Movatterモバイル変換


[0]ホーム

URL:


CN110737071A - Image pickup optical lens - Google Patents

Image pickup optical lens
Download PDF

Info

Publication number
CN110737071A
CN110737071ACN201910894822.1ACN201910894822ACN110737071ACN 110737071 ACN110737071 ACN 110737071ACN 201910894822 ACN201910894822 ACN 201910894822ACN 110737071 ACN110737071 ACN 110737071A
Authority
CN
China
Prior art keywords
lens
image
optical lens
curvature
focal length
Prior art date
Legal status (The legal status is an assumption and is not a legal conclusion. Google has not performed a legal analysis and makes no representation as to the accuracy of the status listed.)
Pending
Application number
CN201910894822.1A
Other languages
Chinese (zh)
Inventor
王�锋
周明明
马庆鸿
万良伟
Current Assignee (The listed assignees may be inaccurate. Google has not performed a legal analysis and makes no representation or warranty as to the accuracy of the list.)
Huizhou City Star Poly Optical Co Ltd
Original Assignee
Huizhou City Star Poly Optical Co Ltd
Priority date (The priority date is an assumption and is not a legal conclusion. Google has not performed a legal analysis and makes no representation as to the accuracy of the date listed.)
Filing date
Publication date
Application filed by Huizhou City Star Poly Optical Co LtdfiledCriticalHuizhou City Star Poly Optical Co Ltd
Priority to CN201910894822.1ApriorityCriticalpatent/CN110737071A/en
Publication of CN110737071ApublicationCriticalpatent/CN110737071A/en
Pendinglegal-statusCriticalCurrent

Links

Images

Classifications

Landscapes

Abstract

The invention provides photographing optical lenses, which sequentially comprise a lens, a second lens, a third lens and a fourth lens from an object side to an image side, wherein an object side surface of the lens is a convex surface, an object side surface of the third lens is a convex surface, an image side surface of the third lens is a concave surface, a focal length of the photographing optical lens is f, and a focal length of the third lens is f3, and the following relational expression that-4.5 < f3/f <0 is satisfied.

Description

Image pickup optical lens
[ technical field ] A method for producing a semiconductor device
The present invention relates to the technical field of optical lenses, and particularly to types of imaging optical lenses suitable for portable terminal equipment such as smart phones and digital cameras, and imaging devices such as monitors and PC lenses.
[ background of the invention ]
In recent years, with the rise of smart phones, the demand of miniaturized camera lenses is increasing, and the photosensitive devices of -like camera lenses are not limited to two types, namely, a Charge Coupled Device (CCD) or a Complementary Metal-oxide semiconductor (CMOS) Device, and due to the refinement of semiconductor manufacturing technology, the pixel size of the photosensitive devices is reduced, and in addition, the current electronic products are developed with a good function, a light weight, a small size, and a light weight, and a small size, so that the miniaturized camera optical lens with good imaging quality is really the mainstream in the current market.
In the related art, in order to obtain better imaging quality, a lens mounted on a mobile phone camera conventionally adopts a multi-lens structure, but with the increase of lenses, the lens is heavy in volume, the production cost is increased, the imaging quality is reduced, and long-focus shooting is difficult to realize.
[ summary of the invention ]
Therefore, kinds of shooting optical lenses are needed to be designed, which can realize long-focus shooting under the condition of ensuring compact structure and have the advantages of better imaging quality, lower production cost and the like.
In order to achieve the purpose, the technical scheme provided by the invention is as follows:
types of imaging optical lens comprise, in order from an object side to an image side, a type of lens element, a second lens element, a third lens element and a fourth lens element;
the object-side surface of the lens element is convex, the object-side surface of the third lens element is convex, and the image-side surface of the third lens element is concave;
the focal length of the image pickup optical lens is f, the focal length of the third lens is f3, and the following relation is satisfied:
-4.5<f3/f<0。
preferably, the radius of curvature of the object-side surface of the second lens element is R21, the radius of curvature of the image-side surface of the fourth lens element is R42, and the following relationships are satisfied:
0<R21/R42<3。
preferably, the radius of curvature of the image-side surface of the second lens element is R22, the radius of curvature of the object-side surface of the fourth lens element is R41, and the following relationships are satisfied:
0<R22/R41<2。
preferably, the air interval between the third lens and the fourth lens on the optical axis is AG34, the sum of the central thicknesses of the lens to the fourth lens on the optical axis is Σ CT, and the following relationship is satisfied:
AG34/ΣCT<0.6。
preferably, the focal length of the image pickup optical lens is f, the focal length of the th lens is f1, the focal length of the fourth lens is f4, and the following relationships are satisfied:
1<|f/f1|+|f/f4|<5。
preferably, the total optical length of the image pickup optical lens is TTL, the focal length of the image pickup optical lens is f, and the following relation is satisfied:
0.9<TTL/f<1.1。
preferably, the radius of curvature of the object-side surface of the third lens is R31, the focal length of the third lens is f3, and the following relationship is satisfied:
-12<R31/f3<0。
the invention has the beneficial effects that: can realize long burnt shooting under the circumstances of guaranteeing compact structure, and have that imaging quality is better, advantages such as manufacturing cost is lower.
[ description of the drawings ]
In order to more clearly illustrate the technical solutions of the embodiments of the present invention, the drawings needed to be used in the embodiments will be briefly described below, it should be understood that the following drawings only illustrate some embodiments of the present invention and therefore should not be considered as limiting the scope, and for those skilled in the art, other related drawings can be obtained according to the drawings without inventive efforts.
Fig. 1 is a schematic structural view of an image pickup optical lens according toembodiment 1 of the present invention;
fig. 2 is a spherical aberration graph of the imaging optical lens ofembodiment 1;
fig. 3 is a graph of astigmatism and distortion of the image pickup optical lens ofembodiment 1;
fig. 4 is a graph of chromatic aberration of magnification of the imaging optical lens ofembodiment 1;
fig. 5 is a schematic structural view of an image pickup optical lens according toembodiment 2 of the present invention;
fig. 6 is a spherical aberration graph of the imaging optical lens ofembodiment 2;
fig. 7 is a graph of astigmatism and distortion of the image pickup optical lens ofembodiment 2;
fig. 8 is a graph of chromatic aberration of magnification of the imaging optical lens ofembodiment 2;
fig. 9 is a schematic structural view of an image pickup optical lens according toembodiment 3 of the present invention;
fig. 10 is a spherical aberration chart of the imaging optical lens ofembodiment 3;
fig. 11 is a graph of astigmatism and distortion of the image pickup optical lens ofembodiment 3;
fig. 12 is a graph of chromatic aberration of magnification of the imaging optical lens ofembodiment 3;
fig. 13 is a schematic structural view of an image pickup optical lens according toembodiment 4 of the present invention;
fig. 14 is a spherical aberration chart of the image-pickup optical lens ofembodiment 4;
fig. 15 is a graph of astigmatism and distortion of the image pickup optical lens ofembodiment 4;
fig. 16 is a graph of chromatic aberration of magnification of the imaging optical lens ofembodiment 4;
fig. 17 is a schematic structural view of an image pickup optical lens according toembodiment 5 of the present invention;
fig. 18 is a spherical aberration chart of the imaging optical lens ofembodiment 5;
fig. 19 is a graph of astigmatism and distortion of the image pickup optical lens ofembodiment 5;
fig. 20 is a graph of chromatic aberration of magnification of the imaging optical lens ofembodiment 5;
fig. 21 is a schematic structural view of an image pickup optical lens ofembodiment 6 of the present invention;
fig. 22 is a spherical aberration chart of the imaging optical lens ofembodiment 6;
fig. 23 is a graph of astigmatism and distortion of the image pickup optical lens ofembodiment 6;
fig. 24 is a graph of chromatic aberration of magnification of the imaging optical lens ofembodiment 6;
fig. 25 is a schematic configuration diagram of an imaging optical lens ofembodiment 7 of the present invention;
fig. 26 is a spherical aberration chart of the imaging optical lens ofembodiment 7;
fig. 27 is a graph of astigmatism and distortion of the image pickup optical lens ofembodiment 7;
fig. 28 is a graph of chromatic aberration of magnification of the imaging optical lens ofembodiment 7;
fig. 29 is a schematic configuration diagram of an imaging optical lens ofembodiment 8 of the present invention;
fig. 30 is a spherical aberration chart of an imaging optical lens ofembodiment 8;
fig. 31 is a graph of astigmatism and distortion of the image pickup optical lens ofembodiment 8;
fig. 32 is a graph of chromatic aberration of magnification of the imaging optical lens ofembodiment 8;
fig. 33 is a schematic configuration diagram of an imaging optical lens according to embodiment 9 of the present invention;
fig. 34 is a spherical aberration chart of the imaging optical lens of embodiment 9;
fig. 35 is a graph of astigmatism and distortion of the image pickup optical lens of embodiment 9;
fig. 36 is a graph of chromatic aberration of magnification of the imaging optical lens of embodiment 9.
[ detailed description ] embodiments
To facilitate an understanding of the invention, the invention will now be described more fully with reference to the accompanying drawings. Preferred embodiments of the present invention are shown in the drawings. This invention may, however, be embodied in many different forms and should not be construed as limited to the embodiments set forth herein. Rather, these embodiments are provided so that this disclosure will be thorough and complete.
It is noted that when an element is referred to as being "secured to" another elements, it can be directly on the other elements or intervening elements may also be present, that when elements are referred to as being "connected" to another elements, it can be directly connected to another elements or intervening elements may be present.
The terminology used herein in the description of the invention is for the purpose of describing particular embodiments only and is not intended to be limiting of the invention, the term "and/or" as used herein includes any and all combinations of or more of the associated listed items.
Referring to fig. 1, the present invention provides types of imaging optical lenses, which include four lenses, specifically, a type of lens L1, a second lens L2, a third lens L3 and a fourth lens L4 in order from an object side to an image side along an optical axis.
The image pickup optical lens of the present invention may include an optical imaging system including four lenses, that is, the image pickup optical lens may include not only the th lens L1 to the fourth lens L4, but also other constituent elements as needed, for example, the image pickup optical lens may further include a diaphragm for adjusting the amount of light, and further, an optical filter and an image plane may be sequentially disposed on an image side surface adjacent to the fourth lens, and an image sensor may be disposed on the image plane, and the image sensor may be various image sensors in the related art, that is, an image sensor may be kinds of functional devices that convert an optical image on a light receiving surface into an electrical signal in a proportional relationship with the optical image using a photoelectric conversion function of a photoelectric device, and the image sensor may be a photosensitive device that divides the optical image on the light receiving surface into a plurality of small cells and converts the optical image into a usable electrical signal, as compared to a photosensitive element of a "point" light source such as a photodiode, a phototransistor, or the like.
In this way, light rays refracted by the external object sequentially pass through the th lens to the fourth lens, then enter the image plane through the optical filter, and are converted into conductive electric signals through the image sensor on the image plane.
, the lens L1, the second lens L2, the third lens L3 and the fourth lens L4 are plastic lenses or glass lenses, wherein the lens L1 to the fourth lens L4 are four independent lenses, and a space is provided between each two adjacent lenses, that is, each two adjacent lenses are not bonded to each other, but an air space is provided between each two adjacent lenses.
Referring to fig. 1, the object-side surface of the th lens element L1 is convex, the object-side surface of the third lens element L3 is convex, and the image-side surface of the third lens element L3 is concave, a focal length of the image capturing optical lens assembly is f, and a focal length of the third lens element L3 is f3, which satisfy the following relation of-4.5 < f3/f <0.
specifically, the image pickup optical lens includes, in order from an object side to an image side along an optical axis, four lenses L1-L4, a th lens L1 having an object side surface S1 and an image side surface S2, a second lens L2 having an object side surface S3 and an image side surface S4, a third lens L3 having an object side surface S5 and an image side surface S6, and a fourth lens L4 having an object side surface S7 and an image side surface S8, optionally, the image pickup optical lens may further include a filter L5 having an object side surface S9 and an image side surface S10, the filter L5 may be a bandpass filter.
, the curvature radius of the object side surface of the second lens L2 is R21, the curvature radius of the image side surface of the fourth lens L4 is R42, and thefollowing relation 0< R21/R42<3 is satisfied.
, the curvature radius of the image side surface of the second lens L2 is R22, the curvature radius of the object side surface of the fourth lens L4 is R41, and thefollowing relation 0< R22/R41 < 2 is satisfied.
Further , the air space on the optical axis of the third lens L3 and the fourth lens L4 is AG34, the sum of the central thicknesses on the optical axis of the lens L1 to the fourth lens L4 is Σ CT, and the following relation AG34/Σ CT <0.6 is satisfied.
Further , the focal length of the image pickupoptical lens 0 is f, the focal length of the th lens L1 is f1, the focal length of the fourth lens L4 is f4, and thefollowing relation 1< | f/f1| + | f/f4| <5 is satisfied.
, the total optical length of the pick-up optical lens is TTL, the focal length of the pick-up optical lens is f, and the following relation is satisfied, wherein 0.9< TTL/f < 1.1.
, the curvature radius of the object side of the third lens L3 is R31, the focal length of the third lens L3 is f3, and the following relation is satisfied-12 < R31/f3 <0.
In the embodiment of the invention, at least of the mirror surfaces of each lens are aspheric lens, which has the characteristics that the curvature is continuously changed from the lens center to the periphery, and the aspheric lens has better curvature radius characteristic, has the advantages of improving distortion aberration and astigmatic aberration, and can enable the aspheric field to be larger and real.
Specific examples of image pickup optical lenses applicable to the above-described embodiments are further described with reference to the drawings of step .
Example 1
An imaging optical lens according toembodiment 1 of the present invention is described below with reference to fig. 1 to 4. Fig. 1 shows a schematic configuration diagram of an image-pickup optical lens according toembodiment 1 of the present invention.
As shown in fig. 1, the image pickup optical lens includes, in order from an object side to an image side along an optical axis, four lenses L1-L4, a th lens L1 having an object side surface S1 and an image side surface S2, a second lens L2 having an object side surface S3 and an image side surface S4, a third lens L3 having an object side surface S5 and an image side surface S6, and a fourth lens L4 having an object side surface S7 and an image side surface S8. alternatively, the image pickup optical lens may further include a filter L5 having an object side surface S9 and an image side surface S10, the filter L5 may be a bandpass filter.
The effective focal length EFL, the full field angle FOV, the total optical length TTL, the aperture Fno, the surface type, the curvature radius, the thickness, the material, and the conic coefficient of the imaging optical lens according toembodiment 1 are shown in table 1:
TABLE 1
Figure BDA0002209883440000071
As can be seen from table 1, OBJ represents the light source, the effective focal length f3 of the th lens L3 and the total effective focal length f of the image pickup optical lens satisfy-4.5 < f3/f <0, specifically, f3/f equals-0.432, the following relations are satisfied between the total optical length TTL of the image pickup optical lens and the total effective focal length f of the image pickup optical lens, 0.9< TTL/f <1.1, specifically, TTL/f equals 0.905, the effective focal length f1 of the third lens L1, the effective focal length f4 of the fourth lens L4, and the total effective focal length f of the image pickup optical lens satisfy 1< | f/f1| + | < f/f4|, specifically, | f/f1| + | f/f4| 3.389.
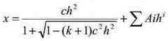
In the embodiment, four lenses are taken as an example, and the focal power and the surface type of each lens are reasonably distributed, so that the aperture of the lens is effectively enlarged, the total length of the lens is shortened, and the effective light transmission diameter of the lens and the miniaturization of the lens are ensured; meanwhile, various aberrations are corrected, and the resolution and the imaging quality of the lens are improved. Each aspheric surface type x is defined by the following functional relationship:
the aspheric function relationship of the image pickup optical lens is as follows:
Figure BDA0002209883440000072
wherein x is the rise of the distance from the aspheric surface vertex to the aspheric surface vertex when the aspheric surface is at the position with the height of h along the optical axis direction; c is the paraxial curvature of the aspheric surface, c being 1/r (i.e., paraxial curvature c is the inverse of radius of curvature r in table 2 above); k is the conic constant (given in table 2 above); ai is a correction coefficient of the i-n th order of the aspherical surface, and the coefficients of the high-order terms A4, A6, A8, A10, A12, A14 and A16 of the respective lens surfaces S1-S8 are shown in Table 2:
TABLE 2
Figure BDA0002209883440000073
Figure BDA0002209883440000081
As can be seen from table 2, in this embodiment, 0< R/R <3, specifically, 0.686 is satisfied between the radius of curvature R of the object-side surface S of the second lens L and the radius of curvature R of the image-side surface S of the fourth lens L, and 0< R/R < 2, specifically, 0.631 is satisfied between the radius of curvature R of the object-side surface S of the second lens L and the radius of curvature R of the object-side surface S of the fourth lens L, and in combination with table 1, 12 < R/f <0, specifically, R/f-3.594, the following relationships are satisfied between the radius of curvature R of the object-side surface of the third lens L and the focal length f of the third lens L, and the sum Σ CT of the thicknesses on the optical axes of the third lens L to the fourth lens L, respectively, AG/6, and CT/Σ < 0.533.
Fig. 2 shows a spherical aberration curve of the image-taking optical lens ofembodiment 1, which shows that light rays of different aperture angles U intersect the optical axis at different points, and have different deviations from the ideal image point. Fig. 3 shows astigmatism curves of the imaging optical lens ofembodiment 1, which represent meridional field curvature and sagittal field curvature. Fig. 3 shows distortion curves of the image-taking optical lens ofembodiment 1, which represent distortion magnitude values in the case of different angles of view. Fig. 4 shows a chromatic aberration of magnification curve of the imaging optical lens ofembodiment 1, which represents a deviation of different image heights on an image formation plane after light passes through the imaging optical lens. As can be seen from fig. 2 to 4, the imaging optical lens according toembodiment 1 can achieve good imaging quality.
Example 2
An image pickup optical lens according toembodiment 2 of the present invention is described below with reference to fig. 5 to 8. Fig. 5 shows a schematic configuration diagram of an image-pickup optical lens according toembodiment 2 of the present invention.
As shown in fig. 5, the image pickup optical lens includes, in order from an object side to an image side along an optical axis, four lenses L1-L4, a th lens L1 having an object side surface S1 and an image side surface S2, a second lens L2 having an object side surface S3 and an image side surface S4, a third lens L3 having an object side surface S5 and an image side surface S6, and a fourth lens L4 having an object side surface S7 and an image side surface S8. alternatively, the image pickup optical lens may further include a filter L5 having an object side surface S9 and an image side surface S10, the filter L5 may be a bandpass filter.
The effective focal length EFL, the full field angle FOV, the total optical length TTL, the aperture Fno, the surface type, the curvature radius, the thickness, the material, and the conic coefficient of the imaging optical lens according toembodiment 2 are shown in table 3:
TABLE 3
Figure BDA0002209883440000091
As can be seen from table 3, OBJ represents the light source, the effective focal length f3 of the th lens L3 and the total effective focal length f of the image pickup optical lens satisfy-4.5 < f3/f <0, specifically, f3/f is-0.847, the following relational expression is satisfied between the total optical length TTL of the image pickup optical lens and the total effective focal length f of the image pickup optical lens, 0.9< TTL/f <1.1, specifically, TTL/f is 0.986, the effective focal length f1 of the third lens L1, the effective focal length f4 of the fourth lens L4 and the total effective focal length f of the image pickup optical lens satisfy 1| <f/f 1| + | f/f4| 5, specifically, | f/f1| + | f/f4| 2.293.
In the embodiment, four lenses are taken as an example, and the focal power and the surface type of each lens are reasonably distributed, so that the aperture of the lens is effectively enlarged, the total length of the lens is shortened, and the effective light transmission diameter of the lens and the miniaturization of the lens are ensured; meanwhile, various aberrations are corrected, and the resolution and the imaging quality of the lens are improved. Each aspheric surface type x is defined by the following functional relationship:
the aspheric function relationship of the image pickup optical lens is as follows:
Figure BDA0002209883440000092
wherein x is the rise of the distance from the aspheric surface vertex to the aspheric surface vertex when the aspheric surface is at the position with the height of h along the optical axis direction; c is the paraxial curvature of the aspheric surface, c being 1/r (i.e., paraxial curvature c is the inverse of radius of curvature r in table 2 above); k is the conic constant (given in table 3 above); ai is a correction coefficient of the i-n th order of the aspherical surface, and the coefficients of the high-order terms a4, a6, A8, a10, a12, a14, and a16 of the respective lens surfaces S1 through S8 are shown in table 4:
TABLE 4
Flour markA4A6A8A10A12A14A16
S1-6.4409337E-03-6.3382317E-054.4650959E-03-3.1298973E-038.0119407E-04-1.1460405E-04-4.3083889E-06
S25.5056737E-043.0032002E-02-1.1121925E-021.9474151E-03-6.9670557E-044.8339217E-051.4445168E-05
S3-2.4364330E-035.3703350E-02-1.5788392E-02-8.9082403E-04-4.3596105E-044.7495190E-04-7.5373032E-05
S49.6596867E-024.6026170E-031.4923274E-02-1.3048148E-02-2.7856878E-032.5028922E-03-3.3990160E-04
S51.6829987E-01-4.0674941E-02-5.1485913E-035.5557324E-03-1.9374197E-04-7.5880926E-049.1047639E-05
S67.4016680E-02-4.8100414E-02-1.0124261E-022.4143142E-024.0295337E-03-1.2848513E-023.9584112E-03
S7-1.2039635E-02-8.5254314E-021.0517438E-01-8.0379386E-025.2116922E-02-2.4252979E-025.0043208E-03
S8-5.3898498E-02-6.1877045E-038.6486629E-031.7057449E-02-2.2287899E-029.4207083E-03-1.4643618E-03
As can be seen from table 4, inembodiment 2, 0< R21/R42<3, specifically, 0< R21/R42 > is satisfied between the radius of curvature R21 of the object-side surface S1 of the second lens L2 and the radius of curvature R42 of the image-side surface S8 of the fourth lens L4, 0< R22/R41 < 2 is satisfied between the radius of curvature R22 of the image-side surface S2 of the second lens L2 and the radius of curvature R41 of the object-side surface S8 of the fourth lens L4, specifically, R22/R41 0.480, and, in combination with table 3, the following relationships are satisfied between the radius of curvature R31 of the object-side surface of the third lens L3 and the focal length f3 of the third lens L3, where-12 < R31/f3 <0, specifically, R31/f 72-1.823 and the following relationships between the centers of the CT lenses AG3, and the center of theCT 3, CT, 3, CT, 3, and the fourth lens L3, CT.
Fig. 6 shows a spherical aberration curve of the image-taking optical lens ofembodiment 2, which shows that light rays of different aperture angles U intersect the optical axis at different points, and have different deviations from the position of an ideal image point. Fig. 7 shows astigmatism curves of the imaging optical lens ofembodiment 2, which represent meridional field curvature and sagittal field curvature. Fig. 7 shows distortion curves of the image-taking optical lens ofembodiment 2, which represent values of distortion magnitudes for different angles of view. Fig. 8 shows a chromatic aberration of magnification curve of the imaging optical lens ofembodiment 2, which represents a deviation of different image heights on the imaging surface of light rays after passing through the imaging optical lens. As can be seen from fig. 6 to 8, the imaging optical lens according toembodiment 2 can achieve good imaging quality.
Example 3
An image pickup optical lens according toembodiment 3 of the present invention is described below with reference to fig. 9 to 12. Fig. 9 shows a schematic configuration diagram of an image-pickup optical lens according toembodiment 3 of the present invention.
As shown in fig. 9, the image pickup optical lens includes, in order from an object side to an image side along an optical axis, four lenses L1-L4, a th lens L1 having an object side surface S1 and an image side surface S2, a second lens L2 having an object side surface S3 and an image side surface S4, a third lens L3 having an object side surface S5 and an image side surface S6, and a fourth lens L4 having an object side surface S7 and an image side surface S8. alternatively, the image pickup optical lens may further include a filter L5 having an object side surface S9 and an image side surface S10, the filter L5 may be a bandpass filter.
The effective focal length EFL, the full field angle FOV, the total optical length TTL, the aperture Fno, the surface type, the curvature radius, the thickness, the material, and the conic coefficient of the imaging optical lens according toembodiment 3 are shown in table 5:
TABLE 5
Figure BDA0002209883440000111
As can be seen from table 5, OBJ represents the light source, the effective focal length f3 of the th lens L3 and the total effective focal length f of the image pickup optical lens satisfy-4.5 < f3/f <0, specifically, f3/f is-0.456, the following relational expression is satisfied between the total optical length TTL of the image pickup optical lens and the total effective focal length f of the image pickup optical lens, 0.9< TTL/f <1.1, specifically, TTL/f is 0.913, the effective focal length f1 of the third lens L1, the effective focal length f4 of the fourth lens L4, and the total effective focal length f of the image pickup optical lens satisfy 1< | f/f1| + | < f/f4|, specifically, | f/f1| + | f/f4| 3.535.
In the embodiment, four lenses are taken as an example, and the focal power and the surface type of each lens are reasonably distributed, so that the aperture of the lens is effectively enlarged, the total length of the lens is shortened, and the effective light transmission diameter of the lens and the miniaturization of the lens are ensured; meanwhile, various aberrations are corrected, and the resolution and the imaging quality of the lens are improved. Each aspheric surface type x is defined by the following functional relationship:
the aspheric function relationship of the image pickup optical lens is as follows:
Figure BDA0002209883440000112
wherein x is the rise of the distance from the aspheric surface vertex to the aspheric surface vertex when the aspheric surface is at the position with the height of h along the optical axis direction; c is the paraxial curvature of the aspheric surface, c being 1/r (i.e., paraxial curvature c is the inverse of radius of curvature r in table 2 above); k is the conic constant (given in table 5 above); ai is a correction coefficient of the i-n th order of the aspherical surface, and the coefficients of the high-order terms a4, a6, A8, a10, a12, a14, and a16 of the respective lens surfaces S1 through S8 are shown in table 6:
TABLE 6
Flour markA4A6A8A10A12A14A16
S1-2.3709912E-032.7316583E-044.7145909E-03-3.0067292E-038.2389380E-04-1.1450829E-041.9511961E-07
S23.6387020E-043.1535591E-02-1.0675722E-022.1176802E-03-6.0874488E-047.3315398E-054.1236971E-07
S3-3.2568783E-035.4217498E-02-1.5117210E-02-6.9219259E-04-4.4992882E-044.5284567E-04-6.1426549E-05
S49.3940065E-026.0606917E-031.5765650E-02-1.2477154E-02-2.4144277E-032.6268003E-03-4.0978659E-04
S51.7293983E-01-3.8655857E-02-4.1286737E-035.8099258E-03-2.7675836E-04-8.1104960E-041.7307387E-04
S66.5715484E-02-4.0022457E-02-7.8908302E-032.4065908E-023.6711917E-03-1.3142624E-023.5407549E-03
S7-1.1915742E-02-1.0266351E-011.0169049E-01-8.1507143E-025.0862181E-02-2.4997244E-024.9060885E-03
S8-6.5560838E-02-1.3885246E-024.1338118E-031.5359237E-02-2.2672453E-029.5944480E-03-1.3335572E-03
As can be seen from table 6, in this embodiment, 0< R/R <3, specifically, 3.000 is satisfied between the radius of curvature R of the object-side surface S of the second lens L and the radius of curvature R of the image-side surface S of the fourth lens L, 0< R/R < 2 is satisfied between the radius of curvature R of the image-side surface S of the second lens L and the radius of curvature R of the object-side surface S of the fourth lens L, specifically, 1.360 is satisfied, and further, in combination with table 5, 12 < R/f <0 is satisfied between the radius of curvature R of the object-side surface of the third lens L and the focal length f of the third lens L, specifically, R/f ═ is satisfied, the following relationships between the air interval AG of the third lens L and the fourth lens L on the optical axis and the sum Σ of the central thicknesses CT of the first lens L to the fourth lens L on the optical axis, respectively, AG/CT ∑ 0.6, specifically, CT ∑ 0.302.
Fig. 10 shows a spherical aberration curve of the image-taking optical lens ofembodiment 3, which shows that light rays of different aperture angles U intersect the optical axis at different points, with different deviations from the position of an ideal image point. Fig. 11 shows astigmatism curves of the imaging optical lens ofembodiment 3, which represent meridional field curvature and sagittal field curvature. Fig. 11 shows distortion curves of the image-taking optical lens ofembodiment 3, which represent distortion magnitude values in the case of different angles of view. Fig. 12 shows a chromatic aberration of magnification curve of the imaging optical lens ofembodiment 3, which represents a deviation of different image heights on an image formation plane after light passes through the imaging optical lens. As can be seen from fig. 10 to 12, the imaging optical lens according toembodiment 3 can achieve good imaging quality.
Example 4
An image pickup optical lens according toembodiment 4 of the present invention is described below with reference to fig. 13 to 16. Fig. 13 shows a schematic configuration diagram of an image-pickup optical lens according toembodiment 4 of the present invention.
As shown in fig. 13, the image pickup optical lens includes, in order from an object side to an image side along an optical axis, four lenses L1-L4, a th lens L1 having an object side surface S1 and an image side surface S2, a second lens L2 having an object side surface S3 and an image side surface S4, a third lens L3 having an object side surface S5 and an image side surface S6, and a fourth lens L4 having an object side surface S7 and an image side surface S8. alternatively, the image pickup optical lens may further include a filter L5 having an object side surface S9 and an image side surface S10, the filter L5 may be a bandpass filter.
The effective focal length EFL, the full field angle FOV, the total optical length TTL, the aperture Fno, the surface type, the curvature radius, the thickness, the material, and the conic coefficient of the imaging optical lens according toembodiment 4 are shown in table 7:
TABLE 7
Figure BDA0002209883440000131
As can be seen from table 7, OBJ represents the light source, the effective focal length f3 of the th lens L3 and the total effective focal length f of the image pickup optical lens satisfy-4.5 < f3/f <0, specifically, f3/f ═ 1.040, and the following relational expression is satisfied between the total optical length TTL of the image pickup optical lens and the total effective focal length f of the image pickup optical lens, where 0.9< TTL/f <1.1, specifically, TTL/f ═ 0.949, the effective focal length f1 of the third lens L1, the effective focal length f4 of the fourth lens L4, and the total effective focal length f of the image pickup optical lens satisfy 1< | f/f1| + | f/f4|, specifically, | f/f1| + | f/f4| 2.500.
In the embodiment, four lenses are taken as an example, and the focal power and the surface type of each lens are reasonably distributed, so that the aperture of the lens is effectively enlarged, the total length of the lens is shortened, and the effective light transmission diameter of the lens and the miniaturization of the lens are ensured; meanwhile, various aberrations are corrected, and the resolution and the imaging quality of the lens are improved. Each aspheric surface type x is defined by the following functional relationship:
the aspheric function relationship of the image pickup optical lens is as follows:
Figure BDA0002209883440000141
wherein x is the rise of the distance from the aspheric surface vertex to the aspheric surface vertex when the aspheric surface is at the position with the height of h along the optical axis direction; c is the paraxial curvature of the aspheric surface, c being 1/r (i.e., paraxial curvature c is the inverse of radius of curvature r in table 2 above); k is the conic constant (given in table 7 above); ai is a correction coefficient of the i-n th order of the aspherical surface, and the coefficients of the high-order terms a4, a6, A8, a10, a12, a14, and a16 of the respective lens surfaces S1 through S8 are shown in table 8:
TABLE 8
Flour markA4A6A8A10A12A14A16
S12.3813052E-032.6464271E-034.8524847E-03-3.0786098E-038.1125095E-04-1.1351523E-044.5888525E-07
S21.2943212E-022.9221287E-02-1.0495513E-022.2328175E-03-6.0386195E-046.8757627E-05-1.9996385E-06
S3-1.2949220E-024.7773969E-02-1.5959251E-02-1.1564115E-04-1.0322054E-045.1194054E-04-1.0170514E-04
S46.3748605E-02-4.4711504E-031.8142234E-02-1.0784243E-02-2.0516072E-032.6609997E-03-4.6859955E-04
S51.3768736E-01-2.7505904E-02-4.4807708E-035.8148763E-03-5.2912518E-04-7.8820605E-041.9342915E-04
S61.4120120E-01-7.0330150E-02-8.2635294E-031.3535479E-021.0472956E-02-1.0801513E-021.2046531E-03
S72.1265165E-02-7.0663631E-026.0780569E-02-7.0800708E-025.5189497E-02-2.1766822E-022.2591388E-03
S8-1.9718287E-02-1.0921959E-02-9.6001067E-032.1633272E-02-1.6696378E-025.8882249E-03-7.9411865E-04
As can be seen from table 8, in this embodiment, 0< R21/R42<3, specifically, 0< R21/R42 ═ 0.012, is satisfied between the radius of curvature R21 of the object-side surface S1 of the second lens L2 and the radius of curvature R42 of the image-side surface S8 of the fourth lens L4, 0< R22/R41 < 2, specifically, R22/R41 ═ 0.100, is satisfied between the radius of curvature R22 of the image-side surface S2 of the second lens L2 and the radius of curvature R41 of the object-side surface S8 of the fourth lens L4, and, in combination with table 1, the following relationships are satisfied between the radius of curvature R31 of the object-side surface of the third lens L3 and the focal f3 of the third lens L3, where-12 < R31/f3 <0, specifically, R31/f 1.422, and the following relationships between the centers of the respective CT axes AG3, and the center of the fourth lens L3, CT, 3, and the CT, 3, CT, 3, and the following relationships, 3, CT, 3, CT.
Fig. 14 shows a spherical aberration curve of the image-taking optical lens ofembodiment 4, which shows that light rays of different aperture angles U intersect the optical axis at different points, with different deviations from the position of an ideal image point. Fig. 15 shows astigmatism curves of the imaging optical lens ofembodiment 4, which represent meridional field curvature and sagittal field curvature. Fig. 15 shows distortion curves of the image-taking optical lens ofembodiment 4, which represent distortion magnitude values in the case of different angles of view. Fig. 16 shows a chromatic aberration of magnification curve of the imaging optical lens ofembodiment 4, which represents a deviation of different image heights on the imaging surface of light rays after passing through the imaging optical lens. As can be seen from fig. 14 to 16, the imaging optical lens according toembodiment 4 can achieve good image quality.
Example 5
An image pickup optical lens according toembodiment 5 of the present invention is described below with reference to fig. 17 to 20. Fig. 17 shows a schematic configuration diagram of an image-pickup optical lens according toembodiment 5 of the present invention.
As shown in fig. 17, the image pickup optical lens includes, in order from an object side to an image side along an optical axis, four lenses L1-L4, a th lens L1 having an object side surface S1 and an image side surface S2, a second lens L2 having an object side surface S3 and an image side surface S4, a third lens L3 having an object side surface S5 and an image side surface S6, and a fourth lens L4 having an object side surface S7 and an image side surface S8. alternatively, the image pickup optical lens may further include a filter L5 having an object side surface S9 and an image side surface S10, the filter L5 may be a bandpass filter.
The effective focal length EFL, the full field angle FOV, the total optical length TTL, the aperture Fno, the surface type, the curvature radius, the thickness, the material, and the conic coefficient of the imaging optical lens according toembodiment 5 are shown in table 9:
TABLE 9
As can be seen from table 9, OBJ represents the light source, the effective focal length f3 of the th lens L3 and the total effective focal length f of the image pickup optical lens satisfy-4.5 < f3/f <0, specifically, f3/f ═ 1.386, the relationship between the total optical length TTL of the image pickup optical lens and the total effective focal length f of the image pickup optical lens satisfies 0.9< TTL/f <1.1, specifically, TTL/f ═ 1.036, the effective focal length f1 of the third lens L1, the effective focal length f4 of the fourth lens L4, and the total effective focal length f of the image pickup optical lens satisfy 1< | f/f1| + | < f/f4|, specifically, | f/f1| + | f/f4| 2.656.
In the embodiment, four lenses are taken as an example, and the focal power and the surface type of each lens are reasonably distributed, so that the aperture of the lens is effectively enlarged, the total length of the lens is shortened, and the effective light transmission diameter of the lens and the miniaturization of the lens are ensured; meanwhile, various aberrations are corrected, and the resolution and the imaging quality of the lens are improved. Each aspheric surface type x is defined by the following functional relationship:
the aspheric function relationship of the image pickup optical lens is as follows:
Figure BDA0002209883440000161
wherein x is the rise of the distance from the aspheric surface vertex to the aspheric surface vertex when the aspheric surface is at the position with the height of h along the optical axis direction; c is the paraxial curvature of the aspheric surface, c being 1/r (i.e., paraxial curvature c is the inverse of radius of curvature r in table 2 above); k is the conic constant (given in table 9 above); ai is a correction coefficient of the i-n th order of the aspherical surface, and the coefficients of the high-order terms a4, a6, A8, a10, a12, a14, and a16 of the respective lens surfaces S1 through S8 are shown in table 10:
watch 10
Figure BDA0002209883440000162
As can be seen from table 10, in this embodiment, 0< R/R <3, specifically, 0.955 is satisfied between the radius of curvature R of the object-side surface S of the second lens L and the radius of curvature R of the image-side surface S of the fourth lens L, 0< R/R < 2 is satisfied between the radius of curvature R of the image-side surface S of the second lens L and the radius of curvature R of the object-side surface S of the fourth lens L, and specifically, 0.576 is satisfied, and further, in conjunction with table 9, 12 < R/f <0 is satisfied between the radius of curvature R of the object-side surface of the third lens L and the focal length f of the third lens L, and R/f is — 0.6, specifically, CT is satisfied between the air space AG of the third lens L and the fourth lens L on the optical axis and the sum Σ of the central thicknesses CT of the first lens L to the fourth lens L on the optical axis, respectively, CT is satisfied between AG/CT <0.6, CT is satisfied between CT/CT is satisfied.
Fig. 18 shows a spherical aberration curve of the image-taking optical lens ofembodiment 5, which shows that light rays of different aperture angles U intersect the optical axis at different points, with different deviations from the position of an ideal image point. Fig. 19 shows astigmatism curves representing meridional field curvature and sagittal field curvature of the imaging optical lens of example 5. Fig. 19 shows distortion curves of the image-taking optical lens of example 5, which represent values of distortion magnitudes for different angles of view. Fig. 20 shows a chromatic aberration of magnification curve of the imaging optical lens ofembodiment 5, which represents a deviation of different image heights on an image formation plane after light passes through the imaging optical lens. As can be seen from fig. 18 to 20, the imaging optical lens according toembodiment 5 can achieve good imaging quality.
Example 6
An image pickup optical lens according toembodiment 6 of the present invention is described below with reference to fig. 21 to 24. Fig. 21 shows a schematic configuration diagram of an image-pickup optical lens according toembodiment 6 of the present invention.
As shown in fig. 21, the image pickup optical lens includes, in order from an object side to an image side along an optical axis, four lenses L1-L4, a th lens L1 having an object side surface S1 and an image side surface S2, a second lens L2 having an object side surface S3 and an image side surface S4, a third lens L3 having an object side surface S5 and an image side surface S6, and a fourth lens L4 having an object side surface S7 and an image side surface S8. alternatively, the image pickup optical lens may further include a filter L5 having an object side surface S9 and an image side surface S10, the filter L5 may be a bandpass filter.
The effective focal length EFL, the full field angle FOV, the total optical length TTL, the aperture Fno, the surface type, the curvature radius, the thickness, the material, and the conic coefficient of the imaging optical lens according toembodiment 6 are shown in table 11:
TABLE 1
Figure BDA0002209883440000171
As can be seen from table 11, OBJ represents the light source, the effective focal length f3 of the th lens L3 and the total effective focal length f of the image pickup optical lens satisfy-4.5 < f3/f <0, specifically, f3/f is-0.397, the following relational expression is satisfied between the total optical length TTL of the image pickup optical lens and the total effective focal length f of the image pickup optical lens, where 0.9< TTL/f <1.1, specifically, TTL/f is 0.934, the effective focal length f1 of the third lens L1, the effective focal length f4 of the fourth lens L4, and the total effective focal length f of the image pickup optical lens satisfy 1< | f/f1| + | f/f4|, specifically, | f/f1| + | f/f4| 4.987.
In the embodiment, four lenses are taken as an example, and the focal power and the surface type of each lens are reasonably distributed, so that the aperture of the lens is effectively enlarged, the total length of the lens is shortened, and the effective light transmission diameter of the lens and the miniaturization of the lens are ensured; meanwhile, various aberrations are corrected, and the resolution and the imaging quality of the lens are improved. Each aspheric surface type x is defined by the following functional relationship:
the aspheric function relationship of the image pickup optical lens is as follows:
Figure BDA0002209883440000182
wherein x is the rise of the distance from the aspheric surface vertex to the aspheric surface vertex when the aspheric surface is at the position with the height of h along the optical axis direction; c is the paraxial curvature of the aspheric surface, c being 1/r (i.e., paraxial curvature c is the inverse of radius of curvature r in table 2 above); k is the conic constant (given in table 11 above); ai is a correction coefficient of the i-n th order of the aspherical surface, and the coefficients of the high-order terms a4, a6, A8, a10, a12, a14, and a16 of the respective lens surfaces S1 through S8 are shown in table 12:
TABLE 12
Figure BDA0002209883440000191
As can be seen from table 12, in this embodiment, 0< R21/R42<3 is satisfied between the radius of curvature R21 of the object-side surface S1 of the second lens L2 and the radius of curvature R42 of the image-side surface S8 of the fourth lens L4, specifically, R21/R42 is 1.998, 0< R22/R41 < 2 is satisfied between the radius of curvature R22 of the image-side surface S2 of the second lens L2 and the radius of curvature R41 of the object-side surface S8 of the fourth lens L4, specifically, R22/R41 is 0.754, further, in combination with table 11, the following relationships are satisfied between the radius of curvature R31 of the object-side surface of the third lens L3 and the focal length f3 of the third lens L3, where-12 < R31/f3 <0, specifically, R31/f 3-3, and the following relationships between the centers of the third lens L3, and the CT optical axis AG3, a total distance between the CT optical axis of the fourth lens L3, a CT, 3, a total of the optical axis CT <3, a total of the CT <3, 3.
Fig. 22 shows a spherical aberration curve of the image-taking optical lens of example 6, which shows that light rays of different aperture angles U intersect the optical axis at different points, and have different deviations from the ideal image point position. Fig. 23 shows astigmatism curves representing meridional field curvature and sagittal field curvature of the imaging optical lens of example 6. Fig. 23 shows distortion curves of the image-taking optical lens of example 6, which represent values of distortion magnitudes in the case of different angles of view. Fig. 24 shows a chromatic aberration of magnification curve of the imaging optical lens ofembodiment 6, which represents a deviation of different image heights on an image formation plane after light passes through the imaging optical lens. As can be seen from fig. 22 to 24, the imaging optical lens according toembodiment 6 can achieve good imaging quality.
Example 7
An image pickup optical lens according toembodiment 7 of the present invention is described below with reference to fig. 25 to 28. Fig. 25 shows a schematic configuration diagram of an image-pickup optical lens according toembodiment 7 of the present invention.
As shown in fig. 25, the image pickup optical lens includes, in order from an object side to an image side along an optical axis, four lenses L1-L4, a th lens L1 having an object side surface S1 and an image side surface S2, a second lens L2 having an object side surface S3 and an image side surface S4, a third lens L3 having an object side surface S5 and an image side surface S6, and a fourth lens L4 having an object side surface S7 and an image side surface S8. alternatively, the image pickup optical lens may further include a filter L5 having an object side surface S9 and an image side surface S10, the filter L5 may be a bandpass filter.
The effective focal length EFL, the full field angle FOV, the total optical length TTL, the aperture Fno, the surface type, the curvature radius, the thickness, the material, and the conic coefficient of the imaging optical lens according to example 7 are shown in table 13:
watch 13
Figure BDA0002209883440000192
Figure BDA0002209883440000201
As can be seen from table 13, OBJ represents the light source, the effective focal length f3 of the th lens L3 and the total effective focal length f of the image pickup optical lens satisfy-4.5 < f3/f <0, specifically, f3/f ═ 1.717, the relationship between the total optical length TTL of the image pickup optical lens and the total effective focal length f of the image pickup optical lens satisfies 0.9< TTL/f <1.1, specifically, TTL/f ═ 0.958, the relationship between the effective focal length f1 of the third lens L1, the effective focal length f4 of the fourth lens L4 and the total effective focal length f of the image pickup optical lens satisfy 1< | f/f1| + | < f/f4|, specifically, | f/f1| + | f/f4| 1.541.
In the embodiment, four lenses are taken as an example, and the focal power and the surface type of each lens are reasonably distributed, so that the aperture of the lens is effectively enlarged, the total length of the lens is shortened, and the effective light transmission diameter of the lens and the miniaturization of the lens are ensured; meanwhile, various aberrations are corrected, and the resolution and the imaging quality of the lens are improved. Each aspheric surface type x is defined by the following functional relationship:
the aspheric function relationship of the image pickup optical lens is as follows:
Figure BDA0002209883440000202
wherein x is the rise of the distance from the aspheric surface vertex to the aspheric surface vertex when the aspheric surface is at the position with the height of h along the optical axis direction; c is the paraxial curvature of the aspheric surface, c being 1/r (i.e., paraxial curvature c is the inverse of radius of curvature r in table 2 above); k is the conic constant (given in table 13 above); ai is a correction coefficient of the i-n th order of the aspherical surface, and the coefficients of the high-order terms a4, a6, A8, a10, a12, a14, and a16 of the respective lens surfaces S1 through S8 are shown in table 14:
TABLE 14
Figure BDA0002209883440000203
Figure BDA0002209883440000211
As can be seen from table 14, in this embodiment, 0< R/R <3, specifically, 0.140 is satisfied between the radius of curvature R of the object-side surface S of the second lens L and the radius of curvature R of the image-side surface S of the fourth lens L, 0< R/R < 2 is satisfied between the radius of curvature R of the image-side surface S of the second lens L and the radius of curvature R of the object-side surface S of the fourth lens L, specifically, 0.121 is satisfied, and further, in combination with table 13, 12 < R/f <0, specifically, 0.983 is satisfied between the radius of curvature R of the object-side surface of the third lens L and the focal length f of the third lens L, and the following relationships CT/CT is satisfied between the air interval AG of the third lens L and the fourth lens L on the optical axis and the sum Σ of the thicknesses CT of the respective central thicknesses of the first lens L to the fourth lens L on the optical axis.
Fig. 26 shows a spherical aberration curve of the image-taking optical lens of example 7, which shows that light rays of different aperture angles U intersect the optical axis at different points, with different deviations from the position of an ideal image point. Fig. 27 shows astigmatism curves representing meridional field curvature and sagittal field curvature of the imaging optical lens of example 7. Fig. 27 shows distortion curves of the image-taking optical lens of example 7, which represent distortion magnitude values in the case of different angles of view. Fig. 28 shows a chromatic aberration of magnification curve of the imaging optical lens ofembodiment 7, which represents a deviation of different image heights on the imaging surface of light rays after passing through the imaging optical lens. As can be seen from fig. 26 to 28, the imaging optical lens according toembodiment 7 can achieve good image quality.
Example 8
An image pickup optical lens according toembodiment 8 of the present invention is described below with reference to fig. 29 to 32. Fig. 29 is a schematic view showing a configuration of an image-pickup optical lens according toembodiment 8 of the present invention.
As shown in fig. 29, the image pickup optical lens includes, in order from an object side to an image side along an optical axis, four lenses L1-L4, a lens L1 having an object side surface S1 and an image side surface S2, a second lens L2 having an object side surface S3 and an image side surface S4, a third lens L3 having an object side surface S5 and an image side surface S6, and a fourth lens L4 having an object side surface S7 and an image side surface S8, alternatively, the image pickup optical lens may further include a filter L5 having an object side surface S9 and an imageside surface S865 10, the filter L5 may be a bandpass filter, in the image pickup optical lens of the present embodiment, a stop may be further provided to adjust an amount of incoming light, light from an object passes through the respective surfaces S1 to S10 in order and is finally imaged on the image surface S11.
The effective focal length EFL, the full field angle FOV, the total optical length TTL, the aperture Fno, the surface type, the curvature radius, the thickness, the material, and the conic coefficient of the imaging optical lens according toembodiment 8 are shown in table 15:
watch 15
Figure BDA0002209883440000221
As can be seen from table 15, OBJ represents a light source, the effective focal length f3 of the th lens L3 and the total effective focal length f of the image pickup optical lens satisfy-4.5 < f3/f <0, specifically, f3/f is-1.195, the following relational expression is satisfied between the total optical length TTL of the image pickup optical lens and the total effective focal length f of the image pickup optical lens, 0.9< TTL/f <1.1, specifically, TTL/f is 1.091, the effective focal length f1 of the third lens L1, the effective focal length f4 of the fourth lens L4 and the total effective focal length f of the image pickup optical lens satisfy 1< | f/f1| + | f/f4| 5, specifically, | f/f1| + | f/f4| 2.483.
In the embodiment, four lenses are taken as an example, and the focal power and the surface type of each lens are reasonably distributed, so that the aperture of the lens is effectively enlarged, the total length of the lens is shortened, and the effective light transmission diameter of the lens and the miniaturization of the lens are ensured; meanwhile, various aberrations are corrected, and the resolution and the imaging quality of the lens are improved. Each aspheric surface type x is defined by the following functional relationship:
the aspheric function relationship of the image pickup optical lens is as follows:
Figure BDA0002209883440000222
wherein x is the rise of the distance from the aspheric surface vertex to the aspheric surface vertex when the aspheric surface is at the position with the height of h along the optical axis direction; c is the paraxial curvature of the aspheric surface, c being 1/r (i.e., paraxial curvature c is the inverse of radius of curvature r in table 2 above); k is the conic constant (given in table 15 above); ai is a correction coefficient of the i-n th order of the aspherical surface, and the coefficients of the high-order terms a4, a6, A8, a10, a12, a14, and a16 of the respective lens surfaces S1 through S8 are shown in table 16:
TABLE 16
Flour markA4A6A8A10A12A14A16
S1-6.0823614E-03-3.1048848E-035.1108741E-03-2.7640594E-038.1180870E-04-1.2596273E-048.1025541E-06
S2-3.0735492E-022.4650395E-02-1.0280626E-022.8280809E-03-4.8465058E-044.7477447E-05-2.0916680E-06
S3-7.7737581E-034.5356160E-02-1.6068532E-022.8823711E-047.4566932E-055.6989294E-04-1.6743799E-04
S46.2866622E-024.8833287E-031.8780519E-02-1.0013872E-02-2.3543006E-032.5780038E-03-7.2115785E-04
S51.4671124E-01-3.0667010E-024.6674569E-038.2710409E-03-1.3636991E-03-1.6535352E-034.0565166E-04
S61.5199229E-01-3.4250564E-02-1.5714645E-029.3209739E-031.6091176E-02-8.3519046E-03-5.6646644E-04
S72.5889101E-02-8.2142384E-028.6416471E-02-9.1190443E-025.5844519E-02-1.5790321E-02-7.7271614E-04
S8-3.1693062E-023.0151731E-03-1.8810693E-022.4858657E-02-2.0062258E-027.8720363E-03-1.1750407E-03
As can be seen from table 16, in this embodiment, the radius of curvature R of the object-side surface S of the second lens L and the radius of curvature R of the image-side surface S of the fourth lens L satisfy 0< R/R <3, specifically, R/R ═ 0.045, the radius of curvature R of the image-side surface S of the second lens L and the radius of curvature R of the object-side surface S of the fourth lens L satisfy 0< R/R < 2, specifically, R/R ═ 0.304, and further, in combination with table 15, the following relationships of-12 < R/f <0, specifically, R/f ═ 4.005, are satisfied between the air space AG on the optical axis of the third lens L and the fourth lens L and the sum Σ of the thicknesses CT of the optical axes of the first lens L to the fourth lens L, respectively, AG/CT ≦ 0.6, and Σ ∑ 0.130.
Fig. 30 shows a spherical aberration curve of the image-taking optical lens of example 8, which shows that light rays of different aperture angles U intersect the optical axis at different points, with different deviations from the position of an ideal image point. Fig. 31 shows astigmatism curves representing meridional field curvature and sagittal field curvature of the imaging optical lens of example 8. Fig. 31 shows distortion curves of the image-taking optical lens of example 8, which represent distortion magnitude values in the case of different angles of view. Fig. 32 shows a chromatic aberration of magnification curve of the imaging optical lens ofembodiment 8, which represents a deviation of different image heights on the imaging surface of light rays after passing through the imaging optical lens. As can be seen from fig. 30 to 32, the imaging optical lens according toembodiment 8 can achieve good imaging quality.
Example 9
An imaging optical lens according to embodiment 9 of the present invention is described below with reference to fig. 33 to 36. Fig. 33 shows a schematic configuration diagram of an imaging optical lens according to embodiment 9 of the present invention.
As shown in fig. 33, the imaging optical lens includes, in order from the object side to the image side along the optical axis, four lenses L1-L4, a th lens L1 having an object side surface S1 and an image side surface S2, a second lens L2 having an object side surface S3 and an image side surface S4, a third lens L3 having an object side surface S5 and an image side surface S6, and a fourth lens L4 having an object side surface S7 and an image side surface S8, alternatively, the imaging optical lens may further include a filter L5 having an object side surface S9 and an image side surface S10, the filter L5 may be a band pass filter, in the imaging optical lens of the present embodiment, a stop may be further provided to adjust the amount of light entering the image, the light from the object sequentially passes through the respective surfaces S1 to S10 and is finally imaged on an imaging surface S11.
The effective focal length EFL, the full field angle FOV, the total optical length TTL, the aperture Fno, the surface type, the curvature radius, the thickness, the material, and the conic coefficient of the imaging optical lens according to example 9 are shown in table 17:
TABLE 17
Figure BDA0002209883440000241
As can be seen from table 17, OBJ represents the light source, the effective focal length f3 of the th lens L3 and the total effective focal length f of the image pickup optical lens satisfy-4.5 < f3/f <0, specifically, f3/f is-4.122, the following relationship is satisfied between the total optical length TTL of the image pickup optical lens and the total effective focal length f of the image pickup optical lens, 0.9< TTL/f <1.1, specifically, TTL/f is 0.972, the effective focal length f1 of the third lens L1, the effective focal length f4 of the fourth lens L4, and the total effective focal length f of the image pickup optical lens satisfy 1< | f/f1| + | f/f4| 5, specifically, | f/f1| + | f/f4| 2.922.
In the embodiment, four lenses are taken as an example, and the focal power and the surface type of each lens are reasonably distributed, so that the aperture of the lens is effectively enlarged, the total length of the lens is shortened, and the effective light transmission diameter of the lens and the miniaturization of the lens are ensured; meanwhile, various aberrations are corrected, and the resolution and the imaging quality of the lens are improved. Each aspheric surface type x is defined by the following functional relationship:
the aspheric function relationship of the image pickup optical lens is as follows:
Figure BDA0002209883440000251
wherein x is the rise of the distance from the aspheric surface vertex to the aspheric surface vertex when the aspheric surface is at the position with the height of h along the optical axis direction; c is the paraxial curvature of the aspheric surface, c being 1/r (i.e., paraxial curvature c is the inverse of radius of curvature r in table 2 above); k is the conic constant (given in table 17 above); ai is a correction coefficient of the i-n th order of the aspherical surface, and the coefficients of the high-order terms a4, a6, A8, a10, a12, a14, and a16 of the respective lens surfaces S1 through S8 are shown in table 18:
watch 18
Flour markA4A6A8A10A12A14A16
S1-9.1998741E-04-2.0738342E-034.7536811E-03-3.0194087E-037.9190413E-04-1.1855087E-041.1720656E-06
S21.1768789E-022.1895361E-02-1.1328913E-022.4411670E-03-5.2713098E-047.8519749E-05-5.5719157E-06
S3-1.8197943E-023.7041483E-02-1.5964178E-023.5889888E-042.8154645E-046.8309235E-04-1.9542016E-04
S43.6271704E-02-8.3173368E-031.3760035E-02-1.0031268E-02-2.2783724E-053.1337023E-03-9.0575032E-04
S59.0061237E-02-1.8122993E-021.9991927E-035.0827104E-03-2.9955688E-03-2.9760803E-042.5298119E-04
S69.7783466E-021.5696720E-03-1.2146133E-025.9282523E-039.1277125E-03-1.3372463E-023.5557925E-03
S72.8509464E-02-8.3197807E-028.9081627E-02-8.4490618E-024.7545469E-02-1.5084882E-021.0598929E-03
S8-5.2598959E-021.2918930E-02-2.7118692E-022.6169276E-02-1.7702239E-026.4853403E-03-9.7411891E-04
As can be seen from table 18, in this embodiment, 0< R/R <3, specifically, 0.158 is satisfied between the radius of curvature R of the object-side surface S of the second lens L and the radius of curvature R of the image-side surface S of the fourth lens L, 0< R/R < 2 is satisfied between the radius of curvature R of the image-side surface S of the second lens L and the radius of curvature R of the object-side surface S of the fourth lens L, specifically, 0.239 is satisfied, and further, in combination with table 17, 12 < R/f <0, specifically, 1.692 is satisfied between the radius of curvature R of the object-side surface of the third lens L and the focal length f of the third lens L, and the following relationships CT/Σ, CT/Σ <0.6, CT/Σ 0.142 is satisfied between the air space between the third lens L and the fourth lens L on the optical axis and the sum Σ of the thicknesses on the optical axes of the first lens L to the fourth lenses L, respectively.
Fig. 34 shows a spherical aberration curve of the image-taking optical lens of example 9, which shows that light rays of different aperture angles U intersect the optical axis at different points, with different deviations from the position of an ideal image point. Fig. 35 shows astigmatism curves representing meridional field curvature and sagittal field curvature of the imaging optical lens of example 9. Fig. 35 shows a distortion curve of the image-taking optical lens of example 9, which represents the distortion magnitude values in the case of different angles of view. Fig. 36 shows a chromatic aberration of magnification curve of the imaging optical lens of embodiment 9, which represents a deviation of different image heights on an image formation plane after light passes through the imaging optical lens. As can be seen from fig. 34 to 36, the imaging optical lens according to embodiment 9 can achieve good imaging quality.
The invention has the beneficial effects that: can realize long burnt shooting under the circumstances of guaranteeing compact structure, and have that imaging quality is better, advantages such as manufacturing cost is lower.
The technical features of the embodiments described above may be arbitrarily combined, and for the sake of brevity, all possible combinations of the technical features in the embodiments described above are not described, but should be considered as being within the scope of the present specification as long as there is no contradiction between the combinations of the technical features.
The above embodiments only express a few embodiments of the present invention, and the description thereof is more specific and detailed, but not construed as limiting the scope of the invention. It should be noted that, for a person skilled in the art, several variations and modifications can be made without departing from the inventive concept, which falls within the scope of the present invention. Therefore, the protection scope of the present patent shall be subject to the appended claims.

Claims (7)

  1. The image pickup optical lens includes, in order from an object side to an image side, a th lens element, a second lens element, a third lens element and a fourth lens element;
    the object-side surface of the lens element is convex, the object-side surface of the third lens element is convex, and the image-side surface of the third lens element is concave;
    the focal length of the image pickup optical lens is f, the focal length of the third lens is f3, and the following relation is satisfied:
    -4.5<f3/f<0。
  2. 2. the imaging optical lens of claim 1, wherein the radius of curvature of the object-side surface of the second lens is R21, the radius of curvature of the image-side surface of the fourth lens is R42, and the following relationships are satisfied:
    0<R21/R42<3。
  3. 3. the imaging optical lens of claim 1, wherein the radius of curvature of the image-side surface of the second lens is R22, the radius of curvature of the object-side surface of the fourth lens is R41, and the following relationships are satisfied:
    0<R22/R41<2。
  4. 4. the imaging optical lens according to claim 1, wherein an air interval on an optical axis of the third lens and the fourth lens is AG34, a sum of central thicknesses on the optical axis of each of the lens to the fourth lens is Σ CT, and the following relationship is satisfied:
    AG34/ΣCT<0.6。
  5. 5. the imaging optical lens according to claim 1, wherein a focal length of the imaging optical lens is f, a focal length of the th lens is f1, a focal length of the fourth lens is f4, and the following relationships are satisfied:
    1<|f/f1|+|f/f4|<5。
  6. 6. a camera optical lens according to claim 1, wherein the total optical length of the camera optical lens is TTL, the focal length of the camera optical lens is f, and the following relationship is satisfied:
    0.9<TTL/f<1.1。
  7. 7. the imaging optical lens according to claim 1, wherein a radius of curvature of the object-side surface of the third lens is R31, a focal length of the third lens is f3, and the following relationship is satisfied:
    -12<R31/f3<0。
CN201910894822.1A2019-09-202019-09-20Image pickup optical lensPendingCN110737071A (en)

Priority Applications (1)

Application NumberPriority DateFiling DateTitle
CN201910894822.1ACN110737071A (en)2019-09-202019-09-20Image pickup optical lens

Applications Claiming Priority (1)

Application NumberPriority DateFiling DateTitle
CN201910894822.1ACN110737071A (en)2019-09-202019-09-20Image pickup optical lens

Publications (1)

Publication NumberPublication Date
CN110737071Atrue CN110737071A (en)2020-01-31

Family

ID=69269423

Family Applications (1)

Application NumberTitlePriority DateFiling Date
CN201910894822.1APendingCN110737071A (en)2019-09-202019-09-20Image pickup optical lens

Country Status (1)

CountryLink
CN (1)CN110737071A (en)

Cited By (4)

* Cited by examiner, † Cited by third party
Publication numberPriority datePublication dateAssigneeTitle
CN111474674A (en)*2020-04-302020-07-31惠州市星聚宇光学有限公司Optical imaging system
CN111708147A (en)*2020-06-162020-09-25惠州市星聚宇光学有限公司4p macro lens
CN113093373A (en)*2021-04-202021-07-09浙江舜宇光学有限公司Optical imaging lens group
CN113514932A (en)*2021-04-202021-10-19浙江舜宇光学有限公司Optical imaging lens

Citations (6)

* Cited by examiner, † Cited by third party
Publication numberPriority datePublication dateAssigneeTitle
CN106154515A (en)*2016-03-182016-11-23玉晶光电(厦门)有限公司Optical glass group
CN106154516A (en)*2016-03-182016-11-23玉晶光电(厦门)有限公司Optical imaging lens
CN106154493A (en)*2016-03-182016-11-23玉晶光电(厦门)有限公司Optical glass group
CN106526788A (en)*2016-08-252017-03-22玉晶光电(厦门)有限公司Optical imaging lens
CN107807438A (en)*2017-12-112018-03-16浙江舜宇光学有限公司Optical imaging system
CN108205188A (en)*2018-04-042018-06-26浙江舜宇光学有限公司Optical imaging lens

Patent Citations (6)

* Cited by examiner, † Cited by third party
Publication numberPriority datePublication dateAssigneeTitle
CN106154515A (en)*2016-03-182016-11-23玉晶光电(厦门)有限公司Optical glass group
CN106154516A (en)*2016-03-182016-11-23玉晶光电(厦门)有限公司Optical imaging lens
CN106154493A (en)*2016-03-182016-11-23玉晶光电(厦门)有限公司Optical glass group
CN106526788A (en)*2016-08-252017-03-22玉晶光电(厦门)有限公司Optical imaging lens
CN107807438A (en)*2017-12-112018-03-16浙江舜宇光学有限公司Optical imaging system
CN108205188A (en)*2018-04-042018-06-26浙江舜宇光学有限公司Optical imaging lens

Cited By (7)

* Cited by examiner, † Cited by third party
Publication numberPriority datePublication dateAssigneeTitle
CN111474674A (en)*2020-04-302020-07-31惠州市星聚宇光学有限公司Optical imaging system
CN111708147A (en)*2020-06-162020-09-25惠州市星聚宇光学有限公司4p macro lens
CN111708147B (en)*2020-06-162022-06-24惠州市星聚宇光学有限公司4p macro lens
CN113093373A (en)*2021-04-202021-07-09浙江舜宇光学有限公司Optical imaging lens group
CN113514932A (en)*2021-04-202021-10-19浙江舜宇光学有限公司Optical imaging lens
CN113093373B (en)*2021-04-202023-02-24浙江舜宇光学有限公司Optical imaging lens group
CN113514932B (en)*2021-04-202023-05-02浙江舜宇光学有限公司Optical imaging lens

Similar Documents

PublicationPublication DateTitle
US7561347B2 (en)Subminiature optical system
CN104635326B (en)Image capturing optical lens system
CN104345432B (en)Image system lens assembly and image capturing device
CN112817132B (en)Fixed-focus lens and imaging device
CN110737071A (en)Image pickup optical lens
CN112684594B (en)Optical lens and imaging apparatus
CN113376810B (en) Optical systems, imaging modules and electronic equipment
CN111123487B (en)Infrared lens
CN112987258A (en)Optical system, image capturing module and electronic equipment
CN113946038A (en)Optical lens, camera module and electronic equipment
CN112285885A (en)Optical imaging system, image capturing module and electronic device
WO2005026806A1 (en)Imaging lens, imaging unit, and optical device
CN111708147B (en)4p macro lens
CN111007657B (en)Infrared lens
CN114675407B (en)Optical system, lens module and electronic equipment
CN114740596B (en)Optical system, image capturing module and electronic equipment
CN112649946B (en) Optical systems, camera modules and electronic equipment
CN111045194A (en)Infrared lens
CN110346896B (en)Image pickup optical lens group
CN214151201U (en)Optical system, image capturing module and electronic equipment
CN111458841B (en)Infrared lens
CN210401819U (en)Optical system, lens module and electronic equipment
CN111367052B (en)Infrared lens
CN115826205A (en) camera module
CN110646923A (en)LCD screen lower fingerprint lens

Legal Events

DateCodeTitleDescription
PB01Publication
PB01Publication
SE01Entry into force of request for substantive examination
SE01Entry into force of request for substantive examination
RJ01Rejection of invention patent application after publication
RJ01Rejection of invention patent application after publication

Application publication date:20200131


[8]ページ先頭

©2009-2025 Movatter.jp