











技术领域technical field
本发明涉及车速检测技术领域,特别涉及一种车速的测量方法、装置及车辆。The invention relates to the technical field of vehicle speed detection, in particular to a vehicle speed measurement method, device and vehicle.
背景技术Background technique
现阶段,视觉测速主要是通过固定摄像头对运动车辆进行拍摄,然后根据图像中车辆轮毂的模糊程度计算出运动车辆的车速。具体实现过程是:通过标定好的摄像头对运动车辆的轮毂进行拍摄,然后计算出图像中轮毂的水平距离和垂直距离,并对比实际水平直径和垂直直径得到模糊像素量,最后通过模糊量与车速的数学模型得到车速。At this stage, the visual speed measurement mainly uses a fixed camera to shoot the moving vehicle, and then calculates the speed of the moving vehicle according to the blurring degree of the vehicle wheel hub in the image. The specific implementation process is: shoot the wheel hub of the moving vehicle through the calibrated camera, then calculate the horizontal distance and vertical distance of the wheel hub in the image, and compare the actual horizontal diameter and vertical diameter to obtain the amount of blurred pixels. The mathematical model to get the vehicle speed.
由于上述方式是在车辆之外设置摄像头,通过该摄像头对车辆轮毂进行拍摄,得到轮毂的运动图像,然后对其进行分析得到车辆的车速,因而只能在定点位置对过往车辆的车速进行检测,无法实现车辆对自身车速的实时检测,而且在计算后期,需要有一个从轮毂反推整车的过程,增加了计算步骤。Since the above method is to set up a camera outside the vehicle, use the camera to shoot the wheel hub of the vehicle to obtain the moving image of the wheel hub, and then analyze it to obtain the speed of the vehicle, so the speed of the passing vehicle can only be detected at a fixed position. It is impossible to realize the real-time detection of the vehicle's own speed, and in the later stage of calculation, a process of pushing back the whole vehicle from the wheel hub is required, adding calculation steps.
发明内容SUMMARY OF THE INVENTION
本发明旨在至少在一定程度上解决相关技术中的技术问题之一。为此,本发明的第一个目的在于提出一种车速的测量方法,能够实现车辆对自身车速的实时检测。The present invention aims to solve one of the technical problems in the related art at least to a certain extent. Therefore, the first object of the present invention is to propose a vehicle speed measurement method, which can realize real-time detection of the vehicle's own vehicle speed.
本发明的第二个目的在于提出一种非临时性计算机可读存储介质。A second object of the present invention is to propose a non-transitory computer-readable storage medium.
本发明的第三个目的在于提出一种车速的测量装置。The third object of the present invention is to provide a vehicle speed measuring device.
本发明的第四个目的在于提出一种车辆。A fourth object of the present invention is to propose a vehicle.
为实现上述目的,本发明第一方面实施例提出了一种车速的测量方法,包括以下步骤:通过安装在当前车辆上的至少一个摄像头,获取所述当前车辆周围环境的图像,并根据所述至少一个摄像头的位置,确定出所述图像中的地面区域图像;对所述地面区域图像进行频率域转化,得到所述地面区域图像的频谱图;根据所述频谱图,得到所述当前车辆的运动方向和所述当前车辆的运动速度值,并根据所述运动方向和所述运动速度值,得到所述当前车辆的运动速度矢量。In order to achieve the above object, an embodiment of the first aspect of the present invention provides a method for measuring vehicle speed, which includes the following steps: obtaining an image of the surrounding environment of the current vehicle through at least one camera installed on the current vehicle, and according to the The position of at least one camera determines the ground area image in the image; the frequency domain transformation is performed on the ground area image to obtain a spectrogram of the ground area image; according to the spectrogram, the current vehicle's The movement direction and the movement speed value of the current vehicle are obtained, and the movement speed vector of the current vehicle is obtained according to the movement direction and the movement speed value.
根据本发明实施例的车速的测量方法,通过安装在当前车辆上的至少一个摄像头,获取当前车辆周围环境的图像,并根据至少一个摄像头的位置,确定出图像中的地面区域图像,以及对地面区域图像进行频率域转化,得到地面区域图像的频谱图。然后,根据频谱图,得到当前车辆的运动方向和当前车辆的运动速度值,并根据运动方向和运动速度值,得到当前车辆的运动速度矢量。由此,可实现车辆对自身车速的实时检测。According to the vehicle speed measurement method of the embodiment of the present invention, an image of the surrounding environment of the current vehicle is obtained by at least one camera installed on the current vehicle, and according to the position of the at least one camera, the ground area image in the image is determined, and the ground The area image is transformed into the frequency domain to obtain the spectrogram of the ground area image. Then, according to the spectrogram, the movement direction of the current vehicle and the movement speed value of the current vehicle are obtained, and the movement speed vector of the current vehicle is obtained according to the movement direction and the movement speed value. In this way, the real-time detection of the vehicle's own vehicle speed can be realized.
为实现上述目的,本发明第二方面实施例提出了一种非临时性计算机可读存储介质,其上存储有计算机程序,该程序被处理器执行时实现本发明第一方面实施例所述的车速的测量方法。In order to achieve the above object, the second aspect of the present invention provides a non-transitory computer-readable storage medium, on which a computer program is stored, and when the program is executed by a processor, the first aspect of the present invention is implemented. Method of measuring vehicle speed.
根据本发明实施例的非临时性计算机可读存储介质,通过上述的车速的测量方法,可实现车辆对自身车速的实时检测。According to the non-transitory computer-readable storage medium of the embodiment of the present invention, the vehicle's real-time detection of its own vehicle speed can be realized through the above-mentioned vehicle speed measurement method.
为实现上述目的,本发明第三方面实施例提出了一种车速的测量装置,包括:第一图像获取单元,用于通过安装在当前车辆上的至少一个摄像头,获取所述当前车辆周围环境的图像;第二图像获取单元,用于根据所述至少一个摄像头的位置,确定出所述图像中的地面区域图像;转换单元,用于对所述地面区域图像进行频率域转化,得到所述地面区域图像的频谱图;车速获取单元,用于根据所述频谱图,得到所述当前车辆的运动方向和所述当前车辆的运动速度值,并根据所述运动方向和所述运动速度值,得到所述当前车辆的运动速度矢量。In order to achieve the above object, an embodiment of the third aspect of the present invention provides a vehicle speed measurement device, comprising: a first image acquisition unit, configured to acquire information about the surrounding environment of the current vehicle through at least one camera installed on the current vehicle. an image; a second image acquisition unit for determining a ground area image in the image according to the position of the at least one camera; a conversion unit for performing frequency domain transformation on the ground area image to obtain the ground area image The spectrogram of the area image; the vehicle speed acquiring unit is used to obtain the motion direction of the current vehicle and the motion speed value of the current vehicle according to the spectrogram, and obtain the motion direction and the motion speed value according to the motion direction and the motion speed value. The motion speed vector of the current vehicle.
根据本发明实施例的车速的测量装置,通过第一图像获取单元获取当前车辆周围环境的图像,并通过第二图像获取单元确定出图像中的地面区域图像,以及通过转换单元对地面区域图像进行频率域转化,得到地面区域图像的频谱图。然后,通过车速获取单元根据频谱图,得到当前车辆的运动方向和当前车辆的运动速度值,并根据运动方向和所述运动速度值,得到当前车辆的运动速度矢量。由此,可实现车辆对自身车速的实时检测。According to the vehicle speed measurement device according to the embodiment of the present invention, the image of the current surrounding environment of the vehicle is acquired by the first image acquisition unit, the ground area image in the image is determined by the second image acquisition unit, and the conversion unit is used for the image of the ground area. Frequency domain transformation to obtain the spectrogram of the ground area image. Then, the vehicle speed obtaining unit obtains the current vehicle motion direction and the current vehicle motion speed value according to the spectrogram, and obtains the current vehicle motion speed vector according to the motion direction and the motion speed value. In this way, the real-time detection of the vehicle's own vehicle speed can be realized.
为实现上述目的,本发明第四方面实施例提出了一种车辆,包括本发明第三方面实施例所述的车速的测量装置。In order to achieve the above object, an embodiment of the fourth aspect of the present invention provides a vehicle, including the vehicle speed measurement device according to the embodiment of the third aspect of the present invention.
根据本发明实施例的车辆,通过上述的车速的测量装置,可实现车辆对自身车速的实时检测。According to the vehicle of the embodiment of the present invention, through the above-mentioned vehicle speed measuring device, the vehicle can realize real-time detection of its own vehicle speed.
附图说明Description of drawings
图1是根据本发明一个实施例的运动状态的识别方法的流程图;1 is a flowchart of a method for identifying a motion state according to an embodiment of the present invention;
图2是根据本发明一个实施例的对图像中运动区域或静止区域识别的流程图;FIG. 2 is a flowchart of identifying a moving area or a static area in an image according to an embodiment of the present invention;
图3是根据本发明一个实施例的车辆预警方法的流程图;3 is a flowchart of a vehicle early warning method according to an embodiment of the present invention;
图4是根据本发明一个实施例的道路监测方法的流程图;4 is a flowchart of a road monitoring method according to an embodiment of the present invention;
图5是根据本发明一个实施例的车速的测量方法的流程图;5 is a flowchart of a method for measuring vehicle speed according to an embodiment of the present invention;
图6是根据本发明一个实施例的运动物体速度的测量方法的流程图;6 is a flowchart of a method for measuring the speed of a moving object according to an embodiment of the present invention;
图7是根据本发明一个实施例的运动状态的识别装置的方框示意图;7 is a schematic block diagram of an apparatus for identifying a motion state according to an embodiment of the present invention;
图8是根据本发明一个实施例的车辆预警装置的方框示意图;FIG. 8 is a schematic block diagram of a vehicle early warning device according to an embodiment of the present invention;
图9是根据本发明一个实施例的道路监测装置的方框示意图;9 is a schematic block diagram of a road monitoring device according to an embodiment of the present invention;
图10是根据本发明一个实施例的车辆的方框示意图;Figure 10 is a schematic block diagram of a vehicle according to one embodiment of the present invention;
图11是根据本发明一个实施例的车速的测量装置的方框示意图;11 is a schematic block diagram of a device for measuring vehicle speed according to an embodiment of the present invention;
图12是根据本发明另一个实施例的车辆的方框示意图;12 is a block schematic diagram of a vehicle according to another embodiment of the present invention;
图13a是根据本发明一个实施例的运动物体速度的测量装置的方框示意图;13a is a schematic block diagram of a device for measuring the velocity of a moving object according to an embodiment of the present invention;
图13b是根据本发明一个实施例的运动物体速度的测量装置的方框示意图;13b is a schematic block diagram of a device for measuring the velocity of a moving object according to an embodiment of the present invention;
图14是根据本发明又一个实施例的车辆的方框示意图。14 is a schematic block diagram of a vehicle according to yet another embodiment of the present invention.
具体实施方式Detailed ways
下面详细描述本发明的实施例,所述实施例的示例在附图中示出,其中自始至终相同或类似的标号表示相同或类似的元件或具有相同或类似功能的元件。下面通过参考附图描述的实施例是示例性的,旨在用于解释本发明,而不能理解为对本发明的限制。The following describes in detail the embodiments of the present invention, examples of which are illustrated in the accompanying drawings, wherein the same or similar reference numerals refer to the same or similar elements or elements having the same or similar functions throughout. The embodiments described below with reference to the accompanying drawings are exemplary, and are intended to explain the present invention and should not be construed as limiting the present invention.
图1是根据本发明一个实施例的运动状态的识别方法的流程图。FIG. 1 is a flowchart of a method for recognizing a motion state according to an embodiment of the present invention.
如图1所示,本发明实施例的运动状态的识别方法可包括以下步骤:As shown in FIG. 1 , the method for identifying a motion state according to an embodiment of the present invention may include the following steps:
S11,通过至少一个摄像头,获取周围环境的图像。S11. Obtain an image of the surrounding environment through at least one camera.
根据本发明的一个实施例,摄像头为多个,通过至少一个摄像头,获取周围环境的图像,包括:通过多个摄像头,获取周围环境的全景图像。According to an embodiment of the present invention, there are multiple cameras, and acquiring an image of the surrounding environment through at least one camera includes: acquiring a panoramic image of the surrounding environment through the multiple cameras.
在实际应用中,摄像头的个数可根据实际需求来确定。例如,当需要对道路上过往的车辆、行人等运动物体进行检测时,可在道路上方或一侧设置一个摄像头,通过该摄像头获取道路的图像;当需要对车辆周围的车辆、行人等运动物体进行检测时,可在车辆上设置多个摄像头,通过多个摄像头拍摄不同角度的图像,然后拼接成全景图像,这样通过对一张全景图像的分析即可获得周围环境的所有情况,以便于对车辆周围的运动物体进行检测。其中,摄像头所拍摄的图像可以为三通道图像(RGB数据格式的图像),具体这里不做限制。In practical applications, the number of cameras can be determined according to actual needs. For example, when it is necessary to detect moving objects such as passing vehicles and pedestrians on the road, a camera can be set above or on one side of the road, and the image of the road can be obtained through the camera; when it is necessary to detect moving objects such as vehicles and pedestrians around the vehicle During detection, multiple cameras can be set up on the vehicle, and images from different angles can be taken through multiple cameras, and then stitched into a panoramic image, so that all the surrounding environment can be obtained through the analysis of a panoramic image, so as to facilitate the analysis of the surrounding environment. Moving objects around the vehicle are detected. The image captured by the camera may be a three-channel image (an image in an RGB data format), which is not specifically limited here.
S12,对图像的模糊状态进行分析,识别出图像中的运动区域或静止区域。S12, analyze the blurred state of the image, and identify a moving area or a static area in the image.
根据本发明的一个实施例,如图2所示,对图像的模糊状态进行分析,识别出图像中的运动区域或静止区域,包括:According to an embodiment of the present invention, as shown in FIG. 2 , the fuzzy state of the image is analyzed, and the moving area or the static area in the image is identified, including:
S121,对图像进行分块处理,得到多个区块图像。S121, performing block processing on the image to obtain a plurality of block images.
具体地,可根据图像的分辨率对图像进行分块处理,以得到小区块的图像,其中,获得的区块图像的个数与分辨率成正比。例如,图像的分辨率越高,获得的区块图像的个数就越多,图像的分辨率越低,获得的区块图像的个数就越少,由此,可有效防止当图像分辨率较低时,采用相同的分块方式导致获得的区块图像不清晰,影响对区块图像的正确分析。Specifically, the image may be divided into blocks according to the resolution of the image to obtain images of small blocks, wherein the number of obtained block images is proportional to the resolution. For example, the higher the resolution of the image, the greater the number of obtained block images, the lower the resolution of the image, the less the number of obtained block images, thus, it can effectively prevent when the image resolution When it is lower, the same block method will result in unclear block images, which will affect the correct analysis of block images.
S122,获取多个区块图像中每个区块图像的模糊尺度。S122, acquiring the blur scale of each block image in the plurality of block images.
根据本发明的一个实施例,获取多个区块图像中每个区块图像的模糊尺度,包括:对区块图像进行频率域转化,得到区块图像的频谱图;根据频谱图中暗条纹的方向角度和暗条纹的间距,得到区块图像的模糊尺度。According to one embodiment of the present invention, obtaining the fuzzy scale of each block image in the plurality of block images includes: performing frequency domain transformation on the block images to obtain a spectrogram of the block image; The direction angle and the spacing of the dark stripes are used to obtain the blur scale of the patch image.
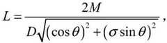
根据本发明的一个实施例,根据频谱图中暗条纹的方向角度和暗条纹的间距,得到区块图像的模糊尺度,包括:采用第一预设公式,计算得到模糊尺度,第一预设公式为:According to an embodiment of the present invention, obtaining the blur scale of the block image according to the direction angle of the dark fringes and the spacing of the dark fringes in the spectrogram includes: using a first preset formula to calculate the blur scale, the first preset formula for:
其中,L为模糊尺度,M为区块图像的横向尺寸,D为暗条纹的间距,θ为暗条纹的方向角度,σ为区块图像的长宽比。Among them, L is the blur scale, M is the lateral size of the block image, D is the spacing of the dark stripes, θ is the direction angle of the dark stripes, and σ is the aspect ratio of the block image.
具体地,在获得多个区块图像后,可采用离散傅里叶变换对每个区块图像进行频率域转化,以得到每个区块图像的频谱图,然后对每个区块图像的频谱图进行分析。由于图像中存在的静止部分与运动部分所产生的运动模糊程度不同,所以频谱图中会存在不同程度的暗条纹(频谱线条),因此可根据频谱图中暗条纹的方向角度θ和暗条纹的间距D,获得每个区块图像的模糊尺度L。Specifically, after obtaining a plurality of block images, discrete Fourier transform can be used to perform frequency domain transformation on each block image to obtain a spectrogram of each block image, and then the frequency spectrum of each block image can be graph for analysis. Due to the different degrees of motion blur caused by the static part and the moving part in the image, there will be dark fringes (spectral lines) of different degrees in the spectrogram. Therefore, according to the direction angle θ of the dark fringes and the The distance D is to obtain the blur scale L of each block image.
在根据频谱图中暗条纹的方向角度θ和暗条纹的间距D,得到区块图像的模糊尺度L时,还获取区块图像的横向尺寸M和区块图像的长宽比σ(当区块图像的横向尺寸M大于区块图像的纵向尺寸N时,σ=M/N;当区块图像的横向尺寸M小于或等于区块图像的纵向尺寸N时,σ=N/M),然后,根据区块图像的横向尺寸M、区块图像的长宽比σ、暗条纹的间距D、暗条纹的方向角度θ,通过上述公式(1)计算获得区块图像的模糊尺度L。When obtaining the fuzzy scale L of the block image according to the direction angle θ of the dark stripes in the spectrogram and the distance D of the dark stripes, also obtain the lateral size M of the block image and the aspect ratio σ of the block image (when the block When the horizontal size M of the image is greater than the vertical size N of the block image, σ=M/N; when the horizontal size M of the block image is smaller than or equal to the vertical size N of the block image, σ=N/M), then, According to the lateral size M of the block image, the aspect ratio σ of the block image, the distance D of the dark stripes, and the direction angle θ of the dark stripes, the blur scale L of the block image is obtained by calculating the above formula (1).
S123,根据模糊尺度,对多个区块图像进行聚类,并计算每类中模糊尺度的平均值。S123 , according to the fuzzy scale, perform clustering on a plurality of block images, and calculate the average value of the fuzzy scales in each category.
具体地,在获得每个区块图像的模糊尺度之后,将模糊尺度相近的区块图像划分为一类,然后计算出每类区块图像的模糊尺度的平均值。Specifically, after obtaining the blurring scale of each block image, the block images with similar blurring scales are divided into one category, and then the average value of the blurring scale of each category of block images is calculated.
举例而言,当区块图像为6个,且对应的模糊尺度分别为L1、L2、L3、L4、L5和L6时,如果L1-L2<L0(预设阈值),则说明L1和L2对应的区块图像的模糊尺度相近,L1和L2对应的区块图像为一类。假设,通过上述方式判断出L1、L2、L3和L4对应的区块图像的模糊尺度相近,L5和L6对应的区块图像的模糊尺度相近,那么L1、L2、L3和L4对应的区块图像为一类,相应的模糊尺度的平均值为(L1+L2+L3+L4)/4;L5和L6对应的区块图像为另一类,相应的模糊尺度的平均值为(L5+L6)/2。For example, when there are 6 block images and the corresponding blur scales are L1, L2, L3, L4, L5 and L6, if L1-L2<L0 (the preset threshold), it means that L1 and L2 correspond to The fuzzy scales of the block images are similar, and the block images corresponding to L1 and L2 belong to one class. Assuming that the fuzzy scale of the corresponding block images of L1, L2, L3 and L4 is determined by the above-mentioned method, and the fuzzy scale of the corresponding block images of L5 and L6 is similar, then the corresponding block images of L1, L2, L3 and L4 are similar. The average value of the corresponding fuzzy scale is (L1+L2+L3+L4)/4; the block images corresponding to L5 and L6 are another type, and the average value of the corresponding fuzzy scale is (L5+L6) /2.
S124,根据模糊尺度的平均值,确定出运动区域或静止区域。S124: Determine a moving area or a static area according to the average value of the blur scale.
根据本发明的一个实施例,根据模糊尺度的平均值,确定出运动区域或静止区域,包括:获取摄像头的运动速度,并获取运动速度下的静止模糊尺度;判断模糊尺度的平均值与静止模糊尺度之间的差值是否大于预设阈值;如果是,则判断模糊尺度的平均值的类对应的区域为运动区域;如果否,则判断模糊尺度的平均值的类对应的区域为静止区域。其中,预设阈值可根据实际情况进行标定。According to an embodiment of the present invention, determining the moving area or the static area according to the average value of the blur scale includes: acquiring the moving speed of the camera, and obtaining the static blur scale under the moving speed; judging the average value of the blur scale and the static blur Whether the difference between the scales is greater than a preset threshold; if so, the region corresponding to the class with the average value of the fuzzy scale is determined as a moving region; if not, the region corresponding to the class with the average value of the fuzzy scale is determined as a static region. The preset threshold can be calibrated according to the actual situation.
也就是说,在根据模糊尺度的平均值确定运动区域时,可结合自身的状态来确定。例如,当摄像头处于固定状态时(如摄像头设置在道路上方或一侧),静止物体(如地面)的静止模糊尺度为零;当摄像头处于运动状态时(如摄像头设置在车辆上),可根据摄像头的运动速度(当摄像头设置在车辆上时,该运动速度即为车辆的车速),通过公式计算出静止物体的静止模糊尺度,其中,V为摄像头的运动速度,H为静止物体至摄像头的距离,f为摄像头的焦距,T为摄像头的曝光时间,L为静止模糊尺度,s为摄像头拍摄的静止物体图像的像素大小。然后,将各个模糊尺度的平均值与静止模糊尺度进行对比分析,将差值大于预设阈值的区域判断为运动区域,而差值小于或等于预设阈值的区域判断为静止区域。That is to say, when determining the motion region according to the average value of the blur scale, it can be determined in combination with its own state. For example, when the camera is in a fixed state (such as the camera is set above or on the side of the road), the still blur scale of a stationary object (such as the ground) is zero; when the camera is in motion (such as the camera is set on a vehicle), it can be determined according to the The movement speed of the camera (when the camera is set on the vehicle, the movement speed is the speed of the vehicle), through the formula Calculate the still blur scale of the stationary object, where V is the motion speed of the camera, H is the distance from the stationary object to the camera, f is the focal length of the camera, T is the exposure time of the camera, L is the still blur scale, and s is the camera shot The pixel size of the still object image. Then, the average value of each blur scale and the static blur scale are compared and analyzed, and the area with the difference greater than the preset threshold is judged as the moving area, and the area with the difference less than or equal to the preset threshold is judged as the static area.
进一步地,在获得运动区域后,根据模糊尺度的平均值可将运动区域划分一个或多个。例如,当有5个不同的且差值大于预设阈值的模糊尺度的平均值时,可将运动区域划分为5个,此时表明在图像中具有5个运动物体。由此,通过对单帧图像进行运动模糊分析,即可快速识别出图像中的运动区域,相较于采用多帧图像或者多幅图像的方式,对数据量的要求小,计算量小,能够快速输出结果,有效提高检测速率。Further, after the motion regions are obtained, one or more motion regions may be divided according to the average value of the blur scale. For example, when there are 5 different average values of blurring scales with a difference greater than a preset threshold, the moving area can be divided into 5, which indicates that there are 5 moving objects in the image. Therefore, by performing motion blur analysis on a single frame of image, the moving area in the image can be quickly identified. Fast output results, effectively improving the detection rate.
根据本发明实施例的运动状态的识别方法,通过至少一个摄像头,获取周围环境的图像,并对图像的模糊状态进行分析,识别出图像中的运动区域或静止区域。由此,通过单帧图像即可识别出运动区域或静止区域,对数据量要求小,计算量小,对硬件的要求低,而且能够快速输出结果,有效提高检测速率。According to the method for recognizing a motion state according to an embodiment of the present invention, an image of the surrounding environment is acquired through at least one camera, and the blurred state of the image is analyzed to identify a motion area or a static area in the image. As a result, a moving area or a static area can be identified through a single frame of image, which requires less data volume, less calculation, and low hardware requirements, and can output results quickly, effectively improving the detection rate.
在实际应用中,本发明实施例的运动状态的识别方法可适用于多个场景。例如,可适用于车辆上,以识别出车辆周围运动物体所在区域,进而进行车辆预警等;又如,可适用于道路上,以识别出道路上运动物体所在区域,进而判断出交通拥堵情况。In practical applications, the method for recognizing a motion state according to the embodiment of the present invention may be applicable to multiple scenarios. For example, it can be applied to vehicles to identify the area where moving objects are located around the vehicle, and then carry out vehicle warning, etc.; in another example, it can be applied to the road to identify the area where moving objects are located on the road, and then determine traffic congestion.
具体地,图3是根据本发明一个实施例的车辆预警方法的流程图。Specifically, FIG. 3 is a flowchart of a vehicle early warning method according to an embodiment of the present invention.
如图3所示,本发明实施例的车辆预警方法可包括以下步骤:As shown in FIG. 3 , the vehicle early warning method according to the embodiment of the present invention may include the following steps:
S31,通过安装在当前车辆上的至少一个摄像头,获取当前车辆周围环境的图像。S31 , acquiring an image of the surrounding environment of the current vehicle through at least one camera installed on the current vehicle.
根据本发明的一个实施例,摄像头为多个,通过至少一个摄像头,获取周围环境的图像,包括:通过多个摄像头,获取周围环境的全景图像。According to an embodiment of the present invention, there are multiple cameras, and acquiring an image of the surrounding environment through at least one camera includes: acquiring a panoramic image of the surrounding environment through the multiple cameras.
具体地,可在当前车辆上设置多个摄像头,通过多个摄像头拍摄不同角度的图像,然后拼接成全景图像,这样通过对一张全景图像的分析即可获得周围环境的所有情况,以便于对车辆周围的运动物体(如,车辆、行人等)进行检测。在实际应用中,通常车辆上已经存在用于获取车辆周围环境的全景图像,因此只要对全景图像进行分析即可,无需增加额外的摄像头,减少了硬件成本,提高了目前摄像头的利用率。Specifically, multiple cameras can be set up on the current vehicle, and images from different angles are captured by multiple cameras, and then stitched into a panoramic image, so that all the surrounding environment can be obtained by analyzing a panoramic image, so as to facilitate the analysis of the surrounding environment. Moving objects (eg, vehicles, pedestrians, etc.) around the vehicle are detected. In practical applications, there is usually a panoramic image on the vehicle for obtaining the surrounding environment of the vehicle, so as long as the panoramic image is analyzed, there is no need to add an additional camera, which reduces the hardware cost and improves the utilization rate of the current camera.
S32,对图像的模糊状态进行分析,识别出图像中的运动区域。S32, analyze the blurred state of the image, and identify the motion area in the image.
根据本发明的一个实施例,如图2所示,对图像的模糊状态进行分析,识别出图像中的运动区域,包括:According to an embodiment of the present invention, as shown in FIG. 2 , the fuzzy state of the image is analyzed, and the motion area in the image is identified, including:
S121,对图像进行分块处理,得到多个区块图像。S121, performing block processing on the image to obtain a plurality of block images.
S122,获取多个区块图像中每个区块图像的模糊尺度。S122, acquiring the blur scale of each block image in the plurality of block images.
根据本发明的一个实施例,获取多个区块图像中每个区块图像的模糊尺度,包括:对区块图像进行频率域转化,得到区块图像的频谱图;根据频谱图中暗条纹的方向角度和暗条纹的间距,得到区块图像的模糊尺度。According to one embodiment of the present invention, obtaining the fuzzy scale of each block image in the plurality of block images includes: performing frequency domain transformation on the block images to obtain a spectrogram of the block image; The direction angle and the spacing of the dark stripes are used to obtain the blur scale of the patch image.
根据本发明的一个实施例,根据频谱图中暗条纹的方向角度和暗条纹的间距,得到区块图像的模糊尺度,包括:采用第一预设公式,计算得到模糊尺度,第一预设公式如上述公式(1)所示。According to an embodiment of the present invention, obtaining the blur scale of the block image according to the direction angle of the dark fringes and the spacing of the dark fringes in the spectrogram includes: using a first preset formula to calculate the blur scale, the first preset formula As shown in the above formula (1).
S123,根据模糊尺度,对多个区块图像进行聚类,并计算每类中模糊尺度的平均值。S123 , according to the fuzzy scale, perform clustering on a plurality of block images, and calculate the average value of the fuzzy scales in each category.
S124,根据模糊尺度的平均值,确定出运动区域。S124: Determine the motion area according to the average value of the blur scale.
根据本发明的一个实施例,根据模糊尺度的平均值,确定出运动区域,包括:获取摄像头的运动速度,并获取运动速度下的静止模糊尺度;判断模糊尺度的平均值与静止模糊尺度之间的差值是否大于预设阈值;如果是,则判断模糊尺度的平均值的类对应的区域为运动区域。其中,预设阈值可根据实际情况进行标定。According to an embodiment of the present invention, determining the motion area according to the average value of the blur scale includes: acquiring the motion speed of the camera, and obtaining the static blur scale at the motion speed; judging the difference between the average value of the blur scale and the static blur scale Whether the difference is greater than the preset threshold; if so, it is determined that the area corresponding to the class of the average value of the blur scale is a motion area. The preset threshold can be calibrated according to the actual situation.
S33,获取运动区域的第一地理位置坐标。S33, acquiring the first geographic location coordinates of the motion area.
S34,根据第一地理位置坐标和当前车辆的第二地理位置坐标,计算得到运动物体与当前车辆之间的距离。S34: Calculate the distance between the moving object and the current vehicle according to the first geographic location coordinates and the second geographic location coordinates of the current vehicle.
也就是说,通过图像中运动区域与对应的实际位置坐标进行转换,可获得运动物体相对于当前车辆的实际距离。具体地,可先计算出运动区域在原始图像中的位置坐标,然后根据摄像头的位置、拍摄范围,结合现有算法计算出运动区域相对于当前车辆的实际距离。That is to say, by converting the moving area in the image and the corresponding actual position coordinates, the actual distance of the moving object relative to the current vehicle can be obtained. Specifically, the position coordinates of the motion area in the original image can be calculated first, and then the actual distance of the motion area relative to the current vehicle can be calculated according to the position and shooting range of the camera combined with the existing algorithm.
S35,若距离小于预设的安全距离阈值,则发出报警信号。其中,安全距离阈值可根据实际情况进行标定。S35, if the distance is smaller than the preset safety distance threshold, an alarm signal is sent. Among them, the safety distance threshold can be calibrated according to the actual situation.
具体地,可通过安装在车辆上的摄像头获取车辆周围环境的图像,然后对周围环境的图像进行分析,以识别出车辆周围是否有运动物体。当车辆周围有运动物体时,识别出运动物体所在区域,并计算出该运动物体所在区域的位置坐标,进而根据位置坐标确定出当前车辆与运动物体之间的距离,并将其提供给车辆,以给车辆行驶提供有效的数据,便于车辆的行驶判断。Specifically, an image of the surrounding environment of the vehicle can be obtained through a camera installed on the vehicle, and then the image of the surrounding environment can be analyzed to identify whether there are moving objects around the vehicle. When there is a moving object around the vehicle, identify the area where the moving object is located, calculate the location coordinates of the area where the moving object is located, and then determine the distance between the current vehicle and the moving object according to the location coordinates, and provide it to the vehicle, In order to provide effective data for the driving of the vehicle, it is convenient for the driving judgment of the vehicle.
例如,可将获取的距离发送给车辆的预警系统,然后预警系统对该距离进行判断,如果该距离小于设定的安全距离阈值,则发出报警信号。一方面,对于有人驾驶的车辆,通过该报警信号可对驾驶员进行提醒,以便驾驶员及时采取相应的措施,以实现高级辅助智能驾驶;另一方面,对于智能驾驶车辆,可根据该报警信号直接进行降速处理、方向调整以及停车处理等,实现自动驾驶。For example, the obtained distance can be sent to the early warning system of the vehicle, and then the early warning system will judge the distance, and if the distance is smaller than the set safety distance threshold, an alarm signal will be issued. On the one hand, for a manned vehicle, the driver can be reminded by the alarm signal, so that the driver can take corresponding measures in time to realize advanced assisted intelligent driving; It directly performs deceleration processing, direction adjustment, and parking processing to realize automatic driving.
根据本发明实施例的车辆预警方法,通过安装在当前车辆上的至少一个摄像头,获取当前车辆周围环境的图像,并对图像的模糊状态进行分析,识别出图像中的运动区域。然后,获取运动区域的第一地理位置坐标,并根据第一地理位置坐标和当前车辆的第二地理位置坐标,计算得到运动物体与当前车辆之间的距离,若距离小于预设的安全距离阈值,则发出报警信号。由此,通过单帧图像即可识别出运动区域,对数据量要求小,计算量小,对硬件的要求低,而且能够快速输出结果,有效提高检测速率,并且识别出的运动区域可作为车辆行驶的有效数据,便于车辆的行驶判断,如进行提前预警,防止危险事故发生。According to the vehicle early warning method of the embodiment of the present invention, an image of the surrounding environment of the current vehicle is obtained by at least one camera installed on the current vehicle, and the blurred state of the image is analyzed to identify the moving area in the image. Then, the first geographic location coordinates of the motion area are acquired, and the distance between the moving object and the current vehicle is calculated according to the first geographic location coordinates and the second geographic location coordinates of the current vehicle, if the distance is less than a preset safe distance threshold , an alarm signal will be issued. As a result, the motion area can be identified through a single frame of image, which requires small data volume, small calculation amount, low hardware requirements, and can output results quickly, effectively improving the detection rate, and the identified motion area can be used as a vehicle. The effective data of driving is convenient for the driving judgment of the vehicle, such as early warning to prevent the occurrence of dangerous accidents.
图4是根据本发明一个实施例的道路监测方法的流程图。FIG. 4 is a flowchart of a road monitoring method according to an embodiment of the present invention.
如图4所示,本发明实施例的道路监测方法可包括以下步骤:As shown in FIG. 4 , the road monitoring method according to the embodiment of the present invention may include the following steps:
S31,通过安装在道路上的至少一个摄像头,获取周围环境的图像。S31, obtain an image of the surrounding environment through at least one camera installed on the road.
根据本发明的一个实施例,摄像头为多个,通过至少一个摄像头,获取周围环境的图像,包括:通过多个摄像头,获取周围环境的全景图像。According to an embodiment of the present invention, there are multiple cameras, and acquiring an image of the surrounding environment through at least one camera includes: acquiring a panoramic image of the surrounding environment through the multiple cameras.
具体地,当需要对道路的交通情况进行监测时,可在道路上方或一侧设置一个或多个摄像头,通过一个或多个摄像头获取道路的图像。例如,当需要对十字路口的交通情况进行监测时,可通过多个摄像头拍摄不同方向的图像,然后拼接成全景图像,这样通过对一张全景图像的分析即可获得周围环境的所有情况,以便于对整个十字路口的交通情况进行监测。当然,在实际应用中,也可以使用一个全景摄像头来拍摄整个十字路口的图像,具体这里不做限制,只要能够获得所需的图像即可。Specifically, when it is necessary to monitor the traffic conditions of the road, one or more cameras can be set above or on one side of the road, and images of the road can be obtained through the one or more cameras. For example, when it is necessary to monitor the traffic situation at the intersection, images in different directions can be taken by multiple cameras, and then stitched into a panoramic image, so that all the surrounding environment can be obtained through the analysis of one panoramic image, so that To monitor the traffic situation at the entire intersection. Of course, in practical applications, a panoramic camera can also be used to capture an image of the entire intersection, and there is no specific limitation here, as long as the required image can be obtained.
S32,对图像的模糊状态进行分析,识别出图像中的运动区域。S32, analyze the blurred state of the image, and identify the motion area in the image.
根据本发明的一个实施例,如图2所示,对图像的模糊状态进行分析,识别出图像中的运动区域,包括:According to an embodiment of the present invention, as shown in FIG. 2 , the fuzzy state of the image is analyzed, and the motion area in the image is identified, including:
S121,对图像进行分块处理,得到多个区块图像。S121, performing block processing on the image to obtain a plurality of block images.
S122,获取多个区块图像中每个区块图像的模糊尺度。S122, acquiring the blur scale of each block image in the plurality of block images.
根据本发明的一个实施例,获取多个区块图像中每个区块图像的模糊尺度,包括:对区块图像进行频率域转化,得到区块图像的频谱图;根据频谱图中暗条纹的方向角度和暗条纹的间距,得到区块图像的模糊尺度。According to one embodiment of the present invention, obtaining the fuzzy scale of each block image in the plurality of block images includes: performing frequency domain transformation on the block images to obtain a spectrogram of the block image; The direction angle and the spacing of the dark stripes are used to obtain the blur scale of the patch image.
根据本发明的一个实施例,根据频谱图中暗条纹的方向角度和暗条纹的间距,得到区块图像的模糊尺度,包括:采用第一预设公式,计算得到模糊尺度,第一预设公式如上述公式(1)所示。According to an embodiment of the present invention, obtaining the blur scale of the block image according to the direction angle of the dark fringes and the spacing of the dark fringes in the spectrogram includes: using a first preset formula to calculate the blur scale, the first preset formula As shown in the above formula (1).
S123,根据模糊尺度,对多个区块图像进行聚类,并计算每类中模糊尺度的平均值。S123 , according to the fuzzy scale, perform clustering on a plurality of block images, and calculate the average value of the fuzzy scales in each category.
S124,根据模糊尺度的平均值,确定出运动区域。S124: Determine the motion area according to the average value of the blur scale.
根据本发明的一个实施例,根据模糊尺度的平均值,确定出运动区域,包括:获取摄像头的运动速度,并获取运动速度下的静止模糊尺度;判断模糊尺度的平均值与静止模糊尺度之间的差值是否大于预设阈值;如果是,则判断模糊尺度的平均值的类对应的区域为运动区域。其中,预设阈值可根据实际情况进行标定。According to an embodiment of the present invention, determining the motion area according to the average value of the blur scale includes: acquiring the motion speed of the camera, and obtaining the static blur scale at the motion speed; judging the difference between the average value of the blur scale and the static blur scale Whether the difference is greater than the preset threshold; if so, it is determined that the area corresponding to the class of the average value of the blur scale is a motion area. The preset threshold can be calibrated according to the actual situation.
S33,根据运动区域,确定出道路的交通拥堵情况。S33, according to the movement area, determine the traffic congestion situation of the road.
具体地,如果图像中的运动区域比较多,且运动区域之间的距离比较小,可认为当前道路处于交通拥堵情况;否则,认为当前道路通畅。或者,在获得运动区域后,可判断该运动区域对应的运动物体是行人还是车辆,如果是车辆,则计入车辆总数中,如果一段时间内,该道路上的车辆总数大于道路的交通容量,则认为当前道路处于交通拥堵情况;否则,认为当前道路通畅。由此,可实现对道路交通情况的实时监测。Specifically, if there are many moving areas in the image, and the distance between the moving areas is relatively small, it can be considered that the current road is in a traffic jam situation; otherwise, the current road is considered to be unobstructed. Or, after obtaining the motion area, it can be determined whether the moving object corresponding to the motion area is a pedestrian or a vehicle. If it is a vehicle, it is included in the total number of vehicles. If the total number of vehicles on the road is greater than the traffic capacity of the road within a period of time, The current road is considered to be in a traffic jam situation; otherwise, the current road is considered to be clear. Thus, real-time monitoring of road traffic conditions can be achieved.
根据本发明实施例的道路监测方法,通过安装在道路上的至少一个摄像头,获取周围环境的图像,并对图像的模糊状态进行分析,识别出图像中的运动区域,以及根据运动区域,确定出道路的交通拥堵情况。由此,通过单帧图像即可识别出运动区域,对数据量要求小,计算量小,对硬件的要求低,而且能够快速输出结果,有效提高检测速率,并且识别出的运动区域可作为道路监测的有效数据,便于道路拥堵情况的判断。According to the road monitoring method of the embodiment of the present invention, an image of the surrounding environment is acquired through at least one camera installed on the road, and the blurred state of the image is analyzed to identify the motion area in the image, and determine the motion area according to the motion area. Traffic congestion on the road. As a result, the motion area can be identified through a single frame of image, which requires less data volume, less calculation, and low hardware requirements, and can output results quickly, effectively improving the detection rate, and the identified motion area can be used as a road. The effective data of monitoring is convenient for the judgment of road congestion.
在实际应用中,基于上述原理,可实现对车辆自身车速的实时测量。In practical applications, based on the above principles, the real-time measurement of the vehicle's own speed can be realized.
图5是根据本发明一个实施例的车速的测量方法的流程图。FIG. 5 is a flowchart of a method for measuring vehicle speed according to an embodiment of the present invention.
如图5所示,本发明实施例的车速的测量方法可包括以下步骤:As shown in FIG. 5 , the method for measuring vehicle speed according to the embodiment of the present invention may include the following steps:
S41,通过安装在当前车辆上的至少一个摄像头,获取当前车辆周围环境的图像,并根据至少一个摄像头的位置,确定出图像中的地面区域图像。S41 , acquiring an image of the surrounding environment of the current vehicle through at least one camera installed on the current vehicle, and determining a ground area image in the image according to the position of the at least one camera.
根据本发明的一个实施例,摄像头为多个,通过安装在当前车辆上的至少一个摄像头,获取当前车辆周围环境的图像,包括:通过安装在当前车辆上的多个摄像头,获取当前车辆周围环境的全景图像。According to an embodiment of the present invention, there are multiple cameras, and obtaining an image of the surrounding environment of the current vehicle through at least one camera installed on the current vehicle includes: obtaining the surrounding environment of the current vehicle through multiple cameras installed on the current vehicle panoramic image.
具体地,当需要对当前车辆的自身车速进行检测时,可在当前车辆上设置多个摄像头,通过多个摄像头拍摄不同角度的图像,以获得多个图像,然后将多个图像拼接成一张全景图像。例如,可先结合摄像头的位置信息,将摄像头拍摄的图像按照摄像头的位置进行区分,然后通过摄像头的标定信息对多张图像进行拼接处理,获得一张全景图像。这样通过对一张全景图像的分析即可获得周围环境的所有情况,以便于对车辆周围环境进行监测,并且通过对一张全景图像的分析可以有效减少后续处理的数据量,对提高计算速度,减少计算时间有很大的作用。Specifically, when it is necessary to detect the own speed of the current vehicle, multiple cameras can be set on the current vehicle, and images from different angles are captured by the multiple cameras to obtain multiple images, and then the multiple images are spliced into a panorama image. For example, combining with the location information of the camera, the images captured by the camera can be distinguished according to the location of the camera, and then stitching multiple images through the calibration information of the camera to obtain a panoramic image. In this way, all the conditions of the surrounding environment can be obtained through the analysis of a panoramic image, so as to facilitate the monitoring of the surrounding environment of the vehicle, and the analysis of a panoramic image can effectively reduce the amount of data for subsequent processing and improve the calculation speed. Reducing computation time has a big effect.
进一步地,在通过上述方式获得当前车辆周围环境的图像后,由于摄像头安装完成后,其拍摄的图像范围是固定的,所以可以结合摄像头的位置信息,得到图像中的地面区域图像。Further, after the image of the current vehicle surrounding environment is obtained by the above method, since the range of the image captured by the camera is fixed after the installation is completed, the ground area image in the image can be obtained by combining the position information of the camera.
可以理解的是,也可以专门设置一个摄像头用于拍摄地面区域图像,但是这样会增加硬件成本,而在实际应用中,通常车辆上已经存在用于获取车辆周围环境的全景图像,因此只要对全景图像进行分析即可,无需增加额外的摄像头,减少了硬件成本,提高了目前摄像头的利用率。It is understandable that a camera can be specially set up to capture images of the ground area, but this will increase the hardware cost. In practical applications, there are usually already existing panoramic images on the vehicle for obtaining the surrounding environment of the vehicle. The image can be analyzed without adding an additional camera, which reduces the hardware cost and improves the utilization rate of the current camera.
S42,对地面区域图像进行频率域转化,得到地面区域图像的频谱图。S42 , performing frequency domain transformation on the ground area image to obtain a spectrogram of the ground area image.
具体地,在获得地面区域图像之后,可采用离散傅里叶变换对地面区域图像进行频率域转化,以得到地面区域图像的频谱图。Specifically, after obtaining the ground area image, discrete Fourier transform may be used to perform frequency domain transformation on the ground area image to obtain a spectrogram of the ground area image.
S43,根据频谱图,得到当前车辆的运动方向和当前车辆的运动速度值,并根据运动方向和运动速度值,得到当前车辆的运动速度矢量。S43, obtain the movement direction of the current vehicle and the movement speed value of the current vehicle according to the spectrogram, and obtain the movement speed vector of the current vehicle according to the movement direction and the movement speed value.
具体地,本发明主要是通过利用车辆运动使得车辆上的摄像头拍摄出来的图像产生运动模糊,然后根据运动模糊反求出车辆的自身车速。其中,由于车辆运动中的方向基本一致,且速度在一定的范围内,所产生的运动模糊方向整体不变,有一定的规律,而且通过成像原理可推算出运动模糊量与车速之间的关系模型,因此可以根据运动模糊获得车辆的实际车速。具体过程为:对地面区域图像的频谱图进行分析,得到地面区域图像的模糊方向和模糊尺度,根据模糊方向获得车辆的运动方向,根据模糊尺度和模糊尺度与车速之间的关系模型计算获得车辆的运动速度值,最后两者结合即可获得车辆的实时速度。Specifically, the present invention mainly uses the motion of the vehicle to make the image captured by the camera on the vehicle produce motion blur, and then inversely obtains the vehicle's own speed according to the motion blur. Among them, since the direction of the vehicle motion is basically the same, and the speed is within a certain range, the direction of the resulting motion blur remains unchanged as a whole, and there are certain rules, and the relationship between the amount of motion blur and the vehicle speed can be calculated through the imaging principle model, so the actual speed of the vehicle can be obtained from the motion blur. The specific process is: analyze the spectrogram of the ground area image to obtain the fuzzy direction and fuzzy scale of the ground area image, obtain the moving direction of the vehicle according to the fuzzy direction, and obtain the vehicle according to the fuzzy scale and the relationship model between the fuzzy scale and the speed of the vehicle. The movement speed value of , and finally the combination of the two can obtain the real-time speed of the vehicle.
根据本发明的一个实施例,根据频谱图,得到当前车辆的运动方向,包括:根据频谱图中暗条纹的方向角度,得到运动方向。According to an embodiment of the present invention, obtaining the moving direction of the current vehicle according to the spectrogram includes: obtaining the moving direction according to the direction angle of the dark stripes in the spectrogram.
根据本发明的一个实施例,根据频谱图中暗条纹的方向角度,得到运动方向,包括:采用第一预设公式,计算得到运动方向,第一预设公式为:According to an embodiment of the present invention, obtaining the motion direction according to the direction angle of the dark fringes in the spectrogram includes: using a first preset formula to calculate and obtain the motion direction, and the first preset formula is:
其中,α为运动方向,θ为暗条纹的方向角度,N为地面区域图像的纵向尺寸,M为地面区域图像的横向尺寸。Among them, α is the movement direction, θ is the direction angle of the dark stripes, N is the vertical size of the ground area image, and M is the horizontal size of the ground area image.
具体地,由于车辆运动,频谱图中会出现不同程度的暗条纹,通过分析对比频谱图中暗条纹的模糊方向,可获得当前车辆的运动方向。例如,根据频谱图中暗条纹的方向角度θ,可获得暗条纹的模糊方向,进而获得当前车辆的运动方向α。在根据频谱图中暗条纹的方向角度θ,获得暗条纹的模糊方向,进而获得当前车辆的运动方向α时,还获取地面区域图像的横向尺寸M和纵向尺寸N,根据地面区域图像的横向尺寸M、纵向尺寸N和暗条纹的方向角度θ,通过上述公式(2)计算获得地面区域图像的模糊方向,该模糊方向即为当前车辆的运动方向α。Specifically, due to vehicle motion, dark fringes of different degrees will appear in the spectrogram. By analyzing and comparing the blurred directions of the dark fringes in the spectrogram, the moving direction of the current vehicle can be obtained. For example, according to the direction angle θ of the dark fringes in the spectrogram, the blurring direction of the dark fringes can be obtained, and then the moving direction α of the current vehicle can be obtained. According to the direction angle θ of the dark stripes in the spectrogram, the fuzzy direction of the dark stripes is obtained, and then the moving direction α of the current vehicle is obtained, and the horizontal size M and the vertical size N of the ground area image are also obtained. According to the horizontal size of the ground area image M, the longitudinal dimension N and the direction angle θ of the dark stripes are calculated by the above formula (2) to obtain the blurring direction of the ground area image, which is the current vehicle motion direction α.
根据本发明的一个实施例,根据频谱图,得到当前车辆的运动速度值,包括:根据频谱图中暗条纹的方向角度和暗条纹的间距,得到地面区域图像的模糊尺度;根据模糊尺度,得到运动速度值。According to an embodiment of the present invention, obtaining the moving speed value of the current vehicle according to the spectrogram includes: obtaining the fuzzy scale of the image of the ground area according to the direction angle of the dark stripes and the spacing of the dark stripes in the spectrogram; according to the fuzzy scale, obtaining Movement speed value.
根据本发明的一个实施例,根据频谱图中暗条纹的方向角度和暗条纹的间距,得到地面区域图像的模糊尺度,包括:采用第二预设公式,计算得到模糊尺度,第二预设公式为:According to an embodiment of the present invention, obtaining the blur scale of the image of the ground area according to the direction angle of the dark fringes and the spacing of the dark fringes in the spectrogram includes: using a second preset formula to calculate and obtain the blur scale, the second preset formula for:
其中,L为模糊尺度,M为地面区域图像的横向尺寸,D为暗条纹的间距,θ为暗条纹的方向角度,σ为地面区域图像的长宽比。Among them, L is the blur scale, M is the lateral size of the ground area image, D is the spacing of the dark stripes, θ is the direction angle of the dark stripes, and σ is the aspect ratio of the ground area image.
根据本发明的一个实施例,根据模糊尺度,得到运动速度值,包括:采用第三预设公式,计算得到运动速度值,第三预设公式为:According to an embodiment of the present invention, obtaining the motion speed value according to the fuzzy scale includes: using a third preset formula to calculate the motion speed value, where the third preset formula is:
其中,V为运动速度值,H为地面相对摄像头的距离,f为摄像头的焦距,T为摄像头的曝光时间,L为模糊尺度,s为地面区域图像的像素大小。Among them, V is the motion speed value, H is the distance from the ground to the camera, f is the focal length of the camera, T is the exposure time of the camera, L is the blur scale, and s is the pixel size of the ground area image.
具体地,通过分析对比频谱图中暗条纹的模糊尺度,可获得当前车辆的运动速度值。例如,可先根据频谱图中暗条纹的方向角度θ和暗条纹的间距D,获得地面区域图像的模糊尺度L,然后根据地面区域图像的模糊尺度L,获得当前车辆的运动速度值V。Specifically, by analyzing and comparing the fuzzy scale of the dark stripes in the spectrogram, the current vehicle speed value can be obtained. For example, the fuzzy scale L of the ground area image can be obtained first according to the direction angle θ of the dark stripes in the spectrogram and the distance D of the dark stripes, and then the current vehicle speed value V can be obtained according to the fuzzy scale L of the ground area image.
其中,在根据频谱图中暗条纹的方向角度θ和暗条纹的间距D,获得地面区域图像的模糊尺度L时,还获取地面区域图像的横向尺寸M和地面区域图像的长宽比σ,根据地面区域图像的横向尺寸M、地面区域图像的长宽比σ、暗条纹的间距D和暗条纹的方向角度θ,通过上述公式(3)计算获得地面区域图像的模糊尺度L。Among them, when the fuzzy scale L of the ground area image is obtained according to the direction angle θ of the dark fringes and the distance D of the dark fringes in the spectrogram, the lateral size M of the ground area image and the aspect ratio σ of the ground area image are also obtained, according to The horizontal size M of the ground area image, the aspect ratio σ of the ground area image, the distance D of the dark stripes, and the direction angle θ of the dark stripes are calculated by the above formula (3) to obtain the blurring scale L of the ground area image.
在获得地面区域图像的模糊尺度L之后,可根据模糊尺度L和模糊尺度与运动速度之间的关系模型,计算获得当前车辆的运动速度值V。其中,模糊尺度与运动速度之间的关系模型可如上述公式(4)所示,即根据地面相对摄像头的距离H、摄像头的焦距f、摄像头的曝光时间T、地面区域图像的像素大小和模糊尺度L,通过上公式(4)计算获得当前车辆的运动速度值V。After the blurring scale L of the ground area image is obtained, the moving speed value V of the current vehicle can be obtained by calculation according to the blurring scale L and the relationship model between the blurring scale and the moving speed. Among them, the relationship model between the blur scale and the motion speed can be shown in the above formula (4), that is, according to the distance H from the ground to the camera, the focal length f of the camera, the exposure time T of the camera, the pixel size of the ground area image and the blur For the scale L, the motion speed value V of the current vehicle is obtained by calculating the above formula (4).
最后,根据当前车辆的运动方向和运动速度值,即可确定出当前车辆的运动速度矢量,即实时车速。Finally, according to the movement direction and movement speed value of the current vehicle, the movement speed vector of the current vehicle can be determined, that is, the real-time vehicle speed.
由此,通过对图像中的地面部分产生的运动模糊方向的分析,可获得当前车辆的运动方向,通过对图像中地面部分产生的运动模糊尺度的分析,可获得当前车辆的运动速度值,整个过程只需对单帧图像分析即可,数据量小,计算量小,能够有效提高速度检测的效率。Therefore, by analyzing the motion blur direction generated by the ground part in the image, the moving direction of the current vehicle can be obtained, and by analyzing the motion blur scale generated by the ground part in the image, the current vehicle speed value can be obtained. The process only needs to analyze a single frame of image, the amount of data is small, and the amount of calculation is small, which can effectively improve the efficiency of speed detection.
根据本发明实施例的车速的测量方法,通过安装在当前车辆上的至少一个摄像头,获取当前车辆周围环境的图像,并根据至少一个摄像头的位置,确定出图像中的地面区域图像,以及对地面区域图像进行频率域转化,得到地面区域图像的频谱图。然后,根据频谱图,得到当前车辆的运动方向和当前车辆的运动速度值,并根据运动方向和运动速度值,得到当前车辆的运动速度矢量。由此,可实现车辆对自身车速的实时检测,替代部分车辆测速传感器,对智能驾驶的发展起到一定的推动作用,能够与不同传感器进行数据融合,以更精确的输出自身车速,并且能够给环境感知部分传感器形成一种冗余设计,例如,在车辆测速传感器不工作时,能够独立完成测速工作,保证车辆的行驶安全。According to the vehicle speed measurement method of the embodiment of the present invention, an image of the surrounding environment of the current vehicle is obtained through at least one camera installed on the current vehicle, and according to the position of the at least one camera, the ground area image in the image is determined, and the ground The area image is transformed in the frequency domain to obtain the spectrogram of the ground area image. Then, according to the spectrogram, the movement direction of the current vehicle and the movement speed value of the current vehicle are obtained, and the movement speed vector of the current vehicle is obtained according to the movement direction and the movement speed value. In this way, the vehicle can detect its own vehicle speed in real time, replace some vehicle speed sensors, and play a certain role in promoting the development of intelligent driving. It can perform data fusion with different sensors to output its own vehicle speed more accurately. The environmental perception part of the sensor forms a redundant design. For example, when the vehicle speed measurement sensor does not work, it can independently complete the speed measurement to ensure the driving safety of the vehicle.
在实际应用中,基于上述原理,可实现对运动物体速度的测量,具体可实现对行驶过程中当前车辆周围的车辆车速的实时测量。In practical applications, based on the above principles, the measurement of the speed of the moving object can be realized, and specifically, the real-time measurement of the vehicle speed around the current vehicle during the driving process can be realized.
图6是根据本发明一个实施例的运动物体速度的测量方法的流程图。FIG. 6 is a flowchart of a method for measuring the speed of a moving object according to an embodiment of the present invention.
如图6所示,本发明实施例的运动物体速度的测量方法可包括以下步骤:As shown in FIG. 6 , the method for measuring the speed of a moving object according to the embodiment of the present invention may include the following steps:
S51,通过安装在当前车辆上的至少一个摄像头,获取当前车辆周围环境的图像。S51 , acquiring an image of the surrounding environment of the current vehicle through at least one camera installed on the current vehicle.
根据本发明的一个实施例,摄像头为多个,通过安装在当前车辆上的至少一个摄像头,获取当前车辆周围环境的图像,包括:通过安装在当前车辆上的多个摄像头,获取当前车辆周围环境的全景图像。According to an embodiment of the present invention, there are multiple cameras, and obtaining an image of the surrounding environment of the current vehicle through at least one camera installed on the current vehicle includes: obtaining the surrounding environment of the current vehicle through multiple cameras installed on the current vehicle panoramic image.
具体地,当需要对车辆周围的运动物体(如,车辆、行人等)的速度进行测量时,可在当前车辆上设置多个摄像头,通过多个摄像头拍摄不同角度的图像,以获得多个图像,然后将多个图像拼接成一张全景图像,这样通过对一张全景图像的分析即可获得周围环境的所有情况,以便于对车辆周围的运动物体的速度进行测量。在实际应用中,通常车辆上已经存在用于获取车辆周围环境的全景图像,因此只要对全景图像进行分析即可,无需增加额外的摄像头,减少了硬件成本,提高了目前摄像头的利用率。Specifically, when it is necessary to measure the speed of moving objects (such as vehicles, pedestrians, etc.) around the vehicle, multiple cameras can be set on the current vehicle, and images from different angles are captured by the multiple cameras to obtain multiple images. , and then stitch multiple images into a panoramic image, so that all the conditions of the surrounding environment can be obtained by analyzing a panoramic image, so as to measure the speed of moving objects around the vehicle. In practical applications, there is usually a panoramic image on the vehicle for obtaining the surrounding environment of the vehicle, so as long as the panoramic image is analyzed, there is no need to add an additional camera, which reduces the hardware cost and improves the utilization rate of the current camera.
S52,对图像进行频率域转化,得到图像的第一频谱图。S52, performing frequency domain transformation on the image to obtain a first spectrogram of the image.
具体地,在获得当前车辆周围环境的图像之后,可采用离散傅里叶变换对图像进行频率域转化,以得到图像的第一频谱图。Specifically, after the current image of the surrounding environment of the vehicle is obtained, discrete Fourier transform may be used to transform the image in the frequency domain, so as to obtain the first spectrogram of the image.
S53,将第一频谱图中模糊尺度与静止模糊尺度之间的差值大于预设阈值的区域,确定为当前车辆周围的运动物体对应的第二频谱图。S53: Determine a region where the difference between the fuzzy scale and the static fuzzy scale in the first spectrogram is greater than a preset threshold as the second spectrogram corresponding to the moving object around the current vehicle.
具体地,当图像中出现运动物体时,由于运动物体具有速度,因此其与图像中的静止物体所产生的模糊程度是不同的,具体体现就是不同间距的暗条纹,所以可以根据暗条纹的模糊尺度确定运动物体所在区域。举例而言,可先获取静止物体(如,地面)的模糊尺度作为静止模糊尺度,然后判断第一频谱图中模糊尺度与静止模糊尺度之间的差值是否大于预设阈值,如果是,则确定为运动物体所在区域。简单来说,就是通过运动物体与静止物体(如,地面)之间的速度差,反推出两者之间的模糊尺度的区别,然后根据该区别从图像中区分出两者的位置,从而定位出运动物体所在区域。Specifically, when a moving object appears in the image, because the moving object has a speed, the degree of blurring produced by the moving object is different from that of the stationary object in the image. The specific embodiment is the dark stripes with different distances. The scale determines the area in which the moving object is located. For example, the blur scale of a stationary object (eg, the ground) can be obtained as the still blur scale, and then it is determined whether the difference between the blur scale and the still blur scale in the first spectrogram is greater than a preset threshold, and if so, then Determined as the area where the moving object is located. In simple terms, it is through the speed difference between a moving object and a stationary object (such as the ground), inversely deduce the difference in the fuzzy scale between the two, and then distinguish the position of the two from the image according to the difference, so as to locate out the area where the moving object is located.
根据本发明的一个实施例,上述的运动物体速度的测量方法还可包括:根据至少一个摄像头的位置,确定出图像中的地面区域图像;对地面区域图像进行频率域转化,得到地面区域图像的频谱图;获取地面区域图像的频谱图的模糊尺度,获得静止模糊尺度。According to an embodiment of the present invention, the above-mentioned method for measuring the speed of a moving object may further include: determining the ground area image in the image according to the position of at least one camera; converting the ground area image in the frequency domain to obtain the ground area image Spectrogram; obtains the blur scale of the spectrogram of the ground area image to obtain the still blur scale.
具体而言,由于摄像头安装完成后,其拍摄的图像范围是固定的,所以在获得当前车辆周围环境的图像后,可结合摄像头的位置信息,得到图像中的地面区域图像,然后采用离散傅里叶变换对地面区域图像进行频率域转化,以得到地面区域图像的频谱图,并获取该频谱图的模糊尺度以获得静止模糊尺度,进而根据该静止模糊尺度确定当前车辆周围的运动物体对应的第二频谱图。Specifically, after the camera is installed, the image range it captures is fixed, so after obtaining the image of the surrounding environment of the current vehicle, the position information of the camera can be combined to obtain the image of the ground area in the image, and then the discrete Fourier image can be obtained. The leaf transform transforms the ground area image in the frequency domain to obtain the spectrogram of the ground area image, and obtains the fuzzy scale of the spectrogram to obtain the static blur scale, and then determines the number corresponding to the moving objects around the current vehicle according to the static blur scale. Two spectrograms.
S54,根据第二频谱图,得到运动物体相对于当前车辆的相对运动方向和相对运动速度值,并根据相对运动方向和相对运动速度值,得到运动物体相对于当前车辆的相对运动速度矢量。S54, obtain the relative movement direction and relative movement speed value of the moving object relative to the current vehicle according to the second spectrogram, and obtain the relative movement speed vector of the moving object relative to the current vehicle according to the relative movement direction and the relative movement speed value.
根据本发明的一个实施例,根据第二频谱图,得到运动物体相对于当前车辆的相对运动方向,包括:根据第二频谱图中暗条纹的方向角度,得到相对运动方向。According to an embodiment of the present invention, obtaining the relative motion direction of the moving object relative to the current vehicle according to the second spectrogram includes: obtaining the relative motion direction according to the direction angle of the dark fringes in the second spectrogram.
根据本发明的一个实施例,根据第二频谱图中暗条纹的方向角度,得到相对运动方向,包括:采用第一预设公式,计算得到相对运动方向,第一预设公式为:According to an embodiment of the present invention, obtaining the relative motion direction according to the direction angle of the dark fringes in the second spectrogram includes: using a first preset formula to calculate and obtain the relative motion direction, and the first preset formula is:
其中,α为相对运动方向,θ为暗条纹的方向角度,N为第二频谱图对应图像的纵向尺寸,M为第二频谱图对应图像的横向尺寸。Among them, α is the relative motion direction, θ is the direction angle of the dark fringes, N is the vertical size of the image corresponding to the second spectrogram, and M is the horizontal size of the image corresponding to the second spectrogram.
具体地,通过分析对比频谱图中暗条纹的模糊方向,可获得运动物体相对于当前车辆的相对运动方向。例如,根据第二频谱图中暗条纹的方向角度θ,可获得运动物体相对于当前车辆的相对运动方向α。在根据第二频谱图中暗条纹的方向角度θ,获得运动物体相对于当前车辆的相对运动方向α时,还获取第二频谱图对应图像的横向尺寸M和纵向尺寸N,根据第二频谱图对应图像的横向尺寸M、纵向尺寸N和暗条纹的方向角度θ,通过上述公式(5)计算获得第二频谱图的模糊方向,该模糊方向即为运动物体相对于当前车辆的相对运动方向α。Specifically, by analyzing and comparing the blurred direction of the dark stripes in the spectrogram, the relative motion direction of the moving object relative to the current vehicle can be obtained. For example, according to the direction angle θ of the dark fringes in the second spectrogram, the relative motion direction α of the moving object relative to the current vehicle can be obtained. When the relative motion direction α of the moving object relative to the current vehicle is obtained according to the direction angle θ of the dark stripes in the second spectrogram, the horizontal size M and the vertical size N of the image corresponding to the second spectrogram are also obtained. According to the second spectrogram Corresponding to the horizontal size M of the image, the vertical size N and the direction angle θ of the dark stripes, the blurring direction of the second spectrogram is obtained by calculating the above formula (5), and the blurring direction is the relative motion direction α of the moving object relative to the current vehicle. .
根据本发明的一个实施例,根据第二频谱图,得到运动物体的相对运动速度值,包括:根据第二频谱图中暗条纹的方向角度和暗条纹的间距,得到第二频谱图的模糊尺度;根据模糊尺度,得到相对运动速度值。According to an embodiment of the present invention, obtaining the relative motion velocity value of the moving object according to the second spectrogram includes: obtaining the fuzzy scale of the second spectrogram according to the direction angle of the dark fringes and the spacing of the dark fringes in the second spectrogram ; According to the fuzzy scale, get the relative motion speed value.
根据本发明的一个实施例,根据第二频谱图中暗条纹的方向角度和暗条纹的间距,得到第二频谱图的模糊尺度,包括:采用第二预设公式,计算得到模糊尺度,第二预设公式为:According to an embodiment of the present invention, obtaining the fuzzy scale of the second spectrogram according to the direction angle of the dark fringes and the spacing of the dark fringes in the second spectrogram includes: using a second preset formula to calculate the fuzzy scale, and the second The default formula is:
其中,L为模糊尺度,M为第二频谱图对应图像的横向尺寸,D为暗条纹的间距,θ为暗条纹的方向角度,σ为第二频谱图对应图像的长宽比。Among them, L is the blur scale, M is the horizontal size of the image corresponding to the second spectrogram, D is the spacing of the dark fringes, θ is the direction angle of the dark fringes, and σ is the aspect ratio of the image corresponding to the second spectrogram.
根据本发明的一个实施例,根据模糊尺度,得到相对运动速度值,包括:采用第三预设公式,计算得到相对运动速度值,第三预设公式为:According to an embodiment of the present invention, obtaining the relative motion speed value according to the fuzzy scale includes: using a third preset formula to calculate and obtain the relative motion speed value, where the third preset formula is:
其中,V为相对运动速度值,H为运动物体与摄像头的距离,f为摄像头的焦距,T为摄像头的曝光时间,L为模糊尺度,s为第二频谱图对应图像的像素大小。Among them, V is the relative motion speed value, H is the distance between the moving object and the camera, f is the focal length of the camera, T is the exposure time of the camera, L is the blur scale, and s is the pixel size of the image corresponding to the second spectrogram.
具体地,通过分析对比第二频谱图中暗条纹的模糊尺度,可获得运动物体的相对运动速度值。例如,可先根据第二频谱图中暗条纹的方向角度θ和暗条纹的间距D,获得第二频谱图的模糊尺度L,然后根据第二频谱图的模糊尺度L,获得运动物体的相对运动速度值V。Specifically, by analyzing and comparing the blurring scale of the dark fringes in the second spectrogram, the relative motion velocity value of the moving object can be obtained. For example, the fuzzy scale L of the second spectrogram can be obtained first according to the direction angle θ of the dark fringes and the distance D of the dark fringes in the second spectrogram, and then the relative motion of the moving object can be obtained according to the fuzzy scale L of the second spectrogram. Velocity value V.
其中,在根据第二频谱图中暗条纹的方向角度θ和暗条纹的间距D,获得第二频谱图的模糊尺度L时,还获取第二频谱图对应图像的横向尺寸M和第二频谱图对应图像的长宽比σ,根据第二频谱图对应图像的横向尺寸M、第二频谱图对应图像的长宽比σ、暗条纹的间距D和暗条纹的方向角度θ,通过上述公式(6)计算获得第二频谱图的模糊尺度L。Wherein, when the fuzzy scale L of the second spectrogram is obtained according to the direction angle θ of the dark fringes and the distance D of the dark fringes in the second spectrogram, the lateral size M of the image corresponding to the second spectrogram and the second spectrogram are also obtained. Corresponding to the aspect ratio σ of the image, according to the lateral dimension M of the image corresponding to the second spectrogram, the aspect ratio σ of the second spectrogram corresponding to the image, the distance D of the dark fringes and the direction angle θ of the dark fringes, through the above formula (6 ) to obtain the fuzzy scale L of the second spectrogram.
在获得第二频谱图的模糊尺度L之后,可根据模糊尺度L和模糊尺度与运动速度之间的关系模型,计算获得运动物体的相对运动速度值V。其中,模糊尺度与运动速度之间的关系模型可如上述公式(7)所示,即根据运动物体与摄像头的距离H、摄像头的焦距f、摄像头的曝光时间T、第二频谱图对应图像的像素大小和模糊尺度L,通过上公式(7)计算获得运动物体的相对运动速度值V。After the fuzzy scale L of the second spectrogram is obtained, the relative motion speed value V of the moving object can be obtained by calculation according to the fuzzy scale L and the relationship model between the fuzzy scale and the motion speed. The relationship model between the blur scale and the motion speed can be shown in the above formula (7), that is, according to the distance H between the moving object and the camera, the focal length f of the camera, the exposure time T of the camera, and the second spectrogram corresponding to the image. The pixel size and the blur scale L are calculated by the above formula (7) to obtain the relative motion speed value V of the moving object.
最后,根据相对运动方向和相对运动速度值,得到运动物体相对于当前车辆的相对运动速度矢量。Finally, according to the relative motion direction and the relative motion speed value, the relative motion speed vector of the moving object relative to the current vehicle is obtained.
S55,根据相对运动速度矢量和当前车辆的运动速度矢量,得到运动物体的运动速度矢量。S55, obtain the motion speed vector of the moving object according to the relative motion speed vector and the current motion speed vector of the vehicle.
具体地,可通过车速传感器获取当前车辆的运动速度值,或者通过前述的车速的测量方法获得当前车辆的运动速度值,同时,可通过前述的车速的测量方法获得当前车辆的运动方向,或者根据前述的在获得运动物体所在区域时,所使用的静止物体所在区域的模糊方向(如,地面区域图像的模糊方向)获得当前车辆的运动方向,两者结合即可获得当前车辆的运动速度矢量。最后,对相对运动速度矢量和当前车辆的运动速度矢量进行矢量计算,获得运动物体的运动速度矢量。Specifically, the movement speed value of the current vehicle can be obtained through the vehicle speed sensor, or the movement speed value of the current vehicle can be obtained through the aforementioned vehicle speed measurement method, and at the same time, the movement direction of the current vehicle can be obtained through the aforementioned vehicle speed measurement method, or according to When obtaining the area where the moving object is located, the blurring direction of the area where the stationary object is located (eg, the blurring direction of the ground area image) is used to obtain the moving direction of the current vehicle, and the motion velocity vector of the current vehicle can be obtained by combining the two. Finally, perform vector calculation on the relative motion speed vector and the motion speed vector of the current vehicle to obtain the motion speed vector of the moving object.
根据本发明的一个实施例,上述的运动物体速度的测量方法还可包括:判断运动物体是否为运动车辆;如果运行物体为运动车辆,则得到的运动物体的运动速度矢量为运动车辆的运动速度矢量。According to an embodiment of the present invention, the above-mentioned method for measuring the speed of a moving object may further include: judging whether the moving object is a moving vehicle; if the moving object is a moving vehicle, the obtained moving speed vector of the moving object is the moving speed of the moving vehicle vector.
具体而言,通常当前车辆周围的运动物体是不确定的,可能是行人也可能是车辆等,所以在获得运动物体的运动速度矢量的过程中或者之后,还可以判断运动物体是行人还是车辆,如果是行人,则获得的运动速度矢量为行人的运动速度矢量;如果是车辆,则获得的运动速度矢量为车辆的运动速度矢量。其中,在判断运动物体是行人还是车辆时,可采用现有技术实现,这里不做限制。Specifically, the moving objects around the current vehicle are usually uncertain, which may be pedestrians or vehicles. Therefore, during or after obtaining the motion velocity vector of the moving object, it is also possible to determine whether the moving object is a pedestrian or a vehicle. If it is a pedestrian, the obtained moving speed vector is the moving speed vector of the pedestrian; if it is a vehicle, the obtained moving speed vector is the moving speed vector of the vehicle. Wherein, when judging whether the moving object is a pedestrian or a vehicle, it can be realized by adopting the existing technology, which is not limited here.
根据本发明实施例的运动物体速度的测量方法,通过安装在当前车辆上的至少一个摄像头,获取当前车辆周围环境的图像,并对图像进行频率域转化,得到图像的第一频谱图,以及将第一频谱图中模糊尺度与静止模糊尺度之间的差值大于预设阈值的区域,确定为当前车辆周围的运动物体对应的第二频谱图。然后,根据第二频谱图,得到运动物体相对于当前车辆的相对运动方向和相对运动速度值,并根据相对运动方向和相对运动速度值,得到运动物体相对于当前车辆的相对运动速度矢量,以及根据相对运动速度矢量和当前车辆的运动速度矢量,得到运动物体的运动速度矢量。由此,能够实时、准确的感知周围运动物体的运动速度。其中,当运动物体为车辆时,能够实时、准确的感知当前车辆周围的运动车辆的车速,可替代部分毫米波雷达,对视野范围内的车辆进行定位、速度检测、追踪等。对智能驾驶的发展起一定的推动作用,能够与不同的传感器进行数据融合,以更精确的输出周围环境的信息,例如,能够更准确的感知车辆周围的障碍物,并检测出障碍物的运动状态和速度。并且,能够给环境感知部分传感器形成一种冗余设计,例如,在毫米波雷达突然不工作时,能够独立完成相应的工作,保障车辆的行驶安全。According to the method for measuring the speed of a moving object according to the embodiment of the present invention, an image of the surrounding environment of the current vehicle is acquired through at least one camera installed on the current vehicle, and the image is converted in the frequency domain to obtain the first spectrogram of the image, and the An area in the first spectrogram where the difference between the fuzzy scale and the static fuzzy scale is greater than the preset threshold is determined as the second spectrogram corresponding to the moving objects around the current vehicle. Then, according to the second spectrogram, the relative movement direction and relative movement speed value of the moving object relative to the current vehicle are obtained, and the relative movement speed vector of the moving object relative to the current vehicle is obtained according to the relative movement direction and the relative movement speed value, and According to the relative motion speed vector and the current vehicle motion speed vector, the motion speed vector of the moving object is obtained. Thereby, the moving speed of the surrounding moving objects can be sensed accurately in real time. Among them, when the moving object is a vehicle, it can sense the speed of moving vehicles around the current vehicle in real time and accurately, and can replace some millimeter-wave radars to locate, detect and track vehicles within the field of view. It plays a certain role in promoting the development of intelligent driving. It can perform data fusion with different sensors to output information about the surrounding environment more accurately. For example, it can more accurately perceive obstacles around the vehicle and detect the movement of obstacles. status and speed. In addition, a redundant design can be formed for some sensors of environmental perception. For example, when the millimeter-wave radar suddenly stops working, the corresponding work can be completed independently to ensure the driving safety of the vehicle.
综上,本发明通过对单帧图像的运动模糊进行分析,即可实现对运动物体的识别,并实现对运动物体速度的测量,以及实现对车辆自身车速的测量,对数据量要求小,计算量小,对硬件的要求低,而且可与部分传感器形成冗余设计,保证车辆的行驶安全,且可应用于多种场景。To sum up, the present invention can realize the recognition of moving objects, the measurement of the speed of moving objects, and the measurement of the vehicle's own speed by analyzing the motion blur of a single frame of image, which requires less data and requires less calculation. It has a small amount, low hardware requirements, and can form a redundant design with some sensors to ensure the driving safety of the vehicle, and can be used in a variety of scenarios.
为实现上述目的,本发明还提出了一种非临时性计算机可读存储介质,其上存储有计算机程序,该程序被处理器执行时实现上述的运动状态的识别方法,或者上述的车辆预警方法,或者上述的道路监测方法。In order to achieve the above object, the present invention also proposes a non-transitory computer-readable storage medium on which a computer program is stored, and when the program is executed by a processor, the above-mentioned method for recognizing the motion state, or the above-mentioned vehicle warning method is realized. , or the above-mentioned road monitoring method.
根据本发明实施例的非临时性计算机可读存储介质,通过上述的运动状态的识别方法,通过单帧图像即可识别出运动区域或静止区域,对数据量要求小,计算量小,对硬件的要求低,而且能够快速输出结果,有效提高检测速率;通过上述的车辆预警方法,通过单帧图像即可识别出运动区域,对数据量要求小,计算量小,对硬件的要求低,而且能够快速输出结果,有效提高检测速率,并且识别出的运动区域可作为车辆行驶的有效数据,便于车辆的行驶判断,如进行提前预警,防止危险事故发生;通过上述的道路监测方法通过单帧图像即可识别出运动区域,对数据量要求小,计算量小,对硬件的要求低,而且能够快速输出结果,有效提高检测速率,并且识别出的运动区域可作为道路监测的有效数据,便于道路拥堵情况的判断。According to the non-transitory computer-readable storage medium according to the embodiment of the present invention, through the above-mentioned method for recognizing a motion state, a moving area or a static area can be identified through a single frame of image, which requires less data and requires less calculation, and requires less hardware. It has low requirements, and can output results quickly, which can effectively improve the detection rate; through the above-mentioned vehicle early warning method, the moving area can be identified through a single frame of image, which requires small amount of data, small amount of calculation, and low hardware requirements. It can output results quickly, effectively improve the detection rate, and the identified motion area can be used as effective data for vehicle driving, which is convenient for vehicle driving judgment, such as early warning to prevent dangerous accidents; through the above-mentioned road monitoring method through single-frame image The motion area can be identified, the data volume is small, the calculation amount is small, the hardware requirement is low, and the result can be quickly output, which can effectively improve the detection rate, and the identified motion area can be used as effective data for road monitoring, which is convenient for road monitoring. Judgment of congestion.
为实现上述目的,本发明还提出了另一种非临时性计算机可读存储介质,其上存储有计算机程序,该程序被处理器执行时实现上述的车速的测量方法。In order to achieve the above object, the present invention also provides another non-transitory computer-readable storage medium, which stores a computer program, and when the program is executed by the processor, realizes the above-mentioned vehicle speed measurement method.
根据本发明实施例的非临时性计算机可读存储介质,通过上述的车速的测量方法,可实现车辆对自身车速的实时检测。According to the non-transitory computer-readable storage medium of the embodiment of the present invention, the vehicle's real-time detection of its own vehicle speed can be realized through the above-mentioned vehicle speed measurement method.
为实现上述目的,本发明还提出了又一种非临时性计算机可读存储介质,其上存储有计算机程序,该程序被处理器执行时实现上述的运动物体速度的测量方法。To achieve the above object, the present invention also proposes another non-transitory computer-readable storage medium on which a computer program is stored, and when the program is executed by a processor, the above-mentioned method for measuring the speed of a moving object is implemented.
根据本发明实施例的非临时性计算机可读存储介质,通过上述的运动物体速度的测量方法,能够实时、准确的感知周围运动物体的运动速度,其中当运动物体为车辆时,能够实时、准确的感知当前车辆周围的运动车辆的车速。According to the non-transitory computer-readable storage medium of the embodiment of the present invention, through the above-mentioned method for measuring the speed of a moving object, the moving speed of surrounding moving objects can be sensed in real time and accurately. to perceive the speed of moving vehicles around the current vehicle.
图7是根据本发明一个实施例的运动状态的识别装置的方框示意图。FIG. 7 is a schematic block diagram of an apparatus for identifying a motion state according to an embodiment of the present invention.
如图7所示,本发明实施例的运动状态的识别装置可包括:第一图像获取单元11和第一识别单元12。As shown in FIG. 7 , the apparatus for identifying a motion state according to the embodiment of the present invention may include: a first image acquiring unit 11 and a first identifying unit 12 .
其中,第一图像获取单元11用于通过至少一个摄像头,获取周围环境的图像;第一识别单元12用于对图像的模糊状态进行分析,识别出图像中的运动区域或静止区域。Wherein, the first image acquisition unit 11 is used to acquire images of the surrounding environment through at least one camera; the first recognition unit 12 is used to analyze the blurred state of the image, and identify the moving area or the static area in the image.
根据本发明的一个实施例,摄像头为多个,第一图像获取单元11具体用于通过多个摄像头,获取周围环境的全景图像。According to an embodiment of the present invention, there are multiple cameras, and the first image acquisition unit 11 is specifically configured to acquire panoramic images of the surrounding environment through the multiple cameras.
根据本发明的一个实施例,第一识别单元12具体用于对图像进行分块处理,得到多个区块图像;获取多个区块图像中每个区块图像的模糊尺度;根据模糊尺度,对多个区块图像进行聚类,并计算每类中模糊尺度的平均值;根据模糊尺度的平均值,确定出运动区域或静止区域。According to an embodiment of the present invention, the first identification unit 12 is specifically configured to perform block processing on the image to obtain multiple block images; obtain the blur scale of each block image in the multiple block images; according to the blur scale, Cluster images of multiple blocks, and calculate the average value of fuzzy scales in each category; according to the average value of fuzzy scales, determine the moving area or static area.
根据本发明的一个实施例,第一识别单元12具体用于对区块图像进行频率域转化,得到区块图像的频谱图;根据频谱图中暗条纹的方向角度和暗条纹的间距,得到区块图像的模糊尺度。According to an embodiment of the present invention, the first identification unit 12 is specifically used to perform frequency domain conversion on the block image to obtain a spectrogram of the block image; The blur scale of the block image.
根据本发明的一个实施例,第一识别单元12具体用于采用第一预设公式,计算得到模糊尺度,第一预设公式为:According to an embodiment of the present invention, the first identification unit 12 is specifically configured to use a first preset formula to calculate the fuzzy scale, and the first preset formula is:
其中,L为模糊尺度,M为区块图像的横向尺寸,D为暗条纹的间距,θ为暗条纹的方向角度,σ为区块图像的长宽比。Among them, L is the blur scale, M is the lateral size of the block image, D is the spacing of the dark stripes, θ is the direction angle of the dark stripes, and σ is the aspect ratio of the block image.
根据本发明的一个实施例,第一识别单元12具体用于获取摄像头的运动速度,并获取运动速度下的静止模糊尺度;判断模糊尺度的平均值与静止模糊尺度之间的差值是否大于预设阈值;如果是,则判断模糊尺度的平均值的类对应的区域为运动区域;如果否,则判断模糊尺度的平均值的类对应的区域为静止区域。According to an embodiment of the present invention, the first identification unit 12 is specifically configured to obtain the moving speed of the camera, and obtain the static blur scale under the moving speed; determine whether the difference between the average value of the blur scale and the static blur scale is greater than a predetermined value. Set the threshold value; if yes, the region corresponding to the class with the average value of the fuzzy scale is determined to be a moving region; if not, the region corresponding to the class with the average value of the fuzzy scale is determined to be a static region.
需要说明的是,本发明实施例的运动状态的识别装置中未披露的细节,请参照本发明实施例的运动状态的识别方法所披露的细节,这里不再赘述。It should be noted that, for details that are not disclosed in the apparatus for recognizing the motion state of the embodiment of the present invention, please refer to the details disclosed in the method for recognizing the motion state of the embodiment of the present invention, which will not be repeated here.
根据本发明实施例的运动状态的识别装置,通过第一图像获取单元获取周围环境的图像,并通过第一识别单元对图像的模糊状态进行分析,识别出图像中的运动区域或静止区域。由此,通过单帧图像即可识别出运动区域或静止区域,对数据量要求小,计算量小,对硬件的要求低,而且能够快速输出结果,有效提高检测速率。According to the apparatus for recognizing motion state according to the embodiment of the present invention, the image of the surrounding environment is acquired by the first image acquisition unit, and the blur state of the image is analyzed by the first recognition unit to recognize the motion area or the static area in the image. As a result, a moving area or a static area can be identified through a single frame of image, which requires less data volume, less calculation, and low hardware requirements, and can output results quickly, effectively improving the detection rate.
图8是根据本发明一个实施例的车辆预警装置的方框示意图。FIG. 8 is a schematic block diagram of a vehicle early warning device according to an embodiment of the present invention.
如图8所示,本发明实施例的车辆预警装置可包括:第二图像获取单元21、第二识别单元22、距离获取单元23和报警单元24。As shown in FIG. 8 , the vehicle early warning device according to the embodiment of the present invention may include: a second
其中,第二图像获取单元21用于通过安装在当前车辆上的至少一个摄像头,获取当前车辆周围环境的图像;第二识别单元22用于对图像的模糊状态进行分析,识别出图像中的运动区域;距离获取单元23用于获取运动区域的第一地理位置坐标,并根据第一地理位置坐标和当前车辆的第二地理位置坐标,计算得到运动物体与当前车辆之间的距离;报警单元24用于若距离小于预设的安全距离阈值,则发出报警信号。Wherein, the second
需要说明的是,本发明实施例的车辆预警装置中未披露的细节,请参照本发明实施例的车辆预警方法所披露的细节,这里不再赘述。It should be noted that, for details not disclosed in the vehicle early warning device of the embodiment of the present invention, please refer to the details disclosed in the vehicle early warning method of the embodiment of the present invention, which will not be repeated here.
根据本发明实施例的车辆预警装置,通过第二图像获取单元获取当前车辆周围环境的图像,并通过第二识别单元对图像的模糊状态进行分析,识别出图像中的运动区域,以及通过距离获取单元获取运动区域的第一地理位置坐标,并根据第一地理位置坐标和当前车辆的第一地理位置坐标,计算得到运动物体与当前车辆之间的距离,其中,在距离小于预设的安全距离阈值时,通过报警单元发出报警信号。由此,通过单帧图像即可识别出运动区域,对数据量要求小,计算量小,对硬件的要求低,而且能够快速输出结果,有效提高检测速率,并且识别出的运动区域可作为车辆行驶的有效数据,便于车辆的行驶判断,如进行提前预警,防止危险事故发生。According to the vehicle early warning device of the embodiment of the present invention, the image of the current surrounding environment of the vehicle is acquired by the second image acquisition unit, and the blurred state of the image is analyzed by the second recognition unit, the motion area in the image is recognized, and the distance is acquired by The unit acquires the first geographic location coordinates of the motion area, and calculates the distance between the moving object and the current vehicle according to the first geographic location coordinates and the first geographic location coordinates of the current vehicle, wherein the distance is less than the preset safety distance When the threshold value is reached, an alarm signal is sent out through the alarm unit. As a result, the motion area can be identified through a single frame of image, which requires small data volume, small calculation amount, low hardware requirements, and can output results quickly, effectively improving the detection rate, and the identified motion area can be used as a vehicle. The effective data of driving is convenient for the driving judgment of the vehicle, such as early warning to prevent the occurrence of dangerous accidents.
图9是根据本发明一个实施例的道路监测装置的方框示意图。FIG. 9 is a schematic block diagram of a road monitoring device according to an embodiment of the present invention.
如图9所示,本发明实施例的道路监测装置可包括:第三图像获取单元31、第三识别单元32和判断单元33。As shown in FIG. 9 , the road monitoring device according to the embodiment of the present invention may include: a third
其中,第三图像获取单元31用于通过安装在道路上的至少一个摄像头,获取周围环境的图像;第三识别单元32用于对图像的模糊状态进行分析,识别出图像中的运动区域;判断单元33用于根据运动区域,确定出道路的交通拥堵情况。Wherein, the third
需要说明的是,本发明实施例的道路监测装置中未披露的细节,请参照本发明实施例的道路监测方法所披露的细节,这里不再赘述。It should be noted that, for details not disclosed in the road monitoring device in the embodiment of the present invention, please refer to the details disclosed in the road monitoring method in the embodiment of the present invention, and details are not repeated here.
根据本发明实施例的道路监测装置,通过第三图像获取单元获取周围环境的图像,并通过第三识别单元对图像的模糊状态进行分析,识别出图像中的运动区域,以及通过判断单元根据运动区域,确定出道路的交通拥堵情况。由此,通过单帧图像即可识别出运动区域,对数据量要求小,计算量小,对硬件的要求低,而且能够快速输出结果,有效提高检测速率,并且识别出的运动区域可作为道路监测的有效数据,便于道路拥堵情况的判断。According to the road monitoring device of the embodiment of the present invention, the image of the surrounding environment is acquired by the third image acquisition unit, the blurred state of the image is analyzed by the third recognition unit, the motion area in the image is recognized, and the motion area is identified by the judgment unit according to the motion. area to determine the traffic congestion on the road. As a result, the motion area can be identified through a single frame of image, which requires less data volume, less calculation, and low hardware requirements, and can output results quickly, effectively improving the detection rate, and the identified motion area can be used as a road. The effective data of monitoring is convenient for the judgment of road congestion.
图10是根据本发明一个实施例的车辆的方框示意图。10 is a schematic block diagram of a vehicle according to one embodiment of the present invention.
如图10所示,本发明实施例的车辆40,包括上述的车辆预警装置41。As shown in FIG. 10 , the
根据本发明实施例的车辆,通过上述的车辆预警装置,通过单帧图像即可识别出运动区域,对数据量要求小,计算量小,对硬件的要求低,而且能够快速输出结果,有效提高检测速率,并且识别出的运动区域可作为车辆行驶的有效数据,便于车辆的行驶判断,如进行提前预警,防止危险事故发生。According to the vehicle according to the embodiment of the present invention, through the above-mentioned vehicle early warning device, the moving area can be identified through a single frame of image, the requirement for data amount is small, the amount of calculation is small, the requirement for hardware is low, and the result can be quickly output, which effectively improves the The detection rate and the identified motion area can be used as effective data for vehicle driving, which is convenient for vehicle driving judgment, such as early warning to prevent dangerous accidents.
图11是根据本发明一个实施例的车速的测量装置的方框示意图。FIG. 11 is a schematic block diagram of a vehicle speed measuring apparatus according to an embodiment of the present invention.
如图11所示,本发明实施例的车速的测量装置可包括:第一图像获取单元51、第二图像获取单元52、转换单元53和车速获取单元54。As shown in FIG. 11 , the apparatus for measuring vehicle speed according to the embodiment of the present invention may include: a first
其中,第一图像获取单元51用于通过安装在当前车辆上的至少一个摄像头,获取当前车辆周围环境的图像;第二图像获取单元52用于根据至少一个摄像头的位置,确定出图像中的地面区域图像;转换单元53用于对地面区域图像进行频率域转化,得到地面区域图像的频谱图;车速获取单元54用于根据频谱图,得到当前车辆的运动方向和当前车辆的运动速度值,并根据运动方向和运动速度值,得到当前车辆的运动速度矢量。Wherein, the first
根据本发明的一个实施例,摄像头为多个,第一图像获取单元51具体用于通过安装在当前车辆上的多个摄像头,获取当前车辆周围环境的全景图像。According to an embodiment of the present invention, there are multiple cameras, and the first
根据本发明的一个实施例,车速获取单元54具体用于根据频谱图中暗条纹的方向角度,得到运动方向。According to an embodiment of the present invention, the vehicle
根据本发明的一个实施例,车速获取单元54具体用于采用第一预设公式,计算得到运动方向,第一预设公式为:According to an embodiment of the present invention, the vehicle
其中,α为运动方向,θ为暗条纹的方向角度,N为地面区域图像的纵向尺寸,M为地面区域图像的横向尺寸。Among them, α is the movement direction, θ is the direction angle of the dark stripes, N is the vertical size of the ground area image, and M is the horizontal size of the ground area image.
根据本发明的一个实施例,车速获取单元54具体用于根据频谱图中暗条纹的方向角度和暗条纹的间距,得到地面区域图像的模糊尺度;根据模糊尺度,得到运动速度值。According to an embodiment of the present invention, the vehicle
根据本发明的一个实施例,车速获取单元54具体用于采用第二预设公式,计算得到模糊尺度,第二预设公式为:According to an embodiment of the present invention, the vehicle
其中,L为模糊尺度,M为地面区域图像的横向尺寸,D为暗条纹的间距,θ为暗条纹的方向角度,σ为地面区域图像的长宽比。Among them, L is the blur scale, M is the lateral size of the ground area image, D is the spacing of the dark stripes, θ is the direction angle of the dark stripes, and σ is the aspect ratio of the ground area image.
根据本发明的一个实施例,车速获取单元54具体用于,采用第三预设公式,计算得到运动速度值,第三预设公式为:According to an embodiment of the present invention, the vehicle
其中,V为运动速度值,H为地面相对摄像头的距离,f为摄像头的焦距,T为摄像头的曝光时间,L为模糊尺度,s为地面区域图像的像素大小。Among them, V is the motion speed value, H is the distance from the ground to the camera, f is the focal length of the camera, T is the exposure time of the camera, L is the blur scale, and s is the pixel size of the ground area image.
需要说明的是,本发明实施例的车速的测量装置中未披露的细节,请参照本发明实施例的车速的测量方法中所披露的细节,具体这里不再赘述。It should be noted that, for details not disclosed in the vehicle speed measuring device of the embodiment of the present invention, please refer to the details disclosed in the vehicle speed measuring method of the embodiment of the present invention, and details are not repeated here.
根据本发明实施例的车速的测量装置,通过第一图像获取单元获取当前车辆周围环境的图像,并通过第二图像获取单元确定出图像中的地面区域图像,以及通过转换单元对地面区域图像进行频率域转化,得到地面区域图像的频谱图。然后,通过车速获取单元根据频谱图,得到当前车辆的运动方向和当前车辆的运动速度值,并根据运动方向和所述运动速度值,得到当前车辆的运动速度矢量。由此,可实现车辆对自身车速的实时检测。According to the vehicle speed measurement device according to the embodiment of the present invention, the image of the current surrounding environment of the vehicle is acquired by the first image acquisition unit, the ground area image in the image is determined by the second image acquisition unit, and the conversion unit is used for the image of the ground area. Frequency domain transformation to obtain the spectrogram of the ground area image. Then, the vehicle speed obtaining unit obtains the current vehicle motion direction and the current vehicle motion speed value according to the spectrogram, and obtains the current vehicle motion speed vector according to the motion direction and the motion speed value. In this way, the real-time detection of the vehicle's own vehicle speed can be realized.
图12是根据本发明另一个实施例的车辆的方框示意图。12 is a schematic block diagram of a vehicle according to another embodiment of the present invention.
如图12所示,本发明实施例的车辆60包括上述的车速的测量装置61。As shown in FIG. 12 , the
根据本发明实施例的车辆,通过上述的车速的测量装置,可实现车辆对自身车速的实时检测。According to the vehicle of the embodiment of the present invention, through the above-mentioned vehicle speed measuring device, the vehicle can realize real-time detection of its own vehicle speed.
图13a是根据本发明一个实施例的运动物体速度的测量装置的方框示意图。Fig. 13a is a schematic block diagram of an apparatus for measuring the velocity of a moving object according to an embodiment of the present invention.
如图13a所示,本发明实施例的运动物体速度的测量装置可包括:第一图像获取单元71、转换单元72、第二图像获取单元73、第一速度获取单元74和第二速度获取单元75。As shown in FIG. 13a, the apparatus for measuring the speed of a moving object according to the embodiment of the present invention may include: a first
第一图像获取单元71用于通过安装在当前车辆上的至少一个摄像头,获取当前车辆周围环境的图像;转换单元72用于对图像进行频率域转化,得到图像的第一频谱图;第二图像获取单元73用于将第一频谱图中模糊尺度与静止模糊尺度之间的差值大于预设阈值的区域,确定为当前车辆周围的运动物体对应的第二频谱图;第一速度获取单元74用于根据第二频谱图,得到运动物体相对于当前车辆的相对运动方向和相对运动速度值,并根据相对运动方向和相对运动速度值,得到运动物体相对于当前车辆的相对运动速度矢量;第二速度获取单元75用于根据相对运动速度矢量和当前车辆的运动速度矢量,得到运动物体的运动速度矢量。The first
根据本发明的一个实施例,摄像头为多个,第一图像获取单元71具体用于通过安装在当前车辆上的多个摄像头,获取当前车辆周围环境的全景图像。According to an embodiment of the present invention, there are multiple cameras, and the first
根据本发明的一个实施例,如图13b所示,上述的运动物体速度的测量装置还可包括:第三图像获取单元76,用于根据至少一个摄像头的位置,确定出图像中的地面区域图像;频率获取单元77,用于对地面区域图像进行频率域转化,得到地面区域图像的频谱图,并获取地面区域图像的频谱图的模糊尺度,获得静止模糊尺度。According to an embodiment of the present invention, as shown in FIG. 13b, the above-mentioned apparatus for measuring the speed of a moving object may further include: a third image acquisition unit 76, configured to determine the ground area image in the image according to the position of at least one camera The frequency acquisition unit 77 is used to transform the ground area image in the frequency domain to obtain the spectrogram of the ground area image, and obtain the fuzzy scale of the spectrogram of the ground area image to obtain the static fuzzy scale.
根据本发明的一个实施例,第一速度获取单元74具体用于根据第二频谱图中暗条纹的方向角度,得到相对运动方向。According to an embodiment of the present invention, the first
根据本发明的一个实施例,第一速度获取单元74具体用于采用第一预设公式,计算得到相对运动方向,第一预设公式为:According to an embodiment of the present invention, the first
其中,α为相对运动方向,θ为暗条纹的方向角度,N为第二频谱图对应图像的纵向尺寸,M为第二频谱图对应图像的横向尺寸。Among them, α is the relative motion direction, θ is the direction angle of the dark fringes, N is the vertical size of the image corresponding to the second spectrogram, and M is the horizontal size of the image corresponding to the second spectrogram.
根据本发明的一个实施例,第一速度获取单元74具体用于根据第二频谱图中暗条纹的方向角度和暗条纹的间距,得到第二频谱图的模糊尺度;根据模糊尺度,得到相对运动速度值。According to an embodiment of the present invention, the first
根据本发明的一个实施例,第一速度获取单元74具体用于采用第二预设公式,计算得到模糊尺度,第二预设公式为:According to an embodiment of the present invention, the first
其中,L为模糊尺度,M为第二频谱图对应图像的横向尺寸,D为暗条纹的间距,θ为暗条纹的方向角度,σ为第二频谱图对应图像的长宽比。Among them, L is the blur scale, M is the horizontal size of the image corresponding to the second spectrogram, D is the spacing of the dark fringes, θ is the direction angle of the dark fringes, and σ is the aspect ratio of the image corresponding to the second spectrogram.
根据本发明的一个实施例,第一速度获取单元74具体用于采用第三预设公式,计算得到相对运动速度值,第三预设公式为:According to an embodiment of the present invention, the first
其中,V为相对运动速度值,H为运动物体至摄像头的距离,f为摄像头的焦距,T为摄像头的曝光时间,L为模糊尺度,s为第二频谱图对应图像的像素大小。Among them, V is the relative motion speed value, H is the distance from the moving object to the camera, f is the focal length of the camera, T is the exposure time of the camera, L is the blur scale, and s is the pixel size of the image corresponding to the second spectrogram.
根据本发明的一个实施例,如图13b所示,上述的运动物体速度的测量装置还可包括:判断单元78,用于判断运动物体是否为运动车辆,其中,如果运动物体为运动车辆,则得到的运动物体的运动速度矢量为运动车辆的运动速度矢量。According to an embodiment of the present invention, as shown in FIG. 13b, the above-mentioned apparatus for measuring the speed of a moving object may further include: a judgment unit 78 for judging whether the moving object is a moving vehicle, wherein, if the moving object is a moving vehicle, then The obtained motion speed vector of the moving object is the motion speed vector of the moving vehicle.
需要说明的是,本发明实施例的运动物体速度的测量装置中未披露的细节,请参照本发明实施例的运动物体速度的测量方法中所披露的细节,具体这里不再赘述。It should be noted that, for details not disclosed in the apparatus for measuring the velocity of a moving object in the embodiment of the present invention, please refer to the details disclosed in the method for measuring the velocity of a moving object in the embodiment of the present invention, and details are not repeated here.
根据本发明实施例的运动物体速度的测量装置,通过第一图像获取单元获取当前车辆周围环境的图像,并通过转换单元对图像进行频率域转化,得到图像的第一频谱图,以及通过第二图像获取单元将第一频谱图中模糊尺度与静止模糊尺度之间的差值大于预设阈值的区域,确定为当前车辆周围的运动物体对应的第二频谱图。然后,通过第一速度获取单元根据第二频谱图,得到运动物体相对于当前车辆的相对运动方向和相对运动速度值,并根据相对运动方向和相对运动速度值,得到运动物体相对于当前车辆的相对运动速度矢量,以及通过第二速度获取单元根据相对运动速度矢量和当前车辆的运动速度矢量,得到运动物体的运动速度矢量。由此,能够实时、准确的感知周围运动物体的运动速度,其中当运动物体为车辆时,能够实时、准确的感知当前车辆周围的运动车辆的车速。According to the device for measuring the speed of a moving object according to the embodiment of the present invention, the image of the current surrounding environment of the vehicle is acquired by the first image acquisition unit, and the image is converted in the frequency domain by the conversion unit to obtain the first spectrogram of the image, and the second The image acquisition unit determines an area in the first spectrogram where the difference between the blurring scale and the static blurring scale is greater than a preset threshold as the second spectrogram corresponding to the moving objects around the current vehicle. Then, the relative movement direction and relative movement speed value of the moving object relative to the current vehicle are obtained by the first speed obtaining unit according to the second frequency spectrum, and the relative movement direction and relative movement speed value of the moving object are obtained according to the relative movement direction and relative movement speed value. The relative motion speed vector, and the motion speed vector of the moving object is obtained by the second speed obtaining unit according to the relative motion speed vector and the motion speed vector of the current vehicle. Thereby, the moving speed of the surrounding moving objects can be sensed in real time and accurately, wherein when the moving object is a vehicle, the vehicle speed of the moving vehicles around the current vehicle can be sensed in real time and accurately.
图14是根据本发明又一个实施例的车辆的方框示意图。14 is a schematic block diagram of a vehicle according to yet another embodiment of the present invention.
如图14所示,本发明实施例的车辆80包括上述的运动物体速度的测量装置81。As shown in FIG. 14 , the
根据本发明实施例的车辆,通过上述的运动物体速度的测量装置,能够实时、准确的感知周围运动物体的运动速度,其中当运动物体为车辆时,能够实时、准确的感知当前车辆周围的运动车辆的车速。According to the vehicle according to the embodiment of the present invention, through the above-mentioned device for measuring the speed of the moving object, the moving speed of the surrounding moving objects can be sensed in real time and accurately, wherein when the moving object is a vehicle, the movement around the current vehicle can be sensed in real time and accurately the speed of the vehicle.
应当理解,本发明的各部分可以用硬件、软件、固件或它们的组合来实现。在上述实施方式中,多个步骤或方法可以用存储在存储器中且由合适的指令执行系统执行的软件或固件来实现。例如,如果用硬件来实现,和在另一实施方式中一样,可用本领域公知的下列技术中的任一项或他们的组合来实现:具有用于对数据信号实现逻辑功能的逻辑门电路的离散逻辑电路,具有合适的组合逻辑门电路的专用集成电路,可编程门阵列(PGA),现场可编程门阵列(FPGA)等。It should be understood that various parts of the present invention may be implemented in hardware, software, firmware or a combination thereof. In the above-described embodiments, various steps or methods may be implemented in software or firmware stored in memory and executed by a suitable instruction execution system. For example, if implemented in hardware, as in another embodiment, it can be implemented by any one or a combination of the following techniques known in the art: Discrete logic circuits, application specific integrated circuits with suitable combinational logic gates, Programmable Gate Arrays (PGA), Field Programmable Gate Arrays (FPGA), etc.
另外,在本发明的描述中,术语“中心”、“纵向”、“横向”、“长度”、“宽度”、“厚度”、“上”、“下”、“前”、“后”、“左”、“右”、“竖直”、“水平”、“顶”、“底”“内”、“外”、“顺时针”、“逆时针”、“轴向”、“径向”、“周向”等指示的方位或位置关系为基于附图所示的方位或位置关系,仅是为了便于描述本发明和简化描述,而不是指示或暗示所指的装置或元件必须具有特定的方位、以特定的方位构造和操作,因此不能理解为对本发明的限制。In addition, in the description of the present invention, the terms "center", "longitudinal", "lateral", "length", "width", "thickness", "upper", "lower", "front", "rear", "Left", "Right", "Vertical", "Horizontal", "Top", "Bottom", "Inner", "Outer", "Clockwise", "Counterclockwise", "Axial", "Radial" ”, “circumferential” and other indicated orientations or positional relationships are based on the orientations or positional relationships shown in the accompanying drawings, and are only for the convenience of describing the present invention and simplifying the description, rather than indicating or implying that the indicated device or element must have a specific orientation, construction and operation in a particular orientation, and therefore should not be construed as a limitation of the present invention.
此外,术语“第一”、“第二”仅用于描述目的,而不能理解为指示或暗示相对重要性或者隐含指明所指示的技术特征的数量。由此,限定有“第一”、“第二”的特征可以明示或者隐含地包括至少一个该特征。在本发明的描述中,“多个”的含义是至少两个,例如两个,三个等,除非另有明确具体的限定。In addition, the terms "first" and "second" are only used for descriptive purposes, and should not be construed as indicating or implying relative importance or implying the number of indicated technical features. Thus, a feature delimited with "first", "second" may expressly or implicitly include at least one of that feature. In the description of the present invention, "plurality" means at least two, such as two, three, etc., unless otherwise expressly and specifically defined.
在本发明中,除非另有明确的规定和限定,术语“安装”、“相连”、“连接”、“固定”等术语应做广义理解,例如,可以是固定连接,也可以是可拆卸连接,或成一体;可以是机械连接,也可以是电连接;可以是直接相连,也可以通过中间媒介间接相连,可以是两个元件内部的连通或两个元件的相互作用关系,除非另有明确的限定。对于本领域的普通技术人员而言,可以根据具体情况理解上述术语在本发明中的具体含义。In the present invention, unless otherwise expressly specified and limited, the terms "installed", "connected", "connected", "fixed" and other terms should be understood in a broad sense, for example, it may be a fixed connection or a detachable connection , or integrated; it can be a mechanical connection or an electrical connection; it can be directly connected or indirectly connected through an intermediate medium, it can be the internal connection of two elements or the interaction relationship between the two elements, unless otherwise specified limit. For those of ordinary skill in the art, the specific meanings of the above terms in the present invention can be understood according to specific situations.
在本发明中,除非另有明确的规定和限定,第一特征在第二特征“上”或“下”可以是第一和第二特征直接接触,或第一和第二特征通过中间媒介间接接触。而且,第一特征在第二特征“之上”、“上方”和“上面”可是第一特征在第二特征正上方或斜上方,或仅仅表示第一特征水平高度高于第二特征。第一特征在第二特征“之下”、“下方”和“下面”可以是第一特征在第二特征正下方或斜下方,或仅仅表示第一特征水平高度小于第二特征。In the present invention, unless otherwise expressly specified and limited, a first feature "on" or "under" a second feature may be in direct contact between the first and second features, or the first and second features indirectly through an intermediary touch. Also, the first feature being "above", "over" and "above" the second feature may mean that the first feature is directly above or obliquely above the second feature, or simply means that the first feature is level higher than the second feature. The first feature being "below", "below" and "below" the second feature may mean that the first feature is directly below or obliquely below the second feature, or simply means that the first feature has a lower level than the second feature.
在本说明书的描述中,参考术语“一个实施例”、“一些实施例”、“示例”、“具体示例”、或“一些示例”等的描述意指结合该实施例或示例描述的具体特征、结构、材料或者特点包含于本发明的至少一个实施例或示例中。在本说明书中,对上述术语的示意性表述不必须针对的是相同的实施例或示例。而且,描述的具体特征、结构、材料或者特点可以在任一个或多个实施例或示例中以合适的方式结合。此外,在不相互矛盾的情况下,本领域的技术人员可以将本说明书中描述的不同实施例或示例以及不同实施例或示例的特征进行结合和组合。In the description of this specification, description with reference to the terms "one embodiment," "some embodiments," "example," "specific example," or "some examples", etc., mean specific features described in connection with the embodiment or example , structure, material or feature is included in at least one embodiment or example of the present invention. In this specification, schematic representations of the above terms are not necessarily directed to the same embodiment or example. Furthermore, the particular features, structures, materials or characteristics described may be combined in any suitable manner in any one or more embodiments or examples. Furthermore, those skilled in the art may combine and combine the different embodiments or examples described in this specification, as well as the features of the different embodiments or examples, without conflicting each other.
尽管上面已经示出和描述了本发明的实施例,可以理解的是,上述实施例是示例性的,不能理解为对本发明的限制,本领域的普通技术人员在本发明的范围内可以对上述实施例进行变化、修改、替换和变型。Although the embodiments of the present invention have been shown and described above, it should be understood that the above embodiments are exemplary and should not be construed as limiting the present invention. Embodiments are subject to variations, modifications, substitutions and variations.
| Application Number | Priority Date | Filing Date | Title |
|---|---|---|---|
| CN201810714025.6ACN110660229A (en) | 2018-06-29 | 2018-06-29 | Vehicle speed measurement method, device and vehicle |
| Application Number | Priority Date | Filing Date | Title |
|---|---|---|---|
| CN201810714025.6ACN110660229A (en) | 2018-06-29 | 2018-06-29 | Vehicle speed measurement method, device and vehicle |
| Publication Number | Publication Date |
|---|---|
| CN110660229Atrue CN110660229A (en) | 2020-01-07 |
| Application Number | Title | Priority Date | Filing Date |
|---|---|---|---|
| CN201810714025.6AWithdrawnCN110660229A (en) | 2018-06-29 | 2018-06-29 | Vehicle speed measurement method, device and vehicle |
| Country | Link |
|---|---|
| CN (1) | CN110660229A (en) |
| Publication number | Priority date | Publication date | Assignee | Title |
|---|---|---|---|---|
| CN111596090A (en)* | 2020-06-17 | 2020-08-28 | 中国第一汽车股份有限公司 | Method and device for measuring vehicle running speed, vehicle and medium |
| CN111932896A (en)* | 2020-09-14 | 2020-11-13 | 成都宜泊信息科技有限公司 | Vehicle congestion detection method and system for parking lot |
| CN112046492A (en)* | 2020-08-05 | 2020-12-08 | 华人运通(江苏)技术有限公司 | Vehicle speed calculation method, device, equipment and medium with direction |
| WO2024164108A1 (en)* | 2023-02-06 | 2024-08-15 | 华为技术有限公司 | Method for measuring motion velocity, and device and computer-readable storage medium |
| Publication number | Priority date | Publication date | Assignee | Title |
|---|---|---|---|---|
| CN101809590A (en)* | 2007-09-28 | 2010-08-18 | 索尼公司 | Content-based image adjustment |
| US9043129B2 (en)* | 2010-10-05 | 2015-05-26 | Deere & Company | Method for governing a speed of an autonomous vehicle |
| CN104751409A (en)* | 2013-12-27 | 2015-07-01 | 比亚迪股份有限公司 | Auto panoramic image calibration system, forming system and calibration method |
| CN105719251A (en)* | 2016-01-19 | 2016-06-29 | 浙江大学 | Compression and quality reduction image restoration method used for large image motion linear fuzziness |
| CN105788291A (en)* | 2016-02-23 | 2016-07-20 | 中山大学 | Vehicle speed and position detection method and apparatus |
| CN106355546A (en)* | 2015-07-13 | 2017-01-25 | 比亚迪股份有限公司 | Vehicle panorama generating method and apparatus |
| CN106485685A (en)* | 2016-08-30 | 2017-03-08 | 重庆大学 | A kind of vehicle-mounted high-quality imaging method being restored based on two steps |
| CN106600559A (en)* | 2016-12-21 | 2017-04-26 | 东方网力科技股份有限公司 | Fuzzy kernel obtaining and image de-blurring method and apparatus |
| CN106910371A (en)* | 2015-12-22 | 2017-06-30 | 上海博泰悦臻电子设备制造有限公司 | The decision method of the risk of collision source direction in workshop, device, mobile unit and vehicle |
| Publication number | Priority date | Publication date | Assignee | Title |
|---|---|---|---|---|
| CN101809590A (en)* | 2007-09-28 | 2010-08-18 | 索尼公司 | Content-based image adjustment |
| US9043129B2 (en)* | 2010-10-05 | 2015-05-26 | Deere & Company | Method for governing a speed of an autonomous vehicle |
| CN104751409A (en)* | 2013-12-27 | 2015-07-01 | 比亚迪股份有限公司 | Auto panoramic image calibration system, forming system and calibration method |
| CN106355546A (en)* | 2015-07-13 | 2017-01-25 | 比亚迪股份有限公司 | Vehicle panorama generating method and apparatus |
| CN106910371A (en)* | 2015-12-22 | 2017-06-30 | 上海博泰悦臻电子设备制造有限公司 | The decision method of the risk of collision source direction in workshop, device, mobile unit and vehicle |
| CN105719251A (en)* | 2016-01-19 | 2016-06-29 | 浙江大学 | Compression and quality reduction image restoration method used for large image motion linear fuzziness |
| CN105788291A (en)* | 2016-02-23 | 2016-07-20 | 中山大学 | Vehicle speed and position detection method and apparatus |
| CN106485685A (en)* | 2016-08-30 | 2017-03-08 | 重庆大学 | A kind of vehicle-mounted high-quality imaging method being restored based on two steps |
| CN106600559A (en)* | 2016-12-21 | 2017-04-26 | 东方网力科技股份有限公司 | Fuzzy kernel obtaining and image de-blurring method and apparatus |
| Title |
|---|
| 金守峰: "基于机器视觉的工程机械行走速度测量系统研究", 《中国博士学位论文全文数据库信息科技辑》* |
| Publication number | Priority date | Publication date | Assignee | Title |
|---|---|---|---|---|
| CN111596090A (en)* | 2020-06-17 | 2020-08-28 | 中国第一汽车股份有限公司 | Method and device for measuring vehicle running speed, vehicle and medium |
| CN112046492A (en)* | 2020-08-05 | 2020-12-08 | 华人运通(江苏)技术有限公司 | Vehicle speed calculation method, device, equipment and medium with direction |
| CN112046492B (en)* | 2020-08-05 | 2022-08-16 | 华人运通(江苏)技术有限公司 | Vehicle speed calculation method, device, equipment and medium with direction |
| CN111932896A (en)* | 2020-09-14 | 2020-11-13 | 成都宜泊信息科技有限公司 | Vehicle congestion detection method and system for parking lot |
| CN111932896B (en)* | 2020-09-14 | 2020-12-22 | 成都宜泊信息科技有限公司 | Vehicle congestion detection method and system for parking lot |
| WO2024164108A1 (en)* | 2023-02-06 | 2024-08-15 | 华为技术有限公司 | Method for measuring motion velocity, and device and computer-readable storage medium |
| Publication | Publication Date | Title |
|---|---|---|
| JP3750512B2 (en) | Vehicle obstacle detection device | |
| KR101411668B1 (en) | A calibration apparatus, a distance measurement system, a calibration method, and a computer readable medium recording a calibration program | |
| US20150086077A1 (en) | System and method of alerting a driver that visual perception of pedestrian may be difficult | |
| CN102422333B (en) | Device for monitoring area around vehicle | |
| CN113240756B (en) | Pose change detection method and device for vehicle-mounted BSD camera and storage medium | |
| CN110660229A (en) | Vehicle speed measurement method, device and vehicle | |
| CN110658353B (en) | Method, device and vehicle for measuring velocity of moving object | |
| US20180293450A1 (en) | Object detection apparatus | |
| CN110297232A (en) | Monocular distance measuring method, device and electronic equipment based on computer vision | |
| CN111932901A (en) | Road vehicle tracking detection apparatus, method and storage medium | |
| CN103686083B (en) | Real-time speed measurement method based on vehicle-mounted sensor video streaming matching | |
| CN108645375B (en) | Rapid vehicle distance measurement optimization method for vehicle-mounted binocular system | |
| CN113496528B (en) | Method and device for calibrating position of visual detection target in fixed traffic roadside scene | |
| CN110824188A (en) | Speed measuring method and device for highway vehicles, coder-decoder and storage device | |
| CN110341621B (en) | An obstacle detection method and device | |
| CN107229906A (en) | A kind of automobile overtaking's method for early warning based on units of variance model algorithm | |
| CN108629225B (en) | Vehicle detection method based on multiple sub-images and image significance analysis | |
| CN110659551A (en) | Motion state recognition method, device and vehicle | |
| CN110659548A (en) | Vehicle and its target detection method and device | |
| CN118372820A (en) | Automobile anti-collision warning method, system, device and medium based on machine vision | |
| JP7312275B2 (en) | Information processing device, sensing device, moving object, information processing method, and information processing system | |
| KR20190087276A (en) | System and method for traffic measurement of image based | |
| CN114119955A (en) | Method and device for detecting potential dangerous target | |
| KR20160125803A (en) | Apparatus for defining an area in interest, apparatus for detecting object in an area in interest and method for defining an area in interest | |
| CN113095123A (en) | Object recognition method and related monitoring camera equipment |
| Date | Code | Title | Description |
|---|---|---|---|
| PB01 | Publication | ||
| PB01 | Publication | ||
| SE01 | Entry into force of request for substantive examination | ||
| SE01 | Entry into force of request for substantive examination | ||
| WW01 | Invention patent application withdrawn after publication | ||
| WW01 | Invention patent application withdrawn after publication | Application publication date:20200107 |