Movatterモバイル変換


[0]ホーム

URL:


CN110728842B - Abnormal driving early warning method based on reasonable driving range of vehicles at intersection - Google Patents

Abnormal driving early warning method based on reasonable driving range of vehicles at intersection
Download PDF

Info

Publication number
CN110728842B
CN110728842BCN201911012566.5ACN201911012566ACN110728842BCN 110728842 BCN110728842 BCN 110728842BCN 201911012566 ACN201911012566 ACN 201911012566ACN 110728842 BCN110728842 BCN 110728842B
Authority
CN
China
Prior art keywords
track
vehicle
intersection
stage
point
Prior art date
Legal status (The legal status is an assumption and is not a legal conclusion. Google has not performed a legal analysis and makes no representation as to the accuracy of the status listed.)
Active
Application number
CN201911012566.5A
Other languages
Chinese (zh)
Other versions
CN110728842A (en
Inventor
吕伟韬
张子龙
周东
李璐
Current Assignee (The listed assignees may be inaccurate. Google has not performed a legal analysis and makes no representation or warranty as to the accuracy of the list.)
Jiangsu Zhitong Transportation Technology Co ltd
Original Assignee
Jiangsu Zhitong Transportation Technology Co ltd
Priority date (The priority date is an assumption and is not a legal conclusion. Google has not performed a legal analysis and makes no representation as to the accuracy of the date listed.)
Filing date
Publication date
Application filed by Jiangsu Zhitong Transportation Technology Co ltdfiledCriticalJiangsu Zhitong Transportation Technology Co ltd
Priority to CN201911012566.5ApriorityCriticalpatent/CN110728842B/en
Publication of CN110728842ApublicationCriticalpatent/CN110728842A/en
Priority to PCT/CN2020/095096prioritypatent/WO2021077760A1/en
Application grantedgrantedCritical
Publication of CN110728842BpublicationCriticalpatent/CN110728842B/en
Activelegal-statusCriticalCurrent
Anticipated expirationlegal-statusCritical

Links

Images

Classifications

Landscapes

Abstract

The abnormal driving early warning method based on the reasonable driving range of the vehicles at the intersection is based on historical monitoring video data, comprehensive analysis is carried out on the tracks of the vehicles at the intersection through a hierarchical algorithm, an LCSS algorithm and a DTW algorithm, and the range of the tracks of the vehicles flowing to the reasonable directions at the intersection is determined, so that real-time abnormal driving vehicle early warning is realized based on the monitoring video, the judgment of illegal behaviors is effectively realized, the abnormality of the intersection can be timely known, the traffic management efficiency is improved, the black point control strength of the intersection is enhanced, and a safe and smooth traffic environment is provided for the intersection.

Description

Abnormal driving early warning method based on reasonable driving range of vehicles at intersection
Technical Field
The invention relates to the field of vehicle driving monitoring, in particular to an abnormal driving early warning method based on a reasonable driving range of vehicles at an intersection.
Background
With the acceleration of the urbanization process, the automobile holding capacity is continuously increased, and the urban road traffic condition becomes very complex. In an urban road network, intersections serve as 'throats' of urban traffic and are the core of the whole urban traffic, and whether vehicles at the intersections run regularly in sequence is a key factor causing traffic accidents and traffic congestion problems, so that how to judge the running tracks of the vehicles at the intersections and realizing early warning of illegal vehicles is one of key points for relieving urban traffic problems at present.
In the development of intelligent traffic at the present stage, the popularization of intelligent equipment of electronic policemen provides effective support conditions for illegal driving of vehicles at intersections, for example, the invention CN201520771567.9 provides a snapshot system for illegal driving of vehicles, and hardware manufacturers such as Hitachi, Dahua and the like realize off-site law enforcement of illegal behaviors such as reverse driving and the like through detection equipment arranged in a road network and the electronic policemen.
At present, the illegal vehicle running is only subjected to early warning and off-site law enforcement aiming at the illegal vehicle running such as 'line pressing', 'reverse' and the like, but in the actual vehicle running, the illegal vehicle running such as 'drilling out' and 'detouring by a left-turn vehicle by using a straight lane' and the like or the abnormal detouring behavior of an intersection are frequently generated, and the abnormal running aggravates the intersection jam problem and the accident.
Disclosure of Invention
The invention provides an abnormal driving early warning method based on the reasonable driving range of vehicles at the intersection aiming at the existing technical problems, the method takes the intersection as a research object, realizes extraction and analysis of the vehicle track at the intersection based on historical monitoring video data, effectively judges the abnormal vehicle track to realize extraction and analysis of the normal vehicle track, further determines the reasonable driving range of the vehicles in each flow direction at the intersection aiming at the normal vehicle track, establishes a normal range database, and carries out early warning on illegal vehicles and abnormal behaviors at the intersection, thereby improving the monitoring efficiency of the intersection and providing effective precautionary measures for traffic accidents and congestion at the intersection.
The abnormal driving early warning method based on the reasonable driving range of the vehicles at the intersection comprises the following steps:
step 1, determining each vehicle track of an intersection based on an intersection monitoring historical video, and classifying vehicle track type modes through hierarchical clustering and intersection canalization;
step 2, extracting and analyzing the reasonable range of the vehicle track in each flow direction of the intersection respectively to realize the reasonable range management of the vehicles at the intersection;
and 3, early warning the passing abnormal running vehicles according to the real-time monitoring video information of the intersection, and monitoring and managing the abnormal conditions of the intersection.
Further, in the step 1, the specific steps are as follows:
step 1-1, based on historical videos of intersection monitoring unit time periods, extracting original track points under different vehicle IDs, marking the original track points as P (f, x, y), wherein f represents a frame number, x and y represent coordinate values, further determining a single vehicle track of the different vehicle IDs through initial data cleaning, and marking the single vehicle track as TR (TR) { P | P }iI is more than or equal to 1 and less than or equal to n, and n is the number of track points };
step 1-2, classifying the vehicle track type modes based on a hierarchical clustering algorithm and intersection channelized information. Specifically, the feature point p is performed on a single vehicle trackiAnd extracting, namely performing vehicle track hierarchical clustering through the Euclidean distance or the LCSS distance, eliminating abnormal vehicle tracks, and realizing vehicle track division according to intersection canalization characteristics.
Further, the step 2 specifically includes the following steps:
and 2-1, extracting a single mode type vehicle track TR, and realizing normal vehicle track extraction and analysis under the mode type through hierarchical clustering.
And 2-2, smoothing the track based on the normal vehicle track screened and extracted in the step 2-1, re-extracting the vehicle track characteristic points, and determining the running range of the vehicle in the single direction.
And 2-3, repeating the steps 2-1 and 2-2 to determine the envelope track of each flow direction of the intersection, and integrating to obtain the reasonable driving range of the vehicle track at the intersection.
Further, the step 2-1 specifically comprises the following sub-steps:
step 2-1-1, based on vehicle trajectory TRjCharacteristic point piTrack similarity lambda and variance alpha of single vehicle track2And the arc length ratio sigma is used as a characteristic numerical value to solve. Wherein i is more than or equal to 1 and less than or equal to n, and n is the number of the track characteristic points; j is more than or equal to 1 and less than or equal to N, and N is the number of vehicle tracks; in particular, the vehicle trajectory TR is solved by the LCSS algorithm or DTW algorithm according to the vehicle trajectory typejSimilarity lambda; based on vehicle trajectory TRjCharacteristic point p ofiDetermines the vehicle track TR by the number of frames and the distance between the feature pointsjAcceleration variance α of2(ii) a Based on vehicle trajectory TRjDetermining the vehicle trajectory TR by the distance between the characteristic pointsjArc length ratioσ;
Step 2-1-2, the vehicle track TRjSimilarity λ, acceleration variance α of2Arc length ratio sigmajPerforming hierarchical clustering on vehicle tracks serving as feature data, dividing the vehicle tracks into three types, namely abnormal driving tracks, abnormal behavior tracks and normal vehicle tracks, further rejecting the abnormal driving tracks and the abnormal behavior tracks, and realizing normal vehicle track data extraction; specifically, each vehicle track TR is integratedjSimilarity of (D) ("lambda")jVariance of acceleration
Figure BDA0002244631280000031
Arc length ratio sigmajAnd dividing the numerical value into three groups of data by using a hierarchical clustering algorithm as a characteristic value, and determining an abnormal driving track, an abnormal behavior track and a normal vehicle track according to the data volume and the dispersion degree epsilon of each group of data. The data with the minimum data volume and the ratio of the number of the groups to the total number of the groups smaller than the abnormal threshold value is defaulted as an abnormal track, and the data with the larger dispersion degree epsilon is defaulted as an abnormal behavior track;
and 2-1-3, performing hierarchical clustering on the normal vehicle tracks in the step 2-1-2 again based on a DTW (delay tolerant shift) algorithm, judging and dividing the normal vehicle tracks and the outlier tracks based on the track number and the dispersion degree epsilon of each cluster after clustering, and extracting the normal vehicle tracks.
Further, the step 2-2 specifically comprises the following sub-steps:
step 2-2-1, normal vehicle track TR extracted by screeningjLower trace point piRealizing the smoothness of the vehicle track, equally selecting and determining new characteristic points p 'of the vehicle track according to the smoothed vehicle track points'i
Step 2-2-2, based on all vehicle trajectories TRjAnd novel characteristic point p'iDetermining a main curve of vehicle operation; specifically, feature points p 'are selected based on each vehicle track'iCorresponding the main curves one by one, determining the central point of the stage i in the same stage i to obtain the main curve TRmidNamely:
Figure BDA0002244631280000041
Figure BDA0002244631280000042
in the formula, TRmidRepresenting a vehicle trajectory master curve; pimidRepresenting the central point of the i-th stage track characteristic point, wherein i is more than or equal to 1 and less than or equal to n, and n represents the number of the selected characteristic points; p'jiRepresenting the new characteristic points of the ith stage track of the jth vehicle track, wherein j is more than or equal to 1 and less than or equal to N, and N represents the total number of the vehicle tracks;
and simultaneously determining outliers of each stage based on the numerical distribution of the distance between each stage and the central point, namely:
Figure BDA0002244631280000043
of formula (II b), dist (p'ji,Pimid) Representing the distance between the characteristic point of j tracks i and the central point of the stage i;
analyzing the distance values of all track points in the stage i, and defaulting the track stage points corresponding to the values which are greater than normal distribution (mu +2 sigma) to be outliers through normal distribution analysis;
step 2-2-3, according to the main curve TRmidAnd a phase point P on the main curveimidDetermining envelope point Q of each stageiThen, two envelope lines are obtained smoothly, and a reasonable driving range of the vehicle track is determined;
further, the step 2-2-3 specifically comprises the following sub-steps:
step 2-2-3-1, according to stage point P on main curveimidDetermining vehicle track points p 'in the same stage'jiWith main curve TRmidIf the point of the track closest to the main curve is not on the main curve TRmidIf so, indicating that the vehicle track points at the stage deviate, and rejecting the vehicle track points, otherwise, turning to the next step;
step 2-2-3-2, track points p 'on each vehicle track which is not deviated in the same stage'jiWith main curve TRmidDistance dist (p'ji,TRmid) Sorting, selecting 80-90% median value as radius distance of envelope curve corresponding to the main curve at the stage, and recording as ri
Step 2-2-3-3, based on the stage point P on the main curveimidDetermining envelope point coordinates Q at the same stageiIs recorded as (x'i,y′i) And in particular,
Figure BDA0002244631280000051
y′i=kix′i+bi
Figure BDA0002244631280000052
Figure BDA0002244631280000053
in formula (II), x'iAnd y'iPoint coordinates representing the envelope at stage i, denoted as Qi
Figure BDA0002244631280000054
And
Figure BDA0002244631280000055
denotes the main curve coordinate in phase i, denoted Pimid;kiRepresents the slope of the envelope in phase i, biRepresenting the intercept of the intersection line of the envelope curve and the main curve in the i stage;
step 2-2-3-4, judging the position relation between the envelope coordinate and the main curve according to the envelope coordinate solved in the previous step; in particular, the main curve point P according to this phaseimidAnd the main curve point of the next stage
Figure BDA0002244631280000056
An envelope threshold ξ is obtained, namely:
Figure BDA0002244631280000057
in formula (II), x'iAnd y'iPoint coordinates representing the envelope at stage i;
Figure BDA0002244631280000061
and
Figure BDA0002244631280000062
representing the main curve coordinates on stage i;
x 'if ξ < 0'iAnd y'iThe point of the envelope curve is on the left side of the main curve, and ξ > 0 represents x'iAnd y'iThe envelope curve point is on the right side of the main curve, otherwise, the envelope curve point is on a straight line intersecting the main curve;
step 2-2-3-5, coordinate Q of envelope curve point of all stage pointsiIntegrating, smoothing envelope track to obtain new envelope characteristic point qs(i) To thereby determine the envelope trajectory TRqAnd the range formed by the two lines is the reasonable driving range of the vehicle track in the mode.
Further, thestep 3 includes the following sub-steps:
step 3-1, determining the running direction and track information of the vehicle according to the real-time monitoring video analysis;
step 3-2, comparing the vehicle track path obtained in the step 3-1 with the reasonable driving range of the vehicle track at the intersection obtained in the step 2; if the vehicle exceeds the driving range, early warning is carried out, and vehicle information is issued to an off-site law enforcement system;
and 3-3, if the ratio of the number of early warning vehicles in the running flow direction in unit time to the total number of passing vehicles is greater than the threshold value of the abnormal condition, early warning the flow direction of the intersection, and simultaneously associating the flow direction to a traffic situation monitoring system or a video monitoring system, so that the alarm of the abnormal condition of the intersection is realized, and the abnormal condition of the intersection is monitored.
The invention achieves the following beneficial effects: compared with the traditional GPS vehicle track clustering abnormal analysis mode, the method provided by the invention realizes extraction and analysis of the vehicle track at the intersection by a hierarchical clustering algorithm on the basis of historical video data, effectively identifies vehicle tracks such as abnormal vehicle tracks, abnormal behavior tracks and outlier tracks, and extracts correct vehicle tracks. Compared with the traditional crossing illegal abnormal early warning mode, the invention extracts and analyzes the correct vehicle track, determines the reasonable driving range of each flow direction vehicle of the crossing, has smaller and more reasonable track interval than the original crossing, effectively warns the abnormal illegal driving vehicle, improves the non-field law enforcement efficiency, reduces the workload of manual examination and verification, and provides a reference index for intelligent identification; meanwhile, the abnormal conditions of the intersection are judged based on the abnormality of a plurality of vehicles, so that remote linkage monitoring is realized, and the supervision efficiency of intersection traffic is improved.
Drawings
Fig. 1 is a schematic step diagram of an abnormal driving early warning method according to the present invention.
FIG. 2 is a schematic diagram of a vehicle track pattern partitioned by hierarchical clustering according to an embodiment of the present invention.
FIG. 3 is a schematic diagram of a single intersection vehicle trajectory extracted according to an embodiment of the present invention.
Detailed Description
The technical scheme of the invention is further explained in detail by combining the drawings in the specification.
The abnormal driving early warning method based on the reasonable driving range of the vehicles at the intersection comprises the following steps:
step 1, determining each vehicle track of the intersection based on the intersection monitoring historical video, and classifying the vehicle track type modes through hierarchical clustering and intersection canalization.
Step 1-1, based on historical videos of intersection monitoring unit time periods, extracting original track points under different vehicle IDs, marking the original track points as P (f, x, y), wherein f represents a frame number, x and y represent coordinate values, further determining a single vehicle track of the different vehicle IDs through initial data cleaning, and marking the single vehicle track as TR (TR) { P | P }iI is more than or equal to 1 and less than or equal to n, and n is the number of track points }; in general, the unit time period is 5 min.
Step 1-2, classifying the vehicle track type modes based on a hierarchical clustering algorithm and intersection channelized information. Specifically, the feature point p is performed on a single vehicle trackiAnd extracting, namely performing vehicle track hierarchical clustering through the Euclidean distance or the LCSS distance, eliminating abnormal vehicle tracks (such as vehicle running tracks of stopping at the intersection, reverse running and the like), and realizing vehicle track division according to intersection canalization characteristics. Generally, taking an intersection as an example, the vehicle trajectory types include 12 types of left turn, straight turn and right turn in the east, south, west and north directions.
And 2, extracting and analyzing the reasonable range of the vehicle track in each flow direction of the intersection respectively, and realizing the reasonable range management of the vehicles at the intersection.
And 2-1, extracting the single-mode type vehicle track TR, and analyzing all tracks under the type through a hierarchical clustering algorithm to realize normal vehicle track extraction.
Step 2-1-1, based on vehicle trajectory TRjCharacteristic point piTrack similarity lambda and variance alpha of single vehicle track2And the arc length ratio sigma is used as a characteristic numerical value to solve. Wherein i is more than or equal to 1 and less than or equal to n, and n is the number of the track characteristic points; j is more than or equal to 1 and less than or equal to N, and N is the number of the vehicle tracks.
In particular, the vehicle trajectory TR is solved by the LCSS algorithm or DTW algorithm according to the vehicle trajectory typejSimilarity lambda; based on vehicle trajectory TRjCharacteristic point p ofiDetermines the vehicle track TR by the number of frames and the distance between the feature pointsjAcceleration variance α of2(ii) a Based on vehicle trajectory TRjDetermining the vehicle trajectory TR by the distance between the characteristic pointsjThe arc length ratio σ.
Wherein, taking LCSS algorithm as an example, the vehicle track TRjThe similarity λ formula is:
Figure BDA0002244631280000081
Figure BDA0002244631280000082
Figure BDA0002244631280000083
Figure BDA0002244631280000084
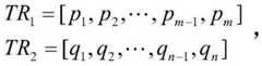
wherein TR is1And TR2Two tracks with the length of m and n are respectively arranged;
Figure BDA0002244631280000085
wherein p isiAnd q isjRespectively represent the coordinates of the characteristic points of the track,
Figure BDA0002244631280000086
in the same way
Figure BDA0002244631280000087
Figure BDA0002244631280000091
Wherein i is more than or equal to 1 and less than or equal to m, j is more than or equal to 1 and less than or equal to n,
Figure BDA0002244631280000092
indicating that the track is empty; dist (p)i,qj) Representing Euclidean distance of two coordinate points, wherein gamma is a similarity threshold value; LCSS (TR)1,TR2) Represents TR1And TR2The longest common subsequence length of the two tracks; dLCSS(TR1,TR2) Is a track TR1And TR2The similarity distance of (2); min (len)TR1,lenTR2) Representing the track TR1Length and TR2The smaller value of the length; dLCSS(TR1,TRl) Represents TR1And TRlThe longest common subsequence similarity distance between, N represents the number of vehicle tracks; lambda [ alpha ]1Represents TR1Phase of vehicle trajectoryA similarity value.
Vehicle track TRjAcceleration variance α of2Comprises the following steps:
Figure BDA0002244631280000093
Figure BDA0002244631280000094
Figure BDA0002244631280000095
in the formula, alphai+1Represents the acceleration of the characteristic point i +1, where fiAnd fi+1Which represents the number of frames,
Figure BDA0002244631280000096
denotes the Euclidean distance, p, between the feature point i and the feature point i +1iAnd pi+1The feature points are represented.
Vehicle track TRjThe arc length ratio σ of the trajectory of (a) is:
Figure BDA0002244631280000097
in the formula, p1、pi、pi+1、pnAll represent vehicle trajectory TRjAn inner feature point;
Figure BDA0002244631280000098
representing the Euclidean distance between the vehicle track characteristic point i and the characteristic point i + 1;
Figure BDA0002244631280000099
representing the Euclidean distance between the characteristic point n of the vehicle root track and the characteristic point 1; n represents the number of characteristic points in the vehicle track, and i is more than or equal to 1 and less than or equal to n.
Step 2-1-2, the vehicle track TRjThe similarity of the two components is lambda,Acceleration variance α2Arc length ratio sigmajAnd performing hierarchical clustering on the vehicle track as characteristic data, dividing the characteristic data into three types, namely abnormal driving track, abnormal behavior track and normal vehicle track, and further removing the abnormal driving track and the abnormal behavior track to realize normal vehicle track data extraction.
Specifically, each vehicle track TR is integratedjSimilarity of (D) ("lambda")jVariance of acceleration
Figure BDA0002244631280000101
Arc length ratio sigmajAnd dividing the numerical value into three groups of data by using a hierarchical clustering algorithm as a characteristic value, and determining an abnormal driving track, an abnormal behavior track and a normal vehicle track according to the data volume and the dispersion degree epsilon of each group of data. The data set with the minimum data volume and the ratio of the data volume to the total number smaller than the abnormal threshold (generally 30%) is defaulted as an abnormal track, and the data set with the greater dispersion degree epsilon is defaulted as an abnormal behavior, wherein the dispersion degree epsilon is as follows:
Figure BDA0002244631280000102
Figure BDA0002244631280000103
Figure BDA0002244631280000104
in the formula, n' is the total number of all vehicle track characteristic points in the divided group; p is a radical ofiIn order to be a characteristic point, the method comprises the following steps of,
Figure BDA0002244631280000105
the cluster center point is the group center of the divided group data;
Figure BDA0002244631280000106
represents piPoint to cluster center point distance.
And 2-1-3, performing hierarchical clustering on the normal vehicle track in the previous step again under the DTW algorithm, and dividing and judging the normal vehicle track and the outlier track.
Specifically, the normal vehicle track in the previous step is extracted, the similarity between every two tracks is determined based on a DTW algorithm, a similarity matrix S [ a ] [ b ] is listed, the vehicle tracks are divided into two types including normal tracks and outlier tracks through hierarchical clustering, the outlier tracks are determined based on the track number or the dispersion degree epsilon, and therefore the normal vehicle track is extracted.
In general, if the number of the two vehicle trajectories a and B is smaller than that of the other vehicle trajectory, and the ratio of the number to the total number is smaller than an abnormal threshold (generally 30%), the one vehicle trajectory is defaulted as an abnormal outlier trajectory, and the other vehicle trajectory is a normal trajectory; otherwise, the discrete degrees epsilon of the two groups of data are respectively solved, and the group of data with large values is defaulted as the abnormal outlier track.
And 2-2, performing track smoothing on the vehicle track screened and extracted in the step 2-1, re-extracting vehicle track characteristic points, and determining the running range of the vehicle in the single direction.
Step 2-2-1, screening and extracting the normal vehicle track TR in the previous stepjLower trace point piRealizing vehicle track smoothing, analyzing and determining new feature point p 'after vehicle track smoothing'i
Specifically, a method such as a moving average, a weighted moving average, and an exponential moving average may be used. The invention selects a sliding average smoothing method, which comprises the following steps:
Figure BDA0002244631280000111
in the formula ps(i) Representing the smoothed vehicle track points: omega is a smoothing index and is determined according to the number of track points of the shortest track in all tracks and the number of feature points needing to be selected, and the omega takes the value of 5 because 10 feature points are selected again.
Further vehicle trajectory bisectionAnd re-selecting a new characteristic point, and recording the new characteristic point as a vehicle track TR ═ P '| P'iI is more than or equal to 1 and less than or equal to n, n is the number of the track feature points }, and generally, ten feature points are selected again.
Step 2-2-2, based on all vehicle trajectories TRjAnd characteristic point p'iA master curve of vehicle operation is determined. Specifically, feature points p 'are selected based on each vehicle track'iCorresponding the main curves one by one, determining the central point of the stage i in the same stage i to obtain the main curve TRmidNamely:
Figure BDA0002244631280000112
Figure BDA0002244631280000113
in the formula, TRmidRepresenting a vehicle trajectory master curve; pimidRepresenting the central point of the i-th stage track feature point, wherein i is more than or equal to 1 and less than or equal to n, and n represents the number of the selected feature points (generally, the value of n is 10); p'jiAnd representing the new characteristic points of the ith stage track of the jth vehicle track, wherein j is more than or equal to 1 and less than or equal to N, and N represents the total number of the vehicle tracks.
And simultaneously determining outliers of each stage based on the numerical distribution of the distance between each stage and the central point, namely:
Figure BDA0002244631280000121
of formula (II b), dist (p'ji,Pimid) And representing the distance between the characteristic point of j tracks i and the central point of the i stage.
And further analyzing the distance numerical values of all track points in the i stage, and defaulting the numerical values which are larger than the normal distribution (mu +2 sigma) to the track stage points as outliers through normal distribution analysis.
Step 2-2-3, according to the main curve TR of the previous stepmidAnd on the main curvePhase point PimidDetermining envelope point Q of each stageiAnd then the envelope curve is obtained smoothly.
Step 2-2-3-1, according to stage point P on main curveimidDetermining vehicle track points p 'in the same stage'jiWith main curve TRmidIf the point of the track closest to the main curve is not on the main curve TRmidAnd if so, indicating that the vehicle track points at the stage deviate, and rejecting the vehicle track points, otherwise, turning to the next step.
Step 2-2-3-2, track points p 'on each vehicle track which is not deviated in the same stage'jiWith main curve TRmidDistance dist (p'ji,TRmid) Sorting, selecting 80-90% median value as radius distance of envelope curve corresponding to the main curve at the stage, and recording as ri
Step 2-2-3-3, based on the stage point P on the main curveimidDetermining envelope point coordinates Q at the same stageiIs recorded as (x'i,y′i). Specifically, the method comprises the following steps:
Figure BDA0002244631280000131
y′i=kix′i+bi
Figure BDA0002244631280000132
Figure BDA0002244631280000133
in formula (II), x'iAnd y'iPoint coordinates representing the envelope at stage i, denoted as Qi
Figure BDA0002244631280000134
And
Figure BDA0002244631280000135
denotes the main curve coordinate in phase i, denoted Pimid;kiRepresents the slope of the envelope in phase i, biRepresenting the intercept of the intersection of the envelope with the main curve at stage i.
And 2-2-3-4, judging the position relation between the envelope coordinate and the main curve according to the envelope coordinate solved in the previous step. In particular, the main curve point P according to this phaseimidAnd the main curve point of the next stage
Figure BDA0002244631280000136
An envelope threshold ξ is obtained, namely:
Figure BDA0002244631280000137
in formula (II), x'iAnd y'iPoint coordinates representing the envelope at stage i;
Figure BDA0002244631280000138
and
Figure BDA0002244631280000139
representing the main curve coordinates on stage i.
X 'if ξ < 0'iAnd y'iThe envelope point shown is to the left of the main curve, and ξ > 0 represents xiAnd yiThe envelope point is to the right of the main curve, and vice versa on the line where the envelope intersects the main curve.
Step 2-2-3-5, coordinate Q of envelope curve point of all stage pointsiIntegrating, smoothing envelope track to obtain new envelope characteristic point qs(i) To thereby determine the envelope trajectory TRqNamely, the reasonable driving range of the vehicle track in the mode (direction) is obtained.
And 2-3, repeating the steps 2-1 and 2-2 to determine the track (the reasonable driving range of the vehicle) of each flow direction envelope line of the intersection, and integrating to obtain the reasonable driving range of the vehicle track of the intersection.
Specifically, taking a conventional intersection as an example, the vehicle reasonable driving ranges of the vehicle trajectories of the vehicle turning left, going straight and turning right in four directions are respectively determined.
And 3, early warning the passing abnormal running vehicles according to the real-time monitoring video information of the intersection, and monitoring and managing the abnormal conditions of the intersection.
And 3-1, analyzing and determining the running direction and track information of the vehicle according to the real-time monitoring video.
Step 3-2, comparing the vehicle track path obtained in the step 3-1 with the reasonable driving range of the vehicle track at the intersection obtained in the step 2; and if the vehicle exceeds the driving range, early warning is carried out, and vehicle information is issued to an off-site law enforcement system.
And 3-2, if the ratio of the number of early warning vehicles and the total number of passing vehicles in the running flow direction in unit time is greater than an abnormal condition threshold value (generally about 50%, the value can be selected according to the actual condition of the intersection), early warning is carried out on the flow direction of the intersection, and meanwhile the flow direction of the intersection can be related to a traffic situation monitoring system or a video monitoring system, so that the alarm of the abnormal condition of the intersection is realized, and the abnormal condition of the intersection is monitored.
The following is illustrated by specific examples:
selecting a certain intersection for research, extracting a monitoring video of the intersection within 5min, determining a vehicle track according to track points, and dividing a vehicle track mode by hierarchical clustering, which is specifically shown in fig. 2.
Further extracting and analyzing the vehicle track at the single intersection, taking the left turn of the south entrance as an example, extracting the abnormal track of the vehicle, and determining a main curve and an envelope curve according to the normal vehicle track and the characteristic points thereof, as shown in fig. 3. Namely, the section between the envelope line 1 and the envelope line 2 in the figure is a reasonable driving range of the south-entry left-turn.
When the left-turn vehicle at the south entrance exceeds the reasonable driving range in the process of driving, early warning is carried out, if the early warning frequency in unit time period (1 hour) exceeds 50% of the vehicle-passing record, association is automatically prompted, and the intersection remote monitoring is realized.
The above description is only a preferred embodiment of the present invention, and the scope of the present invention is not limited to the above embodiment, but equivalent modifications or changes made by those skilled in the art according to the present disclosure should be included in the scope of the present invention as set forth in the appended claims.

Claims (6)

1. An abnormal driving early warning method based on a reasonable driving range of vehicles at an intersection is characterized in that: the method comprises the following steps:
step 1, determining each vehicle track of an intersection based on an intersection monitoring historical video, and classifying vehicle track type modes through a hierarchical clustering algorithm and intersection channelized information;
step 2, extracting and analyzing reasonable driving ranges of vehicle tracks in each flow direction of the intersection respectively to realize reasonable range management of vehicles at the intersection; the step 2 specifically comprises:
step 2-1, extracting a vehicle track of a single mode type, and extracting and analyzing a normal vehicle track under the mode type through hierarchical clustering;
step 2-2, performing track smoothing on the basis of the normal vehicle track screened and extracted in the step 2-1, re-extracting vehicle track characteristic points, and determining a reasonable driving range of the vehicle track in a single direction;
step 2-3, repeating steps 2-1 and 2-2 to determine the envelope track of each flow direction of the intersection, and integrating to obtain the reasonable driving range of the vehicle track at the intersection;
the step 2-1 specifically comprises:
step 2-1-1: based on vehicle trajectory TRjCharacteristic point piTrajectory similarity λ to a single vehicle trajectoryjVariance of acceleration
Figure FDA0003233705300000011
Arc length ratio sigmajSolving as characteristic data; wherein i is more than or equal to 1 and less than or equal to n, and n is the number of the track characteristic points; j is more than or equal to 1 and less than or equal to N, and N is the number of vehicle tracks;
step 2-1-2: track TR of vehiclejTrack similarity λ ofjVariance of acceleration
Figure FDA0003233705300000012
Arc length ratio sigmajPerforming hierarchical clustering on vehicle tracks serving as feature data, dividing the vehicle tracks into three types, namely abnormal driving tracks, abnormal behavior tracks and normal vehicle tracks, further rejecting the abnormal driving tracks and the abnormal behavior tracks, and realizing normal vehicle track data extraction;
step 2-1-3: performing hierarchical clustering again on the normal vehicle tracks obtained in the step 2-1-2, judging and dividing normal vehicle tracks and outlier tracks based on the track number and the discrete degree of each cluster after clustering, and extracting the normal vehicle tracks;
and 3, early warning the passing abnormal running vehicles according to the real-time monitoring video information of the intersection, and monitoring and managing the abnormal conditions of the intersection.
2. The abnormal driving early warning method based on the reasonable driving range of the vehicles at the intersection as claimed in claim 1, wherein: in the step 1, the concrete steps are as follows:
step 1-1, extracting original track points under different vehicle IDs based on historical videos of intersection monitoring unit time periods, marking as P (f, x, y), wherein f represents a frame number, and x and y represent coordinate values, and further determining single vehicle tracks of different vehicle IDs through initial data cleaning;
step 1-2, classifying vehicle track type modes based on a hierarchical clustering algorithm and intersection channelized information; specifically, the feature point p is performed on a single vehicle trackiAnd extracting, namely performing vehicle track hierarchical clustering through the Euclidean distance or the LCSS distance, eliminating abnormal vehicle tracks, and realizing vehicle track division according to intersection canalization characteristics.
3. The abnormal driving early warning method based on the reasonable driving range of the vehicles at the intersection as claimed in claim 1, wherein:
the step 2-1-1 specifically comprises the following steps: solving the vehicle track TR through an LCSS algorithm or a DTW algorithm according to the vehicle track typejTrack similarity λ ofj(ii) a Based on vehicle trajectory TRjCharacteristic point piDetermines the vehicle track TR by the number of frames and the distance between the feature pointsjVariance of acceleration
Figure FDA0003233705300000021
Based on vehicle trajectory TRjDetermining the vehicle trajectory TR by the distance between the characteristic pointsjArc length ratio sigmaj
The step 2-1-2 is specifically as follows: integrating vehicle trajectories TRjTrack similarity λ ofjVariance of acceleration
Figure FDA0003233705300000022
Arc length ratio sigmajThe numerical value is used as a characteristic value, three groups of data are divided by a hierarchical clustering algorithm, and an abnormal driving track, an abnormal behavior track and a normal vehicle track are determined according to the data volume and the dispersion degree epsilon of each group of data; the data set with the minimum data volume and the ratio of the number to the total number smaller than the abnormal threshold value is defaulted as an abnormal driving track, and the data set with the larger dispersion degree epsilon is defaulted as an abnormal behavior track;
and 2-1-3, specifically, performing hierarchical clustering again on the normal vehicle track in the step 2-1-2 based on a DTW algorithm.
4. The abnormal driving early warning method based on the reasonable driving range of the vehicles at the intersection as claimed in claim 1, wherein: the step 2-2 specifically comprises the following sub-steps:
step 2-2-1, normal vehicle track TR1 extracted by screeningmCharacteristic point p ofiRealizing the smoothness of the vehicle track, and equally selecting and determining new characteristic points of the normal vehicle track according to the smoothed vehicle characteristic points;
step 2-2-2, based on all normal vehicle trajectories TR1mDetermining a main curve of the vehicle operation by the new characteristic points; specifically, new characteristic points selected based on each normal vehicle track are in one-to-one correspondence, and the central point of the stage k is determined under the same stage k to obtain a main curve TR of the vehicle trackmidNamely:
Figure FDA0003233705300000031
Figure FDA0003233705300000032
in the formula, TRmidRepresenting a vehicle trajectory master curve;
Figure FDA0003233705300000033
representing the central point of the new characteristic point of the K-th stage track, wherein K is more than or equal to 1 and less than or equal to K, and K represents the number of the selected new characteristic points; p'mkRepresenting new characteristic points of the kth stage track of the mth normal vehicle track, wherein M is more than or equal to 1 and less than or equal to M, and M represents the number of the normal vehicle tracks;
and simultaneously determining outliers of each stage based on the numerical distribution of the distance between each stage and the central point, namely:
Figure FDA0003233705300000041
in the formula (I), the compound is shown in the specification,
Figure FDA0003233705300000042
representing the distance between the new characteristic point of the kth stage track of the mth normal vehicle track and the central point of the new characteristic point of the kth stage track;
analyzing the distance values of all new feature points of the track in the kth stage, and defaulting the track stage points corresponding to the values larger than the normal distribution as outliers through normal distribution analysis;
step 2-2-3, according to the main curve TR of the vehicle trackmidAnd the central point of the new characteristic point of the k-th stage track
Figure FDA0003233705300000043
Determining envelope point coordinates Q of each stagekAnd then two envelope lines are obtained smoothly, and the reasonable driving range of the vehicle track is determined.
5. The abnormal driving early warning method based on the reasonable driving range of the intersection vehicle as claimed in claim 4, wherein: the steps 2-2-3 specifically comprise the following sub-steps:
step 2-2-3-1, according to the central point of new characteristic point of k stage track
Figure FDA0003233705300000044
Determining k stage track new feature point p 'of m normal vehicle track'mkWith main curve TR of vehicle trackmidIf the new characteristic point of the track is not on the main curve TR of the vehicle track at the point where the main curve of the vehicle track is closest to the new characteristic point of the trackmidIf the vehicle track is deviated, the vehicle track is rejected, otherwise, the next step is carried out;
step 2-2-3-2, new characteristic points of the track on each vehicle track which is not deviated in the same stage and the vehicle track main curve TRmidDistance dist (p'mk,TRmid) Sorting, selecting 80-90% median numerical value as the radius distance of the corresponding envelope curve of the main curve of the vehicle track at the stage, and recording as rk
Step 2-2-3-3, based on the central point of the new characteristic point of the k-th stage track
Figure FDA0003233705300000045
Determining envelope point coordinates Q at the same stagekNote (x'k,y'k) To achieve this, in particular,
Figure FDA0003233705300000051
y′k=Kkx′k+bk
Figure FDA0003233705300000052
Figure FDA0003233705300000053
in formula (II), x'kAnd y'kThe point coordinates representing the envelope at the k-th stage, noted,
Figure FDA0003233705300000054
and
Figure FDA0003233705300000055
representing the center point of the new feature point of the k-th stage track
Figure FDA0003233705300000056
The coordinates of (a); kkRepresents the slope of the envelope at the k-th stage, bkRepresenting the intercept of the intersection line of the envelope curve and the vehicle track main curve at the k stage;
step 2-2-3-4, judging the position relation between the envelope coordinate and the vehicle track main curve according to the envelope coordinate solved in the step 2-2-3-3; specifically, the center point of the new feature point is determined according to the k-th stage track
Figure FDA0003233705300000057
And the central point of the new characteristic point of the k +1 stage track
Figure FDA0003233705300000058
An envelope threshold ξ is obtained, namely:
Figure FDA0003233705300000059
xi is a<0 then x'kAnd y'kThe point of the envelope curve is shown on the left side of the main curve of the vehicle track, xi>0 represents x'kAnd y'kThe envelope curve point is on the right side of the vehicle track main curve, otherwise, the envelope curve point is on a straight line intersecting the vehicle track main curve;
step 2-2-3-5, coordinate Q of envelope point of all stageskIntegration, versus envelope trajectorySmoothing is carried out to obtain new characteristic points of the envelope line, thereby determining the track TR of the envelope lineqAnd the range formed by the two envelope lines is the reasonable driving range of the vehicle track.
6. The abnormal driving early warning method based on the reasonable driving range of the vehicles at the intersection as claimed in claim 1, wherein: the step 3 comprises the following sub-steps:
step 3-1, determining the running direction and track information of the vehicle according to the real-time monitoring video analysis of the intersection;
step 3-2, comparing the vehicle running direction and track information obtained in the step 3-1 with the reasonable running range of the vehicle track in each flow direction of the intersection obtained in the step 2; if the vehicle exceeds the reasonable driving range of the vehicle track, early warning is carried out, and vehicle information is issued to an off-site law enforcement system;
and 3-3, if the ratio of the number of early warning vehicles in the running flow direction in unit time to the total number of passing vehicles is greater than the threshold value of the abnormal condition, early warning the flow direction of the intersection, and simultaneously associating the flow direction to a traffic situation monitoring system or a video monitoring system, so that the alarm of the abnormal condition of the intersection is realized, and the abnormal condition of the intersection is monitored.
CN201911012566.5A2019-10-232019-10-23Abnormal driving early warning method based on reasonable driving range of vehicles at intersectionActiveCN110728842B (en)

Priority Applications (2)

Application NumberPriority DateFiling DateTitle
CN201911012566.5ACN110728842B (en)2019-10-232019-10-23Abnormal driving early warning method based on reasonable driving range of vehicles at intersection
PCT/CN2020/095096WO2021077760A1 (en)2019-10-232020-06-09Abnormal driving early warning method on basis of reasonable driving range of vehicle at intersection

Applications Claiming Priority (1)

Application NumberPriority DateFiling DateTitle
CN201911012566.5ACN110728842B (en)2019-10-232019-10-23Abnormal driving early warning method based on reasonable driving range of vehicles at intersection

Publications (2)

Publication NumberPublication Date
CN110728842A CN110728842A (en)2020-01-24
CN110728842Btrue CN110728842B (en)2021-10-08

Family

ID=69221891

Family Applications (1)

Application NumberTitlePriority DateFiling Date
CN201911012566.5AActiveCN110728842B (en)2019-10-232019-10-23Abnormal driving early warning method based on reasonable driving range of vehicles at intersection

Country Status (2)

CountryLink
CN (1)CN110728842B (en)
WO (1)WO2021077760A1 (en)

Families Citing this family (29)

* Cited by examiner, † Cited by third party
Publication numberPriority datePublication dateAssigneeTitle
CN110728842B (en)*2019-10-232021-10-08江苏智通交通科技有限公司Abnormal driving early warning method based on reasonable driving range of vehicles at intersection
CN111540194B (en)*2020-03-232021-08-10深圳奇迹智慧网络有限公司Vehicle monitoring data processing method and device, computer equipment and storage medium
CN111523577A (en)*2020-04-132020-08-11南京烽火星空通信发展有限公司Mass trajectory similarity calculation method based on improved LCSS algorithm
CN111582317B (en)*2020-04-152023-06-30扬州哈工科创机器人研究院有限公司Road positioning method and device
CN111652112B (en)*2020-05-292023-06-30阿波罗智联(北京)科技有限公司Lane flow direction identification method and device, electronic equipment and storage medium
CN111968365B (en)*2020-07-242022-02-15武汉理工大学Non-signalized intersection vehicle behavior analysis method and system and storage medium
CN112070130B (en)*2020-08-252023-03-28西安交通大学Cross-road vehicle matching method and system based on dynamic time warping
WO2022147785A1 (en)*2021-01-082022-07-14华为技术有限公司Autonomous driving scenario identifying method and apparatus
CN112633427B (en)*2021-03-152021-05-28四川大学 A detection method of ultra-high harmonic emission signal based on outlier detection
CN112991749B (en)*2021-05-132021-07-20腾讯科技(深圳)有限公司Vehicle violation identification method and device, medium and electronic equipment
CN113433574B (en)*2021-06-092024-02-06深圳前海微众银行股份有限公司Driving track processing method and device
CN113380049B (en)*2021-07-272023-06-23京东城市(北京)数字科技有限公司Method, device, server and storage medium for detecting vehicle violations
CN113593234B (en)*2021-07-302022-07-19浙江大华技术股份有限公司Method and device for detecting road quality
CN113920722B (en)*2021-09-232023-04-14摩拜(北京)信息技术有限公司Intersection passing state obtaining method and device, electronic equipment and storage medium
CN114116687B (en)*2021-10-132024-12-06国网江西省电力有限公司检修分公司 A vehicle trajectory data cleaning and calibration method
CN113903008B (en)*2021-10-262025-04-29中远海运科技股份有限公司 Illegal vehicle identification method at ramp exit based on deep learning and trajectory tracking
CN114021629B (en)*2021-10-262024-04-05之江实验室Vehicle track motion mode extraction method based on mean dynamic time warping
CN114038195A (en)*2021-11-152022-02-11内蒙古民族大学 A monitoring and detection method of road abnormal events based on trajectory analysis
CN114299433B (en)*2021-12-282025-02-07清华大学 Abnormal driving behavior detection method, training method, device and storage medium
CN114333330B (en)*2022-01-272023-04-25浙江嘉兴数字城市实验室有限公司Intersection event detection system based on road side edge holographic sensing
CN114460613B (en)*2022-01-272025-06-27东风商用车有限公司 A vehicle trajectory compression method
CN114861089A (en)*2022-06-062022-08-05京东城市(北京)数字科技有限公司 Anomaly detection method and device based on spatiotemporal data
CN116363575B (en)*2023-02-152023-11-03南京诚勤教育科技有限公司Classroom monitoring management system based on wisdom campus
CN116767461B (en)*2023-08-252023-12-22太极计算机股份有限公司Ship anchoring behavior detection method and device and electronic equipment
CN118070683B (en)*2024-04-222024-07-23山东师范大学 Logistics and transportation big data collection method and system based on digital twin
CN118278841B (en)*2024-05-312024-10-08湖南省交通科学研究院有限公司 Large-piece transportation supervision and early warning method, system and device based on driving trajectory
CN118474199B (en)*2024-07-112024-09-03西安金路交通工程科技发展有限责任公司Intelligent traffic monitoring and transmission system based on cloud computing
CN118568526B (en)*2024-07-312024-10-25浙江省交通运输科学研究院Comprehensive transportation channel identification method based on cluster analysis
CN118823650B (en)*2024-09-182024-12-10多彩贵州数字科技股份有限公司Coal mine safety production illegal behavior identification method based on video analysis

Citations (9)

* Cited by examiner, † Cited by third party
Publication numberPriority datePublication dateAssigneeTitle
CN103377555A (en)*2012-04-252013-10-30施乐公司Method and system for automatically detecting anomalies at a traffic intersection
CN103903019A (en)*2014-04-112014-07-02北京工业大学Automatic generating method for multi-lane vehicle track space-time diagram
CN104504897A (en)*2014-09-282015-04-08北京工业大学Intersection traffic flow characteristic analysis and vehicle moving prediction method based on trajectory data
CN105551251A (en)*2016-01-192016-05-04华南理工大学No-signalized-intersection motor vehicle conflict probability determining method
CN107204114A (en)*2016-03-182017-09-26中兴通讯股份有限公司A kind of recognition methods of vehicle abnormality behavior and device
CN107644206A (en)*2017-09-202018-01-30深圳市晟达机械设计有限公司A kind of road abnormal behaviour action detection device
CN107766808A (en)*2017-09-302018-03-06北京泓达九通科技发展有限公司The method and system that Vehicle Object motion track clusters in road network space
CN108091133A (en)*2017-11-272018-05-29银江股份有限公司 A method for analyzing vehicle safety driving behavior based on massive traffic data analysis
CN109584558A (en)*2018-12-172019-04-05长安大学A kind of traffic flow statistics method towards Optimization Control for Urban Traffic Signals

Family Cites Families (11)

* Cited by examiner, † Cited by third party
Publication numberPriority datePublication dateAssigneeTitle
US7755509B2 (en)*2007-09-202010-07-13Traffic.Com, Inc.Use of pattern matching to predict actual traffic conditions of a roadway segment
CN103116748B (en)*2013-03-112016-03-23清华大学Based on the method and system of road surface identification identification violation driving behavior
US10522040B2 (en)*2017-03-032019-12-31Kennesaw State University Research And Service Foundation, Inc.Real-time video analytics for traffic conflict detection and quantification
CN106952473A (en)*2017-04-012017-07-14深圳市元征科技股份有限公司Road service system detection method and device
CN107240264B (en)*2017-06-262019-10-22安徽四创电子股份有限公司A kind of non-effective driving trace recognition methods of vehicle and urban road facility planing method
CN107293116B (en)*2017-06-272020-04-14浙江浩腾电子科技股份有限公司 A Traffic Incident Detection System Based on Video Analysis
CN108364461A (en)*2018-01-052018-08-03武汉中科通达高新技术股份有限公司A kind of vehicle driving trace prediction technique
CN108320511B (en)*2018-03-302020-12-29江苏智通交通科技有限公司Urban road traffic sub-area dividing method based on spectral clustering
CN109544909B (en)*2018-10-292021-06-04华蓝设计(集团)有限公司Method for analyzing lane changing behavior of driver based on aerial video vehicle track
CN110299027B (en)*2019-07-122021-12-14山东交通学院 Vehicle lane change monitoring and safety early warning method based on trajectory data and map data
CN110728842B (en)*2019-10-232021-10-08江苏智通交通科技有限公司Abnormal driving early warning method based on reasonable driving range of vehicles at intersection

Patent Citations (9)

* Cited by examiner, † Cited by third party
Publication numberPriority datePublication dateAssigneeTitle
CN103377555A (en)*2012-04-252013-10-30施乐公司Method and system for automatically detecting anomalies at a traffic intersection
CN103903019A (en)*2014-04-112014-07-02北京工业大学Automatic generating method for multi-lane vehicle track space-time diagram
CN104504897A (en)*2014-09-282015-04-08北京工业大学Intersection traffic flow characteristic analysis and vehicle moving prediction method based on trajectory data
CN105551251A (en)*2016-01-192016-05-04华南理工大学No-signalized-intersection motor vehicle conflict probability determining method
CN107204114A (en)*2016-03-182017-09-26中兴通讯股份有限公司A kind of recognition methods of vehicle abnormality behavior and device
CN107644206A (en)*2017-09-202018-01-30深圳市晟达机械设计有限公司A kind of road abnormal behaviour action detection device
CN107766808A (en)*2017-09-302018-03-06北京泓达九通科技发展有限公司The method and system that Vehicle Object motion track clusters in road network space
CN108091133A (en)*2017-11-272018-05-29银江股份有限公司 A method for analyzing vehicle safety driving behavior based on massive traffic data analysis
CN109584558A (en)*2018-12-172019-04-05长安大学A kind of traffic flow statistics method towards Optimization Control for Urban Traffic Signals

Non-Patent Citations (3)

* Cited by examiner, † Cited by third party
Title
A dynamic hierarchical clustering method for trajectory-based unusual video event detection;Jiang F 等;《IEEE Transactions on Image Processing》;20091231;第18卷(第4期);907-913*
基于视频的车辆轨迹聚类分析及异常检测;余忠庆;《中国优秀硕士学位论文全文数据库信息科技辑》;20121015(第10期);I138-2332*
基于轨迹多特征的运动模式学习及异常检测;汤春明;《计算机应用于软件》;20150331;第32卷(第3期);200-204、265*

Also Published As

Publication numberPublication date
WO2021077760A1 (en)2021-04-29
CN110728842A (en)2020-01-24

Similar Documents

PublicationPublication DateTitle
CN110728842B (en)Abnormal driving early warning method based on reasonable driving range of vehicles at intersection
CN110570658B (en)Method for identifying and analyzing abnormal vehicle track at intersection based on hierarchical clustering
CN107085943B (en)Short-term prediction method and system for road travel time
CN108682149B (en)Highway accident black point road section line shape cause analysis method based on binomial Logistic regression
CN107248283A (en)A kind of urban area road network evaluation of running status method of consideration section criticality
CN100468481C (en) Intelligent Analysis System of Urban Traffic Travel Time
CN101599217A (en) A method for judging the traffic status of expressways
CN103235933A (en)Vehicle abnormal behavior detection method based on Hidden Markov Model
CN110634299B (en)Urban traffic state fine division and identification method based on multi-source track data
CN109345832B (en) An urban road overtaking prediction method based on deep recurrent neural network
CN106157624B (en)More granularity roads based on traffic location data shunt visual analysis method
CN114783179B (en) Congestion clustering identification method based on state vector
CN111797768B (en) A method and system for automatic real-time identification of multiple causes of urban road traffic congestion
CN112767684A (en)Highway traffic jam detection method based on charging data
CN112885085B (en) A Convergence Control Strategy Applied to Reconstruction and Expansion of Expressway Construction Area
CN114860700A (en)Missing track filling method and system
CN118314728A (en)Traffic flow dynamic prediction and precision optimization method based on independent thermal coding
CN106803347A (en)Urban intersection traffic state judging method based on RFID data
CN114267173B (en)Multisource data fusion method, device and equipment for space-time characteristics of expressway
CN102890862A (en)Traffic condition analyzing device and method based on vector mode
CN112085951A (en)Traffic state discrimination method, system, storage medium, computer device and application
CN114913447A (en)Police intelligent command room system and method based on scene recognition
CN112562320A (en)Self-adaptive traffic incident detection method based on improved random forest
BaoA multi-index fusion clustering strategy for traffic flow state identification
CN109147320B (en) A method of road traffic status discrimination based on bayonet data

Legal Events

DateCodeTitleDescription
PB01Publication
PB01Publication
SE01Entry into force of request for substantive examination
SE01Entry into force of request for substantive examination
GR01Patent grant
GR01Patent grant

[8]ページ先頭

©2009-2025 Movatter.jp