Movatterモバイル変換


[0]ホーム

URL:


CN110775034A - Control method of automatic brake auxiliary system, terminal equipment and storage medium - Google Patents

Control method of automatic brake auxiliary system, terminal equipment and storage medium
Download PDF

Info

Publication number
CN110775034A
CN110775034ACN201911080946.2ACN201911080946ACN110775034ACN 110775034 ACN110775034 ACN 110775034ACN 201911080946 ACN201911080946 ACN 201911080946ACN 110775034 ACN110775034 ACN 110775034A
Authority
CN
China
Prior art keywords
vehicle
dangerous
judging whether
deceleration
auxiliary system
Prior art date
Legal status (The legal status is an assumption and is not a legal conclusion. Google has not performed a legal analysis and makes no representation as to the accuracy of the status listed.)
Granted
Application number
CN201911080946.2A
Other languages
Chinese (zh)
Other versions
CN110775034B (en
Inventor
苏亮
张国峰
严鉴
陈卫强
李理
欧敏辉
Current Assignee (The listed assignees may be inaccurate. Google has not performed a legal analysis and makes no representation or warranty as to the accuracy of the list.)
Xiamen King Long United Automotive Industry Co Ltd
Original Assignee
Xiamen King Long United Automotive Industry Co Ltd
Priority date (The priority date is an assumption and is not a legal conclusion. Google has not performed a legal analysis and makes no representation as to the accuracy of the date listed.)
Filing date
Publication date
Application filed by Xiamen King Long United Automotive Industry Co LtdfiledCriticalXiamen King Long United Automotive Industry Co Ltd
Priority to CN201911080946.2ApriorityCriticalpatent/CN110775034B/en
Publication of CN110775034ApublicationCriticalpatent/CN110775034A/en
Application grantedgrantedCritical
Publication of CN110775034BpublicationCriticalpatent/CN110775034B/en
Activelegal-statusCriticalCurrent
Anticipated expirationlegal-statusCritical

Links

Images

Classifications

Landscapes

Abstract

The invention relates to a control method of an automatic brake auxiliary system, a terminal device and a storage medium, wherein the method comprises the following steps: s1: collecting running information of vehicles in front of the vehicle and in the side of the vehicle, judging the road condition of the vehicle, and entering S3 when the road is a straight road, or entering S2 when the road is a straight road; s2: judging whether the vehicle has collision danger or not, if so, sending out a warning signal, and if not, ending; s3: extracting the vehicle which is most dangerous to the vehicle and marking as a dangerous vehicle; s4: judging whether the dangerous vehicle and the vehicle are in the same lane or the adjacent lane, judging whether an automatic braking auxiliary system needs to be started, and entering S5 when the automatic braking auxiliary system is started; otherwise, ending; s5: calculating the safe braking distance and the deceleration of the vehicle; s6: calculating relative collision time; s7: and controlling according to the magnitude relation between the relative collision time and the three time thresholds. The invention can implement tight braking when a driver handles improper situations under the condition of possible collision so as to avoid collision accidents.

Description

Control method of automatic brake auxiliary system, terminal equipment and storage medium
Technical Field
The invention relates to the field of automobile control, in particular to a control method of an automatic brake auxiliary system, terminal equipment and a storage medium.
Background
A conventional automatic brake assist system (AEB) operates with reference to a distance value from a control target vehicle measured by a sensor mounted on the vehicle. Thus, conventional AEB control methods are typically only directed to controlling a forward vehicle in front.
However, when a vehicle runs on a road, the working conditions are complex and varied, for example, a T-shaped intersection, a curve, a merging road, a crossroad and the like exist, and in most cases, the vehicles run under the working conditions. If the drivers of these vehicles do not carefully observe the intersection, both parties may have blind spots, such as a T-shaped intersection, and control with a conventional automatic brake assist system would be at risk of collision.
Disclosure of Invention
In order to solve the above problems, the present invention provides a control method of an automatic brake assist system, a terminal device, and a storage medium.
The specific scheme is as follows:
a control method of an automatic brake auxiliary system comprises the following steps:
s1: collecting running information of vehicles in front of and at the sides of the vehicle through a radar, judging the road condition of the vehicle according to the collected running information, and entering S3 when the road is a straight road, or entering S2 when the road is a straight road;
s2: judging whether the vehicle has collision danger according to the road condition and the running information of the front vehicle, if so, sending out a warning signal, otherwise, ending;
s3: extracting the vehicle which is most dangerous to the vehicle according to the running information of the front vehicle and the side vehicle and marking the vehicle as a dangerous vehicle;
s4: judging whether the dangerous vehicle and the vehicle are in the same lane or adjacent lane, judging whether the vehicle needs to start the automatic braking auxiliary system according to the judgment condition of the same lane or adjacent lane, and entering S5 when the automatic braking auxiliary system is started; otherwise, ending;
s5: calculating the safe braking distance and the deceleration of the vehicle according to the running information of the dangerous vehicle and the vehicle;
s6: calculating the relative collision time of the host vehicle and the dangerous vehicle according to the relative speed and the relative distance between the host vehicle and the dangerous vehicle;
s7: setting a quick brake time threshold T1, a slow brake time threshold T2 and a reminding time threshold T3, wherein T1 is less than T2 is less than T3, judging the size relation between the relative collision time T and the three time thresholds, and when T is less than T1, selecting a quick brake model to control the vehicle; when T1 is not more than T < T2, selecting a slow brake model to control the vehicle; when T2 is less than or equal to T < T3, judging whether the pedal opening of the vehicle is greater than a set pedal opening threshold value, if so, quitting the automatic brake auxiliary system, otherwise, sending a warning signal; and when the T3 is less than or equal to T, the automatic brake auxiliary system is quitted.
Further, when the road condition of the vehicle is a curve, whether the vehicle is in danger of collision is judged according to the difference value of the turning radius of the dangerous vehicle and the turning radius of the vehicle.
Further, when the road condition of the vehicle is the intersection, whether the vehicle is in a collision danger or not is judged according to the time difference value of the vehicle and the dangerous vehicle reaching the intersection.
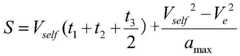
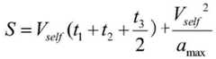
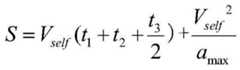
Further, the calculation formula of the safe braking distance is as follows:
Figure BDA0002263922740000031
wherein S represents a safe braking distance of the vehicle; t is t1Representing driver reaction time; t is t2And t3Are all expressed as the action time of the electronic body stabilizing system; a ismaxRepresents the maximum deceleration of the host vehicle; vselfTo representThe current vehicle speed of the host vehicle.
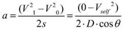
Further, the calculation formula of the deceleration of the host vehicle is:
Figure BDA0002263922740000032
where a represents the deceleration of the host vehicle, VselfRepresenting a current vehicle speed of the host vehicle; d represents the straight-line distance between the vehicle and the dangerous vehicle; theta represents the angle between the center line of the dangerous vehicle and the center line of the host vehicle.
Further, the calculation formula of the relative collision time T between the host vehicle and the dangerous vehicle is as follows:
Figure BDA0002263922740000033
wherein S isvelIndicates the relative distance, V, between the vehicle and the dangerous vehiclevelThe relative speed of the host vehicle and the dangerous vehicle is shown.
Further, the control process of the emergency brake model comprises the following steps:
s711: judging whether the acceleration of the vehicle is greater than the maximum acceleration of the vehicle, and if so, entering S712; otherwise, go to S713;
s712: setting the deceleration of the host vehicle equal to the maximum deceleration;
s713: calculating the brake pressure according to the deceleration, and then calculating the pedal opening according to the brake pressure;
s714: controlling the pedal according to the calculated pedal opening;
s715: judging whether the relative distance between the vehicle and the dangerous vehicle is greater than the safe braking distance of the vehicle, and if so, quitting the automatic braking auxiliary system; otherwise, return to S712.
Further, the control process of the slow brake model comprises the following steps:
s721: judging whether the acceleration of the vehicle is greater than the set slow braking acceleration or not, and if so, entering S722; otherwise, go to S723;
s722: setting the deceleration of the host vehicle equal to the maximum deceleration;
s723: calculating the brake pressure according to the deceleration, and then calculating the pedal opening according to the brake pressure;
s724: controlling the pedal according to the calculated pedal opening;
s725: judging whether the relative distance between the vehicle and the dangerous vehicle is greater than the safe braking distance of the vehicle, and if so, quitting the automatic braking auxiliary system; otherwise, return to S722.
A computer-readable storage medium, in which a computer program is stored, which, when being executed by a processor, carries out the steps of the method according to an embodiment of the invention as described above.
By adopting the technical scheme, the emergency braking can be implemented when the driver is not properly treated under the condition of possible collision, so that collision accidents are avoided or the damage degree is reduced, the problems that the driving technology of the driver is not familiar and the like are solved, and the safety and the convenience of the driver are improved.
Drawings
Fig. 1 is a flowchart illustrating a first embodiment of the present invention.
Detailed Description
To further illustrate the various embodiments, the invention provides the accompanying drawings. The accompanying drawings, which are incorporated in and constitute a part of this disclosure, illustrate embodiments of the invention and, together with the description, serve to explain the principles of the embodiments. Those skilled in the art will appreciate still other possible embodiments and advantages of the present invention with reference to these figures.
The invention will now be further described with reference to the accompanying drawings and detailed description.
The first embodiment is as follows:
an embodiment of the present invention provides a control method for an automatic braking assistance system, as shown in fig. 1, which is a flowchart of the control method for the automatic braking assistance system according to the embodiment of the present invention, and the method includes the following steps:
s1: the running information of the vehicles in front of and at the side of the vehicle is collected by radar (in the embodiment, millimeter wave radar is taken as an example for explanation), the condition of the road where the vehicle is located is judged according to the collected running information, and when the road is a straight road, the operation goes to S3, otherwise, the operation goes to S2.
The operational information includes, but is not limited to, the relative position, relative angle, relative speed, and relative deceleration of the vehicle and the host vehicle.
The road condition can include multiple types, the judgment can be carried out by adopting a common method, the judgment is not limited, the non-straight road information in the embodiment is described by a T-shaped intersection and a curve, and if the relative angle of a vehicle in front is continuous and changes towards one direction, the road condition is the curve with a high probability; if the relative angle between the front vehicle and the host vehicle is continuously larger than a certain threshold value (for example, 45 degrees), the road condition is more likely to be a T-shaped intersection.
S2: and judging whether the vehicle has collision danger or not according to the road condition and the running information of the front vehicle, if so, sending out a warning signal, and if not, ending.
The alarm signal may be a light warning signal or an audio warning signal, which is not limited herein.
(1) When the road condition of the vehicle is a curve, judging that the vehicle is in the curve
Figure BDA0002263922740000051
Whether the collision is established or not is judged, and if the collision is established, collision danger is indicated; otherwise, no collision risk is indicated.
Wherein R is1Indicating the turning radius of the vehicle, R2Indicating the turning radius of the dangerous vehicle and Length indicating the lane width.
Figure BDA0002263922740000061
Figure BDA0002263922740000062
Wherein D represents the distance between the dangerous vehicle and the host vehicle, and V1Indicating the speed of the vehicle, theta indicating the level of the dangerous vehicleThe azimuth angle, Yaw _ rate, represents the rate of change of the angular velocity of the host vehicle.
(2) When the road condition of the vehicle is the intersection, judging the time difference T between the vehicle and the dangerous vehicle when the vehicle arrives at the intersectionflagWhether the time difference is smaller than a time difference threshold value or not, if so, indicating that the collision danger exists; otherwise, no collision risk is indicated.
In this embodiment, assuming that the host vehicle travels in the X-axis direction, the time difference TflagThe calculation process of (2) is as follows:
XSelf=-VSelf*t
YSelf=0
Xtgt1=D1*cosθ1
Ytgt1=D1*sinθ1
Xtgt2=D2*cosθ2+XSelf
Ytgt2=D2*sinθ2
Vtgt2=Vtgt1*cosθ1
assuming that the motion trail of the dangerous vehicle is a first-order linear equation, the equation is as follows:
(y-Ytgt2)/(x-Xtgt2)=(y-Ytgt1)/(x-Xtgt1)
when y is equal to 0, namely the dangerous vehicle enters the lane where the vehicle is located, the following can be obtained:
x0=(Ytgt1*Xtgt2-Ytgt2*Xtgt1)/Ytgt1-Ytgt2
when the vehicle and the dangerous vehicle arrive at the junction (x) at the same time0,y0) The vehicle needs to be braked.
TSelf=x0/VSelf
Ttgt=(x0-Xtgt2)/Vtgt2
Tflag=TSelf-Ttgt
Wherein (x, y) represents coordinates of a traveling position of the dangerous vehicle, (x)0,y0) Coordinates representing the intersection, t represents the sampling time, D1Represents the distance, theta, between the dangerous vehicle and the host vehicle at the previous sampling1Represents the angle between the dangerous vehicle and the vehicle center line of the vehicle in the previous sampling, D2Represents the distance between the dangerous vehicle and the vehicle at the time of the next sampling, theta2Represents the included angle X between the dangerous vehicle and the vehicle center line of the vehicle at the time of the next samplingSelf、YSelfRespectively showing the traveling distances of the vehicle in the X direction and the Y direction, VSelfIndicating the speed at which the vehicle is travelling, TSelfIndicates the time T of the vehicle arriving at the junctiontgtIndicating the time, X, at which the dangerous vehicle reaches the junctiontgt1、Ytgt1Respectively representing the position coordinates, X, of the dangerous vehicle relative to the host vehicle at the time of the previous samplingtgt2、Ytgt2Respectively representing the position coordinates V of the dangerous vehicle relative to the vehicle at the time of the next samplingtgt1、Vtgt2The vehicle speeds of the dangerous vehicle in the X-axis direction with respect to the host vehicle at the time of the previous sampling and the next sampling are respectively indicated.
S3: and extracting the vehicle which is most dangerous to the vehicle according to the running information of the front vehicle and the side vehicle and marking the vehicle as a dangerous vehicle.
The operating information of the vehicle includes, but is not limited to, the current speed and the maximum deceleration of the vehicle.
S4: judging whether the dangerous vehicle and the vehicle are in the same lane or adjacent lane, judging whether the vehicle needs to start an automatic braking auxiliary system (AEB) according to the judging condition of the same lane or the adjacent lane, and entering S5 when the automatic braking auxiliary system is started; otherwise, ending.
The same track and adjacent track determination may also be implemented by those skilled in the art using the existing determination method, which is not limited herein, for example, the following determination method is implemented in this embodiment:
on the same way: when the host vehicle runs in the center of the lane, if D, sin and theta are less than Length/2, the dangerous vehicle and the host vehicle are judged to be in the same lane, wherein the Length represents the width of the lane (generally 3.5 meters), theta represents an included angle between the center line of the dangerous vehicle and the center line of the host vehicle, and D is the straight-line distance between the host vehicle and the dangerous vehicle.
Adjacent lane: when the vehicle runs in the center of the lane, if D, sin theta and B/2 are greater than the Length/2, the vehicle with the danger mark is judged to follow the adjacent lane of the vehicle. Where B represents the vehicle width of the host vehicle.
The specific determination process of step S4 for whether the automatic braking assistance system needs to be activated for the same track and the adjacent track in this embodiment is as follows:
on the same way:
s411: judging whether the distance between the dangerous vehicle and the vehicle is greater than the minimum safety distance of the vehicle, if so, entering S412; otherwise, it is determined that the automatic braking assistance system needs to be started.
S412: judging whether a collision risk exists (such as whether the transverse distance between the two vehicles in the embodiment is less than 0.5 meter), and if so, judging that an automatic braking auxiliary system needs to be started; otherwise, judging that the automatic braking auxiliary system does not need to be started, and ending.
Adjacent lane: judging whether the distance between the dangerous vehicle and the vehicle is continuously reduced or not, and if so, judging that an automatic braking auxiliary system needs to be started; otherwise, judging that the automatic braking auxiliary system does not need to be started, and ending.
S5: the safe braking distance (minimum braking distance at which no collision occurs) of the host vehicle and the deceleration of the host vehicle are calculated from the running information of the dangerous vehicle and the host vehicle, respectively.
The safety braking distance may be set based on empirical data, such as: high-speed driving, namely when the speed is more than 100km/h, the safe distance is more than 100 meters; fast driving, namely when the speed is above 60km/h, the safe distance is equal to the speed in number; for example, the vehicle speed is 80km/h, and the safe vehicle distance is 80 meters; the vehicle is driven at a medium speed, namely when the vehicle speed is about 50km/h, the safe vehicle distance is not less than 50 meters; the vehicle runs at low speed, namely when the speed is below 40km/h, the safe distance is not less than 30 meters; the turtle-shaped vehicle runs at the speed, namely when the speed is below 20km/h, the safe distance is not less than 10 meters. Or according to a formula, in this embodiment for setting a specific calculation formula, i.e.
Figure BDA0002263922740000091
Wherein S represents a safe braking distance of the vehicle; t is t1Indicating a driver reaction time, which is an empirical value related to the operation action of the driver; t is t2And t3Are all expressed as the action time of an Electronic Stability Program (ESP) of the vehicle body, are related to the model of the vehicle and are fixed values; namely, it isIs a constant; a ismaxA maximum deceleration indicating the vehicle speed, which is a fixed value and is related to the type of the vehicle; vselfIndicating the current speed, V, of the vehicleeThe final vehicle speed (generally 0) of the host vehicle is shown. Note that, since the unit of the vehicle speed is usually km/h, the time t1、t2And t3Since the unit of (A) is usually s, it is necessary to convert km/h into m/s by unit conversion.
Since the braking capacities of different vehicles are different, the maximum deceleration that can be achieved is also different, and in actual operation, the corresponding maximum deceleration can be set according to different vehicle brands, models, and the likemaxIs set to-5 m/s2
The calculation formula of the deceleration a of the host vehicle is:
Figure BDA0002263922740000093
wherein, V1Shows the speed of the vehicle after deceleration, and stops the vehicle after deceleration, so V is set1Set to 0; vselfRepresenting a current vehicle speed of the host vehicle; d represents the straight-line distance between the vehicle and the dangerous vehicle; theta represents the included angle between the center line of the dangerous vehicle and the center line of the vehicle.
S6: according to the relative speed V between the vehicle and the dangerous vehiclevelAnd a relative distance SvelThe relative collision time T is calculated, wherein,
Figure BDA0002263922740000094
wherein the relative velocity VvelAnd a relative distance SvelAll data collected by the millimeter wave radar.
S7: selecting an action decision of the vehicle according to the relative collision time T, specifically: setting a quick brake time threshold T1, a slow brake time threshold T2 and a reminding time threshold T3, wherein T1< T2< T3, and judging the size relation between the relative collision time T and the three time thresholds:
when T < T1, selecting an emergency brake model to control the vehicle;
when T1 is not more than T < T2, selecting a slow brake model to control the vehicle;
when T2 is less than or equal to T < T3, judging whether the pedal opening of the vehicle is greater than a set pedal opening threshold value, if so, quitting the automatic brake auxiliary system, otherwise, sending a warning signal;
and when the T3 is less than or equal to T, the automatic brake auxiliary system is quitted.
In this embodiment, the quick braking time threshold T1 is set to 0.8s, the slow braking time threshold T2 is set to 1.6s, and the reminder time threshold T3 is set to 2.7 s. The pedal opening threshold is set to 15%.
The function of setting the pedal opening threshold in this embodiment is to determine whether the driver has control to intervene in the vehicle, and when the driver intervenes, no warning is required.
(1) The control process of the emergency brake model comprises the following steps:
s711: judging whether the deceleration of the vehicle is larger than the maximum deceleration of the vehicle, and if so, entering S712; otherwise, go to S713;
s712: setting the deceleration of the host vehicle equal to the maximum deceleration;
s713: calculating the brake pressure according to the deceleration, and then calculating the pedal opening according to the brake pressure;
s714: controlling the pedal according to the calculated pedal opening;
s715: judging whether the relative distance between the vehicle and the dangerous vehicle is greater than the safe braking distance of the vehicle, and if so, quitting the automatic braking auxiliary system; otherwise, return to S712.
(2) The control process of the slow brake model comprises the following steps:
s721: judging whether the deceleration of the vehicle is larger than the set slow braking deceleration, and if so, entering S722; otherwise, go to S723;
s722: setting the deceleration of the host vehicle equal to the maximum deceleration;
s723: calculating the brake pressure according to the deceleration, and then calculating the pedal opening according to the brake pressure;
s724: controlling the pedal according to the calculated pedal opening;
s725: judging whether the relative distance between the vehicle and the dangerous vehicle is greater than the safe braking distance of the vehicle, and if so, quitting the automatic braking auxiliary system; otherwise, return to S722.
In the embodiment, aiming at the slow braking model, the safe braking distance of the vehicle is set to be a curve which continuously changes along with the vehicle speed, for example, when the vehicle speed is 40km/h, the minimum braking distance is not less than 10 meters; when the vehicle speed is 60km/h, the minimum braking distance is not less than 13 meters; when the vehicle speed is 80km/h, the minimum braking distance is not less than 20 meters; when the vehicle speed is 100km/h, the minimum braking distance is not less than 40 meters.
The embodiment of the invention can implement emergency braking when a driver is not properly treated under the condition of possible collision so as to avoid collision accidents or reduce the degree of damage, solves the problems of unskilled driving technology and the like of the driver, and improves the safety and convenience of the driver.
Example two:
the invention also provides an automatic brake auxiliary system control terminal device, which comprises a memory, a processor and a computer program which is stored in the memory and can run on the processor, wherein the processor executes the computer program to realize the steps of the method embodiment of the first embodiment of the invention.
Further, as an executable scheme, the control terminal device of the automatic braking auxiliary system may be a desktop computer, a notebook, a palm computer, a cloud server, or other computing devices. The control terminal device of the automatic brake auxiliary system can comprise, but is not limited to, a processor and a memory. It will be understood by those skilled in the art that the above-mentioned structure of the control terminal device of the automatic brake assist system is only an example of the control terminal device of the automatic brake assist system, and does not constitute a limitation of the control terminal device of the automatic brake assist system, and may include more or less components than the above-mentioned structure, or may combine some components, or may be different components, for example, the control terminal device of the automatic brake assist system may further include an input/output device, a network access device, a bus, etc., which is not limited by the embodiment of the present invention.
Further, as an executable solution, the processor may be a Central Processing Unit (CPU), other general purpose processor, a Digital Signal Processor (DSP), an Application Specific Integrated Circuit (ASIC), a Field Programmable Gate Array (FPGA) or other Programmable logic device, a discrete Gate or transistor logic device, a discrete hardware component, and the like. The general-purpose processor may be a microprocessor or the processor may be any conventional processor, etc., and the processor is a control center of the automatic brake assist system control terminal device and connects various parts of the entire automatic brake assist system control terminal device by using various interfaces and lines.
The memory may be configured to store the computer program and/or the module, and the processor may implement various functions of the automatic brake assist system control terminal device by executing or executing the computer program and/or the module stored in the memory and calling data stored in the memory. The memory can mainly comprise a program storage area and a data storage area, wherein the program storage area can store an operating system and an application program required by at least one function; the storage data area may store data created according to the use of the mobile phone, and the like. In addition, the memory may include high speed random access memory, and may also include non-volatile memory, such as a hard disk, a memory, a plug-in hard disk, a Smart Media Card (SMC), a Secure Digital (SD) Card, a Flash memory Card (Flash Card), at least one magnetic disk storage device, a Flash memory device, or other volatile solid state storage device.
The invention also provides a computer-readable storage medium, in which a computer program is stored, which, when being executed by a processor, carries out the steps of the above-mentioned method of an embodiment of the invention.
The integrated module/unit of the control terminal device of the automatic brake assist system may be stored in a computer readable storage medium if it is implemented in the form of a software functional unit and sold or used as an independent product. Based on such understanding, all or part of the flow of the method according to the embodiments of the present invention may also be implemented by a computer program, which may be stored in a computer-readable storage medium, and when the computer program is executed by a processor, the steps of the method embodiments may be implemented. Wherein the computer program comprises computer program code, which may be in the form of source code, object code, an executable file or some intermediate form, etc. The computer-readable medium may include: any entity or device capable of carrying the computer program code, recording medium, usb disk, removable hard disk, magnetic disk, optical disk, computer Memory, Read-Only Memory (ROM ), Random Access Memory (RAM), software distribution medium, and the like.
While the invention has been particularly shown and described with reference to a preferred embodiment, it will be understood by those skilled in the art that various changes in form and detail may be made therein without departing from the spirit and scope of the invention as defined by the appended claims.

Claims (10)

1. A control method of an automatic brake auxiliary system is characterized by comprising the following steps:
s1: collecting running information of vehicles in front of and at the sides of the vehicle through a radar, judging the road condition of the vehicle according to the collected running information, and entering S3 when the road is a straight road, or entering S2 when the road is a straight road;
s2: judging whether the vehicle has collision danger according to the road condition and the running information of the front vehicle, if so, sending out a warning signal, otherwise, ending;
s3: extracting the vehicle which is most dangerous to the vehicle according to the running information of the front vehicle and the side vehicle and marking the vehicle as a dangerous vehicle;
s4: judging whether the dangerous vehicle and the vehicle are in the same lane or adjacent lane, judging whether the vehicle needs to start the automatic braking auxiliary system according to the judgment condition of the same lane or adjacent lane, and entering S5 when the automatic braking auxiliary system is started; otherwise, ending;
s5: calculating the safe braking distance and the deceleration of the vehicle according to the running information of the dangerous vehicle and the vehicle;
s6: calculating the relative collision time of the host vehicle and the dangerous vehicle according to the relative speed and the relative distance between the host vehicle and the dangerous vehicle;
s7: setting a quick brake time threshold T1, a slow brake time threshold T2 and a reminding time threshold T3, wherein T1 is less than T2 is less than T3, judging the size relation between the relative collision time T and the three time thresholds, and when T is less than T1, selecting a quick brake model to control the vehicle; when T1 is not more than T < T2, selecting a slow brake model to control the vehicle; when T2 is less than or equal to T < T3, judging whether the pedal opening of the vehicle is greater than a set pedal opening threshold value, if so, quitting the automatic brake auxiliary system, otherwise, sending a warning signal; and when the T3 is less than or equal to T, the automatic brake auxiliary system is quitted.
2. The automatic brake assist system control method according to claim 1, characterized in that: and when the road condition of the vehicle is a curve, judging whether the vehicle has a collision risk according to the difference value of the turning radius of the dangerous vehicle and the turning radius of the vehicle.
3. The automatic brake assist system control method according to claim 1, characterized in that: and when the road condition of the vehicle is the intersection, judging whether the vehicle has collision danger or not according to the time difference value of the vehicle and the dangerous vehicle reaching the intersection.
4. The automatic brake assist system control method according to claim 1, characterized in that: the calculation formula of the safe braking distance is as follows:
Figure FDA0002263922730000021
wherein S represents a safe braking distance of the vehicle; t is t1Representing driver reaction time; t is t2And t3Are all expressed as the action time of the electronic body stabilizing system; a ismaxRepresents the maximum deceleration of the host vehicle; vselfIndicating the current vehicle speed of the host vehicle.
5. The automatic brake assist system control method according to claim 1, characterized in that: the calculation formula of the deceleration of the host vehicle is:
Figure FDA0002263922730000022
where a represents the deceleration of the host vehicle, VselfRepresenting a current vehicle speed of the host vehicle; d represents the straight-line distance between the vehicle and the dangerous vehicle; theta represents the angle between the center line of the dangerous vehicle and the center line of the host vehicle.
6. The automatic brake assist system control method according to claim 1, characterized in that: the calculation formula of the relative collision time T between the vehicle and the dangerous vehicle is as follows:
Figure FDA0002263922730000023
wherein S isvelIndicates the relative distance, V, between the vehicle and the dangerous vehiclevelThe relative speed of the host vehicle and the dangerous vehicle is shown.
7. The automatic brake assist system control method according to claim 1, characterized in that: the control process of the emergency brake model comprises the following steps:
s711: judging whether the acceleration of the vehicle is greater than the maximum acceleration of the vehicle, and if so, entering S712; otherwise, go to S713;
s712: setting the deceleration of the host vehicle equal to the maximum deceleration;
s713: calculating the brake pressure according to the deceleration, and then calculating the pedal opening according to the brake pressure;
s714: controlling the pedal according to the calculated pedal opening;
s715: judging whether the relative distance between the vehicle and the dangerous vehicle is greater than the safe braking distance of the vehicle, and if so, quitting the automatic braking auxiliary system; otherwise, return to S712.
8. The automatic brake assist system control method according to claim 1, characterized in that: the control process of the slow brake model comprises the following steps:
s721: judging whether the acceleration of the vehicle is greater than the set slow braking acceleration or not, and if so, entering S722; otherwise, go to S723;
s722: setting the deceleration of the host vehicle equal to the maximum deceleration;
s723: calculating the brake pressure according to the deceleration, and then calculating the pedal opening according to the brake pressure;
s724: controlling the pedal according to the calculated pedal opening;
s725: judging whether the relative distance between the vehicle and the dangerous vehicle is greater than the safe braking distance of the vehicle, and if so, quitting the automatic braking auxiliary system; otherwise, return to S722.
9. The utility model provides an automatic brake auxiliary system control terminal equipment which characterized in that: comprising a processor, a memory and a computer program stored in the memory and running on the processor, the processor implementing the steps of the method according to any one of claims 1 to 8 when executing the computer program.
10. A computer-readable storage medium, in which a computer program is stored which, when being executed by a processor, carries out the steps of the method according to any one of claims 1 to 8.
CN201911080946.2A2019-11-072019-11-07Control method of automatic brake auxiliary system, terminal equipment and storage mediumActiveCN110775034B (en)

Priority Applications (1)

Application NumberPriority DateFiling DateTitle
CN201911080946.2ACN110775034B (en)2019-11-072019-11-07Control method of automatic brake auxiliary system, terminal equipment and storage medium

Applications Claiming Priority (1)

Application NumberPriority DateFiling DateTitle
CN201911080946.2ACN110775034B (en)2019-11-072019-11-07Control method of automatic brake auxiliary system, terminal equipment and storage medium

Publications (2)

Publication NumberPublication Date
CN110775034Atrue CN110775034A (en)2020-02-11
CN110775034B CN110775034B (en)2021-10-15

Family

ID=69390129

Family Applications (1)

Application NumberTitlePriority DateFiling Date
CN201911080946.2AActiveCN110775034B (en)2019-11-072019-11-07Control method of automatic brake auxiliary system, terminal equipment and storage medium

Country Status (1)

CountryLink
CN (1)CN110775034B (en)

Cited By (14)

* Cited by examiner, † Cited by third party
Publication numberPriority datePublication dateAssigneeTitle
CN111653126A (en)*2020-05-292020-09-11长安大学 A method for preventing rear-end collision during vehicle traffic yellow light
CN112373443A (en)*2020-11-262021-02-19西南林业大学Brake equipment and brake method for automobile speed reducing parachute
CN112896158A (en)*2021-02-252021-06-04东风汽车集团股份有限公司Control method and system for emergency lane keeping function based on hierarchical state machine
CN112937520A (en)*2021-03-152021-06-11东风柳州汽车有限公司Emergency braking method and device for vehicle, commercial vehicle and storage medium
CN113232643A (en)*2021-06-172021-08-10知行汽车科技(苏州)有限公司Self-adaptive auxiliary driving system and method based on road surface environment
CN113870580A (en)*2021-09-012021-12-31北京中交兴路信息科技有限公司Overspeed detection method and device for truck, truck vehicle and truck system
CN114954386A (en)*2022-07-082022-08-30所托(杭州)汽车智能设备有限公司Automatic braking control method, vehicle, and storage medium
CN114987462A (en)*2022-05-312022-09-02小马易行科技(上海)有限公司Method, apparatus, device and medium for avoiding vehicle collision for manual driving
CN115071696A (en)*2022-06-202022-09-20重庆理工大学Automatic emergency collision avoidance control method for intelligent automobile intersection based on V2X
CN115071689A (en)*2021-03-102022-09-20长沙中车智驭新能源科技有限公司Vehicle emergency braking method and system and vehicle
CN115230652A (en)*2022-04-282022-10-25长城汽车股份有限公司Control method and device for preventing mistakenly stepping on accelerator of vehicle, vehicle and storage medium
CN115257721A (en)*2022-08-302022-11-01重庆长安汽车股份有限公司Intelligent driving scene safe driving method and device, electronic equipment and storage medium
WO2023000757A1 (en)*2021-07-222023-01-26上汽通用五菱汽车股份有限公司Vehicle following and stopping control method and apparatus, and computer-readable storage medium
CN115782844A (en)*2021-09-102023-03-14六和机械股份有限公司Vehicle with brake auxiliary device

Citations (5)

* Cited by examiner, † Cited by third party
Publication numberPriority datePublication dateAssigneeTitle
CN106157696A (en)*2016-08-302016-11-23浙江吉利控股集团有限公司Move avoidance system and preventing collision method based on truck traffic from car owner
CN106696927A (en)*2016-12-302017-05-24智车优行科技(北京)有限公司Vehicle and method and device for controlling automatic emergency braking of vehicle
CN109835348A (en)*2019-01-252019-06-04中国汽车技术研究中心有限公司A kind of screening technique and device of road traffic danger scene
CN110155046A (en)*2019-05-092019-08-23武汉理工大学 Automatic emergency braking hierarchical control method and system
WO2019181265A1 (en)*2018-03-232019-09-26日立オートモティブシステムズ株式会社Parking assistance device

Patent Citations (5)

* Cited by examiner, † Cited by third party
Publication numberPriority datePublication dateAssigneeTitle
CN106157696A (en)*2016-08-302016-11-23浙江吉利控股集团有限公司Move avoidance system and preventing collision method based on truck traffic from car owner
CN106696927A (en)*2016-12-302017-05-24智车优行科技(北京)有限公司Vehicle and method and device for controlling automatic emergency braking of vehicle
WO2019181265A1 (en)*2018-03-232019-09-26日立オートモティブシステムズ株式会社Parking assistance device
CN109835348A (en)*2019-01-252019-06-04中国汽车技术研究中心有限公司A kind of screening technique and device of road traffic danger scene
CN110155046A (en)*2019-05-092019-08-23武汉理工大学 Automatic emergency braking hierarchical control method and system

Cited By (17)

* Cited by examiner, † Cited by third party
Publication numberPriority datePublication dateAssigneeTitle
CN111653126A (en)*2020-05-292020-09-11长安大学 A method for preventing rear-end collision during vehicle traffic yellow light
CN112373443B (en)*2020-11-262022-12-20西南林业大学 Braking device and braking method for a vehicle parachute
CN112373443A (en)*2020-11-262021-02-19西南林业大学Brake equipment and brake method for automobile speed reducing parachute
CN112896158A (en)*2021-02-252021-06-04东风汽车集团股份有限公司Control method and system for emergency lane keeping function based on hierarchical state machine
CN115071689A (en)*2021-03-102022-09-20长沙中车智驭新能源科技有限公司Vehicle emergency braking method and system and vehicle
CN112937520B (en)*2021-03-152022-07-19东风柳州汽车有限公司Emergency braking method and device for vehicle, commercial vehicle and storage medium
CN112937520A (en)*2021-03-152021-06-11东风柳州汽车有限公司Emergency braking method and device for vehicle, commercial vehicle and storage medium
CN113232643A (en)*2021-06-172021-08-10知行汽车科技(苏州)有限公司Self-adaptive auxiliary driving system and method based on road surface environment
WO2023000757A1 (en)*2021-07-222023-01-26上汽通用五菱汽车股份有限公司Vehicle following and stopping control method and apparatus, and computer-readable storage medium
CN113870580A (en)*2021-09-012021-12-31北京中交兴路信息科技有限公司Overspeed detection method and device for truck, truck vehicle and truck system
CN115782844B (en)*2021-09-102025-05-02六和机械股份有限公司 Vehicle with a brake assist device
CN115782844A (en)*2021-09-102023-03-14六和机械股份有限公司Vehicle with brake auxiliary device
CN115230652A (en)*2022-04-282022-10-25长城汽车股份有限公司Control method and device for preventing mistakenly stepping on accelerator of vehicle, vehicle and storage medium
CN114987462A (en)*2022-05-312022-09-02小马易行科技(上海)有限公司Method, apparatus, device and medium for avoiding vehicle collision for manual driving
CN115071696A (en)*2022-06-202022-09-20重庆理工大学Automatic emergency collision avoidance control method for intelligent automobile intersection based on V2X
CN114954386A (en)*2022-07-082022-08-30所托(杭州)汽车智能设备有限公司Automatic braking control method, vehicle, and storage medium
CN115257721A (en)*2022-08-302022-11-01重庆长安汽车股份有限公司Intelligent driving scene safe driving method and device, electronic equipment and storage medium

Also Published As

Publication numberPublication date
CN110775034B (en)2021-10-15

Similar Documents

PublicationPublication DateTitle
CN110775034B (en)Control method of automatic brake auxiliary system, terminal equipment and storage medium
US12351152B2 (en)Emergency braking for autonomous vehicles
US10745004B2 (en)Object recognizing device and collision avoidance system
US10053067B2 (en)Vehicle safety assist system
CN107901912B (en)Method for determining a road surface based on vehicle data
CN112654543B (en)Method and device for securing a overtaking process of a vehicle driven onto a bicycle
CN110949375A (en)Information processing system and server
CN109760678A (en)A kind of method for limiting speed of automotive self-adaptive cruise system
US20200039515A1 (en)Preceding-vehicle determination apparatus and vehicle control system
CN113147766B (en) Lane change prediction method and device for target vehicle
CN114523978B (en) A method and device for generating a rear road model
US11448748B2 (en)Systems and methods for simultaneous range-rate unwrapping and outlier removal for radar
CN108602514A (en) Operator Skill Score Based on Comparison to Automated Vehicle Operation
US11718293B2 (en)Driver assistance apparatus
US20210284142A1 (en)Control device and vehicle
US20200384992A1 (en)Vehicle control apparatus, vehicle, operation method of vehicle control apparatus, and non-transitory computer-readable storage medium
CN116729406B (en) Vehicle speed determination method, device, electronic device and storage medium
US10423166B2 (en)Method and apparatus for furnishing a signal for operating at least two vehicles along a first trajectory
CN117734722A (en)Lane departure early warning method, system, vehicle and storage medium
US12291201B2 (en)Travel control apparatus, vehicle, travel control method, and non-transitory computer-readable storage medium
CN113734169A (en)Car following control method and system based on vehicle-road cooperation
CN120116965B (en)Risk coefficient evaluation method and device for rear vehicle
EP4491477B1 (en)Control system
EP4484244A1 (en)Control apparatus, control method, and control program
US20230009606A1 (en)Automated driving method, automated driving system, and storage medium

Legal Events

DateCodeTitleDescription
PB01Publication
PB01Publication
SE01Entry into force of request for substantive examination
SE01Entry into force of request for substantive examination
GR01Patent grant
GR01Patent grant

[8]ページ先頭

©2009-2025 Movatter.jp