Movatterモバイル変換


[0]ホーム

URL:


CN110739070A - A brain disease diagnosis method based on 3D convolutional neural network - Google Patents

A brain disease diagnosis method based on 3D convolutional neural network
Download PDF

Info

Publication number
CN110739070A
CN110739070ACN201910918352.8ACN201910918352ACN110739070ACN 110739070 ACN110739070 ACN 110739070ACN 201910918352 ACN201910918352 ACN 201910918352ACN 110739070 ACN110739070 ACN 110739070A
Authority
CN
China
Prior art keywords
feature
brain
neural network
convolutional neural
size
Prior art date
Legal status (The legal status is an assumption and is not a legal conclusion. Google has not performed a legal analysis and makes no representation as to the accuracy of the status listed.)
Withdrawn
Application number
CN201910918352.8A
Other languages
Chinese (zh)
Inventor
王莉
张鹏
梅雪
沈捷
何毅
曹磊
Current Assignee (The listed assignees may be inaccurate. Google has not performed a legal analysis and makes no representation or warranty as to the accuracy of the list.)
Nanjing Tech University
Original Assignee
Nanjing Tech University
Priority date (The priority date is an assumption and is not a legal conclusion. Google has not performed a legal analysis and makes no representation as to the accuracy of the date listed.)
Filing date
Publication date
Application filed by Nanjing Tech UniversityfiledCriticalNanjing Tech University
Priority to CN201910918352.8ApriorityCriticalpatent/CN110739070A/en
Publication of CN110739070ApublicationCriticalpatent/CN110739070A/en
Withdrawnlegal-statusCriticalCurrent

Links

Classifications

Landscapes

Abstract

Translated fromChinese

本发明涉及一种基于3D卷积神经网络的脑疾病诊断方法,包括:1)获取正常和疾病的MRI脑图像数据样本;2)样本预处理,包括脑组织提取以及样本标准化;3)设计用于脑疾病诊断的3D卷积神经网络;4)MRI脑图像作为3D卷积神经网络的输入,进行网络训练提取出特征建立分类诊断模型;5)待测人员MRI脑图像经过预处理后作为输入送到3D卷积神经网络诊断模型中,得到输出标签,判断是否患病。优点:1)使用3D卷积神经网络建立脑疾病诊断模型,从MRI脑图像中自动学习特征。构建多隐含层的深度学习模型由计算机自动获取精准、有效的特征,最终提高了诊断模型的精度和泛化能力。2)适用于阿尔兹海姆症、抑郁症、儿童多动症等多种不同类型脑疾病的诊断。

Figure 201910918352

The invention relates to a brain disease diagnosis method based on 3D convolutional neural network, comprising: 1) acquiring normal and diseased MRI brain image data samples; 2) sample preprocessing, including brain tissue extraction and sample standardization; 3D convolutional neural network for brain disease diagnosis; 4) MRI brain image is used as the input of 3D convolutional neural network, and network training is performed to extract features to establish a classification and diagnosis model; 5) The MRI brain image of the person to be tested is preprocessed as input It is sent to the 3D convolutional neural network diagnosis model, and the output label is obtained to determine whether it is diseased. Advantages: 1) Use 3D convolutional neural networks to build brain disease diagnosis models, and automatically learn features from MRI brain images. To build a deep learning model with multiple hidden layers, the computer automatically obtains accurate and effective features, which ultimately improves the accuracy and generalization ability of the diagnostic model. 2) It is suitable for the diagnosis of many different types of brain diseases such as Alzheimer's disease, depression, and children's ADHD.

Figure 201910918352

Description

Translated fromChinese
一种基于3D卷积神经网络的脑疾病诊断方法A brain disease diagnosis method based on 3D convolutional neural network

技术领域technical field

本发明是一种基于3D卷积神经网络的脑疾病诊断方法,属于脑疾病诊断方法技术领域。The invention relates to a brain disease diagnosis method based on a 3D convolutional neural network, and belongs to the technical field of brain disease diagnosis methods.

背景技术Background technique

随着当代社会生活节奏的日益加快,各类脑疾病的发病率逐年不断攀升,脑疾病主要包括阿尔兹海默症、帕金森氏症、自闭症、抑郁症、儿童孤独症等。目前全球有约近十亿的脑疾病患者,可见,脑疾病已经成为威胁人们健康的重要因素。在脑疾病的早期阶段进行及时干预和治疗,可以阻止病情的进一步恶化。因此,对脑疾病的早期诊断非常重要,这也是“中国脑科学”的一个主要研究方向。With the accelerating pace of contemporary social life, the incidence of various brain diseases is increasing year by year. Brain diseases mainly include Alzheimer's disease, Parkinson's disease, autism, depression, and childhood autism. At present, there are nearly one billion patients with brain diseases in the world. It can be seen that brain diseases have become an important factor that threatens people's health. Prompt intervention and treatment in the early stages of brain disease can prevent further deterioration of the disease. Therefore, the early diagnosis of brain diseases is very important, which is also a major research direction of "Chinese Brain Science".

近年来,神经影像技术不断发展,主要有计算机断层扫描(Computed tomography,CT)、核磁共振成像(Magnetic Resonance Imaging,MRI)图像、正电子发射断层扫描成像(Positron Emission Tomography,PET)等等。通过这些神经影像技术可以获得各种模态的脑图像,脑图像能够对大脑结构和功能进行展示。相比于其他的大脑成像方式,MRI具有无侵入性、无辐射、空间分辨率高以及对比度高等优点,可以进行任意解剖面的直接采集成像,提供多方位立体的脑图像信息,在临床脑疾病诊断中得到了广泛应用。目前,脑疾病主要由医生基于脑影像结合自己的专业知识和实践经验进行诊断,然而这种传统的人工诊断方法会加重了临床医生的负担,耗费大量的时间。在此情况下,如何利用计算机处理MRI脑图像辅助医生进行脑疾病诊断成为了当前的热点研究问题。In recent years, neuroimaging technology has been developing continuously, mainly including Computed tomography (CT), Magnetic Resonance Imaging (MRI) images, Positron Emission Tomography (PET) and so on. Brain images of various modalities can be obtained through these neuroimaging techniques, and brain images can demonstrate brain structure and function. Compared with other brain imaging methods, MRI has the advantages of non-invasiveness, non-radiation, high spatial resolution and high contrast. It is widely used in diagnosis. At present, brain diseases are mainly diagnosed by doctors based on brain imaging combined with their own professional knowledge and practical experience. However, this traditional manual diagnosis method will increase the burden on clinicians and consume a lot of time. Under this circumstance, how to use computer to process MRI brain images to assist doctors in diagnosing brain diseases has become a hot research issue at present.

脑疾病辅助诊断主要分为预处理、特征提取和诊断模型建立三个步骤,其中特征提取是关键。最初的计算机辅助诊断方法通常针对特定的诊断任务提取出与脑疾病相关的区域作为感兴趣区域,再计算这些区域的测量值作为特征。但是,这种特征提取方法往往只能针对某种类型的脑疾病,不具有通用性。Auxiliary diagnosis of brain diseases is mainly divided into three steps: preprocessing, feature extraction and diagnosis model establishment, among which feature extraction is the key. The initial computer-aided diagnosis methods usually extract regions related to brain diseases as regions of interest for specific diagnostic tasks, and then calculate the measured values of these regions as features. However, this feature extraction method can often only target a certain type of brain disease and is not universal.

发明内容SUMMARY OF THE INVENTION

本发明提出的是一种基于3D卷积神经网络的脑疾病诊断方法,其目的在于针对脑疾病诊断方法领域存在的上述缺陷,利用3D卷积神经网络方法自动地从MRI图像中提取矢状面、冠状面和横断面3个解剖面的特征,最后通过softmax分类器实现脑疾病类型诊断,该诊断方法精准较高,通用性强,适用于多种不同类型脑疾病的诊断。The present invention proposes a brain disease diagnosis method based on 3D convolutional neural network, the purpose of which is to automatically extract the sagittal plane from the MRI image by using the 3D convolutional neural network method in view of the above-mentioned defects in the field of brain disease diagnosis methods. The characteristics of three anatomical planes, coronal plane and transverse plane, are finally realized by softmax classifier.

本发明的技术解决方案:基于3D卷积神经网络的脑疾病诊断方法,包括以下步骤:The technical solution of the present invention: a brain disease diagnosis method based on a 3D convolutional neural network, comprising the following steps:

(1)样本获取:获取MRI脑图像数据,包含正常样本和疾病样本;(1) Sample acquisition: acquire MRI brain image data, including normal samples and disease samples;

(2)预处理:对所获取的MRI脑图像数据进行预处理,包括脑组织提取以及样本标准化;(2) Preprocessing: preprocessing the acquired MRI brain image data, including brain tissue extraction and sample standardization;

(3)神经网络设计:设计用于脑疾病诊断的3D卷积神经网络;(3) Neural network design: design a 3D convolutional neural network for brain disease diagnosis;

(4)特征提取及模型建立:将冠状面、矢状面、横断面的MRI脑图像分别作为3D卷积神经网络的输入,进行网络训练提取出特征并建立分类诊断模型;(4) Feature extraction and model establishment: The MRI brain images of coronal plane, sagittal plane and transverse plane are respectively used as the input of 3D convolutional neural network, and network training is performed to extract features and establish a classification and diagnosis model;

(5)诊断:对待测人员的MRI脑图像进行预处理,得到标准化脑组织,将其作为输入送到训练好的3D卷积神经网络诊断模型中,得到待测者的输出标签,判断其是否患病。(5) Diagnosis: Preprocess the MRI brain image of the person to be tested to obtain standardized brain tissue, which is sent as input to the trained 3D convolutional neural network diagnostic model to obtain the output label of the person to be tested to determine whether it is sick.

所述步骤(1)样本获取,包含以下具体步骤:选取ADNI公共数据集中 6000个MRI脑图像,包括阿尔兹海姆症患者、轻度认知障碍患者和正常人三个类别,每种类别的MRI脑图像均为2000个样本,将其按照9:1的比例划分为 5400个样本的训练集和600个样本的测试集。The step (1) sample acquisition includes the following specific steps: selecting 6000 MRI brain images in the ADNI public data set, including three categories of Alzheimer's disease patients, mild cognitive impairment patients and normal people. The MRI brain images are all 2000 samples, which are divided into a training set of 5400 samples and a test set of 600 samples according to the ratio of 9:1.

所述步骤(2)预处理,包含以下具体步骤:Described step (2) preprocessing, comprises following concrete steps:

1)通过全局阈值分割法去除不包含大脑的无效切片;1) Remove invalid slices that do not contain brain by global threshold segmentation method;

2)通过前联合-后联合矫正调整在MRI脑图像获取时被试人员头部不规范的姿势;2) Adjust the irregular head posture of the subjects during the acquisition of MRI brain images through anterior joint-posterior joint correction;

3)对MRI脑图像进行颅骨剥离以及小脑移除,从而得到完整单一的大脑组织;3) Skull dissection and cerebellum removal are performed on the MRI brain image to obtain a complete and single brain tissue;

4)通过调整空间分辨率、使用N3算法矫正强度不均匀性、使用三线性插值法重采样,将所有提取的脑组织图像标准化到统一的样本空间,以消除不同成像设备获得的MRI脑图像之间的差异。4) Normalize all the extracted brain tissue images to a unified sample space by adjusting the spatial resolution, using the N3 algorithm to correct the intensity inhomogeneity, and resampling using the trilinear interpolation method to eliminate the differences between the MRI brain images obtained by different imaging devices. difference between.

所述步骤4)具体为:调整MRI的空间分辨率至1*1*1mm3,使用N3算法矫正强度不均匀性以及使用三线性插值法进行重采样至128*128*128,将所有处理过的脑影像标准化到一个统一的样本空间。The step 4) is specifically: adjusting the spatial resolution of the MRI to 1*1*1mm3 , using the N3 algorithm to correct the intensity inhomogeneity, and using the trilinear interpolation method for resampling to 128*128*128, all processed The brain images are normalized to a uniform sample space.

所述步骤(3)神经网络设计,包含以下具体步骤:Described step (3) neural network design, comprises following concrete steps:

1)3D卷积神经网络分别以冠状面、横断面和矢状面的若干张MRI脑图像切片作为输入;1) The 3D convolutional neural network takes several MRI brain image slices in the coronal, transverse and sagittal planes as input;

2)特征提取:3D卷积神经网络对冠状面、横断面和矢状面的MRI脑图像分别进行特征提取得到3个不同的特征矩阵;2) Feature extraction: 3D convolutional neural network performs feature extraction on coronal, transverse and sagittal MRI brain images to obtain 3 different feature matrices;

3)在特征矩阵数量维度上将3个特征矩阵进行特征拼接,再使用3D卷积、最大池化以及全局均值池化操作,将拼接的特征矩阵抽象为1维的特征向量;3) Feature splicing is performed on the three feature matrices in the dimension of the number of feature matrices, and then 3D convolution, maximum pooling, and global mean pooling operations are used to abstract the spliced feature matrices into 1-dimensional feature vectors;

4)使用2个全连接层与1个softmax层对脑疾病类型进行分类。4) Use 2 fully connected layers and 1 softmax layer to classify brain disease types.

所述步骤2)特征提取,包含以下具体步骤:Described step 2) feature extraction, comprises the following specific steps:

(a)输入某个解剖面MRI脑图像,使用DenseNet模块进行特征提取;其中DenseNet模块包含4个卷积模块,卷积模块中包含了卷积层,批量归一化层和激活函数层;先使用核大小为3*3*3卷积模块对输入进行卷操作得到特征Y1,再使用卷积模块对特征Y1进行卷积模块得到特征Y2。将特征Y1与Y2在特征数量维度上进行拼接(特征矩阵大小不变,特征数量相加),在通过卷积模块中得到特征Y3;所述的卷积层的计算过程为:(a) Input an anatomical MRI brain image, and use the DenseNet module for feature extraction; the DenseNet module includes 4 convolution modules, and the convolution module includes a convolution layer, a batch normalization layer and an activation function layer; first Use a convolution module with a kernel size of 3*3*3 to perform a convolution operation on the input to obtain feature Y1, and then use a convolution module to perform a convolution module on feature Y1 to obtain feature Y2. The feature Y1 and Y2 are spliced in the feature quantity dimension (the size of the feature matrix is unchanged, and the feature quantity is added), and the feature Y3 is obtained in the convolution module; the calculation process of the convolution layer is:

Figure RE-GDA0002323470700000031
Figure RE-GDA0002323470700000031

其中,

Figure RE-GDA0002323470700000032
为第i层中第j个特征图中(x,y,z)点处的值;Pi,Qi,Ri分别表示3D卷积核的尺寸;
Figure RE-GDA0002323470700000033
表示连接i-1层第m个特征图与i层第j个特征图的卷积核在(p,q,r)点处的权重,对于3D卷积而言,每个特征图都是3维的;in,
Figure RE-GDA0002323470700000032
is the value at the point (x, y, z) in the j-th feature map in the i-th layer; Pi , Qi , Ri respectively represent the size of the 3D convolution kernel;
Figure RE-GDA0002323470700000033
Indicates the weight of the convolution kernel connecting the m-th feature map of the i-1 layer and the j-th feature map of the i-layer at the point (p, q, r). For 3D convolution, each feature map is 3 dimensional;

卷积之后采用如下BN算法将数据归一化到均值为0,方差为1的高斯分布上:After the convolution, the following BN algorithm is used to normalize the data to a Gaussian distribution with a mean of 0 and a variance of 1:

Figure RE-GDA0002323470700000034
Figure RE-GDA0002323470700000034

其中,Xk为特征层中的第k个特征图,E(Xk)为求取输入特征图Xk的均值,Var(Xk)为求取特征图Xk的方差,

Figure RE-GDA0002323470700000043
为归一化后的输出。Among them, Xk is the k-th feature map in the feature layer, E(Xk ) is the mean value of the input feature map Xk , Var(Xk ) is the variance of the feature map Xk ,
Figure RE-GDA0002323470700000043
is the normalized output.

激活函数层采用Relu函数,其操作的运算函数为:The activation function layer adopts the Relu function, and the operation function of its operation is:

f(x)=max(0,x)。f(x)=max(0,x).

其中,x为输入。where x is the input.

(b)对提取的特征进行最大池化操作,核大小为2*2*2,步长为2,减小数据维度。(b) Perform a max pooling operation on the extracted features, the kernel size is 2*2*2, and the step size is 2 to reduce the data dimension.

(c)网络通过第一个Dense模块将输入抽象为32*32*32*32大小的特征,在使用最大池化操作降低数据大小至16*16*16*32,通过第二个Dense模块提取出16*16*16*64大小的特征,最大池化降低特征大小至8*8*8*64,最后使用第三个Dense模块提取出8*8*8*128大小的特征,并使用最大池化将特征缩小至 4*4*4*128;最终提取到各解剖面的特征图Xa、Xc、Xs,其大小均为4*4*4*128,其中4*4*4为特征图大小,128为特征图数量,再将各解剖面特征图在特征数量维度上进行特征拼接,得到融合后的特征矩阵X,其大小为4*4*4*384。(c) The network abstracts the input into 32*32*32*32 features through the first Dense module, reduces the data size to 16*16*16*32 using the maximum pooling operation, and extracts it through the second Dense module The feature size of 16*16*16*64 is obtained, the maximum pooling reduces the feature size to 8*8*8*64, and finally the third Dense module is used to extract the feature size of 8*8*8*128, and use the maximum size of 8*8*8*128. Pooling reduces the features to 4*4*4*128; the feature maps Xa, Xc, and Xs of each anatomical surface are finally extracted, and their size is 4*4*4*128, of which 4*4*4 is the feature map Size, 128 is the number of feature maps, and then feature splicing of each anatomical surface feature map in the dimension of feature number to obtain a fused feature matrix X, whose size is 4*4*4*384.

(d)对融合后的特征矩阵X进行卷积操作,卷积核的大小为3*3*3,数目为512,获得大小为4*4*4*512的特征矩阵;再对特征矩阵进行卷积操作,卷积核的大小为3*3*3,数目为1024,获得大小为4*4*4*1024的特征矩阵;最后,对特征矩阵进行全局均值池化操作,池化核大小为4*4*4,全局均值池化操作选取邻域内特征点的平均值,得到最终的特征向量F,其大小为1*1*1*1024。(d) Perform a convolution operation on the fused feature matrix X, the size of the convolution kernel is 3*3*3, the number is 512, and a feature matrix with a size of 4*4*4*512 is obtained; Convolution operation, the size of the convolution kernel is 3*3*3, the number is 1024, and the feature matrix of size 4*4*4*1024 is obtained; finally, the global mean pooling operation is performed on the feature matrix, and the size of the pooling kernel is It is 4*4*4, and the global mean pooling operation selects the average value of the feature points in the neighborhood to obtain the final feature vector F, whose size is 1*1*1*1024.

(e)使用2个全连接层与特征向量F相连,第一层全连接层输出特征为 1*1*1*256,第二层全连接层输出特征为1*1*1*3;最后使用softmax层以概率的形式输出诊断类别。(e) Use 2 fully connected layers to connect with the feature vector F, the output feature of the first fully connected layer is 1*1*1*256, and the output feature of the second fully connected layer is 1*1*1*3; finally The diagnostic categories are output as probabilities using a softmax layer.

全连接层的运算函数为:

Figure RE-GDA0002323470700000041
The operation function of the fully connected layer is:
Figure RE-GDA0002323470700000041

其中

Figure RE-GDA0002323470700000042
为第l层第i个神经元的输出和偏置,ωi,j为该神经元与第l-1in
Figure RE-GDA0002323470700000042
is the output and bias of the i-th neuron in the l-th layer, ωi, j is the relationship between this neuron and the l-1th neuron

层第j个神经元的连接权值,N为第l-1层神经元的个数,f为Relu激活函数。The connection weight of the jth neuron in the layer, N is the number of neurons in the l-1 layer, and f is the Relu activation function.

Softmax层的运算函数为:The operation function of the Softmax layer is:

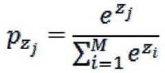
其中Zj为第j个输入变量,M为输入变量的个数,

Figure RE-GDA0002323470700000052
为输出,可以表示输出类别为j的概率。where Zj is the jth input variable, M is the number of input variables,
Figure RE-GDA0002323470700000052
is the output, which can represent the probability that the output class is j.

所述步骤(4)特征提取及模型建立中,网络训练包括以下步骤。In the feature extraction and model establishment of the step (4), the network training includes the following steps.

1)输入MRI脑图像的3种不同的解剖面的切片到3D卷积神经网络得到模型诊断信息,再计算模型诊断结果与真实标签之间的交叉熵损失。交叉熵的计算公式为:1) Input the slices of 3 different anatomical planes of the MRI brain image to the 3D convolutional neural network to obtain the model diagnosis information, and then calculate the cross entropy loss between the model diagnosis result and the real label. The formula for calculating cross entropy is:

其中,Pn代表样本属于第n个类别的真实概率,Qn代表样本为第n个类别的预测概率。Among them, Pn represents the true probability that the sample belongs to the nth category, and Qn represents the predicted probability that the sample belongs to the nth category.

2)使用反向传播的梯度下降算法,对网络的参数进行不断更新优化,模型的输出不断接近真实标签,当验证集的准确率达到稳定区域且不再增加时,网络训练完成。2) Using the gradient descent algorithm of backpropagation, the parameters of the network are continuously updated and optimized, and the output of the model is constantly approaching the real label. When the accuracy of the validation set reaches a stable area and no longer increases, the network training is completed.

本发明的有益效果:Beneficial effects of the present invention:

1)使用了3D卷积神经网络建立脑疾病诊断模型,从MRI脑图像中自动学习特征。该方法属于数据驱动的方法,通过构建多隐含层的深度学习模型由计算机自动获取精准、有效的特征,最终提高了诊断模型的精度和泛化能力。1) A 3D convolutional neural network is used to build a brain disease diagnosis model, and features are automatically learned from MRI brain images. This method is a data-driven method. By building a deep learning model with multiple hidden layers, the computer automatically obtains accurate and effective features, which ultimately improves the accuracy and generalization ability of the diagnostic model.

2)适用于阿尔兹海姆症、抑郁症、儿童多动症等多种不同类型脑疾病的诊断,具有广泛的通用性和良好的使用前景。2) It is suitable for the diagnosis of many different types of brain diseases such as Alzheimer's disease, depression, children's ADHD, etc., and has wide versatility and good application prospects.

附图说明Description of drawings

附图1是3D卷积神经网络示意图。Figure 1 is a schematic diagram of a 3D convolutional neural network.

具体实施方式Detailed ways

一种基于3D卷积神经网络的脑疾病诊断方法,其步骤为:A brain disease diagnosis method based on 3D convolutional neural network, the steps are:

步骤一,获取一组MRI脑图像数据,包含正常样本和各种类型疾病样本;Step 1, obtain a set of MRI brain image data, including normal samples and various types of disease samples;

步骤二,对所获取的MRI脑图像数据进行预处理,主要包括脑组织提取以及样本标准化;Step 2, preprocessing the acquired MRI brain image data, mainly including brain tissue extraction and sample standardization;

步骤三,设计一种用于脑疾病诊断的3D卷积神经网络;Step 3, design a 3D convolutional neural network for brain disease diagnosis;

步骤四,将冠状面、矢状面、横断面的MRI脑图像分别作为3D卷积神经网络的输入,进行网络训练提取出特征并建立分类诊断模型;In step 4, the MRI brain images of the coronal plane, the sagittal plane and the transverse plane are respectively used as the input of the 3D convolutional neural network, and the network training is performed to extract features and establish a classification and diagnosis model;

步骤五,对待测人员的MRI脑图像进行预处理,得到标准化脑组织,将其作为输入送到训练好的3D卷积神经网络诊断模型中,得到待测者的输出标签,即判断其是否患病。Step 5: Preprocess the MRI brain image of the person to be tested to obtain standardized brain tissue, which is sent as input to the trained 3D convolutional neural network diagnostic model to obtain the output label of the person to be tested, that is, to determine whether he has a disease or not. sick.

更进一步地,步骤二的执行过程如下:Further, the execution process of step 2 is as follows:

(1)通过全局阈值分割法去除不包含大脑的无效切片;(1) Remove invalid slices that do not contain brain by global threshold segmentation method;

(2)通过前联合-后联合矫正来调整在MRI脑图像获取时被试人员头部不规范的姿势;(2) Adjust the irregular head posture of the subjects during the acquisition of MRI brain images through anterior joint-posterior joint correction;

(3)对MRI脑图像进行颅骨剥离以及小脑移除,从而得到完整单一的大脑组织;(3) Skull dissection and cerebellum removal are performed on MRI brain images to obtain a complete and single brain tissue;

(4)通过调整空间分辨率、使用N3(nonparametric nonuniform intensitynormalization)算法矫正强度不均匀性、使用三线性插值法重采样,将所有提取的脑组织图像标准化到统一的样本空间,以消除不同成像设备获得的MRI脑图像之间的差异。(4) Normalize all the extracted brain tissue images to a unified sample space by adjusting the spatial resolution, using the N3 (nonparametric nonuniform intensitynormalization) algorithm to correct the intensity inhomogeneity, and resampling using the trilinear interpolation method to eliminate different imaging devices Differences between acquired MRI brain images.

更进一步地,步骤三中的3D卷积神经网络模型如下:Further, the 3D convolutional neural network model in step 3 is as follows:

(1)3D卷积神经网络分别以冠状面、横断面和矢状面的若干张MRI脑图像切片作为输入;(1) The 3D convolutional neural network takes several MRI brain image slices in the coronal, transverse and sagittal planes as input;

(2)3D卷积神经网络对冠状面、横断面和矢状面的MRI脑图像分别进行特征提取得到3个不同的特征矩阵;(2) The 3D convolutional neural network performs feature extraction on the coronal, transverse and sagittal MRI brain images to obtain three different feature matrices;

(3)在特征矩阵数量维度上将3个特征矩阵进行特征拼接,再使用3D卷积、最大池化以及全局均值池化操作,将拼接的特征矩阵抽象为1维的特征向量;(3) Feature splicing of three feature matrices in the dimension of the number of feature matrices, and then use 3D convolution, maximum pooling and global mean pooling operations to abstract the spliced feature matrix into a 1-dimensional feature vector;

(4)最后,使用2个全连接层与1个softmax层对脑疾病类型进行分类。(4) Finally, use 2 fully connected layers and 1 softmax layer to classify brain disease types.

更进一步地,步骤三的(2)中3D卷积神经网络模型提取各个解剖面特征的处理过程如下:Further, in step 3 (2), the 3D convolutional neural network model extracts the processing process of each anatomical surface feature as follows:

(1)输入某个解剖面MRI脑图像,使用DenseNet模块进行特征提取。其中DenseNet模块包含4个卷积模块,第1个卷积模块将输入映射为特征Y1,第 2个卷积模块对Y1进行映射得到特征Y2,将Y1与Y2在特征维度上进行拼接后送到第3个卷积模块后得到特征Y3,最后将特征Y1,Y2,Y3在特征维度上进行拼接后送入第4个卷积模块中,得到最终的特征矩阵Y;(1) Input an anatomical MRI brain image and use the DenseNet module for feature extraction. The DenseNet module contains 4 convolution modules, the first convolution module maps the input to feature Y1, the second convolution module maps Y1 to obtain feature Y2, and splices Y1 and Y2 in the feature dimension and sends it to After the third convolution module, the feature Y3 is obtained, and finally the features Y1, Y2, and Y3 are spliced in the feature dimension and sent to the fourth convolution module to obtain the final feature matrix Y;

(2)对提取的特征进行最大池化操作,减小数据维度;(2) Perform a maximum pooling operation on the extracted features to reduce the data dimension;

(3)再重复2次(1)和(2)操作,分别提取出冠状面、横断面、矢状面的特征。(3) Repeat operations (1) and (2) twice to extract features of coronal plane, transverse plane and sagittal plane respectively.

更进一步地,步骤四的网络训练优化的执行过程为:Further, the execution process of the network training optimization in step 4 is:

(1)输入冠状面、横断面、矢状面的MRI脑图像到3D卷积神经网络得到模型的诊断结果,再计算模型诊断结果与真实类别之间的交叉熵损失;(1) Input the MRI brain images of coronal plane, transverse plane and sagittal plane into the 3D convolutional neural network to obtain the diagnosis result of the model, and then calculate the cross entropy loss between the diagnosis result of the model and the real category;

(2)通过反向传播的随机梯度下降算法,更新优化网络中的参数,使其模型输出结果更接近真实类别;(2) Through the stochastic gradient descent algorithm of backpropagation, the parameters in the optimization network are updated to make the model output result closer to the real category;

(3)当交叉熵损失不再见小或者达到最大迭代次数时时,网络训练完成。(3) When the cross-entropy loss is no longer small or reaches the maximum number of iterations, the network training is completed.

实施例1Example 1

一种基于3D卷积神经网络的脑疾病诊断方法,包括步骤:A brain disease diagnosis method based on 3D convolutional neural network, comprising steps:

1、本发明选取ADNI公共数据集中6000个MRI脑图像,包括阿尔兹海姆症患者、轻度认知障碍患者和正常人三个类别,每种类别的MRI脑图像均为 2000个样本,将其按照9:1的比例划分为训练集(5400个样本)和测试集(600 个样本)。1. The present invention selects 6000 MRI brain images in the ADNI public data set, including three categories of Alzheimer's disease patients, mild cognitive impairment patients and normal people. The MRI brain images of each category are 2000 samples. It is divided into training set (5400 samples) and test set (600 samples) according to the ratio of 9:1.

2、对所获得脑图像数据进行预处理,处理环节主要包括脑组织提取以及样本标准化。2. Preprocess the obtained brain image data, and the processing links mainly include brain tissue extraction and sample standardization.

2.1、通过全局阈值分割法去除不包含大脑的无效切片。2.1. Remove invalid slices that do not contain the brain by global threshold segmentation.

2.2、通过前联合-后联合矫正来调整在脑图像获取时待测人员头部不规范的姿势。2.2. Adjust the irregular head posture of the person to be tested during the acquisition of the brain image through anterior joint-posterior joint correction.

2.3、对脑影像进行颅骨剥离以及小脑移除得到完整单一的大脑组织。2.3. Perform cranial dissection and cerebellum removal on the brain image to obtain a complete single brain tissue.

2.4、通过调整MRI的空间分辨率至1*1*1mm3、使用N3(nonparametric nonuniformintensity normalization)算法矫正强度不均匀性以及使用三线性插值法进行重采样至128*128*128,将所有处理过的脑影像标准化到一个统一的样本空间。2.4. By adjusting the spatial resolution of MRI to 1*1*1mm3 , using N3 (nonparametric nonuniformintensity normalization) algorithm to correct intensity inhomogeneity, and resampling to 128*128*128 using trilinear interpolation, all processed The brain images are normalized to a uniform sample space.

3、设计一种用于脑疾病诊断的3D卷积神经网络,网络结构如图1所示,具体如下。3. Design a 3D convolutional neural network for brain disease diagnosis. The network structure is shown in Figure 1, and the details are as follows.

3.1、使用DenseNet模块对横断面、矢状面、冠状面的MRI脑图像切片进行特征提取。DenseNet模块中包含4个卷积模块。先使用核大小为3*3*3卷积模块对输入进行卷操作得到特征Y1,再使用卷积模块对特征Y1进行卷积模块得到特征Y2。将特征Y1与Y2在特征数量维度上进行拼接(特征矩阵大小不变,特征数量相加),在通过卷积模块中得到特征Y3。再将特征Y1、Y2和Y3在特征数量维度上进行特征拼接,再次输入到卷积模块中得到DenseNet模块的输出特征Y。3.1. Use the DenseNet module to extract features from cross-sectional, sagittal, and coronal MRI brain image slices. There are 4 convolution modules in the DenseNet module. First, use the convolution module with a kernel size of 3*3*3 to perform the convolution operation on the input to obtain the feature Y1, and then use the convolution module to perform the convolution module on the feature Y1 to obtain the feature Y2. The feature Y1 and Y2 are spliced in the feature quantity dimension (the size of the feature matrix is unchanged, and the feature quantity is added), and the feature Y3 is obtained in the convolution module. Then the features Y1, Y2 and Y3 are spliced in the feature quantity dimension, and are input into the convolution module again to obtain the output feature Y of the DenseNet module.

其中的卷积模块中包含了卷积层,批量归一化(Batch Normalization,BN)层和激活函数层。The convolution module includes a convolution layer, a batch normalization (BN) layer and an activation function layer.

进一步,所述的卷积层的计算过程为:Further, the calculation process of the convolutional layer is:

Figure RE-GDA0002323470700000081
Figure RE-GDA0002323470700000081

其中,

Figure RE-GDA0002323470700000082
为第i层中第j个特征图中(x,y,z)点处的值;(Pi,Qi,Ri)分别表示3D卷积核的尺寸;
Figure RE-GDA0002323470700000083
表示连接i-1层第m个特征图与i层第j个特征图的卷积核在(p,q,r)点处的权重,对于3D卷积而言,每个特征图都是3维的。in,
Figure RE-GDA0002323470700000082
is the value at the point (x, y, z) in the j-th feature map in the i-th layer; (Pi , Qi , Ri ) respectively represent the size of the 3D convolution kernel;
Figure RE-GDA0002323470700000083
Indicates the weight of the convolution kernel connecting the m-th feature map of the i-1 layer and the j-th feature map of the i-layer at the point (p, q, r). For 3D convolution, each feature map is 3 dimensional.

进一步,在卷积之后采用如下BN算法将数据归一化到均值为0,方差为 1的高斯分布上:Further, after the convolution, the following BN algorithm is used to normalize the data to a Gaussian distribution with a mean of 0 and a variance of 1:

Figure RE-GDA0002323470700000084
Figure RE-GDA0002323470700000084

其中,Xk为特征层中的第k个特征图,E(Xk)为求取输入特征图Xk的均值,Var(Xk)为求取特征图Xk的方差,

Figure RE-GDA0002323470700000085
为归一化后的输出。BN算法将数据大部分映射到激活函数的线性区间内,其对应的导数将会远离饱和区,能加快训练过程。Among them, Xk is the k-th feature map in the feature layer, E(Xk ) is the mean value of the input feature map Xk , Var(Xk ) is the variance of the feature map Xk ,
Figure RE-GDA0002323470700000085
is the normalized output. The BN algorithm maps most of the data to the linear interval of the activation function, and its corresponding derivative will be far away from the saturation region, which can speed up the training process.

进一步,激活函数层采用Relu函数,其操作的运算函数为:Further, the activation function layer adopts the Relu function, and the operation function of its operation is:

f(x)=max(0,x)。f(x)=max(0,x).

其中,x为输入。Relu函数为线性激活函数,梯度下降快速,会抑制小于0的参数,保证网络的稀疏性。where x is the input. The Relu function is a linear activation function, and the gradient descent is fast, which will suppress parameters less than 0 and ensure the sparsity of the network.

3.2、对Dense模块提取的特征进行最大池化操作,核大小为2*2*2,步长为2,最大池化操作选取邻域内值最大的点,能够将特征维度减少1/2,同时能够保证网络的旋转、平移、伸缩等特性不变。3.2. Perform the maximum pooling operation on the features extracted by the Dense module. The kernel size is 2*2*2 and the step size is 2. The maximum pooling operation selects the point with the largest value in the neighborhood, which can reduce the feature dimension by 1/2. It can ensure that the rotation, translation, scaling and other characteristics of the network remain unchanged.

3.3、网络通过第一个Dense模块将输入抽象为32*32*32*32大小的特征,在使用最大池化操作降低数据大小至16*16*16*32,通过第二个Dense模块提取出16*16*16*64大小的特征,最大池化降低特征大小至8*8*8*64,最后使用第三个Dense模块提取出8*8*8*128大小的特征,并使用最大池化将特征缩小至 4*4*4*128。最终提取到各解剖面的特征图Xa、Xc、Xs,其大小均为4*4*4*128,其中4*4*4为特征图大小,128为特征图数量,再将各解剖面特征图在特征数量维度上进行特征拼接,得到融合后的特征矩阵X,其大小为4*4*4*384。3.3. The network abstracts the input into 32*32*32*32 features through the first Dense module, reduces the data size to 16*16*16*32 using the maximum pooling operation, and extracts the data through the second Dense module 16*16*16*64 features, the maximum pooling reduces the feature size to 8*8*8*64, and finally uses the third Dense module to extract 8*8*8*128 features, and uses the maximum pooling Reduce the feature to 4*4*4*128. Finally, the feature maps Xa, Xc, and Xs of each anatomical surface are extracted, and their sizes are all 4*4*4*128, of which 4*4*4 is the size of the feature map, and 128 is the number of feature maps. The graph performs feature splicing in the dimension of feature quantity, and obtains the fused feature matrix X, whose size is 4*4*4*384.

3.4、对融合后的特征矩阵X进行卷积操作,卷积核的大小为3*3*3,数目为512,获得大小为4*4*4*512的特征矩阵。在对特征矩阵进行卷积操作,卷积核的大小为3*3*3,数目为1024,获得大小为4*4*4*1024的特征矩阵。最后,对特征矩阵进行全局均值池化操作,池化核大小为4*4*4,全局均值池化操作选取邻域内特征点的平均值,得到最终的特征向量F,其大小为1*1*1*1024。3.4. Perform a convolution operation on the fused feature matrix X, the size of the convolution kernel is 3*3*3, the number is 512, and a feature matrix with a size of 4*4*4*512 is obtained. In the convolution operation on the feature matrix, the size of the convolution kernel is 3*3*3, the number is 1024, and the feature matrix of size 4*4*4*1024 is obtained. Finally, perform global mean pooling operation on the feature matrix, the size of the pooling kernel is 4*4*4, and the global mean pooling operation selects the average value of the feature points in the neighborhood to obtain the final feature vector F, whose size is 1*1 *1*1024.

3.5、使用2个全连接层与特征向量F相连,第一层全连接层输出特征为 1*1*1*256,第二层全连接层输出特征为1*1*1*3。最后使用softmax层以概率的形式输出诊断类别。全连接层的运算函数为:3.5. Use 2 fully connected layers to connect with the feature vector F, the output feature of the first fully connected layer is 1*1*1*256, and the output feature of the second fully connected layer is 1*1*1*3. Finally, a softmax layer is used to output the diagnostic categories in the form of probabilities. The operation function of the fully connected layer is:

Figure RE-GDA0002323470700000091
Figure RE-GDA0002323470700000091

其中为第l层第i个神经元的输出和偏置,ωi,j为该神经元与第l-1层第j 个神经元的连接权值,N为第l-1层神经元的个数,f为Relu激活函数。全连接层能够将学习到的特征映射到样本空间当中,达到分类的目的。in is the output and bias of the ith neuron in the lth layer, ωi,j is the connection weight between the neuron and the jth neuron in the l-1th layer, and N is the number of neurons in the l-1th layer. number, f is the Relu activation function. The fully connected layer can map the learned features to the sample space to achieve the purpose of classification.

Softmax层的运算函数为:The operation function of the Softmax layer is:

其中Zj为第j个输入变量,M为输入变量的个数,

Figure RE-GDA0002323470700000094
为输出,可以表示输出类别为j的概率。Softmax层将输出变换为类别的概率,方便理解与进行损失计算。where Zj is the jth input variable, M is the number of input variables,
Figure RE-GDA0002323470700000094
is the output, which can represent the probability that the output class is j. The Softmax layer transforms the output into the probability of the category, which is convenient for understanding and loss calculation.

4、网络训练:输入MRI脑图像的3种不同的解剖面的切片到3D卷积神经网络得到模型诊断信息,再计算模型诊断结果与真实标签之间的交叉熵损失。交叉熵的计算公式为:4. Network training: Input the slices of 3 different anatomical planes of the MRI brain image to the 3D convolutional neural network to obtain the model diagnosis information, and then calculate the cross entropy loss between the model diagnosis result and the real label. The formula for calculating cross entropy is:

Figure RE-GDA0002323470700000101
Figure RE-GDA0002323470700000101

其中,Pn代表样本属于第n个类别的真实概率,Qn代表样本为第n个类别的预测概率。交叉熵刻画的是真实概率分布与预测概率分布之间的距离,刻画了概率分布Q来表达概率分布P的困难程度,P和Q之间交叉熵越小,两个概率的分布越接近,也就意味着诊断结果越接近真实标签。Among them, Pn represents the true probability that the sample belongs to the nth category, and Qn represents the predicted probability that the sample belongs to the nth category. The cross entropy depicts the distance between the real probability distribution and the predicted probability distribution, and depicts the difficulty of the probability distribution Q to express the probability distribution P. The smaller the cross entropy between P and Q, the closer the two probability distributions are, and the It means that the diagnostic result is closer to the true label.

接着使用反向传播的梯度下降算法,对网络的参数进行不断更新优化,模型的输出会不断接近真实标签,当验证集的准确率达到稳定区域且不再增加时,网络训练即完成。Then use the gradient descent algorithm of backpropagation to continuously update and optimize the parameters of the network, and the output of the model will continue to approach the real label. When the accuracy of the validation set reaches a stable area and no longer increases, the network training is completed.

5、对一个待测人员的脑图像进行预处理得到标准化的脑图像,将其作为输入送到训练好的基于3D卷积神经网络的脑疾病诊断模型中,得到待测者的输出标签,判断其是否患病。5. Preprocess the brain image of a person to be tested to obtain a standardized brain image, and send it as an input to the trained brain disease diagnosis model based on 3D convolutional neural network to obtain the output label of the person to be tested. whether it is sick.

以上示意性的对本发明及其实施方式进行了描述,该描述没有限制性,附图中所示的也只是本发明的实施方式之一,实际的结构并不局限于此。所以,如果本领域的普通技术人员受其启示,在不脱离本发明创造宗旨的情况下,不经创造性的设计出与该技术方案相似的结构方式及实施例,均应属于本发明的保护范围。The present invention and its embodiments have been described above schematically, and the description is not restrictive, and what is shown in the accompanying drawings is only one of the embodiments of the present invention, and the actual structure is not limited thereto. Therefore, if those of ordinary skill in the art are inspired by it, without departing from the purpose of the present invention, any structural modes and embodiments similar to this technical solution are designed without creativity, which shall belong to the protection scope of the present invention. .

Claims (7)

Translated fromChinese
1.基于3D卷积神经网络的脑疾病诊断方法,其特征是包括以下步骤:1. The brain disease diagnosis method based on 3D convolutional neural network is characterized in that comprising the following steps:(1)样本获取:获取MRI脑图像数据,包含正常样本和疾病样本;(1) Sample acquisition: acquire MRI brain image data, including normal samples and disease samples;(2)预处理:对所获取的MRI脑图像数据进行预处理,包括脑组织提取以及样本标准化;(2) Preprocessing: preprocessing the acquired MRI brain image data, including brain tissue extraction and sample standardization;(3)神经网络设计:设计用于脑疾病诊断的3D卷积神经网络;(3) Neural network design: design a 3D convolutional neural network for brain disease diagnosis;(4)特征提取及模型建立:将冠状面、矢状面、横断面的MRI脑图像分别作为3D卷积神经网络的输入,进行网络训练提取出特征并建立分类诊断模型;(4) Feature extraction and model establishment: The MRI brain images of coronal plane, sagittal plane and transverse plane are respectively used as the input of 3D convolutional neural network, and network training is performed to extract features and establish a classification and diagnosis model;(5)诊断:对待测人员的MRI脑图像进行预处理,得到标准化脑组织,将其作为输入送到训练好的3D卷积神经网络诊断模型中,得到待测者的输出标签,判断其是否患病。(5) Diagnosis: Preprocess the MRI brain image of the person to be tested to obtain standardized brain tissue, which is sent as input to the trained 3D convolutional neural network diagnostic model to obtain the output label of the person to be tested to determine whether it is sick.2.根据权利要求1所述的基于3D卷积神经网络的脑疾病诊断方法,其特征是所述步骤(1)样本获取,包含以下具体步骤:选取ADNI公共数据集中6000个MRI脑图像,包括阿尔兹海姆症患者、轻度认知障碍患者和正常人三个类别,每种类别的MRI脑图像均为2000个样本,将其按照9:1的比例划分为5400个样本的训练集和600个样本的测试集。2. the brain disease diagnosis method based on 3D convolutional neural network according to claim 1, is characterized in that described step (1) sample acquisition, comprises following concrete steps: chooses 6000 MRI brain images in ADNI public data set, comprises Alzheimer's disease patients, mild cognitive impairment patients and normal people are three categories. The MRI brain images of each category are 2000 samples, which are divided into a training set of 5400 samples and a 9:1 ratio. A test set of 600 samples.3.根据权利要求1所述的基于3D卷积神经网络的脑疾病诊断方法,其特征是所述步骤(2)预处理,包含以下具体步骤:3. the brain disease diagnosis method based on 3D convolutional neural network according to claim 1 is characterized in that described step (2) preprocessing, comprises following concrete steps:1)通过全局阈值分割法去除不包含大脑的无效切片;1) Remove invalid slices that do not contain brain by global threshold segmentation method;2)通过前联合-后联合矫正调整在MRI脑图像获取时被试人员头部不规范的姿势;2) Adjust the irregular head posture of the subjects during the acquisition of MRI brain images through anterior joint-posterior joint correction;3)对MRI脑图像进行颅骨剥离以及小脑移除,从而得到完整单一的大脑组织;3) Skull dissection and cerebellum removal are performed on the MRI brain image to obtain a complete and single brain tissue;4)通过调整空间分辨率、使用N3算法矫正强度不均匀性、使用三线性插值法重采样,将所有提取的脑组织图像标准化到统一的样本空间,以消除不同成像设备获得的MRI脑图像之间的差异。4) Normalize all the extracted brain tissue images to a unified sample space by adjusting the spatial resolution, using the N3 algorithm to correct the intensity inhomogeneity, and resampling using the trilinear interpolation method to eliminate the differences between the MRI brain images obtained by different imaging devices. difference between.4.根据权利要求3所述的基于3D卷积神经网络的脑疾病诊断方法,其特征是所述步骤4)具体为:调整MRI的空间分辨率至1*1*1mm3,使用N3算法矫正强度不均匀性以及使用三线性插值法进行重采样至128*128*128,将所有处理过的脑影像标准化到一个统一的样本空间。4. the brain disease diagnosis method based on 3D convolutional neural network according to claim 3 is characterized in that described step 4) is specifically: adjust the spatial resolution of MRI to 1*1*1mm3 , use N3 algorithm to correct Intensity inhomogeneity and resampling to 128*128*128 using trilinear interpolation normalize all processed brain images to a uniform sample space.5.根据权利要求1所述的基于3D卷积神经网络的脑疾病诊断方法,其特征是所述步骤(3)神经网络设计,包含以下具体步骤:5. the brain disease diagnosis method based on 3D convolutional neural network according to claim 1 is characterized in that described step (3) neural network design, comprises following concrete steps:1)3D卷积神经网络分别以冠状面、横断面和矢状面的若干张MRI脑图像切片作为输入;1) The 3D convolutional neural network takes several MRI brain image slices in the coronal, transverse and sagittal planes as input;2)特征提取:3D卷积神经网络对冠状面、横断面和矢状面的MRI脑图像分别进行特征提取得到3个不同的特征矩阵;2) Feature extraction: 3D convolutional neural network performs feature extraction on coronal, transverse and sagittal MRI brain images to obtain 3 different feature matrices;3)在特征矩阵数量维度上将3个特征矩阵进行特征拼接,再使用3D卷积、最大池化以及全局均值池化操作,将拼接的特征矩阵抽象为1维的特征向量;3) Feature splicing is performed on the three feature matrices in the dimension of the number of feature matrices, and then 3D convolution, maximum pooling, and global mean pooling operations are used to abstract the spliced feature matrices into 1-dimensional feature vectors;4)使用2个全连接层与1个softmax层对脑疾病类型进行分类。4) Use 2 fully connected layers and 1 softmax layer to classify brain disease types.6.根据权利要求5所述的基于3D卷积神经网络的脑疾病诊断方法,其特征是所述步骤2)特征提取,包含以下具体步骤:6. the brain disease diagnosis method based on 3D convolutional neural network according to claim 5 is characterized in that described step 2) feature extraction, comprises following concrete steps:(a)输入某个解剖面MRI脑图像,使用DenseNet模块进行特征提取;其中DenseNet模块包含4个卷积模块,卷积模块中包含了卷积层,批量归一化层和激活函数层;先使用核大小为3*3*3卷积模块对输入进行卷操作得到特征Y1,再使用卷积模块对特征Y1进行卷积模块得到特征Y2;将特征Y1与Y2在特征数量维度上进行拼接,特征矩阵大小不变,特征数量相加,再通过卷积模块中得到特征Y3;(a) Input an anatomical MRI brain image, and use the DenseNet module for feature extraction; the DenseNet module includes 4 convolution modules, and the convolution module includes a convolution layer, a batch normalization layer and an activation function layer; first Use the convolution module with a kernel size of 3*3*3 to perform the convolution operation on the input to obtain the feature Y1, and then use the convolution module to perform the convolution module on the feature Y1 to obtain the feature Y2; splicing the features Y1 and Y2 in the feature quantity dimension, The size of the feature matrix is unchanged, the number of features is added, and then the feature Y3 is obtained through the convolution module;所述的卷积层的计算过程为:The calculation process of the convolutional layer is as follows:
Figure FDA0002216775030000021
Figure FDA0002216775030000021
其中,
Figure FDA0002216775030000022
为第i层中第j个特征图中(x,y,z)点处的值;Pi,Qi,Ri分别表示3D卷积核的尺寸;
Figure FDA0002216775030000023
表示连接i-1层第m个特征图与i层第j个特征图的卷积核在(p,q,r)点处的权重,对于3D卷积而言,每个特征图都是3维的;
in,
Figure FDA0002216775030000022
is the value at the point (x, y, z) in the j-th feature map in the i-th layer; Pi , Qi , Ri respectively represent the size of the 3D convolution kernel;
Figure FDA0002216775030000023
Indicates the weight of the convolution kernel connecting the m-th feature map of the i-1 layer and the j-th feature map of the i-layer at the point (p, q, r). For 3D convolution, each feature map is 3 dimensional;
卷积之后采用如下BN算法将数据归一化到均值为0,方差为1的高斯分布上:After the convolution, the following BN algorithm is used to normalize the data to a Gaussian distribution with a mean of 0 and a variance of 1:
Figure FDA0002216775030000031
Figure FDA0002216775030000031
其中,Xk为特征层中的第k个特征图,E(Xk)为求取输入特征图Xk的均值,Var(Xk)为求取特征图Xk的方差,
Figure FDA0002216775030000032
为归一化后的输出;
Among them, Xk is the k-th feature map in the feature layer, E(Xk ) is the mean value of the input feature map Xk , Var(Xk ) is the variance of the feature map Xk ,
Figure FDA0002216775030000032
is the normalized output;
激活函数层采用Relu函数,其操作的运算函数为:The activation function layer adopts the Relu function, and the operation function of its operation is:f(x)=max(0,x)f(x)=max(0,x)其中,x为输入;Among them, x is the input;(b)对提取的特征进行最大池化操作,核大小为2*2*2,步长为2,减小数据维度;(b) Perform a maximum pooling operation on the extracted features, the kernel size is 2*2*2, the step size is 2, and the data dimension is reduced;(c)网络通过第一个Dense模块将输入抽象为32*32*32*32大小的特征,在使用最大池化操作降低数据大小至16*16*16*32,通过第二个Dense模块提取出16*16*16*64大小的特征,最大池化降低特征大小至8*8*8*64,最后使用第三个Dense模块提取出8*8*8*128大小的特征,并使用最大池化将特征缩小至4*4*4*128;最终提取到各解剖面的特征图Xa、Xc、Xs,其大小均为4*4*4*128,其中4*4*4为特征图大小,128为特征图数量,再将各解剖面特征图在特征数量维度上进行特征拼接,得到融合后的特征矩阵X,其大小为4*4*4*384;(c) The network abstracts the input into 32*32*32*32 features through the first Dense module, reduces the data size to 16*16*16*32 using the maximum pooling operation, and extracts it through the second Dense module The feature size of 16*16*16*64 is obtained, the maximum pooling reduces the feature size to 8*8*8*64, and finally the third Dense module is used to extract the feature size of 8*8*8*128, and use the maximum size of 8*8*8*128. Pooling reduces the features to 4*4*4*128; the feature maps Xa, Xc, and Xs of each anatomical surface are finally extracted, and their size is 4*4*4*128, of which 4*4*4 is the feature map size, 128 is the number of feature maps, and then feature splicing of each anatomical surface feature map in the dimension of feature number to obtain a fused feature matrix X, whose size is 4*4*4*384;(d)对融合后的特征矩阵X进行卷积操作,卷积核的大小为3*3*3,数目为512,获得大小为4*4*4*512的特征矩阵;再对特征矩阵进行卷积操作,卷积核的大小为3*3*3,数目为1024,获得大小为4*4*4*1024的特征矩阵;最后,对特征矩阵进行全局均值池化操作,池化核大小为4*4*4,全局均值池化操作选取邻域内特征点的平均值,得到最终的特征向量F,其大小为1*1*1*1024;(d) Perform a convolution operation on the fused feature matrix X, the size of the convolution kernel is 3*3*3, the number is 512, and a feature matrix with a size of 4*4*4*512 is obtained; Convolution operation, the size of the convolution kernel is 3*3*3, the number is 1024, and the feature matrix of size 4*4*4*1024 is obtained; finally, the global mean pooling operation is performed on the feature matrix, and the size of the pooling kernel is is 4*4*4, the global mean pooling operation selects the average value of the feature points in the neighborhood, and obtains the final feature vector F, whose size is 1*1*1*1024;(e)使用2个全连接层与特征向量F相连,第一层全连接层输出特征为1*1*1*256,第二层全连接层输出特征为1*1*1*3;最后使用softmax层以概率的形式输出诊断类别;(e) Use 2 fully connected layers to connect with the feature vector F, the output features of the first fully connected layer are 1*1*1*256, and the output features of the second fully connected layer are 1*1*1*3; finally Use a softmax layer to output diagnostic categories in the form of probabilities;全连接层的运算函数为:
Figure FDA0002216775030000033
The operation function of the fully connected layer is:
Figure FDA0002216775030000033
其中
Figure FDA0002216775030000041
为第l层第i个神经元的输出和偏置,ωi,j为该神经元与第l-1层第j个神经元的连接权值,N为第l-1层神经元的个数,f为Relu激活函数;
in
Figure FDA0002216775030000041
is the output and bias of the i-th neuron in the l-th layer, ωi,j is the connection weight between the neuron and the j-th neuron in the l-1 layer, and N is the number of neurons in the l-1 layer. number, f is the Relu activation function;
Softmax层的运算函数为:The operation function of the Softmax layer is:
Figure FDA0002216775030000042
Figure FDA0002216775030000042
其中Zj为第j个输入变量,M为输入变量的个数,为输出,可以表示输出类别为j的概率。where Zj is the jth input variable, M is the number of input variables, is the output, which can represent the probability that the output class is j.7.根据权利要求1所述的基于3D卷积神经网络的脑疾病诊断方法,其特征是所述步骤(4)特征提取及模型建立中,网络训练包括以下步骤:7. the brain disease diagnosis method based on 3D convolutional neural network according to claim 1 is characterized in that in described step (4) feature extraction and model establishment, network training comprises the following steps:1)输入MRI脑图像的3种不同的解剖面的切片到3D卷积神经网络得到模型诊断信息,再计算模型诊断结果与真实标签之间的交叉熵损失;交叉熵的计算公式为:1) Input the slices of 3 different anatomical planes of the MRI brain image into the 3D convolutional neural network to obtain the model diagnosis information, and then calculate the cross entropy loss between the model diagnosis result and the real label; the calculation formula of the cross entropy is:
Figure FDA0002216775030000044
Figure FDA0002216775030000044
其中,Pn代表样本属于第n个类别的真实概率,Qn代表样本为第n个类别的预测概率;Among them, Pn represents the true probability that the sample belongs to the nth category, and Qn represents the predicted probability that the sample belongs to the nth category;2)使用反向传播的梯度下降算法,对网络的参数进行不断更新优化,模型的输出不断接近真实标签,当验证集的准确率达到稳定区域且不再增加时,网络训练完成。2) Using the gradient descent algorithm of backpropagation, the parameters of the network are continuously updated and optimized, and the output of the model is constantly approaching the real label. When the accuracy of the validation set reaches a stable area and no longer increases, the network training is completed.
CN201910918352.8A2019-09-262019-09-26 A brain disease diagnosis method based on 3D convolutional neural networkWithdrawnCN110739070A (en)

Priority Applications (1)

Application NumberPriority DateFiling DateTitle
CN201910918352.8ACN110739070A (en)2019-09-262019-09-26 A brain disease diagnosis method based on 3D convolutional neural network

Applications Claiming Priority (1)

Application NumberPriority DateFiling DateTitle
CN201910918352.8ACN110739070A (en)2019-09-262019-09-26 A brain disease diagnosis method based on 3D convolutional neural network

Publications (1)

Publication NumberPublication Date
CN110739070Atrue CN110739070A (en)2020-01-31

Family

ID=69269711

Family Applications (1)

Application NumberTitlePriority DateFiling Date
CN201910918352.8AWithdrawnCN110739070A (en)2019-09-262019-09-26 A brain disease diagnosis method based on 3D convolutional neural network

Country Status (1)

CountryLink
CN (1)CN110739070A (en)

Cited By (29)

* Cited by examiner, † Cited by third party
Publication numberPriority datePublication dateAssigneeTitle
CN111584066A (en)*2020-04-132020-08-25清华大学Brain medical image diagnosis method based on convolutional neural network and symmetric information
CN111584071A (en)*2020-05-112020-08-25何方舟Artificial intelligent auxiliary diagnosis model for primary malignant bone tumor around knee joint
CN111640500A (en)*2020-04-302020-09-08西北大学Brain age prediction model and method based on bilinear fusion and attention mechanism
CN111653365A (en)*2020-07-232020-09-11中山大学附属第一医院 A nasopharyngeal carcinoma auxiliary diagnosis model construction and auxiliary diagnosis method and system
CN111862136A (en)*2020-06-222020-10-30南开大学 Lesion segmentation method of ischemic stroke based on multimodal MRI imaging based on convolutional neural network
CN112002417A (en)*2020-08-242020-11-27深圳市儿童医院Multi-gene molecular diagnosis model, construction method and application thereof
CN112053342A (en)*2020-09-022020-12-08陈燕铭Method and device for extracting and identifying pituitary magnetic resonance image based on artificial intelligence
CN112163512A (en)*2020-09-252021-01-01杨铠郗Autism spectrum disorder face screening method based on machine learning
CN112190269A (en)*2020-12-042021-01-08兰州大学Construction method of depression auxiliary identification model based on multi-source electroencephalogram data fusion
CN112382385A (en)*2020-11-122021-02-19山东中医药大学Aura-free migraine auxiliary diagnosis algorithm based on 3D convolutional neural network
CN112419332A (en)*2020-11-162021-02-26复旦大学Skull stripping method and device for thick-layer MRI (magnetic resonance imaging) image
CN112419251A (en)*2020-11-132021-02-26浙江核睿医疗科技有限公司Upper gastrointestinal endoscope image generation method and device, electronic equipment and storage medium
CN112489788A (en)*2020-11-252021-03-12武汉大学中南医院Multi-modal image analysis method and system for cancer diagnosis
CN112674720A (en)*2020-12-242021-04-20四川大学Alzheimer disease pre-diagnosis method based on 3D convolutional neural network
CN112735569A (en)*2020-12-312021-04-30四川大学华西医院System and method for outputting glioma operation area result before multi-modal MRI of brain tumor
CN113033650A (en)*2021-03-222021-06-25Oppo广东移动通信有限公司Image classification method, training method and device of classification model and storage medium
CN113269774A (en)*2021-06-092021-08-17西南交通大学Parkinson disease classification and lesion region labeling method of MRI (magnetic resonance imaging) image
CN113436726A (en)*2021-06-292021-09-24南开大学Automatic lung pathological sound analysis method based on multi-task classification
CN113808735A (en)*2021-09-082021-12-17山西大学 A Brain Imaging-Based Assessment Method for Mental Illness
CN114821176A (en)*2022-04-282022-07-29浙江大学 A classification system for viral encephalitis on MR images of children's brains
CN114927220A (en)*2022-05-312022-08-19山东大学Differential diagnosis system for cervical spondylotic myelopathy and Parkinson's disease
CN114999637A (en)*2022-07-182022-09-02华东交通大学Pathological image diagnosis method and system based on multi-angle coding and embedded mutual learning
CN114999629A (en)*2022-04-282022-09-02安徽大学AD early prediction method, system and device based on multi-feature fusion
CN115064263A (en)*2022-06-082022-09-16华侨大学Alzheimer's disease prediction method based on random forest pruning brain region selection
CN116168276A (en)*2023-02-272023-05-26脉得智能科技(无锡)有限公司Multi-modal feature fusion-based breast nodule classification method, device and storage medium
CN116386857A (en)*2023-06-072023-07-04深圳市森盈智能科技有限公司 A system and method for pathological analysis
CN117238483A (en)*2023-11-102023-12-15哈尔滨海鸿基业科技发展有限公司Child cerebral palsy diagnosis equipment
CN117558451A (en)*2024-01-112024-02-13广州中大医疗器械有限公司Nerve loss degree assessment method based on big data
CN117710761A (en)*2024-02-062024-03-15中国科学院深圳先进技术研究院 Magnetic resonance image classification method and device based on quantum convolutional neural network

Cited By (46)

* Cited by examiner, † Cited by third party
Publication numberPriority datePublication dateAssigneeTitle
CN111584066B (en)*2020-04-132022-09-09清华大学Brain medical image diagnosis method based on convolutional neural network and symmetric information
CN111584066A (en)*2020-04-132020-08-25清华大学Brain medical image diagnosis method based on convolutional neural network and symmetric information
CN111640500A (en)*2020-04-302020-09-08西北大学Brain age prediction model and method based on bilinear fusion and attention mechanism
CN111640500B (en)*2020-04-302023-09-05西北大学 Brain Age Prediction Model and Method Based on Bilinear Fusion and Attention Mechanism
CN111584071A (en)*2020-05-112020-08-25何方舟Artificial intelligent auxiliary diagnosis model for primary malignant bone tumor around knee joint
CN111862136A (en)*2020-06-222020-10-30南开大学 Lesion segmentation method of ischemic stroke based on multimodal MRI imaging based on convolutional neural network
CN111653365A (en)*2020-07-232020-09-11中山大学附属第一医院 A nasopharyngeal carcinoma auxiliary diagnosis model construction and auxiliary diagnosis method and system
CN112002417A (en)*2020-08-242020-11-27深圳市儿童医院Multi-gene molecular diagnosis model, construction method and application thereof
CN112002417B (en)*2020-08-242024-03-12深圳市儿童医院Polygene molecular diagnosis model, construction method and application thereof
CN112053342A (en)*2020-09-022020-12-08陈燕铭Method and device for extracting and identifying pituitary magnetic resonance image based on artificial intelligence
CN112163512A (en)*2020-09-252021-01-01杨铠郗Autism spectrum disorder face screening method based on machine learning
CN112382385A (en)*2020-11-122021-02-19山东中医药大学Aura-free migraine auxiliary diagnosis algorithm based on 3D convolutional neural network
CN112419251A (en)*2020-11-132021-02-26浙江核睿医疗科技有限公司Upper gastrointestinal endoscope image generation method and device, electronic equipment and storage medium
CN112419332A (en)*2020-11-162021-02-26复旦大学Skull stripping method and device for thick-layer MRI (magnetic resonance imaging) image
CN112489788A (en)*2020-11-252021-03-12武汉大学中南医院Multi-modal image analysis method and system for cancer diagnosis
CN112489788B (en)*2020-11-252024-06-07武汉大学中南医院Multi-mode image analysis method and system for cancer diagnosis
CN112190269A (en)*2020-12-042021-01-08兰州大学Construction method of depression auxiliary identification model based on multi-source electroencephalogram data fusion
CN112190269B (en)*2020-12-042024-03-12兰州大学Depression auxiliary identification model construction method based on multisource brain electric data fusion
CN112674720A (en)*2020-12-242021-04-20四川大学Alzheimer disease pre-diagnosis method based on 3D convolutional neural network
CN112674720B (en)*2020-12-242022-03-22四川大学 Prediction method of Alzheimer's disease based on 3D convolutional neural network
CN112735569B (en)*2020-12-312022-09-02四川大学华西医院System and method for outputting glioma operation area result before multi-modal MRI of brain tumor
CN112735569A (en)*2020-12-312021-04-30四川大学华西医院System and method for outputting glioma operation area result before multi-modal MRI of brain tumor
CN113033650A (en)*2021-03-222021-06-25Oppo广东移动通信有限公司Image classification method, training method and device of classification model and storage medium
CN113033650B (en)*2021-03-222024-08-23Oppo广东移动通信有限公司Image classification method, training method and device of classification model and storage medium
CN113269774A (en)*2021-06-092021-08-17西南交通大学Parkinson disease classification and lesion region labeling method of MRI (magnetic resonance imaging) image
CN113269774B (en)*2021-06-092022-04-26西南交通大学 A method for classifying Parkinson's disease in MRI images and labeling the lesion area
CN113436726B (en)*2021-06-292022-03-04南开大学 An automatic analysis method of lung pathological sounds based on multi-task classification
CN113436726A (en)*2021-06-292021-09-24南开大学Automatic lung pathological sound analysis method based on multi-task classification
CN113808735A (en)*2021-09-082021-12-17山西大学 A Brain Imaging-Based Assessment Method for Mental Illness
CN113808735B (en)*2021-09-082024-03-12山西大学Mental disease assessment method based on brain image
CN114999629A (en)*2022-04-282022-09-02安徽大学AD early prediction method, system and device based on multi-feature fusion
CN114821176B (en)*2022-04-282022-11-01浙江大学Viral encephalitis classification system for MR (magnetic resonance) images of children brain
CN114999629B (en)*2022-04-282024-03-01安徽大学AD early prediction method, system and device based on multi-feature fusion
CN114821176A (en)*2022-04-282022-07-29浙江大学 A classification system for viral encephalitis on MR images of children's brains
CN114927220A (en)*2022-05-312022-08-19山东大学Differential diagnosis system for cervical spondylotic myelopathy and Parkinson's disease
CN115064263A (en)*2022-06-082022-09-16华侨大学Alzheimer's disease prediction method based on random forest pruning brain region selection
CN114999637B (en)*2022-07-182022-10-25华东交通大学Pathological image diagnosis method and system based on multi-angle coding and embedded mutual learning
CN114999637A (en)*2022-07-182022-09-02华东交通大学Pathological image diagnosis method and system based on multi-angle coding and embedded mutual learning
CN116168276B (en)*2023-02-272023-10-31脉得智能科技(无锡)有限公司Multi-modal feature fusion-based breast nodule classification method, device and storage medium
CN116168276A (en)*2023-02-272023-05-26脉得智能科技(无锡)有限公司Multi-modal feature fusion-based breast nodule classification method, device and storage medium
CN116386857B (en)*2023-06-072023-11-10深圳市森盈智能科技有限公司 Pathological analysis system and method
CN116386857A (en)*2023-06-072023-07-04深圳市森盈智能科技有限公司 A system and method for pathological analysis
CN117238483B (en)*2023-11-102024-02-27哈尔滨海鸿基业科技发展有限公司Child cerebral palsy diagnosis equipment
CN117238483A (en)*2023-11-102023-12-15哈尔滨海鸿基业科技发展有限公司Child cerebral palsy diagnosis equipment
CN117558451A (en)*2024-01-112024-02-13广州中大医疗器械有限公司Nerve loss degree assessment method based on big data
CN117710761A (en)*2024-02-062024-03-15中国科学院深圳先进技术研究院 Magnetic resonance image classification method and device based on quantum convolutional neural network

Similar Documents

PublicationPublication DateTitle
CN110739070A (en) A brain disease diagnosis method based on 3D convolutional neural network
CN109584254B (en)Heart left ventricle segmentation method based on deep full convolution neural network
Rong et al.Surrogate-assisted retinal OCT image classification based on convolutional neural networks
CN110599528B (en)Unsupervised three-dimensional medical image registration method and system based on neural network
CN107633522B (en) Brain Image Segmentation Method and System Based on Local Similarity Active Contour Model
CN109242860B (en) Brain tumor image segmentation method based on deep learning and weight space integration
CN112837274B (en) A Classification and Recognition Method Based on Multimodal Multisite Data Fusion
CN109978778A (en)Convolutional neural networks medicine CT image denoising method based on residual error study
CN106296699A (en)Cerebral tumor dividing method based on deep neural network and multi-modal MRI image
WO2019001208A1 (en)Segmentation algorithm for choroidal neovascularization in oct image
CN111783792B (en)Method for extracting significant texture features of B-ultrasonic image and application thereof
CN107563434B (en) A brain MRI image classification method and device based on three-dimensional convolutional neural network
CN113781640A (en) A method for establishing a 3D face reconstruction model based on weakly supervised learning and its application
CN107506797A (en)One kind is based on deep neural network and multi-modal image alzheimer disease sorting technique
CN107507162A (en)A kind of Genotyping methods based on multi-modal brain image
CN116071401B (en)Virtual CT image generation method and device based on deep learning
CN112750531A (en)Automatic inspection system, method, equipment and medium for traditional Chinese medicine
CN112365980A (en)Brain tumor multi-target point auxiliary diagnosis and prospective treatment evolution visualization method and system
CN118314175A (en) Unsupervised deformable three-dimensional medical image registration method and device
CN111523617A (en)Epilepsy detection system based on white matter fusion characteristic diagram and residual error attention network
CN114581453A (en)Medical image segmentation method based on multi-axial-plane feature fusion two-dimensional convolution neural network
CN113658721A (en) Alzheimer's disease progression prediction method
CN118942648A (en) A cross-modal brain network generation method based on diffusion model
CN117689566A (en)Medical multi-mode image fusion method based on multi-scale feature extraction
CN113408593A (en)Diabetic retinopathy image classification method based on improved ResNeSt convolutional neural network model

Legal Events

DateCodeTitleDescription
PB01Publication
PB01Publication
SE01Entry into force of request for substantive examination
SE01Entry into force of request for substantive examination
WW01Invention patent application withdrawn after publication
WW01Invention patent application withdrawn after publication

Application publication date:20200131


[8]ページ先頭

©2009-2025 Movatter.jp