




技术领域technical field
本发明属于多智能体系统分布式优化控制方法应用技术领域,具体涉及一种给定预算值条件下无线传感网络保成本同步控制方法。The invention belongs to the application technical field of a distributed optimization control method for a multi-agent system, and in particular relates to a synchronous control method for guaranteed cost of a wireless sensor network under the condition of a given budget value.
背景技术Background technique
近年来,由于网络拥塞引起的网络性能的下降以及对于网络传输速度和传输性能的更高要求,无线传感器网络同步问题受到了广大研究者的关注。作为信息传输交流媒介,无线传感器网络通常包含有一个目的节点和许多资源节点,其中,资源节点在对环境信息进行收集后并将其传送到目的节点。在传输的过程中,资源节点将搜集到的信息直接或者间接的传送到目的节点,基于此结构,将该网络可设为领导者、跟随者结构。在此结构模型下,一对多的交流模式由于有限的带宽和存储空间容易导致网络拥塞的发生,因此在实际应用中,无线传感器节点的某些性能需要达到同步从而抑制网络拥塞的产生。In recent years, due to the decline of network performance caused by network congestion and the higher requirements for network transmission speed and transmission performance, the synchronization problem of wireless sensor networks has attracted the attention of many researchers. As an information transmission and exchange medium, a wireless sensor network usually includes a destination node and many resource nodes, wherein the resource nodes collect environmental information and transmit it to the destination node. In the process of transmission, the resource node will directly or indirectly transmit the collected information to the destination node. Based on this structure, the network can be set as a leader and follower structure. Under this structural model, the one-to-many communication mode is easy to cause network congestion due to limited bandwidth and storage space. Therefore, in practical applications, some performances of wireless sensor nodes need to be synchronized to suppress network congestion.
在实际的无线传感器网络中,通常网络节点配备一定的电池能量,由于室外空间的限制,更换电池存在一定的难度。因此,如何延长电池的寿命,实现能量消耗和同步管理性能的折中设计是一个重要的研究方向。目前已经有诸多研究如何优化能量消耗的文章。在这些研究中,不同的成本方程被建模成优化或者次优化问题。同时,这些控制策略通常只考虑了同步性能表现或者只考虑同步控制消耗,将两者都纳入评价范围的同步控制策略比较少见。另外,将有限的电池能量设定为有限能量预算值也是一个比较新的研究思路。In the actual wireless sensor network, usually the network node is equipped with a certain amount of battery energy. Due to the limitation of outdoor space, it is difficult to replace the battery. Therefore, how to prolong the battery life and achieve a compromise design between energy consumption and synchronization management performance is an important research direction. There have been many articles on how to optimize energy consumption. In these studies, different cost equations are modeled as optimization or suboptimization problems. At the same time, these control strategies usually only consider the synchronization performance or only the synchronization control consumption, and the synchronization control strategies that both are included in the evaluation scope are relatively rare. In addition, it is also a relatively new research idea to set the limited battery energy as the limited energy budget value.
现有的关于无线传感网络同步控制方法方面的研究,大多数基于线性矩阵不等式技术,通过利用MATLAB工具包中的可行性求解器,进行判断是否存在使得无线传感网实现网络同步的控制增益值的存在,当无线网节点数量过于强大时,会因为数据处理过于复杂而增加计算复杂度。此外,从目前已有的研究成果来看,存在诸多用于实现优化控制的方法,然而很少综合考虑同步性能优化和控制输入优化问题,即保成本同步控制问题。同时,由于存在着网络节点携带电池能量有限以及由于场地原因难于更换电池设备的现实问题,有限能量条件下的网络保成本同步控制问题亟待考虑。Most of the existing researches on synchronization control methods for wireless sensor networks are based on linear matrix inequality technology. By using the feasibility solver in the MATLAB toolkit, it is judged whether there is a control gain that enables wireless sensor networks to achieve network synchronization. The existence of the value, when the number of wireless network nodes is too powerful, will increase the computational complexity because the data processing is too complicated. In addition, according to the existing research results, there are many methods for realizing optimal control, however, the synchronization performance optimization and control input optimization problems are rarely considered comprehensively, that is, the guaranteed cost synchronization control problem. At the same time, due to the fact that the battery energy carried by network nodes is limited and it is difficult to replace battery equipment due to site reasons, the problem of synchronization control of network guarantee costs under the condition of limited energy needs to be considered urgently.
发明内容SUMMARY OF THE INVENTION
本发明的目的就在于为了解决上述问题而提供一种给定预算值条件下无线传感网络保成本同步控制方法,设计给定预算值条件下无线传感网络保成本同步控制协议,求解出网络保成本同步控制判据,最后设计出给定预算值条件下网络保成本同步控制方法。The purpose of the present invention is to provide a synchronous control method for guaranteed cost of wireless sensor network under the condition of given budget value in order to solve the above problem, to design the synchronous control protocol of guaranteed cost of wireless sensor network under the condition of given budget value, and to solve the network Based on the guaranteed cost synchronization control criterion, a network guaranteed cost synchronization control method under the given budget value is designed.
本发明通过以下技术方案来实现上述目的:The present invention realizes above-mentioned purpose through following technical scheme:
一种给定预算值条件下无线传感网络保成本同步控制方法,该方法基于的二阶同构无线传感器网络由一个领导者节点和N-1个跟随者节点组成的,其中第j个传感器的动力学模型可通过线性化建模方法描述如下:A guaranteed cost synchronization control method for wireless sensor networks under a given budget The kinetic model of can be described by a linearized modeling approach as follows:
其中,j∈{1,2,…,N},xj(t)是网络节点存储量,vj(t)是数据包传输速度,uj(t)是控制输入;Among them, j∈{1,2,…,N}, xj (t) is the storage capacity of the network node, vj (t) is the data packet transmission speed, and uj (t) is the control input;
该方法基于的无线传感器之间的相互作用关系由一个有向图G描述,其中传感器由第j个节点表示,节点之间的作用通道由边表示,边权重wij代表相互作用权重,将图G的拉普拉斯矩阵定义为L=[lji],其中ljj=∑i∈Njwji,lji=-wji,且j≠i;The interaction relationship between the wireless sensors on which the method is based is described by a directed graph G, in which the sensor is represented by the jth node, the action channel between the nodes is represented by an edge, and the edge weight wij represents the interaction weight. The Laplace matrix of G is defined as L=[lji ], where ljj =∑i∈Nj wji , lji =-wji , and j≠i;
该方法基于的控制理论的无线传感网络保成本同步控制协议表示如下:The guaranteed cost synchronization control protocol of wireless sensor network based on the control theory of this method is expressed as follows:
其中,in,
式中,η、γ1和γ2正定参数,Ju(t)为控制输入能量消耗函数,Jx(t)为同步性能优化函数,Nj为智能体j的邻居集;wij为网络节点之间相互作用权重,k1和k2是控制增益值;根据无线传感器网络系统(1)和控制协议(2),以及跟随者传感器节点和领导者传感器节点之间的状态差,得到系统状态差动力学模型如下:In the formula, η, γ1 and γ2 are positive definite parameters,Ju (t) is the control input energy consumption function, Jx (t) is the synchronization performance optimization function, Nj is the neighbor set of the agent j; wij is the network The interaction weight between nodes, k1 and k2 are the control gain values; according to the wireless sensor network system (1) and control protocol (2), and the state difference between the follower sensor node and the leader sensor node, the system is obtained The state difference dynamic model is as follows:
本发明进一步的改进在于,该方法具体包括如下实现步骤:A further improvement of the present invention is that the method specifically includes the following implementation steps:
步骤一、基于无线传感网络的结构特征建立领导者-跟随者模型;
步骤二、给定预算值条件下系统参数设定;
步骤三、求解控制增益数值;
步骤四、网络同步可行性判断,若可行,继续进行步骤五,若不可行,返回步骤二重新进行参数设定;Step 4: Judging the feasibility of network synchronization, if feasible, continue to step 5, if not, return to
步骤五、保成本值求解,网络同步控制相关参数设计完毕;
步骤六、给定预算值条件下保成本同步效果验证,将求得的k1和k2代入系统中,验证给定预算值条件下同步效果、保成本效果及给定预算值效果。Step 6: Verify the synchronization effect of guaranteed cost under the condition of a given budget value. Substitute the obtained k1 and k2 into the system to verify the synchronization effect, the effect of guaranteed cost and the effect of a given budget value under the condition of a given budget value.
本发明进一步的改进在于,在第一步中,基于无线传感网络的结构特征建立领导者-跟随者模型为无线传感器网络系统(1)。A further improvement of the present invention is that, in the first step, a leader-follower model is established based on the structural features of the wireless sensor network as the wireless sensor network system (1).
本发明进一步的改进在于,在第二步中,基于给定预算值条件下无线传感网络保成本同步控制协议(2),对系统参数设定。A further improvement of the present invention is that, in the second step, the system parameters are set based on the wireless sensor network guaranteed cost synchronization control protocol (2) under the condition of a given budget value.
本发明进一步的改进在于,可实现保成本同步的定义如下:A further improvement of the present invention is that the definition of the synchronization of guaranteed costs that can be realized is as follows:
对于给定的预算值如果对任意有界初始状态xj(0)和vj(0)(j=2,3,…,N),都存在k1和k2,使得limt→∞(xj(t)-x1(t))=0和limt→∞(vj(t)-v1(t))=0(j=2,3,…,N),那么称无线传感网络(1)在协议(2)的作用下实现了给定预算值条件下保成本同步。for a given budget value If for any bounded initial state xj (0) and vj (0) (j=2,3,...,N), k1 and k2 exist such that limt→∞ (xj (t)- x1 (t))=0 and limt→∞ (vj (t)-v1 (t))=0 (j=2,3,...,N), then the wireless sensor network (1) is said to be in Under the action of protocol (2), the guaranteed cost synchronization is realized under the condition of given budget value.
本发明进一步的改进在于,对于给定的η、γ1和γ2正定参数,如果存在k1和k2,那么无线传感网络(1)在协议(2)的作用下实现了保成本同步,在此情况下,保成本值满足:A further improvement of the present invention is that, for given positive definite parameters of η, γ1 and γ2 , if k1 and k2 exist, then the wireless sensor network (1) realizes guaranteed cost synchronization under the action of protocol (2). , in this case, the guaranteed cost value satisfies:
其中,in,
本发明进一步的改进在于,对于给定的η、γ1和γ2正定参数和如果存在k1和k2,那么无线传感网络(1)在协议(2)的作用下实现了给定预算值条件下保成本同步,在此情况下,保成本值满足:A further improvement of the present invention is that for given η, γ1 and γ2 positive definite parameters and If there are k1 and k2 , then the wireless sensor network (1) realizes the guaranteed cost synchronization under the condition of the given budget value under the action of the protocol (2). In this case, the guaranteed cost value satisfies:
其中,in,
本发明具有如下有益的技术效果:The present invention has following beneficial technical effect:
1、本发明求取了无线传感器网络同步控制增益的显示的解析解,即基于控制增益的值范围,通过选取控制增益可以使得无线传感器网络达到同步,该显示表达式有效解决了可能存在控制增益值不存在的问题,并且无需借助于线性矩阵不等式技术进行求解。1. The present invention obtains an analytical solution for the display of the synchronization control gain of the wireless sensor network, that is, based on the value range of the control gain, the wireless sensor network can be synchronized by selecting the control gain. value does not exist and can be solved without resorting to linear matrix inequality techniques.
2、本发明考虑了实际的无线传感器网络由于室外空间的限制,更换电池存在一定的难度,故将节点配备有限的电池能量考虑为有限的能量预算。从而实现能量消耗和同步管理性能的折中设计,并且有效延长无线传感器网络电池的使用寿命。2. The present invention considers that the actual wireless sensor network has a certain difficulty in replacing the battery due to the limitation of outdoor space, so the limited battery energy equipped with nodes is considered as a limited energy budget. Thus, the compromise design of energy consumption and synchronization management performance is realized, and the service life of the wireless sensor network battery is effectively extended.
附图说明Description of drawings
图1是无线传感网络保成本同步控制图形摘要;Figure 1 is a graphical summary of the guaranteed cost synchronization control of wireless sensor networks;
图2是无线传感网络保成本同步控制算法流程图;Fig. 2 is the flow chart of the wireless sensor network guaranteed cost synchronization control algorithm;
图3是无线传感网络通信拓扑图;Fig. 3 is a wireless sensor network communication topology diagram;
图4是无线传感网络节点存储量和传输速度状态差轨迹图;其中图4(a)是存储量状态差,图4(b)是传输速度状态差;Figure 4 is a trajectory diagram of the state difference between storage capacity and transmission speed of wireless sensor network nodes; Figure 4(a) is the state difference in storage capacity, and Figure 4(b) is the state difference in transmission speed;
图5是无线传感网络节点成本函数状态轨迹图。Figure 5 is the state trajectory diagram of the cost function of the wireless sensor network node.
具体实施方式Detailed ways
下面将结合本发明实施例中,对本发明实施例中的技术方案进行清楚、完整地描述,显然,所描述的实施例仅仅是本发明一部分实施例,而不是全部的实施例。基于本发明中的实施例,本领域普通技术人员在没有做出创造性劳动前提下所获得的所有其他实施例,都属于本发明保护的范围。The technical solutions in the embodiments of the present invention will be clearly and completely described below with reference to the embodiments of the present invention. Obviously, the described embodiments are only a part of the embodiments of the present invention, rather than all the embodiments. Based on the embodiments of the present invention, all other embodiments obtained by those of ordinary skill in the art without creative efforts shall fall within the protection scope of the present invention.
1、系统动力学模型和控制协议1. System dynamics model and control protocol
该方法基于的二阶同构无线传感器网络由一个领导者节点和N-1个跟随者节点组成的,其中第j(j∈{1,2,…,N})个传感器的动力学模型可通过线性化建模方法描述如下:The second-order isomorphic wireless sensor network based on this method consists of a leader node and N-1 follower nodes, where the dynamic model of the j(j∈{1,2,…,N})th sensor can be The linearization modeling method is described as follows:
其中,xj(t)是网络节点存储量,vj(t)是数据包传输速度,uj(t)是控制输入。wij为网络节点之间相互作用权重,k1和k2是控制增益值。Among them, xj (t) is the storage capacity of the network node, vj (t) is the data packet transmission speed, and uj (t) is the control input. wij is the interaction weight between network nodes, and k1 and k2 are the control gain values.
该方法基于的无线传感器之间的相互作用关系由一个有向图G描述,其中传感器由第j个节点表示,节点之间的作用通道由边表示,边权重wij代表相互作用权重,将图G的拉普拉斯矩阵定义为L=[lji],其中llji=-wji(j≠i).The interaction relationship between the wireless sensors on which the method is based is described by a directed graph G, in which the sensor is represented by the jth node, the action channel between the nodes is represented by an edge, and the edge weight wij represents the interaction weight. The Laplace matrix of G is defined as L=[lji ], where l lji =-wji (j≠i).
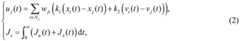
该方法基于的控制理论的无线传感网络保成本同步控制协议表示如下:The guaranteed cost synchronization control protocol of wireless sensor network based on the control theory of this method is expressed as follows:
其中,in,
式中,η、γ1和γ2正定参数,Ju(t)为控制输入能量消耗函数,Jx(t)为同步性能优化函数,Nj为智能体j的邻居集。Ju(t)为控制输入的一个二次型函数的时间积分,其描述了系统从实施控制到实现网络同步过程中的控制消耗能量函数;性能优化函数Jx(t)为节点状态差的一个二次型函数的时间积分,其描述了系统从开始到同步过程中,状态差二次型函数的一个累计值,也就是控制过程中控制性能的一个量化值,实现了网络同步过程中控制的性能优化。根据无线传感器网络系统(1)和控制协议(2),以及跟随者传感器节点和领导者传感器节点之间的状态差,可得到系统状态差动力学模型如下:In the formula, η, γ1 and γ2 are positive definite parameters,Ju (t) is the control input energy consumption function, Jx (t) is the synchronization performance optimization function, and Nj is the neighbor set of agent j. Ju (t) is the time integral of a quadratic function of the control input, which describes the control energy consumption function of the system from the implementation of control to the realization of network synchronization; the performance optimization function Jx (t ) is the node state difference. The time integral of a quadratic function, which describes a cumulative value of the quadratic function of the state difference from the start to the synchronization process of the system, that is, a quantified value of the control performance in the control process, realizes the control in the network synchronization process. performance optimization. According to the wireless sensor network system (1) and the control protocol (2), as well as the state difference between the follower sensor node and the leader sensor node, the dynamic model of the system state difference can be obtained as follows:
说明1:本发明构建的无线传感器网络控制协议有以下两个特征。第一点是区别于一般的利用传感器节点全局的状态信息,本协议利用无线传感器节点之间的部分状态差信息构建控制协议。第二点是本协议加入了同时包括实现网络同步过程中的控制消耗能量函数和控制过程中同步性能的量化值,在考虑到实际系统能量有限的前提下,实现二者的折中设计,从而优化无线传感器网络的能量优化。Description 1: The wireless sensor network control protocol constructed by the present invention has the following two characteristics. The first point is that, different from the general use of the global state information of sensor nodes, this protocol uses part of the state difference information between wireless sensor nodes to construct a control protocol. The second point is that this protocol includes both the control energy consumption function in the process of realizing network synchronization and the quantified value of synchronization performance in the control process. Considering the limited energy of the actual system, a compromise design between the two is realized, so that Optimizing energy optimization for wireless sensor networks.
2、无线传感器网络保成本同步控制算法2. Wireless sensor network guaranteed cost synchronization control algorithm
该方法包括如下步骤:The method includes the following steps:
步骤一、基于无线传感网络的结构特征建立领导者-跟随者模型;在第一步中,基于无线传感网络的结构特征建立领导者-跟随者模型为:Step 1: Establish a leader-follower model based on the structural characteristics of the wireless sensor network; in the first step, establish a leader-follower model based on the structural characteristics of the wireless sensor network as follows:
式中,j=1,2,…,N为无线传感网络节点,xj(t)是网络节点存储量,vj(t)是数据包传输速度,uj(t)是控制输入。In the formula, j=1,2,...,N is the wireless sensor network node, xj (t) is the storage capacity of the network node, vj (t) is the data packet transmission speed, and uj (t) is the control input.
步骤二、给定预算值条件下系统参数设定;在第二步中,协议(2)如下:
如图1和图2所示,给定预算值条件下无线传感网络保成本同步控制协议描述如下:As shown in Figure 1 and Figure 2, the guaranteed cost synchronization control protocol for wireless sensor networks under the given budget value is described as follows:
其中,in,
式中,η、γ1和γ2正定参数,Ju(t)为控制输入能量消耗函数,Jx(t)为同步性能优化函数,Nj为智能体j的邻居集。wij为网络节点之间相互作用权重,k1和k2是控制增益值。Ju(t)为控制输入的一个二次型函数的时间积分,其描述了系统从实施控制到实现网络同步过程中的控制消耗能量函数;性能优化函数Jx(t)为节点状态差的一个二次型函数的时间积分,其描述了系统从开始到同步过程中,状态差二次型函数的一个累计值,也就是控制过程中控制性能的一个量化值,实现了网络同步控制的性能优化。In the formula, η, γ1 and γ2 are positive definite parameters,Ju (t) is the control input energy consumption function, Jx (t) is the synchronization performance optimization function, and Nj is the neighbor set of agent j. wij is the interaction weight between network nodes, and k1 and k2 are the control gain values. Ju (t) is the time integral of a quadratic function of the control input, which describes the control energy consumption function of the system from the implementation of control to the realization of network synchronization; the performance optimization function Jx (t ) is the node state difference. The time integral of a quadratic function, which describes a cumulative value of the quadratic function of the state difference from the start to the synchronization process of the system, that is, a quantitative value of the control performance in the control process, realizes the performance of network synchronization control optimization.
步骤三、求解控制增益数值;
步骤四、网络同步可行性判断,若可行,继续进行步骤五,若不可行,返回步骤二重新进行参数设定;Step 4: Judging the feasibility of network synchronization, if feasible, continue to step 5, if not, return to
步骤五、保成本值求解,网络同步控制相关参数设计完毕;
步骤六、给定预算值条件下保成本同步效果验证,将求得的k1和k2代入系统中,验证给定预算值条件下同步效果、保成本效果及给定预算值效果。Step 6: Verify the synchronization effect of guaranteed cost under the condition of a given budget value. Substitute the obtained k1 and k2 into the system to verify the synchronization effect, the effect of guaranteed cost and the effect of a given budget value under the condition of a given budget value.
可实现保成本同步的定义如下:The definition of achievable guaranteed cost synchronization is as follows:
对于给定的预算值如果对任意有界初始状态xj(0)和vj(0)(j=2,3,…,N),都存在k1和k2,使得limt→∞(xj(t)-x1(t))=0和limt→∞(vj(t)-v1(t))=0(j=2,3,…,N),那么称无线传感网络(1)在协议(2)的作用下实现了给定预算值条件下保成本同步。for a given budget value If for any bounded initial state xj (0) and vj (0) (j=2,3,...,N), k1 and k2 exist such that limt→∞ (xj (t)- x1 (t))=0 and limt→∞ (vj (t)-v1 (t))=0 (j=2,3,...,N), then the wireless sensor network (1) is said to be in Under the action of protocol (2), the guaranteed cost synchronization is realized under the condition of given budget value.
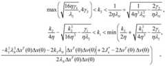
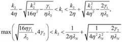
对于给定的η、γ1和γ2正定参数,如果存在k1和k2,那么无线传感网络(1)在协议(2)的作用下实现了保成本同步,在此情况下,保成本值满足For the given positive definite parameters of η, γ1 and γ2 , if k1 and k2 exist, then the wireless sensor network (1) achieves guaranteed-cost synchronization under the action of protocol (2). The cost value is satisfied
其中,in,
对于给定的η、γ1和γ2正定参数和如果存在k1和k2,那么无线传感网络(1)在协议(2)的作用下实现了给定预算值条件下保成本同步,在此情况下,保成本值满足For given η, γ1 and γ2 positive definite parameters and If there are k1 and k2 , then the wireless sensor network (1) realizes the guaranteed cost synchronization under the condition of the given budget value under the action of the protocol (2). In this case, the guaranteed cost value satisfies
其中,in,
说明2:本发明对于实现给定预算值条件下无线传感器网络的保成本同步控制,在求解控制增益的值范围过程中存在困难。控制增益之间存在耦合关系,因此针对此问题,本发现运用二次型函数不等式性质以及函数的单调特性,将控制增益进行解耦处理,分离两个控制增益K1和K2,并分别求出控制增益K1和K2的取值范围。此外,控制增益K1和K2的取值范围仅仅依赖于拉普拉斯矩阵的非零最小特征值和最大特征值。为了进一步降低计算复杂度,非零最小特征值和最大特征值可以根据现有文献提供的方法进行计算评估。因此没有必要算出所有的拓扑图特征值。从而降低计算复杂度。Description 2: The present invention has difficulties in solving the value range of the control gain for realizing the guaranteed cost synchronization control of the wireless sensor network under the condition of a given budget value. There is a coupling relationship between the control gains. Therefore, in order to solve this problem, we use the quadratic function inequality property and the monotonic characteristic of the function to decouple the control gains, separate the two control gains K1 and K2 , and find them respectively. out the value rangeof the control gains K1 andK2 . In addition, the value rangeof the control gains K1 and K2 only dependson the non-zero minimum and maximum eigenvalues of the Laplacian matrix. To further reduce the computational complexity, the non-zero minimum and maximum eigenvalues can be evaluated computationally according to the methods provided in the existing literature. Therefore, it is not necessary to calculate all the topological map eigenvalues. Thereby reducing the computational complexity.
说明3:本发明对于实现给定预算值条件下无线传感器网络的保成本同步控制采用的方法与一般线性矩阵不等式技术不同,即直接求解出了控制增益的可行解的值范围。线性矩阵不等式方法需要借助于MATLAB工具箱中FEASP求解器,从而容易出现存在无解的情况。针对该问题,本发明致力于求解出控制增益的可行解范围,根据控制增益解析解的范围,可以直接求出控制增益值实现无线传感器网络的保成本同步控制。Description 3: The method adopted by the present invention for realizing the guaranteed cost synchronization control of wireless sensor network under the condition of a given budget value is different from the general linear matrix inequality technology, that is, the value range of the feasible solution of the control gain is directly solved. The linear matrix inequality method requires the help of the FEASP solver in the MATLAB toolbox, so it is easy to have no solution. Aiming at this problem, the present invention is devoted to solving the feasible solution range of the control gain. According to the range of the analytical solution of the control gain, the control gain value can be directly obtained to realize the guaranteed cost synchronization control of the wireless sensor network.
下面对仿真实验进行介绍:The simulation experiment is introduced as follows:
在一个的由六个二维节点构成的无线传感器网络中,设节点1为领导者节点,其他五个节点为跟随者节点。其作用拓扑可描述为0-1权重有向图,如图3所示,六个传感器网络节点的初始状态信息可设置为:x1(0)=[4.0,2.1]T,x2(0)=[5.6,2.1]T,x3(0)=[3.1,1.2]T,x4(0)=[5.9,2.7]T,x5(0)=[4.7,0.9]T,x6(0)=[8.0,1.7]T。In a wireless sensor network composed of six two-dimensional nodes, set
对于成本方程的参数设置如下,η=0.08,γ1=0.3,γ2=0.2。根据定理2,可以求出控制增益K1和K2的取值范围:3.49<k1<6.12和1.19<k2<2.88。因而可以取k1=6和k2=1.2。The parameters for the cost equation are set as follows, η=0.08, γ1 =0.3, γ2 =0.2. According to
图4主要给出了无线传感器网络领导者与跟随者节点之间传输速度以及存储量状态差轨迹图。图5给出了线性二次型优化指标函数。从仿真结果来看,在给定预算值的前提下,无线传感器网络实现了保成本同步控制。Figure 4 mainly shows the trajectory diagram of the transmission speed and the state difference of the storage capacity between the leader and the follower node of the wireless sensor network. Figure 5 shows the linear quadratic optimization index function. From the simulation results, under the premise of a given budget value, the wireless sensor network realizes the guaranteed cost synchronization control.
| Application Number | Priority Date | Filing Date | Title |
|---|---|---|---|
| CN201910881760.0ACN110611927B (en) | 2019-09-18 | 2019-09-18 | Wireless sensor network guaranteed cost synchronous control method under given budget value condition |
| Application Number | Priority Date | Filing Date | Title |
|---|---|---|---|
| CN201910881760.0ACN110611927B (en) | 2019-09-18 | 2019-09-18 | Wireless sensor network guaranteed cost synchronous control method under given budget value condition |
| Publication Number | Publication Date |
|---|---|
| CN110611927A CN110611927A (en) | 2019-12-24 |
| CN110611927Btrue CN110611927B (en) | 2022-08-26 |
| Application Number | Title | Priority Date | Filing Date |
|---|---|---|---|
| CN201910881760.0AActiveCN110611927B (en) | 2019-09-18 | 2019-09-18 | Wireless sensor network guaranteed cost synchronous control method under given budget value condition |
| Country | Link |
|---|---|
| CN (1) | CN110611927B (en) |
| Publication number | Priority date | Publication date | Assignee | Title |
|---|---|---|---|---|
| WO2008141719A1 (en)* | 2007-05-21 | 2008-11-27 | University College Dublin, National University Of Ireland, Dublin | Energy-driven cluster aggregation point re-election in a wireless sensor network |
| CN106416201A (en)* | 2015-02-03 | 2017-02-15 | 谷歌公司 | Mesh network addressing |
| Publication number | Priority date | Publication date | Assignee | Title |
|---|---|---|---|---|
| US20130258904A1 (en)* | 2012-03-28 | 2013-10-03 | Cartasense Ltd. | Configurable wireless networks, systems and methods |
| Publication number | Priority date | Publication date | Assignee | Title |
|---|---|---|---|---|
| WO2008141719A1 (en)* | 2007-05-21 | 2008-11-27 | University College Dublin, National University Of Ireland, Dublin | Energy-driven cluster aggregation point re-election in a wireless sensor network |
| CN106416201A (en)* | 2015-02-03 | 2017-02-15 | 谷歌公司 | Mesh network addressing |
| Title |
|---|
| 传感器网络同步态的节点故障诊断算法;张颖等;《重庆大学学报》;20160815(第04期);全文* |
| 地面无人系统的多智能体协同控制研究综述;王荣浩等;《动力学与控制学报》;20160420(第02期);全文* |
| Publication number | Publication date |
|---|---|
| CN110611927A (en) | 2019-12-24 |
| Publication | Publication Date | Title |
|---|---|---|
| CN113542376A (en) | Task unloading method based on energy consumption and time delay weighting | |
| Chen et al. | Delay guaranteed energy-efficient computation offloading for industrial IoT in fog computing | |
| CN113033800B (en) | Distributed deep learning methods, devices, parameter servers and main working nodes | |
| CN115659803A (en) | Intelligent unloading method for computing tasks under unmanned aerial vehicle twin network mapping error condition | |
| CN106502097A (en) | A kind of distributed average tracking method based on time delay sliding formwork control | |
| CN113268083A (en) | Multi-unmanned aerial vehicle system formation tracking control method based on dynamic event triggering | |
| CN110677864B (en) | Energy constraint fuzzy c-mean clustering method based on wireless sensor network | |
| CN115022937A (en) | Topological feature extraction method and multi-edge cooperative scheduling method considering topological features | |
| CN105813161A (en) | Clustering routing method of micropower wireless sensor network based on energy difference | |
| CN110505080A (en) | Construction method of dynamic evolution model of command and control supernetwork based on hybrid structure | |
| CN113709883A (en) | Dynamic resource allocation method and device under multi-unmanned-aerial-vehicle-assisted industrial scene | |
| CN116088317A (en) | Multi-agent consistency control method based on dynamic event triggering | |
| CN116847425A (en) | Multi-resource route optimization method based on high-dimensional data joint optimization | |
| CN112612553B (en) | Edge computing task unloading method based on container technology | |
| Saxena et al. | An adaptive fuzzy-based clustering and bio-inspired energy efficient hierarchical routing protocol for wireless sensor networks | |
| CN110611927B (en) | Wireless sensor network guaranteed cost synchronous control method under given budget value condition | |
| CN118802734A (en) | A data dynamic fusion iterative training modeling and application method | |
| Wang et al. | Container Scaling Strategy Based on Reinforcement Learning | |
| CN115665189B (en) | A source-based data transmission method for edge-based control | |
| CN111865678A (en) | A Distributed Asynchronous Optimization Method Based on Continuous Convex Approximation | |
| CN117424813B (en) | Node expansion method for block chain | |
| Hao et al. | Research on Bandwidth Allocation in UAV Ad Hoc Networks Using GNN-DRL Algorithms | |
| CN115226130B (en) | Multi-UAV data offloading method and related equipment based on fairness perception | |
| CN110611617B (en) | DTN Routing Method Based on Node Difference and Activity | |
| Cheng et al. | Accelerate Multi-view Inference with End-edge Collaborative Computing |
| Date | Code | Title | Description |
|---|---|---|---|
| PB01 | Publication | ||
| PB01 | Publication | ||
| SE01 | Entry into force of request for substantive examination | ||
| SE01 | Entry into force of request for substantive examination | ||
| GR01 | Patent grant | ||
| GR01 | Patent grant |