Movatterモバイル変換


[0]ホーム

URL:


CN110724731A - Method for adding internal reference quantity of nucleic acid copy number in multiplex PCR system - Google Patents

Method for adding internal reference quantity of nucleic acid copy number in multiplex PCR system
Download PDF

Info

Publication number
CN110724731A
CN110724731ACN201911152307.2ACN201911152307ACN110724731ACN 110724731 ACN110724731 ACN 110724731ACN 201911152307 ACN201911152307 ACN 201911152307ACN 110724731 ACN110724731 ACN 110724731A
Authority
CN
China
Prior art keywords
internal reference
target gene
sequencing
amplification
reads
Prior art date
Legal status (The legal status is an assumption and is not a legal conclusion. Google has not performed a legal analysis and makes no representation as to the accuracy of the status listed.)
Pending
Application number
CN201911152307.2A
Other languages
Chinese (zh)
Inventor
浦浩
黄文潘
张亚楠
李阳
Current Assignee (The listed assignees may be inaccurate. Google has not performed a legal analysis and makes no representation or warranty as to the accuracy of the list.)
Hebei Bingyuan Shengkang Medical Technology Co ltd
Original Assignee
Shanghai Bingyuan Medical Technology Co Ltd
Priority date (The priority date is an assumption and is not a legal conclusion. Google has not performed a legal analysis and makes no representation as to the accuracy of the date listed.)
Filing date
Publication date
Application filed by Shanghai Bingyuan Medical Technology Co LtdfiledCriticalShanghai Bingyuan Medical Technology Co Ltd
Priority to CN201911152307.2ApriorityCriticalpatent/CN110724731A/en
Publication of CN110724731ApublicationCriticalpatent/CN110724731A/en
Pendinglegal-statusCriticalCurrent

Links

Images

Classifications

Landscapes

Abstract

The invention provides a method for adding internal reference quantity of nucleic acid copy number in a multiplex PCR system, belonging to the technical field of nucleic acid molecular biology detection; the method comprises the following steps: 1) constructing an internal reference and target gene amplification efficiency coefficient training set to obtain the relationship between the internal reference and the target gene amplification coefficients; 2) adding an internal reference for determining copy number and a primer for amplifying the internal reference into a multiplex PCR system of a target gene, and performing two rounds of multiplex PCR amplification to obtain a sequencing library; 3) sequencing the sequencing library to obtain sequencing data; 4) analyzing the sequencing data to obtain the reads number of the internal reference and the target gene, and calculating the copy number of the target gene by utilizing the relation between the internal reference and the target gene amplification efficiency coefficient obtained in the step 1). The method can rapidly quantify the copy number of the specific nucleic acid gene in the sample, and has high accuracy.

Description

Method for adding internal reference quantity of nucleic acid copy number in multiplex PCR system
Technical Field
The invention belongs to the technical field of nucleic acid molecular biology detection, and particularly relates to a method for adding internal reference quantity of nucleic acid copy number in a multiplex PCR system.
Background
In order to rapidly and accurately quantify the copy number of a particular gene in a nucleic acid sample, a number of techniques have been developed. These techniques have wide applications in detecting and quantifying nucleic acids in food, environmental, clinical, and other types of samples.
One common approach to accomplish such a task is nucleic acid hybridization, which is based on the principle that two nucleic acid strands containing complementary or substantially complementary sequences have the ability to form a double-stranded structure under appropriate conditions, thereby being able to bind specifically. In order to detect and quantify a particular nucleic acid sequence, a labeled probe complementary to the target sequence is prepared. At present, the Quantitative detection of DNA mostly adopts a real-time fluorescent Quantitative polymerase chain reaction (qPCR) technology, but the price is high, and certain technical limitations also exist. Although the quality of the domestic reagents is greatly improved, the sensitivity, accuracy, repeatability and the like of most reagents are far from the sensitivity, accuracy, repeatability and the like of imported high-quality reagents, and the time difference is more obvious when clinical samples with low nucleic acid amount or interfering substances are detected.
With the development of a new generation of high-throughput target sequence capture sequencing technology, represented by the IonPGMTM/ProtonTM series of Life Technologies and Hiseq and Miseq series sequencers of Illumina, the method has the advantages of high throughput, low cost, comprehensive detection variation type, high accuracy and the like which can not be replaced by other Technologies, and is widely applied to various biological researches and medical detection. Compared with the qPCR technology, the method for capturing the target sequence by using the multiple PCR amplification has the obvious advantages of simple operation, low cost, large enrichment of the target DNA sequence in a short time and the like, and greatly shortens the detection process and the detection time. For current nucleic acid detection and quantification methods based on target sequence amplification, it has been a well-known challenge to accurately detect and quantify genes with different genotypes or mutations (e.g., mutations that cause disease). Therefore, a method which is based on the multiple PCR capture technology and can rapidly, accurately and quantitatively detect and quantify the gene copy number in the sample at one time is developed, and the method has market application value.
Disclosure of Invention
In view of the above, the present invention provides a method for adding an internal reference amount of nucleic acid copy number into a multiplex PCR system, which can rapidly quantify the copy number of a specific nucleic acid gene in a sample, and has high accuracy and good universality.
In order to achieve the above purpose, the invention provides the following technical scheme:
the invention provides a method for adding internal reference quantity of nucleic acid copy number in a multiplex PCR system, which comprises the following steps:
1) constructing an internal reference and target gene amplification efficiency coefficient training set to obtain the relationship between the internal reference and the target gene amplification coefficients;
2) adding an internal reference for determining copy number and a primer for amplifying the internal reference into a multiplex PCR system of a target gene, and performing two rounds of multiplex PCR amplification to obtain a sequencing library;
3) sequencing the sequencing library to obtain sequencing data;
4) analyzing the sequencing data to obtain the reads number of the internal reference and the target gene, and calculating the copy number of the target gene by utilizing the relation between the internal reference and the target gene amplification efficiency coefficient obtained in the step 1);
the nucleotide sequence of the internal reference is shown as SEQ ID No. 1.
Preferably, the construction of the training set of the internal reference and target gene amplification efficiency coefficients comprises the following steps:
1.1) respectively diluting a target gene and an internal reference to different concentration gradients, and respectively mixing the target gene and the internal reference with the same concentration to obtain a plurality of template sets;
1.2) adding primers for amplifying a target gene and an internal reference into the template set, and performing two rounds of PCR amplification to obtain a sequencing library;
1.3) sequencing and analyzing the sequencing library to obtain reads of an internal reference gene and a target gene;
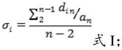
1.4) calculating and obtaining the amplification efficiency coefficients of the internal reference gene and the target gene according to the formula I;
Figure BDA0002283880340000021
wherein σiIs the amplification efficiency of the i-th target gene,dinIs the number of reads of the ith target gene in the nth concentration gradient, anIs the average of reads in the nth concentration gradient test.
Preferably, the different concentration gradients in step 1.1) comprise a total of 5 concentration gradients with copy numbers of 300, 1000, 3000, 10000 and 30000.
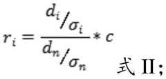
Preferably, the formula for calculating the copy number of the target gene in step 4) is shown in formula II,
Figure BDA0002283880340000031
wherein r isiIs the copy number of the i-th target gene, diIs the reads number obtained by sequencing the ith target gene in the sequencing sample; sigmaiIs the amplification efficiency coefficient of the ith target gene and is obtained by calculation of a formula I; dnIs the reads number of the internal reference; c is the copy number of the added internal reference.
Preferably, the nucleotide sequence of the primer for amplifying the internal reference in the step 2) is shown as SEQ ID No.2 and SEQ ID No. 3.
Preferably, the length of the sequencing in step 3) is greater than PE 50.
Preferably, analyzing the sequencing data in step 4) comprises splitting Barcode, data quality filtering, removing low quality reads and removing non-specific amplification reads.
The invention has the beneficial effects that: the invention provides a method for adding internal reference quantity nucleic acid copy number in a multiplex PCR system, wherein amplification internal reference is added in the multiplex PCR system, so that the phenomenon of false negative in PCR detection can be effectively solved; if the reaction system has no amplification internal reference, the negative result is detected probably because the reaction system has no target gene or because the reaction system has an inhibitor, the PCR instrument has a fault, the reaction system has an error, the polymerase is inactivated and the like. If the amplification internal reference is added into the reaction system, no matter whether a target gene appears in the reaction system or not, a signal of the amplification internal reference always appears, and if the amplification internal reference does not have a signal, the PCR reaction fails, so that the phenomenon of false negative can be effectively solved by adding the amplification internal reference. The internal reference is an artificially synthesized sequence, is very stable in each detection process, and quantifies the copy number of a target gene contained in a detection sample through the internal reference; the method is crucial to the stability and accuracy of the detection of specific genes in a sample; the method can also be combined with unique bioinformatics analysis, can detect the content of the specific genes contained in different samples to be detected at a molecular level with high sensitivity, and has high detection result accuracy.
Drawings
FIG. 1 is a schematic diagram of the main steps of the process of the present invention;
FIG. 2 is a schematic diagram of a template set according to the present invention;
FIG. 3 is a graph showing the amplification efficiency of each target gene involved in the examples.
Detailed Description
The invention provides a method for adding internal reference quantity of nucleic acid copy number in a multiplex PCR system, which comprises the following steps: 1) constructing an internal reference and target gene amplification efficiency coefficient training set to obtain the relationship between the internal reference and the target gene amplification coefficients; 2) adding an internal reference for determining copy number and a primer for amplifying the internal reference into a multiplex PCR system of a target gene, and performing two rounds of multiplex PCR amplification to obtain a sequencing library; 3) sequencing the sequencing library to obtain sequencing data; 4) analyzing the sequencing data to obtain the reads number of the internal reference and the target gene, and calculating the copy number of the target gene by utilizing the relation between the internal reference and the target gene amplification efficiency coefficient obtained in the step 1); the nucleotide sequence of the internal reference is shown as SEQ ID No. 1.
In the invention, a training set of the amplification efficiency coefficients of the internal reference and the target gene is constructed, and the relation between the amplification coefficients of the internal reference and the target gene is obtained. In the invention, the nucleotide sequence of the internal reference is shown as SEQ ID No. 1; the internal reference is an artificially synthesized sequence, and the nucleotide sequence of the internal reference does not match with the nucleotide sequence included in the genome of the currently known biological species; the internal reference is preferably synthesized by a biological synthesis company. The invention has no special limitation on the type and sequence of the target gene, and the target gene to be detected in any organism can be used as the target gene; the present invention is not limited to the number of target genes, and in the specific implementation process, the number, the type, and the like of specific target genes are set according to the detection requirements.
In the invention, the construction of the training set of the internal reference and target gene amplification efficiency coefficients comprises the following steps: 1.1) respectively diluting a target gene and an internal reference to different concentration gradients, and respectively mixing the target gene and the internal reference with the same concentration to obtain a plurality of template sets; 1.2) adding primers for amplifying a target gene and an internal reference into the template set, and performing two rounds of PCR amplification to obtain a sequencing library; 1.3) sequencing and analyzing the sequencing library to obtain reads of an internal reference gene and a target gene; 1.4) calculating and obtaining the amplification efficiency coefficients of the internal reference gene and the target gene according to the formula I;
Figure BDA0002283880340000041
wherein σiIs the amplification efficiency of the i-th target gene, dinIs the number of reads of the ith target gene in the nth concentration gradient, anIs the average of reads in the nth concentration gradient test.
In the invention, after the target gene and the internal reference are respectively diluted to different concentration gradients, the target gene and the internal reference with the same concentration are respectively mixed to obtain a plurality of template sets. In the invention, the different concentration gradients preferably comprise 5 concentration gradients with copy numbers of 300, 1000, 3000, 10000 and 30000, the target genes and the internal references are respectively diluted to the copy numbers of 300, 1000, 3000, 10000 and 30000, and then the target genes and the internal references with the same concentration are mixed to obtain a plurality of template sets; in the present invention, two repetitive treatments are preferably provided for each concentration gradient. The invention sets different concentration gradients to obtain the ratios of the amplification efficiency coefficients of different template concentrations and internal references to each target gene.
After the template set is obtained, primers for amplifying a target gene and an internal reference are added into the template set, and a sequencing library is obtained after two rounds of PCR amplification. In the invention, the nucleotide sequences of the primers for amplifying the internal reference are shown as SEQ ID No.2 and SEQ ID No. 3.
In the invention, the first round of PCR amplification is used for enriching a target gene template and an internal reference template; the system of the first round PCR is calculated by 30 μ l, and preferably comprises the following components: primer Panel Mix 8. mu.l, PCR enzyme 10. mu.l, H2O11. mu.l, internal amplification standard (5 gradient concentrations) 1. mu.l. The amplification procedure of the first round of PCR is preferably as follows: 3min at 95 ℃; (95 ℃ C., 20 s; 60 ℃ C., 4min) for 22cycles, 72 ℃ C., 4min, and 10 ℃ C. After the first round of PCR amplification is finished, preferably purifying PCR amplification products, wherein the purification is preferably carried out by adopting a PCR amplification product purification kit; the PCR amplification product purification kit preferably adopts an Ampure XP magnetic bead purification kit. In the invention, the purification can effectively enrich target region fragments and reduce the concentration of nonspecific amplification.
After obtaining a purified amplification product of the first round of PCR, performing second round PCR amplification by taking the purified amplification product of the first round of PCR as a template; the second round PCR amplification reaction system is calculated by 30 μ l, and preferably comprises the following components: h218. mu.l of O, 10. mu.l of PCR enzyme, 1. mu.l of 2PCRPrimer F, 1. mu.l of 2PCR BarcodeXX R. The procedure for the second round of PCR amplification reaction is preferably as follows: 3min at 95 ℃; (95 ℃, 15 s; 58 ℃, 15 s; 72 ℃, 1min) 6-8 cycles; keeping at 72 deg.C for 5min and 10 deg.C. The ligated sequencing adapters were as follows:
2PCR PrimerF: 5 '-CCTCTCTATGGGCAGTCGGTGAT-universal sequence-3'; (SEQ ID No.2)
2PCR BarcodeXX R:
5-CCATCTCATCCCTGCGTGTCTCCGACTCAGNNNNNNNNGAT-universal sequence-3' (SEQ ID No. 3);
n in the sequence represents any base of AGCT, and NNNNNN is used for identifying libraries constructed by different samples; the universal primer is a sequencing universal primer, and the nucleotide sequence is GTGACTGGAGTTCCTTGGCACCCGAGA (SEQ ID No. 4). In the invention, the second round of PCR amplification is used for connecting the sequence of the target gene template after enrichment and an internal reference template with a sequencing library joint. In the present invention, it is preferable that the method further comprises a step of purifying the second round PCR product after the second round PCR amplification, and the purification of the second round PCR product is the same as the purification method of the first round PCR product, and is not described herein again.
According to the invention, a sequencing library is obtained after the second round of PCR amplification, and the reads number of the internal reference and target genes is obtained after the sequencing library is sequenced and analyzed. In the invention, the sequencing library is preferably subjected to quality inspection, and the quality inspection of the sequencing library has no special requirement and can be realized by adopting the conventional library quality inspection steps and standards in the field; in the present invention, the length of the sequencing is preferably greater than that of PE50, and the depth of the sequencing is preferably such that more than 1000 reads can be obtained for each target gene. In the present invention, the analysis includes Barcode resolution, data quality filtering, removal of low quality reads, and removal of non-specific amplification reads. The method and parameter requirements for the analysis are not particularly limited in the present invention, and conventional analysis methods and parameter requirements in the art may be employed.
According to the invention, the amplification efficiency coefficients of the internal reference and the target gene are obtained by calculation according to the reads numbers of the internal reference and the target gene obtained by analysis and the formula I, so that the relation between the amplification coefficients of the internal reference and the target gene is obtained.
In the invention, after adding an internal reference for determining copy number and a primer for amplifying the internal reference into a multiplex PCR system of a target gene, two rounds of multiplex PCR amplification are carried out to obtain a sequencing library. The number of copies of the internal parameter to be added is not particularly limited, and a known and determined number of copies, for example, 300 copies, may be used. The amplification system and the amplification procedure of the two-round multiplex PCR amplification in the present invention are the same as those in step 1.2) above, and will not be described herein.
After the sequencing library is obtained, the sequencing library is sequenced to obtain sequencing data. The invention analyzes the sequencing data to obtain the reads number of the internal reference and the target gene, and calculates the copy number of the target gene by utilizing the relation between the internal reference and the target gene amplification efficiency coefficient obtained in the steps. In the present invention, analyzing the sequencing data includes resolving Barcode, data quality filtering, removing low quality reads, and removing non-specific amplification reads.
In the invention, the formula for calculating the copy number of the target gene is shown as a formula II,
wherein r isiIs the copy number of the i-th target gene, diIs the reads number obtained by sequencing the ith target gene in the sequencing sample; sigmaiIs the amplification efficiency coefficient of the ith target gene and is obtained by calculation of a formula I; dnIs the reads number of the internal reference; c is the copy number of the added internal reference.
The technical solutions provided by the present invention are described in detail below with reference to examples, but they should not be construed as limiting the scope of the present invention.
Example 1
Screening and preparation of internal reference
The candidate sequences were compared with the NCBI database by blast, and a universal reference was screened and named IAC.
>IAC
TACAGCACCCTAGCTTGGTAGAATCGATCAGCTACGTGAGGTCCTACGACGATCGCCAAGCATGCCCTAGCTAAGATGCATCGATTGCTCATCACGTACGTTAGGTCGACTAGGAGGACTGGAGTGCATCGACTAGCTAAGATGGTTCGATTGCTCATCACGAAGGTTAGGTCGACTACGAACGAGTCGTACGTTAGGTT(SEQ ID No.1)
The IAC sequence is not aligned at the NCBI with sequences from other currently known species.
This sequence was artificially synthesized and constructed into a vector pUC57, which was then used by Probe Synthesis.
After the artificial sequence IAC plasmid sequence is synthesized, M13 universal vector primer is used for preliminary amplification, and the step can amplify the non-linear plasmid into linear double-stranded DNA. The amplification product of M13 was quantified using Qbit and then diluted to the desired copy number. The conversion can be carried out according to the following formula:
Figure BDA0002283880340000081
where m is the corresponding mass value and n is the number of copies to be diluted.
For example, in the case of 3000 copies, only 1.217 × 10 copies are required-6ng M13 amplification product, diluted 10 to the power of 6 times with 1.217ng IAC M13 amplification product.
Construction of training set of internal reference and amplification efficiency coefficient of each target gene
(1) First, a set of templates with different concentration gradients was constructed.
A template set of the internal reference and each target gene is constructed under the condition of 5 copy numbers such as 300, 1000, 3000, 10000, 30000 and the like.
(2) And (3) respectively adding corresponding PCR primers and primers corresponding to internal reference IAC into different template sets in the step (1) to construct a first round of PCR system. Wherein, the primer Panel Mix is 8 μ l, the PCR enzyme is 10 μ l, and H2O11. mu.l, internal amplification standard (5 gradient concentrations) 1. mu.l; total 30. mu.l of amplification system.
(3) The first round of pcr was enriched for the target gene as well as the reference sequence. And (3) fully and uniformly mixing the amplification system in the step (2), centrifuging for a short time, and putting the mixture on a PCR instrument. Amplification was performed according to the following PCR reaction procedure: 3min at 95 ℃; 22cycles (95 ℃ for 20s, 60 ℃ for 4min), 72 ℃ for 4min, 10 ℃ Hold.
(4) And purifying the first round amplification product, screening target fragments, and filtering out dimer and other non-specific amplifications. After the target fragments are obtained by the first round of PCR, the Ampure XP magnetic bead purification kit or other kits with equivalent functions are purified, redundant PCR primers and dimers are removed, the fragments in the target region are effectively enriched, and the concentration of nonspecific amplification is reduced.
The method comprises the following specific steps: 1) adding 15ul of AMPure XP Beads into the PCR reaction solution, blowing and beating the mixture up and down by using a pipette so as to fully and uniformly mix the amplification product and the AMPure XP Beads, and standing the mixture for 1 to 2 minutes at room temperature. 2) The magnetic beads are attracted by a strong magnet or magnetic stand until the solution is clear. 3) Pipette up the supernatant to a new EP tube (retain supernatant) to avoid attracting to magnetic beads. 4) Adding 36ul of AMPureXP Beads to the new supernatant; and (4) blowing and beating up and down by using a pipette to fully and uniformly mix the amplification product and the AMPureXP Beads. Standing for 1-2 minutes at room temperature. 5) The magnetic beads are attracted by a strong magnet or magnetic stand until the solution is clear. Carefully pipette the supernatant, discard the supernatant, and retain the beads. 6) Add 40ul BW17, vortex uniformly, and let stand at room temperature for 1-2 minutes. 7) And (5) repeating the step, adding 100ul of 70% ethanol, and repeatedly adsorbing the magnetic beads back and forth on different two surfaces by using a magnetic rack so as to fully suspend the magnetic beads for washing. 8) And (5) repeating the step. 9) Standing at room temperature until ethanol is completely volatilized.
(5) And performing second round PCR on the recovery product of the target region, and connecting a corresponding sequencing linker and the barcode. The second round of PCR reaction system is as follows: h2O18. mu.l, PCR enzyme 10. mu.l, 2PCR PrimerF 1. mu.l, 2PCR BarcodeXX R1. mu.l. The PCR reaction program was run: 3min at 95 ℃; 6-8cycles (95 ℃ 15s, 58 ℃ 15s, 72 ℃ 1min), 72 ℃ 5min, 10 ℃ Hold. The ligated sequencing adapters were as follows:
2 PCRPrimerF: 5 '-CCTCTCTATGGGCAGTCGGTGAT-universal sequence-3';
2PCR BarcodeXX R: 5 '-CCATCTCATCCCTGCGTGTCTCCGACTCAGNNNNNNNNGAT-universal sequence-3';
n in the sequence represents AGCT arbitrary base, NNNNNNNN is used for identifying libraries constructed by different samples, and the universal sequence is GTGACTGGAGTTCCTTGGCACCCGAGA.
(6) And purifying the second round PCR amplification product. And purifying the obtained product by using an Ampure XP magnetic bead purification kit or other kits with equivalent functions. The purification steps are as follows: 1) and adding 30 mu l of AMPure XPBeads into the PCR product, and blowing and beating the product up and down by using a pipette so as to fully and uniformly mix the recovered product with the AMPure XPBeads. The mixture was allowed to stand at room temperature for 2 minutes. 2) The beads were attracted with a strong magnet or magnetic stand for 2 minutes until the solution cleared. 3) Carefully pipette the supernatant, discard the supernatant, and retain the beads. 4) Add 40. mu.l BW12, vortex well and let stand at room temperature for 2 minutes. 5) The beads were attracted with a magnet or magnetic stand for 2 minutes until the solution cleared. And (5) repeating the step (3). Add 100. mu.l 70% ethanol, repeatedly adsorb the beads to and fro on different sides using a magnetic rack to suspend the beads sufficiently for washing, and carefully remove the supernatant with a pipette. 6) Standing at room temperature until ethanol is completely volatilized. The magnetic beads in the step can also be placed in a 50-DEG oven for about 5 minutes, and the ethanol is quickly evaporated to dryness. 7) Mu.l of Elution Buffer (water may be used instead) was added, the magnetic beads were sufficiently suspended, and allowed to stand at room temperature for 2min to elute the DNA. And adsorbing the magnetic beads by using a magnet, adsorbing 20 mu l of the obtained supernatant DNA solution into a new 1.5ml centrifuge tube, directly using the product in a subsequent test or storing the product at-20 ℃, and using the residual library in the PCR tube for electrophoretic quality inspection.
(6) Library quality inspection
(6.1) library electrophoresis: the remaining library in the PCR tube was analyzed by electrophoresis. 1% agarose gel (containing 1XGelred) was prepared, and the electrophoresis buffer was run for 25 minutes using 1 XTBE at constant pressure 100V. The loading amount was at least 3. mu.l, and Marker used MarkerI (Tiangen). The correct library fragments had an average size of 400bp and primer dimers in the range of 100-200 bp.
(6.2) library quantification: mu.l of library elution product is taken, 198 mu.l of the Qubit dye (diluted to working concentration) is added, the mixture is fully and uniformly mixed and incubated for 2min in the dark, and then a Qubit instrument is used for quantification.
(7) Mixing warehouse preparation and machine
All libraries were mixed by mass (ng) number 1:1 according to the quantification results.
A sequencing platform: Illumina-Miseq.
The kit comprises: miseq reagent Nano Kit, v2(300cycles)
Sequencing mode: PE150
Sequencing depth: 1000x
(8) Off-line data base filtering analysis
And (3) removing sequencing joints in the offline data reads by adopting cutadapt software, wherein Q20 is less than 85% of the reads and contains more N, matching the reads by using primers, and removing the reads subjected to primer non-specific amplification by using a matching result.
(9) And comparing the data with a template to determine the reads number of the target gene.
The sequence of the PCR-simulated amplification product is constructed into a reference fasta file of the multi-target gene in advance according to the designed primer.
And (3) comparing the sequencing reads with a reference fasta file by using bwa software, and regarding the reads with mismatches of not more than 10 percent of the total length as the target gene on the comparison.
After the alignment is completed, the number of reads of each target gene alignment can be directly counted, including reads of internal references.
(10) And calculating the amplification efficiency of the internal reference of each target gene.
And (4) calculating the amplification efficiency of the internal reference target genes according to the calculation formula of the formula I and the numbers of reads obtained by the comparison of the target genes.
As shown in FIG. 3, the amplification efficiency distribution of each internal reference and each target gene is shown in Table 1, which shows the amplification efficiency coefficients of the target gene and the internal reference obtained.
Table 1 shows the amplification efficiency coefficients of the respective target genes and the internal reference
Figure BDA0002283880340000111
Figure BDA0002283880340000121
Quantitative calculation of target gene of detection sample by using internal reference and amplification efficiency training set
After a training set of the internal reference and the amplification efficiency of each target gene is constructed, the synthesized artificial internal reference IAC can be added into a detection sample to quantify the detected target gene.
The specific detection process is as follows:
(1) and constructing a first round PCR system. Wherein, the primer Panel Mix is 8 mul, the PCR enzyme is 10 mul, the H2O 3 mul, the internal reference IIAC is artificially synthesized to be 1 mul (300 copies), and the sample DNA to be detected is 8 mul; a total of 30ul of amplification system.
And (3) fully and uniformly mixing after a PCR system is constructed, centrifuging for a short time, and putting the mixture on a PCR instrument. Amplification was performed according to the following PCR reaction procedure: 3min at 95 ℃; 22cycles (95 ℃ for 20s, 60 ℃ for 4min), 72 ℃ for 4min, 10 ℃ Hold.
(2) The first round amplification product was purified. And (4) constructing a training set of amplification efficiency coefficients of all target genes by the method with internal reference.
(3) A second round of pcr was performed, followed by sequencing. The method is the same as the step (5) in the construction of training sets of amplification efficiency coefficients of all target genes.
(4) The second round pcr product was purified. And (6) constructing a training set of internal reference and amplification efficiency coefficients of each target gene.
(5) And (7) performing library quality inspection and sequencing on the constructed library, wherein the method is the same as the step (7) in the construction of the training set of the amplification efficiency coefficient of each target gene.
(6) And (3) performing basic analysis on off-line data, including removing sequencing joints by using cutadapt, removing low-quality and the like, and performing filtration, wherein the method is similar to the step (8) in the construction of the training set of the amplification efficiency coefficients of the internal reference and each target gene. And (3) comparing reads to the reference sequence and the template sequence by adopting bwa software according to the rule of the step (9) in the construction of the internal reference and each target gene amplification efficiency coefficient training set, and counting the reads number of the internal reference template and the reads number of each target gene. Table 2 shows the numbers of reads of each target gene and internal reference obtained in the example of the sample to be tested
TABLE 2 the number of reads for each target gene and reference obtained in the test sample example
Figure BDA0002283880340000131
(7) Quantification of target genes in detection samples by using artificial internal reference and amplification efficiency training set
According to Table 2, the number of reads of the amplified reference in this test was 43, and the number of reads of the target gene of the genus Streptococcus "was 5598. The read numbers of other target genes are all 0. From the correction factors and the formula II in Table 1, it can be deduced that the copy number of the target gene of the genus Streptococcus digesta is ri228641 copies. That is, the detected nucleic acid contained 228641 copies of the nucleic acid of "Peptostreptococcus".
Figure BDA0002283880340000141
In conclusion, the method of the invention can be used for absolute quantification of the target gene, clearly determine the number of copies of the target gene nucleic acid in the DNA sample to be detected, and simultaneously can be used for detecting a plurality of target genes.
The foregoing is only a preferred embodiment of the present invention, and it should be noted that, for those skilled in the art, various modifications and decorations can be made without departing from the principle of the present invention, and these modifications and decorations should also be regarded as the protection scope of the present invention.
Sequence listing
<110> Shanghai Bingyuan medical science and technology Co., Ltd
<120> a method for adding internal reference amount of nucleic acid copy number in multiplex PCR system
<141>2019-10-31
<160>4
<170>SIPOSequenceListing 1.0
<210>1
<211>200
<212>DNA
<213>Artificial Sequence
<400>1
tacagcaccc tagcttggta gaatcgatca gctacgtgag gtcctacgac gatcgccaag 60
catgccctag ctaagatgca tcgattgctc atcacgtacg ttaggtcgac taggaggact 120
ggagtgcatc gactagctaa gatggttcga ttgctcatca cgaaggttaggtcgactacg 180
aacgagtcgt acgttaggtt 200
<210>2
<211>23
<212>DNA
<213>Artificial Sequence
<400>2
cctctctatg ggcagtcggt gat 23
<210>3
<211>41
<212>DNA
<213>Artificial Sequence
<400>3
ccatctcatc cctgcgtgtc tccgactcag nnnnnnnnga t 41
<210>4
<211>27
<212>DNA
<213>Artificial Sequence
<400>4
gtgactggag ttccttggca cccgaga 27

Claims (7)

1. A method for adding an internal reference amount of nucleic acid copy number in a multiplex PCR system, comprising the steps of:
1) constructing an internal reference and target gene amplification efficiency coefficient training set to obtain the relationship between the internal reference and the target gene amplification coefficients;
2) adding an internal reference for determining copy number and a primer for amplifying the internal reference into a multiplex PCR system of a target gene, and performing two rounds of multiplex PCR amplification to obtain a sequencing library;
3) sequencing the sequencing library to obtain sequencing data;
4) analyzing the sequencing data to obtain the reads number of the internal reference and the target gene, and calculating the copy number of the target gene by utilizing the relation between the internal reference and the target gene amplification efficiency coefficient obtained in the step 1);
the nucleotide sequence of the internal reference is shown as SEQ ID No. 1.
2. The method of claim 1, wherein the construction of the training set of internal reference and target gene amplification efficiency coefficients comprises the following steps:
1.1) respectively diluting a target gene and an internal reference to different concentration gradients, and respectively mixing the target gene and the internal reference with the same concentration to obtain a plurality of template sets;
1.2) adding primers for amplifying a target gene and an internal reference into the template set, and performing two rounds of PCR amplification to obtain a sequencing library;
1.3) sequencing and analyzing the sequencing library to obtain reads of an internal reference gene and a target gene;
1.4) calculating and obtaining the amplification efficiency coefficients of the internal reference gene and the target gene according to the formula I;
Figure FDA0002283880330000011
wherein σiIs the amplification efficiency of the i-th target gene, dinIs the number of reads of the ith target gene in the nth concentration gradient, anIs the average of reads in the nth concentration gradient test.
3. The method according to claim 2, wherein the different concentration gradients in step 1.1) comprise a total of 5 concentration gradients with copy numbers of 300, 1000, 3000, 10000 and 30000.
4. The method of claim 1, wherein the formula for calculating the copy number of the target gene in step 4) is shown in formula II,
Figure FDA0002283880330000021
wherein r isiIs the copy number of the i-th target gene, diIs the reads number obtained by sequencing the ith target gene in the sequencing sample; sigmaiIs the amplification efficiency coefficient of the ith target gene and is obtained by calculation of a formula I; dnIs the reads number of the internal reference; c is the copy number of the added internal reference.
5. The method according to claim 1 or 2, wherein the nucleotide sequence of the primers for the amplification of the internal reference in step 2) is shown as SEQ ID No.2 and SEQ ID No. 3.
6. The method of claim 1, wherein the length of the sequencing in step 3) is greater than PE 50.
7. The method of claim 1, wherein analyzing the sequencing data in step 4) comprises splitting Barcode, data quality filtering, removing low quality reads, and removing non-specific amplification reads.
CN201911152307.2A2019-11-222019-11-22Method for adding internal reference quantity of nucleic acid copy number in multiplex PCR systemPendingCN110724731A (en)

Priority Applications (1)

Application NumberPriority DateFiling DateTitle
CN201911152307.2ACN110724731A (en)2019-11-222019-11-22Method for adding internal reference quantity of nucleic acid copy number in multiplex PCR system

Applications Claiming Priority (1)

Application NumberPriority DateFiling DateTitle
CN201911152307.2ACN110724731A (en)2019-11-222019-11-22Method for adding internal reference quantity of nucleic acid copy number in multiplex PCR system

Publications (1)

Publication NumberPublication Date
CN110724731Atrue CN110724731A (en)2020-01-24

Family

ID=69224640

Family Applications (1)

Application NumberTitlePriority DateFiling Date
CN201911152307.2APendingCN110724731A (en)2019-11-222019-11-22Method for adding internal reference quantity of nucleic acid copy number in multiplex PCR system

Country Status (1)

CountryLink
CN (1)CN110724731A (en)

Cited By (3)

* Cited by examiner, † Cited by third party
Publication numberPriority datePublication dateAssigneeTitle
CN111455092A (en)*2020-05-272020-07-28中国农业大学 Internal reference strain for quantitative PCR detection of Verticillium dahliae and its application
CN111607639A (en)*2020-05-082020-09-01深圳华大因源医药科技有限公司Method and device for quantitative detection of metagenome pathogens based on internal reference
CN112251501A (en)*2020-10-282021-01-22深圳人体密码基因科技有限公司Reference gene set and screening method thereof, universal primer group, kit, reaction system and application

Citations (6)

* Cited by examiner, † Cited by third party
Publication numberPriority datePublication dateAssigneeTitle
US20030165832A1 (en)*2000-03-312003-09-04Gregor SagnerMethod for the efficiency-corrected real-time quantification of nucleic acids
US20040175733A1 (en)*2002-12-042004-09-09Andersen Mark R.Multiplex amplification of polynucleotides
CN102952877A (en)*2012-08-062013-03-06深圳华大基因研究院Method and system for detecting alpha-globin gene copy number
CN108103164A (en)*2018-01-222018-06-01东华大学A kind of method that copy number variation is detected using multi-fluorescence competitive PCR
US20180216163A1 (en)*2012-11-262018-08-02The University Of ToledoMethods for standardized sequencing of nucleic acids and uses thereof
CN110387410A (en)*2018-04-192019-10-29深圳华大生命科学研究院 A detection method for mitochondrial copy number and sequence variation

Patent Citations (6)

* Cited by examiner, † Cited by third party
Publication numberPriority datePublication dateAssigneeTitle
US20030165832A1 (en)*2000-03-312003-09-04Gregor SagnerMethod for the efficiency-corrected real-time quantification of nucleic acids
US20040175733A1 (en)*2002-12-042004-09-09Andersen Mark R.Multiplex amplification of polynucleotides
CN102952877A (en)*2012-08-062013-03-06深圳华大基因研究院Method and system for detecting alpha-globin gene copy number
US20180216163A1 (en)*2012-11-262018-08-02The University Of ToledoMethods for standardized sequencing of nucleic acids and uses thereof
CN108103164A (en)*2018-01-222018-06-01东华大学A kind of method that copy number variation is detected using multi-fluorescence competitive PCR
CN110387410A (en)*2018-04-192019-10-29深圳华大生命科学研究院 A detection method for mitochondrial copy number and sequence variation

Non-Patent Citations (1)

* Cited by examiner, † Cited by third party
Title
D M DEER等: "A versatile internal control for use as DNA in real-time PCR and as RNA in real-time reverse transcription PCR assays", 《LETTERS IN APPLIED MICROBIOLOGY》*

Cited By (4)

* Cited by examiner, † Cited by third party
Publication numberPriority datePublication dateAssigneeTitle
CN111607639A (en)*2020-05-082020-09-01深圳华大因源医药科技有限公司Method and device for quantitative detection of metagenome pathogens based on internal reference
CN111607639B (en)*2020-05-082024-10-18深圳华大因源医药科技有限公司Method and device for quantitative detection of metagenomic pathogens based on internal reference
CN111455092A (en)*2020-05-272020-07-28中国农业大学 Internal reference strain for quantitative PCR detection of Verticillium dahliae and its application
CN112251501A (en)*2020-10-282021-01-22深圳人体密码基因科技有限公司Reference gene set and screening method thereof, universal primer group, kit, reaction system and application

Similar Documents

PublicationPublication DateTitle
US20210403991A1 (en)Sequencing Process
CN110129415B (en)NGS library-building molecular joint and preparation method and application thereof
CN106048009B (en)Label joint for ultralow frequency gene mutation detection and application thereof
CN111808854B (en) Equilibrium linker with molecular barcode and method for rapid construction of transcriptome library
CN110878334B (en) Primers for amplicon sequencing and two-step PCR library construction method
CN110724731A (en)Method for adding internal reference quantity of nucleic acid copy number in multiplex PCR system
CN114277096B (en)Method and kit for identifying thalassemia alpha anti4.2 heterozygotes and HK alpha heterozygotes
CN114736951B (en) A method for constructing a high-throughput sequencing library for small RNA
WO2012037881A1 (en)Nucleic acid tags and use thereof
CN109486923A (en)The construction method of multiplex amplification sequencing primer system, its application and sequencing library
CN117265135A (en)Application of reagent for detecting SNP molecular markers related to pigeon weight and corresponding method
CN116732151A (en)Target detection semi-quantitative method of multiple PCR system
CN108932401B (en)Identification method of sequencing sample and application thereof
CN114507749B (en)Primer group, kit and method for accurately detecting transgenic components of corn
Gazestani et al.circTAIL-seq, a targeted method for deep analysis of RNA 3′ tails, reveals transcript-specific differences by multiple metrics
CN108707648A (en)The detection method and detection kit of PKD1 genes and PKD2 gene mutations
US11104898B2 (en)Compositions and methods that are useful for identifying allele variants that modulate gene expression
CN102952895B (en)Method for detecting unknown viruses through utilizing sequencing technology
CN117757979B (en)Primer group, kit and identification method for identifying soybean varieties
CN107354209B (en)Combinatorial tags, linkers and methods for determining nucleic acid sequences containing low frequency mutations
CN105316320A (en)DNA tags, PCR primer and application thereof
CN109609694B (en)Kit and method for detecting hepatitis B typing and multiple drug-resistant sites based on Illumina sequencing technology
CN115807068A (en) A quality inspection method and high-throughput sequencing method for adapter primers for high-throughput sequencing
CN114891868A (en) A microbial quantitative method and kit based on NGS platform
CN109694864B (en)Sequencing joint based on click chemistry, double-barcode sequencing library and construction method thereof

Legal Events

DateCodeTitleDescription
PB01Publication
PB01Publication
SE01Entry into force of request for substantive examination
SE01Entry into force of request for substantive examination
TA01Transfer of patent application right
TA01Transfer of patent application right

Effective date of registration:20240207

Address after:No. G304, Building 4, Jide Science and Technology Park, No. 196 Hengshan Street, High tech Zone, Shijiazhuang City, Hebei Province, 050000

Applicant after:Hebei Bingyuan Shengkang Medical Technology Co.,Ltd.

Country or region after:China

Address before:201800 J, building 6, 1288 Yecheng Road, Jiading District, Shanghai

Applicant before:Shanghai Bingyuan Medical Technology Co.,Ltd.

Country or region before:China


[8]ページ先頭

©2009-2025 Movatter.jp