Movatterモバイル変換


[0]ホーム

URL:


CN110806590B - Terahertz active and passive composite imaging quasi-optical scanning system - Google Patents

Terahertz active and passive composite imaging quasi-optical scanning system
Download PDF

Info

Publication number
CN110806590B
CN110806590BCN201911123974.8ACN201911123974ACN110806590BCN 110806590 BCN110806590 BCN 110806590BCN 201911123974 ACN201911123974 ACN 201911123974ACN 110806590 BCN110806590 BCN 110806590B
Authority
CN
China
Prior art keywords
imaging
active
passive
terahertz
length
Prior art date
Legal status (The legal status is an assumption and is not a legal conclusion. Google has not performed a legal analysis and makes no representation as to the accuracy of the status listed.)
Active
Application number
CN201911123974.8A
Other languages
Chinese (zh)
Other versions
CN110806590A (en
Inventor
李超
耿贺彬
郑深
方广有
Current Assignee (The listed assignees may be inaccurate. Google has not performed a legal analysis and makes no representation or warranty as to the accuracy of the list.)
Institute of Electronics of CAS
Original Assignee
Institute of Electronics of CAS
Priority date (The priority date is an assumption and is not a legal conclusion. Google has not performed a legal analysis and makes no representation as to the accuracy of the date listed.)
Filing date
Publication date
Application filed by Institute of Electronics of CASfiledCriticalInstitute of Electronics of CAS
Priority to CN201911123974.8ApriorityCriticalpatent/CN110806590B/en
Publication of CN110806590ApublicationCriticalpatent/CN110806590A/en
Application grantedgrantedCritical
Publication of CN110806590BpublicationCriticalpatent/CN110806590B/en
Activelegal-statusCriticalCurrent
Anticipated expirationlegal-statusCritical

Links

Images

Classifications

Landscapes

Abstract

Translated fromChinese

本公开提供一种太赫兹主、被动复合成像准光学扫描系统,包括:主动成像发射线阵,发射第一太赫兹信号;第一反射镜,反射第一太赫兹信号;聚焦透镜,为双曲型平凸聚焦透镜,聚焦第一反射镜反射后的第一太赫兹信号;第二反射镜,将聚焦透镜聚焦后的第一太赫兹信号反射至待成像目标生成回波信号;主动成像接收线阵,接收回波信号并处理得到回波信号的幅度与相位信息;极化线栅,将待成像目标自身辐射出的、经第二反射镜反射进入聚焦透镜聚焦后再经第一反射镜反射后的第二太赫兹信号反射至被动成像辐射计阵列,同时透过回波信号;主动成像发射线阵与接收线阵之间设置有分束器和吸波板实现第一太赫兹信号的收、发隔离;实现太赫兹主、被动复合成像。

Figure 201911123974

The present disclosure provides a terahertz active and passive composite imaging quasi-optical scanning system, comprising: an active imaging emission line array, which emits a first terahertz signal; a first mirror, which reflects the first terahertz signal; and a focusing lens, which is hyperbolic Type plano-convex focusing lens, focusing the first terahertz signal reflected by the first mirror; second reflecting mirror, reflecting the first terahertz signal focused by the focusing lens to the target to be imaged to generate echo signals; active imaging receiving line Array, receive the echo signal and process to obtain the amplitude and phase information of the echo signal; polarization wire grid, radiate from the object to be imaged, reflected by the second mirror into the focusing lens, and then reflected by the first mirror The second terahertz signal is reflected to the passive imaging radiometer array, and the echo signal is transmitted at the same time; a beam splitter and an absorbing plate are arranged between the active imaging transmitting line array and the receiving line array to realize the reception of the first terahertz signal. , hair isolation; realize terahertz active and passive composite imaging.

Figure 201911123974

Description

Terahertz active and passive composite imaging quasi-optical scanning system
Technical Field
The utility model relates to a terahertz imaging technology field especially relates to a terahertz is main, passive compound imaging quasi-optical scanning system now.
Background
The terahertz scientific technology is highly valued by all countries in the world and has important scientific value and application value. Terahertz waves are between microwaves and infrared light, belong to far infrared bands, have the characteristics of wide frequency band, low energy, fingerprint spectrum and the like, and are widely applied to the field of imaging. Terahertz imaging is one of important applications of terahertz wave bands, and compared with microwave imaging, terahertz waves have shorter wavelength and higher resolution; compared with infrared and optical imaging, the terahertz wave has good penetrability on nonpolar materials such as fibers, leather, plastics and the like; compared with X-ray imaging, terahertz photon energy is only one millionth of X-ray photon energy, and loss of living organisms is avoided. By integrating various advantages, the terahertz imaging has great application value in the fields of safety monitoring, biomedicine and the like.
For terahertz imaging technology, there are various classification methods. The terahertz radiation source can be divided into a terahertz active imaging mode and a terahertz passive imaging mode according to whether the terahertz radiation source is used or not. The terahertz imaging in a passive mode is to detect and receive electromagnetic radiation of a target and a background in a detected scene by using a high-sensitivity terahertz radiometer. Different substances have different radiation characteristics, and different objects can be identified according to the difference of the terahertz radiation capability between the scenes of the target and between the parts of the scenes, which is the basic working principle of the terahertz passive imaging mode. The indoor imaging device has the advantages of simple imaging structure, good uniformity of indoor imaging images, no problem of safe radiation, no privacy invasion and small influence of the attitude angle of the target on the imaging effect. However, since the radiation intensity of the target itself is weak and the signal-to-noise ratio is low, the contrast of the imaging result is low and the imaging is not clear enough, as shown in fig. 1 (a). And the passive imaging mode is greatly affected by the environment. For example, the imaging effect in the open space outdoors is much better than the case of other radiators indoors. In the active terahertz imaging system, a terahertz emission source radiates terahertz waves during working, the terahertz emission source irradiates a target through a radiation antenna, coherent signals reflected, scattered or projected by the target are collected and converged by an optical system and enter a detector, and a terahertz image of the target is obtained after the coherent signals are processed by an image processing system, so that the properties and characteristics of the imaged target are analyzed and obtained. The method is characterized by high coherent detection signal-to-noise ratio, less environmental influence on imaging effect and three-dimensional imaging capability, as shown in fig. 1 (b). However, the active imaging mode is also limited, because polar targets such as water have strong absorption to terahertz waves, the targets cannot be imaged, and in addition, active terahertz imaging has multiple reflection artifacts, which are formed by receiving multiple reflection signals of terahertz waves on the surface of a human body by an antenna.
The majority of research at home and abroad aiming at terahertz imaging is independent active imaging or passive imaging, and the respective characteristics of two imaging modes cannot be combined.
BRIEF SUMMARY OF THE PRESENT DISCLOSURE
Technical problem to be solved
Based on the above problems, the present disclosure provides a terahertz active and passive compound imaging quasi-optical scanning system to alleviate technical problems that most of terahertz imaging systems in the prior art are single active imaging or passive imaging, and the respective characteristics of two imaging modes cannot be effectively combined.
(II) technical scheme
The utility model provides a terahertz is initiative now, passive compound imaging quasi-optical scanning system includes:
the active imaging transmitting linear array is used for transmitting a first terahertz signal;
a first mirror for reflecting the first terahertz signal;
the focusing lens is a hyperbolic plano-convex focusing lens and is used for focusing the first terahertz signal reflected by the first reflector;
the second reflector is used for reflecting the first terahertz signal focused by the focusing lens to a target to be imaged to generate an echo signal;
the active imaging receiving linear array is used for receiving echo signals and processing the echo signals to obtain amplitude and phase information of the echo signals;
the polarization wire grating is used for reflecting a second terahertz signal radiated by a target to be imaged, reflected by the second reflector, enters the focusing lens for focusing, is reflected by the first reflector, and then is reflected to the passive imaging radiometer array, and meanwhile, the echo signal is transmitted;
a beam splitter and a wave absorbing plate are arranged between the active imaging transmitting linear array and the receiving linear array to realize the receiving and transmitting isolation of the first terahertz signal; therefore, composite imaging of the terahertz active imaging mode and the passive imaging mode is realized.
In the embodiment of the disclosure, the width of the target to be imaged is width, and the width is more than or equal to 600 and less than or equal to 1000 mm; the height is height, which is more than or equal to 1500mm and less than or equal to 2000 mm; the distance between the target to be imaged and the midpoint of the second reflecting mirror is Z2, and Z2 is more than or equal to 3000mm and less than or equal to 5000 mm.
In the embodiment of the disclosure, in the active imaging mode, the working frequency is Fa340 GHz; the target resolution is not less than 2 rhoaLess than or equal to 6 mm; in the passive imaging mode, the working frequency is Fp220 GHz; the target resolution is equal to or less than 6 rhop≤10mm。
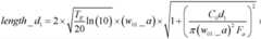
In the embodiment of the present disclosure, the diameter of the mouth surface of the curved surface of the focusing lens is D, which is expressed as follows:
Figure BDA0002273230290000031
wherein, TEEdge power, F, when a Gaussian beam is intercepted for each device in the systemaOperating frequency p for active imagingaFor target resolution in active imaging, FpOperating frequency, p, for passive imagingpFor passive imaging target-specific, Z2To the object distance to be imaged, C0Is the speed of light in free space.
In the embodiment of the present disclosure, the focal length of the curved surface of the focusing lens is f, which is expressed as follows:
Figure BDA0002273230290000032
in the embodiment of the present disclosure, the active imaging transmitting line array includes a plurality of conical horn array elements, a horn mouth surface of each conical horn array element is rectangular, and the dimension of each conical horn array element is a1×b1And then:
Figure BDA0002273230290000033
Figure BDA0002273230290000041
and the size setting of the array elements in the active imaging receiving linear array is the same as that of the active imaging transmitting linear array.
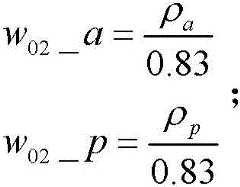
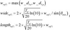
In the disclosed embodiment, the width of the first reflector is wideref1The expression is as follows:
wideref1=max(widea1,widep1);
wherein, widea1Width of the first reflector required in active mode, widep1The width of the first mirror required in the passive mode; winda1The expression is as follows:
Figure BDA0002273230290000042
Figure BDA0002273230290000043
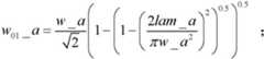
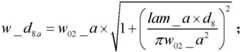
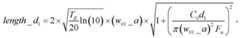
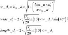
wherein d is1For active imaging of the distance between the emitter array and the beam splitter, d3Distance of the polarizing wire grid from the beam splitter, d5The distance between the first reflector and the polarized wire grid is taken as height, and the height is the height of an object to be imaged; w is a01A is the gaussian beam waist radius at the active imaging transmitting linear array/active imaging receiving linear array, and is expressed as follows:
Figure BDA0002273230290000044
w01_ p is the beam waist radius of the Gaussian beam at the antenna aperture of the linear array of the passive imaging radiometer, and the expression is as follows:
Figure BDA0002273230290000051
wherein Z is1_pThe distance of Gaussian beam from the surface of the focusing lens to the linear array at the front end of the radiometer;
length of the first reflectorIs lengthref1, the expression is as follows:
lengthref1=max(lengtha1,lengthp1);
Figure BDA0002273230290000052
Figure BDA0002273230290000053
wherein, lengtha1Length, of the first mirror required in active modep1The width of the first mirror required in the passive mode.
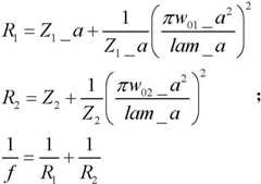
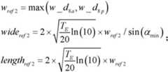
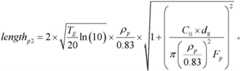
In the embodiment of the disclosure, the width of the second reflector is wideref2The expression is as follows:
wideref2=max(widea2,widep2);
Figure BDA0002273230290000054
Figure BDA0002273230290000055
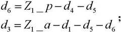
wherein d is8The distance between the second reflector and the target to be imaged is defined, and the width is the width of the target to be imaged;
the length of the second reflector is lengthref2The expression is as follows:
lengthref2=max(lengtha2,lengthp2);
Figure BDA0002273230290000061
Figure BDA0002273230290000062
in the embodiment of the present disclosure, the width of the polarization wire grid is wide _ d4The expression is as follows:
Figure BDA0002273230290000063
the length of the polarization wire grid is length _ d4The expression is as follows:
Figure BDA0002273230290000064
in the embodiment of the present disclosure, the width of the beam splitter is wide _ d1The expression is as follows;
Figure BDA0002273230290000065
the length of the beam splitter is length _ d1The expression is as follows;
Figure BDA0002273230290000066
in the embodiment of the present disclosure, the passive imaging radiometer front-end array includes a plurality of unit antennas, and the size of the horn mouth surface of each unit antenna is as follows; a is2×b2The specific expression is as follows:
Figure BDA0002273230290000067
Figure BDA0002273230290000071
in the embodiment of the disclosure, the width of the wave absorbing plate is wide _ d2The expression is as follows:
Figure BDA0002273230290000072
the length of the wave absorbing plate is length _ d2The expression is as follows:
Figure BDA0002273230290000073
(III) advantageous effects
According to the technical scheme, the terahertz active and passive composite imaging quasi-optical scanning system has at least one or part of the following beneficial effects:
(1) the system can realize that the active and passive imaging modes share one set of optical path system;
(2) confocal and pixel-level registration of active and passive imaging is realized, and image fusion is facilitated.
Drawings
FIG. 1 is a schematic diagram of terahertz imaging effect; wherein, fig. 1(a) is a schematic diagram of terahertz imaging effect in a passive mode; fig. 1(b) is a schematic diagram of the terahertz imaging effect in the active mode.
Fig. 2 is a schematic diagram of a working principle of a terahertz active-passive composite imaging quasi-optical scanning system according to an embodiment of the present disclosure.
Fig. 3 is a schematic diagram illustrating a principle that the front end of a passive imaging radiometer and the front end of a receiving and transmitting array for active imaging in the terahertz active and passive composite imaging quasi-optical scanning system according to the embodiment of the present disclosure realize receiving and transmitting isolation and active and passive isolation.
Fig. 4 is a schematic structural diagram of a terahertz active-passive composite imaging quasi-optical scanning system according to an embodiment of the present disclosure.
Detailed Description
The invention provides a terahertz active and passive composite imaging quasi-optical scanning system, which adopts a unique quasi-optical scanning structure, can realize that an active imaging mode and a passive imaging mode share one set of optical path system, realizes confocal and pixel-level registration of active and passive imaging, and is convenient for image fusion; the image fusion technology has outstanding advantages for improving imaging effect and target recognition capability, and in terahertz imaging, composite imaging is carried out on active and passive terahertz imaging modes, so that the imaging effect and the target recognition capability can be further improved.
In order to make the objects, technical solutions and advantages of the present disclosure more clearly apparent, the terahertz active-passive composite imaging quasi-optical scanning system is described in further detail below with reference to the accompanying drawings in combination with specific embodiments.
In an embodiment of the present disclosure, a terahertz active-passive composite imaging quasi-optical scanning system is provided, as shown in fig. 4, the terahertz active-passive composite imaging quasi-optical scanning system includes:
the active imaging transmitting linear array is used for transmitting a first terahertz signal;
a first mirror for reflecting the first terahertz signal;
the focusing lens is a hyperbolic plano-convex focusing lens and is used for focusing the first terahertz signal reflected by the first reflector;
the second reflector is used for reflecting the first terahertz signal focused by the focusing lens to a target to be imaged to generate an echo signal;
the active imaging receiving linear array comprises an active imaging array receiver, and is used for processing amplitude and phase information of the echo signal;
the polarization wire grating is used for reflecting a second terahertz signal radiated by a target to be imaged, reflected by the second reflector, enters the focusing lens for focusing, is reflected by the first reflector, and then is reflected to the passive imaging radiometer array, and meanwhile, the echo signal is transmitted;
a beam splitter and a wave absorbing plate are arranged between the active imaging transmitting linear array and the receiving linear array to realize the receiving and transmitting isolation of the first terahertz signal; therefore, the terahertz active and passive imaging modes are subjected to composite imaging.
The distance (imaging field distance) between the target to be imaged and the midpoint of the second reflector is Z2, and Z2 is more than or equal to 3000mm and less than or equal to 5000 mm;
in bookIn the disclosed embodiment, the distance between the center point of the target to be imaged and the midpoint of the second reflector is d83500mm, the coordinates of the center point of the imaging target are (500mm, 0, 3500 mm);
the range of the object to be imaged (also called field of view range, parallel to the XOY plane) is:
the width of an imaging view field (the width of a target to be imaged) is width, and the width is more than or equal to 600 and less than or equal to 1000 mm;
the height of an imaging field (the height of a target to be imaged) is height, and the height is more than or equal to 1500mm and less than or equal to 2000 mm; width × height is 800mm × 1800 mm.
In the active imaging mode, the working frequency is Fa340 GHz; the target resolution is not less than 2 rhoa≤6mm;
In the passive imaging mode, the working frequency is Fp220 GHz; the target resolution is equal to or less than 6 rhop≤10mm;
The edge power of each device in the quasi-optical structure when intercepting a Gaussian beam is as follows: t isE=-15dB;
In the embodiments of the present disclosure, the terahertz wave signal is described as being expressed in a gaussian beam form.
In the embodiment of the present disclosure, the diameter of the mouth surface of the curved surface of the focusing lens is D, which is expressed as follows:
Figure BDA0002273230290000091
wherein, TEEdge power, F, when a Gaussian beam is intercepted for each device in the systemaOperating frequency p for active imagingaFor target resolution in active imaging, FpOperating frequency, p, for passive imagingpFor passive imaging target-specific, Z2To the object distance to be imaged, C0Is the speed of light in free space.
The focal length of the curved surface of the focusing lens is f and is expressed as follows:
Figure BDA0002273230290000092
in the embodiment of the present disclosure, in the rectangular coordinate system where the quasi-optical scanning structure is located, the coordinates of the center point of the focusing lens are (0, 0, 0). The relative dielectric constant of the material used for the focusing lens is epsilonr2.25, that is, the refractive index n is 1.5. The diameter of the mouth surface of the lens is 612.394mm, the focal length is 747.11mm, the thickness of the lens is 106.51mm, and the curved equation of the focusing lens is as follows:
Figure BDA0002273230290000101
wherein y ∈ [ -D/2, D/2 ].
The active imaging transmitting linear array comprises a plurality of conical horn array elements, the horn mouth surface of each conical horn array element is rectangular, and the size of the horn mouth surface is a1×b1And then:
Figure BDA0002273230290000102
Figure BDA0002273230290000103
in the embodiment of the disclosure, the active imaging transmitting linear array adopts a 4-element linear array, and the distance between the midpoint of the linear array and the midpoint of the beam splitter is d1The coordinates of the middle point of the linear array are (-524.47mm, 500.63mm, 0), which is 100 mm. The array element adopts a conical horn antenna with the mouth surface size of a1×b1=3.4579mm×2.5148mm。
In the embodiment of the present disclosure, the size settings of the array elements in the active imaging receiving linear array and the active imaging transmitting linear array are the same. Adopting 4-element linear array, the distance between the middle point of the linear array and the middle point of the beam splitter is d1The coordinates of the middle point of the linear array are (-624.47mm, 400.63mm, 0), which is 100 mm. The array element adopts a conical horn antenna with the mouth surface size of a1×b1=3.4579mm×2.5148mm。
In the disclosed embodiments, the first inverseWidth of mirror is wideref1The expression is as follows:
wideref1=max(widea1,widep1);
wherein, widea1Width of the first reflector required in active mode, widep1The width of the first mirror required in the passive mode; winda1The expression is as follows:
Figure BDA0002273230290000104
Figure BDA0002273230290000111
wherein d is1For active imaging of the distance between the emitter array and the beam splitter, d3Distance of the polarizing wire grid from the beam splitter, d5The distance between the first reflector and the polarized wire grid is taken as height, and the height is the height of an object to be imaged; w is a01A is the gaussian beam waist radius at the active imaging transmitting linear array/active imaging receiving linear array, and is expressed as follows:
Figure BDA0002273230290000112
w01_ p is the beam waist radius of the Gaussian beam at the antenna aperture of the linear array of the passive imaging radiometer, and the expression is as follows:
Figure BDA0002273230290000113
wherein Z is1_pThe distance of Gaussian beam from the surface of the focusing lens to the linear array at the front end of the radiometer;
the length of the first reflector is lengthref1The expression is as follows:
lengthref1=max(lengtha1,lengthp1);
Figure BDA0002273230290000114
Figure BDA0002273230290000115
wherein, lengtha1Length, of the first mirror required in active modep1The width of the first mirror required in the passive mode;
in the embodiment of the disclosure, the distance between the center point of the first reflector and the center point of the focusing lens is d6524.47mm, the coordinates of the center point of the first mirror are (-524.47mm, 0, 0), and the size of the first mirror is wideref1×lengthref1=534.28mm×333.76mm。
The width of the second reflector is wideref2The expression is as follows:
wideref2=max(widea2,widep2);
Figure BDA0002273230290000121
Figure BDA0002273230290000122
wherein d is8The distance between the second reflector and the target to be imaged is defined, and the width is the width of the target to be imaged;
the length of the second reflector is lengthref2The expression is as follows:
lengthref2=max(lengtha2,lengthp2);
Figure BDA0002273230290000123
Figure BDA0002273230290000124
in the embodiment of the present disclosure, the distance between the center point of the second reflector and the center point of the focusing lens is d7The coordinate of the center point of the second reflector is 500mm, 0, and the size of the second reflector is wideref2×lengthref2=798.62mm×535.88mm。
The width of the polarization wire grid is wide _ d4The expression is as follows:
Figure BDA0002273230290000131
the length of the polarization wire grid is length _ d4The expression is as follows:
Figure BDA0002273230290000132
in the disclosed embodiment, the distance between the central point of the polarization wire grid and the central point of the first reflector is d5300 mm. The coordinate of the central point of the polarized wire grid is (-524.47mm, 300mm, 0), and the size of the polarized wire grid is wide _ d4×length_d4146.20mm × 103.38 mm. In addition, the wire grid is made of round wires having a radius r00.0545mm, adjacent line spacing is g0=0.27mm。
The width of the beam splitter is wide _ d1The expression is as follows;
Figure BDA0002273230290000133
the length of the beam splitter is length _ d1The expression is as follows;
Figure BDA0002273230290000134
in the disclosed embodiment, the distance between the central point of the beam splitter and the central point of the polarization wire grid is d3100.63 mm. The coordinates of the center point of the beam splitter are (-524.47mm, 400.63mm, 0), and the size of the beam splitter is wide _ d1×length_d1=94.37mm×66.73mm。
The passive imaging radiometer front-end array comprises a plurality of unit antennas, and the size of a horn mouth surface of each unit antenna is as follows; a is2×b2The specific expression is as follows:
Figure BDA0002273230290000135
Figure BDA0002273230290000141
the radius of the beam waist of the Gaussian beam at the opening of the radiometer linear array antenna is w01_p:
The front-end array of the passive imaging radiometer adopts a 4-element linear array, and the distance between the middle point of the linear array and the middle point of the polarized wire grid is d4The coordinates of the middle point of the line are (-724.47mm, 300mm, 0), 200 mm. The array element adopts a conical horn antenna with the mouth surface size of a2×b2=6.9030mm×5.0204mm。
The width of the wave absorbing plate is wide _ d2The expression is as follows:
Figure BDA0002273230290000142
the length of the wave absorbing plate is length _ d2The expression is as follows:
Figure BDA0002273230290000143
in the embodiment of the disclosure, the distance between the central point of the wave absorbing plate and the central point of the beam splitter is d2The coordinates of the middle point of the wave-absorbing plate are (-424.47mm, 400.63mm, 0). Wave-absorbing materialThe size of the plate is as follows: wide _ d2×length_d2=133.36mm×133.36mm。
In the embodiment of the disclosure, the size of each quasi-optical device in the terahertz active and passive composite imaging quasi-optical scanning system is set based on a gaussian beam method, the target resolution and the view range required by the imaging system are taken as design starting points, the cutoff power of each quasi-optical device on a beam is taken as a constraint condition, and meanwhile, the problem of light path shielding between the quasi-optical devices is considered, and a terahertz wave signal is described as a gaussian beam form below to describe the size parameter, the position parameter and the working principle of each quasi-optical device in the terahertz active and passive composite imaging quasi-optical scanning system.
(1) Depending on the required active imaging mode resolution ρ of the imaging systemaPassive imaging mode resolution ρpCalculating the beam waist radius w of the Gaussian beam required by the active working mode and the passive working mode at the imaging target02_a、w02_p:
Figure BDA0002273230290000151
(2) According to the beam waist radius w at the imaging target02_a、w02P and target distance (Gaussian beam emitting distance) Z2Calculating the beam radii w _ a, w _ p at the exit surface of the focusing lens and selecting the appropriate cutoff power TEThis calculates the diameters D _ a, D _ p of the focusing lens in the active mode and in the passive mode:
Figure BDA0002273230290000152
the maximum value of the desired focusing lens size in two modes is chosen:
D=max(D_a,D_p);
in most cases, D _ a > D _ p, so the distance between the receiving and transmitting arrays (i.e. the active imaging receiving and transmitting arrays) and the lens (receiving array) in the active mode is determined first based on the dimension parameter of the active modeThe distance between the transmitting line array and the lens is equal), namely the incident distance Z of the Gaussian beam1A is 1.3D, notably Z1The value of a needs to take into account the size and placement of the Mylar beamsplitter, the polarizing wire grid, the first mirror.
(3) In active mode, the beam radius w _ a and the incident distance Z at the surface of the focusing lens are known1A and working wavelength lam _ a, and can obtain the waist radius w of Gaussian beam at the receiving and transmitting linear array01_a:
Figure BDA0002273230290000153
The receiving and transmitting arrays both use conical horn as array element, the initial mouth surface size is a1×b1
a1=w01_a/0.32;
b1=w01_a/0.44;
To obtain a better size of the bell-mouth face, further optimization selection needs to be made on the basis of the initial size.
According to the beam waist radius w of the incident beam01A, incident distance Z1A, radius of beam waist of outgoing beam w02A, exit distance Z2Calculating the radius of curvature R of the Gaussian beam at the lens surface before and after the transformation of the lens1、R2Obtaining the focal length f of the focusing lens:
Figure BDA0002273230290000161
(4) since the passive mode and the active mode share the focusing lens, the working wavelength lam _ p and the emitting distance Z in passive imaging need to be determined according to2And an emergent beam waist w02P, lens focal length f, determining the radius of curvature R of the incident beam in passive mode1_p。
Figure BDA0002273230290000162
Then the curvature radius R1P, beam radius at lens surface w p, simultaneously solving for beam waist radius w of the beam01P, incident distance Z1_p:
Figure BDA0002273230290000163
The terahertz passive imaging radiometer linear array element also selects a conical horn antenna, and the initial aperture size is as follows: a is2×b2
Figure BDA0002273230290000164
(5) The size of a focusing lens, the distance of an imaging target and the size of the horn mouth surface of the receiving and transmitting linear array and the passive radiometer linear array are determined in the first 4 steps. Then, according to the propagation rule of the Gaussian beam, the positions and the sizes of the Mylar beam splitter, the wire grid, the first reflecting mirror, the second reflecting mirror and the wave absorbing plate on the beam propagation path are determined, and meanwhile, the shielding problem among devices is considered.
(6) Mylar beamsplitter position, size. The Mylar beam splitter realizes the receiving and transmitting isolation in the active mode, and the distance between the central point of the Mylar beam splitter and the beam waist position of an incident beam is d1At an angle of 45 deg. to the beam propagation direction (-y), as shown in figure 4. The size of the Mylar beamsplitter is wide _ d1×length_d1
Figure BDA0002273230290000171
(7) The position and the size of the wave absorbing plate. The position of the wave absorbing plate is shown in FIG. 4, and the distance from the center of the Mylar beam splitter is d2Placed perpendicular to the incident beam direction. The size of the wave absorbing plate is wide _ d2×length_d2
Figure BDA0002273230290000172
(8) Wire grid position, size. The wire grid is placed at a position shown in FIG. 4, and the distance between the center position and the Mylar beam splitter is d3And the distance between the terahertz passive radiometer and the terahertz passive radiometer is d4Since the polarization wire grid is mainly responsible for the passive mode, the beam propagation distance d is used4The wire grid size is calculated. Polarized wire grid size is wide _ d4×length_d4
Figure BDA0002273230290000173
(9) The first mirror position and size are scanned in a pitching mode. The first reflector is used for realizing the elevation scanning of the beam to the visual field range, and the beam scanning angle is related to the target distance and the visual field range: theta0=±tan-1(height/(2Z2) ± θ) beam deflection0The mirror only needs to deflect +/-theta0/2。
The first reflector is coaxially arranged with the polarization wire grating, the beam splitter and the transmitting linear array (y axis), forms an included angle of 45 degrees with the axis, and has a distance d with the polarization wire grating5At a distance d from the entrance surface of the focusing lens6The minimum included angle between the swing process and the incident axis of the wave beam (-y direction) is thetamin=45°-θ0/2。
Figure BDA0002273230290000181
The first reflector has a size of wideref1×lengthref1
Active mode case:
Figure BDA0002273230290000182
passive mode case:
Figure BDA0002273230290000183
taking the maximum value between the active mode and the passive mode:
Figure BDA0002273230290000184
(10) azimuth scans the second mirror position, size. The second reflector is used for realizing azimuth scanning of the beam in the visual field range, and the beam scanning angle is related to the target distance and the visual field range: alpha is alpha0=±tan-1(width/(2Z2)). Beam deflection ± α0The mirror only needs to deflect +/-alpha0/2。
The second reflector is coaxially arranged with the first reflector and the focusing lens (x axis), forms an included angle of 45 degrees with the axis (+ x), and has a distance d with the emergent surface of the focusing lens7At a distance d from the object to be imaged8The minimum included angle between the swing and the incident axis (+ x direction) of the wave beam is alpha in the swing processmin=45-α0/2。
The second mirror size is: windref2×lengthref2
Active mode case:
Figure BDA0002273230290000191
passive mode case:
Figure BDA0002273230290000192
taking the maximum value between the active mode and the passive mode:
Figure BDA0002273230290000193
the terahertz active and passive composite imaging quasi-optical scanning system adopts an imaging system combining a transmitting-receiving linear array, quasi-optical focusing and optical machine scanning, and is composed of a terahertz transmitting-receiving linear array, a terahertz radiometer, a focusing lens, a pitching scanning reflector 1(a first reflector), an azimuth scanning reflector 2 (a second reflector) and other quasi-optical devices.
In the embodiment of the present disclosure, as shown in fig. 2, the working principle of the terahertz active and passive compound imaging quasi-optical scanning system is as follows:
taking active imaging as an example, an electronics subsystem in the electronics box is composed of a driving source module, an intermediate frequency processing module, a data acquisition and signal processing module, a servo control module and a comprehensive control module. The two-way linear frequency modulation driving signal generated by the driving source module is respectively used for driving a transmitting frequency multiplication link and a receiving local oscillator frequency multiplication link of the terahertz active imaging receiving and transmitting linear array; the driving source module also generates a microwave phase-locked dot frequency signal for driving a local oscillation frequency doubling link of the terahertz passive imaging radiometer channel. The intermediate frequency output signal of the front end of the active and passive imaging receiver is transmitted to an intermediate frequency processing module of an electronic box for intermediate frequency processing and generating a baseband signal for subsequent signal processing and image reconstruction. On the other hand, the servo control module generates corresponding control signals, and the control signals are transmitted to the quasi-optical box and used for servo motors of the scanning mirror 1(a first reflecting mirror) and the scanning mirror 2 (a second reflecting mirror) to complete rapid scanning of a two-dimensional view field. A first terahertz signal transmitted by the transmitting linear array is reflected by the first reflector and then enters the focusing lens, a beam focused by the focusing lens is reflected by the second reflector and then is emitted from the emergent aperture of the quasi-optical box along the z direction, after reaching a target to be imaged, the reflected signal reversely returns to the confocal receiving linear array along the original path, and the amplitude and phase information of a target echo signal is obtained through the processing of the active imaging array receiver. The field of view information within the band on the imaging plane can be obtained by rapidly swinging (fast swinging) the first mirror around the z-axis. The width of the strip corresponds to the number of the array elements of the transmitting linear array, and the more the number of the array elements is, the wider the strip is. And then the second reflector synchronously swings around the y axis at a specific speed (the second reflector is matched and provided with the electrode 2), so that a plurality of dark stripes can be formed and seamlessly spliced along the x direction, and the fast scanning of the two-dimensional field of view in the x-y direction is realized. For the z direction, distance direction high resolution is realized by transmitting a terahertz broadband frequency modulation continuous wave signal and performing pulse compression, so that target three-dimensional imaging is completed.
For passive imaging, a second terahertz signal radiated by the target passes through the second reflector, the focusing lens, the first reflector and the polarization wire grid, and then enters the passive imaging radiometer array. The passive imaging and the active imaging share a quasi-optical focusing lens, a scanning first reflecting mirror and a scanning second reflecting mirror, so that confocal and pixel-level registration of the active imaging and the passive imaging is realized.
The active imaging and passive imaging in the terahertz active and passive composite imaging quasi-optical scanning system are isolated:
the terahertz transmitting-receiving linear array comprises a transmitting-receiving linear array for active imaging and a front-end array for a passive imaging radiometer. The different linear arrays share the quasi-optical confocal device and the beam scanning device through the quasi-optical isolation technology.
The front end of the passive imaging radiometer and the front end of the receiving and transmitting array of the active imaging adopt a novel quasi-optical isolation network to simultaneously realize receiving and transmitting isolation and active and passive isolation.
The specific implementation is shown in fig. 3: the active receiving and transmitting feed source arrays are isolated by using a Mylar beam splitter and a wave absorbing plate; polarization isolation is realized between the active feed source array and the passive feed source array by adopting a polarization separator (a polarization wire grid), wherein the passive feed source is polarized along the z direction, and the active emission feed source is polarized along the x direction. The polarized wire grid is drawn along the z direction, and for the echo polarized in the z direction, the polarized wire grid is reflected to the passive radiometer array, and for the echo polarized in the x direction, the echo is reflected to the receiver array for active imaging after being transmitted by the wire grid.
In addition, different working frequency bands (active-340GHz and passive-220GHz) are adopted for active and passive imaging in the imaging system, so that even if polarization rotation is caused by target scattering, the passive receiver is not influenced.
So far, the embodiments of the present disclosure have been described in detail with reference to the accompanying drawings. It is to be noted that, in the attached drawings or in the description, the implementation modes not shown or described are all the modes known by the ordinary skilled person in the field of technology, and are not described in detail. Further, the above definitions of the various elements and methods are not limited to the various specific structures, shapes or arrangements of parts mentioned in the examples, which may be easily modified or substituted by those of ordinary skill in the art.
From the above description, those skilled in the art should clearly recognize that the terahertz active-passive composite imaging quasi-optical scanning system of the present disclosure.
In summary, the present disclosure provides a terahertz active and passive compound imaging quasi-optical scanning system, which uses a unique quasi-optical scanning structure, and can realize that an active imaging mode and a passive imaging mode share one set of optical path system, thereby realizing confocal and pixel-level registration of active and passive imaging, completing compound imaging, and further improving imaging effect and target identification capability.
It should also be noted that directional terms, such as "upper", "lower", "front", "rear", "left", "right", and the like, used in the embodiments are only directions referring to the drawings, and are not intended to limit the scope of the present disclosure. Throughout the drawings, like elements are represented by like or similar reference numerals. Conventional structures or constructions will be omitted when they may obscure the understanding of the present disclosure.
And the shapes and sizes of the respective components in the drawings do not reflect actual sizes and proportions, but merely illustrate the contents of the embodiments of the present disclosure. Furthermore, in the claims, any reference signs placed between parentheses shall not be construed as limiting the claim.
Unless otherwise indicated, the numerical parameters set forth in the specification and attached claims are approximations that can vary depending upon the desired properties sought to be obtained by the present disclosure. In particular, all numbers expressing quantities of ingredients, reaction conditions, and so forth used in the specification and claims are to be understood as being modified in all instances by the term "about". Generally, the expression is meant to encompass variations of ± 10% in some embodiments, 5% in some embodiments, 1% in some embodiments, 0.5% in some embodiments by the specified amount.
Furthermore, the word "comprising" does not exclude the presence of elements or steps not listed in a claim. The word "a" or "an" preceding an element does not exclude the presence of a plurality of such elements.
The use of ordinal numbers such as "first," "second," "third," etc., in the specification and claims to modify a corresponding element does not by itself connote any ordinal number of the element or any ordering of one element from another or the order of manufacture, and the use of the ordinal numbers is only used to distinguish one element having a certain name from another element having a same name.
In addition, unless steps are specifically described or must occur in sequence, the order of the steps is not limited to that listed above and may be changed or rearranged as desired by the desired design. The embodiments described above may be mixed and matched with each other or with other embodiments based on design and reliability considerations, i.e., technical features in different embodiments may be freely combined to form further embodiments.
Those skilled in the art will appreciate that the modules in the device in an embodiment may be adaptively changed and disposed in one or more devices different from the embodiment. The modules or units or components of the embodiments may be combined into one module or unit or component, and furthermore they may be divided into a plurality of sub-modules or sub-units or sub-components. All of the features disclosed in this specification (including any accompanying claims, abstract and drawings), and all of the processes or elements of any method or apparatus so disclosed, may be combined in any combination, except combinations where at least some of such features and/or processes or elements are mutually exclusive. Each feature disclosed in this specification (including any accompanying claims, abstract and drawings) may be replaced by alternative features serving the same, equivalent or similar purpose, unless expressly stated otherwise. Also in the unit claims enumerating several means, several of these means may be embodied by one and the same item of hardware.
Similarly, it should be appreciated that in the foregoing description of exemplary embodiments of the disclosure, various features of the disclosure are sometimes grouped together in a single embodiment, figure, or description thereof for the purpose of streamlining the disclosure and aiding in the understanding of one or more of the various disclosed aspects. However, the disclosed method should not be interpreted as reflecting an intention that: that is, the claimed disclosure requires more features than are expressly recited in each claim. Rather, as the following claims reflect, disclosed aspects lie in less than all features of a single foregoing disclosed embodiment. Thus, the claims following the detailed description are hereby expressly incorporated into this detailed description, with each claim standing on its own as a separate embodiment of this disclosure.
The above-mentioned embodiments are intended to illustrate the objects, aspects and advantages of the present disclosure in further detail, and it should be understood that the above-mentioned embodiments are only illustrative of the present disclosure and are not intended to limit the present disclosure, and any modifications, equivalents, improvements and the like made within the spirit and principle of the present disclosure should be included in the scope of the present disclosure.

Claims (10)

Translated fromChinese
1.一种太赫兹主、被动复合成像准光学扫描系统,包括:1. A terahertz active and passive composite imaging quasi-optical scanning system, comprising:主动成像发射线阵,用于发射第一太赫兹信号;Active imaging transmission line array for transmitting the first terahertz signal;第一反射镜,用于反射所述第一太赫兹信号;a first reflector for reflecting the first terahertz signal;聚焦透镜,为双曲型平凸聚焦透镜,用于聚焦所述第一反射镜反射后的第一太赫兹信号;a focusing lens, which is a hyperbolic plano-convex focusing lens, used for focusing the first terahertz signal reflected by the first reflecting mirror;第二反射镜,用于将聚焦透镜聚焦后的第一太赫兹信号反射至待成像目标生成回波信号;a second reflector, configured to reflect the first terahertz signal focused by the focusing lens to the target to be imaged to generate an echo signal;主动成像接收线阵,用于接收回波信号并处理得到所述回波信号的幅度与相位信息;an active imaging receiving line array for receiving echo signals and processing to obtain amplitude and phase information of the echo signals;极化线栅,用于将待成像目标自身辐射出的、经第二反射镜反射进入聚焦透镜聚焦后再经第一反射镜反射后的第二太赫兹信号反射至被动成像辐射计阵列,同时透过所述回波信号;The polarization wire grid is used to reflect the second terahertz signal radiated by the target to be imaged, reflected by the second mirror into the focusing lens, and then reflected by the first mirror to the passive imaging radiometer array, and at the same time through the echo signal;所述主动成像发射线阵与接收线阵之间设置有分束器和吸波板实现第一太赫兹信号的收、发隔离;从而实现对太赫兹主动成像模式和被动成像模式进行复合成像;A beam splitter and a wave absorbing plate are arranged between the active imaging transmitting line array and the receiving line array to realize the isolation of the first terahertz signal reception and transmission; thereby realizing the composite imaging of the terahertz active imaging mode and the passive imaging mode;所述第一反射镜的宽为wideref1,表达式如下:The width of the first reflector is wideref1 , and the expression is as follows:wideref1=max(widea1,widep1);wideref1 = max(widea1 , widep1 );其中,widea1为主动模式下所需第一反射镜的宽度,widep1为被动模式下所需第一反射镜的宽度;widea1表达式如下:Among them, widea1 is the width of the first mirror required in the active mode, and widep1 is the width of the first mirror required in the passive mode; the expression of widea1 is as follows:
Figure FDA0003259713310000011
Figure FDA0003259713310000011
Figure FDA0003259713310000012
Figure FDA0003259713310000012
其中,w01_a为主动成像发射线阵/主动成像接收线阵处的高斯波束束腰半径,表达如下:Among them, w01 _a is the beam waist radius of the Gaussian beam at the active imaging transmitting line array/active imaging receiving line array, which is expressed as follows:
Figure FDA0003259713310000021
Figure FDA0003259713310000021
w01_p为被动成像辐射计线阵天线口面处高斯波束的束腰半径,表达式如下:w01 _p is the beam waist radius of the Gaussian beam at the mouth of the passive imaging radiometer linear array antenna, and the expression is as follows:
Figure FDA0003259713310000022
Figure FDA0003259713310000022
其中,Z1_p为高斯波束从聚焦透镜表面到辐射计前端线阵所传播的距离;Among them, Z1_p is the distance that the Gaussian beam propagates from the surface of the focusing lens to the front-end linear array of the radiometer;所述第一反射镜的长为lengthref1,其表达式如下:The length of the first reflecting mirror is lengthref1 , and its expression is as follows:lengthref1=max(lengtha1,lengthp1);lengthref1 =max(lengtha1 , lengthp1 );
Figure FDA0003259713310000023
Figure FDA0003259713310000023
Figure FDA0003259713310000024
Figure FDA0003259713310000024
其中,lengtha1为主动模式下所需第一反射镜的长度,lengthp1为被动模式下所需第一反射镜的长度;Wherein, lengtha1 is the length of the first reflector required in the active mode, and lengthp1 is the length of the first reflector required in the passive mode;所述第二反射镜的宽为wideref2,表达式如下:The width of the second mirror is wideref2 , and the expression is as follows:wideref2=max(widea2,widep2);wideref2 = max(widea2 , widep2 );
Figure FDA0003259713310000025
Figure FDA0003259713310000025
Figure FDA0003259713310000031
Figure FDA0003259713310000031
其中d8为第二反射镜与待成像目标之间的距离,width为待成像目标宽度;widea2为主动模式下所需第二反射镜的宽度,widep2为被动模式下所需第二反射镜的宽度;whered8 is the distance between the second mirror and the target to be imaged, width is the width of the target to be imaged; widea2 is the width of the second mirror required in active mode, widep2 is the second reflection required in passive mode the width of the mirror;所述第二反射镜的长度为lengthref2,其表达式如下:The length of the second mirror is lengthref2 , and its expression is as follows:lengthref2=max(lengtha2,lengthp2);lengthref2 = max(lengtha2 , lengthp2 );lengtha2为主动模式下所需第二反射镜的长度,lengthp2为被动模式下所需第二反射镜的长度;lengtha2 is the length of the second mirror required in the active mode, and lengthp2 is the length of the second mirror required in the passive mode;
Figure FDA0003259713310000032
Figure FDA0003259713310000032
Figure FDA0003259713310000033
Figure FDA0003259713310000033
其中,TE为系统中各器件截获高斯波束时的边缘功率,Fa为主动成像时工作频率ρa为主动成像时目标分辨率,Fp为被动成像时工作频率,ρp为被动成像时目标分辨率,Z2为待成像目标距离第二反射镜中点距离,C0为自由空间中的光速,d1为主动成像发射线阵与分束器之间的距离,d3为极化线栅与分束器的距离,d4为被动成像辐射计前端阵列线阵中点与极化线栅中点之间的距离,d5为第一反射镜与极化线栅之间的距离,height为待成像目标的高度。Among them, TE is the edge power of each device in the system when the Gaussian beam is intercepted, Fa is the working frequency during active imaging, ρa is the target resolution during active imaging, Fp is the working frequency during passive imaging, andρ pis during passive imaging. Target resolution, Z2 is the distance between the target to be imaged and the midpoint of the second mirror, C0 is the speed of light in free space, d1 is the distance between the active imaging emission line array and the beam splitter, and d3 is the polarization The distance between the wire grid and the beam splitter, d4 is the distance between the center point of the front-end array line array of the passive imaging radiometer and the mid point of the polarization wire grid, and d5 is the distance between the first mirror and the polarization wire grid , height is the height of the target to be imaged.2.根据权利要求1所述的太赫兹主、被动复合成像准光学扫描系统,其中,600≤width≤1000mm;1500mm≤height≤2000mm;3000mm≤Z2≤5000mm。2. The terahertz active-passive composite imaging quasi-optical scanning system according to claim 1, wherein 600≤width≤1000mm; 1500mm≤height≤2000mm; 3000mm≤Z2≤5000mm.3.根据权利要求1所述的太赫兹主、被动复合成像准光学扫描系统,主动成像模式下,工作频率为Fa=340GHz;目标分辨率为2≤ρa≤6mm;被动成像模式下,工作频率为Fp=220GHz;目标分辨率为6≤ρp≤10mm。3. The terahertz active and passive composite imaging quasi-optical scanning system according to claim 1, in the active imaging mode, the working frequency is Fa =340GHz; the target resolution is2≤ρa≤6mm ; under the passive imaging mode, The working frequency is Fp =220GHz; the target resolution is6≤ρp≤10mm .4.根据权利要求1所述的太赫兹主、被动复合成像准光学扫描系统,所述聚焦透镜曲面的口面直径为D,表达如下:4. The terahertz active and passive composite imaging quasi-optical scanning system according to claim 1, the diameter of the aperture of the focusing lens curved surface is D, and is expressed as follows:
Figure FDA0003259713310000041
Figure FDA0003259713310000041
.
5.根据权利要求4所述的太赫兹主、被动复合成像准光学扫描系统,所述聚焦透镜曲面的焦距为f,表达如下:5. The terahertz active and passive composite imaging quasi-optical scanning system according to claim 4, wherein the focal length of the focusing lens curved surface is f, which is expressed as follows:
Figure FDA0003259713310000042
Figure FDA0003259713310000042
6.根据权利要求1所述的太赫兹主、被动复合成像准光学扫描系统,所述主动成像发射线阵,包括多个锥形喇叭阵元,每个锥形喇叭阵元的喇叭口面为矩形,其尺寸为a1×b1,则:6. The terahertz active and passive composite imaging quasi-optical scanning system according to claim 1, the active imaging emission line array comprises a plurality of conical horn array elements, and the bell mouth surface of each conical horn array element is A rectangle whose dimensions are a1 ×b1 , then:
Figure FDA0003259713310000051
Figure FDA0003259713310000051
Figure FDA0003259713310000052
Figure FDA0003259713310000052
所述主动成像接收线阵与所述主动成像发射线阵中阵元尺寸设置相同。The size of the array elements in the active imaging receiving line array is the same as that of the active imaging transmitting line array.
7.根据权利要求1所述的太赫兹主、被动复合成像准光学扫描系统,7. The terahertz active and passive composite imaging quasi-optical scanning system according to claim 1,所述极化线栅的宽度为wide_d4,表达式如下:The width of the polarized wire grid is wide_d4 , and the expression is as follows:
Figure FDA0003259713310000053
Figure FDA0003259713310000053
所述极化线栅的长度为length_d4,表达式如下:The length of the polarized wire grid is length_d4 , and the expression is as follows:
Figure FDA0003259713310000054
Figure FDA0003259713310000054
8.根据权利要求1所述的太赫兹主、被动复合成像准光学扫描系统,所述分束器的宽度为wide_d1,表达式如下;8. The terahertz active and passive composite imaging quasi-optical scanning system according to claim 1, wherein the width of the beam splitter is wide_d1 , and the expression is as follows;
Figure FDA0003259713310000055
Figure FDA0003259713310000055
所述分束器的长度为length_d1,表达式如下;The length of the beam splitter is length_d1 , and the expression is as follows;
Figure FDA0003259713310000061
Figure FDA0003259713310000061
9.根据权利要求1所述的太赫兹主、被动复合成像准光学扫描系统,所述被动成像的辐射计前端阵列,包括多个单元天线,单元天线的喇叭口面尺寸为;a2×b2,具体表达式如下:9. The terahertz active-passive composite imaging quasi-optical scanning system according to claim 1, the passive imaging radiometer front-end array comprises a plurality of unit antennas, and the size of the horn mouth of the unit antennas is: a2 × b2 , the specific expression is as follows:
Figure FDA0003259713310000062
Figure FDA0003259713310000062
Figure FDA0003259713310000063
Figure FDA0003259713310000063
10.根据权利要求1所述的太赫兹主、被动复合成像准光学扫描系统,所述吸波板的宽度为wide_d2,其表达式如下:10. The terahertz active and passive composite imaging quasi-optical scanning system according to claim 1, the width of the wave absorbing plate is wide_d2 , and its expression is as follows:
Figure FDA0003259713310000064
Figure FDA0003259713310000064
所述吸波板的长度为length_d2,其表达式如下:The length of the absorber is length_d2 , and its expression is as follows:
Figure FDA0003259713310000065
Figure FDA0003259713310000065
d2为吸波板中心点与分束器中点距离。d2 is the distance between the center point of the absorber and the center point of the beam splitter.
CN201911123974.8A2019-11-142019-11-14Terahertz active and passive composite imaging quasi-optical scanning systemActiveCN110806590B (en)

Priority Applications (1)

Application NumberPriority DateFiling DateTitle
CN201911123974.8ACN110806590B (en)2019-11-142019-11-14Terahertz active and passive composite imaging quasi-optical scanning system

Applications Claiming Priority (1)

Application NumberPriority DateFiling DateTitle
CN201911123974.8ACN110806590B (en)2019-11-142019-11-14Terahertz active and passive composite imaging quasi-optical scanning system

Publications (2)

Publication NumberPublication Date
CN110806590A CN110806590A (en)2020-02-18
CN110806590Btrue CN110806590B (en)2021-11-26

Family

ID=69490232

Family Applications (1)

Application NumberTitlePriority DateFiling Date
CN201911123974.8AActiveCN110806590B (en)2019-11-142019-11-14Terahertz active and passive composite imaging quasi-optical scanning system

Country Status (1)

CountryLink
CN (1)CN110806590B (en)

Families Citing this family (6)

* Cited by examiner, † Cited by third party
Publication numberPriority datePublication dateAssigneeTitle
CN111624409B (en)*2020-05-202022-08-23北京无线电计量测试研究所System and method for measuring scattering correction factor of terahertz radiator
CN113655068B (en)*2021-10-202022-01-11沂普光电(天津)有限公司 A flaw detection device
CN114002160B (en)*2021-12-302022-05-06北京理工大学Terahertz frequency modulation continuous wave nondestructive testing imaging system and method
CN115084864A (en)*2022-06-302022-09-20北京神目科技有限公司 Lenses for Terahertz Devices and Terahertz Devices
CN116106254B (en)*2023-04-072023-06-23北京理工大学Terahertz three-dimensional tomography system and method
CN117706652A (en)*2023-12-112024-03-15清华大学 Image acquisition device, image generation system and method based on terahertz signals

Citations (10)

* Cited by examiner, † Cited by third party
Publication numberPriority datePublication dateAssigneeTitle
CN101832912A (en)*2010-04-162010-09-15首都师范大学Terahertz wave fast imaging scanner
CN103575403A (en)*2012-07-182014-02-12北京大学Terahertz focal plane array based on MEMS technology
CN104345352A (en)*2013-08-072015-02-11中国科学院城市环境研究所Multi-technique linkage detection warming instrument
CN105607140A (en)*2015-12-172016-05-25中国科学院上海微系统与信息技术研究所Terahertz wave rapid rotation scanning imaging system and method
CN107741607A (en)*2017-10-122018-02-27安徽博微太赫兹信息科技有限公司Single-detector rapid scanning terahertz imaging system
CN108828683A (en)*2018-06-142018-11-16江苏心磁超导体有限公司Terahertz safe examination system
CN109856692A (en)*2019-01-232019-06-07嘉兴腓特烈太赫科技有限公司The passive portable Terahertz safety check instrument of 3mm master
CN109856693A (en)*2019-01-232019-06-07嘉兴腓特烈太赫科技有限公司The passive portable Terahertz safety check instrument of 220GHz master
CN109870736A (en)*2018-12-292019-06-11同方威视技术股份有限公司 Millimeter wave/terahertz security inspection equipment and human body or article inspection method
CN109870739A (en)*2018-12-292019-06-11清华大学 mmWave/THz imaging equipment

Patent Citations (10)

* Cited by examiner, † Cited by third party
Publication numberPriority datePublication dateAssigneeTitle
CN101832912A (en)*2010-04-162010-09-15首都师范大学Terahertz wave fast imaging scanner
CN103575403A (en)*2012-07-182014-02-12北京大学Terahertz focal plane array based on MEMS technology
CN104345352A (en)*2013-08-072015-02-11中国科学院城市环境研究所Multi-technique linkage detection warming instrument
CN105607140A (en)*2015-12-172016-05-25中国科学院上海微系统与信息技术研究所Terahertz wave rapid rotation scanning imaging system and method
CN107741607A (en)*2017-10-122018-02-27安徽博微太赫兹信息科技有限公司Single-detector rapid scanning terahertz imaging system
CN108828683A (en)*2018-06-142018-11-16江苏心磁超导体有限公司Terahertz safe examination system
CN109870736A (en)*2018-12-292019-06-11同方威视技术股份有限公司 Millimeter wave/terahertz security inspection equipment and human body or article inspection method
CN109870739A (en)*2018-12-292019-06-11清华大学 mmWave/THz imaging equipment
CN109856692A (en)*2019-01-232019-06-07嘉兴腓特烈太赫科技有限公司The passive portable Terahertz safety check instrument of 3mm master
CN109856693A (en)*2019-01-232019-06-07嘉兴腓特烈太赫科技有限公司The passive portable Terahertz safety check instrument of 220GHz master

Non-Patent Citations (3)

* Cited by examiner, † Cited by third party
Title
周期量级激光脉冲激发等离子体产生太赫兹辐射研究;白亚等;《激光与光电子学进展》;20130810(第08期);全文*
基于USB的主动太赫兹成像电路设计;周德亮等;《电子测量技术》;20170315(第03期);全文*
太赫兹人体安检关键技术及应用;高炳西等;《警察技术》;20160507(第03期);全文*

Also Published As

Publication numberPublication date
CN110806590A (en)2020-02-18

Similar Documents

PublicationPublication DateTitle
CN110806590B (en)Terahertz active and passive composite imaging quasi-optical scanning system
US10879281B2 (en)Image capture device, method of capturing image with the same, and irradiation device
US10340602B2 (en)Retro-directive quasi-optical system
CN113253469A (en)Light homogenizing system for terahertz frequency band and imaging method thereof
CN206339653U (en)Combined type millimeter wave imaging system
CN110687680B (en) How to optimize the lens
CN113267823A (en)Large-depth-of-field imaging lens for terahertz frequency band
US7907081B2 (en)Millimeter wave imaging system
KR20130001969A (en)Method and apparatus for analyzing sample using terahertz wave
US20240310475A1 (en)Electromagnetic wave medical imaging system, device, and methods
CN107607944A (en)Forward-looking imaging device based on terahertz frequency band transmission type aperture coding
JP5620920B2 (en) Method and device for imaging an object using electromagnetic high frequency radiation
CN113064283A (en)Light-homogenizing prism structure for terahertz frequency band and imaging method thereof
CN110764158B (en) Terahertz imaging system based on reflective frequency-controlled beam scanning device
JP7167211B2 (en) Image Acquisition Device, Image Acquisition Method Using the Same, and Irradiation Device
CN210923986U (en)Collimating focusing system and security inspection imaging system for terahertz frequency band
Zhou et al.Aspheric dielectric lens antenna for millimeter-wave imaging system
RU171359U1 (en) Integrated antenna
US11808878B2 (en)Electromagnetic wave medical imaging system, device and methods
CN118889066B (en) Ultra-wideband Fresnel synthetic aperture receiving antenna, transmitting antenna and antenna system
Richards et al.Wide-Angle Direction Finder using a Modified Partial Maxwell Fisheye Lens
TorabiImaging System Front-End at 202GHz Using LO/RF Isolation of Harmonic Mixer for Illumination.
CN117554320A (en)Nondestructive testing system based on terahertz frequency modulation continuous wave synthetic aperture imaging and application method thereof
Guillet et al.Lüneburg lenses for millimeter waves reflector
CN115097485A (en) A detection method of line scan lidar

Legal Events

DateCodeTitleDescription
PB01Publication
PB01Publication
SE01Entry into force of request for substantive examination
GR01Patent grant
GR01Patent grant

[8]ページ先頭

©2009-2025 Movatter.jp