


技术领域technical field
本发明涉及计算机视觉测量技术领域,尤其涉及一种地铁车辆门系统的动态平稳性分析方法及装置。The invention relates to the technical field of computer vision measurement, in particular to a method and device for analyzing the dynamic stability of a subway vehicle door system.
背景技术Background technique
地铁车辆门系统是地铁列车重要的组成部分。地铁车辆门系统在地铁列车运行中频繁的开启与关闭,是与乘客接触的高频次装置。车辆门系统的运行平稳性反映了车辆门系统的健康状态,通过对车辆门系统的动态平稳性分析,可以实现对车辆门系统健康状态的预警和监测,对保证列车运行安全和乘客的生命财产安全具有重要意义。视觉测量以其大量程、高精度和便携性等特点,适用于地铁门系统动态平稳性的分析和监测。The subway vehicle door system is an important part of the subway train. The subway vehicle door system is frequently opened and closed during the operation of the subway train, and it is a high-frequency device in contact with passengers. The running stability of the vehicle door system reflects the health state of the vehicle door system. By analyzing the dynamic stability of the vehicle door system, the early warning and monitoring of the health state of the vehicle door system can be realized, which can ensure the safety of train operation and the life and property of passengers. Safety is important. The visual measurement is suitable for the analysis and monitoring of the dynamic stability of the subway door system due to its large range, high precision and portability.
地铁车辆门系统涉及机械动力技术、控制技术和信息等技术,是一项综合多项技术的复杂机械电气装置,地铁门频繁的开启和关闭,极易发生故障,造成行车故障,严重情况下危及乘客生命财产安全。地铁门系统门动作稳定性的监测是一项具有重要意义的研究内容。目前,关于地铁门系统动态稳定性的分析还不多,因此急需一种对地铁门系统动态平稳性分析的方法与装置,实现对地铁门系统的安全监测。The subway vehicle door system involves mechanical power technology, control technology and information technology. It is a complex mechanical and electrical device that integrates multiple technologies. The subway door is frequently opened and closed, which is prone to failures, causing traffic failures, and endangering in severe cases. Safety of life and property of passengers. The monitoring of door movement stability of subway door system is an important research content. At present, there is not much analysis on the dynamic stability of the subway door system, so a method and device for analyzing the dynamic stability of the subway door system are urgently needed to realize the safety monitoring of the subway door system.
发明内容SUMMARY OF THE INVENTION
发明目的:针对现有技术中对地铁车辆门系统动态平稳性分析的不足以及对系统动态测量装置的需求,本发明公开了一种地铁车辆门系统的动态平稳性分析方法及装置,提出了一种基于主动视觉分析的方法和一种高精度、低成本、可移动式的测量装置,解决了地铁车辆门系统无法实现在线动态监测的问题,实现了地铁门系统中门动作的实时监控和门健康状态的在线分析。Purpose of the invention: Aiming at the deficiencies in the dynamic stationarity analysis of the subway vehicle door system in the prior art and the demand for the system dynamic measurement device, the present invention discloses a dynamic stationarity analysis method and device for the subway vehicle door system, and proposes a method. A method based on active visual analysis and a high-precision, low-cost, movable measuring device solve the problem that the subway vehicle door system cannot realize online dynamic monitoring, and realize the real-time monitoring and door action of the subway door system. Online analysis of health status.
技术方案:本发明公开了一种地铁车辆门系统的动态平稳性分析方法,包括以下步骤:Technical solution: The present invention discloses a method for analyzing the dynamic stability of a subway vehicle door system, which includes the following steps:
步骤A、图像获取:激光器发出的激光光条,光条中心线与地铁车门门边的竖直黑色胶条边缘形成两个交点,该交点记为目标点,在车门开启或关闭过程的任意时刻t,触发并启动双目立体视觉测量系统中像机工作,分别获取带有激光光条的车门图像;Step A. Image acquisition: the laser light bar emitted by the laser, the center line of the light bar and the edge of the vertical black strip on the subway door form two intersection points, the intersection points are recorded as the target point, at any time during the door opening or closing process t. Trigger and start the camera in the binocular stereo vision measurement system to obtain the image of the door with the laser light bar;
步骤B、亚像素提取并拟合线条方程:利用Steger算法精确提取带有激光光条的车门图像亚像素,包括光条中心线的亚像素位置和边缘方向,根据提取出的光条中心线的亚像素位置,拟合求出光条中心线分别在两幅图像中的直线方程;Step B. Sub-pixel extraction and fitting of line equations: Use Steger algorithm to accurately extract the sub-pixels of the door image with the laser light bar, including the sub-pixel position and edge direction of the center line of the light bar, according to the extracted center line of the light bar. Sub-pixel position, fit and find the straight line equation of the center line of the light bar in the two images;
步骤C、求出两个目标点在图像中的坐标:利用Hough变换求取列车车门两扇门边的竖直黑色胶条边缘在两幅图像中的直线方程,结合步骤B中求出的光条中心线的直线方程,求出两个目标点分别在两幅图像中的坐标;Step C, find the coordinates of the two target points in the image: use the Hough transform to find the straight line equation of the vertical black tape edge of the two doors of the train door in the two images, and combine the light obtained in step B. Find the coordinates of the two target points in the two images by using the straight line equation of the center line;
步骤D、初始化双目立体视觉测量系统:根据步骤A中两幅图像对双目立体视觉测量系统进行标定,求出两个像机的内参数和外部结构参数;Step D, initializing the binocular stereo vision measurement system: according to the two images in the step A, the binocular stereo vision measurement system is calibrated, and the internal parameters and external structural parameters of the two cameras are obtained;
步骤E、求出在时刻t两个目标点在实际三维空间中的距离:在双目立体视觉测量系统中,结合步骤D中像机标定结果,由步骤C中每个目标点在双目像机中的图像坐标,可以分别实现t时刻两个目标点的三维重建,求取在时刻t两目标点之间的三维距离dt;Step E, find the distance between the two target points in the actual three-dimensional space at time t: in the binocular stereo vision measurement system, combined with the camera calibration result in step D, each target point in step C is in the binocular image. The image coordinates in the computer can respectively realize the three-dimensional reconstruction of the two target points at time t, and obtain the three-dimensional distance dt between the two target points at time t ;
步骤F、求出在时刻t+Δt两个目标点在实际三维空间中的距离:在车辆门开启或关闭过程的t+Δt时刻,根据步骤E所述方法,求取在t+Δt时刻的三维距离dt+Δt;Step F. Obtain the distance between the two target points at time t+Δt in the actual three-dimensional space: at time t+Δt during the opening or closing process of the vehicle door, according to the method described in step E, obtain the distance at time t+Δt. three-dimensional distance dt+Δt ;
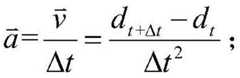
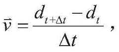
步骤G、数据处理分析:根据步骤E与步骤F求出的dt与dt+Δt,计算出车辆门系统在Δt时间内运行的平均速度和平均加速度其中平均速度平均加速度在车辆门开启和关闭的过程时间内,通过调整像机图像的采集间隔Δt,逼近还原列车门在瞬时的运行速度和加速度,进而实现地铁列车门动态运行状态的平稳性分析和健康状态的在线监测。Step G, data processing and analysis: According to the dt and dt+Δt obtained in steps E and F, calculate the average speed of the vehicle door system running within the time Δt and average acceleration where average speed average acceleration During the process time of opening and closing the vehicle door, by adjusting the acquisition interval Δt of the camera image, the instantaneous running speed and acceleration of the train door can be approximated and restored, so as to realize the stability analysis of the dynamic running state of the subway train door and the online health state of the subway train door. monitor.
作为优选,所述步骤B还包括:Preferably, the step B also includes:
步骤B1:对步骤A获取的图像中激光条纹上的任意像素(x0,y0),求出该点的Hessian矩阵;Step B1: For any pixel (x0 , y0 ) on the laser stripe in the image obtained in step A, obtain the Hessian matrix of the point;
步骤B2:在步骤B1中Hessian矩阵最大特征值对应的特征向量对应于光条的法线方向,像素(x0,y0)的相邻像素的图像可以表示成二次泰勒多项式形式,求出像素(x0,y0)处光条中心的亚像素坐标;Step B2: In step B1, the eigenvector corresponding to the largest eigenvalue of the Hessian matrix corresponds to the normal direction of the light bar, and the image of the adjacent pixels of the pixel (x0 , y0 ) can be expressed in the form of a quadratic Taylor polynomial, and the subpixel coordinates of the center of the light bar at pixel (x0 , y0 );
步骤B3:根据提取出的光条中心线的亚像素位置,拟合求出光条中心线分别在两幅图像中的直线方程。Step B3: According to the extracted sub-pixel positions of the center line of the light bar, the straight line equations of the center line of the light bar in the two images are obtained by fitting.
作为优选,所述步骤E还包括:Preferably, the step E also includes:
步骤E1:根据步骤D中的双目立体视觉测量系统,建立两摄像机坐标系O1-xlylzl和O2-xryrzr,和两像机的图像坐标系o1-u1v1和o2-u2v2;Step E1: According to the binocular stereo vision measurement system in Step D, establish two-camera coordinate systems O1 -xl yl zl and O2 -xr yr zr , and an image coordinate system o1 of the two cameras -u1 v1 and o2 -u2 v2 ;
步骤E2:选定任意一目点P在两幅图像上的投影点的齐次坐标分别为和根据摄像机的透视投影模型得到点P在三维世界坐标系下的齐次坐标的方程组:Step E2: The homogeneous coordinates of the projection point of the selected point P on the two images are respectively: and Obtain the homogeneous coordinates of point P in the three-dimensional world coordinate system according to the perspective projection model of the camera system of equations:
其中M1和M2分别为点P到图像点p1和p2的投影矩阵,由对应摄像机的内参数和外部结构参数决定,λu和λ′u分别为空间点在对应图像平面上的投影系数;where M1 and M2 are the projection matrices of the point P to the image points p1 and p2 , respectively, which are determined by the internal parameters and external structural parameters of the corresponding camera, and λu and λ′u are the spatial points on the corresponding image plane, respectively. projection coefficient;
步骤E3:对步骤E2中所求的方程组展开化简,求出两幅图像成像平面上的像素坐标对应世界坐标系下的三维坐标的一般性公式:Step E3: Expand and simplify the equation set obtained in Step E2, and obtain a general formula in which the pixel coordinates on the imaging plane of the two images correspond to the three-dimensional coordinates in the world coordinate system:
其中,in,
步骤E4:根据步骤E3代入步骤C求出的第一目标点(8)和第二目标点(9)在两幅图像中的坐标,求出t时刻下两目标点在世界坐标系下的三维坐标,接着求出两点之间的距离dt。Step E4: Substitute the coordinates of the first target point (8) and the second target point (9) in the two images obtained in step C according to step E3, and obtain the three-dimensional coordinates of the two target points in the world coordinate system at time t. coordinates, and then find the distance dt between the two points.
本发明还公开了一种地铁车辆门系统的动态平稳性分析方法的装置,包括一组用于目标点三维重建的双目立体视觉测量系统,其中双目立体视觉测量系统主要由第一像机和第二像机组成;用于向地铁车门方向投射激光光条的激光器;用于支撑双目立体视觉测量系统和激光器的支架;在双目立体视觉测量系统的一侧放置一台用来接收和处理高速摄像机拍摄的图像的计算机;用于承载计算机和支架的手动推车。The invention also discloses a device for analyzing the dynamic stability of a subway vehicle door system, including a set of binocular stereo vision measurement systems for three-dimensional reconstruction of target points, wherein the binocular stereo vision measurement system is mainly composed of a first camera. It is composed of a second camera; a laser for projecting a laser light bar towards the subway door; a bracket for supporting the binocular stereo vision measurement system and the laser; one side of the binocular stereo vision measurement system is placed to receive and a computer that processes images captured by a high-speed camera; a hand cart to carry the computer and stand.
作为优选,所述激光器采用扇面激光类型的线阵投射器,投射到列车门上呈现出一种水平细长形光条,根据测量位置可以调整投射器的水平角度和俯仰角度。Preferably, the laser adopts a linear array projector of the fan laser type, which is projected onto the train door to present a horizontal slender light bar, and the horizontal angle and pitch angle of the projector can be adjusted according to the measurement position.
作为优选,在对双目立体视觉测量系统进行标定时,对双目立体视觉测量系统内像机和像机进行固定,使像机和像机不发生相对运动。Preferably, when calibrating the binocular stereo vision measurement system, the camera and the camera in the binocular stereo vision measurement system are fixed so that the camera and the camera do not move relative to each other.
作为优选,所述手动推车为升降型手动推车Preferably, the manual cart is a lift-type manual cart
有益效果:本发明公开了一种地铁车辆门系统的动态平稳性分析装置及方法,结合主动视觉测量技术,利用激光光条与目标边缘线的交点,实现目标点的精确定位;结合双目视觉测量系统,实现在车辆门系统开启和关闭的任意时刻内,目标点三维距离的解算;通过调整像机图像的采集间隔,逼近还原列车门在每一时刻的运行速度和加速度等状态参数,实现列车门系统的动态稳定性分析。本发明提出的方法简单,易操作,测量精度高;提出的测量装置大大降低了列车门状态监测成本,有效解决了车辆门系统动态平稳性分析和运行健康状态的监测问题。Beneficial effects: The present invention discloses a dynamic stability analysis device and method for a subway vehicle door system, combined with the active vision measurement technology, using the intersection of the laser light bar and the target edge line to achieve accurate positioning of the target point; combined with binocular vision The measurement system realizes the calculation of the three-dimensional distance of the target point at any time when the vehicle door system is opened and closed; by adjusting the acquisition interval of the camera image, the state parameters such as the running speed and acceleration of the train door at each moment are approximated and restored. Realize the dynamic stability analysis of the train door system. The method proposed by the invention is simple, easy to operate, and has high measurement accuracy; the proposed measurement device greatly reduces the cost of train door state monitoring, and effectively solves the problems of dynamic stability analysis and running health state monitoring of the vehicle door system.
附图说明Description of drawings
图1为本发明的地铁车辆门系统的动态平稳性分析装置及方法的流程图;Fig. 1 is the flow chart of the dynamic stationarity analysis device and method of the subway vehicle door system of the present invention;
图2为本发明的地铁车辆门系统的动态平稳性分析装置结构图;Fig. 2 is the structure diagram of the dynamic stability analysis device of the subway vehicle door system of the present invention;
图3为本发明的基于激光光条的主动双目视觉测量示意图。FIG. 3 is a schematic diagram of the active binocular vision measurement based on the laser light bar of the present invention.
具体实施方式Detailed ways
本发明公开了一种地铁车辆门系统的动态平稳性分析装置,基于主动视觉测量的方法,其特征在于分为图像处理阶段和测量两个阶段。移动式视觉测量装置包括一个可升降型的手动推车,用于测量装置的移动;安装在手动推车支架上的一组双目立体视觉测量系统(像机1和2组成),用于目标点的三维重建;向列车车门方向投射激光光条的线阵激光器,用于目标点8和9的特征提取;一台用来接收和处理高速摄像机拍摄的图像的计算机。The invention discloses a dynamic stability analysis device of a subway vehicle door system. The method based on active vision measurement is characterized in that it is divided into two stages: image processing stage and measurement stage. The mobile vision measurement device includes a liftable manual trolley for the movement of the measuring device; a set of binocular stereo vision measurement systems (composed of cameras 1 and 2) mounted on the manual trolley bracket for the target 3D reconstruction of points; line array lasers projecting laser light bars in the direction of the train doors for feature extraction of
本实施例中,线阵激光器3是一种扇面激光类型的投射器,投射到列车门上呈现出一种水平细长形光条5,根据测量位置可以调整投射器的水平角度和俯仰角度。优选激光器3与双目立体视觉测量系统是相互独立的,单独调整或任意移动一组系统的位置不影响系统的整体使用,不需要对视觉测量系统进行重新标定。In this embodiment, the
一种地铁车辆门系统的动态平稳性分析装置及方法,其特征在于:包括以下步骤:A device and method for analyzing the dynamic stability of a subway vehicle door system, characterized in that it comprises the following steps:
1.1图像处理阶段1.1 Image processing stage
步骤A:图像获取;固定测量装置在合适位置,在车门开启或关闭过程的任意时刻t,触发并启动测量装置中像机1和2工作,分别获取带有激光光条5的车门图像;Step A: image acquisition; fix the measuring device in a suitable position, trigger and start the cameras 1 and 2 in the measuring device at any time t during the opening or closing process of the vehicle door, and obtain the image of the vehicle door with the
步骤B:亚像素提取并拟合线条方程;利用Steger算法精确提取带有激光光条5的车门图像亚像素,包括光条中心线的亚像素位置和边缘方向,根据提取出的光条中心线的亚像素位置,拟合求出光条中心线分别在两幅图像中的直线方程;Steger算法基于Hessian矩阵,能够实现光条中心亚像素精度定位。Step B: Sub-pixel extraction and fitting of the line equation; use the Steger algorithm to accurately extract the sub-pixels of the door image with the
其中,步骤B还包括,Wherein, step B also includes,
步骤R1:对步骤A获取的图像中激光条纹上的任意像素(x0,y0),求出该点的Hessian矩阵;对于图像中激光条纹上的任意一点(x,y),Hessian矩阵可以表示为:Step R1: For any pixel (x0 , y0 ) on the laser stripe in the image obtained in step A, obtain the Hessian matrix of the point; for any point (x, y) on the laser stripe in the image, the Hessian matrix can be Expressed as:
其中,gxx表示图像沿x的二次偏导数,gxy表示图像沿x和y的二次偏导数,gyy表示图像沿y的二次偏导数。Among them, gxx represents the second partial derivative of the image along x, gxy represents the second partial derivative of the image along x and y, and gyy represents the second partial derivative of the image along y.
步骤B2:在步骤B1中Hessian矩阵最大特征值对应的特征向量对应于光条的法线方向,像素(x0,y0)的相邻像素的图像可以表示成二次泰勒多项式形式,求出像素(x0,y0)处光条中心的亚像素坐标;二维图形任意像素(x0,y0)的相邻像素的图像可以表示成二次泰勒多项式形式:Step B2: In step B1, the eigenvector corresponding to the largest eigenvalue of the Hessian matrix corresponds to the normal direction of the light bar, and the image of the adjacent pixels of the pixel (x0 , y0 ) can be expressed in the form of a quadratic Taylor polynomial, and the The subpixel coordinates of the center of the light bar at pixel (x0 , y0 ); the image of the adjacent pixels of any pixel (x0 , y0 ) in a two-dimensional graphic can be expressed in the form of a quadratic Taylor polynomial:
Hessian矩阵最大特征值对应的特征向量对应于光条的法线方向,以点(x0,y0)为基准点,沿边缘方向用用(nx,ny)表示为The eigenvector corresponding to the largest eigenvalue of the Hessian matrix corresponds to the normal direction of the light bar, with the point (x0 , y0 ) as the reference point, along the edge direction is represented by (nx ,ny ) as
针对线条边缘,令则光条中心的亚像素坐标为:For line edges, let Then the sub-pixel coordinates of the center of the light bar are:
(px,py)=(tnx+x0,tny+y0) (4)(px , py )=(tnx +x0 , tny +y0 ) (4)
其中,如果(tnx,tny)∈[-0.5,0.5]×[-0.5,0.5],即一阶导数为零的点位于当前像素内,且(nx,ny)方向的二阶导数大于指定的阈值,则该点(x0,y0)为光条的中心点,(px,py)则为亚像素坐标。in, If (tnx , tny )∈[-0.5, 0.5]×[-0.5, 0.5], that is, the point whose first derivative is zero is located in the current pixel, and the second derivative in the (nx ,ny ) direction is greater than The specified threshold, the point (x0 , y0 ) is the center point of the light bar, and (px ,py ) is the sub-pixel coordinate.
步骤B3:根据提取出的光条中心线的亚像素位置,拟合求出光条中心线分别在两幅图像中的直线方程;针对提取出的整个光条的中心点的亚像素坐标,利用最小二乘法拟合光条直线:Step B3: According to the extracted sub-pixel positions of the center line of the light bar, fit the straight line equations of the center line of the light bar in the two images; for the extracted sub-pixel coordinates of the center point of the entire light bar, use Least squares fit the light line:
y=asx+cs (5)y=asx+c s( 5)
步骤C:求出两个目标点在图像中的坐标;利用Hough变换求取列车车门两扇门边的竖直黑色胶条边缘在两幅图像中的直线方程,结合步骤B中求出的光条中心线的直线方程,求出目标点8和9在两幅图像中的坐标;在二维平面O-xv中,假设直线方程为y=kx+b (6)Step C: Find the coordinates of the two target points in the image; use the Hough transform to find the straight line equation of the vertical black strip edges on the two doors of the train door in the two images, and combine the light obtained in step B. Find the coordinates of the target points 8 and 9 in the two images; in the two-dimensional plane O-xv, assume that the straight line equation is y=kx+b (6)
其中,(k,b)分别是直线的斜率和截距,如果(k,b)确定了,也就唯一的确定了O-xy平面上的一条直线;把二维空间换算到O-kb空间,直线y=kx+b唯一的对应于O-kb平面上的一个点(k,b);这种线到点的变换就是Hough变换。不失一般性,直线方程利用极坐标形式表示,Among them, (k, b) are the slope and intercept of the straight line, respectively. If (k, b) is determined, it will uniquely determine a straight line on the O-xy plane; convert the two-dimensional space to O-kb space , the line y=kx+b uniquely corresponds to a point (k, b) on the O-kb plane; this line-to-point transformation is the Hough transform. Without loss of generality, the equation of the line is expressed in polar coordinates,
ρ=x cosθ+y sinθ (7)ρ=x cosθ+y sinθ (7)
利用此变换,结合图像边缘的灰度信息,即可以实现列车门中左右两扇门边的竖直黑色胶条边缘检测,分别求出在t时刻时两条黑色胶条边缘的直线方程为Using this transformation, combined with the grayscale information of the edge of the image, the edge detection of the vertical black strips on the left and right sides of the train door can be realized.
ρ0=x cosθ0+y sinθ0 (8)ρ0 =x cosθ0 +y sinθ0 (8)
ρ1=x cosθ1+y sinθ1 (9)ρ1 =x cosθ1 +y sinθ1 (9)
联立公式(5)和(8),可以求得目标点8分别在两幅图像中的坐标(x8,y8)和(x’8,y’8),By combining formulas (5) and (8), the coordinates (x8 , y8 ) and (x'8 , y'8 ) of the
联立公式(5)和(9),可以求得目标点9在两幅图像中的坐标(x9,y9)和(x’9,y’9),By combining formulas (5) and (9), the coordinates (x9 , y9 ) and (x'9 , y'9 ) of the
1.2测量阶段1.2 Measurement Phase
步骤D:初始化双目立体视觉测量系统;对双目立体视觉测量系统进行标定,求出两个像机的内参数和外部结构参数;根据摄像机的针孔成像模型,利用平面方格点的摄像机标定方法,可以实现机器人的搭载摄像机的精确标定。假定靶标平面的三维点的齐次坐标记为图像平面的二维点齐次坐标为二者之间的射影关系为Step D: Initialize the binocular stereo vision measurement system; calibrate the binocular stereo vision measurement system, and find out the internal parameters and external structural parameters of the two cameras; The calibration method can realize the accurate calibration of the camera mounted on the robot. It is assumed that the homogeneous coordinates of the three-dimensional points of the target plane are marked as The two-dimensional point homogeneous coordinates of the image plane are The projective relationship between the two is
其中,s为一任意的非零尺度因子,[R t]是一个3行4列的矩阵,称为像机外参数矩阵,R称为旋转矩阵,t=(t1,t2,t3)T,称为平移矩阵,A称为摄像机的内部参数矩阵。αx、αy是u轴和v轴的尺度因子,(u0,v0)为主点坐标,r是u轴和v轴的不垂直因子。由张氏平面标定法,可以求出像机的内参数矩阵A即所求的内参数。Among them, s is an arbitrary non-zero scale factor, [R t] is a matrix with 3 rows and 4 columns, called the camera extrinsic parameter matrix, R is called the rotation matrix, t=(t1 , t2 , t3 )T , called the translation matrix, A is called the internal parameter matrix of the camera. αx , αy are the scale factors of the u-axis and v-axis, (u0 , v0 ) are the coordinates of the principal point, and r is the non-perpendicular factor of the u-axis and v-axis. By Zhang's plane calibration method, the internal parameter matrix A of the camera can be obtained, that is, the required internal parameters.
双目立体视觉标定与像机内参数标定的最主要区别就是双目摄像机需要标定出左右两摄像机坐标系之间的相对关系。假设双目立体视觉系统中左右摄像机的外部参数分别为Rl、Tl和Rr、Tr,Rl、Tl分别表示左摄像机与世界坐标系的相对位置,Rr、Tr分别表示右摄像机与世界坐标系的相对位置。对空间任意一点,假设它在世界坐标系、做摄像机坐标系和右摄像机坐标系下的非齐次坐标坐标分别为xw、xl、xr,则有The main difference between binocular stereo vision calibration and camera parameter calibration is that the binocular camera needs to calibrate the relative relationship between the left and right camera coordinate systems. Assume that the external parameters of the left and right cameras in the binocular stereo vision system are Rl , Tl andRr , Tr , respectively, Rl , Tl represent the relative positions of the left camera and the world coordinate system,Rr , Tr respectively The relative position of the right camera to the world coordinate system. For any point in space, assuming that its inhomogeneous coordinate coordinates in the world coordinate system, the camera coordinate system and the right camera coordinate system are respectively xw , xl , xr , then there are
消去xw,得到Eliminating xw , we get
因此,两个摄像机之间的几何关系R、T可以用以下关系表示:Therefore, the geometric relationship R, T between the two cameras can be represented by the following relationship:
通过对左右像机的单独标定,即可以求出Rl、Tl和Rr、Tr,最终求出双目像机的几何关系R、T,即所求的外部结构参数。By calibrating the left and right cameras separately, Rl , Tl and Rr , Tr can be obtained, and finally the geometric relationship R and T of the binocular camera can be obtained, that is, the required external structural parameters.
步骤E:求出在时刻t两个目标点在实际三维空间中的距离;在双目立体视觉测量系统中,分别实现t时刻两个目标点8和9的三维重建,求取在时刻t两目标点8和9之间的三维距离dt;Step E: Find the distance between the two target points at time t in the actual three-dimensional space; in the binocular stereo vision measurement system, respectively realize the three-dimensional reconstruction of the two
其中步骤E还包括Wherein step E also includes
步骤E1:根据步骤D中的双目立体视觉测量系统,建立两摄像机坐标系O1-xlylzl和O2-xryrzr,和两像机的图像坐标系o1-u1v1和o2-u2v2;Step E1: According to the binocular stereo vision measurement system in Step D, establish two-camera coordinate systems O1 -xl yl zl and O2 -xr yr zr , and an image coordinate system o1 of the two cameras -u1 v1 and o2 -u2 v2 ;
步骤E2:假设一目点P在两幅图像上的投影点的齐次坐标分别为和根据摄像机的透视投影模型得到点P在三维世界坐标系下的齐次坐标的方程组:Step E2: Assume that the homogeneous coordinates of the projection point of a target point P on the two images are respectively and Obtain the homogeneous coordinates of point P in the three-dimensional world coordinate system according to the perspective projection model of the camera system of equations:
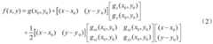
其中M1和M2分别为点P到图像点p1和p2的投影矩阵,由对应摄像机的内参数和外部结构参数决定,λu和λ′u分别为空间点在对应图像平面上的投影系数;where M1 and M2 are the projection matrices of the point P to the image points p1 and p2 , respectively, which are determined by the internal parameters and external structural parameters of the corresponding camera, and λu and λ′u are the spatial points on the corresponding image plane, respectively. projection coefficient;
步骤E3:对步骤E2中所求的方程组展开化简,求出两幅图像成像平面上的像素坐标对应世界坐标系下的三维坐标的一般性公式:Step E3: Expand and simplify the equation set obtained in Step E2, and obtain a general formula in which the pixel coordinates on the imaging plane of the two images correspond to the three-dimensional coordinates in the world coordinate system:
其中,in,
步骤E4:根据步骤E3代入步骤C求出的目标点8和9在两幅图像中的坐标,求出t时刻下两目标点在世界坐标系下的三维坐标,接着求出两点之间的距离dt。假设两目标点在世界坐标系下的三维坐标分别为和则t时刻两目标点之间的三维距离为Step E4: Substitute the coordinates of the target points 8 and 9 in the two images obtained in step C according to step E3, obtain the three-dimensional coordinates of the two target points in the world coordinate system at time t, and then obtain the coordinates between the two points. distance dt . Assume that the three-dimensional coordinates of the two target points in the world coordinate system are respectively and Then the three-dimensional distance between the two target points at time t is
步骤F:求出在时刻t+Δt两个目标点在实际三维空间中的距离;在车辆门开启或关闭过程的t+Δt时刻,根据步骤E所述方法,求取在t+Δt时刻的三维距离dt+Δt,Step F: Obtain the distance between the two target points at time t+Δt in the actual three-dimensional space; at time t+Δt during the opening or closing process of the vehicle door, according to the method described in step E, obtain the distance at time t+Δt. three-dimensional distance dt+Δt ,
1.3数据处理阶段1.3 Data processing stage
步骤G:数据处理分析:根据步骤E与步骤F所求信息,计算出车辆门系统在Δt时间内运行的平均速度和平均加速度其中平均速度平均加速度在车辆门开启和关闭的过程时间内,通过调整像机图像的采集间隔Δt,逼近还原列车门在每一时刻的运行速度和加速度,进而实现地铁列车门动态运行状态的平稳性分析和健康状态的在线监测。Step G: Data processing and analysis: According to the information obtained in Step E and Step F, calculate the average speed of the vehicle door system running within the time Δt and average acceleration where average speed average acceleration During the process time of vehicle door opening and closing, by adjusting the acquisition interval Δt of the camera image, the running speed and acceleration of the train door at each moment are approximated and restored, so as to realize the stability analysis and health state of the dynamic running state of the subway train door. online monitoring.
本发明中,所述步骤D在对双目立体视觉测量系统进行标定时,对双目立体视觉测量系统内像机1和像机2进行固定,使像机1和像机2不发生相对运动。In the present invention, when the binocular stereo vision measurement system is calibrated in step D, the camera 1 and the camera 2 in the binocular stereo vision measurement system are fixed, so that the camera 1 and the camera 2 do not move relative to each other. .
以上所述仅是本发明的优选实施方式,应当指出:对于本技术领域的普通技术人员来说,在不脱离本发明原理的前提下,还可以做出若干改进和润饰,这些改进和润饰也应视为本发明的保护范围。The above is only the preferred embodiment of the present invention, it should be pointed out that: for those skilled in the art, without departing from the principle of the present invention, several improvements and modifications can also be made, and these improvements and modifications are also It should be regarded as the protection scope of the present invention.
| Application Number | Priority Date | Filing Date | Title |
|---|---|---|---|
| CN2019108746200 | 2019-09-16 | ||
| CN201910874620 | 2019-09-16 |
| Publication Number | Publication Date |
|---|---|
| CN110702423A CN110702423A (en) | 2020-01-17 |
| CN110702423Btrue CN110702423B (en) | 2021-04-27 |
| Application Number | Title | Priority Date | Filing Date |
|---|---|---|---|
| CN201910903329.1AActiveCN110702423B (en) | 2019-09-16 | 2019-09-23 | A method and device for dynamic stability analysis of subway vehicle door system |
| Country | Link |
|---|---|
| CN (1) | CN110702423B (en) |
| Publication number | Priority date | Publication date | Assignee | Title |
|---|---|---|---|---|
| CN111932626B (en)* | 2020-09-09 | 2020-12-22 | 成都唐源电气股份有限公司 | Train door positioning method and system based on linear array image variable-proportion recovery |
| CN113231654A (en)* | 2021-05-24 | 2021-08-10 | 成都广屹实业发展有限公司 | Wheel set automatic turning system and method based on visual measurement |
| CN116433740A (en)* | 2023-02-13 | 2023-07-14 | 上海应用技术大学 | Stereo matching method based on laser stripe lines |
| Publication number | Priority date | Publication date | Assignee | Title |
|---|---|---|---|---|
| US5675407A (en)* | 1995-03-02 | 1997-10-07 | Zheng Jason Geng | Color ranging method for high speed low-cost three dimensional surface profile measurement |
| CN103914186A (en)* | 2013-01-08 | 2014-07-09 | 上海天派无线科技有限公司 | Image location recognition system |
| CN103759671B (en)* | 2014-01-10 | 2016-05-18 | 西北农林科技大学 | A kind of dental model three-dimensional surface data non-contact scanning method |
| CN107907048A (en)* | 2017-06-30 | 2018-04-13 | 长沙湘计海盾科技有限公司 | A kind of binocular stereo vision method for three-dimensional measurement based on line-structured light scanning |
| CN107578464B (en)* | 2017-06-30 | 2021-01-29 | 长沙湘计海盾科技有限公司 | Conveyor belt workpiece three-dimensional contour measuring method based on line laser scanning |
| CN107436127A (en)* | 2017-09-07 | 2017-12-05 | 王镛 | A kind of device and method for railway train body interior space dimension high-acruracy survey |
| CN108662987B (en)* | 2018-04-23 | 2021-06-08 | 西南交通大学 | Calibration method of 2D camera type laser measuring head |
| CN110230998B (en)* | 2019-06-24 | 2022-03-04 | 深度计算(长沙)信息技术有限公司 | Rapid and precise three-dimensional measurement method and device based on line laser and binocular camera |
| Title |
|---|
| Automatic Fault Detection of Multiple Targets in Railway Maintenance Based on Time-Scale Normalization;Lu Shengfang;《IEEE TRANSACTIONS ON INSTRUMENTATION AND MEASUREMENT 》;20180430;全文* |
| Publication number | Publication date |
|---|---|
| CN110702423A (en) | 2020-01-17 |
| Publication | Publication Date | Title |
|---|---|---|
| CN110702423B (en) | A method and device for dynamic stability analysis of subway vehicle door system | |
| CN102927908B (en) | Robot eye-on-hand system structured light plane parameter calibration device and method | |
| CN110517315B (en) | Image type railway roadbed surface settlement high-precision online monitoring system and method | |
| CN101526336B (en) | Calibration method of line structured light 3D vision sensor based on gauge block | |
| CN104851104B (en) | Using the flexible big view calibration method of target high speed camera close shot | |
| CN104990515B (en) | Large-sized object three-dimensional shape measure system and its measuring method | |
| CN104021676B (en) | Vehicle location based on vehicle dynamic video features and vehicle speed measurement method | |
| CN102012217B (en) | Binocular vision-based three-dimensional geometric shape measurement method for large-shape object | |
| CN104897060B (en) | Large field of view global measurement method using coordinate tracking control board | |
| CN105424006B (en) | Unmanned plane hovering accuracy measurement method based on binocular vision | |
| CN110728715A (en) | Camera angle self-adaptive adjusting method of intelligent inspection robot | |
| CN114998499A (en) | A method and system for binocular 3D reconstruction based on line laser galvanometer scanning | |
| CN106981083A (en) | The substep scaling method of Binocular Stereo Vision System camera parameters | |
| CN101556152B (en) | Image data acquisition at traffic accident scene and processing method thereof | |
| CN108444449A (en) | Method for measuring target space attitude with parallel line characteristics | |
| CN104567728A (en) | Laser vision profile measurement system, measurement method and three-dimensional target | |
| US20200124406A1 (en) | Method for referencing a plurality of sensors and associated measuring device | |
| CN104677305A (en) | Method and system for three-dimensionally reconstructing object surface based on cross-structured light | |
| CN110645921A (en) | A three-dimensional measurement method of ice shape based on polarization imaging | |
| CN110595392A (en) | System and method for binocular vision scanning with crosshair structured light | |
| CN106092057A (en) | A kind of helicopter rotor blade dynamic trajectory measuring method based on four item stereo visions | |
| CN113554697A (en) | Accurate measurement method of cabin profile based on line laser | |
| CN105806318A (en) | Visual measurement method for space three-dimensional information based on motion time quantity | |
| CN104748696A (en) | Measuring method for full field deformation of large-dip-angle wing | |
| CN114862969A (en) | A method and device for self-adaptive adjustment of the angle of an airborne pan-tilt camera of an intelligent inspection robot |
| Date | Code | Title | Description |
|---|---|---|---|
| PB01 | Publication | ||
| PB01 | Publication | ||
| SE01 | Entry into force of request for substantive examination | ||
| SE01 | Entry into force of request for substantive examination | ||
| GR01 | Patent grant | ||
| GR01 | Patent grant |