














技术领域technical field
本发明属于微纳光学器件技术领域,具体涉及一种快速二维扫描光波导相控阵列结构。The invention belongs to the technical field of micro-nano optical devices, in particular to a fast two-dimensional scanning optical waveguide phased array structure.
背景技术Background technique
近年来,脱胎于微波相控阵技术的光学相控阵技术(OPA,Optical Phased Array)逐渐成为国际上研究光束扫描的热点。光学相控阵技术,利用工作材料的电光、热光、声光等特性,实现光束指向的电控非机械控制,且可通过模块复用,实现大功率、多波束扩展。In recent years, Optical Phased Array (OPA, Optical Phased Array), which was born out of microwave phased array technology, has gradually become a hot spot in the study of beam scanning in the world. Optical phased array technology utilizes the electro-optic, thermo-optic, acousto-optic and other characteristics of the working material to achieve electrical and non-mechanical control of beam pointing, and can be multiplexed through modules to achieve high-power, multi-beam expansion.
OPA在激光雷达、激光制导、激光显示等军用及民用领域具有广阔的应用前景。迄今为止,国内外研究者对OPA技术进行了多方面的研究,二维扫描的光波导相控阵列也得到了快速发展。OPA has broad application prospects in military and civilian fields such as lidar, laser guidance, and laser display. So far, domestic and foreign researchers have carried out various researches on OPA technology, and two-dimensional scanning optical waveguide phased arrays have also been rapidly developed.
目前,大多二维光学相控阵的制作都采用Si材料,利用其热光效应通过外部电路的控制实现光束扫描,但是由于热光响应时间的限制,硅材料的光学相控阵的扫描速度很难超过200KHz,难以满足快速扫描的应用需求。At present, most of the two-dimensional optical phased arrays are made of Si material, which uses its thermo-optic effect to realize beam scanning through the control of external circuits. However, due to the limitation of the thermo-optic response time, the scanning speed of the optical phased array of silicon material is very high. It is difficult to exceed 200KHz, and it is difficult to meet the application requirements of fast scanning.
发明内容SUMMARY OF THE INVENTION
为了解决现有技术中存在的上述问题,本发明提供了一种快速二维扫描光波导相控阵列结构。本发明要解决的技术问题通过以下技术方案实现:In order to solve the above problems existing in the prior art, the present invention provides a fast two-dimensional scanning optical waveguide phased array structure. The technical problem to be solved by the present invention is realized by the following technical solutions:
一种快速二维扫描光波导相控阵列结构,包括:A fast two-dimensional scanning optical waveguide phased array structure, comprising:
衬底层,所述衬底层为n型掺杂的GaAs材料;a substrate layer, the substrate layer is an n-type doped GaAs material;
缓冲层,设置于所述衬底层上,所述缓冲层为p型掺杂的Al0.3Ga0.68As材料;a buffer layer, disposed on the substrate layer, the buffer layer is a p-type doped Al0.3 Ga0.68 As material;
微结构层,设置于所述缓冲层上,所述微结构层为n型掺杂的GaAs材料,其中,所述微结构层包括耦合元件、级联式功分器单元、移相器件单元和发射天线单元,所述耦合元件、所述级联式功分器单元、所述移相器件单元和所述发射天线单元通过波导结构依次相互连接,且所述移相器件单元包括若干移相器件,所述发射天线单元包括若干发射天线,所述级联式功分器单元分别连接所述移相器件,且每个所述移相器件分别连接一个所述发射天线。A microstructure layer, disposed on the buffer layer, the microstructure layer is an n-type doped GaAs material, wherein the microstructure layer includes a coupling element, a cascaded power divider unit, a phase shift device unit and A transmitting antenna unit, the coupling element, the cascaded power divider unit, the phase-shifting device unit and the transmitting antenna unit are sequentially connected to each other through a waveguide structure, and the phase-shifting device unit includes several phase-shifting devices , the transmitting antenna unit includes a plurality of transmitting antennas, the cascaded power divider units are respectively connected to the phase-shifting devices, and each of the phase-shifting devices is respectively connected to one of the transmitting antennas.
在本发明的一个实施例中,所述耦合元件包括第一入射波导缓冲结构、第一出射波导缓冲结构以及设置于所述第一入射波导缓冲结构和第一出射波导缓冲结构之间的第一周期波导光栅结构,其中,所述第一周期波导光栅结构包括周期性排列的凹槽,且所述第一入射波导缓冲结构的设定宽度至所述第一出射波导缓冲结构的设定宽度逐渐减小。In one embodiment of the present invention, the coupling element includes a first incident waveguide buffer structure, a first outgoing waveguide buffer structure, and a first incident waveguide buffer structure and a first outgoing waveguide buffer structure disposed between the first incident waveguide buffer structure and the first outgoing waveguide buffer structure. Periodic waveguide grating structure, wherein the first periodic waveguide grating structure includes grooves arranged periodically, and the set width of the first incident waveguide buffer structure gradually increases to the set width of the first exit waveguide buffer structure decrease.
在本发明的一个实施例中,所述耦合元件的形状为扇形形状。In one embodiment of the present invention, the shape of the coupling element is a sector shape.
在本发明的一个实施例中,所述级联式功分器单元包括若干功分器,每个所述功分器包括入射波导、多模波导和两个出射波导,且所述入射波导和所述多模波导之间通过第一taper结构相连,且所述多模波导和所述两个出射波导之间分别通过一个第二taper结构相连。In one embodiment of the present invention, the cascaded power splitter unit includes a plurality of power splitters, each of the power splitters includes an incident waveguide, a multimode waveguide and two outgoing waveguides, and the incident waveguide and The multimode waveguides are connected through a first taper structure, and the multimode waveguides and the two outgoing waveguides are respectively connected through a second taper structure.
在本发明的一个实施例中,所述移相器件包括铝层,所述铝层设置于所述级联式功分器单元和所述发射天线单元之间所述波导结构需加电的位置上。In an embodiment of the present invention, the phase-shifting device includes an aluminum layer, and the aluminum layer is disposed at a position where the waveguide structure needs to be powered between the cascaded power divider unit and the transmitting antenna unit superior.
在本发明的一个实施例中,所述发射天线包括第二入射波导缓冲结构、第二出射波导缓冲结构以及设置于所述第二入射波导缓冲结构和第二出射波导缓冲结构之间的第二周期波导光栅结构,其中,所述第二周期波导光栅结构包括周期性排列的凹槽,且所述第二入射波导缓冲结构的设定宽度至所述第二出射波导缓冲结构的设定宽度相等。In an embodiment of the present invention, the transmit antenna includes a second incident waveguide buffer structure, a second outgoing waveguide buffer structure, and a second incident waveguide buffer structure and a second outgoing waveguide buffer structure disposed between the second incident waveguide buffer structure and the second outgoing waveguide buffer structure. Periodic waveguide grating structure, wherein the second periodic waveguide grating structure includes grooves arranged periodically, and the set width of the second incident waveguide buffer structure is equal to the set width of the second exit waveguide buffer structure .
在本发明的一个实施例中,所述发射天线的形状为条形形状。In an embodiment of the present invention, the shape of the transmitting antenna is a bar shape.
在本发明的一个实施例中,所述微结构层的掺杂浓度为1018cm-3。In an embodiment of the present invention, the doping concentration of the microstructure layer is 1018 cm-3 .
在本发明的一个实施例中,所述衬底层的掺杂浓度为1018cm-3。In an embodiment of the present invention, the doping concentration of the substrate layer is 1018 cm-3 .
在本发明的一个实施例中,所述缓冲层的掺杂浓度为1015cm-3。In an embodiment of the present invention, the doping concentration of the buffer layer is 1015 cm-3 .
本发明的有益效果:Beneficial effects of the present invention:
本发明的衬底层和微结构层均采用GaAs材料,缓冲层采用Al0.3Ga0.68As材料,同时微结构层包括依次连接的耦合元件、级联式功分器单元、移相器件单元和发射天线单元,这种光波导相控阵列结构显著提高了二维光波导相控阵的扫描速度。The substrate layer and the microstructure layer of the present invention are all made of GaAs material, the buffer layer is made of Al0.3 Ga0.68 As material, and the micro structure layer includes sequentially connected coupling elements, cascaded power divider units, phase shifting device units and transmitting antennas unit, this optical waveguide phased array structure significantly improves the scanning speed of the two-dimensional optical waveguide phased array.
以下将结合附图及实施例对本发明做进一步详细说明。The present invention will be further described in detail below with reference to the accompanying drawings and embodiments.
附图说明Description of drawings
图1是本发明实施例提供的一种快速二维扫描光波导相控阵列结构的示意图;1 is a schematic diagram of a structure of a fast two-dimensional scanning optical waveguide phased array provided by an embodiment of the present invention;
图2是本发明实施例提供的一种微结构层的示意图;2 is a schematic diagram of a microstructure layer provided by an embodiment of the present invention;
图3是本发明实施例提供的一种波导结构的示意图;3 is a schematic diagram of a waveguide structure provided by an embodiment of the present invention;
图4是本发明实施例提供的一种仿真优化结果示意图;4 is a schematic diagram of a simulation optimization result provided by an embodiment of the present invention;
图5是本发明实施例提供的一种仿真实验的结果示意图;5 is a schematic diagram of a result of a simulation experiment provided by an embodiment of the present invention;
图6是本发明实施例提供的一种XZ方向的耦合器件的示意图;6 is a schematic diagram of a coupling device in an XZ direction provided by an embodiment of the present invention;
图7是本发明实施例提供的一种YZ方向的耦合器件的示意图;7 is a schematic diagram of a coupling device in the YZ direction provided by an embodiment of the present invention;
图8是本发明实施例提供的另一种仿真实验的结果示意图;8 is a schematic diagram of a result of another simulation experiment provided by an embodiment of the present invention;
图9是本发明实施例提供的一种级联式功分器单元的示意图;9 is a schematic diagram of a cascaded power divider unit provided by an embodiment of the present invention;
图10是本发明实施例提供的另一种仿真优化结果示意图;10 is a schematic diagram of another simulation optimization result provided by an embodiment of the present invention;
图11是本发明实施例提供的另一种仿真优化结果示意图;11 is a schematic diagram of another simulation optimization result provided by an embodiment of the present invention;
图12是本发明实施例提供的又一种仿真实验的结果示意图;12 is a schematic diagram of the result of another simulation experiment provided by an embodiment of the present invention;
图13是本发明实施例提供的一种移相器件的示意图;13 is a schematic diagram of a phase shifting device provided by an embodiment of the present invention;
图14是本发明实施例提供的一种发射天线的示意图;14 is a schematic diagram of a transmitting antenna provided by an embodiment of the present invention;
图15是本发明实施例提供的又一种仿真优化结果示意图;15 is a schematic diagram of another simulation optimization result provided by an embodiment of the present invention;
图16是本发明实施例提供的又一种仿真优化结果示意图;16 is a schematic diagram of another simulation optimization result provided by an embodiment of the present invention;
图17为本发明实施例提供的一种电光调制仿真结果示意图;17 is a schematic diagram of a simulation result of electro-optical modulation provided by an embodiment of the present invention;
图18为本发明实施例提供的一种波长调制仿真结果示意图;18 is a schematic diagram of a wavelength modulation simulation result provided by an embodiment of the present invention;
图19为本发明实施例提供的另一种波长调制仿真结果示意图;19 is a schematic diagram of another wavelength modulation simulation result provided by an embodiment of the present invention;
图20为本发明实施例提供的一种电光效应控制的扫描速度示意图。FIG. 20 is a schematic diagram of a scanning speed controlled by an electro-optical effect according to an embodiment of the present invention.
具体实施方式Detailed ways
下面结合具体实施例对本发明做进一步详细的描述,但本发明的实施方式不限于此。The present invention will be described in further detail below with reference to specific embodiments, but the embodiments of the present invention are not limited thereto.
实施例一Example 1
请同时参见图1和图2,图1是本发明实施例提供的一种快速二维扫描光波导相控阵列结构的示意图,图2是本发明实施例提供的一种微结构层的示意图,图1中的Y方向为二维扫描光波导相控阵列结构的厚度方向、Z方向为二维扫描光波导相控阵列结构的长度方向,图2中的X方向为二维扫描光波导相控阵列结构的宽度方向。本实施例提供一种快速二维扫描光波导相控阵列结构,该快速二维扫描光波导相控阵列结构包括衬底层1、缓冲层2和微结构层3,其中,衬底层1为n型掺杂的GaAs材料,缓冲层2为p型掺杂的Al0.3Ga0.68As材料,微结构层3为n型掺杂的GaAs材料,且缓冲层2设置于衬底层1上,微结构层3设置于缓冲层2上,另外,微结构层3包括耦合元件31、级联式功分器单元32、移相器件单元33和发射天线单元34,耦合元件31、级联式功分器单元32、移相器件单元33和发射天线单元34通过波导结构依次相互连接,且移相器件单元33包括若干移相器件,发射天线单元34包括若干发射天线,级联式功分器单元32分别连接移相器件,且每个移相器件分别连接一个发射天线。Please refer to FIG. 1 and FIG. 2 at the same time. FIG. 1 is a schematic diagram of a fast two-dimensional scanning optical waveguide phased array structure provided by an embodiment of the present invention, and FIG. 2 is a schematic diagram of a microstructure layer provided by an embodiment of the present invention. The Y direction in FIG. 1 is the thickness direction of the two-dimensional scanning optical waveguide phased array structure, the Z direction is the length direction of the two-dimensional scanning optical waveguide phased array structure, and the X direction in FIG. 2 is the two-dimensional scanning optical waveguide phased array structure. The width direction of the array structure. This embodiment provides a fast two-dimensional scanning optical waveguide phased array structure. The fast two-dimensional scanning optical waveguide phased array structure includes a
本发明的衬底层和微结构层均采用GaAs材料,缓冲层采用Al0.3Ga0.68As材料。同时本发明的入射光束通过光纤端面出射经由耦合器件进入微结构层,通过波导进入级联式功分器单元,从而被分为多通道同相光束,各通道光束再经由波导进入移相器件单元,再由移相器单元统一控制各通道中的光场相位,最后通过波导进入发射天线单元进行发射,这种结构显著提高了二维光波导相控阵的扫描速度。The substrate layer and the microstructure layer of the present invention are all made of GaAs material, and the buffer layer is made of Al0.3 Ga0.68 As material. At the same time, the incident beam of the present invention exits through the end face of the optical fiber, enters the microstructure layer through the coupling device, and enters the cascaded power splitter unit through the waveguide, thereby being divided into multi-channel in-phase beams, and each channel beam enters the phase-shifting device unit through the waveguide. The phase shifter unit controls the phase of the optical field in each channel uniformly, and finally enters the transmitting antenna unit through the waveguide for transmission. This structure significantly improves the scanning speed of the two-dimensional optical waveguide phased array.
目前,基于GaAs/GaAlAs材料的平面光波导相控阵具有结构简单、响应速度快、扫描范围大、驱动电压低、电路控制简单等显著优点,成为快速二维扫描OPA的研究热点。但是,截至目前基于GaAs/GaAlAs材料二维相控阵的研究相对较少。因此,为了进一步地提高本实施例的二维扫描光波导相控阵列结构的性能,本实施例的衬底层1采用的材料为n型掺杂的GaAs、缓冲层2采用的材料为Al0.3Ga0.68As、微结构层3采用的材料为n型掺杂的GaAs材料。另外,为了能够更进一步地提高本实施例的二维扫描光波导相控阵列结构的性能,衬底层1的掺杂浓度为1018cm-3,缓冲层2的掺杂浓度为1015cm-3,微结构层3的掺杂浓度为1018cm-3。At present, planar optical waveguide phased arrays based on GaAs/GaAlAs materials have obvious advantages such as simple structure, fast response speed, large scanning range, low driving voltage, and simple circuit control, and have become a research hotspot for fast two-dimensional scanning OPA. However, so far, there are relatively few studies on two-dimensional phased arrays based on GaAs/GaAlAs materials. Therefore, in order to further improve the performance of the two-dimensional scanning optical waveguide phased array structure of this embodiment, the material used for the
基于上述参数,本实施例考虑了波导传输的单模条件,即:Based on the above parameters, this embodiment considers the single-mode condition of waveguide transmission, namely:
其中,为单模波导厚度,n1为空气的折射率,n2为微结构层的折射率,n3为缓冲层的折射率,λ为入射波长,m为单模的阶数,本实施例的m取0。图4为波导结构的厚度、宽度对于传输效率影响的仿真结果,优选的,请参见图3,波导结构的宽度301与厚度302均为1μm,本实施例基于上述参数进行了仿真实验,其仿真结果请参见图5,根据仿真结果可知传输损耗为2.038dB/cm。in, is the thickness of the single-mode waveguide, n1 is the refractive index of air, n2 is the refractive index of the microstructure layer, n3 is the refractive index of the buffer layer, λ is the incident wavelength, m is the order of the single mode, and m in this embodiment is 0. Fig. 4 is a simulation result of the influence of the thickness and width of the waveguide structure on the transmission efficiency. Preferably, please refer to Fig. 3. The
请同时参见图6和图7,本实施例的耦合元件31包括第一入射波导缓冲结构311、第一出射波导缓冲结构313以及设置于第一入射波导缓冲结构311和第一出射波导缓冲结构313之间的第一周期波导光栅结构312,其中,第一周期波导光栅结构包括周期性排列的凹槽314,且第一入射波导缓冲结构311的设定宽度D1至第一出射波导缓冲结构313的设定宽度D2逐渐减小,优选地,耦合元件31的形状为扇形形状。Referring to FIG. 6 and FIG. 7 at the same time, the
进一步地,请再次参见图7,耦合元件31的结构为一波导光栅耦合器,其中,第一周期波导光栅结构312是通过在波导结构上通过周期性刻蚀凹槽形成,同时为了光的入射和出射还在第一周期波导光栅结构312两端分别保留有没有刻蚀凹槽部分的第一入射波导缓冲结构311和第一出射波导缓冲结构313,第一出射波导缓冲结构313的末端与波导结构相连接,从光纤末端出射的光依次经过第一入射波导缓冲结构311、第一周期波导光栅结构312和第一出射波导缓冲结构313耦合进入级联式功分器单元32中。其中,图7中的T为光栅周期,θ为入射角,AC为相邻凹槽出射光束的光程差,E为波导光栅凹槽的宽度,F为波导光栅凹槽的深度。Further, please refer to FIG. 7 again, the structure of the
本实施例的耦合元件31是基于波导光栅衍射效应的一种结构。第一周期波导光栅结构312中的周期性凹槽会对波导折射率会产生周期性调制,沿波导传播的光会耦合到上包层(即空气层),其可以作为发射器件将波导中的光发射到外部环境中,而依据光路可逆原理,也可以将外部环境中的光耦合到波导中。The
本实施例的相邻凹槽出射光束的光程差为:The optical path difference of the emitted light beams from adjacent grooves in this embodiment is:
Δ=n1AC-neffTΔ=n1 AC-neff T
其中,neff为有效折射率。where neff is the effective refractive index.
本实施例的光束衍射极大值会出现在光程差为波长整数倍的地方,即:The maximum value of beam diffraction in this embodiment will appear where the optical path difference is an integer multiple of the wavelength, that is:
(n1 sinθ-neff)T=mλ(n1 sinθ-neff )T=mλ
推导得到布拉格条件:Derive the Prague condition:
β=k1 sinθ-mkgβ=k1 sinθ-mkg
其中,in,
因此,只有满足Bragg条件的光才能耦合进光栅或者传播出去。波导光栅耦合器的效果可以通过耦合效率η体现,而Iin为入射光的能量,Iout为出射光的能量,则入射光将有一部分耦合进入波导,还有一部分入射光会发生反射,耦合进波导的光会耦合向衬底层,或从衬底层中向波导中反射。耦合元件31的凹槽形状、深度、周期都会对η产生影响。在本实施例中n1=1,n2=3.273,n3=3.373,波长λ选用通讯波长1.55μm,按照本实施例的结构设计,则有效折射率neff=3.368。由于光路的可逆原理,耦合元件31的优化过程类似于发射天线的逆过程,具体请参见发射天线优化原理,这里不再赘述。Therefore, only light satisfying the Bragg condition can be coupled into the grating or propagated out. The effect of the waveguide grating coupler can be reflected by the coupling efficiency η, while Iin is the energy of the incident light, and Iout is the energy of the outgoing light, then a part of the incident light will be coupled into the waveguide, and a part of the incident light will be reflected, and the light coupled into the waveguide will be coupled to the substrate layer, or from the substrate layer Reflection in the middle of the waveguide. The shape, depth and period of the groove of the
优选地,光栅周期T为0.46μm,周期数为40,波导光栅凹槽的宽度E为0.3μm,波导光栅凹槽的深度F为0.2μm,入射角θ为90°,且整个耦合元件31的长度为58μm,第一入射波导缓冲结构311的设定宽度D1为32μm,第一出射波导缓冲结构313的设定宽度D2为1μm。本实施例基于上述参数进行了仿真实验,其仿真结果请参见图8,根据仿真结构可知耦合效率为30%。Preferably, the grating period T is 0.46 μm, the number of periods is 40, the width E of the waveguide grating groove is 0.3 μm, the depth F of the waveguide grating groove is 0.2 μm, the incident angle θ is 90°, and the
请参见图9,级联式功分器单元32包括若干功分器,功分器为一种多模级联干涉器结构,其中每个功分器包括入射波导321、多模波导323和两个出射波导325,即功分器为一种1×2功分器,入射波导323和多模波导325之间通过第一taper结构322相连,且多模波导323和两个出射波导325之间分别通过一个第二taper结构324相连,第一taper结构322和第二taper结构324均为一种梯形结构,优选地均为等腰梯形结构,第一taper结构322的短边连接入射波导323、长边连接多模波导323,第二taper结构324的长边连接多模波导323、短边连接出射波导325,第一taper结构322和第二taper结构324有助于提高耦合效率。Referring to FIG. 9 , the cascaded
本实施例的级联式功分器单元32主要是利用多模波导的自镜像效应,即光波入射到多模波导中时,会在其内部激发出若干个导模,若干个导模之间互相干涉,使得光波传播的方向会周期性地产生入射光场的映像,并且该周期的大小由映像个数及入射光场位置决定。The cascaded
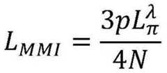
为了更好地确定二维扫描光波导相控阵列结构的性能,则需要确定功分器的多模波导的宽度与传播长度,其自镜像效应成像周期由下式定义:In order to better determine the performance of the two-dimensional scanning optical waveguide phased array structure, it is necessary to determine the width and propagation length of the multimode waveguide of the power splitter, and the imaging period of the self-mirror effect is defined by the following formula:
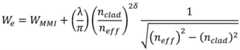
其中,该公式的neff为1×2功分器的有效折射率,为多模波导的自镜像效应周期长度,λ为入射波长,We为多模波导的有效宽度,其可以由下式确定:where neff of this formula is the effective refractive index of the 1×2 power divider, is the period length of the self-image effect of the multimode waveguide,λ is the incident wavelength, and We is the effective width of the multimode waveguide, which can be determined by the following formula:
其中,WMMI为功分器的物理宽度,nclad为缓冲层的折射率。功分器(MMI)的长度可以表示为:Among them, WMMI is the physical width of the power divider, and nclad is the refractive index of the buffer layer. The length of the power divider (MMI) can be expressed as:
其中,p为自镜像效应的成像周期,本实施例的p取1,N为输出数量,本实施例的N=2。Among them, p is the imaging period of the self-mirror effect, p in this embodiment is 1, N is the number of outputs, and N=2 in this embodiment.
图10、11为功分器插入损耗优化结果,即将功率监视器设置在出射波导325末端测试功分器的输出效率,图10为多模波导325宽度对于分束效率的影响,图11为多模波导325长度对于传输效率的影响。由图10和图11仿真结果观察得到最佳多模波导325的宽度为5度m,长度为24.5观m。Figures 10 and 11 show the optimization results of the insertion loss of the power splitter, that is, setting the power monitor at the end of the output waveguide 325 to test the output efficiency of the power splitter. Figure 10 shows the influence of the width of the multimode waveguide 325 on the beam splitting efficiency. Influence of mode waveguide 325 length on transmission efficiency. It is observed from the simulation results in FIGS. 10 and 11 that the optimal multimode waveguide 325 has a width of 5 degrees m and a length of 24.58 m.
优选地,LMMI为24.5μm,WMMI为5.00μm。本实施例以多模波导下边为零点,入射波导设置在距离零点处,两个出射波导对称的设置在距零点的处,第一taper结构322和第二taper结构324的长边均为1.5μm、短边均为1μm、短边至长边的距离为1μm。本实施例基于上述参数进行了仿真实验,其仿真结果请参见图12,根据仿真结构可知插入损耗为2.38dB。Preferably, the LMMI is 24.5 μm and the WMMI is 5.00 μm. In this embodiment, the lower side of the multimode waveguide is zero, and the incident waveguide is set at a distance from the zero At , the two outgoing waveguides are symmetrically arranged at the distance from the zero point , the long sides of the first taper structure 322 and the second taper structure 324 are both 1.5 μm, the short sides are both 1 μm, and the distance from the short side to the long side is 1 μm. In this embodiment, a simulation experiment is performed based on the above parameters, and the simulation result is shown in FIG. 12 . According to the simulation structure, it can be known that the insertion loss is 2.38 dB.
请参见图13,本实施例移相器件优选地为铝层331,且铝层设置于最后一级功分器和发射天线之间波导结构需加电的位置上,且为欧姆接触,铝层作为电极通过金线与外加电路相连接,通过控制施加在移相器件电压的大小,实现对波导内光场的相位进行调制。Referring to FIG. 13, the phase-shifting device in this embodiment is preferably an
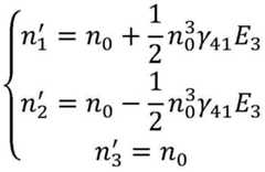
本实施例将提供一种光学相控阵的馈电方法(产生的方法)。GaAs晶体属于晶体点群,在未加电场时,光学性质是各向同性的,其折射率椭球为旋转球面,方程式为:This embodiment will provide a feeding method for an optical phased array (generating Methods). GaAs crystal belongs to The crystal point group has isotropic optical properties when no electric field is applied, and its refractive index ellipsoid is a sphere of revolution. The equation is:
其中,方程式中x1、x2、x3坐标取晶轴方向,其线性电光系数矩阵为:Among them, the x1 , x2 , and x3 coordinates in the equation take the direction of the crystal axis, and the linear electro-optic coefficient matrix is:
因此在加入外加电场后,感应折射率椭球变为:Therefore, after adding an applied electric field, the induced refractive index ellipsoid becomes:
其中,E1、E2和E3分别为x1、x2和x3方向的电场分量,no为寻常光折射率,γ41为线性电光系数。Among them, E1, E2 and E3 are the electric field components in the directions of x1 , x2 and x3 respectively, no is the refractive index of ordinary light, and γ41 is the linear electro-optic coefficient.
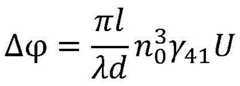
优选的,本实施例移相器件采用外加电场垂直于001晶面。此时,晶体的光学特性由各向同性变为双轴晶体,感应折射率椭球的三个主轴方向由原折射率椭球的三个主轴绕x3轴旋转45°,则感应折射率为:Preferably, the phase-shifting device in this embodiment adopts the applied electric field perpendicular to the 001 crystal plane. At this time, the optical properties of the crystal are changed from isotropic to biaxial crystal, and the three main axes of the induced refractive index ellipsoid are rotated by 45° around the x3 axis from the three main axes of the original refractive index ellipsoid, then the induced refractive index is :
其中,n′1、n′2和n′3分别为x′1、x′2和x3方向的感应折射率。Wherein, n′1 , n′2 and n′3 are the induced refractive indices in the directions of x′1 , x′2 and x3 , respectively.
当光沿x3轴方向传播时,电光延迟为:When light travels along thex3 axis, the electro-optic delay is:
当光沿x′1、x′2方向传播时,电光延迟为:When the light propagates along the x'1 and x'2 directions, the electro-optical delay is:
其中,x′1、x′2为加电之后相对x1、x2不同的电场分量的方向,U3为x3光轴方向的外加电场的电压,U为沿x′1,x′2方向时的外加电压,l为沿光传播方向的晶体长度,d为沿外加电压方向上的晶体厚度。优选的,本实施例要求晶体x3轴沿Y方向。Among them, x'1 and x'2 are the directions of the electric field components that are different from x1 and x2 after power-on, U3 is the voltage of the applied electric field in the direction of the optical axis of x3 , and U is the voltage along x'1 , x'2 The applied voltage in the direction, l is the crystal length along the light propagation direction, d is the crystal thickness along the applied voltage direction. Preferably, this embodiment requires that the x3 axis of the crystal is along the Y direction.
请参见图14,本实施例的发射天线34包括第二入射波导缓冲结构341、第二出射波导缓冲结构343以及设置于第二入射波导缓冲结构341和第二出射波导缓冲结构343之间的第二周期波导光栅结构342,其中,第二周期波导光栅结构包括周期性排列的凹槽,且第二入射波导缓冲结构的设定宽度D3至第二出射波导缓冲结构的设定宽度D4相等,优选地,发射天线34的形状为条形形状。Referring to FIG. 14 , the transmitting
图15、16为发射天线耦合效率仿真结果,即将功率监视器设置在发射天线的上表面,监测辐射效率。图15为蚀刻周期对于耦合发射效率的影响,图16为蚀刻深度对于发射效率的影响。由图15和图16观察可得,在蚀刻深度(即发射天线的波导光栅凹槽的深度)为0.2栅m,发射天线的光栅周期为0.46为m时,可以得到垂直方向上最佳耦合效率64%。Figures 15 and 16 show the simulation results of the coupling efficiency of the transmitting antenna, that is, setting the power monitor on the upper surface of the transmitting antenna to monitor the radiation efficiency. FIG. 15 shows the effect of the etching period on the coupled emission efficiency, and FIG. 16 shows the effect of the etching depth on the emission efficiency. It can be seen from Figure 15 and Figure 16 that when the etching depth (that is, the depth of the waveguide grating groove of the transmitting antenna) is 0.2 m, and the grating period of the transmitting antenna is 0.46 m, the best coupling efficiency in the vertical direction can be obtained. 64%.
优选地,发射天线的光栅周期T为0.46μm,周期数为8,发射天线的波导光栅凹槽的宽度E为0.3μm,发射天线的波导光栅凹槽的深度为0.2μm。整个发射天线的长度为10μm,第二入射波导缓冲结构的设定宽度D3和第二出射波导缓冲结构的设定宽度D4均为1μm。Preferably, the grating period T of the transmitting antenna is 0.46 μm, the number of periods is 8, the width E of the waveguide grating groove of the transmitting antenna is 0.3 μm, and the depth of the waveguide grating groove of the transmitting antenna is 0.2 μm. The length of the entire transmitting antenna is 10 μm, and the set width D3 of the second incident waveguide buffer structure and the set width D4 of the second outgoing waveguide buffer structure are both 1 μm.
优选地,相邻发射天线之间的间距为1μm。Preferably, the spacing between adjacent transmitting antennas is 1 μm.
本实施例为了说明本实施例所提供的二维扫描光波导相控阵列结构能够实现快速二维扫描,将进行下述具体说明。In this embodiment, in order to illustrate that the two-dimensional scanning optical waveguide phased array structure provided in this embodiment can realize fast two-dimensional scanning, the following specific description will be given.
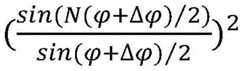
本实施例的一维扫描利用GaAs晶体的电光效应,独立的给每个波导阵列附加一个相位,使得相邻波导间在输出截面上的相位延迟差为这样就形成了同相波前,实现了光束偏转。理想条件下,光场在各波导芯层独立传输时,光波导阵列的周期性衍射光场分布特性可以通过光栅方程描述。调制后的输出光场的复振幅可以表示成:The one-dimensional scanning in this embodiment utilizes the electro-optic effect of GaAs crystal to independently add a phase to each waveguide array, so that the phase delay difference between adjacent waveguides on the output cross section is This forms an in-phase wavefront and realizes beam deflection. Under ideal conditions, when the optical field is transmitted independently in each waveguide core layer, the periodic diffraction optical field distribution characteristics of the optical waveguide array can be described by the grating equation. The complex amplitude of the modulated output light field can be expressed as:
相应的光强分布为:The corresponding light intensity distribution is:
上式中α=ka sinθ,a为波导芯层宽度,d为波导阵列周期宽度,θ为衍射角,λ为入射光自由空间波长。未加调至的波导阵列的光强分布为:In the above formula, α=ka sinθ, a is the width of the waveguide core layer, d is the period width of the waveguide array, θ is the diffraction angle, and λ is the free-space wavelength of the incident light. The light intensity distribution of the untuned waveguide array is:
对比于未加调至的波导阵列的光强分布明显可以看到是由于多缝干涉因子变成了使得光强的条纹状分布发生了平移。这样可以利用GaAs的电光效应使波导阵列的芯层产生不同的折射率差Δn,从而得到相邻波导在出射截面上的相差为随着的变化光场条纹的位置也发生平移。Compared to the light intensity distribution of the untuned waveguide array, it can be clearly seen that this is due to the multi-slit interference factor. became The streak distribution of light intensity is shifted. In this way, the electro-optic effect of GaAs can be used to generate different refractive index differences Δn in the core layer of the waveguide array, so that the difference between adjacent waveguides on the exit cross section can be obtained as along with The position of the changing light field fringes also shifts.
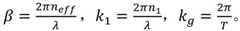
其中,另一维采用波长调制:利用高速可调谐激光器改变入射波长,实现发射天线阵列远场分布的快速改变。依据光路可逆原理,逆推布拉格条件得到出射角满足下式:Among them, the other dimension adopts wavelength modulation: using a high-speed tunable laser to change the incident wavelength, the rapid change of the far-field distribution of the transmitting antenna array is realized. According to the principle of reversibility of the optical path, the Bragg condition is reversed to obtain the exit angle that satisfies the following formula:
在波导光栅结构确定的情况下,出射角度受到波长的调制。With the waveguide grating structure determined, the exit angle is modulated by the wavelength.
请参见图17,图17为本发明实施例提供的一种电光调制仿真结果示意图,本实施例利用matlab得到波长为1.55μm的光束在本二维扫描光波导相控阵列结构下的远场分布,图17中实线为扫描角度为0度的远场分布,虚线为扫描角度为15度的远场分布。Please refer to FIG. 17. FIG. 17 is a schematic diagram of an electro-optical modulation simulation result provided by an embodiment of the present invention. In this embodiment, matlab is used to obtain the far-field distribution of a light beam with a wavelength of 1.55 μm under the two-dimensional scanning optical waveguide phased array structure. , the solid line in FIG. 17 is the far-field distribution with a scanning angle of 0 degrees, and the dotted line is the far-field distribution with a scanning angle of 15 degrees.
请参见图18和图19,图18为波长为1.4μm时的发射天线阵列远场分布,图19为波长为1.6μm时的发射天线阵列的远场分布。简单来讲,本实施例二维扫描光波导相控阵列结构的电光调制能够实现图17中光场上下的移动,波长调制能够实现图18和图19中光场的左右移动。与普通二维光波导相控阵相比较,本发明实施例的二维扫描光波导相控阵列结构能够实现二维同时快速扫描。请参见图20,图20为一种电光效应控制的扫描速度示意图,由图20可知本实施例所提供的二维扫描光波导相控阵列结构的扫描速度可以达到1MHz。由波长控制的扫描速度由输入可调谐激光器决定,一般常见的高速可调谐激光器都可以实现GHz量级的调谐。Please refer to FIG. 18 and FIG. 19 , FIG. 18 is the far-field distribution of the transmitting antenna array when the wavelength is 1.4 μm, and FIG. 19 is the far-field distribution of the transmitting antenna array when the wavelength is 1.6 μm. In short, the electro-optic modulation of the two-dimensional scanning optical waveguide phased array structure in this embodiment can realize the up and down movement of the light field in FIG. 17 , and the wavelength modulation can realize the left and right movement of the light field in FIGS. 18 and 19 . Compared with the common two-dimensional optical waveguide phased array, the two-dimensional scanning optical waveguide phased array structure of the embodiment of the present invention can realize two-dimensional simultaneous fast scanning. Please refer to FIG. 20 , which is a schematic diagram of a scanning speed controlled by an electro-optical effect. It can be seen from FIG. 20 that the scanning speed of the two-dimensional scanning optical waveguide phased array structure provided in this embodiment can reach 1 MHz. The scanning speed controlled by the wavelength is determined by the input tunable laser, and the general common high-speed tunable laser can realize the tuning of the order of GHz.
本发明实施例的二维扫描光波导相控阵列结构在原始二维相控阵芯片的基础上选用GaAs和AlGaAs材料,改善了因材料原因限制的硅材料二维相控阵芯片扫描速度较慢的问题,实现了快速二维扫描。The two-dimensional scanning optical waveguide phased array structure of the embodiment of the present invention selects GaAs and AlGaAs materials on the basis of the original two-dimensional phased array chip, which improves the slow scanning speed of the silicon material two-dimensional phased array chip due to material limitations. The problem of fast 2D scanning is achieved.
本发明实施例的参数选择是依据整个微结构层能够达到最佳的传输效率而进行的选择,对于其它不同材料并不能通过简单的参数移植得到相应的效果。The selection of parameters in the embodiments of the present invention is based on the fact that the entire microstructure layer can achieve the best transmission efficiency, and corresponding effects cannot be obtained by simple parameter transplantation for other different materials.
本实施例所提出的平面型人工表面的双频段频率扫描天线解决了传统频率扫描天线工作频段单一,只能进行单次波束扫描的问题,并且体积小、剖面低,有利于平面集成化设计。The dual-band frequency scanning antenna of the planar artificial surface proposed in this embodiment solves the problem that the traditional frequency scanning antenna has a single working frequency band and can only perform a single beam scan, and is small in size and low in profile, which is beneficial to the planar integration design.
在本发明的描述中,需要理解的是,术语“中心”、“纵向”、“横向”、“长度”、“宽度”、“厚度”、“上”、“下”、“前”、“后”、“左”、“右”、“竖直”、“水平”、“顶”、“底”、“内”、“外”、“顺时针”、“逆时针”等指示的方位或位置关系为基于附图所示的方位或位置关系,仅是为了便于描述本发明和简化描述,而不是指示或暗示所指的装置或元件必须具有特定的方位、以特定的方位构造和操作,因此不能理解为对本发明的限制。In the description of the present invention, it should be understood that the terms "center", "longitudinal", "lateral", "length", "width", "thickness", "upper", "lower", "front", " rear, left, right, vertical, horizontal, top, bottom, inside, outside, clockwise, counterclockwise, etc., or The positional relationship is based on the orientation or positional relationship shown in the drawings, which is only for the convenience of describing the present invention and simplifying the description, rather than indicating or implying that the referred device or element must have a specific orientation, be constructed and operated in a specific orientation, Therefore, it should not be construed as a limitation of the present invention.
此外,术语“第一”、“第二”仅用于描述目的,而不能理解为指示或暗示相对重要性或者隐含指明所指示的技术特征的数量。由此,限定有“第一”、“第二”的特征可以明示或者隐含地包括一个或者更多个该特征。在本发明的描述中,“多个”的含义是两个或两个以上,除非另有明确具体的限定。In addition, the terms "first" and "second" are only used for descriptive purposes, and should not be construed as indicating or implying relative importance or implying the number of indicated technical features. Thus, a feature defined as "first" or "second" may expressly or implicitly include one or more of that feature. In the description of the present invention, "plurality" means two or more, unless otherwise expressly and specifically defined.
在本说明书的描述中,参考术语“一个实施例”、“一些实施例”、“示例”、“具体示例”、或“一些示例”等的描述意指结合该实施例或示例描述的具体特征、结构、材料或者特点包含于本发明的至少一个实施例或示例中。在本说明书中,对上述术语的示意性表述不必须针对的是相同的实施例或示例。而且,描述的具体特征、结构、材料或者特点可以在任何的一个或多个实施例或示例中以合适的方式结合。此外,本领域的技术人员可以将本说明书中描述的不同实施例或示例进行接合和组合。In the description of this specification, description with reference to the terms "one embodiment," "some embodiments," "example," "specific example," or "some examples", etc., mean specific features described in connection with the embodiment or example , structure, material or feature is included in at least one embodiment or example of the present invention. In this specification, schematic representations of the above terms are not necessarily directed to the same embodiment or example. Furthermore, the particular features, structures, materials or characteristics described may be combined in any suitable manner in any one or more embodiments or examples. Furthermore, those skilled in the art may combine and combine the different embodiments or examples described in this specification.
以上内容是结合具体的优选实施方式对本发明所作的进一步详细说明,不能认定本发明的具体实施只局限于这些说明。对于本发明所属技术领域的普通技术人员来说,在不脱离本发明构思的前提下,还可以做出若干简单推演或替换,都应当视为属于本发明的保护范围。The above content is a further detailed description of the present invention in combination with specific preferred embodiments, and it cannot be considered that the specific implementation of the present invention is limited to these descriptions. For those of ordinary skill in the technical field of the present invention, without departing from the concept of the present invention, some simple deductions or substitutions can be made, which should be regarded as belonging to the protection scope of the present invention.
| Application Number | Priority Date | Filing Date | Title | 
|---|---|---|---|
| CN201910976182.9ACN110750003A (en) | 2019-10-15 | 2019-10-15 | Rapid two-dimensional scanning optical waveguide phased array structure | 
| Application Number | Priority Date | Filing Date | Title | 
|---|---|---|---|
| CN201910976182.9ACN110750003A (en) | 2019-10-15 | 2019-10-15 | Rapid two-dimensional scanning optical waveguide phased array structure | 
| Publication Number | Publication Date | 
|---|---|
| CN110750003Atrue CN110750003A (en) | 2020-02-04 | 
| Application Number | Title | Priority Date | Filing Date | 
|---|---|---|---|
| CN201910976182.9APendingCN110750003A (en) | 2019-10-15 | 2019-10-15 | Rapid two-dimensional scanning optical waveguide phased array structure | 
| Country | Link | 
|---|---|
| CN (1) | CN110750003A (en) | 
| Publication number | Priority date | Publication date | Assignee | Title | 
|---|---|---|---|---|
| CN111398983A (en)* | 2020-04-02 | 2020-07-10 | 华中科技大学 | A fully electronically controlled two-dimensional beam scanning device | 
| CN111722189A (en)* | 2020-06-05 | 2020-09-29 | 东方红卫星移动通信有限公司 | Multi-beam millimeter wave phased array chip and manufacturing method thereof | 
| CN114945836A (en)* | 2021-08-10 | 2022-08-26 | 深圳市速腾聚创科技有限公司 | Optical phased array chip and laser radar | 
| CN115453797A (en)* | 2021-06-08 | 2022-12-09 | 联合微电子中心有限责任公司 | Optical phased array | 
| CN115632244A (en)* | 2022-10-11 | 2023-01-20 | 北京爱杰光电科技有限公司 | Antenna structure | 
| Publication number | Priority date | Publication date | Assignee | Title | 
|---|---|---|---|---|
| CN208013635U (en)* | 2018-03-29 | 2018-10-26 | 中国科学院西安光学精密机械研究所 | Optical phased array | 
| CN109001857A (en)* | 2018-07-05 | 2018-12-14 | 西安电子科技大学 | A kind of improved flat-plate optical waveguide array structure improving energy transmission efficiency | 
| CN109270550A (en)* | 2018-09-11 | 2019-01-25 | 清华大学 | Scanning light beam ballistic device, laser radar apparatus and detection method | 
| Publication number | Priority date | Publication date | Assignee | Title | 
|---|---|---|---|---|
| CN208013635U (en)* | 2018-03-29 | 2018-10-26 | 中国科学院西安光学精密机械研究所 | Optical phased array | 
| CN109001857A (en)* | 2018-07-05 | 2018-12-14 | 西安电子科技大学 | A kind of improved flat-plate optical waveguide array structure improving energy transmission efficiency | 
| CN109270550A (en)* | 2018-09-11 | 2019-01-25 | 清华大学 | Scanning light beam ballistic device, laser radar apparatus and detection method | 
| Title | 
|---|
| DAVID KWONG 等: "On-chip silicon optical phased array for two-dimensional beam steering", 《OPTICS LETTERS》* | 
| F. VASEY 等: "Spatial optical beam steering with an AlGaAs integrated phased array", 《APPLIED OPTICS》* | 
| LIAO JIALI 等: "Optical phased arrays based on silicon and GaAs photonic waveguides", 《PROC. OF SPIE》* | 
| Publication number | Priority date | Publication date | Assignee | Title | 
|---|---|---|---|---|
| CN111398983A (en)* | 2020-04-02 | 2020-07-10 | 华中科技大学 | A fully electronically controlled two-dimensional beam scanning device | 
| CN111398983B (en)* | 2020-04-02 | 2021-02-12 | 华中科技大学 | A fully electronically controlled two-dimensional beam scanning device | 
| CN111722189A (en)* | 2020-06-05 | 2020-09-29 | 东方红卫星移动通信有限公司 | Multi-beam millimeter wave phased array chip and manufacturing method thereof | 
| CN111722189B (en)* | 2020-06-05 | 2023-01-10 | 东方红卫星移动通信有限公司 | Multi-beam millimeter wave phased array chip and manufacturing method thereof | 
| CN115453797A (en)* | 2021-06-08 | 2022-12-09 | 联合微电子中心有限责任公司 | Optical phased array | 
| CN115453797B (en)* | 2021-06-08 | 2025-01-07 | 联合微电子中心有限责任公司 | Optical Phased Array | 
| CN114945836A (en)* | 2021-08-10 | 2022-08-26 | 深圳市速腾聚创科技有限公司 | Optical phased array chip and laser radar | 
| WO2023015438A1 (en)* | 2021-08-10 | 2023-02-16 | 深圳市速腾聚创科技有限公司 | Optical phased array chip and laser radar | 
| CN114945836B (en)* | 2021-08-10 | 2023-03-10 | 深圳市速腾聚创科技有限公司 | Optical phased array chip and laser radar | 
| CN115632244A (en)* | 2022-10-11 | 2023-01-20 | 北京爱杰光电科技有限公司 | Antenna structure | 
| Publication | Publication Date | Title | 
|---|---|---|
| CN110750003A (en) | Rapid two-dimensional scanning optical waveguide phased array structure | |
| CN110174661B (en) | An optical phased array two-dimensional laser radar scanning chip based on polarization multiplexing | |
| US9939577B2 (en) | Diffraction structure, diffraction grating, diffraction grating array, optical phased array, optical modulator, optical filter, laser source | |
| CN112764287B (en) | A half-wave arrangement two-dimensional scanning optical phased array based on flat grating antenna | |
| US11598917B2 (en) | Silicon nitride phased array chip based on a suspended waveguide structure | |
| CN103094837B (en) | The controlled Optical Maser System in a kind of direction | |
| CN110275364A (en) | A heterogeneous integrated two-dimensional optical phased array | |
| CN113703244B (en) | Large-scale integrated electro-optical micro-ring optical phased array | |
| Jiang et al. | Design and analysis of a two-dimensional large-scale silicon-photonic optical phased array | |
| CN112946929B (en) | One-dimensional optical phased array based on apodization modulation | |
| CN116088244B (en) | Cascade phased array optical scanning system | |
| CN106646929A (en) | Electro-optic unit and optical phased array for integrated optical phased array | |
| CN115792954A (en) | Optical phased array, laser radar emission module and laser radar | |
| CN108761955A (en) | The broad band laser phased array system of wide scope scanning | |
| WO2023284399A1 (en) | Beam controller and beam controlling method | |
| CN117406527A (en) | Integrated optical switch type optical scanner | |
| CN113534564A (en) | A method and device for improving the scanning angle of an optical phased array | |
| Xie et al. | High-efficiency broadband photonic crystal fiber metalens with a large numerical aperture | |
| Li et al. | Design of optical phased array with low-sidelobe beam steering in thin film lithium niobate | |
| CN111740786B (en) | Integrated optical waveguide beam forming device | |
| Zhao et al. | Low sidelobe silicon optical phased array with Chebyshev amplitude distribution | |
| CN115616825A (en) | Optical phased array based on sub-wavelength grating and snake-shaped phase shifter | |
| Zhou et al. | Design of a low-crosstalk sub-wavelength-pitch silicon waveguide array for optical phased array | |
| Liu et al. | Novel blue-green light phased array by light-sheet-excited one-dimension strip grating array | |
| Zhang et al. | Two-Dimensional High-Efficiency Transceiver Integrated Optical Phased Array with Dual-Port Antenna | 
| Date | Code | Title | Description | 
|---|---|---|---|
| PB01 | Publication | ||
| PB01 | Publication | ||
| SE01 | Entry into force of request for substantive examination | ||
| SE01 | Entry into force of request for substantive examination | ||
| RJ01 | Rejection of invention patent application after publication | ||
| RJ01 | Rejection of invention patent application after publication | Application publication date:20200204 |