Movatterモバイル変換


[0]ホーム

URL:


CN110784459A - Power network safety protection diagnosis system and method based on fuzzy theory - Google Patents

Power network safety protection diagnosis system and method based on fuzzy theory
Download PDF

Info

Publication number
CN110784459A
CN110784459ACN201911008234.XACN201911008234ACN110784459ACN 110784459 ACN110784459 ACN 110784459ACN 201911008234 ACN201911008234 ACN 201911008234ACN 110784459 ACN110784459 ACN 110784459A
Authority
CN
China
Prior art keywords
safety protection
monitoring system
power monitoring
network
equipment
Prior art date
Legal status (The legal status is an assumption and is not a legal conclusion. Google has not performed a legal analysis and makes no representation as to the accuracy of the status listed.)
Granted
Application number
CN201911008234.XA
Other languages
Chinese (zh)
Other versions
CN110784459B (en
Inventor
郑国军
杨鹏洁
李秀琼
Current Assignee (The listed assignees may be inaccurate. Google has not performed a legal analysis and makes no representation or warranty as to the accuracy of the list.)
Nanjing Abas Information Technology Co ltd
Original Assignee
Yunnan Hang Association Science And Technology Co Ltd
Priority date (The priority date is an assumption and is not a legal conclusion. Google has not performed a legal analysis and makes no representation as to the accuracy of the date listed.)
Filing date
Publication date
Application filed by Yunnan Hang Association Science And Technology Co LtdfiledCriticalYunnan Hang Association Science And Technology Co Ltd
Priority to CN201911008234.XApriorityCriticalpatent/CN110784459B/en
Publication of CN110784459ApublicationCriticalpatent/CN110784459A/en
Application grantedgrantedCritical
Publication of CN110784459BpublicationCriticalpatent/CN110784459B/en
Activelegal-statusCriticalCurrent
Anticipated expirationlegal-statusCritical

Links

Images

Classifications

Landscapes

Abstract

The invention provides a power network safety protection diagnosis system and method based on a fuzzy theory. Firstly, obtaining the equipment configuration strategy through field reading and network connection reading, scoring the correctness of the corresponding equipment configuration strategy according to the definition, and calculating the score of the corresponding equipment. And then, calculating the score of the equipment again according to the score of the equipment and the defined security influence weight. And finally, calculating the safety protection level value of the power monitoring system network by taking the scores of various devices as lower-layer factors. The system can provide analysis of a plurality of time sections, and is convenient for users to compare trends. The formed values are convenient for a user to intuitively feel the overall state and weak links of the security of the power monitoring system.

Description

Power network safety protection diagnosis system and method based on fuzzy theory
Technical Field
The invention belongs to the technical field of power networks, and particularly relates to a power network safety protection diagnosis system and method based on a fuzzy theory.
Background
At present, the power department in China basically forms a power monitoring system network depth protection system which takes boundary protection as a main point and consists of a plurality of defense lines. With the continuous change of network equipment carrying service, facing threat and maintenance management requirements of the power monitoring system, in order to ensure the firmness and effectiveness of a power monitoring system network system, southern power grid companies need to regularly perform internal and external evaluation work on the network security of the power monitoring systems of various companies. With the continuous deterioration of information network security situation at home and abroad, the network security protection work of the power monitoring system becomes more important, and the requirements on the network security diagnosis and analysis of the power monitoring system are increasingly urgent.
The network security protection work does not form a systematic quantitative analysis means at present, and management and professional personnel cannot quickly know the security level difference and the change degree of network equipment of the power monitoring system, so that inconvenience is brought to security defect disposal decision work; meanwhile, the network equipment of the power monitoring system has various types and strategy configuration commands, and network partitions and management machine software are difficult to be compatible with the actual conditions of equipment of various manufacturers, so that equipment safety protection strategy collection and analysis are carried out manually for a long time, an effective centralized rapid management method is lacked, and the efficiency of safety protection work development is influenced. The construction of newly-built, reconstruction and extension of various electric power monitoring systems and comprehensive automatic reconstruction projects brings certain hidden dangers to the safety protection of the electric power monitoring systems, the internal and external information network safety evaluation work is also continuously carried out, and the problems of tool shortage and low analysis efficiency are common and obvious.
Disclosure of Invention
The invention aims to provide a power network safety protection diagnosis system and method based on a fuzzy theory, which can quickly collect network equipment safety protection information in a time section, realize a network safety protection level quantitative analysis target, enable a user to quickly master the safety protection status and change of a power monitoring system network, and assist and guide the power network safety protection diagnosis of treatment work.
The invention provides the following technical scheme:
a power network safety protection diagnosis system based on a fuzzy theory comprises a power monitoring system and a diagnosis system, wherein the power monitoring system and the diagnosis system are connected and communicated in a wired or wireless mode; the equipment of the power monitoring system comprises a router, a switch, a longitudinal encryption authentication device, a transverse isolation device and a firewall; the safety protection data of the router, the switch, the longitudinal encryption authentication device, the transverse isolation device and the firewall comprise corresponding index elements.
Further, the index elements of the router and the switch include: material resource environment, patrol condition, access restriction, password encryption, BANNER information leakage, remote management, local management, network service and idle ports; the index elements of the vertical encryption authentication device comprise: tunnel configuration, system configuration, network configuration, routing configuration, policy configuration, tunnel configuration, encryption and decryption state and policy state; the index elements of the lateral isolation device include: password security, IP availability, separation of ownership, log service and port security; index elements of the firewall include: access policy, free interface, access restrictions, Root password disable, user management, and access policy.
A power network safety protection diagnosis method based on a fuzzy theory comprises the following steps:
s1, acquiring and managing safety protection data of the power monitoring system in a unit time range from the power monitoring system in a section data management mode;
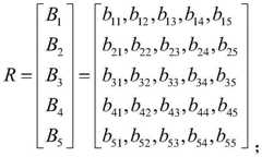
s2, setting the router, the switch, the vertical encryption authentication device, the horizontal isolation device, and the firewall in the power monitoring system as an analysis element set R { R ═ by a diagnostic system1,R2,R3,R4,R5The safety protection data comprises corresponding index elements which form various analysis element subsets Ri(i ═ 1,2,3,4,5) are: r1={r11,r12,r13,r14,r15};R2={r21,r22,r23,r24,r25};R3={r31,r32,r33,r34,r35};R4={r41,r42,r43,r44,r45};R5={r51,r52,r53,r54,r55};
S3, by analyzing each subset RiThe same index elements of the equipment are collected, and a numerical value is obtained according to a formula of searching problem number/equipment number of the type and is used as the analysis subset RiThe index element(s) of (1) corresponds to the evaluation level;
s4, processing the evaluation grades corresponding to the index elements by adopting an analytic hierarchy process, and determining the weight coefficient subsets of the index elements of each evaluation grade; wherein, selecting AiAs the calculated index element weight matrix, A is used as the index element weight matrix vector, BiFor evaluating the decision matrix, the synthesis operation is carried out by utilizing a synthesis algorithm to obtain:
Bi=Ai*Ri=[bi1,bi2,bi3,bi4,bi5],(i=1,2,3,4,5);
s5, fuzzy comprehensive judgment result B based on single index elementiAnd obtaining a comprehensive evaluation decision matrix of each analysis element subset in the analysis element collection R:
Figure BDA0002243409360000031
s6, synthesizing and calculating the weight coefficient vector A and the comprehensive evaluation decision matrix R of each subset of the whole power network B to obtain a fuzzy comprehensive evaluation result of the network safety protection level of the power monitoring system:
Figure BDA0002243409360000032
further, in S1, the section data management method includes: network direct mining: directly connecting equipment in the power monitoring system through a network cable to automatically acquire safety protection data; equipment detection, namely directly connecting equipment in the power monitoring system through a control line, and acquiring safety protection data of the equipment which cannot be connected according to management requirements on site; data import, namely, importing a supplementary mode of safety protection data from an external system in an EXCEL or data packet mode; and manually inputting, namely taking the data as an auxiliary means for importing safety protection data in a manual mode.
Further, in S3, the collecting of the same index elements includes automatic device collecting and manual evaluation entry of the power monitoring system.
The invention has the beneficial effects that:
the invention relates to a power network safety protection diagnosis system and method based on a fuzzy theory, which have the following advantages:
1. providing a power monitoring system network safety protection level evaluation method based on a fuzzy evaluation theory, forming a power monitoring system network safety protection level evaluation method based on the fuzzy evaluation theory, checking priority weights by using a consistency check method in an analytic hierarchy process through hierarchical evaluation, and finally forming a total network safety protection level evaluation model which is applied to power monitoring system network safety protection comprehensive evaluation;
2. the network security level analysis time section data of the power monitoring system can be rapidly acquired, system software can rapidly read states and security policy configuration of various power monitoring system network devices, inspection and measurement efficiency is greatly improved compared with a manual evaluation mode, and network security protection evaluation period of the power monitoring system is effectively shortened
Drawings
The accompanying drawings, which are included to provide a further understanding of the invention and are incorporated in and constitute a part of this specification, illustrate embodiments of the invention and together with the description serve to explain the principles of the invention and not to limit the invention. In the drawings:
FIG. 1 is a schematic structural view of the present invention;
FIG. 2 is a schematic diagram of the power monitoring system of the present invention;
FIG. 3 is a schematic flow diagram of the process of the present invention.
Detailed Description
As shown in fig. 1-2, a power network safety protection diagnosis system based on a fuzzy theory includes a power monitoring system and a diagnosis system, wherein the power monitoring system and the diagnosis system are connected and communicated in a wired or wireless manner; the equipment of the power monitoring system comprises a router, a switch, a longitudinal encryption authentication device, a transverse isolation device and a firewall; the safety protection data of the router, the switch, the vertical encryption authentication device, the horizontal isolation device and the firewall comprise corresponding index elements.
The index elements of the router and the switch comprise: material resource environment, patrol condition, access restriction, password encryption, BANNER information leakage, remote management, local management, network service and idle ports; the index elements of the vertical encryption authentication device comprise: tunnel configuration, system configuration, network configuration, routing configuration, policy configuration, tunnel configuration, encryption and decryption state and policy state; the index elements of the lateral isolation device include: password security, IP availability, separation of ownership, log service and port security; index elements of the firewall include: access policy, free interface, access restrictions, Root password disable, user management, and access policy.
As shown in fig. 3, a power network safety protection diagnosis method based on fuzzy theory includes the following steps:
s1, acquiring and managing safety protection data of the power monitoring system in a unit time range from the power monitoring system in a section data management mode;
the section data management mode comprises the following steps: network direct mining: the method comprises the steps that equipment in the power monitoring system is directly connected through a network cable, and safety protection data are automatically obtained; equipment detection, namely directly connecting equipment in the power monitoring system through a control line, and acquiring safety protection data of the equipment which cannot be connected according to management requirements on site; data import, namely, importing a supplementary mode of safety protection data from an external system in an EXCEL or data packet mode; and manually inputting, namely taking the data as an auxiliary means for importing safety protection data in a manual mode.
S2, setting the router in the power monitoring system through the diagnosis systemThe machine changing, the longitudinal encryption authentication device, the transverse isolation device and the firewall are taken as analysis element sets R ═ { R ═ R }1,R2,R3,R4,R5Safety protection data comprises corresponding index elements to form various analysis element subsets Ri(i ═ 1,2,3,4,5) are: r1={r11,r12,r13,r14,r15};R2={r21,r22,r23,r24,r25};R3={r31,r32,r33,r34,r35};R4={r41,r42,r43,r44,r45};R5={r51,r52,r53,r54,r55};
S3, by analyzing each subset RiThe same index elements of the equipment are collected (the same index elements are collected and comprise automatic equipment collection and manual evaluation input of the power monitoring system), a numerical value is obtained according to a retrieval problem number/equipment number formula of the type and serves as the analysis subset RiThe index element(s) of (1) corresponds to the evaluation level;
s4, processing the evaluation grades corresponding to the index elements by adopting an analytic hierarchy process, and determining the weight coefficient subsets of the index elements of each evaluation grade; wherein, selecting AiAs the calculated index element weight matrix, A is used as the index element weight matrix vector, BiFor evaluating the decision matrix, the synthesis operation is carried out by utilizing a synthesis algorithm to obtain:
Bi=Ai*Ri=[bi1,bi2,bi3,bi4,bi5],(i=1,2,3,4,5);
s5, fuzzy comprehensive judgment result B based on single index elementiAnd obtaining a comprehensive evaluation decision matrix of each analysis element subset in the analysis element collection R:
s6, synthesizing and calculating the weight coefficient vector A and the comprehensive evaluation decision matrix R of each subset of the whole power network B to obtain a fuzzy comprehensive evaluation result of the network safety protection level of the power monitoring system:
the practical application case of the embodiment is as follows:
at present, the network of the power monitoring system in Lijiang office mainly comprises a firewall, a router, a switch, a transverse isolation device and a longitudinal encryption authentication device. Therefore, the investigation and evaluation of the network safety protection level of the power monitoring system must be based on the five types of equipment. The safety protection level of the five types of equipment is represented by different elements, and each element has an index for characterizing the attribute of the element. The combination of the element indexes forms an index system for analyzing the network security protection level of the power monitoring system.
Let analysis element set R ═ { R ═ R1,R2,R3,R4,R5Safety protection data comprises corresponding index elements to form various analysis element subsets Ri(i ═ 1,2,3,4,5) are: r1={r11,r12,r13,r14,r15};R2={r21,r22,r23,r24,r25};R3={r31,r32,r33,r34,r35};R4={r41,r42,r43,r44,r45};R5={r51,r52,r53,r54,r55};
By collecting the same detection elements of each subset device, the numerical value can be obtained according to a retrieval problem number/device number formula by combining automatic collection and manual evaluation and is used as the value of the comment corresponding to the factor. Such as factor r21Corresponding toThe comments are "normal", "inform", "severe", "dangerous", and the calculated values are 0.2,0.6,0.12,0.05,0.03, then the factor evaluation result selects "inform" corresponding to 0.6. Because the factors are not of equal relative importance to the type of equipment, some indicators may affect more or more than others. Therefore, in order to measure the relative importance of each index of the lower layer to the index of the upper layer, the weight coefficient of the evaluation index needs to be determined. The invention adopts an analytic hierarchy process (AHP method), namely, a pairwise comparison logic matrix is formed for the factors, the correctness of the comparison logic is checked through consistency check, thereby scientifically determining the weight coefficient subset of each level of evaluation factor indexes, and A is selected hereiAs the calculated factor weight matrix, a is the device type weight matrix. Followed by a vector of weight coefficients A for each single factoriAnd evaluating the decision matrix BiAnd the following can be obtained by utilizing a synthesis algorithm through synthesis operation:
Bi=Ai*Ri=[bi1,bi2,bi3,bi4,bi5],(i=1,2,3,4,5);
fuzzy comprehensive evaluation result B based on single elementiA comprehensive evaluation decision matrix of each subset in R can be obtained:
Figure BDA0002243409360000081
and finally, synthesizing and calculating the weight coefficient vector A and the comprehensive evaluation decision matrix R of each subset of the whole network B to obtain a fuzzy comprehensive evaluation result of the network safety protection level of the power monitoring system:
Figure BDA0002243409360000082
the development steps of the invention are as follows: firstly, the contents of safety protection evaluation of the network equipment of the existing power monitoring system are collected and sorted, so that corresponding evaluation levels and indexes are divided, a fuzzy evaluation standard is provided based on the indexes, and a fuzzy comprehensive evaluation theoretical model of the network equipment of the power monitoring system is established. And then, inviting experts to perform weight evaluation and verification of weight consistency in the principle of the analytic hierarchy process by using professional maintenance experience according to the Delphi method. And finally, developing a network safety protection diagnosis and analysis system of the power monitoring system according to the model, and carrying out application analysis by adopting the actually acquired section data of Lijiang office.
The system classifies the equipment related to the power monitoring system network, and mainly comprises a firewall, a longitudinal encryption device, a transverse isolation device, a router, a switch and the like. Firstly, obtaining the equipment configuration strategy through field reading and network connection reading, scoring the correctness of the corresponding equipment configuration strategy according to the definition, and calculating the score of the corresponding equipment. And then, calculating the score of the equipment again according to the score of the equipment and the defined security influence weight. And finally, calculating the safety protection level value of the power monitoring system network by taking the scores of various devices as lower-layer factors. The system can provide analysis of a plurality of time sections, and is convenient for users to compare trends. The formed values are convenient for a user to intuitively feel the overall state and weak links of the security of the power monitoring system.
The main software functions are:
(1) section data management: the method is used for acquiring and managing the network safety protection data of the power monitoring system within a certain time range, and comprises four section data management modes of network direct acquisition, equipment detection, manual entry, data import and the like. The network direct acquisition means that equipment in the network is directly connected through a network cable, and the configuration and the strategy of the equipment are automatically acquired and compared with the security requirement. The equipment detection means that the equipment is directly connected through a control line, and the security information of the special equipment which cannot be connected according to the management requirement is obtained on site. Data import refers to a supplementary way of importing security information from other external systems in an EXCEL or specific data packet format. The manual entry is an auxiliary means when the security data cannot be collected or is relatively fixed through the scheme.
(2) And (3) section data analysis: the section data analysis is a calculation mode for forming a score by carrying out layered step-by-step calculation according to an index analysis strategy after safety protection data of a section power monitoring system are obtained. The security level of specific types of equipment, the security level of large types of equipment and the total security level value can be calculated, so that managers can obtain quantitative security level analysis effects.
(3) Security configuration management: the security configuration management means that an evaluation system of the system is continuously upgraded and perfected by configuring a checking strategy mode, so that the security form requirement of continuous development in the later period can be met, and the difficulty of system expansion and secondary development is reduced.
(4) Evaluation weight management: the evaluation weight management refers to that score weight is formulated according to each configuration strategy inspection invention, and scientific management is formed on the configuration weight through expert scoring, so that the evaluation is participated in the safety evaluation of the section data of the power monitoring system.
(5) And (3) report management: the report management can meet the overall situation analysis requirements of managers and the professional viewing requirements of security and protection problem disposal reinforcement personnel.
Although the present invention has been described in detail with reference to the foregoing embodiments, it will be apparent to those skilled in the art that changes may be made in the embodiments and/or equivalents thereof without departing from the spirit and scope of the invention. Any modification, equivalent replacement, or improvement made within the spirit and principle of the present invention should be included in the protection scope of the present invention.

Claims (5)

1. A power network safety protection diagnosis system based on a fuzzy theory is characterized by comprising a power monitoring system and a diagnosis system, wherein the power monitoring system and the diagnosis system are connected and communicated in a wired or wireless mode; the equipment of the power monitoring system comprises a router, a switch, a longitudinal encryption authentication device, a transverse isolation device and a firewall; the safety protection data of the router, the switch, the longitudinal encryption authentication device, the transverse isolation device and the firewall comprise corresponding index elements.
2. The power network safety protection diagnosis system based on the fuzzy theory as claimed in claim 1,
the metrics elements of the router and the switch include: material resource environment, patrol condition, access restriction, password encryption, BANNER information leakage, remote management, local management, network service and idle ports;
the index elements of the vertical encryption authentication device comprise: tunnel configuration, system configuration, network configuration, routing configuration, policy configuration, tunnel configuration, encryption and decryption state and policy state;
the index elements of the lateral isolation device include: password security, IP availability, separation of ownership, log service and port security;
index elements of the firewall include: access policy, free interface, access restrictions, Root password disable, user management, and access policy.
3. A power network safety protection diagnosis method based on a fuzzy theory is characterized by comprising the following steps:
s1, acquiring and managing safety protection data of the power monitoring system in a unit time range from the power monitoring system in a section data management mode;
s2, setting the router, the switch, the vertical encryption authentication device, the horizontal isolation device, and the firewall in the power monitoring system as an analysis element set R { R ═ by a diagnostic system1,R2,R3,R4,R5The safety protection data comprises corresponding index elements which form various analysis element subsets Ri(i ═ 1,2,3,4,5) are: r1={r11,r12,r13,r14,r15};R2={r21,r22,r23,r24,r25};R3={r31,r32,r33,r34,r35};R4={r41,r42,r43,r44,r45};R5={r51,r52,r53,r54,r55};
S3, by analyzing each subset RiThe same index elements of the equipment are collected, and a numerical value is obtained according to a formula of searching problem number/equipment number of the type and is used as the analysis subset RiThe index element(s) of (1) corresponds to the evaluation level;
s4, processing the evaluation grades corresponding to the index elements by adopting an analytic hierarchy process, and determining the weight coefficient subsets of the index elements of each evaluation grade; wherein, selecting AiAs the calculated index element weight matrix, A is used as the index element weight matrix vector, BiFor evaluating the decision matrix, the synthesis operation is carried out by utilizing a synthesis algorithm to obtain:
Bi=Ai*Ri=[bi1,bi2,bi3,bi4,bi5],(i=1,2,3,4,5);
s5, fuzzy comprehensive judgment result B based on single index elementiAnd obtaining a comprehensive evaluation decision matrix of each analysis element subset in the analysis element collection R:
Figure FDA0002243409350000021
s6, synthesizing and calculating the weight coefficient vector A and the comprehensive evaluation decision matrix R of each subset of the whole power network B to obtain a fuzzy comprehensive evaluation result of the network safety protection level of the power monitoring system:
4. the method according to claim 3, wherein in step S1, the section data management method includes:
network direct mining: directly connecting equipment in the power monitoring system through a network cable to automatically acquire safety protection data;
equipment detection, namely directly connecting equipment in the power monitoring system through a control line, and acquiring safety protection data of the equipment which cannot be connected according to management requirements on site;
data import, namely, importing a supplementary mode of safety protection data from an external system in an EXCEL or data packet mode;
and manually inputting, namely taking the data as an auxiliary means for importing safety protection data in a manual mode.
5. The fuzzy theory-based power network safety protection diagnosis method as claimed in claim 3, wherein in the step S3, the collecting of the same index elements includes automatic device collecting and manual evaluation entering of the power monitoring system.
CN201911008234.XA2019-10-222019-10-22Power network safety protection diagnosis system and method based on fuzzy theoryActiveCN110784459B (en)

Priority Applications (1)

Application NumberPriority DateFiling DateTitle
CN201911008234.XACN110784459B (en)2019-10-222019-10-22Power network safety protection diagnosis system and method based on fuzzy theory

Applications Claiming Priority (1)

Application NumberPriority DateFiling DateTitle
CN201911008234.XACN110784459B (en)2019-10-222019-10-22Power network safety protection diagnosis system and method based on fuzzy theory

Publications (2)

Publication NumberPublication Date
CN110784459Atrue CN110784459A (en)2020-02-11
CN110784459B CN110784459B (en)2021-10-26

Family

ID=69386336

Family Applications (1)

Application NumberTitlePriority DateFiling Date
CN201911008234.XAActiveCN110784459B (en)2019-10-222019-10-22Power network safety protection diagnosis system and method based on fuzzy theory

Country Status (1)

CountryLink
CN (1)CN110784459B (en)

Cited By (3)

* Cited by examiner, † Cited by third party
Publication numberPriority datePublication dateAssigneeTitle
CN113570243A (en)*2021-07-272021-10-29广东电网有限责任公司 A security protection method, device and storage medium for a power monitoring system
CN113783837A (en)*2021-08-032021-12-10国网福建省电力有限公司检修分公司Self-adaptive transformer substation longitudinal encryption host verification method and terminal
CN117155607A (en)*2023-08-022023-12-01南京信同诚信息技术有限公司 Virtualization-based lateral movement isolation method and system

Citations (9)

* Cited by examiner, † Cited by third party
Publication numberPriority datePublication dateAssigneeTitle
US20060031476A1 (en)*2004-08-052006-02-09Mathes Marvin LApparatus and method for remotely monitoring a computer network
CN103631234A (en)*2013-12-062014-03-12云南电网公司大理供电局Intelligent optimization scheduling method of cascade hydroelectric centralized control station automation system
CN103793859A (en)*2014-02-212014-05-14北京科诺伟业科技股份有限公司Wind power plant running monitoring and event comprehensive evaluation method
CN207425055U (en)*2017-11-102018-05-29云南恒协科技有限公司A kind of computer room video monitoring alarm device
CN208046653U (en)*2018-01-242018-11-02鼎信信息科技有限责任公司A kind of electric power monitoring system network security monitoring main website plateform system
US20180337836A1 (en)*2011-11-072018-11-22Netflow Logic CorporationMethod and system for confident anomaly detection in computer network traffic
CN109784628A (en)*2018-12-122019-05-21深圳供电局有限公司Fuzzy comprehensive evaluation method for safety of data warehouse of power system
CN109858843A (en)*2019-04-102019-06-07国网新疆电力有限公司经济技术研究院A kind of power distribution network investment decision evaluation method
CN109922073A (en)*2019-03-192019-06-21中国南方电网有限责任公司Network security monitoring device, method and system

Patent Citations (9)

* Cited by examiner, † Cited by third party
Publication numberPriority datePublication dateAssigneeTitle
US20060031476A1 (en)*2004-08-052006-02-09Mathes Marvin LApparatus and method for remotely monitoring a computer network
US20180337836A1 (en)*2011-11-072018-11-22Netflow Logic CorporationMethod and system for confident anomaly detection in computer network traffic
CN103631234A (en)*2013-12-062014-03-12云南电网公司大理供电局Intelligent optimization scheduling method of cascade hydroelectric centralized control station automation system
CN103793859A (en)*2014-02-212014-05-14北京科诺伟业科技股份有限公司Wind power plant running monitoring and event comprehensive evaluation method
CN207425055U (en)*2017-11-102018-05-29云南恒协科技有限公司A kind of computer room video monitoring alarm device
CN208046653U (en)*2018-01-242018-11-02鼎信信息科技有限责任公司A kind of electric power monitoring system network security monitoring main website plateform system
CN109784628A (en)*2018-12-122019-05-21深圳供电局有限公司Fuzzy comprehensive evaluation method for safety of data warehouse of power system
CN109922073A (en)*2019-03-192019-06-21中国南方电网有限责任公司Network security monitoring device, method and system
CN109858843A (en)*2019-04-102019-06-07国网新疆电力有限公司经济技术研究院A kind of power distribution network investment decision evaluation method

Cited By (3)

* Cited by examiner, † Cited by third party
Publication numberPriority datePublication dateAssigneeTitle
CN113570243A (en)*2021-07-272021-10-29广东电网有限责任公司 A security protection method, device and storage medium for a power monitoring system
CN113783837A (en)*2021-08-032021-12-10国网福建省电力有限公司检修分公司Self-adaptive transformer substation longitudinal encryption host verification method and terminal
CN117155607A (en)*2023-08-022023-12-01南京信同诚信息技术有限公司 Virtualization-based lateral movement isolation method and system

Also Published As

Publication numberPublication date
CN110784459B (en)2021-10-26

Similar Documents

PublicationPublication DateTitle
CN112114579B (en) A security measurement method for industrial control systems based on attack graph
CN110784459B (en)Power network safety protection diagnosis system and method based on fuzzy theory
CN105512448B (en)A kind of appraisal procedure of power distribution network health index
CN115833400A (en)Monitoring and early warning method and system for power equipment of transformer substation
CN109934447A (en) A Fuzzy Comprehensive Evaluation Method for the Efficiency of Secondary Equipment in Smart Substations
CN111444169A (en)Transformer substation electrical equipment state monitoring and diagnosis system and method
CN107066500B (en)Power grid mass data quality verification method based on PMS model
CN117764422A (en)Intelligent energy-saving operation and maintenance management cloud platform
CN109034400A (en)A kind of substation's exception metric data predicting platform system
CN110853744A (en)Hospital quality control management system under big data
CN117375234B (en)Automatic acceptance method and system for monitoring information of transformer substation
CN116485159B (en) A centralized management method for work orders in power supply systems
CN119211000A (en) A power communication network fault prediction and diagnosis system
CN115907542B (en)Knowledge graph-based substation secondary equipment digital evaluation method and system
CN118889666A (en) Distribution network line connection switch multi-source data management method and system
CN118446528B (en) A system and device for power safety evaluation
CN118780820A (en) An energy management method for green power tracing
CN114862267A (en)Evaluation method and system of oil and gas pipeline alarm management system
CN108876146A (en)A kind of electric network data class assets management method and system
WO2019140553A1 (en)Method and device for determining health index of power distribution system and computer storage medium
CN118018251A (en)Privacy protection system based on content privacy and user security classification
CN110298585B (en)Hierarchical automatic auditing method for monitoring information of substation equipment
CN114971397A (en)Method and system for evaluating operation health degree of operation and maintenance full link of metering automation system
CN103186821A (en)Troubleshooting and early warning management system for potential safety hazards of engineering project
CN207910794U (en)A kind of operation managing and control system suitable for electric grid secondary equipment

Legal Events

DateCodeTitleDescription
PB01Publication
PB01Publication
SE01Entry into force of request for substantive examination
SE01Entry into force of request for substantive examination
GR01Patent grant
GR01Patent grant
TR01Transfer of patent right

Effective date of registration:20220602

Address after:Room 3513, building 1, 99 Yulan Road, Yuhuatai District, Nanjing City, Jiangsu Province, 210012

Patentee after:Nanjing Shengxiang Electric Automation Co.,Ltd.

Address before:650000 no.1-401, building 21, phase III, international garden, high tech Zone, Kunming City, Yunnan Province

Patentee before:YUNNAN HENGXIE SCIENCE AND TECHNOLOGY CO.,LTD.

TR01Transfer of patent right
TR01Transfer of patent right

Effective date of registration:20230105

Address after:210000 floors 1-5, building 01, Xincheng science and technology building, No. 69, Aoti street, Jianye District, Nanjing, Jiangsu Province

Patentee after:Nanjing Abas Information Technology Co.,Ltd.

Address before:Room 3513, building 1, 99 Yulan Road, Yuhuatai District, Nanjing City, Jiangsu Province, 210012

Patentee before:Nanjing Shengxiang Electric Automation Co.,Ltd.

TR01Transfer of patent right

[8]ページ先頭

©2009-2025 Movatter.jp