Movatterモバイル変換


[0]ホーム

URL:


CN110779491A - Method, device and equipment for measuring distance of target on horizontal plane and storage medium - Google Patents

Method, device and equipment for measuring distance of target on horizontal plane and storage medium
Download PDF

Info

Publication number
CN110779491A
CN110779491ACN201910949411.8ACN201910949411ACN110779491ACN 110779491 ACN110779491 ACN 110779491ACN 201910949411 ACN201910949411 ACN 201910949411ACN 110779491 ACN110779491 ACN 110779491A
Authority
CN
China
Prior art keywords
monocular camera
target
horizontal plane
telescopic bracket
image
Prior art date
Legal status (The legal status is an assumption and is not a legal conclusion. Google has not performed a legal analysis and makes no representation as to the accuracy of the status listed.)
Pending
Application number
CN201910949411.8A
Other languages
Chinese (zh)
Inventor
高发钦
Current Assignee (The listed assignees may be inaccurate. Google has not performed a legal analysis and makes no representation or warranty as to the accuracy of the list.)
Suzhou Wave Intelligent Technology Co Ltd
Original Assignee
Suzhou Wave Intelligent Technology Co Ltd
Priority date (The priority date is an assumption and is not a legal conclusion. Google has not performed a legal analysis and makes no representation as to the accuracy of the date listed.)
Filing date
Publication date
Application filed by Suzhou Wave Intelligent Technology Co LtdfiledCriticalSuzhou Wave Intelligent Technology Co Ltd
Priority to CN201910949411.8ApriorityCriticalpatent/CN110779491A/en
Publication of CN110779491ApublicationCriticalpatent/CN110779491A/en
Pendinglegal-statusCriticalCurrent

Links

Images

Classifications

Landscapes

Abstract

The application discloses a method, a device, equipment and a storage medium for measuring distance of a target on a horizontal plane, wherein the method comprises the following steps: calibrating parameters of the monocular camera to obtain internal parameters of the monocular camera; calibrating the rotation angle scale of the monocular camera; acquiring an image of a target through a monocular camera, and acquiring an image coordinate of the target in the acquired image; reading the current included angle between the optical axis of the monocular camera and a telescopic bracket for fixing the monocular camera through the calibrated rotation angle scale, and simultaneously reading the current height of the telescopic bracket; and calculating the position of the target on the horizontal plane according to the acquired internal parameters and image coordinates, the read current height and the read current included angle. The method provided by the application is simple and easy to implement, low in cost, wide in ranging range, free of matching of corresponding points of the left camera and the right camera, and high in application value.

Description

Method, device and equipment for measuring distance of target on horizontal plane and storage medium
Technical Field
The invention relates to the technical field of vision measurement, in particular to a method, a device, equipment and a storage medium for measuring distance of a target on a horizontal plane.
Background
In the actual production process of people or when the external environment is sensed by a robot, the position or the distance of a specific target in a space needs to be acquired. Many times, the target to be measured needs to be measured in a non-contact measurement mode because the target cannot be measured in a direct contact mode, and ultrasonic ranging, laser radar ranging and visual ranging are commonly used. The ultrasonic ranging is low in resolution and low in speed, and the reflecting surface is a plane, so that the applicable scenes are few. The laser radar has higher cost, and cannot work in rainy days, thick fog days and other weather. The vision ranging has the advantages of high resolution, wide applicable scene, strong real-time property, low cost and the like, and the traditional binocular stereo vision exists, but the positioning of the binocular camera needs the matching of corresponding points of images collected by two cameras and needs the calibration of external parameters. The distance between the measured target and the distance between the binocular cameras cannot be greatly different, otherwise, the distance measurement precision is affected, and after the base line distance of the binocular cameras is determined, the distance measurement range is fixed. The image collected by a single camera cannot recover the depth information of the target, and the actual size of the measurement target needs to be known to measure the distance information.
Therefore, how to simplify the spatial distance measurement method, reduce the cost, and increase the distance measurement range is a technical problem to be solved urgently by those skilled in the art.
Disclosure of Invention
In view of the above, the present invention provides a method, an apparatus, a device and a storage medium for measuring a distance of an object on a horizontal plane, wherein the method is simple and easy to implement, low in cost, and wide in distance measurement range, and does not require matching of corresponding points of left and right cameras. The specific scheme is as follows:
a method of range finding an object in a horizontal plane, comprising:
calibrating parameters of a monocular camera to obtain internal parameters of the monocular camera;
calibrating the rotation angle scale of the monocular camera;
acquiring an image of a target through the monocular camera, and acquiring an image coordinate of the target in the acquired image;
reading a current included angle between the optical axis of the monocular camera and a telescopic bracket for fixing the monocular camera through the calibrated rotation angle scale, and simultaneously reading the current height of the telescopic bracket;
and calculating the position of the target on the horizontal plane according to the acquired internal parameters and the image coordinates, and the read current height and the current included angle.
Preferably, in the method for measuring a distance to a target on a horizontal plane provided in the embodiment of the present invention, calibrating parameters of the monocular camera specifically includes:
and calibrating the parameters of the monocular camera by adopting a Zhangyingyou chessboard pattern calibration method.
Preferably, in the above method for ranging a target on a horizontal plane, the internal parameters include an optical center pixel coordinate of an imaging plane, and focal length in pixels in x and y directions of the imaging plane, respectively.
Preferably, in the method for measuring a distance to a target on a horizontal plane provided in the embodiment of the present invention, calibrating the rotation angle scale of the monocular camera specifically includes:
adjusting a telescopic bracket for fixing the monocular camera to the lowest height;
rotating the included angle between the optical axis of the monocular camera and the telescopic bracket to the maximum angle;
moving the position of a calibration object on a horizontal plane until the image coordinate of the calibration object is located at the optical center pixel coordinate, and measuring the distance between the calibration object and a horizontal base for fixing the telescopic bracket;
calculating the maximum angle value of the included angle according to the lowest height of the telescopic bracket and the distance obtained by measurement;
and averaging the calculated maximum angle value, and marking the angle of each scale after averaging.
Preferably, in the above method for measuring a distance to an object on a horizontal plane provided in the embodiment of the present invention, before calculating a position of the object on the horizontal plane, the method further includes:
and establishing an O-XYZ space coordinate system, taking a fixed point of the horizontal base and the telescopic support as an origin, taking the telescopic support as a Z axis, taking the horizontal plane as a plane where an X axis and a Y axis are located, and taking the optical axis of the monocular camera to pass through the X axis, wherein the position coordinate of the target on the horizontal plane is (X, Y).
Preferably, in the above method for measuring distance of an object on a horizontal plane provided by the embodiment of the present invention, the position coordinates of the object on the horizontal plane are calculated by using the following formula: :
Figure BDA0002225288970000031
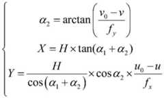
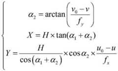
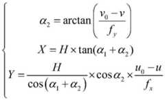
wherein (X, Y) represents the position coordinates of the object on the horizontal plane α1Representing the current included angle between the optical axis of the monocular camera and the telescopic bracket, H representing the current height of the telescopic bracket, α2Representing the included angle between the connecting line of the projection point of the target on the X axis and the optical center and the optical axis of the monocular camera; (u, v) represents the image coordinates; (u)0,v0) Representing the optical center pixel coordinates; f. ofxRepresents the focal length in pixels in the x-direction of the imaging plane; f. ofyDenotes the focal length in pixels in the y-direction of the imaging plane.
The embodiment of the invention also provides a device for measuring the distance of the target on the horizontal plane, which comprises: the device comprises a horizontal base, a telescopic bracket which is fixed on the horizontal base and adjustable in height, and a monocular camera which is fixed at the top end of the telescopic bracket and adjustable in pitching angle and is used for acquiring an image of a target; further comprising:
the parameter calibration module is used for calibrating the parameters of the monocular camera to acquire the internal parameters of the monocular camera;
the angle calibration module is used for calibrating the rotation angle scale of the monocular camera;
the coordinate acquisition module is used for acquiring the image coordinates of the target in the acquired image;
the data reading module is used for reading the current included angle between the optical axis of the monocular camera and the telescopic bracket through the calibrated rotating angle scale and reading the current height of the telescopic bracket;
and the position calculation module is used for calculating the position of the target on a horizontal plane according to the acquired internal parameters and the image coordinates, and the read current height and the current included angle.
Preferably, in the above device for measuring a distance to a target on a horizontal plane provided in an embodiment of the present invention, the device further includes:
and the coordinate system establishing module is used for establishing an O-XYZ space coordinate system, the fixed point of the horizontal base and the telescopic support is taken as an origin, the telescopic support is a Z axis, the horizontal plane is a plane where an X axis and a Y axis are located, and the optical axis of the monocular camera passes through the X axis, so that the position coordinate of the target on the horizontal plane is (X, Y).
The embodiment of the present invention further provides an apparatus for measuring a distance to a target on a horizontal plane, which includes a processor and a memory, where the processor implements the method for measuring a distance to a target on a horizontal plane, provided by the embodiment of the present invention, when executing a computer program stored in the memory.
Embodiments of the present invention further provide a computer-readable storage medium for storing a computer program, where the computer program is executed by a processor to implement the above method for ranging a target on a horizontal plane according to an embodiment of the present invention.
It can be seen from the above technical solutions that, the method, apparatus, device and storage medium for measuring distance of an object on a horizontal plane provided by the present invention include: calibrating parameters of the monocular camera to obtain internal parameters of the monocular camera; calibrating the rotation angle scale of the monocular camera; acquiring an image of a target through a monocular camera, and acquiring an image coordinate of the target in the acquired image; reading the current included angle between the optical axis of the monocular camera and a telescopic bracket for fixing the monocular camera through the calibrated rotation angle scale, and simultaneously reading the current height of the telescopic bracket; and calculating the position of the target on the horizontal plane according to the acquired internal parameters and image coordinates, the read current height and the read current included angle.
The method provided by the application is based on the monocular camera, the internal parameters of the monocular camera are obtained through calibration, the rotation angle scale of the monocular camera is calibrated, the monocular camera is used for collecting a target image, the spatial position of the target on a horizontal plane is calculated according to the image coordinate of the target image, the height of the telescopic support and the pitching angle of the optical axis of the monocular camera can be adjusted according to the image coordinate of the target, the operation is simple and easy to implement, the cost is low, the distance measurement range is wide, the algorithm is simple, the implementation is strong, non-contact measurement is achieved, corresponding points of the left camera and the right camera are not required to be matched, and the method has.
Drawings
In order to more clearly illustrate the embodiments of the present invention or the technical solutions in the prior art, the drawings used in the description of the embodiments or the prior art will be briefly described below, it is obvious that the drawings in the following description are only embodiments of the present invention, and for those skilled in the art, other drawings can be obtained according to the provided drawings without creative efforts.
Fig. 1 is a flowchart of a method for measuring a distance to a target on a horizontal plane according to an embodiment of the present invention;
FIG. 2 is a schematic view of an imaging model of a monocular camera according to an embodiment of the present invention;
fig. 3 is a schematic structural diagram of an apparatus corresponding to step S102 in a method for performing range finding of an object on a horizontal plane according to an embodiment of the present invention;
fig. 4 is a schematic structural diagram of a device corresponding to steps S103 to S105 in the method for performing range finding of an object on a horizontal plane according to an embodiment of the present invention.
Detailed Description
The technical solutions in the embodiments of the present invention will be clearly and completely described below with reference to the drawings in the embodiments of the present invention, and it is obvious that the described embodiments are only a part of the embodiments of the present invention, and not all of the embodiments. All other embodiments, which can be derived by a person skilled in the art from the embodiments given herein without making any creative effort, shall fall within the protection scope of the present invention.
The invention provides a method for measuring distance of a target on a horizontal plane, which comprises the following steps as shown in figure 1:
s101, calibrating parameters of the monocular camera to obtain internal parameters of the monocular camera;
it should be understood that the intrinsic parameters obtained in this step are used to provide the basis for calculating the spatial position of the target on the horizontal plane;
s102, calibrating the rotation angle scale of the monocular camera;
in the invention, the included angle between the optical axis of the monocular camera and the telescopic bracket for fixing the monocular camera (namely, the pitching angle of the optical axis of the monocular camera) can be adjusted, and the rotation angle scale of the monocular camera is calibrated and marked, so that the adjusted included angle value between the optical axis and the telescopic bracket can be conveniently read later, and a basis is provided for calculating the spatial position of a target on a horizontal plane;
s103, acquiring an image of the target through a monocular camera, and acquiring an image coordinate of the target in the acquired image;
in the process of executing the step, the height of a telescopic bracket for fixing the monocular camera and the angle between the optical axis of the monocular camera and the telescopic bracket need to be adjusted until an image of a target can be acquired;
s104, reading a current included angle between the optical axis of the monocular camera and a telescopic bracket for fixing the monocular camera through the calibrated rotation angle scale, and simultaneously reading the current height of the telescopic bracket;
and S105, calculating the position of the target on the horizontal plane according to the acquired internal parameters and image coordinates, the read current height and the read current included angle.
In the method for measuring the distance of the target on the horizontal plane provided by the embodiment of the invention, firstly, parameter calibration is carried out on a monocular camera to obtain internal parameters of the monocular camera; then calibrating the rotation angle scale of the monocular camera; then, acquiring an image of the target through a monocular camera, and acquiring an image coordinate of the target in the acquired image; then, reading the current included angle between the optical axis of the monocular camera and the telescopic bracket through the calibrated rotation angle scale, and simultaneously reading the current height of the telescopic bracket; and finally, calculating the position of the target on the horizontal plane according to the acquired internal parameters and image coordinates, the read current height and the read current included angle. The space position of the target on the horizontal plane can be obtained through the steps, the whole operation is simple and easy to implement, the cost is low, the range measurement range is wide, corresponding points of the left camera and the right camera are not required to be matched, and the method has high application value.
In a specific implementation, in the method for measuring a distance to a target on a horizontal plane provided in the embodiment of the present invention, the step S101 performs parameter calibration on the monocular camera, which may specifically include: and (5) calibrating parameters of the monocular camera by adopting a Zhangyingyou chessboard pattern calibration method. As shown in FIG. 2, the intrinsic parameter includes the optical center pixel coordinate O of the imaging plane xy1(u0,v0) And focal length f in pixels in the x-direction and y-direction of the imaging plane, respectivelyx、fy. O in FIG. 2c-XcYcZcCamera coordinate system for monocular camera, OcIs the optical center of the camera, as the origin of the camera coordinate system, P is the image coordinates of the object in the image, P is the coordinates of the object in the camera coordinate system,is targeted relative to ZcAxis in XcOZcDeclination on a plane.
In a specific implementation, in the method for measuring a distance to a target on a horizontal plane provided in the embodiment of the present invention, the step S102 may calibrate a rotation angle scale of the monocular camera, and specifically include: as shown in fig. 3, thetelescopic bracket 2 for fixing the monocular camera 1 is adjusted to the lowest height h; rotating the included angle between the optical axis of the monocular camera 1 and thetelescopic bracket 2 to the maximum angle; the position of thecalibration object 4 is moved on the horizontal plane until the image coordinates of thecalibration object 4 are located at the optical center pixel coordinates (u)0,v0) During the process, measuring the distance l between thecalibration object 4 and thehorizontal base 3 for fixing thetelescopic bracket 2; according to the minimum height h of thetelescopic bracket 2 and the measured distance l, the monocular camera 1 is calculatedThe maximum angle value of the included angle between the optical axis and thetelescopic bracket 2; and (4) averaging the calculated maximum angle value, and marking the angle of each scale after averaging.
Specifically, the following formula can be adopted to calculate the maximum angle value of the included angle between the optical axis of the monocular camera 1 and the telescopic bracket 2:
Figure BDA0002225288970000061
wherein α represents the biggest angle of the contained angle between monocular camera optical axis and the telescopic bracket, l represents the distance between calibration object and the horizontal base, and h represents the minimum height of telescopic bracket.
The calculated maximum angle α is divided equally into n parts, and the angle of each scale is equal to
Figure BDA0002225288970000071
Further, in the above method for measuring a distance to a target on a horizontal plane according to the embodiment of the present invention, in the step S103, acquiring an image of the target by using a monocular camera, and acquiring image coordinates of the target in the acquired image, specifically, as shown in fig. 4, adjusting the height of thetelescopic bracket 2 to be H, and adjusting the included angle between the optical axis of the monocular camera 1 and the telescopic bracket to α1The monocular camera 1 is enabled to capture an image of the target, and the image coordinates (u, v) of the target in the image are recognized.
Further, in practical implementation, in the above method for measuring a distance to a target on a horizontal plane provided in the embodiment of the present invention, before the step S105 is executed to calculate the position of the target on the horizontal plane, as shown in fig. 4, the method further includes:
and establishing an O-XYZ space coordinate system, wherein a fixed point of the horizontal base and the telescopic support is taken as an original point, the telescopic support is a Z axis, the horizontal plane is a plane where an X axis and a Y axis are located, and the optical axis of the monocular camera passes through the X axis, so that the position coordinate of the target on the horizontal plane is (X, Y).
Next, when step S105 is executed, the position coordinates of the object on the horizontal plane are calculated using the following formula:
Figure BDA0002225288970000072
wherein (X, Y) represents the position coordinates of the object on the horizontal plane α1Representing the current angle between the monocular camera's optical axis and the telescopic support, H representing the current height of the telescopic support, α2The included angle between the connecting line of the projection point of the target on the X axis and the optical center and the optical axis of the monocular camera is represented; (u, v) represents image coordinates; (u)0,v0) Representing optical center pixel coordinates; f. ofxRepresents the focal length in pixels in the x-direction of the imaging plane; f. ofyDenotes the focal length in pixels in the y-direction of the imaging plane.
It should be noted that α2The derivation of Y is as follows:
Figure BDA0002225288970000073
Figure BDA0002225288970000074
the spatial position of the target on the horizontal plane can be calculated by the formula, the algorithm is simple, the realization performance is strong, non-contact measurement is realized, and the target which cannot be reached can be measured.
Based on the same inventive concept, the embodiment of the present invention further provides a device for measuring a distance to a target on a horizontal plane, and since the principle of the device for measuring a distance to a target on a horizontal plane to solve the problem is similar to the above method for measuring a distance to a target on a horizontal plane, the implementation of the device for measuring a distance to a target on a horizontal plane can refer to the implementation of the method for measuring a distance to a target on a horizontal plane, and repeated details are omitted.
In specific implementation, the device for measuring a distance to a target on a horizontal plane according to the embodiment of the present invention, as shown in fig. 4, includes: the device comprises ahorizontal base 3, atelescopic bracket 2 which is fixed on thehorizontal base 3 and is adjustable in height, and a monocular camera 1 which is fixed at the top end of thetelescopic bracket 2 and is adjustable in pitching angle and used for collecting images of a target; further comprising:
the parameter calibration module is used for calibrating parameters of the monocular camera 1 to obtain internal parameters of the monocular camera 1;
the angle calibration module is used for calibrating the rotation angle scale of the monocular camera 1;
the coordinate acquisition module is used for acquiring image coordinates of the target in the acquired image;
the data reading module is used for reading the current included angle between the optical axis of the monocular camera 1 and thetelescopic bracket 2 through the calibrated rotating angle scale and simultaneously reading the current height of thetelescopic bracket 2;
and the position calculation module is used for calculating the position of the target on the horizontal plane according to the acquired internal parameters and image coordinates, the read current height and the read current included angle.
In the device for measuring the distance of the target on the horizontal plane provided by the embodiment of the invention, the position of the target on the horizontal plane can be calculated through the interaction of the components, and the device is simple to operate, low in cost and high in application value.
For more specific working processes of the modules, reference may be made to corresponding contents disclosed in the foregoing embodiments, and details are not repeated here.
Correspondingly, the embodiment of the invention also discloses a device for measuring the distance of the target on the horizontal plane, which comprises a processor and a memory; wherein the processor, when executing the computer program stored in the memory, implements the method for target ranging on a horizontal plane as disclosed in the foregoing embodiments.
For more specific processes of the above method, reference may be made to corresponding contents disclosed in the foregoing embodiments, and details are not repeated here.
Further, the present invention also discloses a computer readable storage medium for storing a computer program; the computer program when executed by a processor implements the method for range finding of an object in a horizontal plane as disclosed above.
For more specific processes of the above method, reference may be made to corresponding contents disclosed in the foregoing embodiments, and details are not repeated here.
The embodiments are described in a progressive manner, each embodiment focuses on differences from other embodiments, and the same or similar parts among the embodiments are referred to each other. The device, the equipment and the storage medium disclosed by the embodiment correspond to the method disclosed by the embodiment, so that the description is relatively simple, and the relevant points can be referred to the method part for description.
Those of skill would further appreciate that the various illustrative elements and algorithm steps described in connection with the embodiments disclosed herein may be implemented as electronic hardware, computer software, or combinations of both, and that the various illustrative components and steps have been described above generally in terms of their functionality in order to clearly illustrate this interchangeability of hardware and software. Whether such functionality is implemented as hardware or software depends upon the particular application and design constraints imposed on the implementation. Skilled artisans may implement the described functionality in varying ways for each particular application, but such implementation decisions should not be interpreted as causing a departure from the scope of the present application.
The steps of a method or algorithm described in connection with the embodiments disclosed herein may be embodied directly in hardware, in a software module executed by a processor, or in a combination of the two. A software module may reside in Random Access Memory (RAM), memory, Read Only Memory (ROM), electrically programmable ROM, electrically erasable programmable ROM, registers, hard disk, a removable disk, a CD-ROM, or any other form of storage medium known in the art.
The embodiment of the invention provides a method, a device, equipment and a storage medium for measuring distance of a target on a horizontal plane, wherein the method comprises the following steps: calibrating parameters of the monocular camera to obtain internal parameters of the monocular camera; calibrating the rotation angle scale of the monocular camera; acquiring an image of a target through a monocular camera, and acquiring an image coordinate of the target in the acquired image; reading the current included angle between the optical axis of the monocular camera and the telescopic bracket for fixing the monocular camera through the calibrated rotation angle scale, and simultaneously reading the current height of the telescopic bracket for fixing the monocular camera; and calculating the position of the target on the horizontal plane according to the acquired internal parameters and image coordinates, the read current height and the read current included angle. The method provided by the invention has the advantages of simple and easy operation, low cost, wide range of distance measurement, simple algorithm, strong realizability, non-contact measurement, no need of matching corresponding points of a left camera and a right camera, and very high application value.
Finally, it is further noted that, herein, relational terms are used solely to distinguish one entity or action from another entity or action without necessarily requiring or implying any actual such relationship or order between such entities or actions. Also, the terms "comprises," "comprising," or any other variation thereof, are intended to cover a non-exclusive inclusion, such that a process, method, article, or apparatus that comprises a list of elements does not include only those elements but may include other elements not expressly listed or inherent to such process, method, article, or apparatus. Without further limitation, an element defined by the phrase "comprising an … …" does not exclude the presence of other identical elements in a process, method, article, or apparatus that comprises the element.
The method, apparatus, device and storage medium for measuring distance of an object on a horizontal plane provided by the present invention are described in detail above, and a specific example is applied in the present disclosure to explain the principle and the implementation of the present invention, and the description of the above embodiment is only used to help understanding the method and the core idea of the present invention; meanwhile, for a person skilled in the art, according to the idea of the present invention, there may be variations in the specific embodiments and the application scope, and in summary, the content of the present specification should not be construed as a limitation to the present invention.

Claims (10)

1. A method for ranging a target on a horizontal surface, comprising:
calibrating parameters of a monocular camera to obtain internal parameters of the monocular camera;
calibrating the rotation angle scale of the monocular camera;
acquiring an image of a target through the monocular camera, and acquiring an image coordinate of the target in the acquired image;
reading a current included angle between the optical axis of the monocular camera and a telescopic bracket for fixing the monocular camera through the calibrated rotation angle scale, and simultaneously reading the current height of the telescopic bracket;
and calculating the position of the target on the horizontal plane according to the acquired internal parameters and the image coordinates, and the read current height and the current included angle.
2. A method for ranging a target on a horizontal plane as claimed in claim 1, wherein the parameter calibration of the monocular camera specifically comprises:
and calibrating the parameters of the monocular camera by adopting a Zhangyingyou chessboard pattern calibration method.
3. A method of target ranging on a horizontal plane as claimed in claim 2 wherein the intrinsic parameters include optical center pixel coordinates of the imaging plane and focal length in pixels in x-direction and y-direction of the imaging plane respectively.
4. A method for ranging a target on a horizontal plane as claimed in claim 3, wherein calibrating the rotation angle scale of the monocular camera comprises:
adjusting a telescopic bracket for fixing the monocular camera to the lowest height;
rotating the included angle between the optical axis of the monocular camera and the telescopic bracket to the maximum angle;
moving the position of a calibration object on a horizontal plane until the image coordinate of the calibration object is located at the optical center pixel coordinate, and measuring the distance between the calibration object and a horizontal base for fixing the telescopic bracket;
calculating the maximum angle value of the included angle according to the lowest height of the telescopic bracket and the distance obtained by measurement;
and averaging the calculated maximum angle value, and marking the angle of each scale after averaging.
5. The method of claim 4, further comprising, prior to calculating the position of the target on the horizontal plane:
and establishing an O-XYZ space coordinate system, taking a fixed point of the horizontal base and the telescopic support as an origin, taking the telescopic support as a Z axis, taking the horizontal plane as a plane where an X axis and a Y axis are located, and taking the optical axis of the monocular camera to pass through the X axis, wherein the position coordinate of the target on the horizontal plane is (X, Y).
6. A method for ranging an object on a horizontal plane according to claim 5, wherein the position coordinates of the object on the horizontal plane are calculated by using the following formula:
Figure FDA0002225288960000021
wherein (X, Y) represents the position coordinates of the object on the horizontal plane α1Representing the current included angle between the optical axis of the monocular camera and the telescopic bracket, H representing the current height of the telescopic bracket, α2Representing the included angle between the connecting line of the projection point of the target on the X axis and the optical center and the optical axis of the monocular camera; (u, v) represents the image coordinates; (u)0,v0) Representing the optical center pixel coordinates; f. ofxRepresents the focal length in pixels in the x-direction of the imaging plane; f. ofyDenotes the focal length in pixels in the y-direction of the imaging plane.
7. An apparatus for ranging a target on a horizontal surface, comprising: the device comprises a horizontal base, a telescopic bracket which is fixed on the horizontal base and adjustable in height, and a monocular camera which is fixed at the top end of the telescopic bracket and adjustable in pitching angle and is used for acquiring an image of a target; further comprising:
the parameter calibration module is used for calibrating the parameters of the monocular camera to acquire the internal parameters of the monocular camera;
the angle calibration module is used for calibrating the rotation angle scale of the monocular camera;
the coordinate acquisition module is used for acquiring the image coordinates of the target in the acquired image;
the data reading module is used for reading the current included angle between the optical axis of the monocular camera and the telescopic bracket through the calibrated rotating angle scale and reading the current height of the telescopic bracket;
and the position calculation module is used for calculating the position of the target on a horizontal plane according to the acquired internal parameters and the image coordinates, and the read current height and the current included angle.
8. An apparatus for ranging of objects on a horizontal surface as claimed in claim 7 further comprising:
and the coordinate system establishing module is used for establishing an O-XYZ space coordinate system, the fixed point of the horizontal base and the telescopic support is taken as an origin, the telescopic support is a Z axis, the horizontal plane is a plane where an X axis and a Y axis are located, and the optical axis of the monocular camera passes through the X axis, so that the position coordinate of the target on the horizontal plane is (X, Y).
9. An apparatus for range finding of an object in a horizontal plane, comprising a processor and a memory, wherein the processor when executing a computer program stored in the memory implements a method for range finding of an object in a horizontal plane as claimed in any one of claims 1 to 6.
10. A computer-readable storage medium for storing a computer program, wherein the computer program when executed by a processor implements the method for range finding of an object in a horizontal plane as claimed in any one of claims 1 to 6.
CN201910949411.8A2019-10-082019-10-08Method, device and equipment for measuring distance of target on horizontal plane and storage mediumPendingCN110779491A (en)

Priority Applications (1)

Application NumberPriority DateFiling DateTitle
CN201910949411.8ACN110779491A (en)2019-10-082019-10-08Method, device and equipment for measuring distance of target on horizontal plane and storage medium

Applications Claiming Priority (1)

Application NumberPriority DateFiling DateTitle
CN201910949411.8ACN110779491A (en)2019-10-082019-10-08Method, device and equipment for measuring distance of target on horizontal plane and storage medium

Publications (1)

Publication NumberPublication Date
CN110779491Atrue CN110779491A (en)2020-02-11

Family

ID=69385395

Family Applications (1)

Application NumberTitlePriority DateFiling Date
CN201910949411.8APendingCN110779491A (en)2019-10-082019-10-08Method, device and equipment for measuring distance of target on horizontal plane and storage medium

Country Status (1)

CountryLink
CN (1)CN110779491A (en)

Cited By (8)

* Cited by examiner, † Cited by third party
Publication numberPriority datePublication dateAssigneeTitle
CN112396651A (en)*2020-10-232021-02-23国网浙江省电力有限公司电力科学研究院Method for realizing equipment positioning through two-angle image
CN112880642A (en)*2021-03-012021-06-01苏州挚途科技有限公司Distance measuring system and distance measuring method
CN112912932A (en)*2021-01-292021-06-04深圳市锐明技术股份有限公司Calibration method and device of vehicle-mounted camera and terminal equipment
CN113124819A (en)*2021-06-172021-07-16中国空气动力研究与发展中心低速空气动力研究所Monocular distance measuring method based on plane mirror
CN113406604A (en)*2021-06-302021-09-17山东新一代信息产业技术研究院有限公司Device and method for calibrating positions of laser radar and camera
CN113808195A (en)*2021-08-262021-12-17领翌技术(横琴)有限公司Visual positioning method, device and storage medium
CN114459423A (en)*2022-01-242022-05-10长江大学Method for monocular measurement and calculation of distance of sailing ship
WO2022100265A1 (en)*2020-11-132022-05-19Suzhou Zhijia Science & Technologies Co., Ltd.Camera calibration method, apparatus, and system

Citations (1)

* Cited by examiner, † Cited by third party
Publication numberPriority datePublication dateAssigneeTitle
CN207300228U (en)*2017-09-282018-05-01上海市嘉定区中心医院Bed head elevation angle measuring instrument

Patent Citations (1)

* Cited by examiner, † Cited by third party
Publication numberPriority datePublication dateAssigneeTitle
CN207300228U (en)*2017-09-282018-05-01上海市嘉定区中心医院Bed head elevation angle measuring instrument

Non-Patent Citations (2)

* Cited by examiner, † Cited by third party
Title
王亚兵等: "基于单目视觉的实时目标距离测量", 《工业控制计算机》*
赵松等: "基于单目视觉的实时测距算法", 《宿州学院学报》*

Cited By (12)

* Cited by examiner, † Cited by third party
Publication numberPriority datePublication dateAssigneeTitle
CN112396651A (en)*2020-10-232021-02-23国网浙江省电力有限公司电力科学研究院Method for realizing equipment positioning through two-angle image
CN112396651B (en)*2020-10-232021-10-22国网浙江省电力有限公司电力科学研究院 A method for realizing device positioning through two-angle images
WO2022100265A1 (en)*2020-11-132022-05-19Suzhou Zhijia Science & Technologies Co., Ltd.Camera calibration method, apparatus, and system
CN112912932A (en)*2021-01-292021-06-04深圳市锐明技术股份有限公司Calibration method and device of vehicle-mounted camera and terminal equipment
CN112912932B (en)*2021-01-292024-03-08深圳市锐明技术股份有限公司 Calibration method, device and terminal equipment for vehicle-mounted camera
CN112880642A (en)*2021-03-012021-06-01苏州挚途科技有限公司Distance measuring system and distance measuring method
CN113124819A (en)*2021-06-172021-07-16中国空气动力研究与发展中心低速空气动力研究所Monocular distance measuring method based on plane mirror
CN113124819B (en)*2021-06-172021-09-10中国空气动力研究与发展中心低速空气动力研究所Monocular distance measuring method based on plane mirror
CN113406604A (en)*2021-06-302021-09-17山东新一代信息产业技术研究院有限公司Device and method for calibrating positions of laser radar and camera
CN113808195A (en)*2021-08-262021-12-17领翌技术(横琴)有限公司Visual positioning method, device and storage medium
CN113808195B (en)*2021-08-262024-04-12领翌技术(横琴)有限公司Visual positioning method, device and storage medium
CN114459423A (en)*2022-01-242022-05-10长江大学Method for monocular measurement and calculation of distance of sailing ship

Similar Documents

PublicationPublication DateTitle
CN110779491A (en)Method, device and equipment for measuring distance of target on horizontal plane and storage medium
CN112894832B (en)Three-dimensional modeling method, three-dimensional modeling device, electronic equipment and storage medium
CN109035320B (en)Monocular vision-based depth extraction method
CN110689581B (en) Structured light module calibration method, electronic device, and computer-readable storage medium
CN109146980B (en)Monocular vision based optimized depth extraction and passive distance measurement method
CN104142157B (en)A kind of scaling method, device and equipment
CN111369630A (en) A method of multi-line lidar and camera calibration
US20190236807A1 (en)Method and device for determining external parameter of stereoscopic camera
CN111220130B (en)Focusing measurement method and terminal capable of measuring object at any position in space
CN111862180B (en)Camera set pose acquisition method and device, storage medium and electronic equipment
WO2023201578A1 (en)Extrinsic parameter calibration method and device for monocular laser speckle projection system
WO2021004416A1 (en)Method and apparatus for establishing beacon map on basis of visual beacons
CN111739104A (en)Calibration method and device of laser calibration system and laser calibration system
CN112132908B (en)Camera external parameter calibration method and device based on intelligent detection technology
CN111220126A (en)Space object pose measurement method based on point features and monocular camera
KR20160116075A (en)Image processing apparatus having a function for automatically correcting image acquired from the camera and method therefor
Nienaber et al.A comparison of low-cost monocular vision techniques for pothole distance estimation
CN109272555B (en) A method of obtaining and calibrating external parameters of RGB-D camera
CN107883874B (en)Calibration method of circular structured light
CN114445503B (en) A long-distance and large-field-of-view binocular camera calibration method and three-dimensional measurement method
CN111307046B (en)Tree height measuring method based on hemispherical image
CN110595374B (en)Large structural part real-time deformation monitoring method based on image transmission machine
CN113281723A (en)Calibration method for structural parameters between 3D laser radar and camera based on AR tag
CN111383264B (en)Positioning method, positioning device, terminal and computer storage medium
CN107084680A (en)Target depth measuring method based on machine monocular vision

Legal Events

DateCodeTitleDescription
PB01Publication
PB01Publication
SE01Entry into force of request for substantive examination
SE01Entry into force of request for substantive examination
RJ01Rejection of invention patent application after publication

Application publication date:20200211

RJ01Rejection of invention patent application after publication

[8]ページ先頭

©2009-2025 Movatter.jp