Movatterモバイル変換


[0]ホーム

URL:


CN110807773B - Panoramic image detection method for surface defects of nuclear power station - Google Patents

Panoramic image detection method for surface defects of nuclear power station
Download PDF

Info

Publication number
CN110807773B
CN110807773BCN201911098634.4ACN201911098634ACN110807773BCN 110807773 BCN110807773 BCN 110807773BCN 201911098634 ACN201911098634 ACN 201911098634ACN 110807773 BCN110807773 BCN 110807773B
Authority
CN
China
Prior art keywords
image
pixel
parameters
scene
camera
Prior art date
Legal status (The legal status is an assumption and is not a legal conclusion. Google has not performed a legal analysis and makes no representation as to the accuracy of the status listed.)
Active
Application number
CN201911098634.4A
Other languages
Chinese (zh)
Other versions
CN110807773A (en
Inventor
黄三傲
严志刚
孙加伟
余哲
康志平
Current Assignee (The listed assignees may be inaccurate. Google has not performed a legal analysis and makes no representation or warranty as to the accuracy of the list.)
China General Nuclear Power Corp
CGN Power Co Ltd
Suzhou Nuclear Power Research Institute Co Ltd
CGNPC Inspection Technology Co Ltd
Original Assignee
China General Nuclear Power Corp
CGN Power Co Ltd
Suzhou Nuclear Power Research Institute Co Ltd
CGNPC Inspection Technology Co Ltd
Priority date (The priority date is an assumption and is not a legal conclusion. Google has not performed a legal analysis and makes no representation as to the accuracy of the date listed.)
Filing date
Publication date
Application filed by China General Nuclear Power Corp, CGN Power Co Ltd, Suzhou Nuclear Power Research Institute Co Ltd, CGNPC Inspection Technology Co LtdfiledCriticalChina General Nuclear Power Corp
Priority to CN201911098634.4ApriorityCriticalpatent/CN110807773B/en
Publication of CN110807773ApublicationCriticalpatent/CN110807773A/en
Application grantedgrantedCritical
Publication of CN110807773BpublicationCriticalpatent/CN110807773B/en
Activelegal-statusCriticalCurrent
Anticipated expirationlegal-statusCritical

Links

Classifications

Landscapes

Abstract

The invention discloses a method for detecting a panoramic image of a nuclear power station surface defect, which comprises the following steps of A, establishing a geometric mapping field of an image and a scene on the nuclear power station surface; B. image splicing firstly calculates to obtain a pixel change rule between video frames according to a geometric mapping relation between image scenes and according to inspection parameters and camera parameters; then extracting pixels of the video frames based on the pixel parameter values and the pixel change rule among the video frames; finally, combining the pixels extracted in the previous step to generate a complete spliced image; C. and (5) image enhancement optimization. The panoramic image detection system designed by the invention has simple and easily realized algorithm, and can keep the pixel information of the video without distortion by obtaining the accurate pixel parameters through the geometric mapping relation to obtain an accurate splicing result; the image enhancement processing method can improve the detection image, is beneficial to reducing the risks of false detection and missed detection, and ensures the reliability and precision of defect analysis.

Description

Translated fromChinese
一种核电站表面缺陷全景图像检测方法A panoramic image detection method for nuclear power plant surface defects

技术领域technical field

本发明涉及核电检测领域,特别涉及一种核电站表面缺陷全景图像检测方法。The invention relates to the field of nuclear power detection, in particular to a panoramic image detection method for surface defects of nuclear power plants.

背景技术Background technique

核动力运行研究的核电站视频检测中,依靠单一帧的方法对缺陷分析,一方面,主观性强;另一方面,缺陷的定位与测量非常困难;检测对象的单调性以及环境的复杂性,常常使得缺陷的辨识力降低,从而造成误判和检测失效。In the video detection of nuclear power plants for nuclear power operation research, relying on a single frame method to analyze defects is highly subjective on the one hand; on the other hand, it is very difficult to locate and measure defects; The ability to identify defects is reduced, resulting in misjudgment and detection failure.

发明内容Contents of the invention

本发明的目的是提供一种能提高视频检测的有效性、可靠性且能降低误检、漏检风险的核电站表面缺陷全景图像检测方法。The purpose of the present invention is to provide a panoramic image detection method for nuclear power plant surface defects that can improve the effectiveness and reliability of video detection and reduce the risk of false detection and missed detection.

为解决上述技术问题,本发明采用如下技术方案: A.建立图像与核电站表面的场景的几何映射In order to solve the above technical problems, the present invention adopts the following technical solutions: A. Build a geometric map of the image and the scene of the surface of the nuclear power plant

场景中的点通过相机的光学成像系统映射成图像上的像素,基于相机成像模型、视频检测中的相机与被检测对象的空间关系,结合检验参数、摄像机参数,建立图像与场景的几何映射关系;The points in the scene are mapped into pixels on the image through the optical imaging system of the camera. Based on the camera imaging model, the spatial relationship between the camera and the detected object in video detection, combined with the inspection parameters and camera parameters, the geometric mapping relationship between the image and the scene is established. ;

假设场景中的两点

Figure SMS_1
Figure SMS_2
,分别映射成图像中
Figure SMS_3
Figure SMS_4
,则可以得出:Suppose two points in the scene
Figure SMS_1
and
Figure SMS_2
, respectively mapped into the image
Figure SMS_3
and
Figure SMS_4
, it can be concluded that:

Figure SMS_5
……(1)
Figure SMS_5
……(1)

式中, f’是相机焦距,z0是景与光心所在平面的距离,

Figure SMS_6
表示向量长度,检测设备装有两只激光器,已知激光发生器位置固定为d,发出两条参考线,在图像中距离为D,则:In the formula, f' is the focal length of the camera, z0 is the distance between the scene and the plane where the optical center is located,
Figure SMS_6
Indicates the length of the vector, the detection equipment is equipped with two lasers, the position of the known laser generator is fixed as d, two reference lines are issued, and the distance in the image is D, then:

Figure SMS_7
……(2)
Figure SMS_7
……(2)

因此,图像中的点

Figure SMS_8
对应映射的场景点
Figure SMS_9
:Therefore, the points in the image
Figure SMS_8
corresponding mapped scene points
Figure SMS_9
:

Figure SMS_10
 ……(3) 、
Figure SMS_11
……(4)
Figure SMS_10
...(3),
Figure SMS_11
... (4)

公式(3)、(4)确定了像素点与场景点的唯一映射关系;Formulas (3) and (4) determine the unique mapping relationship between pixel points and scene points;

B.图像拼接B. Image Stitching

首先依据图像场景间的几何映射关系,再按照检验参数、摄像头参数,计算得到视频帧之间的像素变化规律;然后基于像素参量值、视频帧之间的像素变化规律,提取视频帧的像素;最后合并上一步提取的像素,生成完整的拼接图像;First, according to the geometric mapping relationship between the image scenes, and then according to the inspection parameters and camera parameters, the pixel change rule between the video frames is calculated; then, based on the pixel parameter value and the pixel change rule between the video frames, the pixels of the video frame are extracted; Finally, the pixels extracted in the previous step are combined to generate a complete stitched image;

定义像素参量:Define pixel parameters:

Figure SMS_12
……(5)
Figure SMS_12
... (5)

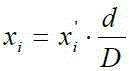
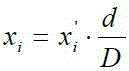
d为激光线的距离,D为图像中提取出来的激光线中心的像素差;d is the distance of the laser line, and D is the pixel difference of the center of the laser line extracted from the image;

视频中任意两帧之间实际变化的像素数可以表达为:The number of pixels actually changed between any two frames in the video can be expressed as:

Figure SMS_13
……(6)
Figure SMS_13
... (6)

V为检测速度,Δt为两帧时间差,单位为秒,检测速度即摄像机速度,v恒定,则任意固定时间间隔的帧之间像素差也是恒定的,因而从视频中固定间隔的帧中提取该像素数的图像,可以合成出完整的拼接图像;V is the detection speed, Δt is the time difference between two frames, and the unit is second. The detection speed is the camera speed. If v is constant, the pixel difference between frames at any fixed time interval is also constant, so the pixel difference between frames at fixed intervals in the video is extracted. The number of pixels of the image can be synthesized into a complete stitching image;

C.图像增强优化C. Image Enhancement Optimization

基于步骤B,可以组合出不同的像素提取参数,得出效果不同的拼接图像,然后依据图像与场景间的几何映射关系,生成每一个被检测点对应的像素的参量集;设置灰度阈值,剔除图像帧中低于阈值的像素参量;使用满足要求的像素参量替换被剔除的像素参量;按照步骤B中的方法生成拼接图像。Based on step B, different pixel extraction parameters can be combined to obtain stitched images with different effects, and then according to the geometric mapping relationship between the image and the scene, the parameter set of the pixel corresponding to each detected point is generated; the gray threshold is set, Eliminate pixel parameters below the threshold in the image frame; replace the eliminated pixel parameters with pixel parameters that meet the requirements; generate a spliced image according to the method in step B.

本发明的有益效果在于:1.本发明设计的全景图像检测系统,算法简单易实现,通过几何映射关系得出的精确像素参量,可以无失真地保留视频的像素信息,得到准确的拼接结果;2.全景图像方法提供了超视场的缺陷分析手段,且可实现像素级精度的几何测量;3.图像增强处理方法能够改善检测图像,有助于降低误检、漏检风险,保证了缺陷分析的可靠性与精度。The beneficial effects of the present invention are: 1. The algorithm of the panorama image detection system designed by the present invention is simple and easy to implement, and the precise pixel parameters obtained through the geometric mapping relationship can retain the pixel information of the video without distortion, and obtain accurate splicing results; 2. The panoramic image method provides a defect analysis method beyond the field of view, and can realize geometric measurement with pixel-level precision; 3. The image enhancement processing method can improve the detection image, help reduce the risk of false detection and missed detection, and ensure the defect Analytical reliability and precision.

具体实施方式Detailed ways

下面对本发明作以下详细描述:A.建立图像与核电站表面的场景的几何映射The present invention is described in detail below: A. Build a geometric map of the image and the scene of the surface of the nuclear power plant

场景中的点通过相机的光学成像系统映射成图像上的像素,基于相机成像模型、视频检测中的相机与被检测对象的空间关系,结合检验参数、摄像机参数,建立图像与场景的几何映射关系;The points in the scene are mapped into pixels on the image through the optical imaging system of the camera. Based on the camera imaging model, the spatial relationship between the camera and the detected object in video detection, combined with the inspection parameters and camera parameters, the geometric mapping relationship between the image and the scene is established. ;

假设场景中的两点

Figure SMS_14
Figure SMS_15
,分别映射成图像中
Figure SMS_16
Figure SMS_17
,则可以得出:Suppose two points in the scene
Figure SMS_14
and
Figure SMS_15
, respectively mapped into the image
Figure SMS_16
and
Figure SMS_17
, it can be concluded that:

Figure SMS_18
……(1)
Figure SMS_18
……(1)

式中, f’是相机焦距,z0是景与光心所在平面的距离,

Figure SMS_19
表示向量长度,检测设备装有两只激光器,已知激光发生器位置固定为d,发出两条参考线,在图像中距离为D,则:In the formula, f' is the focal length of the camera, z0 is the distance between the scene and the plane where the optical center is located,
Figure SMS_19
Indicates the length of the vector, the detection equipment is equipped with two lasers, the position of the known laser generator is fixed as d, two reference lines are issued, and the distance in the image is D, then:

Figure SMS_20
……(2)
Figure SMS_20
……(2)

因此,图像中的点

Figure SMS_21
对应映射的场景点
Figure SMS_22
:Therefore, the points in the image
Figure SMS_21
corresponding mapped scene points
Figure SMS_22
:

Figure SMS_23
 ……(3) 、
Figure SMS_24
……(4)
Figure SMS_23
...(3),
Figure SMS_24
... (4)

公式(3)、(4)确定了像素点与场景点的唯一映射关系;Formulas (3) and (4) determine the unique mapping relationship between pixel points and scene points;

B.图像拼接B. Image Stitching

首先依据图像场景间的几何映射关系,再按照检验参数、摄像头参数,计算得到视频帧之间的像素变化规律;然后基于像素参量值、视频帧之间的像素变化规律,提取视频帧的像素;最后合并上一步提取的像素,生成完整的拼接图像;First, according to the geometric mapping relationship between the image scenes, and then according to the inspection parameters and camera parameters, the pixel change rule between the video frames is calculated; then, based on the pixel parameter value and the pixel change rule between the video frames, the pixels of the video frame are extracted; Finally, the pixels extracted in the previous step are combined to generate a complete stitched image;

定义像素参量:Define pixel parameters:

Figure SMS_25
……(5)
Figure SMS_25
... (5)

d为激光线的距离,D为图像中提取出来的激光线中心的像素差;d is the distance of the laser line, and D is the pixel difference of the center of the laser line extracted from the image;

视频中任意两帧之间实际变化的像素数可以表达为:The number of pixels actually changed between any two frames in the video can be expressed as:

Figure SMS_26
……(6)
Figure SMS_26
... (6)

V为检测速度,Δt为两帧时间差,单位为秒,检测速度即摄像机速度,v恒定,则任意固定时间间隔的帧之间像素差也是恒定的,因而从视频中固定间隔的帧中提取该像素数的图像,可以合成出完整的拼接图像;V is the detection speed, Δt is the time difference between two frames, and the unit is second. The detection speed is the camera speed. If v is constant, the pixel difference between frames at any fixed time interval is also constant, so the pixel difference between frames at fixed intervals in the video is extracted. The number of pixels of the image can be synthesized into a complete stitching image;

C.图像增强优化C. Image Enhancement Optimization

基于步骤B,可以组合出不同的像素提取参数,得出效果不同的拼接图像,然后依据图像与场景间的几何映射关系,生成每一个被检测点对应的像素的参量集;设置灰度阈值,剔除图像帧中低于阈值的像素参量;使用满足要求的像素参量替换被剔除的像素参量;按照步骤B中的方法生成拼接图像,所述阈值取值范围为240-245。Based on step B, different pixel extraction parameters can be combined to obtain stitched images with different effects, and then according to the geometric mapping relationship between the image and the scene, the parameter set of the pixel corresponding to each detected point is generated; the gray threshold is set, Eliminate pixel parameters below the threshold in the image frame; replace the eliminated pixel parameters with pixel parameters that meet the requirements; generate a stitched image according to the method in step B, and the threshold value ranges from 240-245.

上述实施例只为说明本发明的技术构思及特点,其目的在于让熟悉此项技术的人士能够了解本发明的内容并据以实施,并不能以此限制本发明的保护范围。凡根据本发明精神所作的等效变化或修饰,都应涵盖在本发明的保护范围之内。The above-mentioned embodiments are only to illustrate the technical concept and characteristics of the present invention, and the purpose is to enable those skilled in the art to understand the content of the present invention and implement it accordingly, and not to limit the protection scope of the present invention. All equivalent changes or modifications made according to the spirit of the present invention shall fall within the protection scope of the present invention.

Claims (2)

Translated fromChinese
1. 一种核电站表面缺陷全景图像检测方法,其特征在于,其包括以下步骤:1. A nuclear power plant surface defect panorama image detection method, is characterized in that, it comprises the following steps:A.建立图像与核电站表面的场景的几何映射A. Build a geometric map of the image and the scene of the surface of the nuclear power plant场景中的点通过相机的光学成像系统映射成图像上的像素,基于相机成像模型、视频检测中的相机与被检测对象的空间关系,结合检验参数、摄像机参数,建立图像与场景的几何映射关系;The points in the scene are mapped into pixels on the image through the optical imaging system of the camera. Based on the camera imaging model, the spatial relationship between the camera and the detected object in video detection, combined with the inspection parameters and camera parameters, the geometric mapping relationship between the image and the scene is established. ;假设场景中的两点
Figure QLYQS_1
Figure QLYQS_2
,分别映射成图像中
Figure QLYQS_3
Figure QLYQS_4
,则可以得出:Suppose two points in the scene
Figure QLYQS_1
and
Figure QLYQS_2
, respectively mapped into the image
Figure QLYQS_3
and
Figure QLYQS_4
, it can be concluded that:
Figure QLYQS_5
……(1)
Figure QLYQS_5
……(1)
式中, f’是相机焦距,z0是景与光心所在平面的距离,
Figure QLYQS_6
表示向量长度,检测设备装有两只激光器,已知激光发生器位置固定为d,发出两条参考线,在图像中距离为D,则:
In the formula, f' is the focal length of the camera, z0 is the distance between the scene and the plane where the optical center is located,
Figure QLYQS_6
Indicates the length of the vector, the detection equipment is equipped with two lasers, the position of the known laser generator is fixed as d, two reference lines are issued, and the distance in the image is D, then:
Figure QLYQS_7
……(2)
Figure QLYQS_7
……(2)
因此,图像中的点
Figure QLYQS_8
对应映射的场景点
Figure QLYQS_9
Therefore, the points in the image
Figure QLYQS_8
corresponding mapped scene points
Figure QLYQS_9
:
Figure QLYQS_10
 ……(3)、
Figure QLYQS_11
……(4)
Figure QLYQS_10
...(3),
Figure QLYQS_11
... (4)
公式(3)、(4)确定了像素点与场景点的唯一映射关系;Formulas (3) and (4) determine the unique mapping relationship between pixel points and scene points;B.图像拼接B. Image Stitching首先依据图像场景间的几何映射关系,再按照检验参数、摄像头参数,计算得到视频帧之间的像素变化规律;然后基于像素参量值、视频帧之间的像素变化规律,提取视频帧的像素;最后合并上一步提取的像素,生成完整的拼接图像;First, according to the geometric mapping relationship between the image scenes, and then according to the inspection parameters and camera parameters, the pixel change rule between the video frames is calculated; then, based on the pixel parameter value and the pixel change rule between the video frames, the pixels of the video frame are extracted; Finally, the pixels extracted in the previous step are combined to generate a complete stitched image;定义像素参量:Define pixel parameters:
Figure QLYQS_12
……(5)
Figure QLYQS_12
... (5)
d为激光线的距离,D为图像中提取出来的激光线中心的像素差;d is the distance of the laser line, and D is the pixel difference of the center of the laser line extracted from the image;视频中任意两帧之间实际变化的像素数可以表达为:The number of pixels actually changed between any two frames in the video can be expressed as:
Figure QLYQS_13
……(6)
Figure QLYQS_13
... (6)
V为检测速度,Δt为两帧时间差,单位为秒,检测速度即摄像机速度,v恒定,则任意固定时间间隔的帧之间像素差也是恒定的,因而从视频中固定间隔的帧中提取该像素数的图像,可以合成出完整的拼接图像;V is the detection speed, Δt is the time difference between two frames, and the unit is second. The detection speed is the camera speed. If v is constant, the pixel difference between frames at any fixed time interval is also constant, so the pixel difference between frames at fixed intervals in the video is extracted. The number of pixels of the image can be synthesized into a complete stitching image;C.图像增强优化C. Image Enhancement Optimization基于步骤B,可以组合出不同的像素提取参数,得出效果不同的拼接图像,然后依据图像与场景间的几何映射关系,生成每一个被检测点对应的像素的参量集;设置灰度阈值,剔除图像帧中低于阈值的像素参量;使用满足要求的像素参量替换被剔除的像素参量;按照步骤B中的方法生成拼接图像。Based on step B, different pixel extraction parameters can be combined to obtain stitched images with different effects, and then according to the geometric mapping relationship between the image and the scene, the parameter set of the pixel corresponding to each detected point is generated; the gray threshold is set, Eliminate pixel parameters below the threshold in the image frame; replace the eliminated pixel parameters with pixel parameters that meet the requirements; generate a spliced image according to the method in step B.2.根据权利要求1所述的核电站表面缺陷全景图像检测方法,其特征在于:所述阈值取值范围为240-245。2. The panoramic image detection method for nuclear power plant surface defects according to claim 1, characterized in that: the range of the threshold is 240-245.
CN201911098634.4A2019-11-122019-11-12Panoramic image detection method for surface defects of nuclear power stationActiveCN110807773B (en)

Priority Applications (1)

Application NumberPriority DateFiling DateTitle
CN201911098634.4ACN110807773B (en)2019-11-122019-11-12Panoramic image detection method for surface defects of nuclear power station

Applications Claiming Priority (1)

Application NumberPriority DateFiling DateTitle
CN201911098634.4ACN110807773B (en)2019-11-122019-11-12Panoramic image detection method for surface defects of nuclear power station

Publications (2)

Publication NumberPublication Date
CN110807773A CN110807773A (en)2020-02-18
CN110807773Btrue CN110807773B (en)2023-04-11

Family

ID=69502126

Family Applications (1)

Application NumberTitlePriority DateFiling Date
CN201911098634.4AActiveCN110807773B (en)2019-11-122019-11-12Panoramic image detection method for surface defects of nuclear power station

Country Status (1)

CountryLink
CN (1)CN110807773B (en)

Citations (6)

* Cited by examiner, † Cited by third party
Publication numberPriority datePublication dateAssigneeTitle
JP2013185969A (en)*2012-03-082013-09-19Mitsubishi Heavy Ind LtdWeld defect detection method and weld defect detection device
CN104092994A (en)*2014-07-152014-10-08中广核工程有限公司 Automatic detection method and device for underwater spent fuel grid defects in nuclear power plants
CN104822026A (en)*2015-04-302015-08-05武汉大学Camera attitude control method used for nuclear power station containment vessel defect detection and device thereof
CN105761209A (en)*2016-03-162016-07-13武汉大学Nuclear safety shell surface image fusion method and system
CN107221364A (en)*2017-05-312017-09-29岭澳核电有限公司Nuclear fuel assembly underwater test platform and method of testing
CN109657639A (en)*2018-12-292019-04-19中国电子科技集团公司第二十七研究所A kind of Situation Awareness System and method based on panoramic vision

Family Cites Families (8)

* Cited by examiner, † Cited by third party
Publication numberPriority datePublication dateAssigneeTitle
ATE511669T1 (en)*2004-01-132011-06-15Renault Sas DESIGN OF SAFETY CRITICAL SYSTEMS
CN102314673B (en)*2011-08-022013-06-05中国科学院长春光学精密机械与物理研究所Self-adapting image enhancement method
CN103196429B (en)*2013-03-252015-03-04东南大学Method for quickly obtaining and measuring orthophotoquad of city skyline contour line facade
CN103198481B (en)*2013-04-032015-10-28天津大学A kind of camera marking method
CN103400409B (en)*2013-08-272016-08-10华中师范大学A kind of coverage 3D method for visualizing based on photographic head attitude Fast estimation
US20160295108A1 (en)*2015-04-012016-10-06Cheng CaoSystem and method for panoramic imaging
CN105374010A (en)*2015-09-222016-03-02江苏省电力公司常州供电公司A panoramic image generation method
CN108616733B (en)*2016-12-282020-01-10深圳市掌网科技股份有限公司Panoramic video image splicing method and panoramic camera

Patent Citations (6)

* Cited by examiner, † Cited by third party
Publication numberPriority datePublication dateAssigneeTitle
JP2013185969A (en)*2012-03-082013-09-19Mitsubishi Heavy Ind LtdWeld defect detection method and weld defect detection device
CN104092994A (en)*2014-07-152014-10-08中广核工程有限公司 Automatic detection method and device for underwater spent fuel grid defects in nuclear power plants
CN104822026A (en)*2015-04-302015-08-05武汉大学Camera attitude control method used for nuclear power station containment vessel defect detection and device thereof
CN105761209A (en)*2016-03-162016-07-13武汉大学Nuclear safety shell surface image fusion method and system
CN107221364A (en)*2017-05-312017-09-29岭澳核电有限公司Nuclear fuel assembly underwater test platform and method of testing
CN109657639A (en)*2018-12-292019-04-19中国电子科技集团公司第二十七研究所A kind of Situation Awareness System and method based on panoramic vision

Non-Patent Citations (2)

* Cited by examiner, † Cited by third party
Title
邢诚,张涛,黄晶晶.《安全壳外观缺陷检查系统设计》.《测绘地理信息》.2017,第42卷(第2期),第71-75页.*
黄晶晶.《R. K. Chapman and M. W. Toft, "Modelling the ultrasonic inspection of smooth and rough planar defects [and nuclear power plant application]》.《IEE Colloquium on New Applications in Modelling and Inversion Techniques for Non-Destructive Testing》.2002,第1999卷第1-4页.*

Also Published As

Publication numberPublication date
CN110807773A (en)2020-02-18

Similar Documents

PublicationPublication DateTitle
CN115272271B (en) A pipeline defect detection and positioning ranging system based on binocular stereo vision
CN110889829B (en) A monocular distance measurement method based on fisheye lens
CN103868460B (en)Binocular stereo vision method for automatic measurement based on parallax optimized algorithm
WO2020259271A1 (en)Image distortion correction method and apparatus
CN112714287B (en)Cloud deck target conversion control method, device, equipment and storage medium
WO2014044126A1 (en)Coordinate acquisition device, system and method for real-time 3d reconstruction, and stereoscopic interactive device
CN103902953B (en)A kind of screen detecting system and method
CN111723801B (en)Method and system for detecting and correcting target in fisheye camera picture
CN105741379A (en)Method for panoramic inspection on substation
CN110853002A (en)Transformer substation foreign matter detection method based on binocular vision
CN112348775A (en)Vehicle-mounted all-round-looking-based pavement pool detection system and method
US20190273845A1 (en)Vibration monitoring of an object using a video camera
CN107948464B (en)A kind of geometric correction method and system of the laterally offset of printed matter detection image
CN115272256A (en)Sub-pixel level sensing optical fiber path Gaussian extraction method and system
CN110617772A (en)Non-contact type line diameter measuring device and method
JP2008249431A (en) 3D image correction method and apparatus
CN116416702A (en) A UAV power equipment inspection system based on augmented reality
CN116665077A (en)Power transmission line detection shooting method and system based on AI (advanced identification) recognition technology
CN115965748A (en)Three-dimensional reconstruction method of submerged arc based on binocular vision
Liu et al.Distance measurement system based on binocular stereo vision
CN110807773B (en)Panoramic image detection method for surface defects of nuclear power station
JP2004364212A (en) Object photographing apparatus, object photographing method, and object photographing program
CN112146834B (en) Structural vibration displacement measurement method and device
CN113884017A (en) A method and system for non-contact deformation detection of insulators based on trinocular vision
CN116934833B (en)Binocular vision-based underwater structure disease detection method, equipment and medium

Legal Events

DateCodeTitleDescription
PB01Publication
PB01Publication
SE01Entry into force of request for substantive examination
GR01Patent grant
GR01Patent grant

[8]ページ先頭

©2009-2025 Movatter.jp