

技术领域technical field
本发明属于数据挖掘及推荐技术领域,具体涉及一种基于时空点过程的兴趣点预测方法。The invention belongs to the technical field of data mining and recommendation, and in particular relates to a point of interest prediction method based on a spatiotemporal point process.
背景技术Background technique
随着信息技术的发展,用户在享受便捷的信息和服务的同时,遭遇了信息过载问题,难以从海量在线数据中发现相关或者感兴趣的内容。推荐系统能够根据用户的历史记录主动挖掘用户潜在兴趣并帮助用户从海量在线数据中找到相关内容来满足用户需求,降低信息获取成本,而预测用户的行为是实现个性化推荐系统的关键之一。With the development of information technology, while enjoying convenient information and services, users encounter the problem of information overload, making it difficult to find relevant or interesting content from massive online data. Recommender systems can actively mine users' potential interests based on users' historical records and help users find relevant content from massive online data to meet user needs and reduce information acquisition costs. Predicting user behavior is one of the keys to implementing personalized recommendation systems.
然而,在兴趣点预测领域,传统方法通常无法充分利用用户的签到序列以及时间上下文和空间上下文信息,难以进一步提升准确率并满足用户的实时需求。因此,如何充分利用丰富的上下文信息序列信息,从中准确提取用户的长期兴趣和上下文动态兴趣并进行建模,是满足用户实时需求并提升预测推荐效果的关键之一。However, in the field of POI prediction, traditional methods usually cannot make full use of the user's check-in sequence and temporal context and spatial context information, and it is difficult to further improve the accuracy and meet the real-time needs of users. Therefore, how to make full use of the rich contextual information sequence information to accurately extract the user's long-term interests and contextual dynamic interests and model them is one of the keys to meet the real-time needs of users and improve the prediction and recommendation effect.
发明内容SUMMARY OF THE INVENTION
针对现有技术所存在的上述技术问题,本发明提供了一种基于时空点过程的兴趣点预测方法,能够改善预测和推荐的效果和性能。In view of the above technical problems existing in the prior art, the present invention provides a method for predicting interest points based on a spatiotemporal point process, which can improve the effect and performance of prediction and recommendation.
本发明包括如下步骤:The present invention comprises the following steps:
(1)收集所有用户的签到数据每个用户的签到数据为用户对兴趣点(Point of Interest,POI)的签到序列其中pi、ti和ci分别为POI、签到时间和上下文,ci包括时间上下文向量和空间上下文向量时间上下文向量是POI的6维访问时间段向量(<上午,中午,下午,晚上,工作日,节假日>),空间上下文向量是对应POI的2维地理位置向量(<经度,纬度>),用户集合、POI集合和上下文集合分别表示为U、P和C。(1) Collect check-in data of all users The check-in data of each user is the check-in sequence of the user's point of interest (POI). where pi , ti andci are POI, check-in time and context, respectively, andci includes the time context vector and the spatial context vector The time context vector is the 6-dimensional access period vector of POI (<am, noon, afternoon, evening, weekdays, holidays>), the spatial context vector is the 2-dimensional geographic location vector (<longitude, latitude>) corresponding to the POI, and the user Sets, POI sets, and context sets are denoted as U, P, and C, respectively.
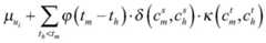
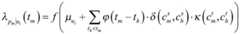
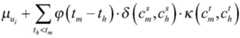
(2)根据用户ui对POI的签到序列将用户ui、历史签到序列{(p1,t1,c1),(p2,t2,c2),…,(pm-1,tm-1,cm-1)}和目标POI签到记录(pm,tm,cm)的条件密度函数建模为:(2) According to the check-in sequence of userui to POI Set user ui , historical check-in sequence {(p1 ,t1 ,c1 ),(p2 ,t2 ,c2 ),…,(pm-1 ,tm-1 ,cm-1 )} and the conditional density function of the target POI check-in records (pm , tm ,cm ) are modeled as:
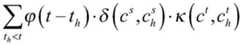
其中:是用户ui的一般兴趣,是用于表示时间衰减的指数函数,是用于表示空间上下文相似度的函数,是用于表示时间上下文相似度的函数,f(x)=1(1+exp(-x))是Logistic函数,用于保证的非负性。in: is the general interest of userui , is an exponential function used to represent time decay, is a function used to represent spatial context similarity, is the function used to represent the similarity of the temporal context, f(x)=1(1+exp(-x)) is the Logistic function, which is used to ensure of non-negativity.
上述指数函数定义为:The exponential function above defined as:
其中:αu是与用户相关的参数,用来表示对于不同用户,历史签到行为h对目标POIpm的影响程度是不同的。Among them: αu is a parameter related to the user, which is used to indicate that for different users, the impact degree of the historical check-in behavior h on the target POIpm is different.
上述空间上下文距离函数定义为:The above spatial context distance function defined as:
其中:βu是与用户相关的参数,用来表示空间上下文之间的相似程度的计算方式是个性化的,表示历史签到POI ph的地点上下文向量与目标POIpm的地点上下文向量之间的欧氏距离。Among them: βu is a parameter related to the user, and the calculation method used to express the similarity between spatial contexts is personalized, Location context vector representing historical check-in POIph location context vector with target POIpm Euclidean distance between .
上述时间上下文相似度函数定义为:The above temporal context similarity function defined as:
其中:γu是与用户相关的参数,用来表示对于不同用户,时间上下文的影响程度是不同的,表示历史签到POI ph的时间上下文向量与目标POI pm的时间上下文向量之间的欧氏距离。Among them: γu is a parameter related to the user, which is used to indicate that the influence degree of the time context is different for different users, Temporal context vector representing historical check-in POIph Temporal context vector with target POI pm Euclidean distance between .
(3)给定所有用户的POI签到序列数据对数形式的目标函数可以定义为:(3) Given the POI check-in sequence data of all users The objective function in logarithmic form can be defined as:
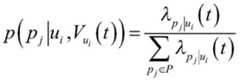
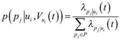
其中:是给定用户ui在时间t之前的POI签到交互序列用户ui对POI pj感兴趣的概率,定义为:in: is the POI check-in interaction sequence for a given user ui before time t The probability that user ui is interested in POI pj is defined as:
(4)对上述目标函数O进行最大化求解,以求得所有参数。(4) Maximize the above objective function O to obtain all parameters.
(5)根据用户历史签到记录,计算出用户对于P中每个POI的兴趣值。给定用户ui的历史交互记录和时空上下文信息cs和ct,用户ui对POI pj的兴趣定义为:(5) Calculate the user's interest value for each POI in P according to the user's historical check-in records. Given userui 's historical interaction records and spatiotemporal context information cs andct , userui 's interest in POI pj is defined as:
其中:f(x)=log(1+exp(x))是Logistic函数,用于保证概率值的非负性,是用户ui的一般兴趣,代表用户的上下文兴趣,t、cs和ct分别是当前的时间、时间上下文和空间上下文。Among them: f(x)=log(1+exp(x)) is the Logistic function, which is used to guarantee the probability value the non-negativity of , is the general interest of userui , Representing the user's contextual interests,t , cs, andct are the current temporal, temporal and spatial contexts, respectively.
(6)根据用户的兴趣值对数据库中所有POI从高到底排序,并提取兴趣值最高的若干个POI推荐给用户。排序公式如下:(6) Sort all POIs in the database from high to bottom according to the user's interest value, and extract several POIs with the highest interest value to recommend to the user. The sorting formula is as follows:
其中:u表示目标用户;pi∈P和pi′∈P是数据库中的POI。where: u represents the target user; pi∈P and pi′ ∈P are the POIs in the database.
本发明首次结合点过程模型集成时间和空间上下文信息,为解决上下文感知的行为建模与预测提供了一种可靠的方法;本发明根据用户的签到序列中的时空信息对用户的一般兴趣和上下文兴趣进行建模与预测,为用户的兴趣偏好的提取和建模困难提供了一种准确的方法;利用点过程模型集成时空上下文和序列信息,本发明能够提升预测和推荐的效果。The present invention integrates temporal and spatial context information with point process model for the first time, and provides a reliable method for solving context-aware behavior modeling and prediction; Interest modeling and prediction provides an accurate method for extracting and modeling difficulty of user's interest preference; using point process model to integrate spatiotemporal context and sequence information, the present invention can improve the effect of prediction and recommendation.
附图说明Description of drawings
图1为本发明的系统架构示意图。FIG. 1 is a schematic diagram of the system architecture of the present invention.
图2为本发明的用户偏好预测流程示意图。FIG. 2 is a schematic diagram of a user preference prediction process according to the present invention.
具体实施方式Detailed ways
为了更为具体地描述本发明,下面结合附图及具体实施方式对本发明的技术方案进行详细说明。In order to describe the present invention more specifically, the technical solutions of the present invention will be described in detail below with reference to the accompanying drawings and specific embodiments.
本发明基于时空点过程的兴趣点预测算法包括以下步骤:The interest point prediction algorithm based on the spatiotemporal point process of the present invention includes the following steps:
(1)收集所有用户的签到数据每个用户的签到数据为用户对兴趣点(Point of Interest,POI)的签到序列其中pi、ti和ci分别为POI、签到时间和上下文,ci包括时间上下文向量和空间上下文向量时间上下文向量是POI的6维访问时间段向量(<上午,中午,下午,晚上,工作日,节假日>),空间上下文向量是对应POI的2维地理位置向量(<经度,纬度>),用户集合、POI集合和上下文集合分别表示为U、P和C。(1) Collect check-in data of all users The check-in data of each user is the check-in sequence of the user's point of interest (POI). where pi , ti andci are POI, check-in time and context, respectively, andci includes the time context vector and the spatial context vector The time context vector is the 6-dimensional access period vector of POI (<am, noon, afternoon, evening, weekdays, holidays>), the spatial context vector is the 2-dimensional geographic location vector (<longitude, latitude>) corresponding to the POI, and the user Sets, POI sets, and context sets are denoted as U, P, and C, respectively.
(2)根据用户ui对POI的签到序列将用户ui、历史签到序列{(p1,t1,c1),(p2,t2,c2),…,(pm-1,tm-1,cm-1)}和目标POI签到记录(pm,tm,cm)的条件密度函数建模为:(2) According to the check-in sequence of userui to POI Set user ui , historical check-in sequence {(p1 ,t1 ,c1 ),(p2 ,t2 ,c2 ),…,(pm-1 ,tm-1 ,cm-1 )} and the conditional density function of the target POI check-in records (pm , tm ,cm ) are modeled as:
其中:是用户ui的一般兴趣,是用于表示时间衰减的指数函数,是用于表示空间上下文的相似度函数,是用于表示时间上下文相似度的函数,f(x)=1/(1+exp(-x))是Logistic函数,用于保证的非负性。in: is the general interest of userui , is an exponential function used to represent time decay, is the similarity function used to represent the spatial context, is the function used to represent the similarity of the temporal context, f(x)=1/(1+exp(-x)) is the Logistic function, which is used to ensure of non-negativity.
上述指数函数定义为:The above exponential function defined as:
其中:αu是与用户相关的参数,用来表示对于不同用户,历史签到行为h对目标POIpm的影响程度是不同的。Among them: αu is a parameter related to the user, which is used to indicate that for different users, the impact degree of the historical check-in behavior h on the target POIpm is different.
上述空间上下文距离函数定义为:The above spatial context distance function defined as:
其中:βu是与用户相关的参数,用来表示空间上下文之间的相似程度的计算方式是个性化的,表示历史签到POI ph的地点上下文向量与目标POIpm的地点上下文向量之间的欧氏距离。Among them: βu is a parameter related to the user, and the calculation method used to express the similarity between spatial contexts is personalized, Location context vector representing historical check-in POIph location context vector with target POIpm Euclidean distance between .
上述时间上下文相似度函数定义为:The above temporal context similarity function defined as:
其中:γu是与用户相关的参数,用来表示对于不同用户,时间上下文的影响程度是不同的,表示历史签到POI ph的时间上下文向量与目标POI pm的时间上下文向量之间的欧氏距离。Among them: γu is a parameter related to the user, which is used to indicate that the influence degree of the time context is different for different users, Temporal context vector representing historical check-in POIph Temporal context vector with target POI pm Euclidean distance between .
(3)给定所有用户的POI签到序列数据对数形式的目标函数可以定义为:(3) Given the POI check-in sequence data of all users The objective function in logarithmic form can be defined as:
其中:是给定用户ui在时间t之前的POI签到交互序列用户ui对POI pj感兴趣的概率,定义为:in: is the POI check-in interaction sequence for a given user ui before time t The probability that user ui is interested in POI pj is defined as:
(4)对上述目标函数O进行最大化求解,以求得所有参数。(4) Maximize the above objective function O to obtain all parameters.
(5)根据用户历史签到记录,计算出用户对于P中每个POI的兴趣值。给定用户ui的历史交互记录和时空上下文信息cs和ct,用户ui对POI pj的兴趣定义为:(5) Calculate the user's interest value for each POI in P according to the user's historical check-in records. Given userui 's historical interaction records and spatiotemporal context information cs andct , userui 's interest in POI pj is defined as:
其中:f(x)=log(1+exp(x))是Logistic函数,用于保证概率值的非负性,是用户ui的一般兴趣,代表用户的上下文兴趣,t、cs和ct分别是当前的时间、时间上下文和空间上下文。Among them: f(x)=log(1+exp(x)) is the Logistic function, which is used to guarantee the probability value the non-negativity of , is the general interest of userui , Representing the user's contextual interests,t , cs, andct are the current temporal, temporal and spatial contexts, respectively.
(6)根据用户的兴趣值对数据库中所有POI从高到底排序,并提取兴趣值最高的若干个POI推荐给用户。排序公式如下:(6) Sort all POIs in the database from high to bottom according to the user's interest value, and extract several POIs with the highest interest value to recommend to the user. The sorting formula is as follows:
其中:u表示目标用户;pi∈P和pi′∈P是数据库中的POI。where: u represents the target user; pi∈P and pi′ ∈P are the POIs in the database.
图1所示了本实施方式基于时空点过程的兴趣点预测方法的架构。该方法分为两个主要模块:预处理模块和预测模块。预处理模块中,首先获取所有用户的签到记录序列以及时空上下文信息;再利用点过程模型集成时空上下文信息并对用户的签到序列建模,得到基于时空点过程的兴趣模型。在预测模块中,首先从目标用户的POI签到数据中获取签到序列和上下文信息;然后利用基于时空点过程的兴趣模型推测用户的兴趣并预测用户接下来的签到行为。图2展示了用户偏好预测的详细步骤,其首先获取用户的历史签到数据和上下文信息,结合基于时空点过程的兴趣模型计算目标用户u对POI的偏好。FIG. 1 shows the architecture of the interest point prediction method based on the spatiotemporal point process in this embodiment. The method is divided into two main modules: a preprocessing module and a prediction module. In the preprocessing module, the check-in record sequence and spatio-temporal context information of all users are obtained first; the spatio-temporal context information is then integrated with the point process model and the user's check-in sequence is modeled to obtain an interest model based on the spatio-temporal point process. In the prediction module, the check-in sequence and context information are first obtained from the POI check-in data of the target user; then the interest model based on the spatiotemporal point process is used to infer the user's interest and predict the user's next check-in behavior. Figure 2 shows the detailed steps of user preference prediction, which first obtains the user's historical check-in data and contextual information, and calculates the target user u's POI preference based on the interest model based on the spatiotemporal point process.
上述的对实施例的描述是为便于本技术领域的普通技术人员能理解和应用本发明。熟悉本领域技术的人员显然可以容易地对上述实施做出各种修改,并把在此说明的一般原理应用到其他实施例中而不必经过创造性的劳动。因此,本发明不限于上述实施例,本领域技术人员根据本发明的揭示,对于本发明做出的改进和修改都应该在本发明的保护范围之内。The above description of the embodiments is for the convenience of those of ordinary skill in the art to understand and apply the present invention. It will be apparent to those skilled in the art that various modifications to the above-described implementations can be readily made, and the general principles described herein can be applied to other embodiments without inventive effort. Therefore, the present invention is not limited to the above-mentioned embodiments, and improvements and modifications made by those skilled in the art according to the disclosure of the present invention should all fall within the protection scope of the present invention.
| Application Number | Priority Date | Filing Date | Title |
|---|---|---|---|
| CN201910940088.8ACN110704741B (en) | 2019-09-30 | 2019-09-30 | Interest point prediction method based on spatiotemporal point process |
| Application Number | Priority Date | Filing Date | Title |
|---|---|---|---|
| CN201910940088.8ACN110704741B (en) | 2019-09-30 | 2019-09-30 | Interest point prediction method based on spatiotemporal point process |
| Publication Number | Publication Date |
|---|---|
| CN110704741Atrue CN110704741A (en) | 2020-01-17 |
| CN110704741B CN110704741B (en) | 2021-10-15 |
| Application Number | Title | Priority Date | Filing Date |
|---|---|---|---|
| CN201910940088.8AActiveCN110704741B (en) | 2019-09-30 | 2019-09-30 | Interest point prediction method based on spatiotemporal point process |
| Country | Link |
|---|---|
| CN (1) | CN110704741B (en) |
| Publication number | Priority date | Publication date | Assignee | Title |
|---|---|---|---|---|
| CN111949865A (en)* | 2020-08-10 | 2020-11-17 | 杭州电子科技大学 | Point-of-interest recommendation method based on graph neural network and user's long-term and short-term preferences |
| CN112419112A (en)* | 2020-11-30 | 2021-02-26 | 郑兰 | Academic growth curve generation method and device, electronic device and storage medium |
| CN112925893A (en)* | 2021-03-23 | 2021-06-08 | 苏州大学 | Conversational interest point recommendation method and device, electronic equipment and storage medium |
| CN114154740A (en)* | 2021-12-10 | 2022-03-08 | 杭州电子科技大学上虞科学与工程研究院有限公司 | Multidirectional traffic flow prediction method based on interest point space-time residual error neural network |
| CN114625971A (en)* | 2022-05-12 | 2022-06-14 | 湖南工商大学 | Interest point recommendation method and device based on user sign-in |
| CN114003825B (en)* | 2021-12-31 | 2023-07-28 | 垒途智能教科技术研究院江苏有限公司 | VR interaction method based on POI sequence |
| Publication number | Priority date | Publication date | Assignee | Title |
|---|---|---|---|---|
| CN107391582A (en)* | 2017-06-21 | 2017-11-24 | 浙江工商大学 | The information recommendation method of user preference similarity is calculated based on context ontology tree |
| CN109726336A (en)* | 2018-12-21 | 2019-05-07 | 长安大学 | A POI recommendation method combining travel interest and social preference |
| CN109948066A (en)* | 2019-04-16 | 2019-06-28 | 杭州电子科技大学 | A Point-of-Interest Recommendation Method Based on Heterogeneous Information Network |
| Publication number | Priority date | Publication date | Assignee | Title |
|---|---|---|---|---|
| CN107391582A (en)* | 2017-06-21 | 2017-11-24 | 浙江工商大学 | The information recommendation method of user preference similarity is calculated based on context ontology tree |
| CN109726336A (en)* | 2018-12-21 | 2019-05-07 | 长安大学 | A POI recommendation method combining travel interest and social preference |
| CN109948066A (en)* | 2019-04-16 | 2019-06-28 | 杭州电子科技大学 | A Point-of-Interest Recommendation Method Based on Heterogeneous Information Network |
| Title |
|---|
| DONGJIN YU等: ""Modeling User Contextual Behavior Semantics with Geographical Influence for Point-Of-Interest Recommendation"", 《THE 31ST INTERNATIONAL CONFERENCE ON SOFTWARE ENGINEERING AND KNOWLEDGE ENGINEERING》* |
| 王嘉春: ""基于用户签到行为的兴趣点推荐方法研究"", 《中国优秀硕士学位论文全文数据库 信息科技辑》* |
| Publication number | Priority date | Publication date | Assignee | Title |
|---|---|---|---|---|
| CN111949865A (en)* | 2020-08-10 | 2020-11-17 | 杭州电子科技大学 | Point-of-interest recommendation method based on graph neural network and user's long-term and short-term preferences |
| CN112419112A (en)* | 2020-11-30 | 2021-02-26 | 郑兰 | Academic growth curve generation method and device, electronic device and storage medium |
| CN112419112B (en)* | 2020-11-30 | 2024-03-05 | 郑兰 | Method and device for generating academic growth curve, electronic equipment and storage medium |
| CN112925893A (en)* | 2021-03-23 | 2021-06-08 | 苏州大学 | Conversational interest point recommendation method and device, electronic equipment and storage medium |
| WO2022198982A1 (en)* | 2021-03-23 | 2022-09-29 | 苏州大学 | Conversational point-of-interest recommendation method and apparatus, and electronic device and storage medium |
| CN112925893B (en)* | 2021-03-23 | 2023-09-15 | 苏州大学 | Conversational interest point recommendation method and device, electronic equipment and storage medium |
| CN114154740A (en)* | 2021-12-10 | 2022-03-08 | 杭州电子科技大学上虞科学与工程研究院有限公司 | Multidirectional traffic flow prediction method based on interest point space-time residual error neural network |
| CN114003825B (en)* | 2021-12-31 | 2023-07-28 | 垒途智能教科技术研究院江苏有限公司 | VR interaction method based on POI sequence |
| CN114625971A (en)* | 2022-05-12 | 2022-06-14 | 湖南工商大学 | Interest point recommendation method and device based on user sign-in |
| CN114625971B (en)* | 2022-05-12 | 2022-09-09 | 湖南工商大学 | Interest point recommendation method and device based on user sign-in |
| Publication number | Publication date |
|---|---|
| CN110704741B (en) | 2021-10-15 |
| Publication | Publication Date | Title |
|---|---|---|
| CN110704741B (en) | Interest point prediction method based on spatiotemporal point process | |
| CN110928993B (en) | User position prediction method and system based on deep cyclic neural network | |
| Liu et al. | Attentive crowd flow machines | |
| US11443015B2 (en) | Generating prediction models in accordance with any specific data sets | |
| US11288709B2 (en) | Training and utilizing multi-phase learning models to provide digital content to client devices in a real-time digital bidding environment | |
| US20240330690A1 (en) | Point-of-interest recommendation method and system based on brain-inspired spatiotemporal perceptual representation | |
| Zhang et al. | Image composition assessment with saliency-augmented multi-pattern pooling | |
| WO2023178608A1 (en) | Destination recommendation method and system based on multi-source heterogeneous information network | |
| Wachowicz et al. | Finding spatial outliers in collective mobility patterns coupled with social ties | |
| CN114359563B (en) | Model training method, device, computer equipment and storage medium | |
| CN110020144B (en) | Recommendation model building method and equipment, storage medium and server thereof | |
| CN111241425B (en) | POI recommendation method based on hierarchical attention mechanism | |
| CN113139140A (en) | Tourist attraction recommendation method based on space-time perception GRU and combined with user relation preference | |
| CN114662015A (en) | A method and system for point of interest recommendation based on deep reinforcement learning | |
| CN113569081A (en) | Image recognition method, device, equipment and storage medium | |
| CN114495137B (en) | Bill abnormity detection model generation method and bill abnormity detection method | |
| CN116257704B (en) | A point of interest recommendation method based on user spatiotemporal behavior and social information | |
| CN111667024A (en) | Content pushing method and device, computer equipment and storage medium | |
| EP3192061B1 (en) | Measuring and diagnosing noise in urban environment | |
| CN112650949B (en) | Regional POI (point of interest) demand identification method based on multi-source feature fusion collaborative filtering | |
| CN113407808B (en) | Method, device and computer equipment for determining the applicability of graph neural network models | |
| CN118520371A (en) | Multi-feature enhancement-based agricultural machinery movement behavior recognition method, device, equipment and storage medium | |
| CN119048147B (en) | User portrait generation method and system based on behavior data | |
| George et al. | Spatio-temporal event detection using poisson model and quad-tree on geotagged social media | |
| CN113971587B (en) | Article selection method and device, terminal equipment and storage medium |
| Date | Code | Title | Description |
|---|---|---|---|
| PB01 | Publication | ||
| PB01 | Publication | ||
| SE01 | Entry into force of request for substantive examination | ||
| SE01 | Entry into force of request for substantive examination | ||
| GR01 | Patent grant | ||
| GR01 | Patent grant | ||
| EE01 | Entry into force of recordation of patent licensing contract | Application publication date:20200117 Assignee:Zhejiang Taineng Technology Industry Co.,Ltd. Assignor:HANGZHOU DIANZI University Contract record no.:X2022980022905 Denomination of invention:Prediction method of interest points based on spatio-temporal point process Granted publication date:20211015 License type:Common License Record date:20221124 Application publication date:20200117 Assignee:ZHEJIANG ANDA SYSTEM ENGINEERING Co.,Ltd. Assignor:HANGZHOU DIANZI University Contract record no.:X2022980022900 Denomination of invention:Prediction method of interest points based on spatio-temporal point process Granted publication date:20211015 License type:Common License Record date:20221124 | |
| EE01 | Entry into force of recordation of patent licensing contract |