Disclosure of Invention
The technical problem solved by the embodiment of the invention is how to determine the maximum number of the candidate PDCCHs needing to be monitored and the maximum number of the non-overlapped CCEs, so as to reduce the complexity of monitoring the PDCCHs by the UE.
In order to solve the above technical problem, an embodiment of the present invention provides a method for determining monitoring numbers of PDCCH candidates and CCE, including receiving a high level signaling sent by a base station, and determining to start a carrier aggregation characteristic based on the high level signaling, and determining a number of downlink cells that can be monitored

And when the subcarrier interval mu corresponding to the th cell is different from the subcarrier interval j corresponding to the second cell, determining that the maximum number of the candidate PDCCHs monitored in each time slot is th number and the maximum number of the non-overlapping CCEs monitored in each time slot is second number in the th cell, wherein the th cell is a cell for sending scheduling information, the second cell is a cell scheduled by the scheduling information, the second cell corresponds to a different carrier from the th cell, and the th number is determined by the number of the carriers
Y
μj、
Determining; the second number is
Y
μj、
Determining; y is
μjThe number of the second cells of the th cell cross-carrier scheduled subcarrier spacing j for subcarrier spacing mu,
for the th cell number with a configured subcarrier spacing of mu,
monitors the maximum number of candidate PDCCHs of cells for each slot of serving cells having a subcarrier spacing of μ and serving cells having a subcarrier spacing of j,
the maximum number of non-overlapping CCEs of cells is listened to for each slot of serving cells with subcarrier spacing μ and serving cells with subcarrier spacing j respectively,
the number of configured downlink cells which can be monitored.
Optionally, the th number is not more than
The second number does not exceed
Alternatively, the th number is determined according to the following formula
Alternatively, the second number is determined according to the following formula
Optionally, the th cell is or more.
Optionally, the number of the second cells is or more.
Optionally, the candidate PDCCHs include candidate PDCCHs corresponding to different DCI sizes and candidate PDCCHs corresponding to different DMRS scrambling sequences.
The embodiment of the invention provides terminals, which comprise a receiving unit, a receiving unit and a monitoring unit, wherein the receiving unit is suitable for receiving a high-level signaling sent by a base station and determining the characteristic of starting carrier aggregation and the number of downlink cells which can be monitored based on the high-level signaling
More than 4, a determining unit adapted to determine that the maximum number of candidate PDCCHs monitored per slot is and the maximum number of non-overlapping CCEs monitored per slot is the second number in the th cell when the subcarrier spacing mu corresponding to the th cell is different from the subcarrier spacing j corresponding to the second cell, where the th cell is a cell transmitting scheduling information, the second cell is a cell scheduled by the scheduling information, the second cell is a carrier different from the th cell, and the th number is equal to
Y
μj、
Determining; the second number is
Y
μj、
Determining; y is
μjThe number of the second cells of the th cell cross-carrier scheduled subcarrier spacing j for subcarrier spacing mu,
for the th cell number with a configured subcarrier spacing of mu,
monitors the maximum number of candidate PDCCHs of cells for each slot of serving cells having a subcarrier spacing of μ and serving cells having a subcarrier spacing of j,
the maximum number of non-overlapping CCEs of cells is listened to for each slot of serving cells with subcarrier spacing μ and serving cells with subcarrier spacing j respectively,
the number of configured downlink cells which can be monitored.
Optionally, the th number is not more than
The second number does not exceed
Optionally, the determining unit is adapted to determine the th number according to the following formula
Optionally, the determining unit is adapted to determine the second number according to the following formula
Optionally, the th cell is or more.
Optionally, the number of the second cells is or more.
Optionally, the candidate PDCCHs include candidate PDCCHs corresponding to different DCI sizes and candidate PDCCHs corresponding to different DMRS scrambling sequences.
Optionally, an embodiment of the present invention provides computer-readable storage media, which is a non-volatile storage medium or a non-transitory storage medium, having stored thereon computer instructions, which when executed, perform the steps of any of the methods described above.
Optionally, an embodiment of the present invention provides terminals, including a memory and a processor, the memory storing thereon computer instructions executable on the processor, the processor executing the computer instructions to perform the steps of any of the methods described above.
Compared with the prior art, the technical scheme of the embodiment of the invention has the following beneficial effects:
the embodiment of the invention aims at the characteristic of starting carrier aggregation and the number of downlink cells which can be monitored
In a scenario larger than 4, when a subcarrier interval μ corresponding to the th cell is different from a subcarrier interval j corresponding to the second cell, determining that the maximum number of candidate PDCCHs monitored in each time slot in the th cell is th, and each time isThe maximum number of the non-overlapping CCEs monitored by the slot is the second number, so that the maximum number of the candidate PDCCHs to be monitored and the maximum number of the non-overlapping CCEs can be determined, and the complexity of monitoring the PDCCHs by the UE is reduced.
Detailed Description
In the existing implementation, for cross-carrier scheduling of different subcarrier intervals, the UE cannot acquire the maximum number of candidate PDCCHs to be monitored and the maximum number of non-overlapping CCEs, thereby resulting in high complexity of monitoring the PDCCHs by the UE.
The embodiment of the invention aims at the characteristic of starting carrier aggregation and the number of downlink cells which can be monitored
In a scenario that the number of candidate PDCCHs is greater than 4, when the subcarrier interval μ corresponding to the th cell is different from the subcarrier interval j corresponding to the second cell, it is determined that the maximum number of candidate PDCCHs monitored in each time slot is th number, and the maximum number of non-overlapping CCEs monitored in each time slot is second number in the th cell, so that the maximum number of candidate PDCCHs to be monitored and the maximum number of non-overlapping CCEs can be determined, and complexity of monitoring PDCCHs by the UE is reduced.
In order to make the aforementioned objects, features and advantages of the present invention comprehensible, embodiments accompanied with figures are described in detail below.
Referring to fig. 1, an embodiment of the present invention provides a method for determining monitored numbers of PDCCH candidates and CCEs, which may include the following steps:
step S101, receiving high-level signaling sent by a base station and determining the number of downlink cells which start carrier aggregation characteristics and can monitor based on the high-level signaling
Greater than 4.
In the specific implementation, because the existing implementation of cross-carrier scheduling for different subcarrier intervals makes it impossible for the UE to acquire the maximum number of PDCCH candidates (PDCCH candidates) to be monitored and the maximum number of non-overlapping CCEs, which results in high complexity of monitoring the PDCCH by the UE, the embodiment of the present invention provides the maximum number of PDCCH candidates and the maximum number of non-overlapping CCEs to be monitored in each time slot when the cross-carrier scheduling for different subcarrier intervals exceeds the maximum number of carriers required to be supported by the UE.
In the specific implementation, it is first determined that the base station configures the carrier aggregation function for the UE, that is, the UE starts the carrier aggregation characteristic, and the configured number of downlink cells that the UE can monitor is determined
Greater than 4.
Step S102, when there is a difference between a subcarrier spacing mu corresponding to the th cell and a subcarrier spacing j corresponding to the second cell, determining that the maximum number of candidate PDCCHs monitored in each slot is the th number and the maximum number of non-overlapping CCEs monitored in each slot is the second number in the th cell, wherein:
the th cell is a cell for sending scheduling information;
the second cell is a cell scheduled by the scheduling information, and the second cell corresponds to a different carrier from the th cell;
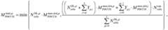
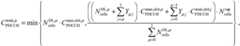
th number ofYμj、Determining;
the second number is
Y
μj、
Determining;
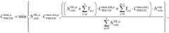
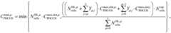
Y
μjthe number of the second cells of the th cell cross-carrier scheduled subcarrier spacing j for subcarrier spacing mu,
for the number of th cells with a sub-carrier spacing of mu configured (by the base station via higher layer signaling),
monitoring the maximum number of candidate PDCCHs of cells for each time slot of serving cells with the sub-carrier spacing of mu and serving cells with the sub-carrier spacing of j respectively, namely
Monitors the maximum number of candidate PDCCHs of cells per slot for serving cells having a subcarrier spacing of mu,
monitors the maximum number of candidate PDCCHs of cells per slot for serving cells having a subcarrier spacing of j,
monitoring the maximum number of non-overlapping CCEs of cells for each time slot of serving cells with a subcarrier spacing of mu and serving cells with a subcarrier spacing of j, respectively, namely
Listen to the maximum number of non-overlapping CCEs of cells for each slot of serving cells with a subcarrier spacing of mu,
listen to the maximum number of non-overlapping CCEs of cells for each slot of serving cells with subcarrier spacing j,
the number of configured downlink cells which can be monitored.
In a specific implementation, the candidate PDCCHs may include candidate PDCCHs corresponding to different DCI sizes, or candidate PDCCHs corresponding to different Demodulation Reference Signal (DMRS) scrambling sequences, that is, PDCCHs corresponding to different DCI sizes are different candidate PDCCHs, and PDCCHs corresponding to different DMRS scrambling sequences are also different candidate PDCCHs.
In the embodiment of the invention, the candidate PDCCHs include any candidate PDCCHs corresponding to different DCI sizes and candidate PDCCHs corresponding to different DMRS scrambling sequences.
In a specific implementation, the th cell may be cells, or may be multiple cells.
In a specific implementation, the number of the second cells may be , or may be multiple.
In a specific implementation, mu and j can be any of {0, 1, 2, 3}, wherein 0, 1, 2, 3 respectively represent subcarrier spacing of 15kHz, 30kHz, 60kHz and 120 kHz.
In a specific embodiment, the first and second electrodes are,
the maximum number of candidate PDCCHs is monitored for each slot of serving cells having a subcarrier spacing of μ, and specific values thereof are shown in table 1.
TABLE 1
As can be seen from Table 1, there are differences in subcarrier spacing μ
In a specific embodiment, the first and second electrodes are,the maximum number of non-overlapping CCEs to listen to per slot in serving cells with a subcarrier spacing of μ is shown in table 2.
TABLE 2
As can be seen from Table 2, there are differences in subcarrier spacing μ
In a specific embodiment, YμjFor example, the th cell is cell 0, μ ═ 3 and corresponds to subcarrier spacing of 120kHz, the second cell includes cell 1 and cell 2, j ═ 1 corresponding to cell 1 and corresponds to subcarrier spacing of 30kHz, j ═ 2 corresponding to cell 1 and corresponds to subcarrier spacing of 60kHz, and then Y exists33=0、Y31=1、Y321, wherein Y33Indicates that the th cell schedules itself, so Y33=0。
In the specific implementation, considering that the maximum number of the candidate PDCCHs and the non-overlapping CCEs monitored by the UE in each time slot is limited, the th time does not exceed
The second number does not exceed
In the embodiment of the present invention, the number is determined according to the following formula
In practice of the invention In the example, the th number is determined according to the following formula
By applying the scheme, the number of the downlink cells which can be monitored and have the characteristic of starting carrier aggregation is determined
In a scenario that the number of candidate PDCCHs is greater than 4, when the subcarrier interval μ corresponding to the th cell is different from the subcarrier interval j corresponding to the second cell, it is determined that the maximum number of candidate PDCCHs monitored in each time slot is th number, and the maximum number of non-overlapping CCEs monitored in each time slot is second number in the th cell, so that the maximum number of candidate PDCCHs to be monitored and the maximum number of non-overlapping CCEs can be determined, and complexity of monitoring PDCCHs by the UE is reduced.
In order to make the present invention better understood and implemented by those skilled in the art, the embodiment of the present invention further provides terminals capable of implementing the above method, as shown in fig. 2.
Referring to fig. 2, theterminal 20 may include: a receivingunit 21 and a determiningunit 22, wherein:
the receiving
unit 21 is adapted to receive a high-level signaling sent by a base station and determine, based on the high-level signaling, to start a carrier aggregation characteristic and monitor the number of downlink cells
Greater than 4.
The determiningunit 22 is adapted to determine, in the th cell, that the maximum number of PDCCH candidates monitored per slot is th number and the maximum number of non-overlapping CCEs monitored per slot is second number, when there is a difference between a subcarrier spacing μ corresponding to the th cell and a subcarrier spacing j corresponding to the second cell, where:
the th cell is a cell for sending scheduling information;
the second cell is a cell scheduled by the scheduling information, and the second cell corresponds to a different carrier from the th cell;
th number of
Y
μj、
Determining;
the second number is
Y
μj、
Determining;
Y
μjthe number of the second cells of the th cell cross-carrier scheduled subcarrier spacing j for subcarrier spacing mu,
for the th cell number with a configured subcarrier spacing of mu,
monitors the maximum number of candidate PDCCHs of cells for each slot of serving cells having a subcarrier spacing of μ and serving cells having a subcarrier spacing of j,
the maximum number of non-overlapping CCEs of cells is listened to for each slot of serving cells with subcarrier spacing μ and serving cells with subcarrier spacing j respectively,
the number of configured downlink cells which can be monitored.
In specific implementation, the th number is not more than
The second number does not exceed
In the embodiment of the invention, the determining
unit 22 is adapted to determine the th number according to the following formula
In the embodiment of the invention, the determining
unit 22 is adapted to determine the th number according to the following formula
In a specific implementation, the th cell is or more.
In a specific implementation, the number of the second cells is or more.
In the embodiment of the invention, the candidate PDCCHs include any candidate PDCCHs corresponding to different DCI sizes and candidate PDCCHs corresponding to different DMRS scrambling sequences.
In a specific implementation, the working flow and the principle of the terminal 20 may refer to the description in the method provided in the above embodiment, and are not described herein again.
The embodiment of the present invention provides computer-readable storage media, where the computer-readable storage media are non-volatile storage media or non-transitory storage media, and have stored thereon computer instructions, and when the computer instructions are executed, the computer instructions perform the steps corresponding to any of the methods, and details are not described here again.
The terminals provided by the embodiment of the present invention include a memory and a processor, where the memory stores computer instructions capable of being executed on the processor, and the processor executes the computer instructions to execute the steps corresponding to any of the methods described above, which is not described herein again.
Those skilled in the art will appreciate that all or part of the steps in the methods of the above embodiments may be implemented by associated hardware instructed by a program, which may be stored in a computer readable storage medium, which may include ROM, RAM, magnetic or optical disk, etc.
Although the present invention is disclosed above, the present invention is not limited thereto. Various changes and modifications may be effected therein by one skilled in the art without departing from the spirit and scope of the invention as defined in the appended claims.