


技术领域technical field
本发明涉及电池热管理领域,具体地,涉及一种电池无线充电-加热一体化系统、控制方法及电池系统。The present invention relates to the field of battery thermal management, in particular to a battery wireless charging-heating integrated system, a control method and a battery system.
背景技术Background technique
锂离子动力电池的充、放电性能会受低温环境影响急剧恶化,严重影响电动汽车的冬季续驶里程,而且还会对电池寿命造成永久性损害。因此,在低温工作环境下,应在电动汽车正常行驶前对动力电池进行预热,使电池电芯到达正常工作温度范围内,提高其工作性能。The charging and discharging performance of lithium-ion power batteries will deteriorate sharply under the influence of low temperature environment, which will seriously affect the driving range of electric vehicles in winter, and will also cause permanent damage to battery life. Therefore, in the low temperature working environment, the power battery should be preheated before the normal driving of the electric vehicle, so that the battery cells can reach the normal working temperature range and improve their working performance.
电池低温加热是保障动力电池在低温环境下高效、持久、安全工作的有力手段。根据热源位置不同,电池低温加热的常用方式可分为两种,即外部加热和内部加热。Low temperature battery heating is a powerful means to ensure efficient, durable and safe operation of power batteries in low temperature environments. Depending on the location of the heat source, there are two common ways of heating batteries at low temperatures, namely external heating and internal heating.
外部加热方法一般通过加热空气、冷却液、电热丝等传热媒介,再通过热对流或热传导的方式将热量自外而内地传递给动力电池。如专利文献CN 105633506B公开的电池加热系统。由于热传递路径较长,外部加热方法的加热速率较慢,而且动力电池温度分布极不均匀。同时,加热过程中外部传热媒介与寒冷环境间存在较多的热交换,热量散失较大,加热效率较低。因此,外部加热方法难以持续有效满足动力电池在低温环境下的最佳工作温度。The external heating method generally transfers heat to the power battery from the outside to the inside by heating air, coolant, heating wire and other heat transfer media, and then through heat convection or heat conduction. Such as the battery heating system disclosed in the patent document CN 105633506B. Due to the long heat transfer path, the heating rate of the external heating method is slow, and the temperature distribution of the power battery is extremely uneven. At the same time, there is more heat exchange between the external heat transfer medium and the cold environment during the heating process, the heat loss is large, and the heating efficiency is low. Therefore, it is difficult for the external heating method to continuously and effectively meet the optimal working temperature of the power battery in a low temperature environment.
内部加热方法是指动力电池通过充、放电产生电流,电流利用电池内阻产生欧姆热,从电芯内部直接对动力电池进行加热。通过将热源设置在电芯内部,可以缩减热传递的路径,同时避免了热源与外部环境的直接热耦合,热量散失很小。因此,内部加热方法加热速度很快,效率也比较高。此外,加热热源均匀地分布在各电芯内部,使得温度场分布均匀程度相较于外部加热有了明显改善。因此,与外部加热方法相比,动力电池内部加热具有明显的优势和发展潜力。The internal heating method means that the power battery generates current through charging and discharging, and the current uses the internal resistance of the battery to generate ohmic heat, and directly heats the power battery from the inside of the cell. By arranging the heat source inside the cell, the heat transfer path can be shortened, and at the same time, the direct thermal coupling between the heat source and the external environment is avoided, and the heat loss is very small. Therefore, the internal heating method has a fast heating speed and high efficiency. In addition, the heating heat source is evenly distributed inside each cell, so that the uniformity of the temperature field distribution is significantly improved compared to external heating. Therefore, compared with the external heating method, the internal heating of the power battery has obvious advantages and development potential.
现有内部加热方法一般采用交流电流进行加热,根据供电电源不同,可以分为外部设备供电和动力电池自供电两种不同方式。考虑到应用场景的灵活性,动力电池自供电的方式正逐渐成为主流加热方法。为产生正弦交流加热电流,动力电池内部加热设备结构比较复杂,体积与重量均比较大,需要在电动汽车上预留充分的安装空间。同时,电池加热设备硬件较为昂贵,也增加了电动汽车额外的成本。因此,体积和成本成为动力电池内部加热系统的技术瓶颈,极大地限制了内部加热方法的应用可能。同时,现有电池内部加热系统功率开关一般工作在硬开关状态,效率和可靠性均不理想。Existing internal heating methods generally use alternating current for heating, which can be divided into two different modes: external device power supply and power battery self-power supply, according to different power supplies. Considering the flexibility of application scenarios, the self-powered method of power battery is gradually becoming the mainstream heating method. In order to generate a sinusoidal AC heating current, the structure of the heating equipment inside the power battery is relatively complex, and the volume and weight are relatively large, so it is necessary to reserve sufficient installation space on the electric vehicle. At the same time, the hardware of battery heating equipment is relatively expensive, which also increases the additional cost of electric vehicles. Therefore, the volume and cost become the technical bottleneck of the internal heating system of the power battery, which greatly limits the application of the internal heating method. At the same time, the power switch of the existing battery internal heating system generally works in a hard switching state, and the efficiency and reliability are not ideal.
发明内容SUMMARY OF THE INVENTION
针对现有技术中的缺陷,本发明的目的是提供一种电池无线充电-加热一体化系统、控制方法及电池系统。In view of the defects in the prior art, the purpose of the present invention is to provide an integrated system, control method and battery system for wireless charging and heating of batteries.
根据本发明提供的一种电池无线充电-加热一体化系统,包括:两个桥臂;A battery wireless charging-heating integrated system provided according to the present invention includes: two bridge arms;
每个所述桥臂包括:多个源极与漏极依次首尾串联的功率管;Each of the bridge arms includes: a plurality of power transistors whose source electrodes and drain electrodes are connected in series end-to-end;
接收线圈:通过补偿电路连接每个所述桥臂的中点;Receiving coil: connect the midpoint of each bridge arm through a compensation circuit;
电池:正极连接所述桥臂的直流母线正极,负极连接所述桥臂的直流母线负极。Battery: the positive pole is connected to the positive pole of the DC bus of the bridge arm, and the negative pole is connected to the negative pole of the DC bus of the bridge arm.
优选地,所述接收线圈与所述补偿电路并联构成谐振回路,储存交流加热时电池传递的能量。Preferably, the receiving coil and the compensation circuit are connected in parallel to form a resonant circuit to store the energy transferred by the battery during AC heating.
优选地,所述补偿电路包括谐振电感和电容。Preferably, the compensation circuit includes a resonant inductor and a capacitor.
优选地,所述谐振电感为无线充电接收端线圈。Preferably, the resonant inductor is a wireless charging receiver coil.
优选地,所述功率管包括MOSFET管。Preferably, the power tube includes a MOSFET tube.
优选地,所述MOSFET管工作在零电压开通状态。Preferably, the MOSFET tube works in a zero-voltage on state.
根据本发明提供的一种电池无线充电-加热一体化系统的控制方法,采用上述的电池双路供电谐振式交流加热系统,执行包括如下操作:According to a control method of a battery wireless charging-heating integrated system provided by the present invention, using the above-mentioned battery dual-circuit power supply resonant AC heating system, the execution includes the following operations:
采用两组互补的PWM信号分别驱动两个桥臂,在接收线圈于补偿电路产生方波电压,进而激励出电流;Two sets of complementary PWM signals are used to drive the two bridge arms respectively, and the square wave voltage is generated in the compensation circuit in the receiving coil, and then the current is excited;
电池在提供接收线圈激励电流的同时产生加热电流,利用电池欧姆内阻进行内部加热;The battery generates heating current while providing the excitation current of the receiving coil, and uses the ohmic internal resistance of the battery for internal heating;
根据电池的标称电压、接收线圈的参数和补偿电路的参数选择所述PWM信号的频率,从而调节所述加热电流,使加热电流的幅值低于当前温度下电池最大容许充、放电电流。The frequency of the PWM signal is selected according to the nominal voltage of the battery, the parameters of the receiving coil and the parameters of the compensation circuit, thereby adjusting the heating current so that the amplitude of the heating current is lower than the maximum allowable charging and discharging current of the battery at the current temperature.
优选地,所述电池无线充电-加热一体化系统的开关频率小于0.5倍谐振频率。Preferably, the switching frequency of the battery wireless charging-heating integrated system is less than 0.5 times the resonant frequency.
根据本发明提供的一种电池系统,包括上述的电池双路供电谐振式交流加热系统。A battery system provided according to the present invention includes the above-mentioned battery dual-circuit power supply resonant AC heating system.
优选地,所述电池系统包括车辆电池系统。Preferably, the battery system includes a vehicle battery system.
与现有技术相比,本发明具有如下的有益效果:Compared with the prior art, the present invention has the following beneficial effects:
本发明以现有的无线充电接收端设备作为载体,无需增加额外的硬件设备和成本投入,可以系统整体重量,节约安装空间。可以通过调节无线充电车载接收端开关频率,实现软开关功能,有利于提升电池加热系统效率和可靠性。该电池加热系统解决了低温环境下现有电池加热设备存在的加热速率慢、效果差、效率低、成本高、体积大等问题,且能够使用电池自身能量进行加热,适用范围及场景较广。The present invention uses the existing wireless charging receiving terminal equipment as a carrier, does not need to increase additional hardware equipment and cost input, can reduce the overall weight of the system, and save installation space. The soft switching function can be realized by adjusting the switching frequency of the wireless charging vehicle receiver, which is beneficial to improve the efficiency and reliability of the battery heating system. The battery heating system solves the problems of slow heating rate, poor effect, low efficiency, high cost, and large volume of existing battery heating equipment in low temperature environments, and can use the battery's own energy for heating, and has a wide range of applications and scenarios.
此外,本发明控制方法简单,只需两路互补的PWM驱动信号,鲁棒性较强,可靠性高。In addition, the control method of the present invention is simple, only needs two complementary PWM driving signals, and has strong robustness and high reliability.
附图说明Description of drawings
通过阅读参照以下附图对非限制性实施例所作的详细描述,本发明的其它特征、目的和优点将会变得更明显:Other features, objects and advantages of the present invention will become more apparent by reading the detailed description of non-limiting embodiments with reference to the following drawings:
图1为本发明实施例电动汽车动力电池无线充电-低温加热一体化系统拓扑结构图。FIG. 1 is a topological structure diagram of an electric vehicle power battery wireless charging-low temperature heating integrated system according to an embodiment of the present invention.
图2a为本发明实施例电动汽车动力电池无线充电-低温加热一体化系统开关S1和S3导通时等效电路分析。FIG. 2 a is an equivalent circuit analysis when switches S1 and S3 of an integrated system of wireless charging and low-temperature heating of an electric vehicle power battery according to an embodiment of the present invention are turned on.
图2b为本发明实施例电动汽车动力电池无线充电-低温加热一体化系统开关S2和S4导通时等效电路分析。FIG. 2b is an equivalent circuit analysis when switches S2 and S4 of the integrated system of wireless charging and low- temperature heating of electric vehicle power battery according to the embodiment of the present invention are turnedon .
图3为本发明实施例电动汽车动力电池无线充电-低温加热一体化系统工作时电路关键波形。FIG. 3 is the key waveforms of the circuit when the integrated system of wireless charging and low-temperature heating of electric vehicle power battery according to the embodiment of the present invention is working.
图4为本发明实施例电动汽车动力电池无线充电-低温加热一体化系统开关频率与加热电流有效值的关系。FIG. 4 is the relationship between the switching frequency and the effective value of the heating current of the wireless charging-low temperature heating integrated system of the electric vehicle power battery according to the embodiment of the present invention.
具体实施方式Detailed ways
下面结合具体实施例对本发明进行详细说明。以下实施例将有助于本领域的技术人员进一步理解本发明,但不以任何形式限制本发明。应当指出的是,对本领域的普通技术人员来说,在不脱离本发明构思的前提下,还可以做出若干变化和改进。这些都属于本发明的保护范围。The present invention will be described in detail below with reference to specific embodiments. The following examples will help those skilled in the art to further understand the present invention, but do not limit the present invention in any form. It should be noted that, for those skilled in the art, several changes and improvements can be made without departing from the inventive concept. These all belong to the protection scope of the present invention.
本发明提供的一种电池无线充电-加热一体化系统,包括:两个桥臂;The invention provides a battery wireless charging-heating integrated system, comprising: two bridge arms;
每个所述桥臂包括:多个源极与漏极依次首尾串联的功率管;Each of the bridge arms includes: a plurality of power transistors whose source electrodes and drain electrodes are connected in series end-to-end;
接收线圈:通过补偿电路连接每个所述桥臂的中点;Receiving coil: connect the midpoint of each bridge arm through a compensation circuit;
电池:正极连接所述桥臂的直流母线正极,负极连接所述桥臂的直流母线负极。Battery: the positive pole is connected to the positive pole of the DC bus of the bridge arm, and the negative pole is connected to the negative pole of the DC bus of the bridge arm.
在本发明提供的实施例中是以电动汽车动力电池(电池组)为例,但本领域技术人员知道,本发明的应用并不限定于电动汽车中。In the embodiments provided by the present invention, an electric vehicle power battery (battery pack) is used as an example, but those skilled in the art know that the application of the present invention is not limited to electric vehicles.
如图1所示,无线充电车载接收端主功率电路由4只MOSFET功率管S1-S4组成。动力电池与接收侧主功率电路母线并联,Vb表示动力电池组开路电压,Rb表示动力电池组等效欧姆内阻。L2为无线充电车载接收线圈,补偿电路与其并联。接收侧补偿电路网络具有多种拓扑结构,例如电容串联补偿、并联补偿、以及LCC型补偿等。本发明电动汽车动力电池无线充电-低温加热一体化系统可以兼容各种补偿网络拓扑,均能够实现正弦波交流电流加热电池。在加热器工作期间,为防止能量传送到无线充电发射端,可将发射端线圈开关断开,故图中省略无线充电系统发射端部分,因其不参与加热器工作。As shown in Figure 1, the main power circuit of the wireless charging vehicle receiver is composed of4 MOSFET power tubes S1- S4. The power battery is connected in parallel with the bus bar of the main power circuit on the receiving side, Vb represents the open circuit voltage of the power battery pack, and Rb represents the equivalent ohmic internal resistance of the power battery pack. L2 is the wireless charging vehicle receiving coil, and the compensation circuit is connected in parallel with it. The receiving side compensation circuit network has various topologies, such as capacitor series compensation, parallel compensation, and LCC compensation. The wireless charging and low-temperature heating integrated system of the electric vehicle power battery of the present invention can be compatible with various compensation network topologies, and can realize the sine wave AC current to heat the battery. During the heater operation, in order to prevent the energy from being transmitted to the wireless charging transmitter, the coil switch of the transmitter can be turned off, so the transmitter part of the wireless charging system is omitted in the figure because it does not participate in the heater.
本发明电动汽车动力电池无线充电-低温加热一体化系统对电池进行加热时,主电路功率变换器功率管S1-S4受两路互补PWM高频信号驱动,其中S1和S3同时开通和关断,而S2和S4同时开通与关断,且各开关占空比均为50%。以电动汽车无线充电最常见的接收侧串联补偿为例,电池内部加热器工作模式和原理可结合图2描述如下:When the electric vehicle power battery wireless charging-low temperature heating integrated system of the present invention heats the battery, the main circuit power converter power tubes S1 -S4 are driven by two complementary PWM high-frequency signals, wherein S1 and S3 are turned on at the same time and off, while S2 andS4 are turnedon and off at the same time, and the duty cycle of each switch is 50%. Taking the most common receiver-side series compensation for electric vehicle wireless charging as an example, the working mode and principle of the battery's internal heater can be described as follows in conjunction with Figure 2:
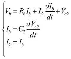
(1)受PWM信号驱动,当功率开关S1和S3开通时,加热系统等效电路如图2a所示。动力电池Vb与无线充电车载接收侧谐振回路进行能量交换,其谐振频率为此时,电路方程可以表示为:(1 ) Driven by the PWM signal, when the power switches S1 and S3 are turnedon , the equivalent circuit of the heating system is shown in Figure 2a. The power battery Vb exchanges energy with the resonant circuit on the receiving side of the wireless charging vehicle, and its resonant frequency is At this point, the circuit equation can be expressed as:
Vb先对谐振支路放电,将能量储存入谐振回路中;当谐振回路电压储存能量达到一定程度时,其电压会高于动力电池电压,此时会将能量馈送回动力电池。通过这样的能量交换过程,动力电池在此期间高频充、放电,形成近似正弦波的加热电流。Vb first discharges the resonant branch and stores the energy in the resonant circuit; when the voltage of the resonant circuit stores energy to a certain level, its voltage will be higher than the power battery voltage, and the energy will be fed back to the power battery. Through such an energy exchange process, the power battery is charged and discharged at high frequency during this period, forming a heating current that approximates a sine wave.
(2)受PWM信号驱动,当功率开关S2和S4开通时,加热系统等效电路如图2b所示。与上一个状态相比,动力电池Vb与无线充电车载接收侧谐振回路连接极性相反,但同样可以进行能量交换,其谐振频率也为此时,电路方程可以表示为:(2 ) Driven by the PWM signal, when the power switches S2 and S4 are turnedon , the equivalent circuit of the heating system is shown in Figure 2b. Compared with the previous state, the power battery Vb is connected to the resonant circuit on the receiving side of the wireless charging vehicle in opposite polarity, but it can also exchange energy, and its resonant frequency is also At this point, the circuit equation can be expressed as:
Vb同样先对对谐振支路放电,将能量储存入谐振回路中,但此时谐振回路电流方向与上一状态时相反;当谐振回路电压储存能量达到一定程度时,其电压也会高于动力电池电压,将能量馈送回动力电池。通过这样的能量交换过程,动力电池在此期间高频充、放电,形成近似正弦波的加热电流。Vb also discharges the resonant branch first and stores the energy in the resonant tank, but the current direction of the resonant tank is opposite to that of the previous state; when the voltage of the resonant tank reaches a certain level of stored energy, its voltage will also be higher than that of the previous state. Power battery voltage, which feeds energy back to the power battery. Through such an energy exchange process, the power battery is charged and discharged at high frequency during this period, forming a heating current that approximates a sine wave.
由于无线充电车载接收端设备工作频率一般在85kHz左右,所以谐振回路的谐振频率也比较高。本发明中无线充电-低温加热一体化系统利用接收侧谐振回路储存能量,因此工作频率也比较高,功率开关管损耗较大。为提高加热器系统效率,同时增强其工作的安全性和可靠性,必须使功率开关管工作在软开关切换状态。对于MOSFET开关管来说,零电压开通(ZVS)是其较为理想的工作状态,可以避免开通损耗带来的效率下降。因此,本发明动力电池无线充电-低温加热一体化系统可以通过调节开关频率fs,使MOSFET管工作在ZVS状态。具体实现机理可结合图3说明:此时本发明所述的动力电池无线充电-低温加热一体化系统开关频率fs可以设定为小于0.5倍的谐振频率,即fs<fr/2。以S1管为例,此MOSFET管开通脉冲信号到来之前,其反并联二极管已经开始导通续流,故而开通时管压降Vs1基本为0,无开通损耗,大大减小了开关损耗。Since the operating frequency of the wireless charging vehicle receiver equipment is generally around 85kHz, the resonant frequency of the resonant circuit is also relatively high. The wireless charging-low temperature heating integrated system in the present invention uses the resonant circuit on the receiving side to store energy, so the operating frequency is also relatively high, and the power switch tube loss is relatively large. In order to improve the efficiency of the heater system and at the same time enhance the safety and reliability of its work, it is necessary to make the power switch tube work in a soft switching state. For MOSFET switches, zero-voltage turn-on (ZVS) is an ideal working state, which can avoid the efficiency drop caused by turn-on losses. Therefore, the power battery wireless charging-low temperature heating integrated system of the present invention can make the MOSFET work in the ZVS state by adjusting the switching frequency fs . The specific implementation mechanism can be described with reference to FIG. 3 : at this time, the switching frequency fs of the power battery wireless charging-low temperature heating integrated system according to the present invention can be set to be less than 0.5 times the resonant frequency, that is, fs <fr /2. Taking the S1 tube asan example, before the turn-on pulse signal of this MOSFET tube arrives, its anti-parallel diode has started to conduct freewheeling, so the tube voltage drop Vs1 is basically 0 when it is turned on, and there is no turn-on loss, which greatly reduces the switching loss.
根据动力电池及无线充电车载接收端谐振回路相应元件参数,本发明所述的动力电池无线充电-低温加热一体化系统的加热电流时域表达式为:According to the corresponding element parameters of the resonant circuit of the power battery and the wireless charging vehicle receiving end, the time domain expression of the heating current of the power battery wireless charging-low temperature heating integrated system according to the present invention is:
Ib=C2e-αt[(-αλ1+βλ2)cosβt-(αλ2+βλ1)sinβt]Ib =C2 e-αt [(-αλ1 +βλ2 )cosβt-(αλ2 +βλ1 )sinβt]
其中,in,
(L已改为L2,为无线充电接收端线圈电感值,e为自然对数底,一般不做额外解释,Ts=1/fs,公式中已做相应修改)(L has been changed to L2 , which is the inductance value of the wireless charging receiver coil, e is the base of natural logarithm, generally no additional explanation is given, Ts =1/fs , the formula has been modified accordingly)
可以看出本发明所述低温交流加热系统的加热电流有效值随开关频率fs和谐振元件特征阻抗变化。将这一结果归一化后,交流加热电流有效值倍率如图4所示,可以根据所需加热的动力电池在相应温度下所容许的最大充、放电电流及加热器谐振元件参数,采用查表法决定相应的加热器开关频率,调节低温加热交流电流,使得其有效值低于当前温度下动力电池最大容许充、放电电流,保证低温加热的安全、可靠性。It can be seen that the effective value of the heating current of the low-temperature AC heating system of the present invention varies with the switching frequency fs and the characteristic impedance of the resonant element Variety. After normalizing this result, the rms ratio of the AC heating current is shown in Figure 4. According to the maximum charge and discharge currents allowed by the power battery to be heated at the corresponding temperature and the parameters of the heater resonance element, the check can be used. The table method determines the corresponding heater switching frequency, and adjusts the low-temperature heating AC current so that its effective value is lower than the maximum allowable charging and discharging current of the power battery at the current temperature, so as to ensure the safety and reliability of low-temperature heating.
在上述的一种电池无线充电-加热一体化系统的基础上,本发明还提供一种电池无线充电-加热一体化系统的控制方法,采用上述的电池双路供电谐振式交流加热系统,执行包括如下操作:On the basis of the above-mentioned battery wireless charging-heating integrated system, the present invention also provides a control method for the battery wireless charging-heating integrated system. Do as follows:
采用两路互补的PWM信号分别驱动两个桥臂,在接收线圈于补偿电路产生方波电压,进而激励出电流;Two complementary PWM signals are used to drive the two bridge arms respectively, and the square wave voltage is generated in the compensation circuit in the receiving coil, and then the current is excited;
电池在提供接收线圈激励电流的同时产生加热电流,利用电池欧姆内阻进行内部加热;The battery generates heating current while providing the excitation current of the receiving coil, and uses the ohmic internal resistance of the battery for internal heating;
根据电池的标称电压、接收线圈的参数和补偿电路的参数选择所述PWM信号的频率,从而调节所述加热电流,使加热电流的幅值低于当前温度下电池最大容许充、放电电流。The frequency of the PWM signal is selected according to the nominal voltage of the battery, the parameters of the receiving coil and the parameters of the compensation circuit, thereby adjusting the heating current so that the amplitude of the heating current is lower than the maximum allowable charging and discharging current of the battery at the current temperature.
其中,所述电池无线充电-加热一体化系统的开关频率小于0.5倍谐振频率,实现零电压开通。Wherein, the switching frequency of the battery wireless charging-heating integrated system is less than 0.5 times the resonant frequency, and zero-voltage turn-on is realized.
本发明所述的电池无线充电-加热一体化系统可应用于多种电池系统中,例如上述的电动汽车电池系统,本发明对此不做限定。The battery wireless charging-heating integrated system of the present invention can be applied to various battery systems, such as the above-mentioned electric vehicle battery system, which is not limited in the present invention.
本领域技术人员知道,除了以纯计算机可读程序代码方式实现本发明提供的系统及其各个装置、模块、单元以外,完全可以通过将方法步骤进行逻辑编程来使得本发明提供的系统及其各个装置、模块、单元以逻辑门、开关、专用集成电路、可编程逻辑控制器以及嵌入式微控制器等的形式来实现相同功能。所以,本发明提供的系统及其各项装置、模块、单元可以被认为是一种硬件部件,而对其内包括的用于实现各种功能的装置、模块、单元也可以视为硬件部件内的结构;也可以将用于实现各种功能的装置、模块、单元视为既可以是实现方法的软件模块又可以是硬件部件内的结构。Those skilled in the art know that, in addition to implementing the system provided by the present invention and its various devices, modules and units in the form of purely computer-readable program codes, the system provided by the present invention and its various devices can be implemented by logically programming the method steps. , modules, and units realize the same function in the form of logic gates, switches, application-specific integrated circuits, programmable logic controllers, and embedded microcontrollers. Therefore, the system provided by the present invention and its various devices, modules and units can be regarded as a kind of hardware components, and the devices, modules and units included in it for realizing various functions can also be regarded as hardware components. The device, module and unit for realizing various functions can also be regarded as both a software module for realizing the method and a structure within a hardware component.
以上对本发明的具体实施例进行了描述。需要理解的是,本发明并不局限于上述特定实施方式,本领域技术人员可以在权利要求的范围内做出各种变化或修改,这并不影响本发明的实质内容。在不冲突的情况下,本申请的实施例和实施例中的特征可以任意相互组合。Specific embodiments of the present invention have been described above. It should be understood that the present invention is not limited to the above-mentioned specific embodiments, and those skilled in the art can make various changes or modifications within the scope of the claims, which do not affect the essential content of the present invention. The embodiments of the present application and features in the embodiments may be combined with each other arbitrarily, provided that there is no conflict.
| Application Number | Priority Date | Filing Date | Title |
|---|---|---|---|
| CN201911006462.3ACN110789400A (en) | 2019-10-22 | 2019-10-22 | Wireless charging-heating integrated system for battery, control method and battery system |
| Application Number | Priority Date | Filing Date | Title |
|---|---|---|---|
| CN201911006462.3ACN110789400A (en) | 2019-10-22 | 2019-10-22 | Wireless charging-heating integrated system for battery, control method and battery system |
| Publication Number | Publication Date |
|---|---|
| CN110789400Atrue CN110789400A (en) | 2020-02-14 |
| Application Number | Title | Priority Date | Filing Date |
|---|---|---|---|
| CN201911006462.3APendingCN110789400A (en) | 2019-10-22 | 2019-10-22 | Wireless charging-heating integrated system for battery, control method and battery system |
| Country | Link |
|---|---|
| CN (1) | CN110789400A (en) |
| Publication number | Priority date | Publication date | Assignee | Title |
|---|---|---|---|---|
| CN111391718A (en)* | 2020-06-04 | 2020-07-10 | 比亚迪股份有限公司 | Battery energy processing device and method and vehicle |
| CN112578921A (en)* | 2020-12-08 | 2021-03-30 | 湖南炬神电子有限公司 | Three-in-one multifunctional mouse pad |
| CN112736327A (en)* | 2021-01-11 | 2021-04-30 | 河北工业大学 | Low temperature battery pack heating device based on LC resonance |
| CN113752908A (en)* | 2020-06-04 | 2021-12-07 | 比亚迪股份有限公司 | Vehicle, energy conversion device and control method thereof |
| CN113972707A (en)* | 2020-07-23 | 2022-01-25 | 比亚迪股份有限公司 | Vehicle, energy conversion device, and control method therefor |
| WO2022052755A1 (en)* | 2020-09-09 | 2022-03-17 | 华为技术有限公司 | Battery heating method, apparatus and device |
| CN114336995A (en)* | 2021-04-30 | 2022-04-12 | 华为数字能源技术有限公司 | Receiving end, transmitting end and wireless charging system of wireless charging system |
| CN115489396A (en)* | 2022-10-18 | 2022-12-20 | 广汽埃安新能源汽车股份有限公司 | Thermal management system for power battery and electric vehicle |
| WO2023029047A1 (en)* | 2021-09-06 | 2023-03-09 | 宁德时代新能源科技股份有限公司 | Battery heating device, and control method, control circuit and power device therefor |
| CN115882118A (en)* | 2022-11-24 | 2023-03-31 | 北京理工大学 | A battery heating system for fast cold starting in extreme cold environments |
| CN115923597A (en)* | 2022-11-02 | 2023-04-07 | 臻驱科技(上海)有限公司 | Power battery heating method and device and power battery |
| US12227109B2 (en) | 2021-08-05 | 2025-02-18 | Contemporary Amperex Technology (Hong Kong) Limited | Power battery heating system and control method and control circuit thereof |
| Publication number | Priority date | Publication date | Assignee | Title |
|---|---|---|---|---|
| EP1026769A2 (en)* | 1999-02-03 | 2000-08-09 | Nokia Mobile Phones Ltd. | Device for reactivation of an electric battery |
| CN201536145U (en)* | 2009-11-23 | 2010-07-28 | 泰兴市航联电连接器有限公司 | Liquid lead-acid storage battery low-voltage full-bridge serial connection resonant soft switching circuit heating device |
| US20110144861A1 (en)* | 2009-12-14 | 2011-06-16 | Control Solutions LLC | Electronic circuit for charging and heating a battery |
| CN106025443A (en)* | 2016-07-25 | 2016-10-12 | 北京理工大学 | Power system capable of performing heating on the basis of LC resonance and vehicle |
| CN107069998A (en)* | 2017-06-07 | 2017-08-18 | 刘庆 | A kind of wireless charging device with energy in bidirectional flow function |
| Publication number | Priority date | Publication date | Assignee | Title |
|---|---|---|---|---|
| EP1026769A2 (en)* | 1999-02-03 | 2000-08-09 | Nokia Mobile Phones Ltd. | Device for reactivation of an electric battery |
| CN201536145U (en)* | 2009-11-23 | 2010-07-28 | 泰兴市航联电连接器有限公司 | Liquid lead-acid storage battery low-voltage full-bridge serial connection resonant soft switching circuit heating device |
| US20110144861A1 (en)* | 2009-12-14 | 2011-06-16 | Control Solutions LLC | Electronic circuit for charging and heating a battery |
| CN106025443A (en)* | 2016-07-25 | 2016-10-12 | 北京理工大学 | Power system capable of performing heating on the basis of LC resonance and vehicle |
| CN107069998A (en)* | 2017-06-07 | 2017-08-18 | 刘庆 | A kind of wireless charging device with energy in bidirectional flow function |
| Publication number | Priority date | Publication date | Assignee | Title |
|---|---|---|---|---|
| CN111391718A (en)* | 2020-06-04 | 2020-07-10 | 比亚迪股份有限公司 | Battery energy processing device and method and vehicle |
| CN111391718B (en)* | 2020-06-04 | 2020-10-23 | 比亚迪股份有限公司 | Battery energy processing device, method and vehicle |
| US12132182B2 (en) | 2020-06-04 | 2024-10-29 | Byd Company Limited | Battery energy processing device and method, and vehicle |
| CN113752908B (en)* | 2020-06-04 | 2023-12-12 | 比亚迪股份有限公司 | Vehicle, energy conversion device, and control method therefor |
| CN113752908A (en)* | 2020-06-04 | 2021-12-07 | 比亚迪股份有限公司 | Vehicle, energy conversion device and control method thereof |
| CN113972707A (en)* | 2020-07-23 | 2022-01-25 | 比亚迪股份有限公司 | Vehicle, energy conversion device, and control method therefor |
| CN113972707B (en)* | 2020-07-23 | 2025-02-11 | 比亚迪股份有限公司 | Vehicle, energy conversion device and control method thereof |
| CN114243162A (en)* | 2020-09-09 | 2022-03-25 | 华为技术有限公司 | Battery heating method, device and equipment |
| WO2022052755A1 (en)* | 2020-09-09 | 2022-03-17 | 华为技术有限公司 | Battery heating method, apparatus and device |
| CN114243162B (en)* | 2020-09-09 | 2023-12-08 | 华为技术有限公司 | Battery heating method, device and equipment |
| CN112578921A (en)* | 2020-12-08 | 2021-03-30 | 湖南炬神电子有限公司 | Three-in-one multifunctional mouse pad |
| CN112736327A (en)* | 2021-01-11 | 2021-04-30 | 河北工业大学 | Low temperature battery pack heating device based on LC resonance |
| CN114336995A (en)* | 2021-04-30 | 2022-04-12 | 华为数字能源技术有限公司 | Receiving end, transmitting end and wireless charging system of wireless charging system |
| US12227109B2 (en) | 2021-08-05 | 2025-02-18 | Contemporary Amperex Technology (Hong Kong) Limited | Power battery heating system and control method and control circuit thereof |
| WO2023029047A1 (en)* | 2021-09-06 | 2023-03-09 | 宁德时代新能源科技股份有限公司 | Battery heating device, and control method, control circuit and power device therefor |
| CN115956317A (en)* | 2021-09-06 | 2023-04-11 | 宁德时代新能源科技股份有限公司 | Battery heating device, control method and circuit thereof, and power device |
| CN115956317B (en)* | 2021-09-06 | 2024-01-05 | 宁德时代新能源科技股份有限公司 | Battery heating device and control method, control circuit and power device thereof |
| CN115489396A (en)* | 2022-10-18 | 2022-12-20 | 广汽埃安新能源汽车股份有限公司 | Thermal management system for power battery and electric vehicle |
| CN115923597A (en)* | 2022-11-02 | 2023-04-07 | 臻驱科技(上海)有限公司 | Power battery heating method and device and power battery |
| CN115882118A (en)* | 2022-11-24 | 2023-03-31 | 北京理工大学 | A battery heating system for fast cold starting in extreme cold environments |
| CN115882118B (en)* | 2022-11-24 | 2025-06-24 | 北京理工大学 | Battery heating system suitable for rapid cold start in extremely cold environment |
| Publication | Publication Date | Title |
|---|---|---|
| CN110789400A (en) | Wireless charging-heating integrated system for battery, control method and battery system | |
| CN110803069A (en) | Battery dual-circuit power supply resonant AC heating system, control method and battery system | |
| EP2413464B1 (en) | Battery heating circuit | |
| EP4398376A1 (en) | Battery system and power supply system | |
| CN217788552U (en) | Battery heating system of electric automobile and electric automobile | |
| CN111404246B (en) | Battery energy processing device, method and vehicle | |
| CN112994142B (en) | Battery equalization-alternating current heating integrated topology and control method | |
| CN102751793A (en) | Wireless power transfer system based on bilateral power flow control and control method thereof | |
| CN106961220A (en) | A kind of efficient LLC resonant converter in parallel with equal properties of flow | |
| CN104868532A (en) | Cuk chopper circuit bidirectional arm-based series storage cell pack bidirectional energy equalizer and control method thereof | |
| CN209217738U (en) | A kind of active equalization of battery device containing forward converter | |
| CN203722291U (en) | Boost type alternating current low temperature heating circuit for power battery module | |
| CN113067473B (en) | Control signal modulation circuit, inverter and control system | |
| CN203537003U (en) | Solar combination controller | |
| CN105529775A (en) | A two-way energy balancer and its control method based on Sepic and Zeta chopper circuits for double-bridge series battery packs | |
| CN105576795B (en) | Electric power super capacitor pressure-equalizing device and method based on active clamped soft switching power | |
| Zhu et al. | A compact onboard battery self-heater for all-electric aircraft applications at cold climates | |
| CN216563315U (en) | Battery heating device and vehicle | |
| CN102270773A (en) | Equalization method of low-loss large-current power battery | |
| CN108110832A (en) | A kind of battery core control circuit, battery and control method | |
| CN103532489A (en) | Solar combination controller | |
| TW201320534A (en) | Battery heating circuit | |
| CN116154362A (en) | A new energy vehicle power battery current commutation high-frequency pulse self-heating device | |
| CN109904899A (en) | A kind of active equalization of battery device containing forward converter | |
| TWI433428B (en) | Battery heating circuit |
| Date | Code | Title | Description |
|---|---|---|---|
| PB01 | Publication | ||
| PB01 | Publication | ||
| SE01 | Entry into force of request for substantive examination | ||
| SE01 | Entry into force of request for substantive examination | ||
| RJ01 | Rejection of invention patent application after publication | Application publication date:20200214 | |
| RJ01 | Rejection of invention patent application after publication |