Movatterモバイル変換


[0]ホーム

URL:


CN110633708A - Deep network significance detection method based on global model and local optimization - Google Patents

Deep network significance detection method based on global model and local optimization
Download PDF

Info

Publication number
CN110633708A
CN110633708ACN201910571020.7ACN201910571020ACN110633708ACN 110633708 ACN110633708 ACN 110633708ACN 201910571020 ACN201910571020 ACN 201910571020ACN 110633708 ACN110633708 ACN 110633708A
Authority
CN
China
Prior art keywords
saliency
model
network
local
layers
Prior art date
Legal status (The legal status is an assumption and is not a legal conclusion. Google has not performed a legal analysis and makes no representation as to the accuracy of the status listed.)
Pending
Application number
CN201910571020.7A
Other languages
Chinese (zh)
Inventor
刘峰
沈同圣
郭少军
黎松
赵德鑫
孟路稳
于化鹏
Current Assignee (The listed assignees may be inaccurate. Google has not performed a legal analysis and makes no representation or warranty as to the accuracy of the list.)
National Defense Technology Innovation Institute PLA Academy of Military Science
Original Assignee
National Defense Technology Innovation Institute PLA Academy of Military Science
Priority date (The priority date is an assumption and is not a legal conclusion. Google has not performed a legal analysis and makes no representation as to the accuracy of the date listed.)
Filing date
Publication date
Application filed by National Defense Technology Innovation Institute PLA Academy of Military SciencefiledCriticalNational Defense Technology Innovation Institute PLA Academy of Military Science
Priority to CN201910571020.7ApriorityCriticalpatent/CN110633708A/en
Publication of CN110633708ApublicationCriticalpatent/CN110633708A/en
Pendinglegal-statusCriticalCurrent

Links

Images

Classifications

Landscapes

Abstract

The invention discloses a depth network significance detection method based on a global model and local optimization. In the global model, an initial saliency map is generated by training an additional convolution layer designed by the VGG-16 network, and the purpose of predicting the saliency of each candidate region from the overall angle of the image is achieved. In a local optimization model, a regional contrast descriptor and a regional characteristic descriptor are designed to describe multi-stage segmented super-pixel points, and the significance value of each region is predicted. And finally, fusing the saliency maps generated in the two models by using a conditional random field fitting method to obtain a final saliency map. And 4 data sets are subjected to comparative test experiments, and the experimental results prove the effectiveness of the invention.

Description

Deep network significance detection method based on global model and local optimization
Technical Field
The invention relates to a depth network saliency detection method based on a global model and local optimization, and belongs to the technical field of saliency detection in computer vision.
Background
The human visual mechanism, which selects a partial region for attention, is called visual saliency, selects a partial subset of the whole image for depth processing before processing a high-level task, thereby reducing the complexity of the scene.
The saliency detection is an image processing method developed by researching human visual attention mechanism, and can preferentially and quickly and accurately allocate computing resources to an interested area in an image to improve processing efficiency and accuracy, so that the method can be used as a preprocessing process for target identification and detection, and avoids exhaustive search for positioning a target candidate area. The saliency detection method has wide application in many fields of computer vision, such as candidate region extraction, target detection and the like, and can be used as front-end processing of complex tasks.
The traditional significance detection method usually needs to manually design features and needs to combine certain priori knowledge as a judgment basis to approximate a human eye visual attention mechanism. In recent years, with the development and application of deep learning technology, the technology has natural advantages in the field of significance detection simulating the human visual system due to the fact that the technology has a learning model similar to the structure of human brain neurons. Such methods can automatically extract hierarchical features on the original image and solve by way of training. The method has the advantages that end-to-end significance detection can be achieved by utilizing a model of the deep neural network, the method is better in performance under the condition of processing complex backgrounds and multiple targets, and the method has better universality and portability, and obtains more ideal experimental effects on image detail description and complex image sets.
Disclosure of Invention
The invention aims to solve the problems that: the global model integrally detects the outline of a target, facilitates the detection of a larger target and uniformly distributes a significant value to a contained region, the local optimization model is sensitive to high-frequency contents such as edges, noise and the like in the image, outline details can be optimized, the results of two independent convolutional neural networks are integrated, and the end-to-end significant target detection of the image is realized.
The invention adopts the following technical scheme for solving the technical problems:
a deep network significance detection method based on a global model and local optimization comprises the following steps:
step 1, in a global model, training is carried out by adding an additional connecting layer on the basis of a VGG-16 network, an end-to-end regression convolutional neural network is designed, an input image can be directly mapped to generate a saliency map, the network can generate multi-level features on multiple scales to detect saliency targets, the purpose of predicting the saliency targets of each candidate region from the overall angle of the image is achieved, and 5 saliency maps based on the global model are generated.
And 2, in the local model, extracting points or regions which attract attention by using the characteristics of colors, textures and the like among adjacent pixels to design the local model for saliency detection, converting the saliency division into two classification problems through a depth network, and learning the characteristics of the multi-level image block to predict the saliency value of each pixel to generate a local saliency map.
And 3, fusing a plurality of initial saliency maps obtained by the global and local models by using a Conditional Random Field (CRF) method in the saliency map fusion to generate a final saliency map.
As a preferred embodiment of the present invention, instep 1, an image with a size of 224 × 224 is first input into a convolutional neural network, and the network model used in the present invention has 5 groups of 13 convolutional layers and corresponding mapping units, 5 pooling layers, 2 full-link layers and 1 output layer.
After the input image is subjected to the 5-layer pooling operation, a feature vector of 14 × 14 × 512 dimensions is output.
The method improves the model, extracts the characteristic information of different levels by designing operations such as a reasonable convolution kernel, step length, edge supplement, pooling and the like, and enables different layers of the model to generate a plurality of saliency maps with the same scale.
As a preferred scheme of the present invention, instep 2, the present invention uses image blocks with fixed sizes to traverse the whole image in the form of a sliding window, so as to generate a data set to be trained.
Training data is constructed for each divided image block P and the standard saliency map G, and positive samples are defined as: when the overlapping part of the image blocks P and G meets the following conditions:
|P∩G|≥0.8×min(|P|,|G|)
the negative training sample is defined as: when 1) the center pixel of P is not significant, 2) the overlap of P and G is less than a certain ratio:
|P∩G|<0.3×min(|P|,|G|)
the local network model designed by the invention is composed of 6 layers of structures and comprises 3 convolutional layers and 3 full-connection layers, wherein the three convolutional layers respectively comprise a Relu nonlinear activation function and a maximum pooling layer, in the full-connection layers, in order to prevent overfitting, the full-connection layers of the first two layers adopt a dropout method, and a softmax classifier is used as an output layer to generate a probability value of the significance of a central pixel.
Using a set of annotations, { l }iAs a training set { P }iAnd (4) supervision, selecting the cross entropy of the softmax function as a cost function, and training the network by a random gradient descent method, wherein the cost function is defined as:
Figure BSA0000185186180000021
where m is the number of samples, θLIs a learning parameter of the network, including the weights and biases of all layers, P (l)i=j|θL) Is the labeling probability of the ith training sample predicted by the network, λ is the weight delay parameter,
Figure BSA0000185186180000031
is the k-th layer weight value.
As a preferred embodiment of the present invention, instep 3, the global and local pairs are aligned using conditional random fieldsObtaining M significant graphs { S by partial models1,S2,…SMThe fusion is performed.
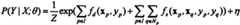
All saliency maps are formed into a feature vector x (p) ═ S1(p),S2(p),…,Sm(p)), y (p) represents a binary mark, notably noted as 1, not notably noted as 0. Therefore, in the feature vector X ═ { X ═ XpMark Y ═ { Y } in | p ∈ I }pThe conditional distribution probability of | p ∈ I } is recorded as:
Figure BSA0000185186180000032
where p is the pixel in the original image I, xpIs the salient feature vector of p points, ypIs a significance mark, and theta is a parameter to be trained of the CRF model. f. ofd(. and f)s(. is) two characteristic functions, respectively representing the characteristics of the independent pixel p and its neighborhood NpThe feature in the range, η, represents a penalty term.
Generated multilevel saliency map { S1,S2,…SMAnd solving a fusion parameter theta by using a maximum likelihood function through a CRF regression model to generate a final saliency map.
Compared with the prior art, the invention adopting the technical scheme has the following advantages: the saliency detection method based on deep neural network training is adopted, a multi-level saliency map is constructed through two network structures of a global model and a local model, and then a conditional random field is utilized for fusion to generate a final fine saliency map. The global model can effectively utilize global significance characteristics to predict the significance value of each target area, and the local model can learn the local contrast, texture and shape information of the target from the divided multi-level super pixel points. And training is performed by combining the complex features of the depth network, and the local features and the global features of the image are fused, so that the algorithm has higher robustness.
The method is suitable for images with complex and changeable scenes, the detection result is accurate, and the saliency target with better consistency can be obtained.
Drawings
FIG. 1 is a flow chart of a saliency detection method based on a global model and local optimization provided by the invention;
FIG. 2 is a model diagram of a deep neural network in a global model provided by the present invention;
fig. 3 is a comparison graph of the saliency map and the final result generated by each step provided by the present invention.
Detailed Description
In order to make the objects, technical solutions and advantages of the present invention more apparent, embodiments of the present invention are described in further detail below.
As shown in fig. 1, the present invention comprises the steps of:
the method comprises the following steps: and aiming at the original image I, designing an additional convolutional neural network on the basis of the VGG-16 network to generate an initial global saliency map SG.
Step two: and aiming at the original image I, constructing a training data set, designing a 6-layer convolutional neural network, training and predicting the significance value of each pixel, and generating a local significance map SL.
Step three: and fusing the saliency maps generated in the two models by using a conditional random field method to obtain a final saliency map S. The detailed steps are as follows:
1. global model based saliency detection
(1) Reading an original image I, adjusting the image size to 224 x 224, and sending the image into a VGG-16 network.
(2) The network is initialized with parameters using the training model parameters obtained on the dataset ILSVRC 12.
(3) The VGG-16 model is improved, the specific network structure is shown in FIG. 2, and the specific operation is as follows:
omitting the maximum pooling operation of the last two layers, and designing and adding an additional convolution layer;
after Pooling1, the first layer adds a 128-dimensional 5 × 5 convolution kernel, sets the step size stride to 4, and the edge complement pad to 2, and can generate a 56 × 56 × 128 feature vector;
to ensure that the dimensions of the generated saliency map are not further compressed, the second layer maps them into 56 × 56 × 64 dimensional feature vectors using a 1 × 1 convolution kernel;
the third layer also adopts a 1 × 1 convolution kernel to generate a 56 × 56 dimensional characteristic image;
similarly, after adding corresponding convolutional layers after Pooling2, Pooling3 and Pooling4, in order to ensure that the saliency map with the same size is finally generated, the sizes of the convolutional kernels are all 3 × 3, the step lengths stride are respectively 2, 1 and 1, other parameters are kept the same, and in the original network, since Pooling4 and Pooling5 are omitted, the saliency map with 56 × 56 pixels can be directly generated afterconv 5.
(4) Setting the initial learning rate of the newly added network layer to be 0.01, setting the original VGG-16 network layer to be 0.001, setting the impulse parameter to be 0.9 and setting the weight delay to be 0.0005;
(5) in the training stage, supervised learning is carried out by using a standard saliency map and adopting a random gradient descent method, and then additionally added convolution layers and full-link layers are utilized;
(6) in the training stage, supervised learning is carried out by using a random gradient descent method through a standard saliency map, and 5 saliency maps based on a global model are generated by using extra convolution layers and full connection layers
Figure BSA0000185186180000041
And
Figure BSA0000185186180000042
(7) the global model network designed by the invention can obtain the saliency map from the global structure of the image, and the information extraction of different convolution layers can also carry out content expression on the original image on different scales. However, the network structure lacks description of detail information of an original image, a single global model cannot meet requirements in terms of quantitative analysis and visual observation, and then the local information is combined for adjustment to generate a more detailed saliency map.
2. Local model
(1) And traversing the original image I by using a sliding image window with the size of 51 multiplied by 51, setting the sliding step length as 10, sequentially traversing from the upper left corner to the lower right corner of the image, and generating a data set to be trained.
(2) Labeling the image blocks by using a standard saliency map (ground route), and generating positive samples and negative samples of a training network, wherein the labeling rule of the positive samples and the negative samples is as follows:
the positive sample is defined as: when the overlapping part of the image blocks P and G meets the condition that P and G are more than or equal to 0.8 Xmin (P and G);
similarly, a negative training sample is defined as: when 1) the central pixel of P is not significant, 2) the overlapping part of P and G is less than a certain proportion, | P |, G | < 0.3 × min (| P |, | G |);
in addition, image blocks that do not meet the above conditions will be discarded and not used for network training.
(3) The local model extracts points or regions which attract attention by using the characteristics of color, texture and the like among the adjacent pixels, so that the detection problem of the saliency points can be converted into a two-classification problem by using a standard saliency map, namely the pixel points have saliency (1) or do not have saliency (0) relative to the adjacent regions.
(4) The local network model designed by the invention is composed of 6 layers of structures and comprises 3 convolutional layers and 3 full-connection layers, wherein the three convolutional layers respectively comprise a Relu nonlinear activation function and a maximum pooling layer, the Relu can enable training data to have sparsity so as to achieve the purpose of rapid training, and the maximum pooling operation enables images to have translation invariance;
at the first layer of the network, local response normalization is applied to achieve generalization. In the fully connected layers, in order to prevent overfitting, the fully connected layers of the first two layers adopt a dropout method, and a softmax classifier is used as an output layer to generate a probability value of whether a central pixel is significant or not;
the local model network structure is as follows:
Figure BSA0000185186180000051
(5) the network training utilizes a set of labels { l }iAs a training set { P }iSupervision, selecting the cross entropy of the softmax function as a cost function, and carrying out pair by a random gradient descent methodThe network is trained, and the cost function is defined as:
Figure BSA0000185186180000052
wherein, thetaLIs a learning parameter of the network, including the weights and biases of all layers, P (l)i=j|θL) Is the labeling probability of the ith training sample predicted by the network, λ is the weight delay parameter,
Figure BSA0000185186180000061
is the k-th layer weight value.
(6) The network is trained using a back propagation algorithm. In the network parameters during training, the batch size (batch size) is set to m of 256, the momentum of 0.9, the weight delay is 0.0005, the learning rate is 0.01, and the training period is set to 80. In the testing stage, the image is traversed by using a sliding window, and then a probability value p (l is 1| theta) of each pixel point is predicted by using a 6-layer neural network to serve as a local significance value.
3. Conditional random field fusion
(1) Obtaining M significant graphs (S) through global and local models1,S2,…SMAnd the conditional random field method adopted by the invention is used for effectively fusing the saliency maps to generate a final saliency map S.
(2) The method of conditional random field is used for fusing the results to generate a saliency map SFThe method has the advantage that the pixel point information and the surrounding neighborhood information are comprehensively considered.
(3) All the salient maps are formed into a feature vector, and the feature vector is recorded as:
x(p)=(S1(p),S2(p),…,Sm(p))
y (p) represents a binary flag, notably 1, not notably 0;
therefore, in the feature vector X ═ { X ═ XpY ═ Y ∈ I) in | p ∈ I)pThe conditional distribution probability of | p ∈ I } is recorded as:
Figure BSA0000185186180000062
where p is the pixel in the original image I, xpIs the salient feature vector of p points, ypIs a significance mark, and theta is a parameter to be trained of the CRF model.
fd(. and f)s(. is) two characteristic functions, respectively representing the characteristics of the independent pixel p and its neighborhood NpThe feature in the range, η, represents a penalty term.
fd(xp,yp) With only the saliency maps S to be fusedmRelated, defined as:
Figure BSA0000185186180000063
wherein S ism(p) is p points on the saliency map SmOf (1) significance value, λmIs the CRF model parameter to be trained.
Characteristic function fs(xp,xq,yp,yq) Dependent on the neighborhood pixels, defined as:
Figure BSA0000185186180000071
wherein 1 (-) is an indicator function, αmIs the parameter to be trained.
(4) In the saliency map SmWhen the pixel point p is determined as a saliency point and the neighborhood pixel q is a background pixel, the saliency probability of the point is correspondingly increased as follows:
Figure BSA0000185186180000072
when the pixel points with similar color distribution in the original image are marked with different significances, adding the pixel points as penalty factors;
wherein i (p) -i (q) represents a color difference in the original image, and E (-) represents an expectation function.
(5) Thereby generatingMulti-level saliency map of { S }1,S2,…SMAnd solving fusion parameters { lambda, alpha } by using a maximum likelihood function through a conditional random field regression model to generate a final saliency map.
4. Experiment and evaluation
(1) The invention carries out simulation experiment tests in 4 general data sets, namely MSRA, CSSD, SOD and PASCAL-S data sets.
The MSRA data set, published by microsoft asian institute, contains a large number of different categories of objects but most images contain only one salient object, 5000 images;
the CSSD data set comprises 1000 images derived from the network, which are closer to the images in a real scene;
the SOD data set is derived from a target segmentation database of the university of Berkeley, and comprises 300 images in total, wherein each image comprises a plurality of targets with different sizes and positions;
the PASCAL-S is a selected partial image from the PASCAL VOC 2012 data set, a saliency detection data set of 850 pieces, the image containing multiple objects and a complex background.
(2) The method uses Precision (Precision), Recall (Recall), F-measure parameters and Absolute average Error (MAE) as quantitative evaluation indexes of a significance detection algorithm;
the accuracy rate refers to the percentage of the detected significant pixels to the detected total pixels, and the formula is as follows:
recall is defined as the percentage of significant pixels detected to marked, and is expressed as:
Figure BSA0000185186180000081
b is a thresholded binary saliency map, and G is a manually labeled standard template;
the F-measure parameter comprehensively considers the accuracy and the recall rate, and the calculation formula is as follows:
Figure BSA0000185186180000082
wherein, usually, β is taken2=0.3
The MAE is obtained by calculating the average absolute difference between the saliency map and the corresponding artificial labeling template, and the calculation formula is as follows:
Figure BSA0000185186180000083
in summary, in the embodiment of the present invention, throughsteps 1 to 4, the global model and the local optimization model of the image saliency are constructed by fully utilizing the deep convolutional neural network, the relationship between the structures inside the image is deeply mined, the saliency map is generated, and the obtained result is complete and clear.
The method has the success that the model comprises two different attention mechanisms, and the global model trains the whole attention image so that the global model can detect a plurality of target areas in the image and is not influenced by isolated noise; the local model plays an optimization role, so that the detected result is more accurate and finer.
The above description is only a preferred embodiment of the present invention, and is not intended to limit the present invention, and any modifications made on the basis of the technical solutions according to the technical ideas presented in the present invention are within the scope of the present invention.

Claims (5)

1. A deep network significance detection method based on a global model and local optimization is characterized by comprising the following steps:
step 1, in a global model, training is carried out by adding an additional connecting layer on the basis of a VGG-16 network, an end-to-end regression convolutional neural network is designed, an input image can be directly mapped to generate an initial saliency map, the network can generate multi-level features on multiple scales to detect saliency targets, the purpose of predicting the saliency targets of each candidate region from the overall angle of the image is achieved, and 5 initial saliency maps based on the global model are generated.
And 2, in the local model, extracting points or regions which attract attention by using the characteristics of colors, textures and the like among adjacent pixels to design the local model for saliency detection, converting the saliency division of the depth network into two classification problems, predicting the saliency value of each pixel by learning the characteristics of the multi-level image block, and generating a local saliency map.
And 3, fusing a plurality of initial saliency maps obtained by the global and local models by using a Conditional Random Field (CRF) method in the saliency map fusion to generate a final saliency map.
2. The method for detecting the significance of the deep network based on the global model and the local optimization as claimed in claim 1, wherein in step 1, for the input image, the network model adopted in the present invention has 5 sets of 13 convolutional layers and corresponding mapping units, and 5 pooling layers, 2 fully-connected layers and 1 output layer.
After the input image is subjected to the 5-layer pooling operation, a feature vector of 14 × 14 × 512 dimensions is output.
The method improves the model, extracts the characteristic information of different levels by designing operations such as a reasonable convolution kernel, step length, edge supplement, pooling and the like, and enables different layers of the model to generate a plurality of initial saliency maps with the same scale.
3. The method for detecting the significance of the deep network based on the global model and the local optimization as claimed in claim 1, wherein in the step 2, the image blocks with fixed sizes are adopted, the local model training data set is generated in a sliding mode, and the convolutional neural network is utilized to perform the significance detection training of the central pixel point and the surrounding neighborhood.
Training data is constructed for each divided image block P and the standard saliency map G, and positive samples are defined as: when the overlapping part of the image blocks P and G meets the following conditions:
|P∩G|≥0.8×min(|P|,|G|)
the negative training sample is defined as: when 1) the center pixel of P is not significant, 2) the overlap of P and G is less than a certain ratio:
|P∩G|<0.3×min(|P|,|G|)
4. the method for detecting the significance of the depth network based on the global model and the local optimization as claimed in claim 1, wherein in step 2, the local network model designed by the present invention is composed of 6 layers of structures, including 3 convolutional layers and 3 fully-connected layers, each of the three convolutional layers includes a Relu nonlinear activation function and a maximum pooling layer, and in the fully-connected layers, in order to prevent overfitting, the fully-connected layers of the first two layers adopt a dropout method, and a softmax classifier is used as an output layer to generate a probability value of the significance of a central pixel.
Using a set of annotations, { l }iAs a training set { P }iAnd (4) supervision, selecting the cross entropy of the softmax function as a cost function, and training the network by a random gradient descent method, wherein the cost function is defined as:
Figure FSA0000185186170000021
where m is the number of samples, θLIs a learning parameter of the network, including the weights and biases of all layers, P (l)i=j|θL) Is the labeling probability of the ith training sample predicted by the network, λ is the weight delay parameter,
Figure FSA0000185186170000023
is the k-th layer weight value.
5. The method for detecting the significance of the deep network based on the global model and the local optimization as claimed in claim 1, wherein in the step 3, a total of M significant maps { S } are obtained by using the conditional random field to the global and the local models1,S2,…SMThe fusion is performed.
All the salient maps are formed into a feature vectorx(p)=(S1(p),S2(p),…,Sm(p)), y (p) represents a binary mark, notably noted as 1, not notably noted as 0. Therefore, in the feature vector X ═ { X ═ XpMark Y ═ { Y } in | p ∈ I }pThe conditional distribution probability of | p ∈ I } is recorded as:
Figure FSA0000185186170000022
where p is the pixel in the original image I, xpIs the salient feature vector of p points, ypIs a significance mark, and theta is a parameter to be trained of the CRF model. f. ofd(. and f)s(. is) two characteristic functions, respectively representing the characteristics of the independent pixel p and its neighborhood NpThe feature in the range, η, represents a penalty term.
Generated multilevel saliency map { S1,S2,…SMAnd solving a fusion parameter theta by using a maximum likelihood function through a conditional random field regression model to generate a final saliency map.
CN201910571020.7A2019-06-282019-06-28Deep network significance detection method based on global model and local optimizationPendingCN110633708A (en)

Priority Applications (1)

Application NumberPriority DateFiling DateTitle
CN201910571020.7ACN110633708A (en)2019-06-282019-06-28Deep network significance detection method based on global model and local optimization

Applications Claiming Priority (1)

Application NumberPriority DateFiling DateTitle
CN201910571020.7ACN110633708A (en)2019-06-282019-06-28Deep network significance detection method based on global model and local optimization

Publications (1)

Publication NumberPublication Date
CN110633708Atrue CN110633708A (en)2019-12-31

Family

ID=68969154

Family Applications (1)

Application NumberTitlePriority DateFiling Date
CN201910571020.7APendingCN110633708A (en)2019-06-282019-06-28Deep network significance detection method based on global model and local optimization

Country Status (1)

CountryLink
CN (1)CN110633708A (en)

Cited By (14)

* Cited by examiner, † Cited by third party
Publication numberPriority datePublication dateAssigneeTitle
CN111325710A (en)*2020-01-132020-06-23镇江优瞳智能科技有限公司RGB-D significance object detection method based on bilateral attention mechanism
CN111666954A (en)*2020-06-052020-09-15北京联合大学Method and system for extracting joint learning of salient region
CN112287929A (en)*2020-10-222021-01-29北京理工大学Remote sensing image significance analysis method based on feature integration deep learning network
CN112381813A (en)*2020-11-252021-02-19华南理工大学Panorama visual saliency detection method based on graph convolution neural network
CN112541912A (en)*2020-12-232021-03-23中国矿业大学Method and device for rapidly detecting saliency target in mine sudden disaster scene
CN112597996A (en)*2020-12-282021-04-02山西云时代研发创新中心有限公司Task-driven natural scene-based traffic sign significance detection method
CN112926667A (en)*2021-03-052021-06-08中南民族大学Method and device for detecting saliency target of depth fusion edge and high-level feature
CN113298094A (en)*2021-06-102021-08-24安徽大学RGB-T significance target detection method based on modal association and double-perception decoder
CN113449667A (en)*2021-07-082021-09-28四川师范大学Salient object detection method based on global convolution and boundary refinement
CN113973209A (en)*2020-07-242022-01-25爱思开海力士有限公司Device for generating depth map
CN114549863A (en)*2022-04-272022-05-27西安电子科技大学 A saliency object detection method in light field based on pixel-level noise label supervision
CN114972260A (en)*2022-05-272022-08-30西安石油大学Welding defect detection image information layered fusion method
CN116402828A (en)*2023-06-092023-07-07江苏森标科技有限公司Battery piece defect detection method and system based on saliency map
CN119580279A (en)*2025-01-222025-03-07南京四维向量科技有限公司 Cable number identification system based on machine vision

Citations (6)

* Cited by examiner, † Cited by third party
Publication numberPriority datePublication dateAssigneeTitle
CN101944178A (en)*2010-09-272011-01-12山东大学Significant region extraction method for intelligent monitoring
CN102063258A (en)*2010-12-312011-05-18山东大学Self-adaptive display method for image on display terminals with different sizes
CN106296632A (en)*2015-05-252017-01-04中国海洋大学A kind of well-marked target detection method analyzed based on amplitude spectrum
CN108596243A (en)*2018-04-202018-09-28西安电子科技大学The eye movement for watching figure and condition random field attentively based on classification watches figure prediction technique attentively
CN108876788A (en)*2018-06-142018-11-23国网江苏省电力有限公司电力科学研究院Insulator conspicuousness detection method based on the fusion of multiple dimensioned reconstructed error
CN108898145A (en)*2018-06-152018-11-27西南交通大学A kind of image well-marked target detection method of combination deep learning

Patent Citations (6)

* Cited by examiner, † Cited by third party
Publication numberPriority datePublication dateAssigneeTitle
CN101944178A (en)*2010-09-272011-01-12山东大学Significant region extraction method for intelligent monitoring
CN102063258A (en)*2010-12-312011-05-18山东大学Self-adaptive display method for image on display terminals with different sizes
CN106296632A (en)*2015-05-252017-01-04中国海洋大学A kind of well-marked target detection method analyzed based on amplitude spectrum
CN108596243A (en)*2018-04-202018-09-28西安电子科技大学The eye movement for watching figure and condition random field attentively based on classification watches figure prediction technique attentively
CN108876788A (en)*2018-06-142018-11-23国网江苏省电力有限公司电力科学研究院Insulator conspicuousness detection method based on the fusion of multiple dimensioned reconstructed error
CN108898145A (en)*2018-06-152018-11-27西南交通大学A kind of image well-marked target detection method of combination deep learning

Non-Patent Citations (2)

* Cited by examiner, † Cited by third party
Title
LONG MAI ET AL.: "Saliency Aggregation: A Data-driven Approach", 《2013 IEEE CONFERENCE ON COMPUTER VISION AND PATTERN RECOGNITION》*
刘峰 等: "全局模型和局部优化的深度网络显著性检测", 《光学学报》*

Cited By (21)

* Cited by examiner, † Cited by third party
Publication numberPriority datePublication dateAssigneeTitle
CN111325710A (en)*2020-01-132020-06-23镇江优瞳智能科技有限公司RGB-D significance object detection method based on bilateral attention mechanism
CN111666954A (en)*2020-06-052020-09-15北京联合大学Method and system for extracting joint learning of salient region
CN113973209A (en)*2020-07-242022-01-25爱思开海力士有限公司Device for generating depth map
CN112287929A (en)*2020-10-222021-01-29北京理工大学Remote sensing image significance analysis method based on feature integration deep learning network
CN112381813A (en)*2020-11-252021-02-19华南理工大学Panorama visual saliency detection method based on graph convolution neural network
CN112381813B (en)*2020-11-252023-09-05华南理工大学 A visual saliency detection method for panoramic images based on graph convolutional neural network
CN112541912A (en)*2020-12-232021-03-23中国矿业大学Method and device for rapidly detecting saliency target in mine sudden disaster scene
CN112541912B (en)*2020-12-232024-03-12中国矿业大学 Rapid detection method and device for salient targets in mine sudden disaster scenarios
CN112597996A (en)*2020-12-282021-04-02山西云时代研发创新中心有限公司Task-driven natural scene-based traffic sign significance detection method
CN112597996B (en)*2020-12-282024-03-29山西云时代研发创新中心有限公司Method for detecting traffic sign significance in natural scene based on task driving
CN112926667A (en)*2021-03-052021-06-08中南民族大学Method and device for detecting saliency target of depth fusion edge and high-level feature
CN112926667B (en)*2021-03-052022-08-30中南民族大学Method and device for detecting saliency target of depth fusion edge and high-level feature
CN113298094A (en)*2021-06-102021-08-24安徽大学RGB-T significance target detection method based on modal association and double-perception decoder
CN113298094B (en)*2021-06-102022-11-04安徽大学 An RGB-T Salient Object Detection Method Based on Modality Correlation and Dual Perceptual Decoder
CN113449667A (en)*2021-07-082021-09-28四川师范大学Salient object detection method based on global convolution and boundary refinement
CN114549863A (en)*2022-04-272022-05-27西安电子科技大学 A saliency object detection method in light field based on pixel-level noise label supervision
CN114549863B (en)*2022-04-272022-07-22西安电子科技大学 A saliency object detection method in light field based on pixel-level noise label supervision
CN114972260A (en)*2022-05-272022-08-30西安石油大学Welding defect detection image information layered fusion method
CN116402828A (en)*2023-06-092023-07-07江苏森标科技有限公司Battery piece defect detection method and system based on saliency map
CN116402828B (en)*2023-06-092023-09-08江苏森标科技有限公司Battery piece defect detection method and system based on saliency map
CN119580279A (en)*2025-01-222025-03-07南京四维向量科技有限公司 Cable number identification system based on machine vision

Similar Documents

PublicationPublication DateTitle
CN110633708A (en)Deep network significance detection method based on global model and local optimization
CN109919108B (en) Fast Object Detection Method for Remote Sensing Image Based on Deep Hash Assisted Network
Xie et al.Multilevel cloud detection in remote sensing images based on deep learning
Mathur et al.Crosspooled FishNet: transfer learning based fish species classification model
CN111340738B (en) An image rain removal method based on multi-scale progressive fusion
WO2024021413A1 (en)Image segmentation method combining super-pixels and multi-scale hierarchical feature recognition
CN112348036A (en) Adaptive Object Detection Method Based on Lightweight Residual Learning and Deconvolution Cascade
CN111368896A (en) A classification method of hyperspectral remote sensing images based on dense residual 3D convolutional neural network
Liu et al.Remote sensing image change detection based on information transmission and attention mechanism
CN111598174A (en) Training method, image analysis method and system of image feature classification model
CN114283162B (en)Real scene image segmentation method based on contrast self-supervision learning
CN110443257B (en) A saliency detection method based on active learning
Zhou et al.Remote sensing scene classification based on rotation-invariant feature learning and joint decision making
CN113435254A (en)Sentinel second image-based farmland deep learning extraction method
CN109034035A (en)Pedestrian&#39;s recognition methods again based on conspicuousness detection and Fusion Features
Chen et al.Object-based multi-modal convolution neural networks for building extraction using panchromatic and multispectral imagery
Xiong et al.MSN: Modality separation networks for RGB-D scene recognition
Yang et al.Instance segmentation and classification method for plant leaf images based on ISC-MRCNN and APS-DCCNN
CN108596195A (en)A kind of scene recognition method based on sparse coding feature extraction
CN114998688A (en) A large field of view target detection method based on improved YOLOv4 algorithm
Wang et al.Image target recognition based on improved convolutional neural network
CN113011506A (en)Texture image classification method based on depth re-fractal spectrum network
Guo et al.River extraction method of remote sensing image based on edge feature fusion
Li et al.Evaluation the performance of fully convolutional networks for building extraction compared with shallow models
Guo et al.Haze image classification method based on alexnet network transfer model

Legal Events

DateCodeTitleDescription
PB01Publication
PB01Publication
SE01Entry into force of request for substantive examination
SE01Entry into force of request for substantive examination
WD01Invention patent application deemed withdrawn after publication

Application publication date:20191231

WD01Invention patent application deemed withdrawn after publication

[8]ページ先頭

©2009-2025 Movatter.jp