

技术领域technical field
本发明涉及机床热误差预测模型建模技术领域,尤其涉及用于确定温度敏感区间分段建模点的方法与系统。The invention relates to the technical field of modeling of thermal error prediction models of machine tools, in particular to a method and a system for determining segmented modeling points in temperature-sensitive intervals.
背景技术Background technique
随着精密和超精密加工技术的高速发展,对数控机床及加工中心的加工精度和可靠性提出了更高的要求。数控机床在实际加工运行过程中,由于工艺系统受到摩擦热、切削热和环境温度等因素的影响,导致机床零部件膨胀产生热变形。此热变形会改变机床各部件之间的相对位置,使刀具偏离理想切削点,导致机床加工精度降低,而这种由热变形引起的误差称之为热误差。热误差是数控机床的最大误差源,而且热误差所占比例随着机床精密度的提高而增大;尤其在精密加工中,热误差占机床总误差的40%-70%,因此减小热误差对提高精密机床的加工精度具有重要意义。With the rapid development of precision and ultra-precision machining technology, higher requirements are placed on the machining accuracy and reliability of CNC machine tools and machining centers. During the actual processing and operation of CNC machine tools, due to the influence of the process system by friction heat, cutting heat and ambient temperature, the machine parts expand and cause thermal deformation. This thermal deformation will change the relative position between the various parts of the machine tool, so that the tool deviates from the ideal cutting point, resulting in a decrease in the machining accuracy of the machine tool, and this error caused by thermal deformation is called thermal error. Thermal error is the largest error source of CNC machine tools, and the proportion of thermal error increases as the precision of the machine tool increases; especially in precision machining, thermal error accounts for 40%-70% of the total error of the machine tool, so reduce the thermal error. Error is of great significance to improve the machining accuracy of precision machine tools.
数控机床热误差预测方法,主要包括温度敏感点的选择和数学建模算法的应用;目前绝大部分相关论文和专利也都是围绕着温度敏感点的选择和数学建模算法的应用。2011年,苗恩铭等人研究了精密机床中的热误差时间序列建模技术,由于考虑了所研究序列的过去值对模型的影响,因此具有较高的建模精度(参看文献“精密数据机床热误差时间序列建模技术研究”,来自2011年全国精密工程学术研讨会)。The thermal error prediction method of CNC machine tools mainly includes the selection of temperature sensitive points and the application of mathematical modeling algorithms; at present, most of the relevant papers and patents also focus on the selection of temperature sensitive points and the application of mathematical modeling algorithms. In 2011, Miao Enming et al. studied the thermal error time series modeling technology in precision machine tools. Since the influence of the past values of the studied series on the model was considered, it has a high modeling accuracy (see the document "Precision Data"). "Research on Time Series Modeling Technology of Machine Tool Thermal Error", from the 2011 National Symposium on Precision Engineering).
2013年,苗恩铭等人利用模糊聚类结合灰色关联度方法对温度敏感点进行了相关研究,首先利用模糊聚类分析将所有温度变量按相关性强弱分类,接着采用灰色关联分析法计算各类中的温度变量与热变形量之间的关联度大小,确定各类中的敏感点变量,最后将每类中的敏感点变量组合起来用于热误差建模(参看文献“Temperature-sensitivepoint selection of thermal error model of CNC machining center”,来自期刊《International Journal of Advanced Manufacturing Technology》)。In 2013, Miao Enming et al. used fuzzy clustering combined with grey correlation method to conduct related research on temperature sensitive points. First, they used fuzzy clustering analysis to classify all temperature variables according to their correlation strength, and then used grey correlation analysis method to calculate. The degree of correlation between the temperature variables in each category and the amount of thermal deformation is determined, the sensitive point variables in each category are determined, and finally the sensitive point variables in each category are combined for thermal error modeling (see the document "Temperature-sensitivepoint" selection of thermal error model of CNC machining center” from the International Journal of Advanced Manufacturing Technology).
专利号为CN201410097157.0的中国发明“数控机床热误差补偿建模温度测点组合的选择优化方法”,该专利根据主因素策略排除一部分温度测点位置,由建立的热误差BP神经网路模型的权值,利用权积法过滤传感器剩余温度测点位置。The Chinese invention with the patent number CN201410097157.0 is "the selection and optimization method of the temperature measuring point combination for the thermal error compensation modeling of CNC machine tools". This patent excludes a part of the temperature measuring point positions according to the main factor strategy, and the thermal error BP neural network model established by the patent The weight of the sensor is used to filter the remaining temperature measurement points of the sensor by using the weight product method.
专利号为CN201610256595.6的中国发明“一种基于无偏估计拆分模型的数控机床热误差预测方法及系统”,该专利通过线性相关系数法筛选出带入热误差补偿模型的温度变量,利用无偏估计拆分模型建立了机床热误差补偿模型。The Chinese invention with the patent number of CN201610256595.6 "A method and system for thermal error prediction of CNC machine tools based on unbiased estimation split model", the patent uses the linear correlation coefficient method to screen out the temperature variables brought into the thermal error compensation model, and uses The unbiased estimation split model establishes the thermal error compensation model of the machine tool.
最新的实验研究发现,机床热误差补偿模型存在受环境温度影响的预测精度跳变区间,这将导致模型的预测性能产生波动,大幅降低模型的预测精度和预测稳健性。因此,如何确定出能够引起预测性能产生波动的环境温度区间,即温度敏感区间,是准确建立热误差预测模型的关键,但是目前尚未有较好的方法。The latest experimental study found that the thermal error compensation model of the machine tool has a jumping interval of prediction accuracy affected by the ambient temperature, which will cause the prediction performance of the model to fluctuate and greatly reduce the prediction accuracy and robustness of the model. Therefore, how to determine the ambient temperature range that can cause fluctuations in the prediction performance, that is, the temperature sensitive range, is the key to accurately establish a thermal error prediction model, but there is no better method yet.
发明内容SUMMARY OF THE INVENTION
针对上述现有技术的不足,本发明提供一种用于确定温度敏感区间分段建模点的方法,能够有效的确定出温度敏感区间分段建模点,具有直观性,良好的通用性。In view of the above-mentioned deficiencies of the prior art, the present invention provides a method for determining segmented modeling points in a temperature-sensitive interval, which can effectively determine segmented modeling points in a temperature-sensitive interval, with intuitiveness and good generality.
为了解决上述技术问题,本发明采用了如下的技术方案:一种用于确定温度敏感区间分段建模点的方法,包括以下步骤:In order to solve the above-mentioned technical problems, the present invention adopts the following technical scheme: a method for determining a segmented modeling point in a temperature-sensitive interval, comprising the following steps:
步骤1:获取在全年范围内按环境温度从低到高排序的M批次机床主要热源处的温度增量测量值和机床主轴的热变形量测量值;Step 1: Obtain the measured value of temperature increment at the main heat source of M batches of machine tools and the measured value of thermal deformation of the machine tool spindle in the order of ambient temperature from low to high throughout the year;
步骤2:筛选每一批次的温度增量测量值和热变形量测量值以分别作为温度变量和热误差因变量,根据每一批次筛选出来的数据相应建立每一批次机床热误差预测模型;Step 2: Screen the temperature increment measurement value and thermal deformation measurement value of each batch as the temperature variable and thermal error dependent variable respectively, and establish the thermal error prediction of each batch of machine tools according to the screened data of each batch. Model;
步骤3:求取每一批次机床热误差预测模型分别对M批次温度变量的热变形量预测值,从而得到M×M热变形量预测矩阵;Step 3: Obtain the thermal deformation prediction value of each batch of machine tool thermal error prediction model for M batches of temperature variables respectively, so as to obtain an M×M thermal deformation prediction matrix;
步骤4:根据热变形量预测值与热变形量测量值的差异获得大小为M×M的预测残余标准差矩阵;Step 4: Obtain a predicted residual standard deviation matrix of size M×M according to the difference between the predicted value of thermal deformation and the measured value of thermal deformation;
步骤5:根据预测残余标准差矩阵绘制预测残余标准差变化趋势图:横轴表示批次,横轴两端的纵轴分别表示预测残余标准差和温度;在预测残余标准差变化趋势图中找到温度敏感区间,所述温度敏感区间是指预测残余标准差发生跳变时所对应的环境温度区间;Step 5: Draw the trend graph of the predicted residual standard deviation according to the predicted residual standard deviation matrix: the horizontal axis represents the batch, and the vertical axes at both ends of the horizontal axis represent the predicted residual standard deviation and temperature respectively; find the temperature in the predicted residual standard deviation change trend chart. Sensitive interval, the temperature sensitive interval refers to the ambient temperature interval corresponding to the predicted residual standard deviation jumping;
步骤6:在温度敏感区间内选择温度敏感区间分段点。Step 6: Select the temperature-sensitive interval segment points in the temperature-sensitive interval.
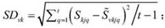
进一步的,预测残余标准差的计算公式如下:Further, the calculation formula of the predicted residual standard deviation is as follows:
式中,SDvk表示第v批次机床热误差预测模型对第k批次热变形量测量值的预测残余标准差,v=1,2,...,M,k=1,2,...,M;M为获取的数据批次数,M的取值应保证获取M批次数据时的环境温度变化的并集能基本覆盖全年温度变化范围,M不小于1;Skjq表示第k批次热变形量测量值中的j轴方向的第q个采样测量值,q=1,2,...,t,t表示采样总次数,j=X,Y和/或Z轴;表示与Skjq对应的第v批次机床热误差预测模型对第k批次温度变量的热变形量预测值。In the formula, SDvk represents the residual standard deviation of the prediction model of the thermal error of the machine tool in the vth batch to the measured value of the kth batch of thermal deformation, v=1,2,...,M, k=1,2,. ..,M; M is the number of data batches acquired, the value of M should ensure that the union of ambient temperature changes when acquiring M batches of data can basically cover the annual temperature variation range, M is not less than 1; Skjq represents the first The qth sampling measurement value in the j-axis direction in the k batches of thermal deformation measurement values, q=1,2,...,t, t represents the total number of sampling times, j=X, Y and/or Z axis; Represents the predicted value of thermal deformation of the kth batch of temperature variables by the vth batch machine tool thermal error prediction model corresponding to Skjq .
进一步的,温度敏感区间分段点按如下方式选取:Further, the temperature sensitive interval segment points are selected as follows:
验证每一批次预测模型对M批次数据预测精度组成的数列所属的概率分布类型,并获取相应的标准差σ;每一批次预测模型对M批次数据预测精度是指预测残余标准差SDvk;通过3σ原则标记每一批数据潜在的温度敏感区间分段点;当所有M批次数据依次完成了标记潜在温度敏感区间分段点,根据工程需要选取阈值得到最终的温度敏感区间分段点。Verify the probability distribution type of the sequence composed of the prediction accuracy of each batch of prediction models for M batches of data, and obtain the corresponding standard deviation σ; the prediction accuracy of each batch of prediction models for M batches of data refers to the residual standard deviation of the prediction SDvk ; Mark the potential temperature-sensitive interval segment points of each batch of data through the 3σ principle; when all M batches of data have completed marking the potential temperature-sensitive interval segment points in turn, select the threshold according to engineering needs to obtain the final temperature-sensitive interval segmentation points. paragraph point.
本发明还提供一种用于确定温度敏感区间分段建模点的系统,包括数据采集系统与计算机,所述计算机内配置有温度敏感区间分段建模点计算程序,并按照步骤1至步骤6进行;所述数据采集系统包括红外热成像仪、温度传感器组和电涡流位移传感器;红外热成像仪,用以对机床做热成像图,获得机床的温度彩图特征;根据热成像仪显示的温度彩图特征,能够人工标记机床的热源区域;温差传感器组,在人工标记机床的热源区域处与布置机床所处的环境处分别设置;其中,设置在人工标记机床的热源区域处的温度传感器,用以采集对应的机床热源区域的温度;设置在机床所处的环境中的温度传感器,用以测量环境温度变化;电涡流位移传感器,设置在机床主轴的X向、Y向、和/或Z向,获取机床主轴相对于工作台的热变形量。The present invention also provides a system for determining segmented modeling points in a temperature-sensitive interval, including a data acquisition system and a computer, wherein the computer is configured with a temperature-sensitive interval segmented modeling point calculation program, and is performed according to steps 1 to 6; The data acquisition system includes an infrared thermal imager, a temperature sensor group and an eddy current displacement sensor; an infrared thermal imager is used to make a thermal image of the machine tool to obtain the temperature color map characteristics of the machine tool; according to the temperature color map displayed by the thermal imager The characteristic is that the heat source area of the machine tool can be manually marked; the temperature difference sensor group is set separately at the heat source area of the manually marked machine tool and the environment where the machine tool is arranged; wherein, the temperature sensor set at the heat source area of the manually marked machine tool is used to Collect the temperature of the corresponding machine tool heat source area; a temperature sensor arranged in the environment where the machine tool is located to measure the change in ambient temperature; an eddy current displacement sensor, arranged in the X, Y, and/or Z directions of the machine tool spindle, Get the thermal deformation of the machine tool spindle relative to the table.
与现有技术相比,本发明的具有以下有益效果:Compared with the prior art, the present invention has the following beneficial effects:
1、本发明在获取温度敏感区间时,覆盖了全年范围内的环境温度,适应了实际生产需求。同时,本发明以真实测量值作为基础,是保证客观性的基础,并且通过预测残余标准差矩阵客观的反应出了环境温度变化对预测性能的影响,从而能够科学的确定出真实有效的温度敏感区间。1. When obtaining the temperature sensitive interval, the present invention covers the ambient temperature in the whole year, and adapts to the actual production demand. At the same time, the present invention is based on the real measurement value, which is the basis for ensuring objectivity, and objectively reflects the influence of environmental temperature changes on the prediction performance by predicting the residual standard deviation matrix, so that the real and effective temperature sensitivity can be scientifically determined. interval.
2、本发明创新性的采用预测残余标准差变化趋势图来直观的寻找到温度敏感区间,方便快捷。2. The present invention innovatively uses the change trend graph of the predicted residual standard deviation to intuitively find the temperature sensitive interval, which is convenient and quick.
3、在潜在温度敏感区间分段点的范围内,可根据工程需要自行确定最终的温度敏感区间分段点,具有很强的通用性。3. Within the range of the potential temperature sensitive interval subsection points, the final temperature sensitive interval subsection points can be determined by themselves according to the needs of the project, which has strong versatility.
4、本发明的系统软硬相结合,不需要复杂昂贵的仪器设备,降低成本,易于推广。4. The system of the present invention combines software and hardware, does not require complicated and expensive instruments and equipment, reduces costs, and is easy to popularize.
附图说明Description of drawings
图1为根据预测残余标准差矩阵绘制的预测残余标准差变化趋势图;Fig. 1 is the change trend diagram of the predicted residual standard deviation drawn according to the predicted residual standard deviation matrix;
图2为选择温度敏感区间分段点的流程框图。Figure 2 is a block diagram of a flow chart for selecting a temperature-sensitive interval segment point.
具体实施方式Detailed ways
下面结合附图和优选实施方式对本发明作进一步的详细说明。The present invention will be further described in detail below with reference to the accompanying drawings and preferred embodiments.
一、数据采集1. Data collection
数据采集系统包括红外热成像仪、温度传感器组和电涡流位移传感器;The data acquisition system includes infrared thermal imager, temperature sensor group and eddy current displacement sensor;
红外热成像仪,用以对机床做热成像图,获得机床的温度彩图特征;根据热成像仪显示的温度彩图特征,能够人工标记机床的热源区域;The infrared thermal imager is used to make a thermal image of the machine tool to obtain the temperature color map feature of the machine tool; according to the temperature color map feature displayed by the thermal imager, the heat source area of the machine tool can be manually marked;
温度传感器组,在人工标记机床的热源区域处与布置机床所处的环境处分别设置;其中,设置在人工标记机床的主要热源区域(主轴、电机、丝杠轴承等)处的温度传感器,用以采集对应的机床热源区域的温度;设置在机床所处的环境中的温度传感器,用以测量环境温度变化;The temperature sensor group is set separately at the heat source area of the manually marked machine tool and the environment where the machine tool is arranged; among them, the temperature sensor set at the main heat source area (spindle, motor, screw bearing, etc.) of the manually marked machine tool is used. In order to collect the temperature of the corresponding machine tool heat source area; the temperature sensor set in the environment where the machine tool is located is used to measure the environmental temperature change;
电涡流位移传感器,设置在机床主轴的X向、Y向、和/或Z向,获取机床主轴相对于工作台的热变形量。The eddy current displacement sensor is arranged in the X, Y, and/or Z directions of the machine tool spindle to obtain the thermal deformation of the machine tool spindle relative to the worktable.
在机床的热源处布置N个温度传感器采集机床热源处的温度,N不小于热源区域的数量。再放置一个温度传感器用于测量机床所处环境的温度变化状况;即,一共设置N+1个温度传感器,定期对机床热源和所处环境的温度值进行间隔采样;在全年范围内按环境温度从低到高的顺序共获取M批次采样数据,M的取值应保证获取M批次数据时的环境温度变化的并集能基本覆盖全年温度变化范围,M不小于1;在每一批次中将N+1个温度传感器采样获得的温度差分增量作为温度变量ΔTvi,v=1,2,...,M;i=1,2,...,N+1,即获得一个大小为M×(N+1)的温度变量数组,温度变量个数为N+1个;Arrange N temperature sensors at the heat source of the machine tool to collect the temperature at the heat source of the machine tool, and N is not less than the number of heat source areas. Another temperature sensor is placed to measure the temperature change of the environment where the machine tool is located; that is, a total of N+1 temperature sensors are set up to periodically sample the temperature values of the machine tool heat source and the environment; A total of M batches of sampling data are acquired in the order of temperature from low to high. The value of M should ensure that the union of ambient temperature changes when acquiring M batches of data can basically cover the annual temperature variation range, and M is not less than 1; The temperature differential increments obtained by sampling N+1 temperature sensors in a batch are taken as temperature variables ΔTvi , v=1,2,...,M; i=1,2,...,N+1, That is, a temperature variable array with a size of M×(N+1) is obtained, and the number of temperature variables is N+1;
在机床主轴的X向、Y向、和/或Z向安装一个或多个电涡流位移传感器,在全年范围内按环境温度从低到高的顺序分批次定期对机床主轴的热变形量Svj进行间隔采样。Install one or more eddy current displacement sensors in the X, Y, and/or Z directions of the machine tool spindle, and periodically measure the thermal deformation of the machine tool spindle in batches in the order of ambient temperature from low to high throughout the year Svj for interval sampling.
二、获取温度敏感区间2. Obtain the temperature sensitive range
在每一批次数据中筛选出带入热误差补偿预测模型的温度变量xv1,xv2,...,xvm,温度变量的筛选方法参照中国发明专利:“一种基于无偏估计拆分模型的数控机床热误差预测方法及系统”(专利号:CN201610256595.6)中的线性相关系数法;以筛选后的温度变量作为温度变量,以机床主轴的热变形量Svj为热误差因变量,利用多元线性回归分析建立机床热误差补偿预测模型;In each batch of data, the temperature variables xv1 , xv2 ,..., xvm brought into the thermal error compensation prediction model are screened out. The method and system of thermal error prediction of numerically controlled machine tools by model” (patent number: CN201610256595.6), the linear correlation coefficient method; the temperature variable after screening is used as the temperature variable, and the thermal deformation amount Svj of the machine tool spindle is used as the thermal error factor. variables, using multiple linear regression analysis to establish a prediction model for thermal error compensation of machine tools;
在求得的每一批次机床热误差补偿预测模型中分别以M批次数据筛选得到的温度变量xv1,xv2,...,xvm为自变量带入模型,得到大小为M×M的热变形量预测值矩阵,并根据热变形量预测值与热变形量测量值的差异状态获得大小为M×M的预测残余标准差矩阵,预测残余标准差的计算公式如式(1)所示:In the obtained prediction model for thermal error compensation of each batch of machine tools, the temperature variables xv1 , xv2 ,..., xvm obtained by screening M batches of data are brought into the model as independent variables, and the size is M× The thermal deformation predicted value matrix of M, and the predicted residual standard deviation matrix of size M×M is obtained according to the difference between the thermal deformation predicted value and the thermal deformation measured value. The calculation formula of the predicted residual standard deviation is as formula (1) shown:
式中,SDvk表示第v批次机床热误差预测模型对第k批次热变形量测量值的预测残余标准差,v=1,2,...,M,k=1,2,...,M;Skjq表示第k批次热变形量测量值中的j轴方向的第q个采样测量值,q=1,2,...,t,t表示采样总次数,j=X,Y和或Z轴;表示与Skjq对应的第v批次机床热误差预测模型对第k批次温度变量的热变形量预测值。In the formula, SDvk represents the residual standard deviation of the prediction model of the thermal error of the machine tool in the vth batch to the measured value of the kth batch of thermal deformation, v=1,2,...,M, k=1,2,. ..,M; Skjq represents the qth sampling measurement value in the j-axis direction in the kth batch of thermal deformation measurement values, q=1,2,...,t, t represents the total number of sampling times, j= X, Y and or Z axes; Indicates the thermal deformation prediction value of the vth batch of machine tool thermal error prediction model corresponding to Skjq for the kth batch of temperature variables.
在得到的大小为M×M的预测残余标准差数据矩阵中,矩阵的行表示第v批次数据建立的机床热误差补偿预测模型,列表示预测模型对其他批次数据的预测残余标准差,将矩阵数据按行绘制成图像,并带上获取对应批次数据时的环境温度变化数据,得到M批次数据建立的随环境温度变化的预测残余标准差变化趋势图,在预测残余标准差变化趋势图中找到温度敏感区间,所述温度敏感区间是指预测残余标准差发生跳变时所对应的温度区间,参考图1所示,在批次10到批次12之间对应的曲线发生了交叉,即跳变,此时所示对应的温度区间为21~29℃。In the obtained prediction residual standard deviation data matrix of size M×M, the rows of the matrix represent the machine tool thermal error compensation prediction model established by the vth batch of data, and the columns represent the predicted residual standard deviations of the prediction model for other batches of data, The matrix data is drawn into an image row by row, and the environmental temperature change data when the corresponding batch data is obtained are taken to obtain the change trend diagram of the predicted residual standard deviation with the environmental temperature change established by the M batch data. The temperature sensitive interval is found in the trend graph. The temperature sensitive interval refers to the temperature interval corresponding to when the predicted residual standard deviation jumps. Referring to Figure 1, the corresponding curve between
三、选择温度敏感区间分段点3. Select the temperature sensitive interval segment point
如图2所示,温度敏感区间分段点选择过程如下:As shown in Figure 2, the selection process of the segmented points in the temperature sensitive interval is as follows:
选择第k批次数据,k=1,...,M进行单样本的K-S检验,判断其是否符合正态分布;Select the kth batch of data, k=1,...,M to perform single-sample K-S test to determine whether it conforms to the normal distribution;
若符合正态分布,进行单个正态总体的方差的置信区间参数检验,获得标准差σ,若服从其他分布,则进行单个其他分布总体的方差的置信区间参数检验,获得标准差σ;If it conforms to the normal distribution, perform the parametric test of the confidence interval of the variance of a single normal population to obtain the standard deviation σ; if it conforms to other distributions, perform the parametric test of the confidence interval of the variance of the population of a single other distribution to obtain the standard deviation σ;
通过3σ原则标记该批数据潜在温度敏感区间分段点:用3σ原则去计算在温度敏感区间内的各温度点下发生跳变的概率,如可以将概率大于70%的温度点作为潜在温度敏感区间分段点。Mark the segmentation points of the potential temperature sensitive interval of the batch of data by the 3σ principle: use the 3σ principle to calculate the probability of jumping at each temperature point in the temperature sensitive interval, for example, the temperature point with a probability greater than 70% can be regarded as the potential temperature sensitive Interval segment point.
当所有M批次数据依次完成了标记潜在温度敏感区间分段点,根据工程需要选取阈值得到最终的温度敏感区间分段建模点。如精度要求较高时,可选择跳变概率在90%的温度点,精度要求较低时,可选择跳变概率在60%的温度点。When all M batches of data have completed marking the potential temperature sensitive interval segment points in turn, select the threshold value according to the engineering needs to obtain the final temperature sensitive interval segment modeling points. For example, when the accuracy requirements are high, the temperature point with the jump probability of 90% can be selected, and when the accuracy requirements are low, the temperature point with the jump probability of 60% can be selected.
四、算例分析Fourth, case analysis
为了验证温度敏感区间分段建模点的选择是否恰当,采用了发明人自行研发的机床热误差补偿分段预测模型针对Leaderway-V450型数控机床主轴Z向进行了热误差预测方法的研究,并与现有计算中的预测模型进行了对比。In order to verify whether the selection of the segmental modeling points in the temperature sensitive interval is appropriate, the thermal error prediction method of the machine tool thermal error compensation segmented prediction model developed by the inventor is used to study the thermal error prediction method for the Z-direction of the Leaderway-V450 CNC machine tool spindle. There are computational prediction models compared.
在温度敏感区间分段点两侧各取一批温度增量测量值和热变形量测量值,并分别采用多元线性回归分析法建立相应的机床热误差预测模型,从而得到机床热误差补偿分段预测模型。A batch of temperature increment measurement values and thermal deformation measurement values are taken on both sides of the segment point in the temperature sensitive interval, and the corresponding machine tool thermal error prediction model is established by the multiple linear regression analysis method, so as to obtain the machine tool thermal error compensation segment. prediction model.
采用机床热误差补偿分段预测模型分别对M批次数据的热变形量Svj进行预测,从而取得M批次热变形量预测值,根据M批次热变形量预测值与M批次热变形量测量值的差异状态,获得分段模型的预测性能,所述差异比较包括预测残余标准差比较,预测残余标准差的计算公式如式(1)所示;预测性能包括预测精度和预测精度的离散程度;分段模型对其他批次数据的预测残余标准差均值SDM,用来表征模型的预测精度,其值越小,说明模型的预测精度越高,SDM的计算公式如式(2)所示;分段模型对其他批次数据预测残余标准差的标准差SDD,用来表征模型预测精度的离散程度,其值越小,说明模型的稳健性越高,SDD的计算公式如式(3)所示。Use the machine tool thermal error compensation subsection prediction model to predict the thermal deformation amount Svj of M batches of data respectively, so as to obtain the predicted value of M batches of thermal deformation, according to the predicted value of M batches of thermal deformation and M batches of thermal deformation The difference state of the measurement value is obtained, and the prediction performance of the segmented model is obtained. The difference comparison includes the comparison of the prediction residual standard deviation. The calculation formula of the prediction residual standard deviation is shown in formula (1); the prediction performance includes the prediction accuracy and prediction accuracy. The degree of dispersion; the mean SDM of the residual standard deviation of the segmented model for other batches of data is used to characterize the prediction accuracy of the model. The smaller the value, the higher the prediction accuracy of the model. The calculation formula of SDM is as shown in formula (2). The standard deviation SDD of the residual standard deviation predicted by the segmented model for other batches of data is used to characterize the degree of dispersion of the prediction accuracy of the model. The smaller the value, the higher the robustness of the model. The calculation formula of SDD is as follows (3 ) shown.
SDM的计算公式如下:The formula for calculating SDM is as follows:
SDD的计算公式如下:The formula for calculating SDD is as follows:
式中,SDk表示机床热误差补偿分段预测模型对第k批次热变形量测量值的预测残余标准差。In the formula, SDk represents the residual standard deviation of the prediction of the thermal deformation measurement value of the kth batch of the machine tool thermal error compensation segmented prediction model.
本实例中,用红外热成像仪Ti200对以4000rpm转速空转了一个小时的Leaderway-V450型数控机床做热成像,判断并标记好热源区域,在机床主轴Z向的各热源区域放置温度传感器T1~T9,并放置温度传感器T10用于测量环境温度。热变形量的测量参照国际标准《ISO230-3:2007IDT》(机床检验通则第3部分:热效应的确定)。实验条件为:在不同转速、室内无空调的条件下在全年时间范围内共做了18批次实验,实验数据如下表1所示(由于篇幅原因,部分数据略去)。In this example, an infrared thermal imager Ti200 is used to thermally image the Leaderway-V450 CNC machine tool that has been idling at 4000rpm for one hour, determine and mark the heat source area, and place temperature sensors T1~ T9, and place the temperature sensor T10 to measure the ambient temperature. The measurement of thermal deformation refers to the international standard "ISO230-3:2007IDT" (General Rules for Machine Tool Inspection Part 3: Determination of Thermal Effects). The experimental conditions are: a total of 18 batches of experiments were done in the whole year under the conditions of different rotational speeds and no indoor air conditioning. The experimental data are shown in Table 1 below (for reasons of space, some data are omitted).
表1 18批次数控机床主轴Z向热变形实验数据记录Table 1 Experimental data records of Z-direction thermal deformation of CNC machine tool spindles in 18 batches
在每一批次数据中筛选出带入热误差补偿预测模型的温度变量xv1,xv2,...,xvm,温度变量的筛选方法参照中国发明专利:“一种基于无偏估计拆分模型的数控机床热误差预测方法及系统”(专利号:CN201610256595.6)中的线性相关系数法,得到18批次数据筛选后的温度变量情况如下表2所示。In each batch of data, the temperature variables xv1 , xv2 ,..., xvm brought into the thermal error compensation prediction model are screened out. According to the linear correlation coefficient method in the "Model-based numerical control machine tool thermal error prediction method and system" (Patent No.: CN201610256595.6), the temperature variables obtained after 18 batches of data are screened are shown in Table 2 below.
表2 18批次数据筛选后的温度变量情况Table 2 Temperature variables after screening of 18 batches of data
以筛选后的温度变量为自变量,机床主轴的热变形量Svj为热误差因变量,利用多元线性回归分析得到18批次数据建立的机床热误差补偿预测模型如下,记为P-M1~P-M18(由于篇幅原因,部分数据略去)。Taking the screened temperature variable as the independent variable, the thermal deformation of the machine tool spindle Svj as the thermal error dependent variable, and using the multiple linear regression analysis to obtain the 18 batches of data to establish the machine tool thermal error compensation prediction model as follows, denoted as P-M1~ P-M18 (for reasons of space, some data are omitted).
P-M1:y=0.61+2.10x1+2.07x2P-M1: y=0.61+2.10x1+2.07x2
P-M18:y=0.66+3.16x1+2.91x2P-M18: y=0.66+3.16x1+2.91x2
求取每一批次预测模型对18批次数据的热变形量预测值,并根据该值与热变形量测量值的差异状态获得预测残余标准差,将预测残余标准差数据矩阵按行绘制成图像,并带上获取对应批次数据时的环境温度变化数据,得到18批次数据建立的模型受环境温度影响的预测精度变化图,可以看出M批次数据建立的预测模型存在受环境温度影响的跳变区间。如图1所示,根据图1可以找出预测模型受环境温度影响的跳变区间,简称为温度敏感区间。Obtain the predicted value of thermal deformation of each batch of prediction model for 18 batches of data, and obtain the predicted residual standard deviation according to the difference between this value and the measured thermal deformation value, and draw the predicted residual standard deviation data matrix by row as Image, and bring the environmental temperature change data when the corresponding batch of data was obtained, and obtain the prediction accuracy change diagram of the model established by the 18 batches of data affected by the ambient temperature. It can be seen that the prediction model established by the M batches of data is affected by ambient temperature Affected transition interval. As shown in Fig. 1, according to Fig. 1, we can find out the jump interval in which the prediction model is affected by the ambient temperature, which is referred to as the temperature sensitive interval for short.
本实施例中,选取了24℃为温度敏感区间分段建模点,采用分段建模手段得到分段的机床热误差补偿预测模型如下,分段建模即为在温度敏感区间分段建模点两侧各取一批数据进行建模,建模手段与P-M1~P-M18模型的建立相同,得到的分段模型记为P-M0。In this embodiment, 24°C is selected as the temperature-sensitive interval segmental modeling point, and the segmented machine tool thermal error compensation prediction model is obtained by using segmental modeling methods as follows. Segmented modeling is to take a batch of each segmented modeling point on both sides of the temperature-sensitive interval. The data is modeled, and the modeling method is the same as the establishment of the P-M1~P-M18 models, and the obtained segmented model is recorded as P-M0.
通过公式(2)和公式(3)得到SDM=4.60μm,SDD=1.40μm。According to formula (2) and formula (3), SDM=4.60μm, SDD=1.40μm.
本实施例中,为了验证本发明公开的温度敏感区间分段建模技术解决强耦合性温度场的机床热误差补偿模型因受环境温度影响而导致的预测性能波动问题的有效性和优越性。将未采用温度敏感区间分段建模技术建立的P-M1~P-M18模型与采用温度敏感区间分段建模技术建立的P-M0模型进行预测精度和预测稳健性的比对如下表3。In this embodiment, in order to verify the effectiveness and superiority of the temperature sensitive interval segmental modeling technology disclosed in the present invention in solving the problem of predicting performance fluctuations of a machine tool thermal error compensation model with a strong coupling temperature field due to the influence of ambient temperature. The prediction accuracy and prediction robustness of the P-M1~P-M18 models established without the temperature-sensitive interval segmental modeling technology and the P-M0 model established with the temperature-sensitive interval segmented modeling technology are compared in Table 3 below.
表3 两种模型预测性能对比表Table 3 Comparison of the prediction performance of the two models
结合表3可知,采用温度敏感区间分段建模技术建立的机床热变形补偿模型相比未采用温度敏感区间分段建模技术建立的机床热变形补偿模型,其预测精度提升了50.5%,预测稳健性提升了69.9%。由此说明由本发明的确定温度敏感区间分段建模点的方法所确定出来的温度敏感区间分段建模点是十分科学合理的,有助于提高预测精度和稳健性。Combining with Table 3, it can be seen that the thermal deformation compensation model of the machine tool established with the temperature-sensitive interval segmental modeling technology has improved the prediction accuracy by 50.5% and the prediction robustness compared with the machine tool thermal deformation compensation model established without the temperature-sensitive interval segmented modeling technology. 69.9%. This shows that the temperature sensitive interval segmented modeling points determined by the method for determining the temperature sensitive interval segmented modeling points of the present invention are very scientific and reasonable, and help to improve prediction accuracy and robustness.
| Application Number | Priority Date | Filing Date | Title |
|---|---|---|---|
| CN201911129820.XACN110716500B (en) | 2019-11-18 | 2019-11-18 | Method and system for determining segmented modeling points for temperature-sensitive intervals |
| Application Number | Priority Date | Filing Date | Title |
|---|---|---|---|
| CN201911129820.XACN110716500B (en) | 2019-11-18 | 2019-11-18 | Method and system for determining segmented modeling points for temperature-sensitive intervals |
| Publication Number | Publication Date |
|---|---|
| CN110716500A CN110716500A (en) | 2020-01-21 |
| CN110716500Btrue CN110716500B (en) | 2020-07-28 |
| Application Number | Title | Priority Date | Filing Date |
|---|---|---|---|
| CN201911129820.XAActiveCN110716500B (en) | 2019-11-18 | 2019-11-18 | Method and system for determining segmented modeling points for temperature-sensitive intervals |
| Country | Link |
|---|---|
| CN (1) | CN110716500B (en) |
| Publication number | Priority date | Publication date | Assignee | Title |
|---|---|---|---|---|
| CN112923727B (en)* | 2021-02-03 | 2022-03-08 | 中南大学 | Roasting furnace real-time furnace condition evaluation method based on temperature trend characteristic extraction |
| CN113977347B (en)* | 2021-11-19 | 2023-06-16 | 深圳市万嘉科技有限公司 | Control method, equipment and computer readable storage medium for ultra-precision machine tool |
| CN115091363B (en)* | 2022-06-29 | 2023-07-14 | 广东豪特曼机床股份有限公司 | Thermal error compensation method, system and medium for hydrostatic guideway of follow-up grinding machine |
| CN116385591B (en)* | 2023-06-06 | 2023-08-15 | 杭州芯翼科技有限公司 | Method, device and equipment for displaying change trend graph |
| CN117251959B (en)* | 2023-11-20 | 2024-01-26 | 山东豪迈数控机床有限公司 | Machine tool spindle thermal elongation prediction method and device, electronic equipment and medium |
| Publication number | Priority date | Publication date | Assignee | Title |
|---|---|---|---|---|
| JPH08215983A (en)* | 1995-02-12 | 1996-08-27 | Hitachi Seiki Co Ltd | Method and apparatus for correcting thermal displacement of machine tool |
| CN105397560B (en)* | 2015-12-22 | 2018-07-06 | 重庆大学 | One kind is dry to cut chain digital control gear hobbing machine bed and workpiece method for thermal deformation error compensation |
| CN105700473B (en)* | 2016-04-13 | 2018-04-03 | 合肥工业大学 | A kind of full workbench curved surface thermal error compensation method of precise numerical control machine |
| CN105759719B (en)* | 2016-04-20 | 2018-08-24 | 合肥工业大学 | A kind of numerical control machining tool heat error prediction technique and system splitting model based on unbiased esti-mator |
| CN110058569B (en)* | 2019-05-19 | 2021-05-11 | 重庆理工大学 | A Modeling Method for Thermal Error of CNC Machine Tool Based on Optimal Fuzzy Neural Network |
| Publication number | Publication date |
|---|---|
| CN110716500A (en) | 2020-01-21 |
| Publication | Publication Date | Title |
|---|---|---|
| CN110716500B (en) | Method and system for determining segmented modeling points for temperature-sensitive intervals | |
| CN110889091B (en) | Machine tool thermal error prediction method and system based on temperature sensitive interval segmentation | |
| CN105759719B (en) | A kind of numerical control machining tool heat error prediction technique and system splitting model based on unbiased esti-mator | |
| CN118094449B (en) | Intelligent production monitoring method, system and device based on industrial Internet | |
| CN110543140A (en) | A Modeling Method for Selecting Thermal Key Points of CNC Machine Tool Spindle System Based on Time Characteristics | |
| CN111459094A (en) | Regional selection method for temperature sensitive point combination in machine tool spindle thermal error modeling | |
| TWI584134B (en) | Method for analyzing variation causes of manufacturing process and system for analyzing variation causes of manufacturing process | |
| CN102736558A (en) | Numerical control machine tool thermal error real-time compensation modeling method based on time series algorithm | |
| CN112307579B (en) | Thermal error temperature sensitive point selection method and system based on temperature comprehensive information | |
| CN106096266B (en) | A kind of automatic weather station method of quality control | |
| CN109840671A (en) | Operational development effect calculates equipment, operational development effect calculation method and recording medium | |
| CN110442911A (en) | A kind of higher-dimension complication system Uncertainty Analysis Method based on statistical machine learning | |
| CN108415372B (en) | Thermal error compensation method for precision machine tool | |
| Liu et al. | Thermal error modeling for machine tools: Mechanistic analysis and solution for the pseudocorrelation of temperature-sensitive points | |
| CN111580463A (en) | Method for selecting thermal key points of machine tool | |
| CN114895627B (en) | A method for thermal error compensation of machine tools based on different regions | |
| CN119047695B (en) | Lens production quality management system based on optical characteristics | |
| WO2024244412A1 (en) | Method for predicting thermal error of spindle of computer numerical control machine tool on basis of twin feature transfer between virtual sample machine tool and physical sample machine tool | |
| Wu et al. | A novel inverse method for Advanced monitoring of lubrication conditions in sliding bearings through adaptive genetic algorithm | |
| CN112816000A (en) | Comprehensive index evaluation method and system for indoor and outdoor wind environment quality of green building group | |
| CN118089819B (en) | Online temperature and humidity testing system and method | |
| CN110673470A (en) | Soft sensing modeling method for industrial non-stationary process based on local weighting factor model | |
| CN118728797B (en) | Fault detection method and system for digital equipment in building materials processing based on the Internet of Things | |
| CN118839176B (en) | A method for optimizing the collection and analysis of gas cabinet sensor data | |
| CN118656657B (en) | Multi-model fusion method based on wheat yield estimation |
| Date | Code | Title | Description |
|---|---|---|---|
| PB01 | Publication | ||
| PB01 | Publication | ||
| SE01 | Entry into force of request for substantive examination | ||
| SE01 | Entry into force of request for substantive examination | ||
| GR01 | Patent grant | ||
| GR01 | Patent grant | ||
| EE01 | Entry into force of recordation of patent licensing contract | Application publication date:20200121 Assignee:Chongqing Lianzhan Technology Co.,Ltd. Assignor:Chongqing University of Technology Contract record no.:X2024980028089 Denomination of invention:Method and system for determining segmented modeling points in temperature sensitive intervals Granted publication date:20200728 License type:Common License Record date:20241202 | |
| EE01 | Entry into force of recordation of patent licensing contract | ||
| EE01 | Entry into force of recordation of patent licensing contract | Application publication date:20200121 Assignee:Baishen Times (Chongqing) Energy Technology Co.,Ltd. Assignor:Chongqing University of Technology Contract record no.:X2024980036532 Denomination of invention:Method and system for determining segmented modeling points in temperature sensitive intervals Granted publication date:20200728 License type:Common License Record date:20241230 | |
| EE01 | Entry into force of recordation of patent licensing contract | ||
| EE01 | Entry into force of recordation of patent licensing contract | Application publication date:20200121 Assignee:Chongqing Magic Power Technology Co.,Ltd. Assignor:Chongqing University of Technology Contract record no.:X2025980008725 Denomination of invention:Method and system for determining segmented modeling points in temperature sensitive intervals Granted publication date:20200728 License type:Common License Record date:20250521 Application publication date:20200121 Assignee:Chongqing Fifth Dimension Digital Technology Co.,Ltd. Assignor:Chongqing University of Technology Contract record no.:X2025980008724 Denomination of invention:Method and system for determining segmented modeling points in temperature sensitive intervals Granted publication date:20200728 License type:Common License Record date:20250521 Application publication date:20200121 Assignee:CHONGQING DIWUWEI TECHNOLOGY CO.,LTD. Assignor:Chongqing University of Technology Contract record no.:X2025980008723 Denomination of invention:Method and system for determining segmented modeling points in temperature sensitive intervals Granted publication date:20200728 License type:Common License Record date:20250521 | |
| EE01 | Entry into force of recordation of patent licensing contract |