Movatterモバイル変換


[0]ホーム

URL:


CN110718094A - Collision early warning method, device and equipment - Google Patents

Collision early warning method, device and equipment
Download PDF

Info

Publication number
CN110718094A
CN110718094ACN201911035603.4ACN201911035603ACN110718094ACN 110718094 ACN110718094 ACN 110718094ACN 201911035603 ACN201911035603 ACN 201911035603ACN 110718094 ACN110718094 ACN 110718094A
Authority
CN
China
Prior art keywords
terminal
target object
information
motion state
early warning
Prior art date
Legal status (The legal status is an assumption and is not a legal conclusion. Google has not performed a legal analysis and makes no representation as to the accuracy of the status listed.)
Pending
Application number
CN201911035603.4A
Other languages
Chinese (zh)
Inventor
曹增良
陈新
冯秋维
Current Assignee (The listed assignees may be inaccurate. Google has not performed a legal analysis and makes no representation or warranty as to the accuracy of the list.)
BAIC Motor Co Ltd
Beijing Automotive Group Co Ltd
Beijing Automotive Research Institute Co Ltd
Original Assignee
BAIC Motor Co Ltd
Beijing Automotive Research Institute Co Ltd
Priority date (The priority date is an assumption and is not a legal conclusion. Google has not performed a legal analysis and makes no representation as to the accuracy of the date listed.)
Filing date
Publication date
Application filed by BAIC Motor Co Ltd, Beijing Automotive Research Institute Co LtdfiledCriticalBAIC Motor Co Ltd
Priority to CN201911035603.4ApriorityCriticalpatent/CN110718094A/en
Publication of CN110718094ApublicationCriticalpatent/CN110718094A/en
Pendinglegal-statusCriticalCurrent

Links

Images

Classifications

Landscapes

Abstract

The application provides a collision early warning method, a collision early warning device and collision early warning equipment, wherein the method comprises the following steps: acquiring first motion state information of a target object within a preset range from a terminal, and current second motion state information of the terminal; judging whether the target object collides with the terminal or not according to the first motion state information, the second motion state information and preset conditions; and if the target object collides with the terminal, sending out early warning information. The method and the device have the advantages that collision early warning is carried out on moving objects around the terminal in real time, and the occurrence of collision accidents is effectively reduced.

Description

Collision early warning method, device and equipment
Technical Field
The application relates to the technical field of information processing, in particular to a collision early warning method, device and equipment.
Background
With the development of information technology, vehicles become important transportation means for people to go out. The increasing number of vehicles also puts a great pressure on the traffic system.
Most traffic accidents are caused by the accidental collision of vehicles, and great loss is often brought to the personal safety of people. Therefore, how to prevent the vehicle from colliding during the driving process becomes an important problem.
Disclosure of Invention
An object of the embodiments of the present application is to provide a collision warning method, device and apparatus, so as to determine whether a target object collides with a terminal according to first motion state information of the target object, current second motion state information of the terminal and a preset condition, and send out warning information when the target object collides with the terminal.
The embodiment of the application provides a collision early warning method in a first aspect, which comprises the following steps: acquiring first motion state information of a target object within a preset range from a terminal, and current second motion state information of the terminal; judging whether the target object collides with the terminal or not according to the first motion state information, the second motion state information and preset conditions; and if the target object collides with the terminal, sending out early warning information.
In an embodiment, the obtaining the first motion state information of the target object within the preset range from the terminal includes: collecting object information in the preset range; and screening out the target object located in the target area, and acquiring the first motion state information of the target object according to the object information.
In an embodiment, the determining whether the target object collides with the terminal according to the first motion state information, the second motion state information, and a preset condition includes: calculating the position information of the meeting point of the target object and the terminal according to the first motion state information and the second motion state information, and respectively calculating the first time when the terminal reaches the meeting point and the second time when the target object reaches the meeting point; judging whether the time difference between the first time and the second time is within a preset time difference range or not; and if the time difference is within the preset time difference range, judging that the target object collides with the terminal.
In an embodiment, if the target object collides with the terminal, the sending of the warning message includes: judging whether a plurality of target objects which collide with the terminal exist; if a plurality of target objects which can collide with the terminal are available, selecting the target object corresponding to the minimum value of the time difference as an early warning object; otherwise, taking the only target object as the early warning object; and sending out early warning information related to the early warning object.
In an embodiment, after the sending the warning message, the method further includes: acquiring operation information of the terminal; judging whether the terminal responds to the early warning information within a preset time or not according to the operation information; and if the terminal does not respond to the early warning information within the preset time, controlling the terminal to brake.
A second aspect of the embodiments of the present application provides an early warning apparatus, including: the first acquisition module is used for acquiring first motion state information of a target object within a preset range from a terminal and current second motion state information of the terminal; the first judgment module is used for judging whether the target object collides with the terminal or not according to the first motion state information, the second motion state information and preset conditions; and the early warning module is used for sending out early warning information if the target object collides with the terminal.
In one embodiment, the first obtaining module is configured to: collecting object information in the preset range; and screening out the target object located in the target area, and acquiring the first motion state information of the target object according to the object information.
In one embodiment, the first determining module is configured to: calculating the position information of the meeting point of the target object and the terminal according to the first motion state information and the second motion state information, and respectively calculating the first time when the terminal reaches the meeting point and the second time when the target object reaches the meeting point; judging whether the time difference between the first time and the second time is within a preset time difference range or not; if the time difference is within the preset time difference range, judging that the target object collides with the terminal;
in one embodiment, the early warning module is configured to: judging whether a plurality of target objects which collide with the terminal exist; if a plurality of target objects which can collide with the terminal are available, selecting the target object corresponding to the minimum value of the time difference as an early warning object; otherwise, taking the only target object as the early warning object; and sending out early warning information related to the early warning object.
In one embodiment, the apparatus further comprises: the second acquisition module is used for acquiring the operation information of the terminal after the early warning information is sent out; the second judging module is used for judging whether the terminal responds to the early warning information within preset time according to the operation information; and the sending module is used for sending a control signal to the terminal if the terminal does not respond to the early warning information within the preset time, wherein the control signal is used for controlling the terminal to brake.
A third aspect of embodiments of the present application provides an electronic device, including: a memory to store a computer program; the processor is configured to execute the method of the first aspect and any embodiment of the first aspect, and determine whether the target object collides with the terminal according to first motion state information of the target object, current second motion state information of the terminal, and a preset condition, and send out warning information when the target object collides with the terminal.
The collision early warning method, the device and the equipment provided by the application can be used for acquiring the motion state information of the target object and the current motion state information of the terminal within the preset range of the terminal in real time, comparing the motion state information with preset conditions in real time, and sending out early warning information if the comparison result shows that the target object collides with the terminal. Therefore, collision early warning is carried out on moving objects around the terminal in real time, and the occurrence of collision accidents is effectively reduced.
Drawings
In order to more clearly illustrate the technical solutions of the embodiments of the present application, the drawings that are required to be used in the embodiments of the present application will be briefly described below, it should be understood that the following drawings only illustrate some embodiments of the present application and therefore should not be considered as limiting the scope, and that those skilled in the art can also obtain other related drawings based on the drawings without inventive efforts.
Fig. 1 is a schematic structural diagram of an electronic device according to an embodiment of the present application;
FIG. 2 is a schematic view of a vehicle HV and a vehicle RV according to an embodiment of the present application;
fig. 3 is a schematic flow chart of a collision warning method according to an embodiment of the present application;
fig. 4 is a schematic flow chart of a collision warning method according to an embodiment of the present application;
fig. 5A is a schematic diagram of the area division of the vehicle HV according to an embodiment of the present application;
FIG. 5B is a schematic view of a vehicle HV and a vehicle RV according to an embodiment of the present application;
FIG. 6 is a schematic view of a scenario of vehicle motion information calculation according to an embodiment of the present application;
fig. 7 is a schematic structural diagram of a collision warning apparatus according to an embodiment of the present application.
Detailed Description
The technical solutions in the embodiments of the present application will be described below with reference to the drawings in the embodiments of the present application. In the description of the present application, the terms "first," "second," and the like are used solely to distinguish one from another and are not to be construed as indicating or implying relative importance.
As shown in fig. 1, the present embodiment provides anelectronic apparatus 1 including: at least oneprocessor 11 and amemory 12, one processor being exemplified in fig. 1. Theprocessor 11 and thememory 12 are connected by abus 10, and thememory 12 stores instructions executable by theprocessor 11 and the instructions are executed by theprocessor 11.
In an embodiment, theelectronic device 1 may be a mobile device such as a server, a mobile phone, a notebook computer, etc., the terminal may be a vehicle, an aircraft, a ship, etc., and theelectronic device 1 may be installed on the terminal, and configured to determine whether the target object may collide with the terminal according to the first motion state information of the target object, the current second motion state information of the terminal, and a preset condition in real time, and send out the warning information when the target object may collide with the terminal.
In one embodiment, as shown in fig. 2, the target object may be a vehicle or other moving object. It is assumed that the terminal is on a vehicle HV, the target object is a vehicle RV (a plurality of vehicles, here, one vehicle RV is taken as an example), and both vehicles can perform short-range communication by using a V2X (meaning vehicle to outside information exchange, referred to as "V2X") technology. The following scenario can be defined:
the vehicle HV turns left at the intersection (the broken line indicates the lane line and the arrow indicates the traveling direction of the vehicle in fig. 2), and the vehicle RV travels from the opposite side to the intersection.
The vehicle HV and the vehicle RV are simultaneously driven from opposite directions toward the intersection.
The vehicle HV and the vehicle RV need to have short-range wireless communication capability (such as V2X communication).
Please refer to fig. 3, which is a collision warning method according to an embodiment of the present application, where the method may be executed by theelectronic device 1 shown in fig. 1, and theelectronic device 1 is installed on a vehicle HV and may be applied to a scene shown in fig. 2, so as to determine whether a target object may collide with a terminal according to first motion state information of the target object, current second motion state information of the terminal, and a preset condition, and send warning information when the target object may collide with the terminal. The method comprises the following steps:
step 301: the method comprises the steps of obtaining first motion state information of a target object within a preset range from a terminal and current second motion state information of the terminal.
In this step, the terminal may be the vehicle HV, and the preset range may be set according to specific requirements of the vehicle HV, for example, the V2X communication range of the vehicle HV may be used as the preset range. The target object may be a vehicle RV that runs opposite to the vehicle HV. The first moving state information of the vehicle RV is acquired in real time through the V2X communication technology and the current second moving state information of the vehicle HV is acquired.
Step 302: and judging whether the target object collides with the terminal or not according to the first motion state information, the second motion state information and the preset condition.
In this step, the first motion state information of the vehicle RV and the current second motion state information of the vehicle HV each include real-time motion state information of the vehicle and attribute information of the vehicle, where the real-time motion state information includes, but is not limited to: heading direction, heading angle, or navigation information, attribute information including but not limited to: vehicle model, size, etc. The preset condition refers to a condition set in advance for determining the collision criterion. And judging whether the vehicle RV collides with the vehicle HV according to the information, and if so, entering step 303. Otherwise, it is stated that the vehicle RV is safe with respect to the vehicle HV, and can continue to run according to the current running state without collision warning.
Step 303: and sending out early warning information.
In the step, if the vehicle RV collides with the vehicle HV, which indicates that potential safety hazards exist in the current running state of the vehicle HV, early warning information is sent out, so that the vehicle HV can take countermeasures in time, and further collision is avoided.
According to the collision early warning method, the motion state information of the vehicle RV in the preset range of the vehicle HV and the current motion state information of the vehicle HV are obtained in real time, the motion state information is compared with the preset conditions in real time, and if the comparison result shows that the vehicle RV can collide with the vehicle HV, early warning information is sent out. Therefore, collision early warning is carried out on moving objects around the HV in real time, and the occurrence of collision accidents is effectively reduced.
Please refer to fig. 4, which is a collision warning method according to an embodiment of the present application, where the method may be executed by theelectronic device 1 shown in fig. 1, and theelectronic device 1 is installed on a vehicle HV and may be applied to a scene shown in fig. 2, so as to determine whether a target object may collide with a terminal according to first motion state information of the target object, current second motion state information of the terminal, and a preset condition, and send warning information when the target object may collide with the terminal. The method comprises the following steps:
step 401: and collecting object information in a preset range.
In this step, the object information may be all movable object information within a preset range, and the object information within the preset range is received in real time, and assuming that the object information is all vehicles RV (there may be a plurality of vehicles RV) within the preset range, messages of the plurality of vehicles RV may be received in real time through the V2X communication module of the vehicle HV, where the messages may include at least real-time motion state information and attribute information of the vehicles RV. Refer to the description of step 301 in the above embodiment for details
Step 402: and screening out the target object located in the target area, and acquiring first motion state information of the target object according to the object information.
In this step, the target region is a region around the vehicle HV and may be set in advance. As shown in fig. 5A, the arrow indicates the traveling direction of the vehicle HV. First, the area around the vehicle HV is divided, and the area around the vehicle HV within the preset range may be divided into at least: front leftdistal region 501, frontleft region 502,front region 503, frontright region 504, front rightdistal region 505, back leftdistal region 506, back leftregion 507, back region 508, backright region 509, and back rightdistal region 510. As shown in fig. 5B, the arrow indicates the traveling direction of the vehicle HV. Assuming that the vehicle HV left turn or the like is on, it is described that the vehicle HV needs to turn left, and the target areas may be the lane of the frontleft zone 502 and the lane of the front leftfar zone 501 of the vehicle HC at this time. The real-time motion state information of the vehicle RV may include real-time location information of the vehicle RV, such as latitude and longitude information. Through a TC (target classification, target classification module, abbreviated as "TC") module, according to the longitude and latitude coordinates of the vehicle RV and the divided location information of the target area, the vehicle RV may be classified correspondingly, and the location of the target area where the vehicle RV is located is classified, where the vehicle RV category at least may include: left side vehicle, front side vehicle, right side vehicle, rear side vehicle, etc., and screens out the target vehicles RV (i.e., target objects) located in the "lane of front leftzone 502" and the "lane of front leftfar zone 501". Here, the "lane of the frontleft zone 502" region refers to a left lane adjacent to the lane in which the vehicle HC is located, and the "lane of the front leftdistant zone 501" region refers to a left lane separated by one lane from the lane in which the vehicle HC is located. The object information of the vehicle RV includes at least: latitude and longitude, speed, heading angle, vehicle ID, vehicle type, etc.
In one embodiment, the target vehicle RV traveling straight may be screened out by determining whether the vehicle RV located in the lane of the "front leftzone 502" is traveling straight or turning left according to the traveling direction, the heading angle or the navigation information of the vehicle RV, and similarly, the target vehicle RV traveling straight may be located in the lane of the "front leftfar zone 501".
In one embodiment, a plurality of target vehicles RV in the target area may be further screened.
First, a distance range for screening the potential threat vehicle RV may be set according to historical empirical data, and the distance range may be a range in which V2X receives a message or a range in which a safety accident may occur. The distance range may be: 0-50 m. Different vehicle-potentially vehicle-threatening distance ranges may be determined for different vehicles HV and RV based on the relative speed between the vehicles HV and RV, e.g., the distance ranges may be correspondingly increased when the relative speed between the vehicles HV and RV is greater and decreased when the relative speed between the vehicles HV and RV is less. The vehicle RV with a higher speed and a longer distance can be prevented from being missed, and the possibility of accidents is further reduced. The vehicle RV may then be determined to be a potentially threatening vehicle RV entering the above distance range, if at all, by determining whether the vertical distance between the vehicle HV and the vehicle RV is within 0-50 meters, where the potentially threatening vehicles RV may be one or more.
Step 403: and calculating the position information of the meeting point of the target object and the terminal according to the first motion state information and the second motion state information, and respectively calculating the first time when the terminal reaches the meeting point and the second time when the target object reaches the meeting point.
In this step, first, the position information of the meeting point where the vehicle may meet is calculated based on the motion state information of the vehicle HV and the vehicle RV, for example, in the scene shown in fig. 2, the vehicle HV and the vehicle RV are simultaneously driven from opposite directions to an intersection, where the intersection is the meeting point, and the position information of the intersection, for example, the coordinate information of the intersection, can be calculated based on the motion state information of the vehicle. Then, the first time when the vehicle HV arrives at the intersection is calculated. A second time for each potentially threatening vehicle RV to arrive at the intersection is then calculated.
In one embodiment, the collision point (i.e., the meeting point) at which the potential threat vehicle RV collides with the vehicle HV can be obtained by predicting the traveling locus of the potential threat vehicle RV and the traveling locus of the vehicle HV, thereby calculating the first time when the vehicle HV reaches the collision point and the second time when the potential threat vehicle RV reaches the collision point, respectively.
In one embodiment, for a single scenario of a potentially threatening vehicle RV, a second time of arrival at the intersection of the potentially threatening vehicle RV is calculated directly from the speed of the potentially threatening vehicle RV and the distance of arrival at the intersection of the potentially threatening vehicle RV, and a first time of arrival at the intersection of the vehicle HV is calculated based on the speed of the vehicle HV and the distance of arrival at the intersection of the vehicle HV.
In one embodiment, for a scene with a plurality of potential threat vehicles RV, the speed and the distance to the intersection of each potential threat vehicle RV are respectively obtained, the second time of each potential threat vehicle RV reaching the intersection is calculated, and the first time of the vehicle HV reaching the intersection is calculated according to the speed of the vehicle HV and the distance of the vehicle HV reaching the intersection. The judgment of the plurality of potential threat vehicles RV can adopt parallel calculation or serial calculation, but the parallel calculation can obtain the more accurate second time when the potential threat vehicles RV arrive at the intersection, thereby reducing the possibility of traffic accidents.
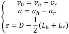
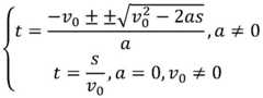
In one embodiment, as shown in fig. 6, the driving motion of the vehicle can be approximated as a uniform acceleration linear motion, and the displacement s is calculated by the formula:
Figure BDA0002251407110000091
the formula for calculating the collision time t of the two vehicles can be as follows:
Figure BDA0002251407110000092
wherein,
Figure BDA0002251407110000093
in the formula, vh-speed of the vehicle HV in m/s.
ahAcceleration of the vehicle HV in m/s2
LhThe length of the vehicle HV in m.
vrThe speed of the vehicle RV, m/s, if it is travelling in the opposite direction to the vehicle HV, takes a negative value.
arAcceleration of vehicle RV, m/s2If the vehicle is traveling in the opposite direction to the vehicle HV, a negative value is taken.
Lr-length, m, of vehicle RV.
D is the distance between the vehicle HV and the vehicle RV, m.
Step 404: and judging whether the time difference between the first time and the second time is within a preset time difference range. If so, the process goes to step 405, otherwise, it indicates that the oncoming vehicle RV has no potential safety hazard for the vehicle HV, and no warning is needed.
Step 405: it is determined that the target object collides with the terminal.
In this step, if the time difference is within the preset time difference range, it indicates that the target object may collide with the terminal. That is, if the time difference between the arrival of the potential threat vehicle RV at the intersection and the arrival of the vehicle HV at the intersection is within the preset time difference range, the potential threat vehicle RV is a threat vehicle RV that presents a collision risk with the vehicle HV.
In one embodiment, the predetermined time difference range may be calculated for different vehicles, so as to make the risk determination more accurate.
Step 406: it is determined whether there are a plurality of target objects that may collide with the terminal.
In this step, the target object that may collide with the terminal is determined insteps 401 to 405, and in an actual scene, there may be a plurality of target objects that may collide with the terminal, and therefore, it is first determined whether there are a plurality of vehicles RV that may collide with the vehicle HV, and if so,step 407 is entered, otherwise,step 408 is entered.
Step 407: and selecting the target object corresponding to the minimum value of the time difference as an early warning object.
In this step, if there are a plurality of target objects that may collide with the terminal, that is, a plurality of threatening vehicles RV, the most urgent threatening vehicle RV is selected. And selecting the vehicle RV with the minimum time difference between the arrival of the threatening vehicle RV at the intersection and the arrival of the vehicle HV at the intersection as an early warning object, and then determining the vehicle RV as the most urgent threatening vehicle.
In one embodiment, since there may be a case where the time difference between the arrival time of the vehicles RV and the arrival time of the vehicles HV are not equal, but the time differences are all close to 0, a score value of the most urgent threatening vehicle may be obtained by assigning different weight values to the time difference between the arrival time of the threatening vehicle RV and the arrival time of the vehicles HV at the intersection and the distance between the threatening vehicle RV and the vehicles HV, and the most urgent threatening vehicle RV may be determined according to the score values.
Step 408: and taking the only target object as an early warning object.
In this step, if there is only one target object that may collide with the terminal, that is, the threat vehicle RV is unique, the unique vehicle RV is used as an early warning object.
Step 409: and sending out early warning information related to the early warning object.
In this step, the vehicle HV may be used to send out the warning information about the warning object through a DVI (Digital Visual Interface) by using an LTA (left turn assist) system of the vehicle HV, so that the driver of the vehicle HV can find out the corresponding collision warning in time.
Step 410: and acquiring the operation information of the terminal.
In this step, after the warning information is sent out, the operation information of the vehicle HV is acquired in real time, and the operation information may be brake information, steering information, and the like.
Step 411: and judging whether the terminal responds to the early warning information within a preset time according to the operation information.
In this step, whether the vehicle HV responds to the warning information within a preset time, such as whether braking or steering is performed or not, is judged according to the operation information of the vehicle HV, if so, the driving state change of the vehicle HV is indicated, and the warning information is processed in time to avoid collision. Otherwise, go to step 412.
Step 412: and sending a control signal to the terminal, wherein the control signal is used for controlling the terminal to brake.
In this step, if the terminal does not respond to the warning information within the preset time, that is, the vehicle HV fails to respond to the warning information in time, it may be that the driver does not have enough time to take measures after receiving the warning, and then the forced braking is started to avoid the occurrence of collision. I.e. a control signal can be sent to the relevant brake unit of the vehicle HV to force the braking of the vehicle HV to avoid the occurrence of a collision.
According to the collision early warning method, the position and motion state information of other vehicles can be received through V2X communication directly, when the vehicle HV is started and is ready to enter a left turn at an intersection, if the terminal detects that the collision danger exists between the vehicle HV and the oncoming vehicle RV, the LTA application gives an early warning to the HV driver. The early warning time needs to ensure that the HV driver can take measures within enough time after receiving the early warning, so as to avoid collision with the RV. And if the driver does not have enough time to take measures after the early warning is received, forcibly braking. Because the data are directly acquired from other vehicles, the situations of early warning missing report and false report caused by failure of the vehicle sensor are avoided.
Please refer to fig. 7, which is an early warning apparatus according to an embodiment of the present application, and the apparatus may be applied to theelectronic device 1 shown in fig. 1 and may be applied to the interaction scenario shown in fig. 2, so as to determine whether a target object may collide with a terminal according to first motion state information of the target object, current second motion state information of the terminal, and a preset condition, and send out early warning information when the target object may collide with the terminal. The device includes: the system comprises a first obtainingmodule 701, afirst judging module 702 and anearly warning module 703, wherein the principle relationship of each module is as follows:
the first obtainingmodule 701 is configured to obtain first motion state information of a target object within a preset range from a terminal, and current second motion state information of the terminal. See the description of step 301 in the above embodiments for details.
A first determiningmodule 702, configured to determine whether the target object collides with the terminal according to the first motion state information, the second motion state information, and a preset condition. See the description of step 302 in the above embodiments for details.
Theearly warning module 703 is configured to send out early warning information if the target object collides with the terminal. See the description of step 303 in the above embodiments for details.
In one embodiment, the first obtainingmodule 701 is configured to: and collecting object information in a preset range. And screening out the target object located in the target area, and acquiring first motion state information of the target object according to the object information. Refer to the description ofsteps 401 to 402 in the above embodiments in detail.
In one embodiment, the first determiningmodule 702 is configured to: and calculating the position information of the meeting point of the target object and the terminal according to the first motion state information and the second motion state information, and respectively calculating the first time when the terminal reaches the meeting point and the second time when the target object reaches the meeting point. And judging whether the time difference between the first time and the second time is within a preset time difference range. And if the time difference is within the preset time difference range, judging that the target object collides with the terminal. See the description ofsteps 403 through 405 in the above embodiments for details.
In one embodiment, theearly warning module 703 is configured to: it is determined whether there are a plurality of target objects that may collide with the terminal. And if a plurality of target objects which can collide with the terminal exist, selecting the target object corresponding to the minimum time difference as an early warning object. Otherwise, the only target object is used as the early warning object. And sending out early warning information related to the early warning object. See the description ofstep 406 to step 409 in the above embodiments for details.
In one embodiment, thecollision warning apparatus 700 further includes: a second obtainingmodule 704, configured to obtain the operation information of the terminal after the early warning information is sent out. The second determiningmodule 705 is configured to determine whether the terminal responds to the early warning information within a preset time according to the operation information. And a sendingmodule 706, configured to send a control signal to the terminal if the terminal does not respond to the early warning information within the preset time, where the control signal is used to control braking of the terminal. See the above embodiments for a detailed description of steps 410-412.
For a detailed description of thecollision warning apparatus 700, please refer to the description of the related method steps in the above embodiments.
An embodiment of the present invention further provides a storage medium readable by an electronic device, including: a program that, when run on an electronic device, causes the electronic device to perform all or part of the procedures of the methods in the above-described embodiments. The storage medium may be a magnetic Disk, an optical Disk, a Read-only Memory (ROM), a Random Access Memory (RAM), a Flash Memory (Flash Memory), a Hard Disk (Hard Disk Drive, abbreviated as HDD), a Solid-State Drive (SSD), or the like. The storage medium may also comprise a combination of memories of the kind described above.
Although the embodiments of the present invention have been described in conjunction with the accompanying drawings, those skilled in the art may make various modifications and variations without departing from the spirit and scope of the invention, and such modifications and variations fall within the scope defined by the appended claims.

Claims (10)

1. A collision warning method is characterized by comprising the following steps:
acquiring first motion state information of a target object within a preset range from a terminal, and current second motion state information of the terminal;
judging whether the target object collides with the terminal or not according to the first motion state information, the second motion state information and preset conditions;
and if the target object collides with the terminal, sending out early warning information.
2. The method according to claim 1, wherein the obtaining of the first motion state information of the target object within a preset range from the terminal comprises:
collecting object information in the preset range;
and screening out the target object located in the target area, and acquiring the first motion state information of the target object according to the object information.
3. The method according to claim 1, wherein the determining whether the target object collides with the terminal according to the first motion state information, the second motion state information and a preset condition includes:
calculating the position information of the meeting point of the target object and the terminal according to the first motion state information and the second motion state information, and respectively calculating the first time when the terminal reaches the meeting point and the second time when the target object reaches the meeting point;
judging whether the time difference between the first time and the second time is within a preset time difference range or not;
and if the time difference is within the preset time difference range, judging that the target object collides with the terminal.
4. The method of claim 3, wherein the sending out warning information if the target object collides with the terminal comprises:
judging whether a plurality of target objects which collide with the terminal exist;
when a plurality of target objects which can collide with the terminal are judged, selecting the target object corresponding to the minimum value of the time difference as an early warning object;
when the number of the target objects which can collide with the terminal is judged not to be multiple, taking the only target object as the early warning object;
and sending out early warning information related to the early warning object.
5. The method of claim 1, further comprising, after said issuing the warning message:
acquiring operation information of the terminal;
judging whether the terminal responds to the early warning information within a preset time or not according to the operation information;
and if the terminal does not respond to the early warning information within the preset time, sending a control signal to the terminal, wherein the control signal is used for controlling the terminal to brake.
6. A collision warning apparatus, comprising:
the first acquisition module is used for acquiring first motion state information of a target object within a preset range from a terminal and current second motion state information of the terminal;
the first judgment module is used for judging whether the target object collides with the terminal or not according to the first motion state information, the second motion state information and preset conditions;
and the early warning module is used for sending out early warning information if the target object collides with the terminal.
7. The apparatus of claim 6, wherein the first obtaining module is configured to:
collecting object information in the preset range;
and screening out the target object located in the target area, and acquiring the first motion state information of the target object according to the object information.
8. The apparatus of claim 6, wherein the first determining module is configured to:
calculating the position information of the meeting point of the target object and the terminal according to the first motion state information and the second motion state information, and respectively calculating the first time when the terminal reaches the meeting point and the second time when the target object reaches the meeting point;
judging whether the time difference between the first time and the second time is within a preset time difference range or not;
if the time difference is within the preset time difference range, judging that the target object collides with the terminal;
and, the apparatus further comprises:
the second acquisition module is used for acquiring the operation information of the terminal after the early warning information is sent out;
the second judging module is used for judging whether the terminal responds to the early warning information within preset time according to the operation information;
and the sending module is used for sending a control signal to the terminal if the terminal does not respond to the early warning information within the preset time, wherein the control signal is used for controlling the terminal to brake.
9. The apparatus of claim 8, wherein the early warning module is configured to:
judging whether a plurality of target objects which collide with the terminal exist;
if a plurality of target objects which can collide with the terminal are judged, selecting the target object corresponding to the minimum value of the time difference as an early warning object;
when the number of the target objects which can collide with the terminal is judged not to be multiple, taking the only target object as the early warning object;
and sending out early warning information related to the early warning object.
10. An electronic device, comprising:
a memory to store a computer program;
a processor configured to execute the method according to any one of claims 1 to 5, so as to determine whether the target object will collide with the terminal according to the first motion state information of the target object, the current second motion state information of the terminal, and a preset condition, and send out warning information when the target object will collide with the terminal.
CN201911035603.4A2019-10-292019-10-29Collision early warning method, device and equipmentPendingCN110718094A (en)

Priority Applications (1)

Application NumberPriority DateFiling DateTitle
CN201911035603.4ACN110718094A (en)2019-10-292019-10-29Collision early warning method, device and equipment

Applications Claiming Priority (1)

Application NumberPriority DateFiling DateTitle
CN201911035603.4ACN110718094A (en)2019-10-292019-10-29Collision early warning method, device and equipment

Publications (1)

Publication NumberPublication Date
CN110718094Atrue CN110718094A (en)2020-01-21

Family

ID=69214486

Family Applications (1)

Application NumberTitlePriority DateFiling Date
CN201911035603.4APendingCN110718094A (en)2019-10-292019-10-29Collision early warning method, device and equipment

Country Status (1)

CountryLink
CN (1)CN110718094A (en)

Cited By (6)

* Cited by examiner, † Cited by third party
Publication numberPriority datePublication dateAssigneeTitle
CN111508274A (en)*2020-03-172020-08-07东软集团股份有限公司Collision early warning method, device and equipment
CN111632377A (en)*2020-06-082020-09-08浙江商汤科技开发有限公司Shooting track display method and device, electronic equipment and storage medium
CN112671977A (en)*2020-12-252021-04-16深圳市九洲电器有限公司Safety early warning method and device, storage medium and electronic equipment
CN113706927A (en)*2021-08-162021-11-26中汽创智科技有限公司Vehicle early warning method, device, electronic equipment, storage medium and program product
CN113793535A (en)*2021-09-152021-12-14智道网联科技(北京)有限公司Concurrent traffic risk warning method, device and computer readable storage medium
CN116246459A (en)*2022-12-262023-06-09苏州万集车联网技术有限公司 Method, device, terminal device and storage medium for detecting the lane in which a vehicle is located

Citations (14)

* Cited by examiner, † Cited by third party
Publication numberPriority datePublication dateAssigneeTitle
CN203102612U (en)*2013-03-292013-07-31章逸凡Anti-collision system for ensuring driving safety of automobile
CN103903479A (en)*2014-04-232014-07-02奇瑞汽车股份有限公司Vehicle safety driving pre-warning method and system and vehicle terminal device
CN104376735A (en)*2014-11-212015-02-25中国科学院合肥物质科学研究院Driving safety early-warning system and method for vehicle at blind zone crossing
CN104575068A (en)*2014-12-292015-04-29芜湖市汽车产业技术研究院有限公司Method and device for prompting drivers
CN104851321A (en)*2015-06-092015-08-19上海斐讯数据通信技术有限公司Vehicle safety monitoring method and system, and electronic equipment
CN105679099A (en)*2016-04-052016-06-15吕栋雷Collision early warning device
CN106004655A (en)*2016-06-242016-10-12深圳市元征科技股份有限公司Early warning method and device for blind spot collision
CN106251699A (en)*2016-08-192016-12-21深圳市元征科技股份有限公司Vehicle running collision method for early warning and device
CN108064401A (en)*2016-12-292018-05-22深圳市柔宇科技有限公司Vehicle early warning method, apparatus and system
CN108091154A (en)*2016-11-232018-05-29比亚迪股份有限公司Information of vehicles treating method and apparatus
CN108257418A (en)*2016-12-282018-07-06上海汽车集团股份有限公司Vehicle collision prewarning method and device
CN108257417A (en)*2016-12-282018-07-06上海汽车集团股份有限公司For the vehicle collision prewarning method and device of roadside unit
CN108510798A (en)*2018-04-102018-09-07西安电子科技大学Traffic safety method and apparatus
CN109756867A (en)*2018-12-292019-05-14广州中国科学院软件应用技术研究所 A vehicle-road collaboration vehicle terminal application system based on LTE-V

Patent Citations (14)

* Cited by examiner, † Cited by third party
Publication numberPriority datePublication dateAssigneeTitle
CN203102612U (en)*2013-03-292013-07-31章逸凡Anti-collision system for ensuring driving safety of automobile
CN103903479A (en)*2014-04-232014-07-02奇瑞汽车股份有限公司Vehicle safety driving pre-warning method and system and vehicle terminal device
CN104376735A (en)*2014-11-212015-02-25中国科学院合肥物质科学研究院Driving safety early-warning system and method for vehicle at blind zone crossing
CN104575068A (en)*2014-12-292015-04-29芜湖市汽车产业技术研究院有限公司Method and device for prompting drivers
CN104851321A (en)*2015-06-092015-08-19上海斐讯数据通信技术有限公司Vehicle safety monitoring method and system, and electronic equipment
CN105679099A (en)*2016-04-052016-06-15吕栋雷Collision early warning device
CN106004655A (en)*2016-06-242016-10-12深圳市元征科技股份有限公司Early warning method and device for blind spot collision
CN106251699A (en)*2016-08-192016-12-21深圳市元征科技股份有限公司Vehicle running collision method for early warning and device
CN108091154A (en)*2016-11-232018-05-29比亚迪股份有限公司Information of vehicles treating method and apparatus
CN108257418A (en)*2016-12-282018-07-06上海汽车集团股份有限公司Vehicle collision prewarning method and device
CN108257417A (en)*2016-12-282018-07-06上海汽车集团股份有限公司For the vehicle collision prewarning method and device of roadside unit
CN108064401A (en)*2016-12-292018-05-22深圳市柔宇科技有限公司Vehicle early warning method, apparatus and system
CN108510798A (en)*2018-04-102018-09-07西安电子科技大学Traffic safety method and apparatus
CN109756867A (en)*2018-12-292019-05-14广州中国科学院软件应用技术研究所 A vehicle-road collaboration vehicle terminal application system based on LTE-V

Cited By (7)

* Cited by examiner, † Cited by third party
Publication numberPriority datePublication dateAssigneeTitle
CN111508274A (en)*2020-03-172020-08-07东软集团股份有限公司Collision early warning method, device and equipment
CN111632377A (en)*2020-06-082020-09-08浙江商汤科技开发有限公司Shooting track display method and device, electronic equipment and storage medium
CN112671977A (en)*2020-12-252021-04-16深圳市九洲电器有限公司Safety early warning method and device, storage medium and electronic equipment
CN113706927A (en)*2021-08-162021-11-26中汽创智科技有限公司Vehicle early warning method, device, electronic equipment, storage medium and program product
CN113706927B (en)*2021-08-162023-02-28中汽创智科技有限公司Vehicle early warning method, device, electronic equipment, storage medium and program product
CN113793535A (en)*2021-09-152021-12-14智道网联科技(北京)有限公司Concurrent traffic risk warning method, device and computer readable storage medium
CN116246459A (en)*2022-12-262023-06-09苏州万集车联网技术有限公司 Method, device, terminal device and storage medium for detecting the lane in which a vehicle is located

Similar Documents

PublicationPublication DateTitle
CN110718094A (en)Collision early warning method, device and equipment
CN109515433B (en)Vehicle control system
KR20210038852A (en)Method, apparatus, electronic device, computer readable storage medium and computer program for early-warning
EP3886076B1 (en)Warning system for a host automotive vehicle
CN106097775B (en)Early warning method based on navigation, terminal equipment and server
EP3086990B1 (en)Method and system for driver assistance for a vehicle
CN112712719A (en)Vehicle control method, vehicle-road coordination system, road side equipment and automatic driving vehicle
JP7145815B2 (en) electronic controller
CN106230940B (en)A kind of vehicle collision detection method and system based on vehicle intelligent terminal
US10726727B2 (en)In-vehicle device, information processing system, and information processing method
CN108257417A (en)For the vehicle collision prewarning method and device of roadside unit
CN108335521A (en)Method, system and parking lot for alerting the traffic participant in parking lot
JP6332383B2 (en) Vehicle target detection system
CN108961839A (en)Driving lane change method and device
CN111746531A (en) Vehicle control device, vehicle control method, and storage medium
CN109703456B (en)Warning method and device for preventing automobile collision and automobile controller
JP2018055427A (en)Target detection system for vehicle
EP3693241B1 (en)Vehicle control device
CN108520639A (en) An early warning method and system for preventing vehicle collision
CN115497323B (en)V2X-based vehicle collaborative lane changing method and device
CN117657216A (en)Speed planning method, device and equipment for automatic driving vehicle and vehicle
CN109887321B (en)Unmanned vehicle lane change safety judgment method and device and storage medium
CN117584997A (en) Vehicle control device, vehicle control method and storage medium
CN115092130B (en) Vehicle collision prediction method, device, electronic device, medium and vehicle
CN116039624A (en)AEB main target selection method and system

Legal Events

DateCodeTitleDescription
PB01Publication
PB01Publication
SE01Entry into force of request for substantive examination
SE01Entry into force of request for substantive examination
RJ01Rejection of invention patent application after publication

Application publication date:20200121

RJ01Rejection of invention patent application after publication

[8]ページ先頭

©2009-2025 Movatter.jp