A (en) | 2020-02-21 |
| CN110816855B CN110816855B (en) | 2021-06-25 |
| Application Number | Title | Priority Date | Filing Date |
|---|---|---|---|
| CN201911051774.6AActiveCN110816855B (en) | 2019-10-31 | 2019-10-31 | An aircraft wing anti-icing device and method based on ultrasonic vibration |
| Country | Link |
|---|---|
| CN (1) | CN110816855B (en) |
| Publication number | Priority date | Publication date | Assignee | Title |
|---|---|---|---|---|
| CN112337774A (en)* | 2020-09-28 | 2021-02-09 | 北京航空航天大学 | A PMNT ultrasonic deicing transducer based on the optimization of front and rear vibration velocity |
| CN114771804A (en)* | 2022-06-17 | 2022-07-22 | 中国空气动力研究与发展中心低速空气动力研究所 | Asymmetric groove liquid film directional splashing pneumatic structure |
| CN117302522A (en)* | 2023-11-28 | 2023-12-29 | 中国空气动力研究与发展中心低速空气动力研究所 | Low-power-consumption ultrasonic deicing method and device for flight equipment |
| CN117770912A (en)* | 2024-02-28 | 2024-03-29 | 锐曜石医疗科技(苏州)有限公司 | Ultrasonic simulation load calibration method of ultrasonic surgical instrument |
| US20240199221A1 (en)* | 2022-12-16 | 2024-06-20 | Eaton Intelligent Power Limited | Elliptical ultrasound vibration based cooling and deicing |
| US12214903B2 (en)* | 2022-09-01 | 2025-02-04 | General Electric Company | Apparatus for and a method of deicing a ducted fan engine |
| EP4357034A4 (en)* | 2021-06-18 | 2025-06-18 | Consejo Superior de Investigaciones Científicas (CSIC) | DEVICE FOR ELIMINATING AND PREVENTING THE FORMATION OF ICE ON SURFACES |
| Publication number | Priority date | Publication date | Assignee | Title |
|---|---|---|---|---|
| CN200954458Y (en)* | 2006-09-12 | 2007-10-03 | 肖长锦 | Supersonic continuous-flow cell disintegrator |
| US20120074262A1 (en)* | 2010-09-28 | 2012-03-29 | Eurocopter | De-icing system for a fixed or rotary aircraft wing |
| CN102490905A (en)* | 2011-12-27 | 2012-06-13 | 东南大学 | Novel anti-icing and deicing device for airfoils of airplane |
| CN103071612A (en)* | 2012-12-28 | 2013-05-01 | 深圳职业技术学院 | Sandwich type piezoelectric ceramic ultrasonic transducer |
| Publication number | Priority date | Publication date | Assignee | Title |
|---|---|---|---|---|
| CN200954458Y (en)* | 2006-09-12 | 2007-10-03 | 肖长锦 | Supersonic continuous-flow cell disintegrator |
| US20120074262A1 (en)* | 2010-09-28 | 2012-03-29 | Eurocopter | De-icing system for a fixed or rotary aircraft wing |
| CN102490905A (en)* | 2011-12-27 | 2012-06-13 | 东南大学 | Novel anti-icing and deicing device for airfoils of airplane |
| CN103071612A (en)* | 2012-12-28 | 2013-05-01 | 深圳职业技术学院 | Sandwich type piezoelectric ceramic ultrasonic transducer |
| Title |
|---|
| 胡淑芳等: "一种大功率超声换能器的设计", 《声学技术》* |
| Publication number | Priority date | Publication date | Assignee | Title |
|---|---|---|---|---|
| CN112337774A (en)* | 2020-09-28 | 2021-02-09 | 北京航空航天大学 | A PMNT ultrasonic deicing transducer based on the optimization of front and rear vibration velocity |
| EP4357034A4 (en)* | 2021-06-18 | 2025-06-18 | Consejo Superior de Investigaciones Científicas (CSIC) | DEVICE FOR ELIMINATING AND PREVENTING THE FORMATION OF ICE ON SURFACES |
| CN114771804A (en)* | 2022-06-17 | 2022-07-22 | 中国空气动力研究与发展中心低速空气动力研究所 | Asymmetric groove liquid film directional splashing pneumatic structure |
| US12214903B2 (en)* | 2022-09-01 | 2025-02-04 | General Electric Company | Apparatus for and a method of deicing a ducted fan engine |
| US20240199221A1 (en)* | 2022-12-16 | 2024-06-20 | Eaton Intelligent Power Limited | Elliptical ultrasound vibration based cooling and deicing |
| CN117302522A (en)* | 2023-11-28 | 2023-12-29 | 中国空气动力研究与发展中心低速空气动力研究所 | Low-power-consumption ultrasonic deicing method and device for flight equipment |
| CN117302522B (en)* | 2023-11-28 | 2024-02-09 | 中国空气动力研究与发展中心低速空气动力研究所 | Low-power-consumption ultrasonic deicing method and device for flight equipment |
| CN117770912A (en)* | 2024-02-28 | 2024-03-29 | 锐曜石医疗科技(苏州)有限公司 | Ultrasonic simulation load calibration method of ultrasonic surgical instrument |
| CN117770912B (en)* | 2024-02-28 | 2024-04-26 | 锐曜石医疗科技(苏州)有限公司 | Ultrasonic simulation load calibration method of ultrasonic surgical instrument |
| Publication number | Publication date |
|---|---|
| CN110816855B (en) | 2021-06-25 |
| Publication | Publication Date | Title |
|---|---|---|
| CN110816855A (en) | An aircraft wing anti-icing device and method based on ultrasonic vibration | |
| Zhang et al. | Active control for wall drag reduction: Methods, mechanisms and performance | |
| Pommier-Budinger et al. | Electromechanical resonant ice protection systems: initiation of fractures with piezoelectric actuators | |
| CN101254499B (en) | A Large Opening Angle Stacked Chip Transmitter | |
| US8087297B2 (en) | Vibrating debris remover | |
| CN101907071B (en) | Online anti-icing and de-icing device for wind turbine | |
| CN102570368B (en) | Traveling wave type piezoelectric material vibration anti-icing/deicing device based on in-plane or out-of-plane mode and deicing method | |
| CN113345398A (en) | Full-band sound absorption structure based on microporous film and miniature acoustic black hole structure | |
| CN108831432B (en) | A Broadband Airborne Noise Energy Harvesting Surface Material | |
| CN114001115B (en) | Gradient vibration reduction structure and vibration reduction method based on mechanical-electrical conversion | |
| CN109365253A (en) | A PMNT Piezoelectric Transducer for Ultrasonic Deicing | |
| Ucar | Patch-based piezoelectric energy harvesting on a marine boat exposed to wave-induced loads | |
| CN106849378A (en) | A kind of wireless energy supply device and method based on Lamb wave | |
| Xu et al. | Hybrid de-icing method combining electrothermal system and ultrasonic guided waves | |
| CN114743530A (en) | Acoustic black hole piezoelectric shunt damping composite structure with broadband vibration suppression performance | |
| CN102120269A (en) | Ultrasonic impact drill | |
| Miao et al. | Electromechanical ice protection system: de-icing capability prediction considering impedance matching effect | |
| CN214537028U (en) | Novel gate deicing simulation device based on ultrasonic waves | |
| CN214347695U (en) | PMNT ultrasonic wave deicing transducer based on front and back end vibration velocity optimization | |
| CN104485841A (en) | Transverse vibration electricity generator based on telescopic piezoelectric vibrators | |
| Gong et al. | 270-degree arc-shaped piezoelectric energy converter in uniflow fluid environment | |
| Palacios et al. | Dynamic analysis and experimental testing of thin-walled structures driven by shear tube actuators | |
| CN115641831A (en) | Underwater sound absorption superstructure with piezoelectric shunt damping | |
| Zhu et al. | Numerical simulation and experiment of the piezoelectric de-icing system | |
| Gao et al. | Study on a base-galloping hybrid excitation piezoelectric vibration energy harvester |
| Date | Code | Title | Description |
|---|---|---|---|
| PB01 | Publication | ||
| PB01 | Publication | ||
| SE01 | Entry into force of request for substantive examination | ||
| SE01 | Entry into force of request for substantive examination | ||
| GR01 | Patent grant | ||
| GR01 | Patent grant |