Movatterモバイル変換


[0]ホーム

URL:


CN110737842A - Social contact feeling recommendation method, device and system based on user image - Google Patents

Social contact feeling recommendation method, device and system based on user image
Download PDF

Info

Publication number
CN110737842A
CN110737842ACN201810719713.1ACN201810719713ACN110737842ACN 110737842 ACN110737842 ACN 110737842ACN 201810719713 ACN201810719713 ACN 201810719713ACN 110737842 ACN110737842 ACN 110737842A
Authority
CN
China
Prior art keywords
user
users
industry
vector
demand
Prior art date
Legal status (The legal status is an assumption and is not a legal conclusion. Google has not performed a legal analysis and makes no representation as to the accuracy of the status listed.)
Granted
Application number
CN201810719713.1A
Other languages
Chinese (zh)
Other versions
CN110737842B (en
Inventor
王春亮
Current Assignee (The listed assignees may be inaccurate. Google has not performed a legal analysis and makes no representation or warranty as to the accuracy of the list.)
Beijing Zhenghe Island Information Technology Co Ltd
Original Assignee
Beijing Zhenghe Island Information Technology Co Ltd
Priority date (The priority date is an assumption and is not a legal conclusion. Google has not performed a legal analysis and makes no representation as to the accuracy of the date listed.)
Filing date
Publication date
Application filed by Beijing Zhenghe Island Information Technology Co LtdfiledCriticalBeijing Zhenghe Island Information Technology Co Ltd
Priority to CN201810719713.1ApriorityCriticalpatent/CN110737842B/en
Publication of CN110737842ApublicationCriticalpatent/CN110737842A/en
Application grantedgrantedCritical
Publication of CN110737842BpublicationCriticalpatent/CN110737842B/en
Activelegal-statusCriticalCurrent
Anticipated expirationlegal-statusCritical

Links

Images

Classifications

Landscapes

Abstract

The application discloses social connections recommendation method, device and system based on user images, wherein the method comprises the steps of calculating a link index between a th user and each user in a th user address list, receiving industry requirements sent by a th user, generating supply vectors based on the industry requirements, calculating a similar user list meeting requirements of a th user based on the supply vectors and the link indexes, and sending the similar user list to a th user.

Description

Social contact feeling recommendation method, device and system based on user image
Technical Field
The application relates to the field of internet social data processing, in particular to a social contact recommendation method, device and system based on user images.
Background
With the development of information, social relationship links migrate from real physical society to virtual network society. In the internet virtual space, the links between people are mainly established based on interests or social relations in a direct real society. Interest-based virtual links can be more efficient for users to discover information of interest based on interest, but are difficult for users to discover and interface to depth requirements. The virtual relationship established based on the real social relationship has various defects of the real society, such as small diameter of the circle and incapability of deeply solving the problem of information symmetry.
Disclosure of Invention
It is an object of the present application to overcome the above problems or to at least partially solve or mitigate the above problems.
According to aspects of the present application, there are provided social connections recommendation methods, comprising:
calculating a link index between the th user and each user in the th user address list;
a vector generation step of receiving the industry demand sent by the th user and generating a supply vector based on the industry demand;
and a similar user recommending step of calculating a similar user list meeting the th user requirement based on the supply vector and the link index and sending the similar user list to the th user.
The method can establish a user portrait with the user demand attribute as a main characteristic based on the demand attribute of the user on a social platform, assist the user to establish a deep demand network based on the portrait through the user demand on a multi-dimensional industry and the user multi-dimensional portrait, and recommend a plurality of users with high similarity to the user to online users so as to establish virtual links and docking demands among the users according to the similarity.
Optionally, the link index calculating step includes:
calculating a link index based on the user's address book by calculating a parameter profile between the th user and a second user in the th user address book, the parameter profile including at least of the following:
the number of users in the th user address book;
the number of users in the second user address list;
the times of the th user are saved in the address book of other users, wherein the other users are users outside the second user in the address book of the th user;
storing the times of the second user in the address book of other users, wherein the other users are users outside the second user in the address book of the th user;
, the number of users present in both the user address book and the second user address book;
a number of users present in either said th user address book only or said second user address book only;
simultaneously saving th user and the second user in the address list;
and storing th user or the number of the second users in the address book.
Optionally, the vector generating step comprises the steps of:
receiving industry requirements sent by the th user, wherein the industry requirements comprise industries where the th user is located, interested industries and other industries, the industries in the industry requirements are respectively endowed with different weights, and a requirement vector of the th user is generated based on the weights;
and generating a supply vector according to the demand vector of the th user and the supply and demand distribution matrix among various industries.
Optionally, the similar user recommending step includes:
based on the offer vector, finding a matching user to the th user;
and sorting the users matched with the th user based on the link indexes to obtain a similar user list, and sending the similar user list to the th user.
According to another aspects of the present application, there is also provided social connections recommendation devices, comprising:
a link index calculation module configured to calculate a link index between the th user and each user in the th user address list;
a vector generation module configured to receive the industry requirements sent by the th user, generate a supply vector based on the industry requirements, and
a similar users recommendation module configured to calculate a list of similar users meeting the user requirements based on the offer vector and the link index and send the list of similar users to the user.
The device can establish a user portrait with the user demand attribute as the main characteristic based on the demand attribute of the user on the social platform, assist the user to establish a deep demand network based on the portrait through the user demand on the multidimensional industry and the user multidimensional portrait, and recommend a plurality of users with high similarity to the user to the online user so as to establish virtual link and butt joint demands among the users according to the similarity.
Optionally, the vector generation module includes:
a demand vector generation module, configured to receive industry demands sent by the th user, where the industry demands include an industry in which the th user is located, an interested industry, and other industries, and the industry demands are respectively given different weights, and a demand vector of the th user is generated based on the weights;
a supply vector generating module configured to generate supply vectors according to the demand vectors of the th users and the supply and demand distribution degree matrix among the industries.
According to another aspects of the application, the social connections recommendation system is further provided, which includes a th server, a master memory, a slave memory and a second server, wherein the master memory is connected to the th server, the master memory and the slave memory are respectively connected to the second server, the second server is loaded with a recommendation calculation engine and an index database, the master memory is connected to the slave memory and ensures real-time synchronization of information by streaming copy, wherein the second server is used for calculating link indexes between a th user and each user in the th user address book and storing the link indexes in the slave memory, the th server is used for receiving industry requirements sent by the th user and transmitting the industry requirements to a recommendation calculation engine of the second server through the master memory, the recommendation calculation engine sends the industry requirements to the index database, the index database generates a supply vector based on the industry requirements and recommends the supply vector to the recommendation calculation engine, the recommendation calculation engine meets a similar link index in the th user list and sends the similar user calculation to the user.
The system can establish a user portrait with the user demand attribute as a main characteristic based on the demand attribute of the user on a social platform, assist the user to establish a deep demand network based on the portrait through the user demand on a multi-dimensional industry and the user multi-dimensional portrait, and recommend a plurality of users with high similarity to the user to online users so as to establish virtual links and docking demands among the users according to the similarity.
Optionally, the index database is used for respectively assigning different weights to industries in the industry demands, generating th user demand vectors based on the weights, and generating supply vectors according to th user demand vectors and supply and demand distribution degree matrixes among the industries, wherein the industry demands include the th user industry, industries of interest and other industries.
According to another aspects of the present application, there is also provided computer-readable storage media, preferably non-volatile readable storage media, having stored therein a computer program which, when executed by a processor, implements the method as described above.
According to another aspects of the present application, there are also provided computer program products comprising computer readable code which, when executed by a computing device, causes the computing device to perform the method as described above.
The above and other objects, advantages and features of the present application will become more apparent to those skilled in the art from the following detailed description of specific embodiments thereof, taken in conjunction with the accompanying drawings.
Drawings
The detailed description of the specific embodiments of the present application will be presented by way of example and not limitation with reference to the accompanying figures in which like references indicate similar or analogous elements or parts.
FIG. 1 is a schematic flow chart diagram of embodiments of a social connections recommendation method in accordance with the present application;
FIG. 2 is a schematic block diagram of embodiments of a social connections recommendation device according to the present application;
FIG. 3 is a schematic block diagram of embodiments of a social connections recommendation system according to the present application;
fig. 4 is a schematic block diagram of another embodiments of a social connections recommendation system according to the present application.
Detailed Description
The above and other objects, advantages and features of the present application will become more apparent to those skilled in the art from the following detailed description of specific embodiments thereof, taken in conjunction with the accompanying drawings.
FIG. 1 is a schematic flow diagram of examples of social connections recommendation methods according to the present application.
S100, calculating a link index, namely calculating the link index between the th user and each user in the th user address list;
s200, a vector generating step, namely receiving the industry demand sent by the th user and generating a supply vector based on the industry demand;
s300, a similar user recommending step, namely calculating a similar user list meeting the requirements of the user based on the supply vector and the link index, and sending the similar user list to the user.
The method can establish a user portrait with the user demand attribute as a main characteristic based on the demand attribute of the user on a social platform, assist the user to establish a deep demand network based on the portrait through the user demand on a multi-dimensional industry and the user multi-dimensional portrait, and recommend a plurality of users with high similarity to the user to online users so as to establish virtual links and docking demands among the users according to the similarity.
It can be understood that there is no requirement for the execution sequence between the step of calculating the link index of S100 and the step of generating the vector of S200, and the steps may be executed simultaneously or of the steps may be executed first according to the selection of the user.
Optionally, the S100 link index calculating step includes:
calculating a link index based on the address book of the user by calculating parameter characteristics between the th user U1 and a second user U2 in the th user address book, wherein the parameter characteristics comprise at least of the following characteristics:
the number O of users in the th user address bookU1
The number O of users in the second user address listU2
The times I of the th user are stored in the address book of other usersU1Wherein, the other users are users outside the second user in the th user address list;
saving the times I of the second user in the address list of other usersU2Wherein, the other users are users outside the second user in the th user address list;
number of users IO appearing in both the th user address book and the second user address bookU1,U2
The number UO of users appearing only in the th user address book or only in the second user address bookU1,U2
Simultaneously saving the th user and the number II of the second users in the address bookU1,U2
Saving th user or the second user's number of users UI in an address bookU1,U2
The address book of the th user U1 stores information of the second user, thus constructing a user pair < U1, U2 >. based on or more of the above eight features, a link index between the th user and the second user is calculated for each case.
If the th user U1 and the second user U2 are present in the address book of each other, the index of possible link establishment between each other is:
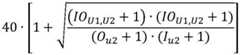
Figure BDA0001718364670000051
if the second user U2 appears user in the address book of U1, but user U1 does not appear in the address book of the second user U2, the user U1 may establish a link index to the second user U2 of:
at this time, the possible link establishment indexes of the second user U2 to the user U1 are:
Figure BDA0001718364670000053
if neither the th user U1 nor the second user U2 are present in the other's address book, then the second user U2 may establish a link index to the th user U1 of:
Figure BDA0001718364670000061
by the method, the link indexes among the registered users on the platform can be obtained based on the address book of the th user, and social connections are recommended based on real social relations.
Optionally, the S200 vector generating step includes the steps of:
a demand vector generation step of receiving industry demands sent by the th user, wherein the industry demands comprise industries where the th user is located, interested industries and other industries, endowing the industries in the industry demands with different weights respectively, and generating a demand vector of the th user based on the weights;
and generating supply vectors according to the demand vectors of the th users and the supply and demand distribution matrixes among various industries.
users registered on the platform can select own industry and interested industry, and according to the importance in supply and demand, the weight value given to the industry in which users are located is 2, the weight value given to the industry in which users are interested is 1, and the weight value given to the industry in which users are not selected is 0, so that a demand vector of users is formed.
According to experience, the supply and demand matching degrees of different industries are different and unequal, for example, the supply and demand matching degree of the software industry to the medical industry is 1.5, the supply and demand matching degree of the software industry to the agricultural industry is 1, otherwise, the supply and demand matching degree of the medical industry to the software industry may be 3, and the supply and demand matching degree of the agricultural industry to the software industry may be 2.
This reduces the storage space, and when the demand vector is needed, the demand vector is calculated according to the latest industry demand of user, so as to ensure that the industry demand data involved in calculation is the latest data and the data update is not ignored.
Optionally, the S300 similar user recommending step includes:
based on the offer vector, finding a matching user to the th user;
and sorting the users matched with the th user based on the link indexes to obtain a similar user list, and sending the similar user list to the th user.
The operation relation between the link indexes and the similarity can be set according to the requirement, for example, the calculation is carried out in a weighted average mode, or the link indexes and the similarity are multiplied according to a rule of , so that the sequencing of the similar users is obtained.
Embodiments of the present application also provide social connections recommendation devices fig. 2 is a schematic block diagram of examples of social connections recommendation devices according to the present application.
A linkindex calculation module 100 configured to calculate a link index between the th user and each user in the th user address list;
a vector generation module 200 configured to receive the industry requirements sent by the th user, generate a supply vector based on the industry requirements, and
a similar users recommendation module 300 configured to calculate a list of similar users satisfying the user requirements based on the offer vector and the link index and send the list of similar users to the user.
The device can establish a user portrait with the user demand attribute as the main characteristic based on the demand attribute of the user on the social platform, assist the user to establish a deep demand network based on the portrait through the user demand on the multidimensional industry and the user multidimensional portrait, and recommend a plurality of users with high similarity to the user to the online user so as to establish virtual link and butt joint demands among the users according to the similarity.
Optionally, the vector generating module 200 includes:
a demand vector generation module, configured to receive industry demands sent by the th user, where the industry demands include an industry in which the th user is located, an interested industry, and other industries, and the industry demands are respectively given different weights, and a demand vector of the th user is generated based on the weights;
a supply vector generating module configured to generate supply vectors according to the demand vectors of the th users and the supply and demand distribution degree matrix among the industries.
The system can comprise a th server, a main memory, a secondary memory and a second server, wherein the main memory is connected with the nd server, the main memory and the secondary memory are respectively connected with the second server, the second server is loaded with a recommendation calculation engine and an index database, the main memory is connected with the secondary memory and ensures real-time synchronization of information through streaming copy, the second server is used for calculating a link index between a th user and each user in the th user address list and storing the link index in the secondary memory, the th server is used for receiving the industry demand sent by the th user and transmitting the industry demand to a recommendation calculation engine of the second server through the main memory, the recommendation calculation engine transmits the industry demand to the index database, the index database generates a supply vector based on the industry demand and transmits the supply vector to the recommendation calculation engine, the calculation database meets the similar user demand calculation of the second server based on the supply vector and the link index in the secondary memory, and transmits 368678 to the similar user.
The system can establish a user portrait with the user demand attribute as a main characteristic based on the demand attribute of the user on a social platform, assist the user to establish a deep demand network based on the portrait through the user demand on a multi-dimensional industry and the user multi-dimensional portrait, and recommend a plurality of users with high similarity to the user to online users so as to establish virtual links and docking demands among the users according to the similarity.
Optionally, the index database is used for respectively assigning different weights to industries in the industry demands, generating th user demand vectors based on the weights, and generating supply vectors according to th user demand vectors and supply and demand distribution degree matrixes among the industries, wherein the industry demands include the th user industry, industries of interest and other industries.
The th user initiates a request to the Java microserver through a user terminal, for example, a pre-installed Application (APP) on a mobile device after completing identity and security verification of th user, if the th user is judged to be a legal user, the request is initiated to the main memory to read recommended users with matching supply and demand calculated by a recommendation calculation engine in advance, and a recommended user list and necessary user information are returned to the user terminal through a network and presented to the user.
The flow of the user for the recommendation calculation engine to calculate supply and demand matching is as follows, for th users, the recommendation calculation engine firstly initiates a request to an industry supply and demand index database, the supply and demand index database is responsible for calculating a plurality of users which are most matched with the th user supply and demand, then a matching user list and the similarity are returned to the recommendation calculation engine, the recommendation calculation engine requests to read information from a storage for storing user images, the information comprises user basic information, user link indexes, user hierarchy and the like, the recommendation calculation engine sorts the recommended users in the matching user list according to the similarity and the information requested to be read from the storage, and finally the obtained similar user list is stored in a main memory.
In order to avoid read-write competition during calculation and improve the overall service quality, the high-speed storage device is divided into a main memory and a secondary memory. The main memory is a read-write memory, and the secondary memory is a read-only memory. Real-time synchronization of information is ensured between the master and slave memories by streaming replication. When the calculation engine is recommended to calculate, a large number of read operations are performed on the secondary storage, and only a small number of write operations related to the final recommendation result occur on the primary storage.
FIG. 4 is a schematic block diagram of another examples of a social context recommendation system according to the present application, showing a data transmission process in an online mode, where when an industry demand of a th user changes, a Java micro server establishes a user information change event queue including user change event messages, a recommendation calculation engine of a second server monitors the user information change event queue in real time, if an unprocessed event is found and the event is related to the supply and demand of a th user, the event related to the supply and demand is read and deleted from the queue, and for the read event, an identification code of a th user is read from the content of the event, and then a recommendation calculation task is triggered and calculated for the th user in the offline mode.
An embodiment of the present application further provides computer-readable storage media comprising a storage unit for program code, the storage unit being provided with a program for performing the steps of the method according to the invention, the program being executed by a processor.
computer program products containing instructions comprising computer readable code which when executed by a computing device causes the computing device to perform the method as described above are also provided.
The computer instructions may be stored in a computer readable storage medium, or transmitted from website sites, computers, servers, or data centers via wired (e.g., coaxial cable, optical fiber, Digital Subscriber Line (DSL)) or wireless (e.g., infrared, wireless, microwave, etc.) to website sites, computers, servers, or data centers, for example, via a Solid state computer readable storage medium, such as a Solid state disk, a Solid state computer readable storage medium, a Solid state disk, a magnetic storage medium, a Solid state disk, a magnetic disk, a Solid state disk, a magnetic disk, a Solid state disk, a magnetic disk, a.
should also further be appreciated that the exemplary elements and algorithm steps described in connection with the embodiments disclosed herein can be implemented as electronic hardware, computer software, or combinations of both, and that the exemplary components and steps have been described in the foregoing description generally in terms of functionality for clarity of illustrating interchangeability of hardware and software.
It will be understood by those skilled in the art that all or part of the steps in the method for implementing the above embodiments may be implemented by a program, and the program may be stored in a computer-readable storage medium, where the storage medium is a non-transitory medium, such as a random access memory, a read only memory, a flash memory, a hard disk, a solid state disk, a magnetic tape (magnetic tape), a floppy disk (floppy disk), an optical disk (optical disk), and any combination thereof.
The above description is only for the preferred embodiment of the present application, but the scope of the present application is not limited thereto, and any changes or substitutions that can be easily conceived by those skilled in the art within the technical scope of the present application should be covered within the scope of the present application. Therefore, the protection scope of the present application shall be subject to the protection scope of the claims.

Claims (10)

1, social connections recommendation method, comprising:
calculating a link index between the th user and each user in the th user address list;
a vector generation step of receiving the industry demand sent by the th user and generating a supply vector based on the industry demand, and
and a similar user recommending step of calculating a similar user list meeting the th user requirement based on the supply vector and the link index and sending the similar user list to the th user.
2. The method of claim 1, wherein the link index calculating step comprises:
calculating a link index based on the user's address book by calculating a parameter profile between the th user and a second user in the th user address book, the parameter profile including at least of the following:
the number of users in the th user address book;
the number of users in the second user address list;
the times of the th user are saved in the address book of other users, wherein the other users are users outside the second user in the address book of the th user;
storing the times of the second user in the address book of other users, wherein the other users are users outside the second user in the address book of the th user;
, the number of users present in both the user address book and the second user address book;
a number of users present in either said th user address book only or said second user address book only;
simultaneously saving th user and the second user in the address book, and
and storing th user or the number of the second users in the address book.
3. The method according to claim 1 or 2, wherein the vector generating step comprises the steps of:
receiving industry requirements sent by the th user, wherein the industry requirements comprise industries in which the th user is located, interested industries and other industries, respectively endowing the industries in the industry requirements with different weights, and generating a requirement vector of the th user based on the weights, and
and generating a supply vector according to the demand vector of the th user and the supply and demand distribution matrix among various industries.
4. The method of any of , wherein the similar user recommendation step comprises:
finding a user matching said th user based on said supply vector, and
and sorting the users matched with the th user based on the link indexes to obtain a similar user list, and sending the similar user list to the th user.
5, social connections recommendation device, comprising:
a link index calculation module configured to calculate a link index between the th user and each user in the th user address list;
a vector generation module configured to receive the industry requirements sent by the th user, generate a supply vector based on the industry requirements, and
a similar users recommendation module configured to calculate a list of similar users meeting the user requirements based on the offer vector and the link index and send the list of similar users to the user.
6. The apparatus of claim 5, wherein the vector generation module comprises:
a demand vector generation module configured to receive industry demands sent by the th user, wherein the industry demands include industries where the th user is located, interested industries and other industries, the industries in the industry demands are respectively endowed with different weights, and a demand vector of the th user is generated based on the weights, and
a supply vector generating module configured to generate supply vectors according to the demand vectors of the th users and the supply and demand distribution degree matrix among the industries.
The social connections recommendation system of includes server, main memory, secondary memory and second server, wherein the main memory is connected with the server, the main memory and the secondary memory are respectively connected with the second server, the second server is loaded with recommendation calculation engine and index database, the main memory is connected with the secondary memory and ensures real-time synchronization of information by streaming copy, wherein the second server is used for calculating link indexes between th user and each user in the th user address book and storing the link indexes in the secondary memory, the server is used for receiving the industry demand sent by the user, transmitting the industry demand to the recommendation calculation engine of the second server through the main memory, the recommendation calculation engine transmits the industry demand to the index database, the index database generates supply vector based on the industry demand and transmits the supply vector to the recommendation calculation engine, the recommendation calculation engine calculates supply vector based on the supply vector and the link indexes in the secondary memory and transmits similarity list to the users.
8. The system of claim 7, wherein the index database is configured to assign different weights to industries in the industry requirements, generate the th user's requirement vector based on the weights, and generate supply vectors according to the th user's requirement vector and supply and demand distribution matrices between industries, wherein the industry requirements include the th user's industry, industries of interest, and other industries.
9, computer-readable storage medium, preferably a non-volatile readable storage medium, having stored therein a computer program which, when executed by a processor, carries out the method of any of claims 1 to 4, the method of any of claims .
A computer program product , comprising computer readable code which, when executed by a computing device, causes the computing device to perform the method of any of claims 1 to 4.
CN201810719713.1A2018-07-032018-07-03Social contact recommendation method, device and system based on user portraitsActiveCN110737842B (en)

Priority Applications (1)

Application NumberPriority DateFiling DateTitle
CN201810719713.1ACN110737842B (en)2018-07-032018-07-03Social contact recommendation method, device and system based on user portraits

Applications Claiming Priority (1)

Application NumberPriority DateFiling DateTitle
CN201810719713.1ACN110737842B (en)2018-07-032018-07-03Social contact recommendation method, device and system based on user portraits

Publications (2)

Publication NumberPublication Date
CN110737842Atrue CN110737842A (en)2020-01-31
CN110737842B CN110737842B (en)2024-06-14

Family

ID=69234262

Family Applications (1)

Application NumberTitlePriority DateFiling Date
CN201810719713.1AActiveCN110737842B (en)2018-07-032018-07-03Social contact recommendation method, device and system based on user portraits

Country Status (1)

CountryLink
CN (1)CN110737842B (en)

Citations (4)

* Cited by examiner, † Cited by third party
Publication numberPriority datePublication dateAssigneeTitle
US20090099998A1 (en)*2007-10-122009-04-16Los Alamos National Security LlcKnowledge-based matching
CN103501374A (en)*2013-09-272014-01-08中国联合网络通信集团有限公司Telephone book sequencing method and device as well as terminal
CN104794656A (en)*2014-01-162015-07-22朱开一Recommendation method and recommendation system applied to social networks
CN106383894A (en)*2016-09-232017-02-08深圳市由心网络科技有限公司Enterprise supply-demand information matching method and apparatus

Patent Citations (4)

* Cited by examiner, † Cited by third party
Publication numberPriority datePublication dateAssigneeTitle
US20090099998A1 (en)*2007-10-122009-04-16Los Alamos National Security LlcKnowledge-based matching
CN103501374A (en)*2013-09-272014-01-08中国联合网络通信集团有限公司Telephone book sequencing method and device as well as terminal
CN104794656A (en)*2014-01-162015-07-22朱开一Recommendation method and recommendation system applied to social networks
CN106383894A (en)*2016-09-232017-02-08深圳市由心网络科技有限公司Enterprise supply-demand information matching method and apparatus

Also Published As

Publication numberPublication date
CN110737842B (en)2024-06-14

Similar Documents

PublicationPublication DateTitle
US20200090269A1 (en)Data collection method and apparatus for risk evaluation, and electronic device
CN112052480B (en) A privacy protection method, system and related equipment in the process of model training
JP7397094B2 (en) Resource configuration method, resource configuration device, computer equipment, and computer program
US11106767B2 (en)Decentralized name verification using recursive attestation
CN103546517B (en)Network information push system and method
CN114491093B (en)Multimedia resource recommendation and object representation network generation method and device
CN105894028B (en)User identification method and device
CN107918617B (en)Data query method and device
CN110557284A (en)data aggregation method and device based on client gateway
CN114385570B (en)Method, device, electronic equipment and readable medium for data synchronization
CN106817296B (en) Information on recommended test methods, apparatus and electronic equipment
CN116910524A (en)Federal learning method, apparatus, device and storage medium
CN115757406A (en)Data storage method and device, electronic equipment and storage medium
US20200236072A1 (en)Cross-Platform Messaging System
CN116488850A (en)Authenticity verification method and device
CN105872635A (en)Video resource distribution method and device
CN119835323A (en)Personalized customization pushing system and method for user portrait technology
JP7003845B2 (en) Management equipment, management methods, and management programs
CN112379818A (en) Information prompting method, device and storage medium
CN118337776A (en)Three-dimensional simulation scene loading method and electronic equipment
CN110737842A (en)Social contact feeling recommendation method, device and system based on user image
CN111277488A (en)Session processing method and device
CN113342965B (en)Intention prediction and feedback method, device, computer equipment and readable storage medium
CN113037822B (en)Media data platform based on wireless network and cloud computing
CN110460512B (en)System message generation method, device, server and storage medium

Legal Events

DateCodeTitleDescription
PB01Publication
PB01Publication
SE01Entry into force of request for substantive examination
SE01Entry into force of request for substantive examination
GR01Patent grant
GR01Patent grant

[8]ページ先頭

©2009-2025 Movatter.jp