

技术领域technical field
本发明属于谐波齿轮传动廓形设计领域,涉及一种基于旋转变换获得谐波齿轮传动共轭廓形的方法。The invention belongs to the field of harmonic gear transmission profile design, and relates to a method for obtaining a harmonic gear transmission conjugate profile based on rotation transformation.
背景技术Background technique
谐波齿轮传动廓形设计的研究,目前有多人提出了相应的研究方法。如上世纪70年代末,金茨勃格在他的著作中提出的等速曲线法(参考文献:金茨勃格著,汪福敏等译,谐波齿轮传动——原理、设计与工艺,1982)。对于一些工作廓形而言,根据该方法可以求出所需要的结果,然而该柔轮等速曲线有时在工艺上较难实现。进入80年代后,中国学者司光晨和沈允文相继出版了谐波齿轮传动的书籍,并在他们的著作中提出了包络法(参考文献:沈允文著,谐波齿轮传动的理论和设计,1985)。应用包络法之前先要确定柔轮变形端中线的弹性变形。而柔轮变形端中线为波发生器外廓形的等距曲线。包络法在计算上,用凸轮廓形的相关函数近似表示了波发生器外轮廓等距曲线,造成柔轮变形端中线存在近似计算的问题。如陈晓霞(参考文献:Chen,X.,Liu,Y.,Xing,J.,Lin,S.and Xu,W.(2014b),“Theparametric design of double-circular-arc tooth profile and its influence onthe functional backlash of harmonic drive”,Mechanism and Machine Theory,Vol.73,pp.1-24)应用包络法求解共轭齿廓时,在计算中用椭圆近似了椭圆等距曲线。包括辛洪兵于上世纪90年代中期提出的改进运动法(参考文献:辛洪兵.用B矩阵法建立谐波齿轮啮合基本方程.机械传动,1996.02.002)和董惠敏于2008年提出的瞬心线法(参考文献:董惠敏.基于柔轮变形函数的谐波齿轮传动运动几何学及其啮合性能研究.大连理工大学,2008),在柔轮变形端中线计算上依然用到了近似计算。综合考虑,要想获得更加符合实际和准确的谐波齿轮传动的啮合理论,以期提高廓形的计算精度,则必须基于波发生器外轮廓的等距曲线来计算柔轮变形端中线。For the research on the profile design of harmonic gear transmission, many people have proposed corresponding research methods. For example, in the late 1970s, the constant velocity curve method proposed by Ginzburg in his book (Reference: Ginzberg, translated by Wang Fumin, etc., Harmonic Gear Transmission - Principle, Design and Technology, 1982). For some working profiles, the required results can be obtained according to this method, however, the constant velocity curve of the flex wheel is sometimes difficult to achieve technologically. After entering the 1980s, Chinese scholars Si Guangchen and Shen Yunwen successively published books on harmonic gear transmission, and proposed the envelope method in their works (Reference: Shen Yunwen, Theory and Design of Harmonic Gear Transmission, 1985 ). Before applying the envelope method, the elastic deformation of the centerline of the deformed end of the flexwheel must be determined. The center line of the deformed end of the flexible wheel is the equidistant curve of the outer profile of the wave generator. In the calculation of the envelope method, the correlative function of the convex profile is used to approximate the equidistant curve of the outer contour of the wave generator, which causes the problem of approximate calculation of the center line of the deformed end of the flexible wheel. Such as Chen Xiaoxia (Reference: Chen, X., Liu, Y., Xing, J., Lin, S. and Xu, W. (2014b), "Theparametric design of double-circular-arc tooth profile and its influence on the functional Backlash of harmonic drive", Mechanism and Machine Theory, Vol.73, pp.1-24) When applying the envelope method to solve the conjugate tooth profile, the ellipse is used to approximate the ellipse isometric curve in the calculation. Including the improved kinematic method proposed by Xin Hongbing in the mid-1990s (Reference: Xin Hongbing. Establishment of the basic equation of harmonic gear meshing with B matrix method. Mechanical transmission, 1996.02.002) and Dong Huimin in 2008 proposed the instantaneous center line method ( References: Dong Huimin. Research on the kinematic geometry and meshing performance of harmonic gear transmission based on the deformation function of the flexible wheel. Dalian University of Technology, 2008), the approximate calculation is still used in the calculation of the center line of the deformed end of the flexible wheel. Comprehensive consideration, in order to obtain a more realistic and accurate meshing theory of harmonic gear transmission, in order to improve the calculation accuracy of the profile, the center line of the deformed end of the flexible wheel must be calculated based on the equidistant curve of the outer contour of the wave generator.
发明内容SUMMARY OF THE INVENTION
为解决波发生器外轮廓的等距曲线即柔轮变形端中线存在近似计算的问题,本发明提供一种基于旋转变换获得谐波齿轮传动共轭廓形的方法。In order to solve the problem of approximate calculation of the equidistant curve of the outer contour of the wave generator, that is, the center line of the deformed end of the flexible wheel, the present invention provides a method for obtaining the conjugate contour of harmonic gear transmission based on rotation transformation.
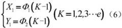
本发明的技术方案:Technical scheme of the present invention:
一种基于旋转变换获得谐波齿轮传动共轭廓形的方法,包括以下步骤:A method for obtaining a conjugate profile of a harmonic gear drive based on rotational transformation, comprising the following steps:
第一步:谐波齿轮传动第一类运动,此时波发生器为固定状态,柔轮和刚轮为运动状态;在第一类运动中,已知柔轮变形端中线在直角坐标系的参数方程为:The first step: the first type of motion of harmonic gear transmission, at this time the wave generator is in a fixed state, and the flexible wheel and the rigid wheel are in a moving state; in the first type of motion, it is known that the center line of the deformed end of the flexible wheel is in the Cartesian coordinate system. The parametric equation is:
其中,该波发生器外轮廓若为椭圆凸轮轮廓,则对应式(1)的参数表示椭圆离心角;若为其它凸轮轮廓,则对应式(1)的参数表示该凸轮轮廓曲线的离心角;Among them, if the outer contour of the wave generator is an elliptical cam contour, it corresponds to the parameters of formula (1) Represents the ellipse centrifugal angle; if it is other cam profiles, it corresponds to the parameters of formula (1) Represents the centrifugal angle of the cam profile curve;
根据式(1),柔轮变形端中线起始于横轴正向的任意弧长表示为:According to formula (1), the arbitrary arc length of the center line of the deformed end of the flexible wheel starting from the positive direction of the horizontal axis is expressed as:
其中,e表示正整数;K表示柔轮变形端中线的弧长被均分成e段的第K段;表示第K段弧长对应的离心角;表示式(1)中对的导数;表示式(1)中对的导数;Among them, e represents a positive integer; K represents that the arc length of the center line of the deformed end of the flexible wheel is equally divided into the Kth segment of the e segment; represents the centrifugal angle corresponding to the arc length of the K-th segment; In expression (1) right the derivative of ; In expression (1) right the derivative of ;
柔轮变形端中线全弧长S(即周长)可表示为:The full arc length S (ie perimeter) of the center line of the deformed end of the flexible wheel can be expressed as:
S=e·ΔS (3)S=e·ΔS (3)
其中,ΔS表示柔轮变形端中线全弧长S被均分成e段中的任一段弧长;Among them, ΔS indicates that the full arc length S of the center line of the deformed end of the flexible wheel is equally divided into any arc length in the e segment;
把式(2)代入式(3)得:Substitute equation (2) into equation (3) to get:
式(4)可写成如下形式:Equation (4) can be written in the following form:
其中,式(5)是式(4)的反函数形式;Among them, formula (5) is the inverse function form of formula (4);
把式(5)代入式(1),得到柔轮变形端中线上任意点用K表示的形式:Substitute Equation (5) into Equation (1) to obtain the form represented by K at any point on the center line of the deformed end of the flexible wheel:
其中,式(6)表示柔轮变形端中线上的点用K表示的形式,K对应即当给定K值,就对应值,然后代入式(6)计算出对应点的坐标值;Among them, formula (6) represents the form in which the point on the center line of the deformed end of the flexible wheel is represented by K, and K corresponds to That is, when the value of K is given, it corresponds to value, and then substitute into formula (6) to calculate the coordinate value of the corresponding point;
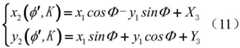
第二步:规定柔轮和波发生器转动,刚轮固定时,则为谐波齿轮传动的第二类运动;根据相对运动原理,若给谐波齿轮传动第一类运动的整个轮系加上一个与刚轮角速度相反的旋转运动,则各构件间的相对运动关系仍保持不变;但由于整个轮系加了与刚轮角速度相反的旋转运动,故刚轮就处于静止状态,于是谐波齿轮传动第一类运动就转化成了第二类运动,即谐波齿轮传动的第二类运动是由谐波齿轮传动的第一类运动旋转得到的;所以给公式(6)乘上一个坐标变换矩阵就得到了第二类运动状态下,柔轮变形端中线上的任意点在刚轮不动坐标系下的运动轨迹表达式:The second step: stipulate the rotation of the flexible wheel and the wave generator. When the rigid wheel is fixed, it is the second type of motion of the harmonic gear drive; In the last rotary motion opposite to the angular velocity of the rigid wheel, the relative motion relationship between the components remains unchanged; however, since the entire gear train adds a rotational motion opposite to the angular velocity of the rigid wheel, the rigid wheel is in a static state, so the harmonic The first kind of motion of the wave gear drive is converted into the second kind of motion, that is, the second kind of motion of the harmonic gear drive is obtained by the rotation of the first kind of motion of the harmonic gear drive; so multiply the formula (6) by a The coordinate transformation matrix obtains the expression of the motion trajectory of any point on the center line of the deformed end of the flexible wheel in the stationary coordinate system of the rigid wheel under the second type of motion state:
其中,φ′表示谐波齿轮传动第一类运动转化为第二类运动转过的角度。Among them, φ' represents the angle through which the first type of motion of harmonic gear drive is converted into the second type of motion.
式(7)中,K对应对式(7)中的求偏导,得到下式:In formula (7), K corresponds to For formula (7) in Find the partial derivative to get the following formula:
根据式(8),可求得K值对应柔轮变形端中线上对应点的法线斜率为:According to formula (8), the slope of the normal line of the corresponding point on the center line of the deformed end of the flexible wheel corresponding to the K value can be obtained as:
已知单个柔轮轮齿的左廓形以参数的形式给出:The left profile of a single flexwheel tooth is known to be given as a parameter:
其中,t1表示柔轮齿廓参数(如齿廓为渐开线,则t1表示发生线在基圆上纯滚动过的弧长所对应的圆心角);rm表示未变形状态的柔轮中线的半径;Among them, t1 represents the tooth profile parameter of the flexible gear (if the tooth profile is an involute, then t1 represents the central angle corresponding to the arc length of the pure rolling of the occurrence line on the base circle); rm represents the flexible gear in the undeformed state. the radius of the wheel centerline;
然后在谐波齿轮传动的第二种运动类型中,根据式(7)和式(10)可求得柔轮的左廓形在刚轮不动坐标系下的运动轨迹,其运动方程如下式:Then in the second motion type of harmonic gear transmission, the motion trajectory of the left profile of the flexible wheel in the rigid wheel stationary coordinate system can be obtained according to equations (7) and (10), and its motion equation is as follows :
第三步:根据啮合原理,共轭齿廓存在如下关系:Step 3: According to the meshing principle, the conjugate tooth profile has the following relationship:
r(2)=M21r(1);n(2)=W21n(1) (12)r(2) = M21 r(1) ; n(2) = W21 n(1) (12)
其中,r(1)和n(1)分别表示柔轮不动坐标系下的柔轮廓形的径矢和法矢;r(2)和n(2)表示刚轮不动坐标系的刚轮齿廓的径矢和法矢;M21表示柔轮不动坐标系到刚轮不动坐标系的径矢变换矩阵;W21表示柔轮不动坐标系到刚轮不动坐标系的底矢变换矩阵;Among them, r(1) and n(1) represent the radial vector and normal vector of the flexible profile in the flexible wheel fixed coordinate system respectively; r(2) and n(2) represent the rigid wheel in the rigid wheel fixed coordinate system The radial vector and normal vector of the tooth profile; M21 represents the radial vector transformation matrix from the fixed coordinate system of the flexible roller to the fixed coordinate system of the rigid roller; W21 represents the bottom vector of the fixed coordinate system of the flexible roller to the fixed coordinate system of the rigid roller transformation matrix;
由(11)式可知,M21的取值如下:It can be known from formula (11) that the value of M21 is as follows:
根据式(13),可得W21值如下:According to formula (13), the value of W21 can be obtained as follows:
对径矢r(2)求时间t的一阶导数就是相对速度矢V12,于是:The first derivative of time t is calculated for the radial vector r(2) to be the relative velocity vector V12 , then:
根据式(13),可得如下:According to formula (13), we can get as follows:
其中,表示柔轮变形端中线上任意点的法线斜率Φ对时间t的一阶导数;in, Represents the first derivative of the normal slope Φ at any point on the midline of the deformed end of the flexible wheel with respect to time t;
由式(9)可知,Φ是变量φ′与的函数,对其时间t求导数得:From equation (9), Φ is the variable Φ′ and The function of , taking the derivative of its time t to get:
同理,由式(7)可知,X3和Y3也是变量φ′与的函数,对其时间t求导得:Similarly, from formula (7), it can be known that X3 and Y3 are also variables φ′ and The function of , derived from its time t to get:
而φ′与存在如下关系:and φ′ and The following relationships exist:
则式(19)对时间t求导得:Then formula (19) is derived from time t to get:
第四步:根据齿轮啮合理论,作共轭运动的两齿廓在接触点处必须满足n·V12=0;故求得谐波齿轮传动共轭齿廓所需建立的啮合方程式为:Step 4: According to the gear meshing theory, the two tooth profiles in the conjugate motion must satisfy n·V12 =0 at the contact point; therefore, the meshing equation required to obtain the conjugate tooth profile of the harmonic gear transmission is:
先给定单个柔轮轮齿左廓形式(10)的具体方程和柔轮变形端中线的具体表达式(1);然后根据式(1)和式(10)逐级推导,推导结果代入式(21)中,采用牛顿迭代法寻找式(21)中φ′与对应的满足柔轮齿廓参数方程的t1的数值,然后将这些数值代入式(11)中,便可求得刚轮齿廓的坐标值。First, the specific equation of the left profile form (10) of a single flex wheel tooth and the specific expression (1) of the center line of the deformed end of the flex wheel are given; then according to formula (1) and formula (10), the derivation results are substituted into the formula In (21), the Newton iteration method is used to find φ′ in equation (21) and The corresponding values of t1 that satisfy the flex wheel tooth profile parameter equation, and then substitute these values into formula (11), the coordinate value of the rigid wheel tooth profile can be obtained.
本发明的有益效果:本发明提出了一种基于旋转变换获得谐波齿轮传动共轭廓形的方法。这种方法严格按照波发生器的等距曲线来研究柔轮弹性变形,并能精确计算转角,进而解出柔轮变形端中线上任意点的轨迹解析式。本方法的独特之处在于利用坐标变换准确描述了柔轮变形端中线上的点的运动轨迹。当已知波发生器外轮廓曲线和任一齿轮的廓形时,运用该方法可求解出另一齿轮的理论廓形。且通过理论廓形设计的刚轮齿廓应用于谐波齿轮传动中不存在干涉现象。本方法对谐波齿轮廓形的优化设计具有重要的指导意义。Beneficial effects of the present invention: The present invention proposes a method for obtaining the conjugate profile of harmonic gear transmission based on rotational transformation. This method studies the elastic deformation of the flexible wheel strictly according to the equidistant curve of the wave generator, and can accurately calculate the rotation angle, and then solve the trajectory analysis formula of any point on the center line of the deformed end of the flexible wheel. The unique feature of this method is that the coordinate transformation is used to accurately describe the trajectory of the point on the center line of the deformed end of the flexible wheel. When the outer profile curve of the wave generator and the profile of any gear are known, the theoretical profile of the other gear can be solved by using this method. And there is no interference phenomenon when the tooth profile of the rigid wheel designed by the theoretical profile is applied to the harmonic gear transmission. This method has important guiding significance for the optimal design of harmonic tooth profile.
附图说明Description of drawings
图1是本发明旋转变换法求解刚轮廓形的计算流程图。Fig. 1 is the calculation flow chart of solving the rigid contour shape by the rotation transformation method of the present invention.
图2是本发明旋转变换法求解的共轭廓形。Fig. 2 is the conjugate profile solved by the rotation transformation method of the present invention.
图中:1 共轭廓形A、2 共轭廓形B、3 划分线、4 轮齿对称线。In the figure: 1 Conjugate profile A, 2 Conjugate profile B, 3 dividing line, 4 tooth symmetry line.
具体实施方式Detailed ways
为了使本发明实现的技术手段易于理解,下面结合附图和实施例对本发明提供的技术方案进行详细说明。In order to make the technical means realized by the present invention easy to understand, the technical solutions provided by the present invention will be described in detail below with reference to the accompanying drawings and embodiments.
本发明提供了一种基于旋转变换获得谐波齿轮传动共轭廓形的方法。本例中为了说明旋转变换法是如何通过精确计算柔轮变形端中线来求解谐波齿轮传动共轭齿廓的。可采用柔轮齿廓为渐开线、波发生器选用标准椭圆凸轮的双波谐波齿轮,来计算刚轮廓形的数值解。The present invention provides a method for obtaining the conjugate profile of harmonic gear transmission based on rotation transformation. In this example, to illustrate how the rotation transformation method solves the conjugate tooth profile of the harmonic gear transmission by accurately calculating the center line of the deformed end of the flexible wheel. The numerical solution of the rigid profile can be calculated by adopting the double-wave harmonic gear whose tooth profile is involute and the wave generator selects a standard elliptical cam.
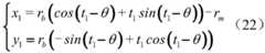
先给出柔轮左廓形的参数方程为:First, the parametric equation of the left profile of the soft wheel is given as:
式中,rb表示基圆半径;θ表示渐开线母线与齿廓的夹角;rm表示未变形状态的柔轮中线的半径;t1表示发生线在基圆上纯滚动过的弧长所对应的圆心角,取值范围为(25.159°,27.206°),即在图1中,t0=25.159°,t2=27.206°。则柔轮廓形的径矢可表示为r(1)=[x1,y1,1]T。In the formula, rb represents the radius of the base circle; θ represents the angle between the involute generatrix and the tooth profile; rm represents the radius of the center line of the flexure in the undeformed state; The central angle corresponding to the length has a value range of (25.159°, 27.206°), that is, in FIG. 1 , t0 =25.159°, t2 =27.206°. Then the radial vector of the soft contour can be expressed as r(1) = [x1 , y1 , 1]T .
对式(22)求导得:Taking the derivation of formula (22), we get:
于是,柔轮廓形的法矢可写成Then, the normal vector of the soft contour can be written as
接着已知柔轮变形端中线的参数方程为:Then the parametric equation of the center line of the deformation end of the known flexible wheel is:
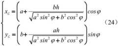
其中,a表示长半轴的长度,b表示短半轴的长度,表示离心角,h表示等距距离。Among them, a is the length of the major semi-axis, b is the length of the minor semi-axis, represents the centrifugal angle, and h represents the equidistant distance.
然后根据图1计算流程图求解刚轮廓形。本例首先给出柔轮齿数z1为240、刚轮齿数z2为242、柔轮模数m为0.5、夹角θ为0.035rad、a为45.5mm、b为44.5mm、等距距离h为16.555mm和正整数e为4000。Then, according to the calculation flow chart in Fig. 1, the rigid contour is solved. In this example, the number of teeth of the flexible wheel z1 is 240, the number of teeth of the rigid wheel z2 is 242, the modulus of the flexible wheel m is 0.5, the angle θ is 0.035rad, a is 45.5mm, b is 44.5mm, and the equidistant distance h is 16.555mm and a positive integer e is 4000.
接着计算全弧长S,可先对柔轮变形端中线的参数方程式(24)进行求导,把计算结果代入式(2),即可求得全弧长S。然后再根据下式计算出rm:Next, to calculate the full arc length S, the parametric equation (24) of the center line of the deformed end of the flexible wheel can be derived first, and the calculation result can be substituted into the formula (2) to obtain the full arc length S. Then calculaterm according to the following formula:
把全弧长S和rm的计算结果及式(24)代入式(6)中,算出柔轮变形端中线上任意点用K表示的形式。然后把式(6)代入式(7),算的柔轮变形端中线上任意点在刚轮不动坐标系下的运动轨迹坐标,之后通过式(7)可算出式(13)、式(14)、式(16)、式(17)和式(18)关于φ′与式子,最后计算式(21)。式(21)可记述成隐函数F(φ′,t1)=0的形式。若存在共轭廓形,则F(φ′,t1)=0的根必然有满足柔轮廓形参数区间内的t1的数值,即图1中求解的t1满足25.159°<t1<27.206°。然后将数值代入式(11)中,便可求得刚轮齿廓的数值解。结果如图2,图中有两条共轭廓形,位于轮齿对称线的上部。共轭廓形B2变位系数大于共轭廓形A1。理论上两条共轭廓形都可作为刚轮的齿形,但是根据啮合轮齿不发生干涉的原则,实践上只能选用共轭廓形B2。需要注意,由于带入了完整的柔轮廓形,计算出的共轭廓形就分成了两个区域。如图2由划分线分成的左侧无效廓形区域和右侧有效廓形区域,区域大小由实际啮合深度决定。有效区域的共轭廓形B2是刚轮的实际啮合线段,其与划分线相交的点为齿顶。Substitute the calculation results of the full arc lengths S and rm and formula (24) into formula (6), and calculate the form expressed by K at any point on the center line of the deformed end of the flexible wheel. Then, substitute Equation (6) into Equation (7), and calculate the motion trajectory coordinates of any point on the center line of the deformed end of the flexible wheel in the rigid wheel stationary coordinate system. 14), formula (16), formula (17) and formula (18) about φ′ and formula, and finally calculate formula (21). Equation (21) can be written in the form of implicit function F(φ′, t1 )=0. If there is a conjugate profile, the root of F(φ′,t1 )=0 must have a value that satisfies t1 in the parameter interval of the soft profile, that is, the t1 solved in Fig. 1 satisfies 25.159°<t1 < 27.206°. Then the numerical value is substituted into the formula (11), and the numerical solution of the tooth profile of the rigid wheel can be obtained. The result is shown in Figure 2, where there are two conjugate profiles, located on the upper part of the tooth symmetry line. Conjugate profile B2 has a larger displacement coefficient than conjugate profile A1. In theory, both conjugate profiles can be used as the tooth profile of the rigid wheel, but according to the principle that the meshing gear teeth do not interfere, only the conjugate profile B2 can be used in practice. It should be noted that since the complete soft contour is brought in, the calculated conjugate contour is divided into two regions. As shown in Figure 2, the left invalid profile area and the right effective profile area are divided by the dividing line, and the size of the area is determined by the actual meshing depth. The conjugate profile B2 of the effective area is the actual meshing line segment of the rigid wheel, and the point where it intersects with the dividing line is the tooth tip.
| Application Number | Priority Date | Filing Date | Title |
|---|---|---|---|
| CN201910897449.5ACN110688716B (en) | 2019-09-23 | 2019-09-23 | A Method for Obtaining Conjugate Profile of Harmonic Gear Transmission Based on Rotational Transformation |
| Application Number | Priority Date | Filing Date | Title |
|---|---|---|---|
| CN201910897449.5ACN110688716B (en) | 2019-09-23 | 2019-09-23 | A Method for Obtaining Conjugate Profile of Harmonic Gear Transmission Based on Rotational Transformation |
| Publication Number | Publication Date |
|---|---|
| CN110688716Atrue CN110688716A (en) | 2020-01-14 |
| CN110688716B CN110688716B (en) | 2021-03-26 |
| Application Number | Title | Priority Date | Filing Date |
|---|---|---|---|
| CN201910897449.5AActiveCN110688716B (en) | 2019-09-23 | 2019-09-23 | A Method for Obtaining Conjugate Profile of Harmonic Gear Transmission Based on Rotational Transformation |
| Country | Link |
|---|---|
| CN (1) | CN110688716B (en) |
| Publication number | Priority date | Publication date | Assignee | Title |
|---|---|---|---|---|
| CN111737832A (en)* | 2020-06-15 | 2020-10-02 | 大连理工大学 | Calculation Method of Instantaneous Transmission Ratio of Harmonic Gears with Continuous Meshing Tooth Profile |
| CN111737833A (en)* | 2020-06-15 | 2020-10-02 | 大连理工大学 | Calculation method of slip coefficient of harmonic gears with continuous meshing tooth profile |
| CN111810608A (en)* | 2020-06-05 | 2020-10-23 | 金齿传动科技(大连)有限公司 | Harmonic gear with continuous meshing tooth profile and tooth profile design method thereof |
| CN112507481A (en)* | 2020-11-26 | 2021-03-16 | 北京工业大学 | Profile design method of harmonic reducer cam three-wave and four-wave generator |
| Publication number | Priority date | Publication date | Assignee | Title |
|---|---|---|---|---|
| CN106482693A (en)* | 2016-09-23 | 2017-03-08 | 大连理工大学 | A kind of gauge head unit improving gears tooth pitch certainty of measurement and its method of adjustment |
| WO2018143546A1 (en)* | 2017-01-31 | 2018-08-09 | 계명대학교 산학협력단 | Method for designing tooth profile of gerotor pump and gerotor pump manufactured thereby |
| CN108533715A (en)* | 2018-06-28 | 2018-09-14 | 西安交通大学 | A kind of two-way conjugate tooth profile design method for Harmonic Gears |
| CN109766670A (en)* | 2019-03-11 | 2019-05-17 | 电子科技大学 | Reliability analysis method of harmonic reducer for industrial robot based on Copula function |
| CN110245417A (en)* | 2019-06-12 | 2019-09-17 | 北京工业大学 | A calculation method for the normal slope of the meshing point of the double-arc gear of the harmonic reducer |
| Publication number | Priority date | Publication date | Assignee | Title |
|---|---|---|---|---|
| CN106482693A (en)* | 2016-09-23 | 2017-03-08 | 大连理工大学 | A kind of gauge head unit improving gears tooth pitch certainty of measurement and its method of adjustment |
| WO2018143546A1 (en)* | 2017-01-31 | 2018-08-09 | 계명대학교 산학협력단 | Method for designing tooth profile of gerotor pump and gerotor pump manufactured thereby |
| CN108533715A (en)* | 2018-06-28 | 2018-09-14 | 西安交通大学 | A kind of two-way conjugate tooth profile design method for Harmonic Gears |
| CN109766670A (en)* | 2019-03-11 | 2019-05-17 | 电子科技大学 | Reliability analysis method of harmonic reducer for industrial robot based on Copula function |
| CN110245417A (en)* | 2019-06-12 | 2019-09-17 | 北京工业大学 | A calculation method for the normal slope of the meshing point of the double-arc gear of the harmonic reducer |
| Title |
|---|
| 崔华莹 等: "保证适当沉切量的剃前齿轮滚刀廓形精确设计", 《装备制造技术》* |
| 赵志平: "用齿形法求解共轭齿廓的坐标旋转变换", 《兰州工业高等专科学校学报》* |
| Publication number | Priority date | Publication date | Assignee | Title |
|---|---|---|---|---|
| CN111810608A (en)* | 2020-06-05 | 2020-10-23 | 金齿传动科技(大连)有限公司 | Harmonic gear with continuous meshing tooth profile and tooth profile design method thereof |
| CN111810608B (en)* | 2020-06-05 | 2023-05-09 | 金齿传动科技(大连)有限公司 | Tooth form design method for harmonic gear with continuous meshing tooth form |
| CN111737832A (en)* | 2020-06-15 | 2020-10-02 | 大连理工大学 | Calculation Method of Instantaneous Transmission Ratio of Harmonic Gears with Continuous Meshing Tooth Profile |
| CN111737833A (en)* | 2020-06-15 | 2020-10-02 | 大连理工大学 | Calculation method of slip coefficient of harmonic gears with continuous meshing tooth profile |
| CN111737832B (en)* | 2020-06-15 | 2024-05-03 | 大连理工大学 | Method for calculating instantaneous transmission ratio of harmonic gear with continuous meshing tooth form |
| CN111737833B (en)* | 2020-06-15 | 2024-05-07 | 大连理工大学 | Method for calculating sliding coefficient of harmonic gear with continuous meshing tooth form |
| CN112507481A (en)* | 2020-11-26 | 2021-03-16 | 北京工业大学 | Profile design method of harmonic reducer cam three-wave and four-wave generator |
| CN112507481B (en)* | 2020-11-26 | 2024-04-12 | 北京工业大学 | Profile design method of three-wave and four-wave generator of cam of harmonic reducer |
| Publication number | Publication date |
|---|---|
| CN110688716B (en) | 2021-03-26 |
| Publication | Publication Date | Title |
|---|---|---|
| CN110688716B (en) | A Method for Obtaining Conjugate Profile of Harmonic Gear Transmission Based on Rotational Transformation | |
| CN104820756B (en) | A kind of Gear with Crack Parameters of Rotor System for considering to extend engagement determines method | |
| CN107798200B (en) | A Calculation Method for Time-varying Mesh Stiffness of Helical Cylindrical Gears Considering Axial Deformation | |
| CN108533715B (en) | Bidirectional conjugate tooth profile design method for harmonic gear transmission | |
| Luo et al. | Deep motion network for freehand 3D ultrasound reconstruction | |
| TWI638105B (en) | Harmonic gear device with negative offset tooth profile with 2 degree contact | |
| CN110263367A (en) | A kind of harmonic speed reducer three-dimensional tooth Profile Design method of no interference engagement | |
| CN105972184A (en) | Design method for tooth profile equation of cycloidal gear based on instantaneous velocity center method | |
| Peng et al. | A novel arc-tooth-trace cycloid cylindrical gear | |
| CN110245417B (en) | Method for calculating normal slope of meshing point of double-arc tooth profile of harmonic reducer | |
| CN109541304A (en) | The weak amplitude harmonic detecting method of power grid high order based on six minimum secondary lobe window interpolation | |
| CN104062054B (en) | A kind of torgue measurement method under the lean information condition of the momenttum wheel slow-speed of revolution | |
| Zhang et al. | Computerized design and simulation of meshing of modified double circular-arc helical gears by tooth end relief with helix | |
| Bairstow et al. | The two-dimensional slow motion of viscous fluids | |
| Figliolini et al. | Synthesis of quasi-constant transmission ratio planar linkages | |
| JPWO2021080626A5 (en) | ||
| CN111810608B (en) | Tooth form design method for harmonic gear with continuous meshing tooth form | |
| CN115659549B (en) | An internal curve hydraulic motor cam ring curve modification method | |
| CN108282107B (en) | A Calculation Method of Torque and Speed Characteristics of Radial Standing Wave Ultrasonic Motor | |
| Ceccarelli et al. | Approximate four-bar circle-tracing mechanisms: classical and new synthesis | |
| CN111737832A (en) | Calculation Method of Instantaneous Transmission Ratio of Harmonic Gears with Continuous Meshing Tooth Profile | |
| CN103914629A (en) | A real-time simulation method of non-stationary target motion trajectory based on B-spline fitting | |
| CN104567873A (en) | Method for determining high-precision strapdown inertial navigation attitude angle aiming at high dynamic carrier application | |
| CN110397714B (en) | Gear conjugate tooth profile design method based on given relative curvature | |
| CN120633061A (en) | Harmonic drive tooth form design method with high bending strength |
| Date | Code | Title | Description |
|---|---|---|---|
| PB01 | Publication | ||
| PB01 | Publication | ||
| SE01 | Entry into force of request for substantive examination | ||
| SE01 | Entry into force of request for substantive examination | ||
| GR01 | Patent grant | ||
| GR01 | Patent grant |