


技术领域technical field
本发明涉及无线充电技术,特别涉及一种基于电感集成式LCC补偿拓扑的无线充电耦合机构。The invention relates to wireless charging technology, in particular to a wireless charging coupling mechanism based on an inductive integrated LCC compensation topology.
背景技术Background technique
在电动汽车无线充电方面,由于磁耦合谐振技术具有较高的能量传输功率和效率、较远的传输距离,以及传输方向要求不严格等优势,已成为主要的充电方式。电动汽车磁耦合谐振式无线充电系统耦合机构中,能量通过收发线圈之间的互感传递,但由于线圈之间的间隙较大,耦合系数通常在0.1至0.3的范围内,这使得系统存在相当大的漏电感。为了解决这个问题,现有技术将线圈设计为双极型DD结构,增加了收发线圈之间的耦合,在类似尺寸下,获得了比圆盘式线圈更好的水平抗偏移性能;同时采用LCC补偿电路,极大地简化了系统控制的复杂性,使得无论负载变化如何,负载电池的充电电流仅取决于系统的输入电压。然而,LCC补偿网络一般设置在由DD型线圈组成的耦合机构外部,而且LCC补偿网络需要额外配置电感,这使得整个系统变得复杂且占用较大空间。In terms of wireless charging of electric vehicles, magnetic coupling resonance technology has become the main charging method due to its advantages of higher energy transmission power and efficiency, longer transmission distance, and less stringent requirements for transmission direction. In the coupling mechanism of the magnetic coupling resonant wireless charging system of electric vehicles, the energy is transferred through the mutual inductance between the transceiver coils, but due to the large gap between the coils, the coupling coefficient is usually in the range of 0.1 to 0.3, which makes the system have a considerable leakage inductance. In order to solve this problem, in the prior art, the coil is designed as a bipolar DD structure, which increases the coupling between the transceiver coils and obtains better horizontal anti-offset performance than the disc coil under similar dimensions; The LCC compensation circuit greatly simplifies the complexity of system control, so that regardless of the load change, the charging current of the load battery only depends on the input voltage of the system. However, the LCC compensation network is generally arranged outside the coupling mechanism composed of the DD coil, and the LCC compensation network needs to be additionally configured with an inductor, which makes the whole system complicated and occupies a large space.
发明内容SUMMARY OF THE INVENTION
本发明的目的在于提供一种基于电感集成式LCC补偿拓扑的无线充电耦合机构,改善了系统复杂且占用空间大的情况。The purpose of the present invention is to provide a wireless charging coupling mechanism based on an inductance integrated LCC compensation topology, which improves the situation that the system is complex and occupies a large space.
实现本发明目的的技术解决方案为:一种基于电感集成式LCC补偿拓扑的无线充电耦合机构,包括发射端和接收端两个部分,所述发射端包括DD型发射线圈层、发射端铁氧体层、发射端补偿线圈、发射端屏蔽层,以及发射端隔直电容、发射端谐振电容;所述接收端包括DD型接收线圈层、接收端铁氧体层、接收端补偿线圈、接收端屏蔽层,以及接收端隔直电容、接收端谐振电容,所述发射端补偿线圈缠绕在发射端铁氧体上;所述接收端补偿线圈缠绕在接收端铁氧体上。The technical solution to achieve the purpose of the present invention is: a wireless charging coupling mechanism based on an inductance integrated LCC compensation topology, comprising two parts: a transmitter and a receiver, the transmitter includes a DD-type transmitter coil layer, a transmitter ferrite Body layer, transmitter compensation coil, transmitter shield, transmitter DC blocking capacitor, transmitter resonance capacitor; the receiver includes DD type receiver coil layer, receiver ferrite layer, receiver compensation coil, receiver The shielding layer, the DC blocking capacitor at the receiving end and the resonance capacitor at the receiving end, the compensation coil at the transmitting end is wound on the ferrite at the transmitting end; the compensation coil at the receiving end is wound on the ferrite at the receiving end.
所述发射端屏蔽层和接收端屏蔽层均采用厚度为2mm-3mm的铝板。The shielding layer of the transmitting end and the shielding layer of the receiving end are aluminum plates with a thickness of 2mm-3mm.
所述发射端铁氧体层包括5根铁氧体条,沿发射线圈长边横向均匀间隙排布。The ferrite layer at the transmitting end includes 5 ferrite strips, which are arranged with uniform gaps laterally along the long side of the transmitting coil.
所述发射端补偿线圈缠绕在发射端一根或者多根铁氧体条上。The transmitting end compensation coil is wound on one or more ferrite strips at the transmitting end.
发射端的铁氧体条的长度小于发射线圈长边。The length of the ferrite strip on the transmitter end is less than the long side of the transmitter coil.
所述接收端铁氧体层包括3根铁氧体条,沿接收线圈长边横向均匀间隙排布。The ferrite layer at the receiving end includes three ferrite strips, which are arranged with uniform gaps along the long side of the receiving coil.
所述接收端补偿线圈缠绕在接收端一根或者多根铁氧体条上。The receiving end compensation coil is wound on one or more ferrite strips at the receiving end.
接收端氧体条的长度小于接收线圈长边。The length of the oxygen body strip at the receiving end is less than the long side of the receiving coil.
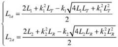
所述发射端补偿线圈自感L1a、接收端补偿线圈自感L2a按照下式设计:The self-inductance L1a of the compensation coil at the transmitting end and the self-inductance L2a of the compensation coil at the receiving end are designed according to the following formula:
式中,L1、LT分别为传统LCC补偿网络的发射端附加谐振电感、发射线圈自感;L2、LR分别为传统LCC补偿网络的接收端附加谐振电感、接收线圈自感;k1、k2分别为发射端补偿线圈与发射线圈以及接收端补偿线圈与接收线圈。In the formula, L1 and LT are the additional resonant inductance of the transmitting end and the self-inductance of the transmitting coil of the traditional LCC compensation network respectively; L2 andLR are the additional resonance inductance of the receiving end and the self-inductance of the receiving coil of the traditional LCC compensation network respectively; k1 and k2 are the compensating coil and the transmitting coil of the transmitting end and the compensating coil and the receiving coil of the receiving end, respectively.
本发明与现有技术相比,其显著优点在于:通过在主线圈铁氧体条上缠绕补偿线圈的方式,将传统LCC补偿电路的附加谐振电感用补偿线圈替换且与主线圈集成,节省了收发端用于放置附加谐振电感的空间,同时保持了传统LCC拓扑的电路特征以及输出功率不变。Compared with the prior art, the present invention has the significant advantage that: by winding the compensation coil on the main coil ferrite strip, the additional resonance inductance of the traditional LCC compensation circuit is replaced with the compensation coil and integrated with the main coil. The transceiver side is used to place the space for additional resonant inductors, while maintaining the circuit characteristics and output power of the traditional LCC topology.
附图说明Description of drawings
图1是本发明基于电感集成式LCC补偿拓扑的无线充电耦合机构的示意图。FIG. 1 is a schematic diagram of a wireless charging coupling mechanism based on an inductor-integrated LCC compensation topology according to the present invention.
图2是基于传统LCC补偿拓扑的无线充电耦合机构的电路图。Figure 2 is a circuit diagram of a wireless charging coupling mechanism based on a traditional LCC compensation topology.
图3是基于电感集成式LCC补偿拓扑的无线充电耦合机构的的电路图。FIG. 3 is a circuit diagram of a wireless charging coupling mechanism based on an inductor-integrated LCC compensation topology.
具体实施方式Detailed ways
下面结合附图和具体实施例,进一步说明本发明方案。The solution of the present invention will be further described below with reference to the accompanying drawings and specific embodiments.
本发明提供一种基于电感集成式LCC补偿拓扑的无线充电耦合机构,通过在主线圈(发射线圈和接收线圈)铁氧体条上缠绕补偿线圈的方式,将传统LCC补偿电路的附加谐振电感用补偿线圈替换且与主线圈(发射线圈和接收线圈)集成,节省了收发端用于放置附加谐振电感的空间,同时保持了传统LCC拓扑的电路特征以及输出功率不变。The invention provides a wireless charging coupling mechanism based on an inductance-integrated LCC compensation topology. By winding a compensation coil on a ferrite strip of a main coil (transmitting coil and receiving coil), the additional resonant inductance of a traditional LCC compensation circuit is used for The compensation coil is replaced and integrated with the main coil (transmitting coil and receiving coil), which saves the space for placing additional resonant inductors at the transceiver end, while maintaining the circuit characteristics and output power of the traditional LCC topology.
如图1所示,基于电感集成式LCC补偿拓扑的无线充电耦合机构,包括发射端和接收端两个部分。其中发射端包括由上往下依次设置的DD型发射线圈层、发射端铁氧体层、缠绕在发射端铁氧体上的发射端补偿线圈、发射端屏蔽层,以及发射端隔直电容、发射端谐振电容;接收端包括由下往上依次设置的DD型接收线圈层、接收端铁氧体层、缠绕在接收端铁氧体上的接收端补偿线圈、接收端屏蔽层,以及接收端隔直电容、接收端谐振电容。所述发射线圈与发射端隔直电容、发射端谐振电容、发射端补偿线圈以及接收线圈与接收端隔直电容、接收端谐振电容、接收端补偿线圈之间的连接方式与传统LCC拓扑保持一致,且发射线圈和发射端补偿线圈电流流向一致(同为顺时针或逆时针)。具体为:所述发射线圈的两端分别连接发射端隔直电容的负极、发射端谐振电容的负极,所述发射端谐振电容的正极连接发射端谐振电容的正极,所述发射端隔直电容的两端并联发射端补偿线圈与输入电压源的串联支路;所述接收线圈的两端分别连接接收端隔直电容的负极、接收端谐振电容的负极,所述接收端谐振电容的正极连接接收端谐振电容的正极,所述接收端隔直电容的两端并联接收端补偿线圈与电池的串联支路。As shown in Figure 1, the wireless charging coupling mechanism based on the inductor-integrated LCC compensation topology includes two parts: the transmitter and the receiver. The transmitting end includes a DD type transmitting coil layer, a transmitting end ferrite layer, a transmitting end compensation coil wound on the transmitting end ferrite, a transmitting end shielding layer, and a transmitting end DC blocking capacitor, which are arranged in order from top to bottom. The resonant capacitor at the transmitting end; the receiving end includes a DD-type receiving coil layer, a ferrite layer at the receiving end, a compensation coil at the receiving end wound on the ferrite at the receiving end, a shielding layer at the receiving end, and a receiving end DC blocking capacitor, receiver resonance capacitor. The connection mode between the transmitting coil and the transmitting end DC blocking capacitor, the transmitting end resonance capacitor, the transmitting end compensation coil, and the receiving coil and the receiving end DC blocking capacitor, the receiving end resonance capacitor, and the receiving end compensation coil are consistent with the traditional LCC topology. , and the currents of the transmitter coil and the transmitter compensation coil flow in the same direction (both clockwise or counterclockwise). Specifically: the two ends of the transmitting coil are respectively connected to the negative pole of the transmitting end DC blocking capacitor and the negative pole of the transmitting end resonant capacitor, the positive pole of the transmitting end resonant capacitor is connected to the positive pole of the transmitting end resonant capacitor, and the transmitting end DC blocking capacitor The two ends of the transmitting end compensation coil and the input voltage source are connected in parallel; the two ends of the receiving coil are respectively connected to the negative electrode of the DC blocking capacitor of the receiving end and the negative electrode of the resonant capacitor of the receiving end, and the positive electrode of the resonant capacitor of the receiving end is connected to The positive pole of the resonant capacitor at the receiving end, and the two ends of the DC blocking capacitor at the receiving end are connected in parallel with the series branch of the compensation coil at the receiving end and the battery.
一些实施例中,设置发射端铁氧体层包括5根铁氧体条,接收端铁氧体层包括3根铁氧体条,且都沿主线圈(发射线圈和接收线圈)长边横向均匀间隙排布,用于增强耦合,导引磁通。补偿线圈可以缠绕在一根铁氧体条上,也可以缠绕在多根铁氧体条上,用于替代传统LCC补偿网络的附加谐振电感。In some embodiments, the ferrite layer at the transmitting end includes 5 ferrite strips, and the ferrite layer at the receiving end includes 3 ferrite strips, and all of them are uniform laterally along the long sides of the main coil (transmitting coil and receiving coil). Gap arrangement to enhance coupling and direct magnetic flux. Compensation coils can be wound on a single ferrite strip or multiple ferrite strips to replace the additional resonant inductance of conventional LCC compensation networks.
还有一些实施例中,设置发射端、接收端的铁氧体条的长度小于对应线圈的长边。以在铁氧体条于壳体的间隙中布置电容,进一步提高机构的集成度。In still other embodiments, the lengths of the ferrite strips at the transmitting end and the receiving end are smaller than the long sides of the corresponding coils. By arranging the capacitor in the gap between the ferrite strip and the casing, the integration degree of the mechanism is further improved.
一些实施例中,所述收发端的屏蔽层为铝板,其厚度为2mm-3mm。在保证磁屏蔽效果的同时,降低了生产成本,减轻了机构的质量。In some embodiments, the shielding layer of the transceiver end is an aluminum plate with a thickness of 2mm-3mm. While ensuring the magnetic shielding effect, the production cost is reduced and the quality of the mechanism is reduced.
所述发射端补偿线圈自感L1a、接收端补偿线圈自感L2a需要保证电感集成式LCC补偿拓扑的无线充电耦合机构与传统LCC补偿拓扑的电路特征以及输出功率保持一致。The transmitter compensation coil self inductance L1a and the receiver compensation coil self inductance L2a need to ensure that the wireless charging coupling mechanism of the inductance integrated LCC compensation topology is consistent with the circuit characteristics and output power of the traditional LCC compensation topology.
图2为基于传统LCC补偿拓扑的无线充电耦合机构的等效电路图,根据电路图列写KVL方程为:Figure 2 is the equivalent circuit diagram of the wireless charging coupling mechanism based on the traditional LCC compensation topology. According to the circuit diagram, the KVL equation is written as:
式中,Ui、Uo分别为输入电压和输出电压;Ii、IT、IR、Io分别为输入电流、发射线圈通入电流、接收线圈通入电流、输出电流;L1、C1、CT、LT分别为发射端附加谐振电感、发射线圈谐振电容、发射线圈隔直电容、发射线圈自感;L2、C2、CR、LR分别为接收端附加谐振电感、接收线圈谐振电容、接收线圈隔直电容、接收线圈自感;M为收发线圈之间的互感。In the formula, Ui and Uo are the input voltage and output voltage respectively; Ii , IT , IR , and Io are the input current, the passing current of the transmitting coil, the passing current of the receiving coil, and the output current; L1 , C1 , CT , and LT are the additional resonant inductance of the transmitting end, the resonant capacitance of the transmitting coil, the DC blocking capacitance of the transmitting coil, and the self-inductance of the transmitting coil; L2 , C2 ,CR , andLR are the additional resonant inductance of the receiving end, respectively , the resonant capacitance of the receiving coil, the DC blocking capacitor of the receiving coil, and the self-inductance of the receiving coil; M is the mutual inductance between the sending and receiving coils.
LCC补偿拓扑的谐振条件为:The resonance conditions for the LCC compensation topology are:
结合式(1)、(2),可以解得回路电流的表达式:Combining equations (1) and (2), the expression of the loop current can be solved:
通过上式可以看出,采用传统的LCC补偿拓扑结构,无论负载和耦合如何变化,发射线圈通入的电流IT仅取决于系统的输入电压Ui,这极大地简化了系统控制的复杂性;同时,系统的输出电流Io也只与系统的输入电压Ui以及收发线圈之间的互感M有关,可以很容易地实现恒流充电。It can be seen from the above formula that with the traditional LCC compensation topology, no matter how the load and coupling change, the current IT of the transmitting coil only depends on the input voltage Ui of the system, which greatly simplifies the complexity of the system control At the same time, the output current Io of the system is only related to the input voltage Ui of the system and the mutual inductance M between the transceiver coils, which can easily realize constant current charging.
图3为基于电感集成式LCC补偿拓扑的无线充电耦合机构的的电路图的等效电路图。变化在于发射端及接收端的附加谐振电感分别由发射端补偿线圈和接收端补偿线圈替代,造成发射端补偿线圈与发射线圈以及接收端补偿线圈与接收线圈之间产生额外的互感。由于发射端补偿线圈和接收端补偿线圈相对较小且收发线圈之间的距离相对较远,因此它们之间的互感以及发射端补偿线圈与接收线圈、接收端补偿线圈与发射线圈之间的互感在电路分析时可以忽略。列写系统的KVL方程如下:FIG. 3 is an equivalent circuit diagram of a circuit diagram of a wireless charging coupling mechanism based on an inductor-integrated LCC compensation topology. The change is that the additional resonant inductances at the transmitter and receiver are replaced by the transmitter compensation coil and the receiver compensation coil, respectively, resulting in additional mutual inductance between the transmitter compensation coil and the transmitter coil and the receiver compensation coil and the receiver coil. Since the transmitter compensation coil and the receiver compensation coil are relatively small and the distance between the transceiver coils is relatively long, the mutual inductance between them, as well as the mutual inductance between the transmitter compensation coil and the receiver coil, and the receiver compensation coil and the transmitter coil It can be ignored in circuit analysis. The KVL equation of the column writing system is as follows:
式中,Uia、Uoa分别为改进后的输入电压和输出电压;Iia、ITa、IRa、Ioa分别为改进后的输入电流、发射线圈通入电流、接收线圈通入电流、输出电流;L1a、C1a、CTa分别为改进后的发射端补偿线圈自感、发射线圈谐振电容、发射线圈隔直电容;L2a、C2a、CRa分别为改进后的接收端补偿线圈自感、接收线圈谐振电容、接收线圈隔直电容;MT1、MR2分别为发射端补偿线圈与发射线圈以及接收端补偿线圈与接收线圈之间的互感。In the formula, Uia and Uoa are the improved input voltage and output voltage, respectively; Iia , ITa , IRa , and Ioa are the improved input current, the passing current of the transmitting coil, the passing current of the receiving coil, Output current; L1a , C1a , CTa are the improved compensation coil self-inductance of the transmitting end, the resonant capacitance of the transmitting coil, and the DC blocking capacitance of the transmitting coil respectively; L2a , C2a , CRa are the improved compensation of the receiving end, respectively Coil self-inductance, receiving coil resonance capacitance, receiving coil DC blocking capacitance; MT1 and MR2 are the mutual inductance between the transmitter compensation coil and the transmitter coil and the receiver compensation coil and the receiver coil, respectively.
改进后的LCC补偿拓扑的谐振条件为:The resonance conditions of the improved LCC compensation topology are:
结合式(4)、(5),可以解得改进后的回路电流表达式:Combined with equations (4) and (5), the improved loop current expression can be solved:
观察上式可以看出,采用电感集成式LCC补偿拓扑结构,系统仍保持传统LCC补偿拓扑的电路特性。Observing the above formula, it can be seen that with the inductor integrated LCC compensation topology, the system still maintains the circuit characteristics of the traditional LCC compensation topology.
根据互感定义公式,MT1、MR2的表达式:According to the definition formula of mutual inductance, the expressions of MT1 and MR2 are:
式中,k1、k2分别为发射端补偿线圈与发射线圈以及接收端补偿线圈与接收线圈之间的耦合系数,代入式(6),可得:In the formula, k1 and k2 are the coupling coefficients between the compensating coil at the transmitting end and the transmitting coil and the compensating coil at the receiving end and the receiving coil, respectively.
根据式(3)和式(8),可得在保持输入电压不变以及负载不变的前提下,保持输出功率不变的限定条件为:According to equations (3) and (8), it can be obtained that under the premise of keeping the input voltage unchanged and the load unchanged, the limiting conditions for keeping the output power unchanged are:
即发射端补偿线圈自感与接收端补偿线圈自感应满足关系:That is, the self-inductance of the compensation coil at the transmitting end and the self-inductance of the compensation coil at the receiving end satisfy the relationship:
因此基于式(10),设计发射端补偿线圈和接收端补偿线圈,缠绕在一根或多根铁氧体条上,并保证发射线圈和发射端补偿线圈电流流向一致(同为顺时针或逆时针)。发射线圈与发射端的隔直电容、谐振电容、发射端补偿线圈以及接收线圈与接收端的隔直电容、谐振电容、接收端补偿线圈之间的连接方式与传统LCC拓扑保持一致。可以维持采用电感集成式LCC补偿拓扑结构的电动汽车无线充电系统的输出功率与采用传统的LCC补偿拓扑结构的电动汽车无线充电系统功率相同,实现附加谐振电感与主线圈的集成,节省用于放置附加谐振电感的空间,同时保持传统LCC结构的电路特征。Therefore, based on Equation (10), design the compensation coil at the transmitter end and the compensation coil at the receiver end, wrap them on one or more ferrite strips, and ensure that the currents of the transmitter coil and the compensation coil at the transmitter end are in the same direction (clockwise or counterclockwise). hour hand). The connection between the transmitting coil and the DC blocking capacitor, resonant capacitor, transmitter compensation coil and the receiving coil and the DC blocking capacitor, resonant capacitor, and receiver compensation coil of the transmitter is consistent with the traditional LCC topology. The output power of the electric vehicle wireless charging system using the inductor-integrated LCC compensation topology can be maintained to be the same as the power of the electric vehicle wireless charging system using the traditional LCC compensation topology, realizing the integration of the additional resonant inductance and the main coil, saving for placement Space for additional resonant inductors while maintaining the circuit characteristics of conventional LCC structures.
| Application Number | Priority Date | Filing Date | Title |
|---|---|---|---|
| CN201910921465.3ACN110696642B (en) | 2019-09-27 | 2019-09-27 | Wireless charging coupling mechanism based on inductance integrated LCC compensation topology |
| Application Number | Priority Date | Filing Date | Title |
|---|---|---|---|
| CN201910921465.3ACN110696642B (en) | 2019-09-27 | 2019-09-27 | Wireless charging coupling mechanism based on inductance integrated LCC compensation topology |
| Publication Number | Publication Date |
|---|---|
| CN110696642Atrue CN110696642A (en) | 2020-01-17 |
| CN110696642B CN110696642B (en) | 2023-06-30 |
| Application Number | Title | Priority Date | Filing Date |
|---|---|---|---|
| CN201910921465.3AActiveCN110696642B (en) | 2019-09-27 | 2019-09-27 | Wireless charging coupling mechanism based on inductance integrated LCC compensation topology |
| Country | Link |
|---|---|
| CN (1) | CN110696642B (en) |
| Publication number | Priority date | Publication date | Assignee | Title |
|---|---|---|---|---|
| CN111509867A (en)* | 2020-04-29 | 2020-08-07 | 南京理工大学 | Constant-current output method of dual-channel wireless power supply system based on composite coil |
| CN111681860A (en)* | 2020-05-17 | 2020-09-18 | 上海电机学院 | A magnetic coupling resonant car dynamic wireless charging primary side transmitter coil |
| CN111953084A (en)* | 2020-08-12 | 2020-11-17 | 安洁无线科技(苏州)有限公司 | Wireless charging topological structure and load short-circuit protection method |
| CN111987811A (en)* | 2020-07-28 | 2020-11-24 | 东北林业大学 | Three-energy-transfer channel type wireless charging system based on orthogonal laminated magnetic coupling mechanism |
| CN112803611A (en)* | 2021-01-07 | 2021-05-14 | 兰州大学 | Wireless energy transmission system |
| CN113103886A (en)* | 2021-03-09 | 2021-07-13 | 桂林电子科技大学 | Novel automatic charging method and device for unmanned aerial vehicle |
| CN113708506A (en)* | 2021-08-19 | 2021-11-26 | 广西电网有限责任公司电力科学研究院 | Wireless anti skew coupling mechanism that charges |
| CN113839468A (en)* | 2021-09-17 | 2021-12-24 | 许继电源有限公司 | A segmented resonance wireless charging coupling coil for electric vehicles |
| CN114161954A (en)* | 2022-01-10 | 2022-03-11 | 袁志鹏 | Magnetic coupling mechanism and compensation circuit design for wireless charging of electric automobile |
| CN114465370A (en)* | 2021-08-11 | 2022-05-10 | 天津大学 | Electric automobile is wireless to charge with two sandwiches integration magnetic coupling structure based on LCL resonance compensation topology |
| CN114678968A (en)* | 2022-03-14 | 2022-06-28 | 上海交通大学 | A high and low voltage compatible wireless power transmission system and method for manufacturing the same resonant inductance integrated transformer |
| CN114844238A (en)* | 2022-05-10 | 2022-08-02 | 浙江大学 | Wireless charging integrated LCC-S constant voltage compensation system |
| CN114851869A (en)* | 2022-04-14 | 2022-08-05 | 河南师范大学 | A wireless charging system for electric vehicle charging and a magnetic coupling structure constituting the system |
| CN115246330A (en)* | 2022-07-21 | 2022-10-28 | 广西电网有限责任公司电力科学研究院 | Wireless charging primary side topology self-adaptive control method and system for electric automobile |
| CN116653647A (en)* | 2023-05-04 | 2023-08-29 | 哈尔滨工业大学 | Resonance temperature drift compensation structure and method suitable for lunar rover wireless charging system |
| Publication number | Priority date | Publication date | Assignee | Title |
|---|---|---|---|---|
| JPH0737737A (en)* | 1993-07-19 | 1995-02-07 | Tdk Corp | Noncontact type charger |
| US20110084652A1 (en)* | 2009-10-08 | 2011-04-14 | Etymotic Research Inc. | Magnetically Coupled Battery Charging System |
| WO2012018268A1 (en)* | 2010-08-05 | 2012-02-09 | Auckland Uniservices Limited | Inductive power transfer apparatus |
| CN104362710A (en)* | 2014-10-20 | 2015-02-18 | 北京金山安全软件有限公司 | Wireless charger and wireless charging system |
| US20170326991A1 (en)* | 2016-05-11 | 2017-11-16 | Qualcomm Incorporated | Methods and apparatus for wirelessly transferring power |
| CN107425613A (en)* | 2017-09-20 | 2017-12-01 | 林先其 | A kind of efficiency of transmission is with the adjustable wireless energy R-T unit of distance change |
| CN109130903A (en)* | 2018-08-29 | 2019-01-04 | 昆明理工大学 | A kind of low-pressure high-power wireless charging system of bilateral LCCL-T topology |
| CN109193965A (en)* | 2018-09-28 | 2019-01-11 | 重庆理工大学 | A kind of blocking type parallel resonance wireless charging transmitting terminal |
| JP2019030155A (en)* | 2017-08-01 | 2019-02-21 | トヨタ自動車株式会社 | Coil unit |
| CN109560587A (en)* | 2018-12-21 | 2019-04-02 | 北京理工大学 | A kind of wireless compensating charge optimization device of bilateral LCC |
| US20190148980A1 (en)* | 2017-11-14 | 2019-05-16 | Samsung Electro-Mechanics Co., Ltd. | Wireless power transmitter with data communication provision |
| Publication number | Priority date | Publication date | Assignee | Title |
|---|---|---|---|---|
| JPH0737737A (en)* | 1993-07-19 | 1995-02-07 | Tdk Corp | Noncontact type charger |
| US20110084652A1 (en)* | 2009-10-08 | 2011-04-14 | Etymotic Research Inc. | Magnetically Coupled Battery Charging System |
| WO2012018268A1 (en)* | 2010-08-05 | 2012-02-09 | Auckland Uniservices Limited | Inductive power transfer apparatus |
| CN104362710A (en)* | 2014-10-20 | 2015-02-18 | 北京金山安全软件有限公司 | Wireless charger and wireless charging system |
| US20170326991A1 (en)* | 2016-05-11 | 2017-11-16 | Qualcomm Incorporated | Methods and apparatus for wirelessly transferring power |
| JP2019030155A (en)* | 2017-08-01 | 2019-02-21 | トヨタ自動車株式会社 | Coil unit |
| CN107425613A (en)* | 2017-09-20 | 2017-12-01 | 林先其 | A kind of efficiency of transmission is with the adjustable wireless energy R-T unit of distance change |
| US20190148980A1 (en)* | 2017-11-14 | 2019-05-16 | Samsung Electro-Mechanics Co., Ltd. | Wireless power transmitter with data communication provision |
| CN109130903A (en)* | 2018-08-29 | 2019-01-04 | 昆明理工大学 | A kind of low-pressure high-power wireless charging system of bilateral LCCL-T topology |
| CN109193965A (en)* | 2018-09-28 | 2019-01-11 | 重庆理工大学 | A kind of blocking type parallel resonance wireless charging transmitting terminal |
| CN109560587A (en)* | 2018-12-21 | 2019-04-02 | 北京理工大学 | A kind of wireless compensating charge optimization device of bilateral LCC |
| Publication number | Priority date | Publication date | Assignee | Title |
|---|---|---|---|---|
| CN111509867B (en)* | 2020-04-29 | 2022-09-20 | 南京理工大学 | Constant-current output method of dual-channel wireless power supply system based on composite coil |
| CN111509867A (en)* | 2020-04-29 | 2020-08-07 | 南京理工大学 | Constant-current output method of dual-channel wireless power supply system based on composite coil |
| CN111681860A (en)* | 2020-05-17 | 2020-09-18 | 上海电机学院 | A magnetic coupling resonant car dynamic wireless charging primary side transmitter coil |
| CN111681860B (en)* | 2020-05-17 | 2024-02-27 | 上海电机学院 | Magnetic coupling resonance trolley dynamic wireless charging primary side transmitting coil |
| CN111987811A (en)* | 2020-07-28 | 2020-11-24 | 东北林业大学 | Three-energy-transfer channel type wireless charging system based on orthogonal laminated magnetic coupling mechanism |
| CN111987811B (en)* | 2020-07-28 | 2024-02-13 | 东北林业大学 | Three-energy-transmission channel type wireless charging system based on positive overlapping layer type magnetic coupling mechanism |
| CN111953084A (en)* | 2020-08-12 | 2020-11-17 | 安洁无线科技(苏州)有限公司 | Wireless charging topological structure and load short-circuit protection method |
| CN112803611A (en)* | 2021-01-07 | 2021-05-14 | 兰州大学 | Wireless energy transmission system |
| CN113103886A (en)* | 2021-03-09 | 2021-07-13 | 桂林电子科技大学 | Novel automatic charging method and device for unmanned aerial vehicle |
| CN114465370A (en)* | 2021-08-11 | 2022-05-10 | 天津大学 | Electric automobile is wireless to charge with two sandwiches integration magnetic coupling structure based on LCL resonance compensation topology |
| WO2022237067A1 (en)* | 2021-08-19 | 2022-11-17 | 广西电网有限责任公司电力科学研究院 | Wireless charging anti-offset coupling mechanism |
| CN113708506B (en)* | 2021-08-19 | 2023-09-08 | 广西电网有限责任公司电力科学研究院 | A wireless charging anti-offset coupling mechanism |
| CN113708506A (en)* | 2021-08-19 | 2021-11-26 | 广西电网有限责任公司电力科学研究院 | Wireless anti skew coupling mechanism that charges |
| CN113839468A (en)* | 2021-09-17 | 2021-12-24 | 许继电源有限公司 | A segmented resonance wireless charging coupling coil for electric vehicles |
| CN114161954A (en)* | 2022-01-10 | 2022-03-11 | 袁志鹏 | Magnetic coupling mechanism and compensation circuit design for wireless charging of electric automobile |
| CN114678968A (en)* | 2022-03-14 | 2022-06-28 | 上海交通大学 | A high and low voltage compatible wireless power transmission system and method for manufacturing the same resonant inductance integrated transformer |
| CN114851869A (en)* | 2022-04-14 | 2022-08-05 | 河南师范大学 | A wireless charging system for electric vehicle charging and a magnetic coupling structure constituting the system |
| CN114851869B (en)* | 2022-04-14 | 2024-08-20 | 河南师范大学 | Wireless charging system for electric car charging and magnetic coupling structure forming same |
| CN114844238A (en)* | 2022-05-10 | 2022-08-02 | 浙江大学 | Wireless charging integrated LCC-S constant voltage compensation system |
| CN115246330A (en)* | 2022-07-21 | 2022-10-28 | 广西电网有限责任公司电力科学研究院 | Wireless charging primary side topology self-adaptive control method and system for electric automobile |
| CN116653647A (en)* | 2023-05-04 | 2023-08-29 | 哈尔滨工业大学 | Resonance temperature drift compensation structure and method suitable for lunar rover wireless charging system |
| CN116653647B (en)* | 2023-05-04 | 2025-08-15 | 哈尔滨工业大学 | Resonance temperature drift compensation structure and method suitable for lunar rover wireless charging system |
| Publication number | Publication date |
|---|---|
| CN110696642B (en) | 2023-06-30 |
| Publication | Publication Date | Title |
|---|---|---|
| CN110696642A (en) | Wireless charging coupling mechanism based on inductor-integrated LCC compensation topology | |
| CN109617250B (en) | An anti-offset wireless power transmission system based on combined topology | |
| WO2020248672A1 (en) | Planar transformer, power conversion circuit, and adapter | |
| CN110422061B (en) | Wireless bidirectional electric energy conversion topology and control method thereof | |
| CN113991886A (en) | Bilateral LCC topological network parameter design method for wireless charging coupling coil of electric vehicle | |
| CN210575456U (en) | Integrated magnetic element for improving power density | |
| CN205142776U (en) | Electromagnetic shield layer and have electromagnetic shield layer's wireless power transmission device | |
| CN117877873B (en) | A transformer structure for LLC resonant converter | |
| CN109510328B (en) | An Offset Adaptive Reconfigurable Wireless Power Transfer System | |
| CN110943544B (en) | Fractional order parallel-serial electromagnetic field double-coupling wireless power transmission system | |
| CN108988503B (en) | Combined relay coil for bipolar wireless charging system and design method thereof | |
| CN209545177U (en) | A kind of wireless compensating charge optimization device of bilateral LCC | |
| CN113991892A (en) | Double-coil structure for wireless power transmission | |
| CN114465370A (en) | Electric automobile is wireless to charge with two sandwiches integration magnetic coupling structure based on LCL resonance compensation topology | |
| CN211296327U (en) | A Fractional Parallel Electromagnetic Field Double Coupling Wireless Power Transmission System | |
| CN211296338U (en) | A Fractional Series-Parallel Electromagnetic Field Double Coupling Wireless Power Transmission System | |
| CN211296333U (en) | A fractional-order series electromagnetic field double-coupling wireless power transfer system | |
| CN211296325U (en) | A Fractional Parallel-Series Electromagnetic Field Double Coupling Wireless Power Transmission System | |
| CN113839468B (en) | A segmented resonant wireless charging coupling coil for electric vehicles | |
| CN211296329U (en) | A Fractional Parallel Electric Field Coupled Wireless Power Transmission System | |
| CN211296320U (en) | A Fractional Series-Parallel Electric Field Coupled Wireless Power Transmission System | |
| CN110912277B (en) | Fractional order series electromagnetic field double-coupling wireless power transmission system | |
| CN110932418B (en) | Fractional order series-parallel electromagnetic field double-coupling wireless power transmission system | |
| CN108173355A (en) | An Electromagnetic Field Coupled Hybrid Wireless Power Transfer System | |
| CN211296326U (en) | A Fractional Parallel-Series Electric Field Coupled Wireless Power Transmission System |
| Date | Code | Title | Description |
|---|---|---|---|
| PB01 | Publication | ||
| PB01 | Publication | ||
| SE01 | Entry into force of request for substantive examination | ||
| SE01 | Entry into force of request for substantive examination | ||
| GR01 | Patent grant | ||
| GR01 | Patent grant |