Movatterモバイル変換


[0]ホーム

URL:


CN110730106A - Electronic official document exchange method and device based on tree structure and computer equipment - Google Patents

Electronic official document exchange method and device based on tree structure and computer equipment
Download PDF

Info

Publication number
CN110730106A
CN110730106ACN201911307261.7ACN201911307261ACN110730106ACN 110730106 ACN110730106 ACN 110730106ACN 201911307261 ACN201911307261 ACN 201911307261ACN 110730106 ACN110730106 ACN 110730106A
Authority
CN
China
Prior art keywords
identification
target
local
center
service center
Prior art date
Legal status (The legal status is an assumption and is not a legal conclusion. Google has not performed a legal analysis and makes no representation as to the accuracy of the status listed.)
Granted
Application number
CN201911307261.7A
Other languages
Chinese (zh)
Other versions
CN110730106B (en
Inventor
郭庆
阙润业
林泗明
陈俊强
Current Assignee (The listed assignees may be inaccurate. Google has not performed a legal analysis and makes no representation or warranty as to the accuracy of the list.)
Digital Guangdong Network Construction Co Ltd
Original Assignee
Digital Guangdong Network Construction Co Ltd
Priority date (The priority date is an assumption and is not a legal conclusion. Google has not performed a legal analysis and makes no representation as to the accuracy of the date listed.)
Filing date
Publication date
Application filed by Digital Guangdong Network Construction Co LtdfiledCriticalDigital Guangdong Network Construction Co Ltd
Priority to CN201911307261.7ApriorityCriticalpatent/CN110730106B/en
Publication of CN110730106ApublicationCriticalpatent/CN110730106A/en
Application grantedgrantedCritical
Publication of CN110730106BpublicationCriticalpatent/CN110730106B/en
Activelegal-statusCriticalCurrent
Anticipated expirationlegal-statusCritical

Links

Images

Classifications

Landscapes

Abstract

The application relates to an electronic official document exchange method and device based on a tree structure and computer equipment. The method comprises the following steps: acquiring an electronic document of a first terminal; determining a tree-like level relation between a target exchange service center and a local exchange service center in a plurality of preset exchange service centers according to the receiving center identification of the electronic official document; the target exchange service center is an exchange service center matched with the text receiving center identification and used for acquiring the electronic official document; and performing level association storage exchange on the electronic official documents according to the tree level relation. By adopting the method, the processing efficiency of the electronic official document in the electronic official document exchange system can be improved, and the data storage pressure in the electronic official document exchange system is reduced, so that the method is easier to expand the system performance when applied to the system, reduces the workload of system configuration and is convenient for system maintenance.

Description

Electronic official document exchange method and device based on tree structure and computer equipment
Technical Field
The present application relates to the field of computer technologies, and in particular, to a method and an apparatus for exchanging electronic documents based on a tree structure, a computer device, and a storage medium.
Background
With the development of the technology level, more and more written materials are replaced by electronic official documents.
The existing electronic official document exchange system usually adopts a single-center electronic official document exchange system, that is, the electronic official documents are stored in the same electronic official document exchange system, all users access the same electronic official document exchange system to receive and send documents, or adopts a multi-center electronic official document exchange system, that is, a plurality of electronic official document exchange systems are deployed in different areas as exchange centers, and the users in each area access a local exchange center to receive and send documents.
However, although the single-center electronic document exchange system has a simple structure, the centralized storage and access of data cannot solve the system processing pressure caused by the increase of the user volume or the data volume, and the multi-center electronic document exchange system can reduce the performance pressure to a certain extent, but the calling method adopted among the exchange centers is complex and the workload is huge.
Therefore, the electronic document exchange method adopted in the prior art has the problem of low processing efficiency.
Disclosure of Invention
In view of the above, it is necessary to provide a method, an apparatus, a computer device and a storage medium for exchanging electronic documents based on a tree structure, which can reasonably solve the technical problem of low processing efficiency of the method for exchanging electronic documents based on a tree structure.
An electronic official document exchange method based on a tree structure comprises the following steps:
acquiring an electronic document of a first terminal;
determining a tree-like level relation between a target exchange service center and a local exchange service center in a plurality of preset exchange service centers according to the receiving center identification of the electronic official document; the target exchange service center is an exchange service center matched with the text receiving center identification and used for acquiring the electronic official document;
and performing level association storage exchange on the electronic official documents according to the tree level relation.
An electronic official document exchange device based on a tree structure comprises:
the document acquisition module is used for acquiring the electronic document of the first terminal;
the relation determining module is used for determining the tree-like level relation between a target exchange service center and a local exchange service center in a plurality of preset exchange service centers according to the text receiving center identification of the electronic official document; the target exchange service center is an exchange service center matched with the text receiving center identification and used for acquiring the electronic official document;
and the document storage module is used for carrying out level association storage exchange on the electronic document according to the tree level relation.
A computer device comprising a memory and a processor, the memory storing a computer program, the processor implementing the following steps when executing the computer program:
acquiring an electronic document of a first terminal;
determining a tree-like level relation between a target exchange service center and a local exchange service center in a plurality of preset exchange service centers according to the receiving center identification of the electronic official document; the target exchange service center is an exchange service center matched with the text receiving center identification and used for acquiring the electronic official document;
and performing level association storage exchange on the electronic official documents according to the tree level relation.
A computer-readable storage medium, on which a computer program is stored which, when executed by a processor, carries out the steps of:
acquiring an electronic document of a first terminal;
determining a tree-like level relation between a target exchange service center and a local exchange service center in a plurality of preset exchange service centers according to the receiving center identification of the electronic official document; the target exchange service center is an exchange service center matched with the text receiving center identification and used for acquiring the electronic official document;
and performing level association storage exchange on the electronic official documents according to the tree level relation.
According to the electronic official document exchange method, the electronic official document exchange device, the computer equipment and the storage medium based on the tree structure, the server of each level center acquires the electronic official document of the first terminal, and then identifies the identification of the message receiving center so as to determine the tree level relation between the target exchange service center and the local exchange service center in a plurality of preset exchange service centers, and therefore the electronic official documents are subjected to level association storage exchange by utilizing the tree level relation. The method can not only improve the processing efficiency of the electronic official document in the electronic official document exchange system, but also reduce the data storage pressure in the electronic official document exchange system, so that the method is easier to expand the system performance when applied to the system, reduces the workload of system configuration and is more convenient for system maintenance.
Drawings
FIG. 1 is a diagram illustrating an exemplary embodiment of a tree-based electronic document exchange method;
FIG. 2 is a diagram of an application environment of the tree-based electronic document exchange method in another embodiment;
FIG. 3 is a flowchart illustrating a tree-based electronic document exchange method according to an embodiment;
FIG. 4 is a schematic diagram of a tree-structured electronic document exchange system in accordance with one embodiment;
FIG. 5 is a block diagram of an embodiment of a tree-based electronic document exchange device;
FIG. 6 is a diagram illustrating an internal structure of a computer device according to an embodiment.
Detailed Description
In order to make the objects, technical solutions and advantages of the present application more apparent, the present application is described in further detail below with reference to the accompanying drawings and embodiments. It should be understood that the specific embodiments described herein are merely illustrative of the present application and are not intended to limit the present application.
It should be noted that the term "first \ second" referred to in the embodiments of the present invention is only used for distinguishing similar objects, and does not represent a specific ordering for the objects, and it should be understood that "first \ second" may exchange a specific order or sequence order if allowed. It should be understood that "first \ second" distinct objects may be interchanged under appropriate circumstances such that embodiments of the invention described herein may be practiced in sequences other than those illustrated or described herein.
FIG. 1 is a diagram illustrating an exemplary embodiment of an electronic document exchange method based on a tree structure. Referring to fig. 1, the electronic document exchange method is applicable to an electronic document exchange system including more than two electronic document exchange centers, and the electronic document exchange centers are formed by combining aterminal 102, aserver 104 and anoperation management background 106. In the electronic document exchange center, theserver 104 establishes communication connection with theterminal 102 and theoperation management background 106 through a network, theterminal 102 may specifically be a desktop terminal or a mobile terminal, the mobile terminal may specifically be at least one of a mobile phone, a tablet computer, a notebook computer, and the like, theserver 104 may be implemented by an independent server or a server cluster formed by a plurality of servers, and the network includes but is not limited to: a wide area network, a metropolitan area network, or a local area network.
FIG. 2 is a diagram of an application environment of the tree-based electronic document exchange method in another embodiment. Referring to fig. 2, the electronic document exchange system has a plurality of electronic document exchange centers deployed in a tree structure, and each electronic document exchange center has a structure including theterminal 102, theserver 104, and theoperation management background 106 as described above. Meanwhile, the electronic official document exchange center included in the electronic official document exchange system is deployed according to four levels: the system comprises a level 0 center, a level 1 center, a level 2 center and a level 3 center, wherein the level 0 center is the highest center, and only one electronic official document exchange center exists in one electronic official document exchange system as the level 0 center and corresponds to a root node of a tree structure. Besides the level 0 center, each level center has only 1 directly superior center. In a practical application scenario, different regions can be respectively deployed with local electronic document switching centers, and particularly in a government affair scenario, the electronic document switching centers in each region are interconnected through an electronic government affair external network.
It should be further noted that theoperation management background 106 in the present application is used for a system administrator to manage and configure information of a text receiving and sending unit, manage user permissions, configure necessary parameters of file exchange service operation, and view statistical data of processing conditions of text receiving and sending.
In one embodiment, as shown in fig. 3, an electronic document exchange method based on a tree structure is provided, which is described by taking the method as an example applied to theserver 104 in fig. 1, and includes the following steps:
step S310, the electronic document of the first terminal is obtained.
The official document is a written material which is formed and used by legal authorities and organizations in official activities according to a specific style and a certain processing procedure, and the electronic official document is a digitized form of a paper official document.
Wherein, the terminal may be aterminal 102 in any one of the electronic document exchange centers in fig. 2, theterminal 102 may have an interactive interface for providing a browsing page for a user to operate, and then the user may perform a document receiving and sending operation through the interactive interface, including: sending a document, checking a document sending list, withdrawing the document, checking a document receiving list, signing a document, downloading a file, rejecting the document and the like. When theterminal 102 receives an operation instruction from the user, an interface provided by theserver 104 may be called according to an operation command generated by the operation instruction, so as to implement transmission of the electronic document.
The first terminal may refer to aterminal 102 corresponding to the currently executedmain server 104, that is, theterminal 102 that acquires the electronic document that needs to be transmitted currently.
In a specific implementation, theservers 104 are responsible for transmitting the electronic documents according to a certain routing rule in the electronic document exchange center, and the electronic document exchange system in the tree structure in fig. 2 is actually a link communication between theservers 104, and can be placed in a block chain for document transmission, and can also implement exchange of the electronic documents in an actual application scenario, such as a government network. When aterminal 102 in an electronic document exchange center in an electronic document exchange system receives an electronic document submitted by user operation, theterminal 102 serves as a first terminal, sends the electronic document to aserver 104 directly connected with the terminal, and theserver 104 receives the electronic document and executes subsequent document transmission tasks.
For example, referring to fig. 4, fig. 4 is a specific example with respect to fig. 2, that is, in fig. 4, the level 0 center as the highest level center of the tree structure is "national clearinghouse", the level 1 center is "guangdong province clearinghouse", the level 2 centers include "guangzhou city clearinghouse" and "shenzhen city clearinghouse", and the level 3 centers correspond to the direct jurisdictions of the level 2 centers, including "overseas region clearinghouse" governed by "guangzhou city clearinghouse" and "salt region clearinghouse" governed by "shenzhen city clearinghouse".
For another example, taking the unit a of the overseas district to send documents to the unit B of the saltern district as an example, after receiving the electronic documents sent by the first terminal, theserver 104 in the level-3 center will further perform cross-level transmission according to the receiving center identifier of the electronic documents, and the "overseas district switching center" will serve as a local switching service center to perform subsequent tasks.
Step S320, according to the identification of the receiving center of the electronic official document, determining the tree-like level relation between the target exchange service center and the local exchange service center in a plurality of preset exchange service centers; the target exchange service center is an exchange service center of the electronic official document to be acquired, which is matched with the identification of the receiving center.
The electronic official document exchange system is actually in a tree structure divided into levels, and the electronic official document exchange centers deployed at different levels are provided with globally unique center identifications and are used for giving identification marks to receiving units to which the electronic official documents to be transmitted belong. Specifically, the center identifier of each electronic official document exchange center has three sections of characters, including: primary ID, secondary ID, and tertiary ID.
As mentioned above, the 0-level center is set in the present application as: the primary ID, the secondary ID and the tertiary ID are all empty; the label of the level 1 center is set as: the primary ID is a non-empty unique character/character string, and the secondary ID and the tertiary ID are empty; the identification of the level 2 center is set as: the primary ID inherits the primary ID of the direct superior center, the secondary ID is a non-empty unique character/character string, and the tertiary ID is empty; the identification of the level 3 center is set as: the primary ID and the secondary ID inherit the primary ID, the secondary ID and the tertiary ID of the direct superior center of the primary ID and the secondary ID are non-null unique characters/character strings.
Therefore, referring to fig. 4, in an embodiment, if a character or an empty character string that means empty is represented as "X", three sections of tags of the level 0 center are empty, and the "national switching center" that is a root node of the tree structure has a center identifier represented as "XXX", so that the receiving center identifier also has three sections of identifiers representing a primary ID, a secondary ID, and a tertiary ID, and when a sending unit submits an electronic document to be transmitted, the center identifier of a receiving unit area that receives the electronic document can be submitted at the same time, for example, a unit a that is governed by the "overseas switching center" sends the electronic document to a unit B that is governed by the "salina switching center", and then a center identifier "121" of the "salina switching center" is packed with the electronic document as the receiving center identifier and sent to theserver 104 for directional transmission after being recognized by theserver 104.
Wherein the preset plurality of switching service centers may be a plurality of electronic official document switching centers deployed as a tree structure as presented in fig. 2.
The target switching service center may refer to a switching service center that receives electronic documents, such as a "salt pan switching center" in fig. 4.
The tree-like hierarchical relationship may include not only a tree node center relationship, but also a relationship associated with a level position where the center is located, for example, a branch co-superior relationship between "guangzhou city switching center" and "shenzhen city switching center" in fig. 4, a single-branch superior-inferior relationship between "guangzhou city switching center" and "guangdong province switching center", and a peer co-node relationship which is also "guangzhou city switching center".
In a specific implementation, theserver 104 receives the electronic document, may further identify and determine a recipient center identifier of the electronic document, and may determine that the exchange center that receives the electronic document and executes recipient center identifier identification is a local exchange service center, and may further determine a tree-like hierarchical relationship between two exchange service centers by using the recipient center identifier to match with center identifiers of multiple electronic document exchange centers, so as to determine that the matched electronic document exchange center is a exchange center that receives the electronic document and executes recipient center identifier identification, and the exchange center that theserver 104 currently receives the electronic document and executes recipient center identifier identification is a local exchange service center.
For example, referring to fig. 4, in the electronic document exchange system shown in fig. 4, when theserver 104 of the "offsite district exchange center" receives the electronic document uploaded by the administration unit a through the terminal 102 (first terminal), and recognizes that the recipient center identifier of the electronic document is "121", it may be determined that the exchange center corresponding to the identifier is the "saltern district exchange center", and thus it may be determined that the target exchange service center "saltern district exchange center" and the local exchange service center "offsite district exchange center" are not on a single branch, and the tree-level relationship between the two is a branch-common superior relationship.
And step S330, performing level association storage exchange on the electronic official documents according to the tree level relation.
The level-associated storage exchange may be a storage exchange rule for performing promotion call and demotion polling according to the tree level relationship.
In the concrete implementation, the application provides that each electronic official document switching center can only initiate and call the direct superior switching center of the electronic official document switching center, and can not initiate and call other switching centers of the level or subordinate switching centers, namely, the superior switching center is completely passive relative to the subordinate switching centers, and all service processing is completed by unidirectionally driving the superior switching centers by the subordinate switching centers.
For example, referring to fig. 4, to receive an electronic document transmitted from a local exchange service center- "vitta exchange center" by a "salt pan area exchange center" of a target exchange service center, aserver 104 of the "vitta exchange center" is first required to sequentially call interfaces of the "guangzhou city exchange center" and the "guangdong province exchange center", upload the electronic document to the "guangdong province exchange center" for storage, and then regularly poll and acquire the electronic document having a local area or lower level jurisdiction relationship in the "guangdong province exchange center" by the "shenzhen city exchange center" and store the electronic document so that the "salt pan area exchange center" acquires the electronic document in the same timing wheel manner for storage, so that a unit needing to receive the electronic document acquires the electronic document through a terminal 102 connected to the "salt pan area exchange center".
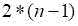
It should be noted that, because the switching centers of the multi-center electronic document exchange system need to call each other to drive the electronic document to transmit between the centers, the call mode of other centers needs to be configured in each switching center, and therefore, the system calls in different areas need to be configured with network policies related to each other, for example, the switching centers in n areas need to call each other, and then need to be configured with network policies related to each otherItem calling mode, and put-through
Figure 559011DEST_PATH_IMAGE001
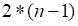
The network strategy is not only heavy and complex in workload, but also inconvenient to maintain. Therefore, when the electronic official document exchange method based on the tree structure is applied to an electronic official document exchange system, each official document exchange center can only initiate calling to a direct superior center of the official document exchange center, the relationship among the exchange centers is simpler, and for example, if the exchange centers are deployed in n regions, only configuration is needed
Figure 423062DEST_PATH_IMAGE002
Item calling mode, and put-through
Figure 830909DEST_PATH_IMAGE002
Compared with other multicenter electronic official document exchange systems, the network strategy greatly reduces the configuration workload and is more convenient to maintain.
In the electronic official document exchange method based on the tree structure, the servers of all levels of centers acquire the electronic official documents of the first terminal and further recognize the identification of the message receiving center so as to determine the tree-like level relation between the target exchange service center and the local exchange service center in a plurality of preset exchange service centers, so that the electronic official documents are subjected to level association storage exchange by utilizing the tree-like level relation. The method can not only improve the processing efficiency of the electronic official document in the electronic official document exchange system, but also reduce the data storage pressure in the electronic official document exchange system, so that the method is easier to expand the system performance when applied to the system, reduces the workload of system configuration and is more convenient for system maintenance.
In one embodiment, the step S330 performs level association storage exchange on the electronic document according to the tree level relationship, and specifically includes the following steps:
if the tree-level relation is a branch-common superior relation, determining a near-parent exchange service center between the target exchange service center and the local exchange service center; and the calling interface sends the electronic official document to the near-father-level exchange service center for storage, so that the second terminal can acquire the electronic official document by polling through the target exchange service center.
The branch common superior relationship may be an upper, lower or horizontal relationship that is not common in the tree structure, for example, "Guangzhou city clearinghouse" and "Shenzhen city clearinghouse" in FIG. 4, or "Guangdong province clearinghouse" and a clearinghouse of any other provinces that are not represented in the figure.
The near-father exchange service center may refer to a nearest common superior exchange center of the electronic official document sender and the receiver, for example, the near-father exchange service centers of "guangzhou exchange center" and "shenzhen exchange center" in fig. 4 are "guangdong province exchange center", or the near-father exchange service centers of "guangdong province exchange center" and "hubei province exchange center" that are not shown in the figure are "national exchange centers".
In a specific implementation, theserver 104 determines a tree-like level relationship between the target switching service center and the local switching service center according to the recipient identifier, and if the tree-like level relationship is a branch-sharing superior relationship, further determines a near-parent switching service center between the target switching service center and the local switching service center, and first uploads the electronic official document to theserver 104 on the near-parent switching service center side by calling an interface of the near-parent switching service center, and temporarily stores the electronic official document so that the target switching service center acquires the electronic official document stored in the near-parent switching service center and administered by the recipient of the official document in a periodic and timed polling manner.
For example, the exchange service center near father level of "Guangzhou city exchange center" and "Shenzhen city exchange center" is "Guangdong province exchange center", and the "Guangzhou city exchange center" as the local exchange service center firstly calls the interface of "Guangdong province exchange center" to upload the document, and then regularly polls to acquire the stored electronic document by the "Shenzhen city exchange center" preamble.
In one embodiment, the step S330 performs level association storage exchange on the electronic document according to the tree level relationship, and specifically includes the following steps:
if the tree-like level relation is a single-branch upper-lower level relation and the target exchange service center is a higher-level exchange service center of the local exchange service center, the electronic document is sent to the target exchange service center for storage by the calling interface and is acquired by the second terminal.
The single-branch upper-lower relation may be an upper-lower relation in which there are common branches in the tree structure, such as "switching center in Guangzhou city" and "switching center in Guangdong province" or "switching center in Guangdong province" and "overseas district switching center" in FIG. 4.
In a specific implementation, if theserver 104 recognizes that the tree-like level relationship between the target switching service center and the local switching service center is a single-branch superior-inferior relationship through the text center identifier, the specific superior-inferior relationship between the target switching service center and the local switching service center can be determined at the same time, and then the specific superior-inferior relationship is stored by using the rule described above, that is, when the target switching service center is a superior switching service center of the local switching service center, theserver 104 of the local switching service center pushes the electronic document to the superior switching center by using an interface calling method, and specific examples are referred to above, and are not described in detail in this embodiment.
In one embodiment, the step S330 performs level association storage exchange on the electronic document according to the tree level relationship, and specifically includes the following steps:
and if the tree-like level relation is a single-branch upper-lower level relation and the local exchange service center is a higher-level exchange service center of the target exchange service center, locally storing the electronic document for the second terminal to acquire the electronic document by polling through the target exchange service center.
In a specific implementation, on the basis of the above embodiment, if the tree-like hierarchical relationship between the target switching service center and the local switching service center is a single-branch upper-lower level relationship, and the local switching service center is a higher-level switching service center of the target switching service center, the local switching service center directly performs local storage without transferring the electronic document, and the target switching service center pulls the electronic document in a timing polling manner, where a specific case is referred to above, and is not described in detail in this embodiment.
In one embodiment, the step S330 performs level association storage exchange on the electronic document according to the tree level relationship, and specifically includes the following steps:
and if the tree-level relation is the same-level common node relation, determining that the local exchange service center is used as a target exchange service center, and locally storing the electronic document for the second terminal to obtain the electronic document.
Wherein the peer-to-peer node-sharing relationship may be a relationship of the peer-to-peer nodes in the tree structure, for example, the "Guangzhou City switching center" in FIG. 4 is not only the local switching service center but also the target switching service center
In a specific implementation, when theserver 104 recognizes that the unit for receiving the electronic document is directly administered by the local exchange service center, the electronic document is directly stored locally without transmission exchange, and the receiving party acquires the electronic document transmitted by theserver 104 through the terminal 102.
In one embodiment, in step S320, according to the identification of the receiving center of the electronic document, a tree-like hierarchical relationship between the target switching service center and the local switching service center is determined in a plurality of preset switching service centers, which specifically includes the following steps:
determining a target switching service center in a plurality of preset switching service centers according to the receiving center identification of the electronic official document; the plurality of switching service centers are respectively provided with corresponding center identifications; the center identification of the target exchange service center comprises a target primary identification, a target secondary identification and a target tertiary identification; the center identification of the local exchange service center comprises a local primary identification, a local secondary identification and a local tertiary identification; if the target first-level identification is not matched with the local first-level identification, the target first-level identification and the local first-level identification are both non-null character identifications, and/or if the target first-level identification is matched with the local first-level identification, the target second-level identification is not matched with the local second-level identification, the target second-level identification and the local second-level identification are both non-null character identifications, and/or if the target first-level identification is matched with the local first-level identification, the target second-level identification is matched with the local second-level identification, the target third-level identification is not matched with the local third-level identification, and the target third-level identification and the local third-level identification are both.
In a specific implementation, theserver 104 of the local exchange service center first performs identification and determination on the recipient center identifier of the electronic document, that is, the center identifiers respectively provided by the plurality of exchange service centers are matched with the recipient center identifier, if matching is successful, the exchange service center corresponding to the center identifier that is matched consistently is used as a target exchange service center of the electronic document, if matching is failed, the recipient center identifier is invalid, and the exchange service center corresponding to the identifier is not available in the current electronic document exchange system. It should be noted that the determination manner of the target switching service center may be determined by a preset identifier-center mapping table.
More specifically, as described in the foregoing embodiment, since the center identifier of each switching service center has a primary ID, a secondary ID, and a tertiary ID, the center identifiers of the target switching service center and the local switching service center are sequentially and correspondingly matched, and if one of the following conditions exists, it indicates that the tree-level relationship between the target switching service center and the local switching service center is a branch-level relationship:
(1) the target primary identification is not matched with the local primary identification, and the target primary identification and the local primary identification are both non-null character identifications;
(2) the target primary identification is matched with the local primary identification, the target secondary identification is not matched with the local secondary identification, and the target secondary identification and the local secondary identification are both non-null character identifications;
(3) the target primary identification is matched with the local primary identification, the target secondary identification is matched with the local secondary identification, the target tertiary identification is not matched with the local tertiary identification, and the target tertiary identification and the local tertiary identification are non-null character identifications.
For example, the above case (1) can be referred to as "exchange center in Guangdong province" shown in FIG. 4 and "exchange center in Hubei province" not shown, that is, the center of "exchange center in Guangdong province" is identified as "1 XX", and the center of "exchange center in Hubei province" is identified as "2 XX", so that the two tree-level relationships reach the above case (1), which is a branch-common superior relationship.
For another example, the above case (2) can refer to "guangzhou city clearinghouse" and "shenzhen city clearinghouse" already illustrated in fig. 4.
For another example, the above-mentioned case (3) can be referred to as "the overseas switching center" shown in fig. 4 and "the river switching center" not shown, that is, the center of the "the overseas switching center" is identified as "111", and the center of the "the river switching center" is identified as "112", so that the two tree-level relationships reach the above-mentioned case (3), which is a branch-common-superior relationship.
In one embodiment, in step S320, according to the identification of the receiving center of the electronic document, a tree-like hierarchical relationship between the target switching service center and the local switching service center is determined in a plurality of preset switching service centers, which specifically includes the following steps:
and if the target primary identification is not matched with the local primary identification, any one of the target primary identification and the local primary identification is a null character identification, and/or if the target primary identification is matched with the local primary identification, the target secondary identification is not matched with the local secondary identification, any one of the target secondary identification and the local secondary identification is a null character identification, and/or if the target primary identification is matched with the local primary identification, the target secondary identification is matched with the local secondary identification, the target tertiary identification is not matched with the local tertiary identification, and any one of the target tertiary identification and the local tertiary identification is a null character identification, determining that the tree-like hierarchical relationship is a single-branch upper-lower hierarchical relationship.
In a specific implementation, if one of the following conditions exists, it indicates that the tree-like hierarchical relationship between the target switching service center and the local switching service center is a single-branch upper-lower hierarchical relationship:
(1) the target primary identification is not matched with the local primary identification, and any one of the target primary identification and the local primary identification is a null character identification;
(2) any one of the target primary identification and the local primary identification is a null character identification;
(3) the target primary identification is matched with the local primary identification, the target secondary identification is matched with the local secondary identification, the target tertiary identification is not matched with the local tertiary identification, and any one of the target tertiary identification and the local tertiary identification is a null character identification.
For example, the above case (1) can be referred to as "exchange center of Guangdong province" and "national exchange center" in FIG. 4, or "exchange center of Guangzhou city" and "national exchange center" and the like.
For another example, the above case (2) can be referred to as "switching center in Guangzhou city" and "switching center in Guangdong province", or "switching center in Guangdong province" and "switching center in Virginian district" and the like shown in FIG. 4.
For another example, the above case (3) can be referred to as "the overseas interchange center" and "the Guangzhou city interchange center" or "the Shenzhen city interchange center" and "the salt pan region interchange center" shown in FIG. 4.
In one embodiment, in step S320, according to the identification of the receiving center of the electronic document, a tree-like hierarchical relationship between the target switching service center and the local switching service center is determined in a plurality of preset switching service centers, which specifically includes the following steps:
and if the target primary identification is matched with the local primary identification, the target secondary identification is matched with the local secondary identification, and the target tertiary identification is matched with the local tertiary identification, determining that the tree-like level relation is the same-level common node relation.
In a specific implementation, if theserver 104 identifies three sections of center identifiers of the target switching service center and the local switching service center: and if the primary ID, the secondary ID and the tertiary ID are matched and consistent, the primary ID, the secondary ID and the tertiary ID are the same exchange service center.
For example, the target switching service center and the local switching service center are both "switching center of Guangdong province" in FIG. 4.
According to the scheme provided by the embodiment of the invention, the server of each level center acquires the electronic official document of the first terminal, and further identifies the message receiving center identification of the first terminal so as to determine the tree-like level relation between the target exchange service center and the local exchange service center in a plurality of preset exchange service centers, so that the electronic official document is subjected to level association storage exchange by utilizing the tree-like level relation. By adopting the method, the processing efficiency of the electronic official document in the electronic official document exchange system can be improved, the data storage pressure and the system configuration workload in the electronic official document exchange system can be reduced, each official document exchange center can be controlled to only initiate calling to the direct superior center of the official document exchange center through the customized level associated storage exchange rule, each center only needs to ensure that the direct superior calling is correct, and the fault can be easily, quickly and conveniently positioned when the fault occurs.
It should be understood that, although the steps in the flowchart of fig. 3 are shown in order as indicated by the arrows, the steps are not necessarily performed in order as indicated by the arrows. The steps are not performed in the exact order shown and described, and may be performed in other orders, unless explicitly stated otherwise. Moreover, at least a portion of the steps in fig. 3 may include multiple sub-steps or multiple stages that are not necessarily performed at the same time, but may be performed at different times, and the order of performance of the sub-steps or stages is not necessarily sequential, but may be performed in turn or alternately with other steps or at least a portion of the sub-steps or stages of other steps.
In one embodiment, as shown in fig. 5, there is provided an electronic document exchange apparatus based on a tree structure, including adocument acquiring module 510, arelationship determining module 520, and adocument storing module 530, wherein:
adocument obtaining module 510, configured to obtain an electronic document of a first terminal;
arelation determining module 520, configured to determine, according to the recipient center identifier of the electronic document, a tree-like hierarchical relation between the target exchange service center and the local exchange service center among a plurality of preset exchange service centers; the target exchange service center is an exchange service center matched with the text receiving center identification and used for acquiring the electronic official document;
and the officialdocument storage module 530 is used for performing level association storage exchange on the electronic official document according to the tree level relationship.
According to the scheme provided by the embodiment of the invention, the server of each level center acquires the electronic official document of the first terminal, and further identifies the message receiving center identification of the first terminal so as to determine the tree-like level relation between the target exchange service center and the local exchange service center in a plurality of preset exchange service centers, so that the electronic official document is subjected to level association storage exchange by utilizing the tree-like level relation. By adopting the scheme, the processing efficiency of the electronic official document in the electronic official document exchange system can be improved, and the data storage pressure in the electronic official document exchange system is reduced, so that the method is easier to expand the system performance when applied to the system, reduces the workload of system configuration and is more convenient for system maintenance.
In one embodiment, the officialdocument storage module 530 is further configured to determine a near parent switching service center between the target switching service center and the local switching service center if the tree-level relationship is a branch-co-superior relationship; and the calling interface sends the electronic official document to the near-parent exchange service center for storage, so that a second terminal can acquire the electronic official document by polling through the target exchange service center.
In an embodiment, thedocument storage module 530 is further configured to, if the tree-like hierarchical relationship is a single-branch upper-lower hierarchical relationship and the target switching service center is a higher-level switching service center of the local switching service center, call an interface to send the electronic document to the target switching service center for storage, so that a second terminal can obtain the electronic document.
In an embodiment, thedocument storage module 530 is further configured to, if the tree-like hierarchical relationship is a single-branch upper-lower hierarchical relationship and the local exchange service center is a higher-level exchange service center of the target exchange service center, locally store the electronic document, so that the second terminal obtains the electronic document through polling of the target exchange service center.
In an embodiment, thedocument storage module 530 is further configured to determine that the local exchange service center is the target exchange service center if the tree-level relationship is the same-level common node relationship, and locally store the electronic document for the second terminal to obtain the electronic document.
In one embodiment, therelationship determining module 520 is further configured to determine a target switching service center among a plurality of preset switching service centers according to the receiving center identifier of the electronic document; the plurality of switching service centers are respectively provided with corresponding center identifications; the center identification of the target exchange service center comprises a target primary identification, a target secondary identification and a target tertiary identification; the center identification of the local exchange service center comprises a local primary identification, a local secondary identification and a local tertiary identification; if the target primary identification is not matched with the local primary identification, the target primary identification and the local primary identification are both non-null character identifications, and/or if the target primary identification is matched with the local primary identification, the target secondary identification is not matched with the local secondary identification, the target secondary identification and the local secondary identification are both non-null character identifications, and/or if the target primary identification is matched with the local primary identification, the target secondary identification is matched with the local secondary identification, the target tertiary identification is not matched with the local tertiary identification, and the target tertiary identification and the local tertiary identification are both non-null character identifications, then the tree-level relation is determined to be a branch common upper-level relation.
In one embodiment, therelationship determination module 520 is further configured to determine whether the target primary identifier is not matched with the local primary identifier, if any one of the target primary identifier and the local primary identifier is a null character identifier, and/or, if the target primary identification is matched with the local primary identification, the target secondary identification is not matched with the local secondary identification, and any one of the target secondary identification and the local secondary identification is a null character identification, and/or if the target primary identification is matched with the local primary identification, the target secondary identification is matched with the local secondary identification, the target tertiary identification is not matched with the local tertiary identification, and any one of the target tertiary identification and the local tertiary identification is a null character identification, determining that the tree-like hierarchical relationship is a single-branch upper-lower hierarchical relationship.
In one embodiment, therelationship determining module 520 is further configured to determine that the tree-level relationship is a same-level common node relationship if the target primary identifier matches the local primary identifier, the target secondary identifier matches the local secondary identifier, and the target tertiary identifier matches the local tertiary identifier.
According to the scheme provided by the embodiment of the invention, the server of each level center acquires the electronic official document of the first terminal, and further identifies the message receiving center identification of the first terminal so as to determine the tree-like level relation between the target exchange service center and the local exchange service center in a plurality of preset exchange service centers, so that the electronic official document is subjected to level association storage exchange by utilizing the tree-like level relation. By adopting the scheme, the processing efficiency of the electronic official documents in the electronic official document exchange system can be improved, the data storage pressure and the system configuration workload in the electronic official document exchange system can be reduced, each official document exchange center can be controlled to only initiate calling to the own direct superior center through the customized level associated storage exchange rule, each center only needs to ensure that the calling of the direct superior center is correct, and the fault can be easily, quickly and conveniently positioned when the fault occurs.
For the specific limitation of the electronic document exchange device based on the tree structure, reference may be made to the above limitation of the electronic document exchange method based on the tree structure, and details are not repeated here. All or part of the modules in the electronic document exchange device based on the tree structure can be realized by software, hardware and a combination thereof. The modules can be embedded in a hardware form or independent from a processor in the computer device, and can also be stored in a memory in the computer device in a software form, so that the processor can call and execute operations corresponding to the modules.
In one embodiment, a computer device is provided, which may be a server, and its internal structure diagram may be as shown in fig. 6. The computer device includes a processor, a memory, a network interface, and a database connected by a system bus. Wherein the processor of the computer device is configured to provide computing and control capabilities. The memory of the computer device comprises a nonvolatile storage medium and an internal memory. The non-volatile storage medium stores an operating system, a computer program, and a database. The internal memory provides an environment for the operation of an operating system and computer programs in the non-volatile storage medium. The database of the computer device is used for storing identification information and device information. The network interface of the computer device is used for communicating with an external terminal through a network connection. The computer program is executed by a processor to realize an electronic official document exchange method based on a tree structure.
Those skilled in the art will appreciate that the architecture shown in fig. 6 is merely a block diagram of some of the structures associated with the disclosed aspects and is not intended to limit the computing devices to which the disclosed aspects apply, as particular computing devices may include more or less components than those shown, or may combine certain components, or have a different arrangement of components.
In one embodiment, a computer device is provided, comprising a memory and a processor, the memory having a computer program stored therein, the processor implementing the following steps when executing the computer program:
acquiring an electronic document of a first terminal;
determining a tree-like level relation between a target exchange service center and a local exchange service center in a plurality of preset exchange service centers according to a receiving center identification of the electronic official document; the target exchange service center is an exchange service center of the electronic official document to be acquired, which is matched with the identification of the receiving center;
and performing level association storage exchange on the electronic official documents according to the tree level relationship.
In one embodiment, the processor, when executing the computer program, further performs the steps of:
if the tree-level relation is a branch-common superior relation, determining a near-parent exchange service center between the target exchange service center and the local exchange service center; and the calling interface sends the electronic official document to the near-father-level exchange service center for storage, so that the second terminal can acquire the electronic official document by polling through the target exchange service center.
In one embodiment, the processor, when executing the computer program, further performs the steps of:
if the tree-like level relation is a single-branch upper-lower level relation and the target exchange service center is a higher-level exchange service center of the local exchange service center, the electronic document is sent to the target exchange service center for storage by the calling interface and is acquired by the second terminal.
In one embodiment, the processor, when executing the computer program, further performs the steps of:
and if the tree-like level relation is a single-branch upper-lower level relation and the local exchange service center is a higher-level exchange service center of the target exchange service center, locally storing the electronic document for the second terminal to acquire the electronic document by polling through the target exchange service center.
In one embodiment, the processor, when executing the computer program, further performs the steps of:
and if the tree-level relation is the same-level common node relation, determining that the local exchange service center is used as a target exchange service center, and locally storing the electronic document for the second terminal to obtain the electronic document.
In one embodiment, the processor, when executing the computer program, further performs the steps of:
determining a target switching service center in a plurality of preset switching service centers according to the receiving center identification of the electronic official document; the plurality of switching service centers are respectively provided with corresponding center identifications; the center identification of the target exchange service center comprises a target primary identification, a target secondary identification and a target tertiary identification; the center identification of the local exchange service center comprises a local primary identification, a local secondary identification and a local tertiary identification; if the target first-level identification is not matched with the local first-level identification, the target first-level identification and the local first-level identification are both non-null character identifications, and/or if the target first-level identification is matched with the local first-level identification, the target second-level identification is not matched with the local second-level identification, the target second-level identification and the local second-level identification are both non-null character identifications, and/or if the target first-level identification is matched with the local first-level identification, the target second-level identification is matched with the local second-level identification, the target third-level identification is not matched with the local third-level identification, and the target third-level identification and the local third-level identification are both.
In one embodiment, the processor, when executing the computer program, further performs the steps of:
and if the target primary identification is not matched with the local primary identification, any one of the target primary identification and the local primary identification is a null character identification, and/or if the target primary identification is matched with the local primary identification, the target secondary identification is not matched with the local secondary identification, any one of the target secondary identification and the local secondary identification is a null character identification, and/or if the target primary identification is matched with the local primary identification, the target secondary identification is matched with the local secondary identification, the target tertiary identification is not matched with the local tertiary identification, and any one of the target tertiary identification and the local tertiary identification is a null character identification, determining that the tree-like hierarchical relationship is a single-branch upper-lower hierarchical relationship.
In one embodiment, the processor, when executing the computer program, further performs the steps of:
and if the target primary identification is matched with the local primary identification, the target secondary identification is matched with the local secondary identification, and the target tertiary identification is matched with the local tertiary identification, determining that the tree-like level relation is the same-level common node relation.
In one embodiment, a computer-readable storage medium is provided, having a computer program stored thereon, which when executed by a processor, performs the steps of:
acquiring an electronic document of a first terminal;
determining a tree-like level relation between a target exchange service center and a local exchange service center in a plurality of preset exchange service centers according to a receiving center identification of the electronic official document; the target exchange service center is an exchange service center of the electronic official document to be acquired, which is matched with the identification of the receiving center;
and performing level association storage exchange on the electronic official documents according to the tree level relationship.
In one embodiment, the computer program when executed by the processor further performs the steps of:
if the tree-level relation is a branch-common superior relation, determining a near-parent exchange service center between the target exchange service center and the local exchange service center; and the calling interface sends the electronic official document to the near-father-level exchange service center for storage, so that the second terminal can acquire the electronic official document by polling through the target exchange service center.
In one embodiment, the computer program when executed by the processor further performs the steps of:
if the tree-like level relation is a single-branch upper-lower level relation and the target exchange service center is a higher-level exchange service center of the local exchange service center, the electronic document is sent to the target exchange service center for storage by the calling interface and is acquired by the second terminal.
In one embodiment, the computer program when executed by the processor further performs the steps of:
and if the tree-like level relation is a single-branch upper-lower level relation and the local exchange service center is a higher-level exchange service center of the target exchange service center, locally storing the electronic document for the second terminal to acquire the electronic document by polling through the target exchange service center.
In one embodiment, the computer program when executed by the processor further performs the steps of:
and if the tree-level relation is the same-level common node relation, determining that the local exchange service center is used as a target exchange service center, and locally storing the electronic document for the second terminal to obtain the electronic document.
In one embodiment, the computer program when executed by the processor further performs the steps of:
determining a target switching service center in a plurality of preset switching service centers according to the receiving center identification of the electronic official document; the plurality of switching service centers are respectively provided with corresponding center identifications; the center identification of the target exchange service center comprises a target primary identification, a target secondary identification and a target tertiary identification; the center identification of the local exchange service center comprises a local primary identification, a local secondary identification and a local tertiary identification; if the target first-level identification is not matched with the local first-level identification, the target first-level identification and the local first-level identification are both non-null character identifications, and/or if the target first-level identification is matched with the local first-level identification, the target second-level identification is not matched with the local second-level identification, the target second-level identification and the local second-level identification are both non-null character identifications, and/or if the target first-level identification is matched with the local first-level identification, the target second-level identification is matched with the local second-level identification, the target third-level identification is not matched with the local third-level identification, and the target third-level identification and the local third-level identification are both.
In one embodiment, the computer program when executed by the processor further performs the steps of:
and if the target primary identification is not matched with the local primary identification, any one of the target primary identification and the local primary identification is a null character identification, and/or if the target primary identification is matched with the local primary identification, the target secondary identification is not matched with the local secondary identification, any one of the target secondary identification and the local secondary identification is a null character identification, and/or if the target primary identification is matched with the local primary identification, the target secondary identification is matched with the local secondary identification, the target tertiary identification is not matched with the local tertiary identification, and any one of the target tertiary identification and the local tertiary identification is a null character identification, determining that the tree-like hierarchical relationship is a single-branch upper-lower hierarchical relationship.
In one embodiment, the computer program when executed by the processor further performs the steps of:
and if the target primary identification is matched with the local primary identification, the target secondary identification is matched with the local secondary identification, and the target tertiary identification is matched with the local tertiary identification, determining that the tree-like level relation is the same-level common node relation.
It will be understood by those skilled in the art that all or part of the processes of the methods of the embodiments described above can be implemented by hardware instructions of a computer program, which can be stored in a non-volatile computer-readable storage medium, and when executed, can include the processes of the embodiments of the methods described above. Any reference to memory, storage, database, or other medium used in the embodiments provided herein may include non-volatile and/or volatile memory, among others. Non-volatile memory can include read-only memory (ROM), Programmable ROM (PROM), Electrically Programmable ROM (EPROM), Electrically Erasable Programmable ROM (EEPROM), or flash memory. Volatile memory can include Random Access Memory (RAM) or external cache memory. By way of illustration and not limitation, RAM is available in a variety of forms such as Static RAM (SRAM), Dynamic RAM (DRAM), Synchronous DRAM (SDRAM), Double Data Rate SDRAM (DDRSDRAM), Enhanced SDRAM (ESDRAM), Synchronous Link DRAM (SLDRAM), Rambus Direct RAM (RDRAM), direct bus dynamic RAM (DRDRAM), and memory bus dynamic RAM (RDRAM).
The technical features of the above embodiments can be arbitrarily combined, and for the sake of brevity, all possible combinations of the technical features in the above embodiments are not described, but should be considered as the scope of the present specification as long as there is no contradiction between the combinations of the technical features.
The above-mentioned embodiments only express several embodiments of the present application, and the description thereof is more specific and detailed, but not construed as limiting the scope of the invention. It should be noted that, for a person skilled in the art, several variations and modifications can be made without departing from the concept of the present application, which falls within the scope of protection of the present application. Therefore, the protection scope of the present patent shall be subject to the appended claims.

Claims (11)

1. An electronic official document exchange method based on a tree structure is characterized by comprising the following steps:
acquiring an electronic document of a first terminal;
determining a tree-like level relation between a target exchange service center and a local exchange service center in a plurality of preset exchange service centers according to the receiving center identification of the electronic official document; the target exchange service center is an exchange service center matched with the text receiving center identification and used for acquiring the electronic official document;
and performing level association storage exchange on the electronic official documents according to the tree level relation.
2. The method according to claim 1, wherein the step of exchanging the electronic document for level-associative storage according to the tree-level relationship comprises:
if the tree-like level relation is a branch-sharing upper-level relation, determining a near-parent exchange service center between the target exchange service center and the local exchange service center;
and the calling interface sends the electronic official document to the near-parent exchange service center for storage, so that a second terminal can acquire the electronic official document by polling through the target exchange service center.
3. The method according to claim 1, wherein the step of exchanging the electronic document for level-associative storage according to the tree-level relationship comprises:
if the tree-like level relation is a single-branch upper-lower level relation and the target exchange service center is a higher-level exchange service center of the local exchange service center, calling an interface to send the electronic document to the target exchange service center for storage, so that a second terminal can obtain the electronic document.
4. The method of claim 3, further comprising:
and if the tree-like level relation is a single-branch upper-lower level relation and the local exchange service center is a higher-level exchange service center of the target exchange service center, locally storing the electronic document for the second terminal to acquire the electronic document by polling through the target exchange service center.
5. The method according to claim 1, wherein the step of exchanging the electronic document for level-associative storage according to the tree-level relationship comprises:
and if the tree-level relation is the same-level common node relation, determining the local exchange service center as the target exchange service center, and locally storing the electronic document for a second terminal to obtain the electronic document.
6. The method according to claim 1, wherein the step of determining a tree-like hierarchical relationship between the target switching service center and the local switching service center among a plurality of preset switching service centers according to the recipient center identifier of the electronic official document comprises:
determining a target switching service center in a plurality of preset switching service centers according to the receiving center identification of the electronic official document; the plurality of switching service centers are respectively provided with corresponding center identifications; the center identification of the target exchange service center comprises a target primary identification, a target secondary identification and a target tertiary identification; the center identification of the local exchange service center comprises a local primary identification, a local secondary identification and a local tertiary identification;
if the target primary identifier does not match the local primary identifier, the target primary identifier and the local primary identifier are both non-null character identifiers, and/or,
if the target primary identifier matches the local primary identifier, the target secondary identifier does not match the local secondary identifier, the target secondary identifier and the local secondary identifier are both non-null character identifiers, and/or,
and if the target primary identification is matched with the local primary identification, the target secondary identification is matched with the local secondary identification, the target tertiary identification is not matched with the local tertiary identification, and the target tertiary identification and the local tertiary identification are both non-null character identifications, determining that the tree-like level relationship is a branch common superior relationship.
7. The method of claim 6, further comprising:
if the target primary identification is not matched with the local primary identification, any one of the target primary identification and the local primary identification is a null character identification, and/or,
if the target primary identification matches the local primary identification, the target secondary identification does not match the local secondary identification, any one of the target secondary identification and the local secondary identification is a null character identification, and/or,
and if the target primary identification is matched with the local primary identification, the target secondary identification is matched with the local secondary identification, the target tertiary identification is not matched with the local tertiary identification, and any one of the target tertiary identification and the local tertiary identification is a null character identification, determining that the tree-like hierarchical relationship is a single-branch upper-lower hierarchical relationship.
8. The method of claim 6, further comprising:
and if the target primary identification is matched with the local primary identification, the target secondary identification is matched with the local secondary identification, and the target tertiary identification is matched with the local tertiary identification, determining that the tree-like level relation is the same-level common node relation.
9. An electronic official document exchange device based on a tree structure is characterized by comprising:
the document acquisition module is used for acquiring the electronic document of the first terminal;
the relation determining module is used for determining the tree-like level relation between a target exchange service center and a local exchange service center in a plurality of preset exchange service centers according to the text receiving center identification of the electronic official document; the target exchange service center is an exchange service center matched with the text receiving center identification and used for acquiring the electronic official document;
and the document storage module is used for carrying out level association storage exchange on the electronic document according to the tree level relation.
10. A computer device comprising a memory and a processor, the memory storing a computer program, wherein the processor implements the steps of the method of any one of claims 1 to 8 when executing the computer program.
11. A computer-readable storage medium, on which a computer program is stored, which, when being executed by a processor, carries out the steps of the method of any one of claims 1 to 8.
CN201911307261.7A2019-12-182019-12-18Electronic official document exchange method and device based on tree structure and computer equipmentActiveCN110730106B (en)

Priority Applications (1)

Application NumberPriority DateFiling DateTitle
CN201911307261.7ACN110730106B (en)2019-12-182019-12-18Electronic official document exchange method and device based on tree structure and computer equipment

Applications Claiming Priority (1)

Application NumberPriority DateFiling DateTitle
CN201911307261.7ACN110730106B (en)2019-12-182019-12-18Electronic official document exchange method and device based on tree structure and computer equipment

Publications (2)

Publication NumberPublication Date
CN110730106Atrue CN110730106A (en)2020-01-24
CN110730106B CN110730106B (en)2020-04-17

Family

ID=69226025

Family Applications (1)

Application NumberTitlePriority DateFiling Date
CN201911307261.7AActiveCN110730106B (en)2019-12-182019-12-18Electronic official document exchange method and device based on tree structure and computer equipment

Country Status (1)

CountryLink
CN (1)CN110730106B (en)

Cited By (1)

* Cited by examiner, † Cited by third party
Publication numberPriority datePublication dateAssigneeTitle
CN114926140A (en)*2022-03-252022-08-19山东日照发电有限公司Electronic official document information direct reporting system, method, computer equipment and storage medium

Citations (7)

* Cited by examiner, † Cited by third party
Publication numberPriority datePublication dateAssigneeTitle
US20060015643A1 (en)*2004-01-232006-01-19Fredrik OravaMethod of sending information through a tree and ring topology of a network system
CN101162437A (en)*2006-10-102008-04-16国际商业机器公司Method for analyzing system performance sampled data based on relational model, equipment and system
US20080141330A1 (en)*2006-12-062008-06-12Microsoft CorporationDigitally Certified Stationery
CN102185749A (en)*2011-06-072011-09-14北京交通大学Method for avoiding routing loop by adopting tree topology relationship
CN103139251A (en)*2011-11-292013-06-05神州数码信息系统有限公司Method of city-level data sharing exchange platform technology
US20160232030A1 (en)*2012-11-122016-08-11Beijing Branch Office Of Foxit Corp.Electronic official document processing method
CN110365547A (en)*2019-09-092019-10-22数字广东网络建设有限公司Tenant's node creation method, device, equipment and the medium of multi-layer tenant's system

Patent Citations (7)

* Cited by examiner, † Cited by third party
Publication numberPriority datePublication dateAssigneeTitle
US20060015643A1 (en)*2004-01-232006-01-19Fredrik OravaMethod of sending information through a tree and ring topology of a network system
CN101162437A (en)*2006-10-102008-04-16国际商业机器公司Method for analyzing system performance sampled data based on relational model, equipment and system
US20080141330A1 (en)*2006-12-062008-06-12Microsoft CorporationDigitally Certified Stationery
CN102185749A (en)*2011-06-072011-09-14北京交通大学Method for avoiding routing loop by adopting tree topology relationship
CN103139251A (en)*2011-11-292013-06-05神州数码信息系统有限公司Method of city-level data sharing exchange platform technology
US20160232030A1 (en)*2012-11-122016-08-11Beijing Branch Office Of Foxit Corp.Electronic official document processing method
CN110365547A (en)*2019-09-092019-10-22数字广东网络建设有限公司Tenant's node creation method, device, equipment and the medium of multi-layer tenant's system

Non-Patent Citations (2)

* Cited by examiner, † Cited by third party
Title
方鑫: "电子公文交换系统的模式与结构研究", 《计算机光盘软件与应用》*
梁娟等: "电子政务中基于XML的关系异构交换技术", 《计算机与数字工程》*

Cited By (1)

* Cited by examiner, † Cited by third party
Publication numberPriority datePublication dateAssigneeTitle
CN114926140A (en)*2022-03-252022-08-19山东日照发电有限公司Electronic official document information direct reporting system, method, computer equipment and storage medium

Also Published As

Publication numberPublication date
CN110730106B (en)2020-04-17

Similar Documents

PublicationPublication DateTitle
CN113572618B (en) A decentralized storage system combining Fabric and IPFS and its data storage method
CN111625593B (en)Block chain-based data processing method and device and computer equipment
CN107332876B (en) Method and device for synchronizing state of blockchain
CN107193490A (en)A kind of distributed data-storage system and method based on block chain
CN103905311B (en)Flow table matching method and device and switch
CN109359994B (en)Service processing method, device and system based on block chain
CN101409614A (en)Data synchronization method, system and equipment
CN110602168B (en)Data synchronization method and device, computer equipment and storage medium
CN110599142B (en)Data storage method, device, computer equipment and storage medium
CN109241352A (en)The acquisition methods and server of Profile information
CN109947844B (en)Medical data management system based on medical block chain
CN112988852B (en)Block chain-based data management method, device and medium
WO2022247316A1 (en)Storage object processing system, request processing method, gateway, and storage medium
CN108389124B (en)Data processing method, data processing device, computer equipment and storage medium
CN108376154B (en)System base table synchronization method and device, computer equipment and storage medium
CN110730106B (en)Electronic official document exchange method and device based on tree structure and computer equipment
CN111459935A (en)Internet of things data storage method, storage system, query method and storage medium
CN112507010B (en)Service data processing method and device, computer equipment and storage medium
CN115150105A (en)Identity authentication method and system in distributed graph database
CN112651044B (en)Business transaction method, system and storage medium based on block chain technology
CN110909030A (en)Information processing method and server cluster
CN111708795B (en)Object identification generation method, object identification updating device, computer equipment and medium
CN115694847A (en) A device management method, system and device
CN115623001B (en) A blockchain-based collaborative method for trusted access and traceable services for cloud-edge services
CN111565173A (en)Intelligent contract management method and device for block chain system and hardware equipment

Legal Events

DateCodeTitleDescription
PB01Publication
PB01Publication
SE01Entry into force of request for substantive examination
SE01Entry into force of request for substantive examination
GR01Patent grant
GR01Patent grant
CP02Change in the address of a patent holder

Address after:7, 9-12 / F, Zhujiang Yide building, 362 Dongfeng Middle Road, Yuexiu District, Guangzhou, Guangdong 510000

Patentee after:DIGITAL GUANGDONG NETWORK CONSTRUCTION Co.,Ltd.

Address before:510300 room 230, building 14, No. 788, Guangzhou Avenue South, Haizhu District, Guangzhou City, Guangdong Province

Patentee before:DIGITAL GUANGDONG NETWORK CONSTRUCTION Co.,Ltd.

CP02Change in the address of a patent holder

[8]ページ先頭

©2009-2025 Movatter.jp