Movatterモバイル変換


[0]ホーム

URL:


CN110661255A - Thermoelectric optimization operation method, device and equipment of multi-energy system - Google Patents

Thermoelectric optimization operation method, device and equipment of multi-energy system
Download PDF

Info

Publication number
CN110661255A
CN110661255ACN201910915685.5ACN201910915685ACN110661255ACN 110661255 ACN110661255 ACN 110661255ACN 201910915685 ACN201910915685 ACN 201910915685ACN 110661255 ACN110661255 ACN 110661255A
Authority
CN
China
Prior art keywords
power
simulation
thermoelectric
energy
price
Prior art date
Legal status (The legal status is an assumption and is not a legal conclusion. Google has not performed a legal analysis and makes no representation as to the accuracy of the status listed.)
Granted
Application number
CN201910915685.5A
Other languages
Chinese (zh)
Other versions
CN110661255B (en
Inventor
宋艺航
王刚
陈钢
尚楠
卢智
陈政
冷媛
张翔
黄国日
辜炜德
Current Assignee (The listed assignees may be inaccurate. Google has not performed a legal analysis and makes no representation or warranty as to the accuracy of the list.)
China Southern Power Grid Co Ltd
Energy Development Research Institute of China Southern Power Grid Co Ltd
Original Assignee
China Southern Power Grid Co Ltd
Energy Development Research Institute of China Southern Power Grid Co Ltd
Priority date (The priority date is an assumption and is not a legal conclusion. Google has not performed a legal analysis and makes no representation as to the accuracy of the date listed.)
Filing date
Publication date
Application filed by China Southern Power Grid Co Ltd, Energy Development Research Institute of China Southern Power Grid Co LtdfiledCriticalChina Southern Power Grid Co Ltd
Priority to CN201910915685.5ApriorityCriticalpatent/CN110661255B/en
Publication of CN110661255ApublicationCriticalpatent/CN110661255A/en
Application grantedgrantedCritical
Publication of CN110661255BpublicationCriticalpatent/CN110661255B/en
Activelegal-statusCriticalCurrent
Anticipated expirationlegal-statusCritical

Links

Images

Classifications

Landscapes

Abstract

The invention discloses a thermoelectric optimization operation method of a multi-energy system, which comprises the following steps: inputting a predicted value of electricity price and a predicted value of natural gas price, and carrying out simulation operation by using a income model of a comprehensive energy operator; and according to the simulation operation result, scheduling the productivity of the generator set and the heating unit, and outputting the purchase quantity of natural gas and the interactive electric quantity of the electric power market. The thermoelectric optimization operation method, the thermoelectric optimization operation device and the thermoelectric optimization operation equipment for the multi-energy system can calculate local area operation income of multi-energy and provide a technical basis for optimization operation decision.

Description

Thermoelectric optimization operation method, device and equipment of multi-energy system
Technical Field
The invention relates to the technical field of power systems, in particular to a thermoelectric optimization operation method, a thermoelectric optimization operation device and thermoelectric optimization operation equipment of a multi-energy system.
Background
In recent years, distributed new energy is developed on a large scale, and more small-sized wind power and distributed photovoltaic are built and applied in sequence. Meanwhile, technologies such as distributed energy storage, gas turbines started and stopped quickly, distributed heat pumps and the like are developed quickly. The energy supply of the future society will gradually develop into multi-energy supply, and a comprehensive energy operator is required to effectively integrate a large amount of distributed generation and heat supply main bodies and demand side response resources according to the local existing power generation resources and user demands so as to meet the electric energy and heat supply demands of users, and simultaneously react on the price of the electric power spot market and the prices of energy markets such as natural gas and coal. However, the prior art lacks comprehensive consideration of interaction with an electric power market and a gas trading market, and optimized scheduling and demand-side response of multiple energy sources in an area, so that a comprehensive energy source operator lacks technical support in the aspect of operation decision.
Disclosure of Invention
Aiming at the technical problems, the invention provides a thermoelectric optimization operation method, a thermoelectric optimization operation device and thermoelectric optimization operation equipment of a multi-energy system, which can calculate local area operation income of multi-energy and provide a technical basis for optimization operation decision. The technical scheme is as follows:
in a first aspect, an embodiment of the present invention provides a thermoelectric optimization operation method for a multi-energy system, including:
according to the input electricity price predicted value and the natural gas price predicted value, utilizing a income model of a comprehensive energy operator to perform simulation operation;
and according to the simulation operation result, scheduling the productivity of the generator set and the heating unit, and outputting the purchase quantity of natural gas and the interactive electric quantity of the electric power market.
In a first possible implementation manner of the first aspect of the present invention, the scheduling the capacity of the generator set and the heat generating set further includes:
constructing a simulation scene of a typical summer day and a simulation scene of a typical winter day;
obtaining an extreme value of a constraint condition in the region, and predicting the output value and the electricity price of the generator set under the simulation scene of the typical summer day and the typical winter day respectively;
and obtaining a simulation scheduling result of a typical day in summer and a simulation scheduling result of a typical day in winter by solving a mixed integer linear programming model by taking the extreme value, the predicted power generating set output value and the power price as input data.
In a second possible implementation manner of the first aspect of the present invention, after the step of outputting the purchase amount of the natural gas and the interactive power amount of the power market, the method further includes:
the method comprises the steps of obtaining cost data and profit data of a comprehensive energy operator in different regions under different simulation scenes, and obtaining an operation analysis result by comparing the cost data with the profit data.
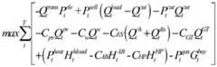
In a third possible implementation manner of the first aspect of the present invention, the method for thermoelectric optimization operation of a multi-energy system is characterized by including: constructing a profit model of a comprehensive energy operator based on the generated power, the heating power and the equipment cost in the region; the revenue model is as follows:
Figure BDA0002215158940000021
wherein:
Figure BDA0002215158940000022
the interaction electric quantity (buying on positive representatives and selling on negative representatives) of the comprehensive energy service provider and the electric power market;
Figure BDA0002215158940000023
is an electrical load in the area;
Figure BDA0002215158940000024
responding the load cut off for the required side in the region;
respectively photovoltaic power generation power, wind power generation power, energy storage charging power, energy storage discharging power and gas turbine power generation power;
Figure BDA0002215158940000026
respectively providing heat load power in the region, heat power provided by an auxiliary boiler, heat power of a heat pump and purchased natural gas quantity;
Cpv、Cw、CES、CGT、CHP、CABrespectively the operation and maintenance of photovoltaic system, wind power system, energy storage system, cogeneration gas turbine, heat pump and auxiliary boilerProtecting the cost;
Ptele、Ptsell、Ptcut、Ptheat、Ptgasand respectively providing the spot market electricity price, the selling electricity price of the regional comprehensive energy service provider, the compensation price given by the regional comprehensive energy service provider to the response user participating in the demand side, the heat supply price of the regional comprehensive energy service provider and the natural gas market price.
In a second aspect, an embodiment of the present invention provides a thermoelectric optimization operation apparatus for a multi-energy system, including:
the simulation operation module is used for inputting the electricity price predicted value and the natural gas price predicted value and performing simulation operation by utilizing a income model of the comprehensive energy operator;
and the simulation scheduling module is used for scheduling the productivity of the generator set and the heating unit according to the result of the simulation operation and outputting the purchase quantity of the natural gas and the interactive electric quantity of the electric power market.
In a first possible implementation manner of the second aspect of the present invention, the scheduling module further includes:
the scene setting module is used for constructing a simulation scene of a typical day in summer and a simulation scene of a typical day in winter;
the prediction module is used for acquiring an extreme value of a constraint condition in the region, and predicting the output value and the electricity price of the generator set under the simulation scene of the typical summer day and the typical winter day respectively;
and the scene operation module is used for obtaining a simulation scheduling result of a typical day in summer and a simulation scheduling result of a typical day in winter by solving the mixed integer linear programming model by taking the extreme value, the predicted generating set output value and the electricity price as input data.
In a second possible implementation manner of the second aspect of the present invention, the thermoelectric optimization operation apparatus of a multi-energy system further includes:
and the profit calculation module is used for acquiring cost data and profit data of the comprehensive energy operator in different regions and under different simulation scenes, and obtaining an operation analysis result by comparing the cost data with the profit data.
In a third aspect, an embodiment of the present invention provides a thermoelectric optimization operation device of a multi-energy system, including a processor, a memory, and a computer program stored in the memory and configured to be executed by the processor, where the processor implements the thermoelectric optimization operation method of the multi-energy system as described above when executing the computer program.
Compared with the prior art, the embodiment of the invention has the following beneficial effects:
the invention provides a thermoelectric optimization operation method, a thermoelectric optimization operation device and thermoelectric optimization operation equipment of a multi-energy system, wherein an electricity price predicted value and a natural gas price predicted value are used as input data, main body requirements and demand side effects in an electric power market, a gas market and a region are comprehensively considered, electric quantity and natural gas quantity interacting with a superior market are determined by solving a revenue model of a comprehensive energy operator, market conditions of a power generation side and a user side are responded, and a scheduling plan of power generation and heating is adjusted to realize profit. Meanwhile, the output of the power supply and the heat source is effectively adjusted according to the simulation operation result, the integration and utilization of various distributed resources are favorably realized, and the energy utilization efficiency is improved.
Drawings
FIG. 1 is a flow chart illustrating steps of a method for thermoelectric optimized operation of a multi-energy system in accordance with an embodiment of the present invention;
FIG. 2 is a diagram of a multi-energy market trading architecture for a method of thermoelectric optimized operation of a multi-energy system in an embodiment of the present invention;
FIG. 3 is a graph illustrating predicted wind and photovoltaic summer output for a method of thermoelectric optimized operation of a multi-energy system in an embodiment of the present invention;
FIG. 4 is a graph illustrating predicted wind and photovoltaic winter output for a method of thermoelectric optimized operation of a multi-energy system in an embodiment of the present invention;
FIG. 5 is a polyline and bar graph of electric power optimized scheduling for a region during summer for a method of thermoelectric optimized operation of a multi-energy system in an embodiment of the present invention;
FIG. 6 is a broken line and bar chart of thermal power optimized scheduling for a region in summer of a thermoelectric optimized operation method of a multi-energy system according to an embodiment of the present invention;
FIG. 7 is a graph of electric power optimized scheduling polyline and bar graph for a certain area in winter for a thermoelectric optimized operation method of a multi-energy system in an embodiment of the present invention;
FIG. 8 is a thermal power optimized scheduling polyline and bar graph for a certain area in winter for a method of thermoelectric optimized operation of a multi-energy system in an embodiment of the present invention;
fig. 9 is a block diagram of a thermoelectric optimum operation device of a multi-energy system in an embodiment of the present invention.
Detailed Description
The technical solutions in the embodiments of the present invention will be clearly and completely described below with reference to the drawings in the embodiments of the present invention, and it is obvious that the described embodiments are only a part of the embodiments of the present invention, and not all of the embodiments. All other embodiments, which can be derived by a person skilled in the art from the embodiments given herein without making any creative effort, shall fall within the protection scope of the present invention.
Referring to fig. 1, the present invention provides an exemplary embodiment of a method for thermoelectric optimized operation of a multi-energy system, comprising the steps of:
s101, inputting the electricity price predicted value and the natural gas price predicted value, and performing simulation operation by using a income model of a comprehensive energy operator;
and S102, scheduling the productivity of the generator set and the heating unit according to the simulation operation result, and outputting the purchase quantity of natural gas and the interactive electric quantity of the electric power market.
Referring to fig. 2, in the area, the power supply and the heat source include a wind power, photovoltaic, cogeneration gas turbine, an energy storage, an auxiliary boiler and a heat pump, and have an electric load and a heat load, wherein part of the load can be adjusted according to the agreement with the integrated energy operator. And the comprehensive energy operator uniformly schedules various power sources and heat sources in the region, adjusts the load through certain protocols, optimally schedules each power source and each heat source on the premise of meeting the electric heating load in the system by aiming at maximizing the profit of the comprehensive energy operator according to the predicted natural gas price and the electricity price of the spot market, and determines the purchase quantity of the natural gas and the interactive electric quantity with the electric power market. And for the users participating in the load adjustment, the comprehensive energy operator gives corresponding subsidies according to the agreement.
In this embodiment, the energy utility can benefit by supplying heat to the electricity consumers and the thermal load in the region at the cost of the generator, the heat provider, and the cost of interacting with the energy storage, natural gas, and electricity markets.
Constructing a profit model of a comprehensive energy operator based on the generated power, the heating power and the equipment cost in the region; the revenue model is as follows:
Figure BDA0002215158940000051
wherein:
Figure BDA0002215158940000052
the interaction electric quantity (buying on positive representatives and selling on negative representatives) of the comprehensive energy service provider and the electric power market;
Figure BDA0002215158940000053
is an electrical load in the area;
Figure BDA0002215158940000054
responding the load cut off for the required side in the region;
Figure BDA0002215158940000055
respectively photovoltaic power generation power, wind power generation power, energy storage charging power, energy storage discharging power and gas turbine power generation power;
Figure BDA0002215158940000056
respectively providing heat load power in the region, heat power provided by an auxiliary boiler, heat power of a heat pump and purchased natural gas quantity;
Cpv、Cw、CES、CGT、CHP、CABthe operation and maintenance costs of the photovoltaic system, the wind power system, the energy storage system, the cogeneration gas turbine, the heat pump and the auxiliary boiler are respectively calculated;
Ptele、Ptsell、Ptcut、Ptheat、Ptgasand respectively providing the spot market electricity price, the selling electricity price of the regional comprehensive energy service provider, the compensation price given by the regional comprehensive energy service provider to the response user participating in the demand side, the heat supply price of the regional comprehensive energy service provider and the natural gas market price.
In particular, the model is built taking into account constraints,
electric power balance constraint:
Figure BDA0002215158940000061
wherein, PtHPThe electric power consumed for the electric heat pump.
The thermal power balance constraint is:
Figure BDA0002215158940000062
Figure BDA0002215158940000063
wherein,
Figure BDA0002215158940000064
for supplying heat to combined heat and power gas turbines etae,GT、ηh,GTRespectively the power generation efficiency and the heating efficiency of the gas turbine.
The interruptible load constraint is:
Figure BDA0002215158940000065
Figure BDA0002215158940000066
wherein,
Figure BDA0002215158940000067
the maximum load shedding amount;
Figure BDA0002215158940000068
is percent load cut.
The renewable energy output constraint is as follows:
Figure BDA0002215158940000069
Figure BDA00022151589400000610
wherein,the upper limit of the photovoltaic output and the upper limit of the wind power output are respectively.
The electrical energy storage constraints are:
Figure BDA00022151589400000612
Figure BDA00022151589400000613
a1t+b1t≤1 (11)
Figure BDA00022151589400000614
SOCmin≤SOCt≤SOCmax (13)
SOCo=SOC24 (14)
wherein: a is1t、b1tIs a variable of 0, 1; SOCtIs the state of charge of the stored energy; SOCmin、SOCmaxMinimum and maximum states of charge of the stored energy, respectively; etae,ch、ηe,disRespectively the charge-discharge efficiency of stored energy.
The gas turbine constraints are:
Figure BDA0002215158940000071
wherein:
Figure BDA0002215158940000072
the upper limit of the output of the power generation of the gas turbine.
The auxiliary boiler constraints are:
Figure BDA0002215158940000073
wherein:is the upper limit of the heating power of the auxiliary boiler.
The electric heat pump restricts as follows:
Figure BDA0002215158940000075
Figure BDA0002215158940000076
wherein:
Figure BDA0002215158940000077
is the upper limit of the thermal power of the electric heat pump etah,HPIs the electric heat conversion efficiency of the electric heat pump.
The purchase amount of natural gas is as follows:
Figure BDA0002215158940000079
Figure BDA00022151589400000710
in the formula:
Figure BDA00022151589400000711
total natural gas purchase;
Figure BDA00022151589400000712
the natural gas consumption of the auxiliary boiler and the gas turbine, respectively; etah,ABTo assist the heating efficiency of the boiler; LHVgasIs the low heating value of natural gas.
The interactive electric quantity constraint with the upper market is as follows:
in the formula:
Figure BDA00022151589400000714
the method is the upper limit of electric quantity trading of the comprehensive energy service provider and the upper-layer electric power market.
The embodiment of the invention provides a novel profit model for modeling the profit of a comprehensive energy operator in a local area with wind power, photovoltaic and hot spot co-production gas turbine, electric energy storage, a heat pump, an auxiliary boiler and electric heat load, and the model comprehensively considers the main body demand and demand side effect in an electric power market, a gas market and an area, so that the modeling is closer to reality.
The capacity of generating set and generating set is scheduled, still includes:
constructing a simulation scene of a typical summer day and a simulation scene of a typical winter day;
obtaining an extreme value of a constraint condition in the region, and predicting the output value and the electricity price of the generator set under the simulation scene of the typical summer day and the typical winter day respectively;
the extreme values comprise maximum electric load, maximum heat load, installed capacity of a combined heat and power gas turbine, capacity of an energy storage device, charge and discharge power, power of an auxiliary boiler and an electric heat pump and low calorific value of natural gas;
and obtaining a simulation scheduling result of a typical day in summer and a simulation scheduling result of a typical day in winter by solving a mixed integer linear programming model by taking the extreme value, the predicted power generating set output value and the power price as input data.
Referring to fig. 3 and 4, in an embodiment of the present invention, a region is used as a study subject, and a day is divided into 24 periods, each 1 hour is a period, and a day-ahead optimization scheduling study is performed in the day. The extreme values of the constraint conditions are as follows: the maximum electric load and the maximum heat load of the region are respectively 840kW and 950 kW; the installed capacity of the cogeneration gas turbine is 300 kW; the capacity of the energy storage device is 400kWh, and the upper limit of the charging and discharging power is 100 kW; the upper power limits of the auxiliary boiler and the electric heat pump are respectively 300kW and 400 kW; the low heat value of the natural gas is 9.7 kW.m-3The natural gas prices in summer and winter are respectively 2.2 yuan per cubic meter and 2.6 yuan per cubic meter. The price prediction curve of the day-ahead electricity market is shown in table 1 below.
TABLE 1 day ahead market forecast electricity prices
Figure BDA0002215158940000081
In this embodiment, the established model is a mixed integer linear programming model, and a result is obtained through cplex solution.
Referring to fig. 5 and 6, in summer, the photovoltaic power generation is high, the renewable energy power source formed by wind power and photovoltaic power generates electricity basically according to the maximum power, and the gas turbine unit also operates basically according to the maximum power. In a time period with lower price, such as 1 hour to 7 hours and 13 hours to 14 hours, a certain area purchases electric energy from an upper-layer power grid to meet the load, and the stored energy is charged and stored. And when 9 hours to 10 hours, the electricity price is higher and the output of renewable energy is larger, so the stored energy starts to discharge, and a certain area sells electricity to the power grid for profit. The market has peak electricity price from 19 to 20, and the system load is at peak, so that a certain area can only buy electricity from the power grid and discharge the stored energy to meet the load of the certain area, and the demand side response also carries out load peak clipping according to the maximum load-cutting percentage. At 23 to 24, the stored energy is charged because the stored energy satisfies the constraint of equal initial and final states of charge, and the price of electricity is lower at this time. The amount of power consumed by the heat pump is determined by the amount of heat generated.
Referring to fig. 7 and 8, the renewable energy in winter has a large output, and the natural gas in winter has a high price. It can be seen from fig. 6 that the integrated energy service provider reduces the cost of purchasing electricity from the power grid and makes more profit on selling electricity to the power grid. The gas turbine output is also reduced correspondingly compared to the summer, especially at 13 to 14 hours. The heat supply demand is more in winter than in summer, and as can be seen from fig. 6 and 7, the renewable energy power generation is large and the electricity price is cheaper from 13 hours to 14 hours, and meanwhile, the natural gas price is higher than that in summer, so that the heat pump generates heat by more electric energy, and the gas turbine generates heat to meet the requirement when the heat pump reaches the upper limit of output and still cannot meet the heat load.
The embodiment of the invention provides the optimized operation strategy of the operator according to the comparison of the income of the operator in different seasons and different operation categories. The optimization operation strategies of the comprehensive energy operators in different seasons are given through calculation, and meanwhile, the necessity of comprehensive operation and optimization decision of the operators is further explained through the comparison of profits of the operators in different operation categories in different seasons (summer and winter).
After the step of outputting the purchase amount of the natural gas and the interactive electric quantity of the electric power market, the method further comprises the following steps:
the method comprises the steps of obtaining cost data and profit data of a comprehensive energy operator in different regions under different simulation scenes, and obtaining an operation analysis result by comparing the cost data with the profit data.
In one embodiment of the invention, the profit analysis and comparison of the comprehensive energy operators in different scenes of different regions is selected, as shown in table 2 below, the cost and profit sheet of the comprehensive energy service provider. Wherein,scene 1 andscene 2 represent the situation that only electricity selling service is carried out in a certain area in summer and winter respectively;scenario 3 andscenario 4 represent an integrated energy service scenario where areas begin selling electricity and heat simultaneously in summer and winter, respectively.
TABLE 2 comprehensive energy facilitator cost and profit sheet
Figure BDA0002215158940000091
Figure BDA0002215158940000101
As can be seen from the comparison between thescenario 1 and thescenario 3, the purchase amount of the natural gas for single electricity selling service is obviously reduced, firstly, the gas consumption without auxiliary boiler operation is reduced, and secondly, the comprehensive energy utilization rate is reduced due to the utilization of the generated power of the gas turbine, so that the output is reduced, and the gas consumption is reduced along with the reduction of the gas consumption. It can be seen from the comparison betweenscenario 1 andscenario 3, and the comparison betweenscenario 2 andscenario 4 that performing comprehensive operation while performing electricity and heat sales service can bring more profits to operators. As can be seen from the comparison betweenscenario 1 andscenario 2, andscenario 3 andscenario 4, the gas purchase amount in winter is reduced, the power generation and utilization of renewable energy sources are higher, and the profit in winter is also higher.
Through the simulation, the optimized operation method of the comprehensive energy operator in a certain area in winter and summer is provided, and the guiding significance of the model for guiding the comprehensive energy operator to increase the income can be seen from the income of different situations, so that the reference is provided for the operation of the comprehensive energy service provider.
Referring to fig. 9, which shows an exemplary embodiment of the present invention, a thermoelectric optimal operation apparatus of a multi-energy system includes:
thesimulation operation module 201 is used for inputting the electricity price predicted value and the natural gas price predicted value and performing simulation operation by using a income model of the comprehensive energy operator;
and thesimulation scheduling module 202 is used for scheduling the productivity of the generator set and the heating unit according to the result of the simulation operation, and outputting the purchase quantity of the natural gas and the interactive electric quantity of the electric power market.
The scheduling module further includes:
the scene setting module is used for constructing a simulation scene of a typical day in summer and a simulation scene of a typical day in winter;
the prediction module is used for acquiring an extreme value of a constraint condition in the region, and predicting the output value and the electricity price of the generator set under the simulation scene of the typical summer day and the typical winter day respectively;
and the scene operation module is used for obtaining a simulation scheduling result of a typical day in summer and a simulation scheduling result of a typical day in winter by solving the mixed integer linear programming model by taking the extreme value, the predicted generating set output value and the electricity price as input data.
The thermoelectric optimization operation device of the multi-energy system further comprises:
and the profit calculation module is used for acquiring cost data and profit data of the comprehensive energy operator in different regions and under different simulation scenes, and obtaining an operation analysis result by comparing the cost data with the profit data.
The present invention also provides an exemplary embodiment, a thermoelectric optimization operation apparatus of a multi-energy system, including a processor, a memory, and a computer program stored in the memory and configured to be executed by the processor, the processor implementing the thermoelectric optimization operation method of the multi-energy system as described above when executing the computer program.
The invention provides a thermoelectric optimization operation method, a thermoelectric optimization operation device and thermoelectric optimization operation equipment of a multi-energy system, wherein an electricity price predicted value and a natural gas price predicted value are used as input data, main body requirements and demand side effects in an electric power market, a gas market and a region are comprehensively considered, electric quantity and natural gas quantity interacting with a superior market are determined by solving a revenue model of a comprehensive energy operator, market conditions of a power generation side and a user side are responded, and a scheduling plan of power generation and heating is adjusted to realize profit. Meanwhile, the output of the power supply and the heat source is effectively adjusted according to the simulation operation result, the integration and utilization of various distributed resources are favorably realized, and the energy utilization efficiency is improved.
While the foregoing is directed to the preferred embodiment of the present invention, it will be understood by those skilled in the art that various changes and modifications may be made without departing from the spirit and scope of the invention.
It will be understood by those skilled in the art that all or part of the processes of the methods of the embodiments described above can be implemented by a computer program, which can be stored in a computer-readable storage medium, and when executed, can include the processes of the embodiments of the methods described above. The storage medium may be a magnetic disk, an optical disk, a Read-Only Memory (ROM), a Random Access Memory (RAM), or the like.

Claims (8)

1. A method for thermoelectric optimized operation of a multi-energy system, comprising the steps of:
inputting a predicted value of electricity price and a predicted value of natural gas price, and carrying out simulation operation by using a income model of a comprehensive energy operator;
and according to the simulation operation result, scheduling the productivity of the generator set and the heating unit, and outputting the purchase quantity of natural gas and the interactive electric quantity of the electric power market.
2. The method for thermoelectric optimized operation of a multi-energy system as claimed in claim 1, wherein said scheduling the power generation of the generator set and the heat generating set further comprises:
constructing a simulation scene of a typical summer day and a simulation scene of a typical winter day;
obtaining an extreme value of a constraint condition in the region, and predicting the output value and the electricity price of the generator set under the simulation scene of the typical summer day and the typical winter day respectively;
and obtaining a simulation scheduling result of a typical day in summer and a simulation scheduling result of a typical day in winter by solving a mixed integer linear programming model by taking the extreme value, the predicted power generating set output value and the power price as input data.
3. A method for thermoelectric optimized operation of a multi-energy system as recited in claim 1, further comprising, after said steps of exporting a purchased quantity of natural gas and an interactive quantity of electricity for an electricity market:
the method comprises the steps of obtaining cost data and profit data of a comprehensive energy operator in different regions under different simulation scenes, and obtaining an operation analysis result by comparing the cost data with the profit data.
4. A method for thermoelectric optimized operation of a multi-energy system as recited in claim 1, comprising: constructing a profit model of a comprehensive energy operator based on the generated power, the heating power and the equipment cost in the region; the revenue model is as follows:
Figure FDA0002215158930000011
wherein:
Figure FDA0002215158930000021
the interaction electric quantity (buying on positive representatives and selling on negative representatives) of the comprehensive energy service provider and the electric power market;
Figure FDA0002215158930000022
is an electrical load in the area;
Figure FDA0002215158930000023
responding the load cut off for the required side in the region;
Figure FDA0002215158930000024
respectively photovoltaic power generation power, wind power generation power, energy storage charging power, energy storage discharging power and gas turbine power generation power;
Figure FDA0002215158930000025
respectively providing heat load power in the region, heat power provided by an auxiliary boiler, heat power of a heat pump and purchased natural gas quantity;
Cpv、Cw、CES、CGT、CHP、CABthe operation and maintenance costs of the photovoltaic system, the wind power system, the energy storage system, the cogeneration gas turbine, the heat pump and the auxiliary boiler are respectively calculated;
Ptele、Ptsell、Ptcut、Ptheat、Ptgasand respectively providing the spot market electricity price, the selling electricity price of the regional comprehensive energy service provider, the compensation price given by the regional comprehensive energy service provider to the response user participating in the demand side, the heat supply price of the regional comprehensive energy service provider and the natural gas market price.
5. A thermoelectric optimized operation device of a multi-energy system, comprising:
the simulation operation module is used for inputting the electricity price predicted value and the natural gas price predicted value and performing simulation operation by utilizing a income model of the comprehensive energy operator;
and the simulation scheduling module is used for scheduling the productivity of the generator set and the heating unit according to the result of the simulation operation and outputting the purchase quantity of the natural gas and the interactive electric quantity of the electric power market.
6. A thermoelectric optimized operation device of a multi-energy system according to claim 1, wherein said scheduling module further comprises:
the scene setting module is used for constructing a simulation scene of a typical day in summer and a simulation scene of a typical day in winter;
the prediction module is used for acquiring an extreme value of a constraint condition in the region, and predicting the output value and the electricity price of the generator set under the simulation scene of the typical summer day and the typical winter day respectively;
and the scene operation module is used for obtaining a simulation scheduling result of a typical day in summer and a simulation scheduling result of a typical day in winter by solving the mixed integer linear programming model by taking the extreme value, the predicted generating set output value and the electricity price as input data.
7. A thermoelectric optimum operating device of a multi-energy system according to claim 1, further comprising:
and the profit calculation module is used for acquiring cost data and profit data of the comprehensive energy operator in different regions and under different simulation scenes, and obtaining an operation analysis result by comparing the cost data with the profit data.
8. A thermoelectric optimal operation apparatus of a multi-energy system, comprising a processor, a memory, and a computer program stored in the memory and configured to be executed by the processor, the processor implementing the thermoelectric optimal operation method of the multi-energy system according to any one of claims 1 to 4 when executing the computer program.
CN201910915685.5A2019-09-252019-09-25Thermoelectric optimization operation method, device and equipment of multi-energy systemActiveCN110661255B (en)

Priority Applications (1)

Application NumberPriority DateFiling DateTitle
CN201910915685.5ACN110661255B (en)2019-09-252019-09-25Thermoelectric optimization operation method, device and equipment of multi-energy system

Applications Claiming Priority (1)

Application NumberPriority DateFiling DateTitle
CN201910915685.5ACN110661255B (en)2019-09-252019-09-25Thermoelectric optimization operation method, device and equipment of multi-energy system

Publications (2)

Publication NumberPublication Date
CN110661255Atrue CN110661255A (en)2020-01-07
CN110661255B CN110661255B (en)2020-11-20

Family

ID=69039215

Family Applications (1)

Application NumberTitlePriority DateFiling Date
CN201910915685.5AActiveCN110661255B (en)2019-09-252019-09-25Thermoelectric optimization operation method, device and equipment of multi-energy system

Country Status (1)

CountryLink
CN (1)CN110661255B (en)

Cited By (4)

* Cited by examiner, † Cited by third party
Publication numberPriority datePublication dateAssigneeTitle
CN111784188A (en)*2020-07-142020-10-16中国南方电网有限责任公司Comprehensive energy service business market clearing method based on electric power market
CN113706027A (en)*2021-08-312021-11-26广东电网有限责任公司Energy scheduling management method, device and system of comprehensive energy system
CN119045341A (en)*2024-11-012024-11-29东莞新能源研究院 An optimization method for distributed energy control system
CN119620739A (en)*2025-02-112025-03-14东方电气集团科学技术研究院有限公司 A comprehensive energy system dispatching control strategy testing method and system

Citations (2)

* Cited by examiner, † Cited by third party
Publication numberPriority datePublication dateAssigneeTitle
JP2003006374A (en)*2001-06-182003-01-10Kansai Electric Power Co Inc:TheElectric charges setting system, setting method thereof, setting program thereof, and computer readable recording medium recorded the setting program
CN106786625A (en)*2016-12-202017-05-31国网天津市电力公司Distribution network voltage control method for coordinating based on distributing-supplying-energy system interaction capability

Patent Citations (2)

* Cited by examiner, † Cited by third party
Publication numberPriority datePublication dateAssigneeTitle
JP2003006374A (en)*2001-06-182003-01-10Kansai Electric Power Co Inc:TheElectric charges setting system, setting method thereof, setting program thereof, and computer readable recording medium recorded the setting program
CN106786625A (en)*2016-12-202017-05-31国网天津市电力公司Distribution network voltage control method for coordinating based on distributing-supplying-energy system interaction capability

Cited By (5)

* Cited by examiner, † Cited by third party
Publication numberPriority datePublication dateAssigneeTitle
CN111784188A (en)*2020-07-142020-10-16中国南方电网有限责任公司Comprehensive energy service business market clearing method based on electric power market
CN113706027A (en)*2021-08-312021-11-26广东电网有限责任公司Energy scheduling management method, device and system of comprehensive energy system
CN113706027B (en)*2021-08-312025-05-06广东电网有限责任公司 Energy dispatching management method, device and system for integrated energy system
CN119045341A (en)*2024-11-012024-11-29东莞新能源研究院 An optimization method for distributed energy control system
CN119620739A (en)*2025-02-112025-03-14东方电气集团科学技术研究院有限公司 A comprehensive energy system dispatching control strategy testing method and system

Also Published As

Publication numberPublication date
CN110661255B (en)2020-11-20

Similar Documents

PublicationPublication DateTitle
Tabar et al.Energy management in hybrid microgrid with considering multiple power market and real time demand response
US8718850B2 (en)Systems and methods for using electric vehicles as mobile energy storage
Moradi et al.Operational strategy optimization in an optimal sized smart microgrid
CN110661255B (en)Thermoelectric optimization operation method, device and equipment of multi-energy system
Clastres et al.Ancillary services and optimal household energy management with photovoltaic production
NafehOptimal economical sizing of a PV-wind hybrid energy system using genetic algorithm
Phiri et al.Demand Side Management of a grid connected PV-WT-Battery hybrid system
Scheubel et al.Modeling of industrial-scale hybrid renewable energy systems (HRES)–The profitability of decentralized supply for industry
CN110611336B (en)Optimal operation method of park multi-energy system with double-stage demand side response
Zhu et al.Optimal design and management of a smart residential PV and energy storage system
Rizvi et al.Optimal scheduling of virtual power plants utilizing wind power and electric vehicles
Zhang et al.Economic and Optimal Dispatch Model of Electricity, Heat and Gas for Virtual Power Plants in Parks Considering Low Carbon Targets.
CN105930919A (en)Two-stage stochastic planning-based virtual power plant risk avoidance optimization operation method
Ardeshiri et al.Using improved time of use demand response in optimal operation of microgrid
KusakanaOptimal power flow of a battery/wind/PV/grid hybrid system: Case of South Africa
Ullah et al.Demand response strategy of a virtual power plant for internal electricity market
CN107622331A (en)A kind of generating set and the optimization method and device of power consumer direct dealing mode
CN118297343A (en)Virtual power plant scheduling method and system based on user electricity price design
CN118137466A (en)Highway service area micro-grid group coordination mutual aid optimization scheduling method and system
CN112541778B (en) An optimal operation method for a two-stage market clearing system based on microgrid participation
Odekunle et al.Feasibility study of a PV/biogas/grid system for the Micro-grid supply at Ashesi University
Vahid-Ghavidel et al.Opportunistic info-gap approach for optimization of electrical and heating loads in multi-energy systems in the presence of a demand response program
Liu et al.A probabilistic chance-constrained day-ahead scheduling model for grid-connected microgrid
Behi et al.A robust bidding strategy for VPPs including gamified customer engagement
Azaroual et al.Multi-objective energy management of a grid-connected photovoltaic-wind-battery hybrid system using deterministic approach

Legal Events

DateCodeTitleDescription
PB01Publication
PB01Publication
SE01Entry into force of request for substantive examination
SE01Entry into force of request for substantive examination
GR01Patent grant
GR01Patent grant

[8]ページ先頭

©2009-2025 Movatter.jp