Movatterモバイル変換


[0]ホーム

URL:


CN110736963A - indoor Wi-Fi positioning method, device and storage medium based on CSI - Google Patents

indoor Wi-Fi positioning method, device and storage medium based on CSI
Download PDF

Info

Publication number
CN110736963A
CN110736963ACN201911004665.9ACN201911004665ACN110736963ACN 110736963 ACN110736963 ACN 110736963ACN 201911004665 ACN201911004665 ACN 201911004665ACN 110736963 ACN110736963 ACN 110736963A
Authority
CN
China
Prior art keywords
csi
phase
matrix
fingerprint information
csi phase
Prior art date
Legal status (The legal status is an assumption and is not a legal conclusion. Google has not performed a legal analysis and makes no representation as to the accuracy of the status listed.)
Granted
Application number
CN201911004665.9A
Other languages
Chinese (zh)
Other versions
CN110736963B (en
Inventor
李骄阳
Current Assignee (The listed assignees may be inaccurate. Google has not performed a legal analysis and makes no representation or warranty as to the accuracy of the list.)
TP Link Technologies Co Ltd
Original Assignee
TP Link Technologies Co Ltd
Priority date (The priority date is an assumption and is not a legal conclusion. Google has not performed a legal analysis and makes no representation as to the accuracy of the date listed.)
Filing date
Publication date
Application filed by TP Link Technologies Co LtdfiledCriticalTP Link Technologies Co Ltd
Priority to CN201911004665.9ApriorityCriticalpatent/CN110736963B/en
Publication of CN110736963ApublicationCriticalpatent/CN110736963A/en
Application grantedgrantedCritical
Publication of CN110736963BpublicationCriticalpatent/CN110736963B/en
Expired - Fee Relatedlegal-statusCriticalCurrent
Anticipated expirationlegal-statusCritical

Links

Images

Classifications

Landscapes

Abstract

The invention discloses indoor Wi-Fi positioning methods, devices and storage media based on CSI, wherein the method comprises the steps of collecting CSI original data of a to-be-positioned point through a receiving antenna array, obtaining a corresponding original CSI phase matrix according to the CSI original data, correcting the original CSI phase matrix according to a least square method to obtain a corrected CSI phase matrix, subtracting adjacent CSI phases in the corrected CSI phase matrix according to the position relation of all receiving antennas in the receiving antenna array to obtain a CSI phase difference matrix, obtaining CSI phase fingerprint information of an arrival angle of the to-be-positioned point according to the CSI phase difference matrix, and obtaining the position information of the to-be-positioned point according to the CSI phase fingerprint information and a preset phase fingerprint library.

Description

indoor Wi-Fi positioning method, device and storage medium based on CSI
Technical Field
The invention relates to the technical field of wireless positioning, in particular to indoor Wi-Fi positioning methods and devices based on CSI and a computer readable storage medium.
Background
In outdoor environment, mature satellite positioning systems such as GPS, GLONASS, and beidou satellite navigation systems provide convenience for people to obtain more accurate positioning and navigation services, however, in indoor environment, because satellite signals are weak and cannot penetrate buildings, the satellite positioning systems cannot work effectively, so that research of indoor positioning systems with high accuracy, high reliability and low cost is a new challenge for the current indoor positioning technology.
In recent years, indoor positioning technologies based on Wi-Fi have been developed due to widespread use of in indoor Wi-Fi, and typical technologies mainly include a positioning method based on Received Signal Strength Indication (RSSI) and Channel State Information (CSI), where in an indoor environment, due to the influence of an obstacle, the RSSI may generate a -determined deviation and is easily affected by interference of other signals and an indoor multipath effect, and thus cannot provide sufficient accuracy and reliability, and compared with the RSSI, the CSI has a -determined multipath resolution capability, can sense weak fluctuation of a Signal on a propagation path, and thus has higher sensitivity, a larger sensing range and stronger sensing reliability.
However, when the existing CSI-based positioning method is implemented, there are linear errors and nonlinear errors in the collected CSI raw data , which greatly affects the accuracy of the positioning result.
Disclosure of Invention
The technical problem to be solved by the embodiments of the present invention is to provide indoor Wi-Fi positioning methods and apparatuses based on CSI, and a computer-readable storage medium, which can effectively avoid the influence of linear errors and non-linear errors in CSI raw data, thereby improving positioning accuracy.
In order to solve the above technical problem, an embodiment of the present invention provides indoor Wi-Fi positioning methods based on CSI, including:
acquiring CSI original data of a point to be positioned through a receiving antenna array, and acquiring a corresponding original CSI phase matrix according to the CSI original data;
correcting the original CSI phase matrix according to a least square method to obtain a corrected CSI phase matrix;
according to the position relation of all receiving antennas in the receiving antenna array, making difference on adjacent CSI phases in the corrected CSI phase matrix to obtain a CSI phase difference matrix;
acquiring CSI phase fingerprint information of the arrival angle of the to-be-positioned point according to the CSI phase difference matrix;
and acquiring the position information of the to-be-positioned point according to the CSI phase fingerprint information and a preset phase fingerprint library, wherein the phase fingerprint library stores the arrival angle, the phase fingerprint information of the arrival angle and the position information of the receiving antenna array corresponding to any preset positions indoors.
Further , the obtaining a CSI phase difference matrix by subtracting adjacent CSI phases in the corrected CSI phase matrix according to the position relationship of all receiving antennas in the receiving antenna array specifically includes:
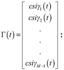
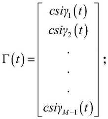
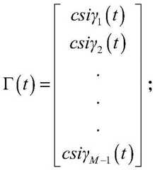
according to the formula
Figure BDA0002240319290000021
Subtracting adjacent CSI phases in the corrected CSI phase matrix to obtain a CSI phase difference matrix gamma (t) which is as follows:
Figure BDA0002240319290000022
where i denotes the i-th receive antenna in the receive antenna array, 0<i<M, M represents the number of receiving antennas in the receiving antenna array;
Figure BDA0002240319290000031
representing an ith CSI phase in the corrected CSI phase matrix; csi gammai(t) represents an ith CSI phase difference in the CSI phase difference matrix; t denotes the acquisition time.
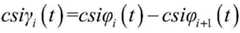
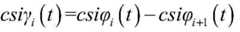
Further , the obtaining CSI phase fingerprint information of the arrival angle of the to-be-located point according to the CSI phase difference matrix specifically includes:
according to the formula
Figure BDA0002240319290000032
Calculating and obtaining CSI phase fingerprint information FP of the arrival angle of the point to be locatedθ(ii) a Wherein theta represents the arrival angle, and theta is more than or equal to 0 DEG<360 degrees; n represents the number of acquisitions, n>0; t represents the acquisition time; csi gammai(t) denotes the i-th CSI phase difference, 0, in the CSI phase difference matrix<i<M, M represents the number of receive antennas in the receive antenna array.
Further , the obtaining the location information of the to-be-located point according to the CSI phase fingerprint information and a preset phase fingerprint library specifically includes:
calculating Euclidean distances between the CSI phase fingerprint information and every pieces of phase fingerprint information in the phase fingerprint database;
finding out target phase fingerprint information with the minimum Euclidean distance, and taking an arrival angle corresponding to the target phase fingerprint information as an arrival angle of the to-be-positioned point;
and acquiring the position information of the to-be-positioned point according to the arrival angle of the to-be-positioned point and the position information corresponding to the target phase fingerprint information.
, the obtaining the location information of the point to be located according to the angle of arrival of the point to be located and the location information corresponding to the target phase fingerprint information specifically includes:
the position information of the to-be-positioned point is obtained by calculation according to the following formula:
wherein, (x, y) represents the position coordinates of the point to be located; (x)1,y1) And (x)2,y2) Respectively representing the position coordinates corresponding to the two receiving antenna arrays; theta1And theta2Respectively representing the pending determination correspondingly determined by two receiving antenna arraysAngle of arrival of the site.
In order to solve the above technical problem, an embodiment of the present invention further provides kinds of indoor Wi-Fi positioning apparatuses based on CSI, including:
the original CSI phase matrix acquisition module is used for acquiring CSI original data of a point to be positioned through the receiving antenna array and acquiring a corresponding original CSI phase matrix according to the CSI original data;
a corrected CSI phase matrix obtaining module, configured to correct the original CSI phase matrix according to a least square method to obtain a corrected CSI phase matrix;
a CSI phase difference matrix obtaining module, configured to obtain a CSI phase difference matrix by subtracting adjacent CSI phases in the corrected CSI phase matrix according to the position relationships of all receiving antennas in the receiving antenna array;
the phase fingerprint information acquisition module is used for acquiring the CSI phase fingerprint information of the arrival angle of the to-be-positioned point according to the CSI phase difference matrix; and the number of the first and second groups,
and the position information acquisition module is used for acquiring the position information of the point to be positioned according to the CSI phase fingerprint information and a preset phase fingerprint library, wherein the phase fingerprint library stores the arrival angle, the phase fingerprint information of the arrival angle and the position information of the receiving antenna array corresponding to any preset positions indoors.
Further , the CSI phase difference matrix obtaining module specifically includes:
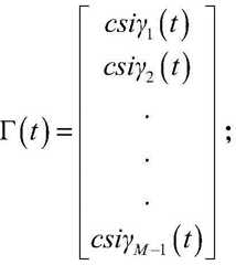
a CSI phase difference matrix obtaining unit for obtaining the phase difference matrix according to a formula
Figure BDA0002240319290000041
Subtracting adjacent CSI phases in the corrected CSI phase matrix to obtain a CSI phase difference matrix gamma (t) which is as follows:
Figure BDA0002240319290000042
where i denotes the i-th receive antenna in the receive antenna array, 0<i<M, M represents the receiving antenna arrayThe number of receive antennas in a column;
Figure BDA0002240319290000043
representing an ith CSI phase in the corrected CSI phase matrix; csi gammai(t) represents an ith CSI phase difference in the CSI phase difference matrix; t denotes the acquisition time.
Further , the phase fingerprint information obtaining module specifically includes:
a phase fingerprint information acquisition unit for acquiring fingerprint information according to a formulaCalculating and obtaining CSI phase fingerprint information FP of the arrival angle of the point to be locatedθ(ii) a Wherein theta represents the arrival angle, and theta is more than or equal to 0 DEG<360 degrees; n represents the number of acquisitions, n>0; t represents the acquisition time; csi gammai(t) denotes the i-th CSI phase difference, 0, in the CSI phase difference matrix<i<M, M represents the number of receive antennas in the receive antenna array.
The embodiment of the invention also provides computer-readable storage media, which include a stored computer program, where the computer program, when running, controls a device on which the computer-readable storage media is located to execute the CSI-based indoor Wi-Fi positioning method described in any above.
An embodiment of the present invention further provides CSI based indoor Wi-Fi positioning apparatuses, including a processor, a memory, and a computer program stored in the memory and configured to be executed by the processor, wherein the processor, when executing the computer program, implements the CSI based indoor Wi-Fi positioning method described in any of above.
Compared with the prior art, the embodiment of the invention provides CSI-based indoor Wi-Fi positioning methods, devices and computer-readable storage media, CSI original data of a to-be-positioned point are acquired through a receiving antenna array, a corresponding original CSI phase matrix is acquired according to the CSI original data, the original CSI phase matrix is corrected according to a least square method, adjacent CSI phases in the corrected CSI phase matrix are differentiated according to the position relation of all receiving antennas in the receiving antenna array, a CSI phase difference matrix is acquired, CSI phase fingerprint information of an arrival angle of the to-be-positioned point is acquired according to the CSI phase difference matrix, and therefore the position information of the to-be-positioned point is acquired according to the CSI phase fingerprint information and a preset phase fingerprint database.
Drawings
FIG. 1 is a flow chart of preferred embodiments of the CSI based indoor Wi-Fi positioning methods provided by the present invention;
FIG. 2 is a schematic diagram of methods for calculating the location information of the location point to be located provided by the present invention;
FIG. 3 is a block diagram of the structure of preferred embodiments of CSI based indoor Wi-Fi positioning devices provided by the present invention;
fig. 4 is a block diagram of another preferred embodiments of CSI-based indoor Wi-Fi positioning devices provided by the present invention.
Detailed Description
The technical solutions in the embodiments of the present invention will be described clearly and completely with reference to the drawings in the embodiments of the present invention, and it is obvious that the described embodiments are only partial embodiments of of the present invention, rather than all embodiments.
The embodiment of the present invention provides CSI-based indoor Wi-Fi positioning methods, which are flowcharts of preferred embodiments of CSI-based indoor Wi-Fi positioning methods provided by the present invention, as shown in fig. 1, and the method includes steps S11 to S15:
step S11, collecting CSI original data of a point to be located through a receiving antenna array, and acquiring a corresponding original CSI phase matrix according to the CSI original data;
step S12, correcting the original CSI phase matrix according to a least square method to obtain a corrected CSI phase matrix;
step S13, subtracting adjacent CSI phases in the corrected CSI phase matrix according to the position relation of all receiving antennas in the receiving antenna array to obtain a CSI phase difference matrix;
step S14, obtaining CSI phase fingerprint information of the arrival angle of the to-be-positioned point according to the CSI phase difference matrix;
and step S15, acquiring the position information of the point to be positioned according to the CSI phase fingerprint information and a preset phase fingerprint library, wherein the phase fingerprint library stores the arrival angle, the phase fingerprint information of the arrival angle and the position information of the receiving antenna array corresponding to any preset position indoors.
Specifically, the method can be executed by a network device including an antenna array, for example, an AP, in the process of communicating with any indoor APs at a to-be-positioned point, the antenna at the to-be-positioned point is a transmitting antenna, the antenna at the AP is a receiving antenna, the AP receives a wireless signal transmitted by the to-be-positioned point through the receiving antenna array, CSI raw data of the to-be-positioned point can be collected from the AP, the CSI raw data contains amplitude data and phase data of CSI, a corresponding raw CSI phase matrix can be obtained according to the collected CSI raw data, the raw CSI phase matrix can describe the transmission process of the wireless signal from the transmitting antenna array to the receiving antenna array, the relative position relationship between the transmitting antenna array and the receiving antenna array is contained, in order to remove linear errors in the raw CSI phase matrix, the linear correction can be performed on the raw CSI phase matrix by using a least square method, the corrected CSI phase matrix is correspondingly obtained, adjacent CSI phases corresponding to the adjacent receiving antennas in the corrected CSI phase matrix are calculated according to the position relationship between each receiving antennas in the receiving antenna array, the fingerprint phase matrix, the fingerprint information corresponding to-be-positioned angle information is set in advance, the fingerprint database, the fingerprint information of the arrival angle of the to-be-positioned point, the fingerprint database is obtained, and the fingerprint information of the fingerprint database, the fingerprint calculated fingerprint information of the fingerprint obtained, the fingerprint database, the fingerprint information of the fingerprint database, the fingerprint calculated fingerprint, the fingerprint of the fingerprint, the fingerprint information.
It should be noted that the arrival angle specifically refers to an angle at which a wireless signal reaches the receiving antenna array, the range of the arrival angle is 0 to 360 degrees, all the arrival angles are determined in the same coordinate systems for calculation, and then the position information of the to-be-located point can be calculated.
It is to be added that, in order to construct the phase fingerprint library, in the embodiment of the present invention, CSI phase fingerprint information of arrival angles is obtained through the steps S11 to S14, and then the relative position relationship between the transmitting antenna array and the receiving antenna array is adjusted, so as to obtain different arrival angle working conditions according to the steps S11 to S14, and calculate CSI phase fingerprint information corresponding to each arrival angle, and all the arrival angles and the CSI phase fingerprint information corresponding to every arrival angles are aggregated, so as to construct the phase fingerprint library, where the position information corresponding to the receiving antenna array is a known condition, that is, when the relative position relationship between the transmitting antenna array and the receiving antenna array is adjusted, the position coordinates of the corresponding transmitting antenna array and receiving antenna array can be obtained at the same time and stored in the phase fingerprint library correspondingly, and the arrival angle, the fingerprint phase information of the arrival angle, and the position information stored in the phase fingerprint library have a corresponding relationship.
According to the indoor Wi-Fi positioning methods based on CSI provided by the embodiment of the invention, the least square method correction is carried out on the original data in the original CSI phase matrix, the difference is carried out on the adjacent CSI phases corresponding to the adjacent receiving antennas in the corrected CSI phase matrix, and the CSI phase fingerprint information of the arrival angle of the point to be positioned is correspondingly obtained according to every elements in the CSI phase difference matrix, so that the position information of the point to be positioned is obtained according to the CSI phase fingerprint information of the arrival angle of the point to be positioned and a preset phase fingerprint database, the influence of linear errors and nonlinear errors in the CSI original data can be effectively avoided, and the positioning accuracy is improved.
In another preferred embodiments, the obtaining the CSI phase difference matrix by subtracting adjacent CSI phases in the corrected CSI phase matrix according to the position relationship of all receiving antennas in the receiving antenna array specifically includes:
according to the formulaSubtracting adjacent CSI phases in the corrected CSI phase matrix to obtain a CSI phase difference matrix gamma (t) which is as follows:
where i denotes the i-th receive antenna in the receive antenna array, 0<i<M, M represents the number of receiving antennas in the receiving antenna array;
Figure BDA0002240319290000083
representing an ith CSI phase in the corrected CSI phase matrix; csi gammai(t) represents an ith CSI phase difference in the CSI phase difference matrix; t denotes the acquisition time.
Specifically, in conjunction with the above embodiments, the collected CSI raw data can be expressed asThe original CSI phase matrix obtained from the collected CSI raw data can be expressed as
Figure BDA0002240319290000091
The corrected CSI phase matrix may be represented as
Figure BDA0002240319290000092
According to the formula
Figure BDA0002240319290000093
Subtracting adjacent CSI phases in the corrected CSI phase matrix to obtain a CSI phase difference matrix gamma (t)
Figure BDA0002240319290000094
Where i denotes the ith receive antenna in the receive antenna array, 0<i<M, M represents the number of receiving antennas in the receiving antenna array; csii(t) representing the CSI raw data corresponding to the ith receiving antenna in the collected CSI raw data;
Figure BDA0002240319290000095
representing a CSI phase corresponding to an ith receiving antenna in an original CSI phase matrix;indicating the CSI phase corresponding to the ith receiving antenna in the corrected CSI phase matrix; csi gammai(t) indicating the CSI phase difference corresponding to the ith receiving antenna and the (i + 1) th receiving antenna in the CSI phase difference matrix; and t represents the acquisition time corresponding to the CSI original data of the to-be-positioned point currently acquired by the receiving antenna array.
It should be noted that the adjacent receiving antennas refer to receiving antennas located adjacent to each other in the receiving antenna array, and in the receiving antenna array, sorting directions are first designated, for example, from left to right, and then every receiving antennas are correspondingly numbered as 1 to M, so that the ith receiving antenna and the (i + 1) th receiving antenna are adjacent receiving antennas.
In still another preferred embodiments, the obtaining CSI phase fingerprint information of the arrival angle of the to-be-located point according to the CSI phase difference matrix specifically includes:
according to the formula
Figure BDA0002240319290000097
Calculating and obtaining CSI phase fingerprint information FP of the arrival angle of the point to be locatedθ(ii) a Wherein theta represents the arrival angle, and theta is more than or equal to 0 DEG<360 degrees; n represents the number of acquisitions, n>0; t represents the acquisition time; csi gammai(t) denotes the i-th CSI phase difference, 0, in the CSI phase difference matrix<i<M, M represents the number of receive antennas in the receive antenna array.
Specifically, in combination with the above embodiments, each elements in the CSI phase difference matrix obtained by difference are formulated byCalculating to correspondingly obtain CSI phase fingerprint information FP of the arrival angle of the point to be positionedθWherein theta represents the arrival angle, and theta is more than or equal to 0 DEG<360 degrees; n represents the corresponding acquisition times of the CSI original data of the point to be positioned acquired by the receiving antenna array, and n>0; t represents the acquisition time corresponding to the CSI original data of the to-be-positioned point currently acquired by the receiving antenna array; csi gammai(t) denotes a CSI phase difference corresponding to the i-th receiving antenna and the i + 1-th receiving antenna in the CSI phase difference matrix, 0<i<M, M represents the number of receive antennas in the receive antenna array.
In another preferred embodiments, the obtaining the location information of the point to be located according to the CSI phase fingerprint information and a preset phase fingerprint library specifically includes:
calculating Euclidean distances between the CSI phase fingerprint information and every pieces of phase fingerprint information in the phase fingerprint database;
finding out target phase fingerprint information with the minimum Euclidean distance, and taking an arrival angle corresponding to the target phase fingerprint information as an arrival angle of the to-be-positioned point;
and acquiring the position information of the to-be-positioned point according to the arrival angle of the to-be-positioned point and the position information corresponding to the target phase fingerprint information.
Specifically, with reference to the above embodiment, an arrival angle, phase fingerprint information of an arrival angle, and location information corresponding to any preset locations of the receiving antenna array are stored in a preset phase fingerprint library, the CSI phase fingerprint information of an arrival angle of a to-be-located point obtained according to the CSI phase difference matrix is compared with the preset phase fingerprint library by , the euclidean distances between the CSI phase fingerprint information of an arrival angle of a to-be-located point and every pieces of phase fingerprint information in the phase fingerprint library are calculated, the phase fingerprint information with the minimum euclidean distance is found from the phase fingerprint library as the target phase fingerprint information, the arrival angle corresponding to the found target phase fingerprint information is used as the arrival angle of the to-be-located point, and the location information of the to-be-located point can be obtained by analyzing geometric knowledge according to the determined arrival angle of the to-be-located point and the location information corresponding to the found target phase fingerprint information.
As an improvement of the above solution, the acquiring the location information of the to-be-located point according to the arrival angle of the to-be-located point and the location information corresponding to the target phase fingerprint information specifically includes:
the position information of the to-be-positioned point is obtained by calculation according to the following formula:
wherein, (x, y) represents the position coordinates of the point to be located; (x)1,y1) And (x)2,y2) Respectively representing the position coordinates corresponding to the two receiving antenna arrays; theta1And theta2Respectively representing the arrival angles of the to-be-positioned points correspondingly determined by the two receiving antenna arrays.
Specifically, with reference to the foregoing embodiment, any two receiving antenna arrays in different positions may determine the arrival angle of the to-be-positioned point corresponding to through the positioning method provided in the embodiment of the present invention, for example, the arrival angle of the to-be-positioned point determined by receiving antenna arrays is recorded as θ1The arrival angles of the points to be positioned correspondingly determined by the other receiving antenna arrays are recorded as theta2And the position coordinates of the two receiving antenna arrays are known and are respectively marked as (x)1,y1) And (x)2,y2) According to the formula
Figure BDA0002240319290000112
The position coordinates (x, y) of the to-be-positioned point can be calculated and obtained.
Fig. 2 is a schematic diagram of kinds of calculation location information of points to be located provided by the present invention, in which P is1(x1,y1) And P2(x2,y2) Two receiving antenna arrays respectively representing known position coordinates, P (x, y) representing a point to be located, theta1Indicating the arrival of a wireless signal of P (x, y) transmission at P1Angle of time, theta2Indicating the arrival of a wireless signal of P (x, y) transmission at P2The time angle can be known from the trigonometric function relation under the same rectangular coordinate system
Figure BDA0002240319290000113
Wherein (x)1,y1)、(x2,y2)、θ1And theta2Under the known condition, the specific value of the position coordinate (x, y) of the point P to be located can be solved according to the formula, that is, the position information of the point P to be located is obtained.
The embodiment of the present invention further provides indoor Wi-Fi positioning apparatuses based on CSI, which can implement all the processes of the knowledge point management method described in any embodiment, and the functions and implemented technical effects of each module and unit in the apparatuses are respectively the same as those of the indoor Wi-Fi positioning method based on CSI described in the above embodiment, and are not described herein again.
Referring to fig. 3, it is a block diagram of preferred embodiments of CSI-based indoor Wi-Fi positioning apparatuses provided by the present invention, the apparatuses including:
the original CSI phasematrix acquisition module 11 is configured to acquire CSI original data of a point to be located through a receiving antenna array, and acquire a corresponding original CSI phase matrix according to the CSI original data;
a corrected CSI phasematrix obtaining module 12, configured to correct the original CSI phase matrix according to a least square method, to obtain a corrected CSI phase matrix;
a CSI phase differencematrix obtaining module 13, configured to perform a difference on adjacent CSI phases in the corrected CSI phase matrix according to the position relationships of all receiving antennas in the receiving antenna array, so as to obtain a CSI phase difference matrix;
a phase fingerprintinformation obtaining module 14, configured to obtain CSI phase fingerprint information of the arrival angle of the to-be-located point according to the CSI phase difference matrix; and the number of the first and second groups,
and a locationinformation obtaining module 15, configured to obtain location information of the to-be-located point according to the CSI phase fingerprint information and a preset phase fingerprint library, where the phase fingerprint library stores an arrival angle, phase fingerprint information of the arrival angle, and location information of a corresponding receiving antenna array at any indoor preset location.
Preferably, the CSI phase differencematrix obtaining module 13 specifically includes:
a CSI phase difference matrix obtaining unit for obtaining the phase difference matrix according to a formula
Figure BDA0002240319290000124
Subtracting adjacent CSI phases in the corrected CSI phase matrix to obtain a CSI phase difference matrix gamma (t) which is as follows:
Figure BDA0002240319290000122
where i denotes the i-th receive antenna in the receive antenna array, 0<i<M, M represents the number of receiving antennas in the receiving antenna array;
Figure BDA0002240319290000123
representing an ith CSI phase in the corrected CSI phase matrix; csi gammai(t) represents an ith CSI phase difference in the CSI phase difference matrix; t denotes the acquisition time.
Preferably, the phase fingerprintinformation obtaining module 14 specifically includes:
a phase fingerprint information acquisition unit for acquiring fingerprint information according to a formulaCalculating and obtaining CSI phase fingerprint information FP of the arrival angle of the point to be locatedθ(ii) a Wherein theta represents the arrival angle, and theta is more than or equal to 0 DEG<360 degrees; n represents the number of acquisitions, n>0; t represents the acquisition time; csi gammai(t) represents the ith CSI phase difference in the CSI phase difference matrix,0<i<M, M represents the number of receive antennas in the receive antenna array.
Preferably, the positioninformation obtaining module 15 specifically includes:
the Euclidean distance calculating unit is used for calculating Euclidean distances between the CSI phase fingerprint information and every pieces of phase fingerprint information in the phase fingerprint database;
an arrival angle determining unit, configured to find out target phase fingerprint information with a minimum euclidean distance, and use an arrival angle corresponding to the target phase fingerprint information as an arrival angle of the to-be-located point;
an th location information obtaining unit, configured to obtain the location information of the point to be located according to the angle of arrival of the point to be located and the location information corresponding to the target phase fingerprint information.
Preferably, the th location information obtaining unit is specifically configured to calculate and obtain the location information of the point to be located by the following formula:
Figure BDA0002240319290000132
wherein, (x, y) represents the position coordinates of the point to be located; (x)1,y1) And (x)2,y2) Respectively representing the position coordinates corresponding to the two receiving antenna arrays; theta1And theta2Respectively representing the arrival angles of the to-be-positioned points correspondingly determined by the two receiving antenna arrays.
Preferably, the positioninformation obtaining module 15 specifically includes:
the target phase fingerprint information acquisition unit is used for calculating Euclidean distances between the CSI phase fingerprint information and every pieces of phase fingerprint information in the phase fingerprint database, and finding out K pieces of target phase fingerprint information of which the Euclidean distances meet preset conditions, wherein K is greater than 1;
and the second position information acquisition unit is used for acquiring the position information of the to-be-positioned point according to the arrival angle and the position information corresponding to the K pieces of target phase fingerprint information.
Preferably, the second location information acquiring unit is specifically configured to calculate and obtain the location information of the to-be-located point by using the following formula:
Figure BDA0002240319290000141
wherein, (x, y) represents the position coordinates of the point to be located; (x)1,y1) And (x)2,y2) Respectively representing position coordinates corresponding to any two pieces of target phase fingerprint information in the K pieces of target phase fingerprint information; theta1And theta2And respectively representing the arrival angles corresponding to any two pieces of target phase fingerprint information in the K pieces of target phase fingerprint information.
The embodiment of the present invention further provides computer-readable storage media, where the computer-readable storage media include a stored computer program, where the computer program, when running, controls a device where the computer-readable storage media is located to perform the CSI-based indoor Wi-Fi positioning method described in any embodiment.
An embodiment of the present invention further provides CSI-based indoor Wi-Fi positioning apparatuses, which are shown in fig. 4 and are block diagrams of another preferred embodiments of the CSI-based indoor Wi-Fi positioning apparatuses provided by the present invention, the apparatuses include aprocessor 10, amemory 20, and a computer program stored in thememory 20 and configured to be executed by theprocessor 10, and theprocessor 10, when executing the computer program, implements the CSI-based indoor Wi-Fi positioning method described in any of the embodiments.
Preferably, the computer program can be divided into or more modules/units (e.g. computer program 1, computer program 2,. cndot. cndot.) and or more modules/units are stored in thememory 20 and executed by theprocessor 10 to implement the invention. the or more modules/units can be series of computer program instruction segments for describing the execution of the computer program in the apparatus, which can accomplish specific functions.
TheProcessor 10 may be a Central Processing Unit (CPU), other general purpose Processor, a Digital Signal Processor (DSP), an Application Specific Integrated Circuit (ASIC), an off-the-shelf Programmable Array (FPGA) or other Programmable logic device, a discrete or transistor logic device, a discrete hardware component, etc., the general purpose Processor may be a microprocessor, or theProcessor 10 may be any conventional Processor, theProcessor 10 is a control center of the apparatus, and various interfaces and lines are used to connect various parts of the apparatus.
Thememory 20 may be a high speed random access memory, a non-volatile memory such as a hard disk, a Smart Media Card (SMC), a Secure Digital (SD) Card, a Flash memory Card (Flash Card), etc., or thememory 20 may be other volatile solid state memory device.
It should be noted that the above-mentioned apparatus may include, but is not limited to, a processor and a memory, and those skilled in the art will understand that the structural block diagram of fig. 4 is only an example of the above-mentioned apparatus, and does not constitute a limitation of the apparatus, and may include more or less components than those shown, or combine some components, or different components.
To sum up, the indoor Wi-Fi positioning methods, apparatuses, and computer-readable storage media based on CSI provided in the embodiments of the present invention perform least square correction on original data in an original CSI phase matrix, perform difference on adjacent CSI phases corresponding to adjacent receiving antennas in the corrected CSI phase matrix, and correspondingly obtain CSI phase fingerprint information of an arrival angle of a point to be positioned according to every elements in the CSI phase difference matrix, so as to obtain location information of the point to be positioned according to the CSI phase fingerprint information of the arrival angle of the point to be positioned and a preset phase fingerprint library, thereby effectively avoiding the influence of linear errors and nonlinear errors in the CSI original data, and improving positioning accuracy.
The above description is only a preferred embodiment of the present invention, and it should be noted that, for those skilled in the art, several modifications and variations can be made without departing from the technical principle of the present invention, and these modifications and variations should also be regarded as the protection scope of the present invention.

Claims (10)

1, CSI-based indoor Wi-Fi positioning method, comprising:
acquiring CSI original data of a point to be positioned through a receiving antenna array, and acquiring a corresponding original CSI phase matrix according to the CSI original data;
correcting the original CSI phase matrix according to a least square method to obtain a corrected CSI phase matrix;
according to the position relation of all receiving antennas in the receiving antenna array, making difference on adjacent CSI phases in the corrected CSI phase matrix to obtain a CSI phase difference matrix;
acquiring CSI phase fingerprint information of the arrival angle of the to-be-positioned point according to the CSI phase difference matrix;
and acquiring the position information of the to-be-positioned point according to the CSI phase fingerprint information and a preset phase fingerprint library, wherein the phase fingerprint library stores the arrival angle, the phase fingerprint information of the arrival angle and the position information of the receiving antenna array corresponding to any preset positions indoors.
2. The CSI-based indoor Wi-Fi positioning method of claim 1, wherein the obtaining a CSI phase difference matrix by differencing adjacent CSI phases in the corrected CSI phase matrix according to the positional relationship of all receiving antennas in the receiving antenna array specifically comprises:
according to the formula
Figure FDA0002240319280000011
Subtracting adjacent CSI phases in the corrected CSI phase matrix to obtain a CSI phase difference matrix gamma (t) which is as follows:
Figure FDA0002240319280000012
where i denotes the i-th receive antenna in the receive antenna array, 0<i<M, M represents the number of receiving antennas in the receiving antenna array;
Figure FDA0002240319280000013
representing an ith CSI phase in the corrected CSI phase matrix; csi gammai(t) represents an ith CSI phase difference in the CSI phase difference matrix; t denotes the acquisition time.
3. The CSI-based indoor Wi-Fi positioning method according to claim 1, wherein the obtaining CSI phase fingerprint information of the angle of arrival of the point to be positioned according to the CSI phase difference matrix specifically comprises:
according to the formula
Figure FDA0002240319280000021
Calculating and obtaining CSI phase fingerprint information FP of the arrival angle of the point to be locatedθ(ii) a Wherein theta represents the arrival angle, and theta is more than or equal to 0 DEG<360 degrees; n represents the number of acquisitions, n>0; t represents the acquisition time; csi gammai(t) denotes the i-th CSI phase difference, 0, in the CSI phase difference matrix<i<M, M represents the number of receive antennas in the receive antenna array.
4. The CSI-based indoor Wi-Fi positioning method according to claim 1, wherein the obtaining the location information of the point to be positioned according to the CSI phase fingerprint information and a preset phase fingerprint library specifically comprises:
calculating Euclidean distances between the CSI phase fingerprint information and every pieces of phase fingerprint information in the phase fingerprint database;
finding out target phase fingerprint information with the minimum Euclidean distance, and taking an arrival angle corresponding to the target phase fingerprint information as an arrival angle of the to-be-positioned point;
and acquiring the position information of the to-be-positioned point according to the arrival angle of the to-be-positioned point and the position information corresponding to the target phase fingerprint information.
5. The CSI-based indoor Wi-Fi positioning method according to claim 4, wherein the obtaining the location information of the to-be-positioned point according to the angle of arrival of the to-be-positioned point and the location information corresponding to the target phase fingerprint information specifically comprises:
the position information of the to-be-positioned point is obtained by calculation according to the following formula:
Figure FDA0002240319280000031
wherein, (x, y) represents the position coordinates of the point to be located; (x)1,y1) And (x)2,y2) Respectively representing the position coordinates corresponding to the two receiving antenna arrays; theta1And theta2Respectively representing the arrival angles of the to-be-positioned points correspondingly determined by the two receiving antenna arrays.
6, A CSI-based indoor Wi-Fi positioning apparatus, comprising:
the original CSI phase matrix acquisition module is used for acquiring CSI original data of a point to be positioned through the receiving antenna array and acquiring a corresponding original CSI phase matrix according to the CSI original data;
a corrected CSI phase matrix obtaining module, configured to correct the original CSI phase matrix according to a least square method to obtain a corrected CSI phase matrix;
a CSI phase difference matrix obtaining module, configured to obtain a CSI phase difference matrix by subtracting adjacent CSI phases in the corrected CSI phase matrix according to the position relationships of all receiving antennas in the receiving antenna array;
the phase fingerprint information acquisition module is used for acquiring the CSI phase fingerprint information of the arrival angle of the to-be-positioned point according to the CSI phase difference matrix; and the number of the first and second groups,
and the position information acquisition module is used for acquiring the position information of the point to be positioned according to the CSI phase fingerprint information and a preset phase fingerprint library, wherein the phase fingerprint library stores the arrival angle, the phase fingerprint information of the arrival angle and the position information of the receiving antenna array corresponding to any preset positions indoors.
7. The CSI-based indoor Wi-Fi positioning apparatus of claim 6, wherein the CSI phase difference matrix acquisition module specifically comprises:
a CSI phase difference matrix obtaining unit for obtaining the phase difference matrix according to a formula
Figure FDA0002240319280000032
Subtracting adjacent CSI phases in the corrected CSI phase matrix to obtain a CSI phase difference matrix gamma (t) which is as follows:
Figure FDA0002240319280000041
where i denotes the i-th receive antenna in the receive antenna array, 0<i<M, M represents the number of receiving antennas in the receiving antenna array;
Figure FDA0002240319280000043
representing an ith CSI phase in the corrected CSI phase matrix; csi gammai(t) represents an ith CSI phase difference in the CSI phase difference matrix; t denotes the acquisition time.
8. The CSI-based indoor Wi-Fi positioning apparatus of claim 6, wherein the phase fingerprint information acquisition module specifically comprises:
a phase fingerprint information acquisition unit for acquiring fingerprint information based on publicFormula (II)
Figure FDA0002240319280000042
Calculating and obtaining CSI phase fingerprint information FP of the arrival angle of the point to be locatedθ(ii) a Wherein theta represents the arrival angle, and theta is more than or equal to 0 DEG<360 degrees; n represents the number of acquisitions, n>0; t represents the acquisition time; csi gammai(t) denotes the i-th CSI phase difference, 0, in the CSI phase difference matrix<i<M, M represents the number of receive antennas in the receive antenna array.
9, computer-readable storage media, comprising a stored computer program, wherein the computer program when executed controls an apparatus in which the computer-readable storage media is located to perform the CSI based indoor Wi-Fi positioning method of any of claims 1-5 through .
10, CSI based indoor Wi-Fi positioning apparatus, comprising a processor, a memory, and a computer program stored in the memory and configured to be executed by the processor, the processor when executing the computer program implementing the CSI based indoor Wi-Fi positioning method of any of claims 1-5.
CN201911004665.9A2019-10-212019-10-21Indoor Wi-Fi positioning method and device based on CSI and storage mediumExpired - Fee RelatedCN110736963B (en)

Priority Applications (1)

Application NumberPriority DateFiling DateTitle
CN201911004665.9ACN110736963B (en)2019-10-212019-10-21Indoor Wi-Fi positioning method and device based on CSI and storage medium

Applications Claiming Priority (1)

Application NumberPriority DateFiling DateTitle
CN201911004665.9ACN110736963B (en)2019-10-212019-10-21Indoor Wi-Fi positioning method and device based on CSI and storage medium

Publications (2)

Publication NumberPublication Date
CN110736963Atrue CN110736963A (en)2020-01-31
CN110736963B CN110736963B (en)2022-03-08

Family

ID=69270740

Family Applications (1)

Application NumberTitlePriority DateFiling Date
CN201911004665.9AExpired - Fee RelatedCN110736963B (en)2019-10-212019-10-21Indoor Wi-Fi positioning method and device based on CSI and storage medium

Country Status (1)

CountryLink
CN (1)CN110736963B (en)

Cited By (5)

* Cited by examiner, † Cited by third party
Publication numberPriority datePublication dateAssigneeTitle
CN111447027A (en)*2020-02-172020-07-24普联技术有限公司Link time delay calibration method, device, storage medium, terminal device and system
CN111770436A (en)*2020-05-072020-10-13普联国际有限公司 A CSI-based indoor Wi-Fi positioning method, device and storage medium
CN112118530A (en)*2020-08-102020-12-22苏州寻波科技有限公司Positioning system and method based on wifi channel state information
CN112881976A (en)*2021-01-062021-06-01普联国际有限公司Single antenna positioning method, device, equipment and storage medium based on CSI
US12166557B2 (en)2019-08-302024-12-10Interdigital Patent Holdings, Inc.Deep learning aided fingerprint based beam alignment

Citations (11)

* Cited by examiner, † Cited by third party
Publication numberPriority datePublication dateAssigneeTitle
CN104703276A (en)*2015-03-082015-06-10西安电子科技大学Locating system and method in light-weight light weight chamber based on channel state information ranging
CN104812061A (en)*2015-03-242015-07-29成都希盟泰克科技发展有限公司Indoor range finding and positioning method based on MIMO-OFDM channel state information
CN105301558A (en)*2015-09-222016-02-03济南东朔微电子有限公司Indoor positioning method based on bluetooth position fingerprints
US20160286519A1 (en)*2015-03-242016-09-29Ramot At Tel-Aviv University Ltd.Determining a location of an ofdm transmitter
CN106231670A (en)*2016-06-202016-12-14北京大学A kind of contactless perceptual positioning method
CN106899935A (en)*2017-01-182017-06-27深圳大学 An indoor positioning method and system based on a wireless receiving device and a camera
CN107769828A (en)*2017-09-272018-03-06中国电子科技集团公司第五十四研究所A kind of the CSI MIMO indoor orientation methods and system of the extraction of feature based value
CN108242946A (en)*2018-01-052018-07-03中国矿业大学 A Target Location Method for Coal Mine Underground Roadway Based on MIMO-OFDM Technology
CN108650628A (en)*2018-03-242018-10-12西安电子科技大学The indoor orientation method that ranging and fingerprint based on Wi-Fi network are combined
CN110133588A (en)*2019-05-142019-08-16普联技术有限公司A kind of antenna positioning method, device and equipment
CN110222776A (en)*2019-06-102019-09-10安徽磐众信息科技有限公司A kind of indoor Passive Location based on CSI finger print information

Patent Citations (12)

* Cited by examiner, † Cited by third party
Publication numberPriority datePublication dateAssigneeTitle
CN104703276A (en)*2015-03-082015-06-10西安电子科技大学Locating system and method in light-weight light weight chamber based on channel state information ranging
CN104812061A (en)*2015-03-242015-07-29成都希盟泰克科技发展有限公司Indoor range finding and positioning method based on MIMO-OFDM channel state information
US20160286519A1 (en)*2015-03-242016-09-29Ramot At Tel-Aviv University Ltd.Determining a location of an ofdm transmitter
CN105301558A (en)*2015-09-222016-02-03济南东朔微电子有限公司Indoor positioning method based on bluetooth position fingerprints
CN106231670A (en)*2016-06-202016-12-14北京大学A kind of contactless perceptual positioning method
CN106899935A (en)*2017-01-182017-06-27深圳大学 An indoor positioning method and system based on a wireless receiving device and a camera
US20190059070A1 (en)*2017-01-182019-02-21Shenzhen UniversityIndoor positioning method and system based on wireless receiver and camera
CN107769828A (en)*2017-09-272018-03-06中国电子科技集团公司第五十四研究所A kind of the CSI MIMO indoor orientation methods and system of the extraction of feature based value
CN108242946A (en)*2018-01-052018-07-03中国矿业大学 A Target Location Method for Coal Mine Underground Roadway Based on MIMO-OFDM Technology
CN108650628A (en)*2018-03-242018-10-12西安电子科技大学The indoor orientation method that ranging and fingerprint based on Wi-Fi network are combined
CN110133588A (en)*2019-05-142019-08-16普联技术有限公司A kind of antenna positioning method, device and equipment
CN110222776A (en)*2019-06-102019-09-10安徽磐众信息科技有限公司A kind of indoor Passive Location based on CSI finger print information

Non-Patent Citations (3)

* Cited by examiner, † Cited by third party
Title
YUGELIU等: ""CSI based high accuracy device free passive localization system"", 《2018 IEEE 88TH VEHICULAR TECHNOLOGY CONFERENCE(VTC-FALL)》*
利传迈: ""基于CSI的单节点wifi室内定位技术研究"", 《中国优秀博硕士学位论文全文数据库(硕士)信息科技辑》*
田丽玟: ""基于CSI的室内指纹定位算法研究"", 《中国优秀博硕士学位论文全文数据库(硕士)信息科技辑》*

Cited By (7)

* Cited by examiner, † Cited by third party
Publication numberPriority datePublication dateAssigneeTitle
US12166557B2 (en)2019-08-302024-12-10Interdigital Patent Holdings, Inc.Deep learning aided fingerprint based beam alignment
CN111447027A (en)*2020-02-172020-07-24普联技术有限公司Link time delay calibration method, device, storage medium, terminal device and system
CN111770436A (en)*2020-05-072020-10-13普联国际有限公司 A CSI-based indoor Wi-Fi positioning method, device and storage medium
CN111770436B (en)*2020-05-072023-05-16普联国际有限公司Indoor Wi-Fi positioning method and device based on CSI and storage medium
CN112118530A (en)*2020-08-102020-12-22苏州寻波科技有限公司Positioning system and method based on wifi channel state information
CN112881976A (en)*2021-01-062021-06-01普联国际有限公司Single antenna positioning method, device, equipment and storage medium based on CSI
CN112881976B (en)*2021-01-062024-09-06普联国际有限公司CSI-based single antenna positioning method, device, equipment and storage medium

Also Published As

Publication numberPublication date
CN110736963B (en)2022-03-08

Similar Documents

PublicationPublication DateTitle
CN110736963B (en)Indoor Wi-Fi positioning method and device based on CSI and storage medium
CN111770436B (en)Indoor Wi-Fi positioning method and device based on CSI and storage medium
EP2961231A1 (en)Angle determining system and method
JP5450081B2 (en) Method, software and system for determining the position of a user device
CN112083387B (en) Radar calibration method and device
CN104635203B (en)Radio interference source direction-finding and positioning method based on particle filter algorithm
CN111090108B (en)Deception signal generation method and device
CN110456397B (en)Multi-antenna ultra-short baseline positioning monitoring method and device and storage medium
CN110133637B (en) Target positioning method, device and system
CN109769206B (en)Indoor positioning fusion method and device, storage medium and terminal equipment
CN104396321A (en)Terminal positioning method and positioning apparatus
CN116907412B (en) Row spacing deviation detection method, device and system for agricultural machinery
CN111994078B (en)Driving deviation correcting method, device and equipment applied to automatic driving and storage medium
CN109407068A (en)Orientation, distance when a kind of target crosses head space determine method and device
CN114167393A (en) Position calibration method and device for traffic radar, storage medium and electronic device
KR101610051B1 (en)A radio direction finder
CN112240957A (en)Antenna amplitude and phase characteristic correction method in satellite navigation interference direction finding
CN111669698A (en)Positioning method, device, system and storage medium
CN118259239A (en)Radar calibration method and device, electronic equipment and storage medium
EP4493951A1 (en)Method for self-calibration of mmwave radar networks
CN116429110A (en)Path planning method and self-mobile device
CN110049550B (en)Wireless indoor positioning and sensing method, system and storage medium
CN113128352A (en)Method, device, equipment and storage medium for determining electronic warning tape
CN108124268A (en)A kind of parameter accuracy recognition methods and the network equipment
TWI642962B (en) Indoor positioning system that integrates wireless reception signal strength and magnetic field characteristics

Legal Events

DateCodeTitleDescription
PB01Publication
PB01Publication
SE01Entry into force of request for substantive examination
SE01Entry into force of request for substantive examination
GR01Patent grant
GR01Patent grant
CF01Termination of patent right due to non-payment of annual fee

Granted publication date:20220308

CF01Termination of patent right due to non-payment of annual fee

[8]ページ先頭

©2009-2025 Movatter.jp