Movatterモバイル変換


[0]ホーム

URL:


CN110610267B - Talent information processing method and device, computer storage medium and electronic equipment - Google Patents

Talent information processing method and device, computer storage medium and electronic equipment
Download PDF

Info

Publication number
CN110610267B
CN110610267BCN201910854006.8ACN201910854006ACN110610267BCN 110610267 BCN110610267 BCN 110610267BCN 201910854006 ACN201910854006 ACN 201910854006ACN 110610267 BCN110610267 BCN 110610267B
Authority
CN
China
Prior art keywords
talent
time
information
region
migration
Prior art date
Legal status (The legal status is an assumption and is not a legal conclusion. Google has not performed a legal analysis and makes no representation as to the accuracy of the status listed.)
Active
Application number
CN201910854006.8A
Other languages
Chinese (zh)
Other versions
CN110610267A (en
Inventor
胡洋吉
陈顺
张钧波
郑宇�
宋礼
Current Assignee (The listed assignees may be inaccurate. Google has not performed a legal analysis and makes no representation or warranty as to the accuracy of the list.)
Beijing Jingdong intelligent city big data research institute
Original Assignee
Beijing Jingdong Intelligent City Big Data Research Institute
Priority date (The priority date is an assumption and is not a legal conclusion. Google has not performed a legal analysis and makes no representation as to the accuracy of the date listed.)
Filing date
Publication date
Application filed by Beijing Jingdong Intelligent City Big Data Research InstitutefiledCriticalBeijing Jingdong Intelligent City Big Data Research Institute
Priority to CN201910854006.8ApriorityCriticalpatent/CN110610267B/en
Publication of CN110610267ApublicationCriticalpatent/CN110610267A/en
Application grantedgrantedCritical
Publication of CN110610267BpublicationCriticalpatent/CN110610267B/en
Activelegal-statusCriticalCurrent
Anticipated expirationlegal-statusCritical

Links

Images

Classifications

Landscapes

Abstract

The disclosure relates to the field of talent analysis and evaluation, and provides a talent information processing method, a talent information processing device, a computer storage medium and an electronic device, wherein the talent information processing method comprises the following steps: acquiring a region feature vector of a reference region at a first time, and acquiring a target region feature vector of a target region at the first time; determining a difference value between the region feature vector and the target region feature vector as a migration feature vector; determining the correlation between the talent transfer quantity and transfer factors according to the talent transfer quantity of the reference area at the first time, the transfer characteristic vector and a preset correlation coefficient calculation formula; and if the correlation is greater than a first preset threshold value, determining the migration characteristic vector as a target migration factor influencing talent migration. The processing method of the talent information in the disclosure can help talent introduction work to be pertinently developed, and provides basis for formulation of talent policies and improvement of talent environments.

Description

Talent information processing method and device, computer storage medium and electronic equipment
Technical Field
The present disclosure relates to the field of talent analysis and evaluation, and in particular, to a method and an apparatus for processing talent information, a computer storage medium, and an electronic device.
Background
Talent introduction is an important part of development strategies in China, and if accurate analysis of talent migration factors can be provided, the talent introduction can help governments and enterprises to introduce proper talents with lower cost and in shorter time, and the development of local industries is promoted.
At present, the flow of the processing method of the relevant talent information is generally as follows: firstly, collecting personal information, classifying talents by using labels preset in manual work or user data, and establishing a talent database; secondly, counting talents according to the category of the year, the region and the database to obtain information such as talent flow direction, talent flow quantity and the like, and issuing questionnaires to specific users; thirdly, combining the survey content of the survey questionnaire and the statistical result of the survey questionnaire to give a talent analysis report. Therefore, the method has strong dependence on manual analysis, high cost and long time consumption, and can not determine the migration factors influencing the migration of the human.
In view of the above, there is a need in the art to develop a new talent information processing method and apparatus.
It is to be noted that the information disclosed in the background section above is only used to enhance understanding of the background of the present disclosure.
Disclosure of Invention
The present disclosure is directed to a method for processing talent information, a device for processing talent information, a computer storage medium, and an electronic device, so as to avoid, at least to a certain extent, the defect that the method for processing talent information in the prior art cannot determine the migration factors that affect the migration of talents.
Additional features and advantages of the disclosure will be set forth in the detailed description which follows, or in part will be obvious from the description, or may be learned by practice of the disclosure.
According to a first aspect of the present disclosure, there is provided a method for processing talent information, including: obtaining a region feature vector of a reference region at a first time, and obtaining a target region feature vector of a target region at the first time; determining a difference value between the region feature vector and the target region feature vector as a migration feature vector; determining the correlation between the talent migration number and the migration factors according to the talent migration number of the reference region at the first time, the migration feature vector and a preset correlation coefficient calculation formula; and if the correlation is greater than a first preset threshold value, determining the migration characteristic vector as a target migration factor influencing talent migration.
In an exemplary embodiment of the present disclosure, the method further comprises: acquiring an estimated region feature vector of the reference region at a second time; determining the vector distance between the region characteristic vector and the pre-estimated region characteristic vector, and determining the time interval between the first time and the second time; determining similarity weights of the first time and the second time according to the vector distance and the time interval; and determining the predicted value of the talent transfer quantity of the reference region at the second time according to the talent transfer quantity of the reference region at the first time and the similarity weight.
In an exemplary embodiment of the present disclosure, the method further comprises: acquiring talent transfer information of the reference area at the first time; and determining a talent transfer information predicted value of the reference region at the second time according to the talent transfer information and the similarity weight.
In an exemplary embodiment of the present disclosure, the acquiring talent transfer information of the reference region at the first time includes: acquiring the number Xu of talents migrating from the reference region to the target region within a preset time period, wherein the value range of u is 0-N, and N is a positive integer; acquiring the ratio of the number Xu of talents to the total number of people in the reference area; and determining the vector formed by the ratio as talent transfer information of the reference region.
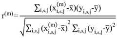
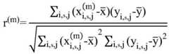
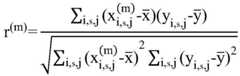
In an exemplary embodiment of the present disclosure, the determining a correlation between the number of talents migrated and the migration factor according to the number of talents migrated in the reference region at the first time, the migration feature vector, and a preset correlation coefficient calculation formula includes: determining a correlation of the number of talent migrations to the migration factor based on the following formula:
Figure BDA0002197760650000031
wherein r is(m)A correlation of the number of talent migrations to the migration factor; y isi,s,jA number of talent migrations for migrating from the reference territory i to the target territory s at the first time j; xi,s,jIs the migration characteristicThe vector of the vector is then calculated,
Figure BDA0002197760650000032
Figure BDA0002197760650000033
m is the migration feature vector Xi,s,jThe vector dimension of (a); fs,jThe target region feature vector for the target region s at the first time j; fi,jThe region feature vector for the reference region i at the first time j;
Figure BDA0002197760650000034
when i is any reference area, s is any target area, and j is any first time,
Figure BDA0002197760650000035
taking the average value of the corresponding values;
Figure BDA0002197760650000036
when i is any reference region, s is any target region, and j is any first time, Y isi,s,jCorresponding to the average value of the values.
In an exemplary embodiment of the disclosure, the determining a predicted value of the number of talent migrations of the reference region at the second time according to the number of talent migrations of the reference region at the first time and the similarity weight includes: determining the expected number of talent migrations value based on the following formula:
Figure BDA0002197760650000037
wherein, numi,jThe number of talent migrations of the reference area i at the first time j is obtained; wjFor the similarity weight, numi,tAnd predicting the number of the people moving in the second time t for the reference region i.
In an exemplary embodiment of the disclosure, the determining a predicted value of talent transfer information of the reference region at the second time according to the talent transfer information and the similarity weight includes: determining the talent migration information prediction value based on the following formula:
Figure BDA0002197760650000041
wherein, disti,jMigrating information for talents of the reference area i at a first time j; disti,tAnd predicting the talent transfer information of the reference area i at the second time t.
In an exemplary embodiment of the present disclosure, the method further comprises: performing word segmentation processing on the acquired written information of the talents to obtain word segmentation information; acquiring frequency information corresponding to the word segmentation information; and if the frequency information is greater than a second preset threshold value, marking the word segmentation information as a classification label of the talent.
In an exemplary embodiment of the present disclosure, the frequency information corresponding to the word segmentation information is determined based on the following formula:
Figure BDA0002197760650000042
wherein w is the word segmentation information, PiIs a set of the word segmentation information,
Figure BDA0002197760650000043
the frequency information corresponding to the word segmentation information w,
Figure BDA0002197760650000044
the word frequency, IDF, of occurrence of the word segmentation information wwAnd the word segmentation information w is the inverse text frequency index.
According to a second aspect of the present disclosure, there is provided an apparatus for processing talent information, comprising: the characteristic vector acquisition module is used for acquiring a region characteristic vector of a reference region at a first time and acquiring a target region characteristic vector of a target region at the first time; the first determining module is used for determining the difference value between the region feature vector and the target region feature vector as a migration feature vector; the factor analysis module is used for determining the correlation between the talent transfer quantity and the transfer factors according to the talent transfer quantity of the reference region at the first time, the transfer characteristic vector and a preset correlation coefficient calculation formula; and the second determining module is used for determining the migration feature vector as a target migration factor influencing talent migration if the correlation is greater than a first preset threshold.
According to a third aspect of the present disclosure, there is provided a computer storage medium having stored thereon a computer program which, when executed by a processor, implements the processing method of the human talent information described above in the first aspect.
According to a fourth aspect of the present disclosure, there is provided an electronic device comprising: a processor; and a memory for storing executable instructions of the processor; wherein the processor is configured to perform the processing method of talent information according to the first aspect described above via execution of the executable instructions.
As can be seen from the foregoing technical solutions, the method for processing talent information, the apparatus for processing talent information, the computer storage medium, and the electronic device in the exemplary embodiments of the present disclosure have at least the following advantages and positive effects:
in the technical solutions provided in some embodiments of the present disclosure, on one hand, a region feature vector of a reference region at a first time is obtained, a target region feature vector of a target region at the first time is obtained, and then, a difference value between the region feature vector and the target region feature vector is determined as a migration feature vector, so that environmental factors can be digitized, employment environment differences between the reference region and the target region in aspects of salary level, property price level, and the like are determined, and subsequent correlation analysis and calculation are facilitated. On the other hand, the correlation between the talent transfer number and the transfer factors is determined according to the talent transfer number of the reference area at the first time, the transfer characteristic vector and a preset correlation coefficient calculation formula, and if the correlation is larger than a first preset threshold, the transfer characteristic vector is determined as the target transfer factors influencing talent transfer. Therefore, the technical problem that a relevant prediction technology is lacked in the prior art can be solved, the prediction efficiency and the prediction accuracy are improved, relevant personnel can know the target migration factors influencing talent migration, the actual needs of the talents are really known, relevant problems in the talent introduction process are specifically solved, the attraction of enterprises to the talents is improved, and a basis is provided for formulation of relevant talent policies and improvement of talent environments. Furthermore, the system can help talent introduction work to be pertinently developed, and reduce talent introduction cost.
It is to be understood that both the foregoing general description and the following detailed description are exemplary and explanatory only and are not restrictive of the disclosure.
Drawings
The accompanying drawings, which are incorporated in and constitute a part of this specification, illustrate embodiments consistent with the present disclosure and together with the description, serve to explain the principles of the disclosure. It is to be understood that the drawings in the following description are merely exemplary of the disclosure, and that other drawings may be derived from those skilled in the art without the exercise of inventive faculty.
FIG. 1 shows a flow diagram of a method for processing talent information in an exemplary embodiment of the present disclosure;
FIG. 2 is a flow chart illustrating a method of processing talent information in another exemplary embodiment of the present disclosure;
FIG. 3 is a flow chart illustrating a method of processing talent information in yet another exemplary embodiment of the present disclosure;
FIG. 4 is a flow chart illustrating a method of processing talent information in yet another exemplary embodiment of the present disclosure;
FIG. 5 shows a flow diagram of a method for processing talent information in an exemplary embodiment of the present disclosure;
fig. 6 is an overall architecture diagram illustrating a processing method of talent information in still another exemplary embodiment of the present disclosure;
fig. 7 is a schematic configuration diagram of a talent information processing apparatus according to an exemplary embodiment of the present disclosure;
FIG. 8 shows a schematic diagram of a structure of a computer storage medium in an exemplary embodiment of the disclosure;
fig. 9 shows a schematic structural diagram of an electronic device in an exemplary embodiment of the present disclosure.
Detailed Description
Example embodiments will now be described more fully with reference to the accompanying drawings. Example embodiments may, however, be embodied in many different forms and should not be construed as limited to the examples set forth herein; rather, these embodiments are provided so that this disclosure will be thorough and complete, and will fully convey the concept of example embodiments to those skilled in the art. The described features, structures, or characteristics may be combined in any suitable manner in one or more embodiments. In the following description, numerous specific details are provided to give a thorough understanding of embodiments of the disclosure. One skilled in the relevant art will recognize, however, that the subject matter of the present disclosure can be practiced without one or more of the specific details, or with other methods, components, devices, steps, and the like. In other instances, well-known technical solutions have not been shown or described in detail to avoid obscuring aspects of the present disclosure.
The terms "a," "an," "the," and "said" are used in this specification to denote the presence of one or more elements/components/parts/etc.; the terms "comprising" and "having" are intended to be inclusive and mean that there may be additional elements/components/etc. other than the listed elements/components/etc.; the terms "first" and "second", etc. are used merely as labels, and are not limiting on the number of their objects.
Furthermore, the drawings are merely schematic illustrations of the present disclosure and are not necessarily drawn to scale. The same reference numerals in the drawings denote the same or similar parts, and a repetitive description thereof will be omitted. Some of the block diagrams shown in the figures are functional entities and do not necessarily correspond to physically or logically separate entities.
At present, the flow of the processing method of the relevant talent information is generally as follows: firstly, collecting personal information, classifying talents by using labels preset in manual work or user data, and establishing a talent database; secondly, counting talents according to the category of the year, the region and the database to obtain information such as talent flow direction, talent flow quantity and the like, and issuing questionnaires to specific users; thirdly, combining the survey content of the survey questionnaire and the statistical result of the survey questionnaire to give a talent analysis report. Therefore, on one hand, the method can not provide prediction for the future situation of talents only by analyzing the current situation, and on the other hand, the method has strong dependence on manual analysis, high cost and long time consumption, and can not determine the migration factors influencing talent migration. Therefore, there is a need in the art to develop a new talent information processing method and apparatus.
In the embodiment of the disclosure, firstly, a method for processing talent information is provided, which overcomes the defect that the processing method for talent information provided in the prior art cannot determine the migration factors that affect the migration of talents at least to some extent.
Fig. 1 is a flowchart illustrating a processing method of talent information according to an exemplary embodiment of the present disclosure, where an execution subject of the processing method of talent information may be a server that processes talent information.
Referring to fig. 1, a method of processing talent information according to one embodiment of the present disclosure includes the steps of:
step S110, obtaining a region feature vector of a reference region at a first time, and obtaining a target region feature vector of a target region at the first time;
step S120, determining the difference value between the region feature vector and the target region feature vector as a migration feature vector;
step S130, determining the correlation between the talent transfer quantity and the transfer factors according to the talent transfer quantity of the reference area at the first time, the transfer characteristic vector and a preset correlation coefficient calculation formula;
step S140, if the correlation is greater than a first preset threshold value, determining the migration characteristic vector as a target migration factor influencing talent migration.
In the technical solution provided in the embodiment shown in fig. 1, on one hand, a region feature vector of the reference region at the first time is obtained, a target region feature vector of the target region at the first time is obtained, and then, a difference value between the region feature vector and the target region feature vector is determined as a migration feature vector, so that environmental factors can be digitized, employment environment differences between the reference region and the target region in aspects of salary level, commodity price level, and the like are determined, and subsequent related analysis and calculation are facilitated. On the other hand, the correlation between the talent transfer number and the transfer factors is determined according to the talent transfer number of the reference area at the first time, the transfer feature vector and a preset correlation coefficient calculation formula, and if the correlation is larger than a first preset threshold, the transfer feature vector is determined as the target transfer factor influencing talent transfer. Therefore, the technical problem that a relevant prediction technology is lacked in the prior art can be solved, the prediction efficiency and the prediction accuracy are improved, relevant personnel can know target migration factors influencing talent migration, the actual needs of talents are really known, relevant problems in the talent introduction process are specifically solved, the attraction of enterprises to talents is improved, and a basis is provided for formulation of relevant talent policies and improvement of talent environments. Furthermore, the system can help talent introduction work to be pertinently developed, and reduce talent introduction cost.
The following describes the specific implementation of each step in fig. 1 in detail:
in step S110, a region feature vector of the reference region at a first time is acquired, and a target region feature vector of the target region at the first time is acquired.
In an exemplary embodiment of the present disclosure, a region feature vector of a reference region at a first time may be acquired, and a target region feature vector of a target region at the first time may be acquired.
In an exemplary embodiment of the present disclosure, the first time (denoted by j) may be a current annual time (e.g., 2019), or a past annual time (e.g., 2016, 2017, or 2018), etc.
In an exemplary embodiment of the present disclosure, the reference region (denoted by i) may be any region where talent information is acquired, for example: in any one of Beijing, Wen' an, Shanghai, Shenzhen, Guangzhou, Hangzhou and the like, the target region can be all regions except the reference region. Illustratively, when the reference region i is Beijing, the target region s may be Dian, Shanghai, Shenzhen, Guangzhou, Hangzhou. When the reference region i is xi' an, the target region s may be beijing, shanghai, shenzhen, guangzhou, or hangzhou. When the reference region i is Shanghai, the target region s can be Beijing, xi' an, Shenzhen, Guangzhou and Hangzhou. That is, each region may be a reference region or may be a target region at the same time.
In an exemplary embodiment of the present disclosure, the regional characteristic vector may be a vector composed of the above-mentioned average salary, average price level, average environmental pollution index, and other migration factors that may affect talent migration in the reference region at the first time. Illustratively, referring to the related explanation of the above steps, taking the reference region i as beijing and the first time j as 2018 as an example, when the average salary is 6000, the average price is 200 and the average environmental pollution index is 0.5, the above region feature vector F is used as the feature vector Fi,jCan be expressed as [6000,200,0.2]。
In the exemplary embodiment of the present disclosure, for example, with reference to the above-mentioned related explanations of steps, the obtained target region feature vector F iss,jMay be [8000,500,0.3 ]]。
In step S120, a difference between the region feature vector and the target region feature vector is determined as a migration feature vector.
In an exemplary embodiment of the present disclosure, after the region feature vector and the target region feature vector are obtained, a difference value between the region feature vector and the target region feature vector may be determined as a migration feature vector.
In the exemplary embodiment of the present disclosure, taking the case of talent migration from the reference region i (Beijing) to the target region s (Shenzhen) as an example, then the region feature vector Fi,jIs [6000,200,0.2 ]]Feature vector F of target areas,jIs [8000,500,0.3 ]]Then the feature vector is migrated
Figure BDA0002197760650000091
In step S130, the correlation between the talent transfer number and the transfer factor is determined according to the talent transfer number of the reference area at the first time, the transfer feature vector, and a preset correlation coefficient calculation formula.
In an exemplary embodiment of the present disclosure, after the migration feature vector is obtained, the migration feature vector and the number of talent migrations of a reference area at a first time may be input into a migration factor analysis, and a correlation between the number of talent migrations and the migration factor is determined according to an output of the migration factor analysis.
In an exemplary embodiment of the present disclosure, the number of talent migrations, that is, the number of talents migrated from the reference region to the target region at the first time, may be, for example, the number of talent migrations migrated from beijing to shenzhen in 2018, for example: 5000 people.
In an exemplary embodiment of the disclosure, the correlation coefficient calculation formula may be a Pearson calculation formula, and a Pearson correlation coefficient (Pearson correlation coefficient) may be used to measure a linear relationship between two data sets, where the specific calculation formula is:
Figure BDA0002197760650000101
wherein r is(m)For the correlation between the number of talents migrated and the migration factor, r(m)The larger the absolute value of (is closer to 1), the stronger the correlation; r is(m)The closer to 0, the weaker the correlation. m is the number of selected migration factors, i.e. as described aboveRegion feature vector Fi,jTarget area feature vector Fs,jAnd the migration feature vector XistFor example, referring to the above explanation, when the selected migration factors are average salary, average price level, and average environmental pollution index 3, then the value of m may be 0, 1, or 2. When the selected target factors are average salary, average price level and … … average environmental pollution index N dimensions, the value of m can be 0, 1, 2 … … N.
In an exemplary embodiment of the present disclosure, yi,s,jThe number of talent migrations from the reference region i to the target region s at a first time j; xi,s,jFor the above-mentioned migration feature vector,
Figure BDA0002197760650000102
Figure BDA0002197760650000103
Fs,ja target region feature vector of the target region s at a first time j; fi,jA region feature vector of the reference region i at a first time j;
Figure BDA0002197760650000104
it means that when i is any reference region, s is any target region, and j is any first time,
Figure BDA0002197760650000105
corresponding to the average value of all values;
Figure BDA0002197760650000106
when i is any reference region, s is any target region, and j is any first time (year), Y is expressedi,s,jCorresponding to the average value of the values.
In an exemplary embodiment of the present disclosure, when m is 0, the correlation between the average salary and the number of talent migrations may be determined based on the above formula. When m is 1, the groupThe correlation between the average price level and the number of talent migrations was determined using the above formula. When m is 2, the correlation between the average environmental pollution index and the number of talent migrations may be determined based on the above formula. Illustratively, when m is 0, reference may be made to the related explanation of step S120, illustratively, the above
Figure BDA0002197760650000107
Has a value of 2000, yi,s,jThe number of talent migrations is 5000; is obtained to
Figure BDA0002197760650000108
Is taken as 1500, obtain
Figure BDA0002197760650000109
The value of (d) is 6000. Further, the above parameters may be input into the above formula to determine the correlation between migration factors (average salaries) and the number of migrants. Similarly, when m takes 1, the correlation of the average price level with the number of talent migrations can be determined based on the above formula. Finally, a plurality of correlations between each migration factor and the number of the migratory persons are determined. Therefore, when the correlation value is larger, it can be said that the influence of the migration factor on the talent migration is larger.
In step S140, if the correlation is greater than a first preset threshold, the migration feature vector is determined as a target migration factor affecting the talent migration.
In an exemplary embodiment of the present disclosure, if the correlation is greater than a first preset threshold, a migration factor included in the migration feature vector may be determined as a target migration factor affecting the talent migration. For example, when the preset threshold is 0.5, the correlation between the talent migration number and the average salary is calculated to be 0.7, and it can be seen that 0.7 is greater than 0.5, the average salary can be determined as the target migration factor affecting the talent migration.
In the exemplary embodiment of the disclosure, the target migration factor influencing talent migration is determined based on the correlation coefficient calculation formula, so that on one hand, relevant personnel can know the subjective and objective migration factors of talent migration, and therefore can know the actual needs of talents practically, so as to solve the relevant problems in the talent introduction process in a targeted manner, improve the attraction of enterprises to talents, and provide a basis for the formulation of relevant talent policies and the improvement of talent environments. On the other hand, the system can help talent introduction work to be pertinently developed, and talent introduction cost is reduced.
In an exemplary embodiment of the present disclosure, the number of talent migrations in the reference area at the second time may also be predicted, specifically, with reference to fig. 2, fig. 2 schematically shows a flowchart of a processing method of talent information in an exemplary embodiment of the present disclosure, specifically shows a flowchart of predicting the number of talent migrations in the reference area, and a specific implementation is explained with reference to fig. 2 below.
In step S201, an estimated region feature vector of the reference region at the second time is obtained.
In an exemplary embodiment of the present disclosure, the second time may be a future time (e.g., 2020).
In an exemplary embodiment of the present disclosure, an estimated region feature vector of the reference region at the second time may be obtained.
In an exemplary embodiment of the present disclosure, the estimated region feature vector is a feature vector of the reference region (beijing) at the second time, and when the second time t is 2020, the estimated region feature vector of the 2020 may be determined according to the region feature vectors of 2017 and 2018, for example. Illustratively, the predicted average salary, the predicted average price level and the predicted average environmental pollution index in 2020 year can be predicted and determined according to the average salary, the average price level and the average environmental pollution index in 2017 and 2018 years, so as to determine the estimated regional feature vector in 2020 year, and exemplarily obtain the estimated regional feature vector F in 2020 yeari,tMay be [8000,300,0.6 ]]。
In step S202, a vector distance between the region feature vector and the estimated region feature vector is determined, and a time interval between the first time and the second time is determined.
In an exemplary embodiment of the present disclosure, a vector distance between the region feature vector and the pre-estimated region feature vector may be determined, and a time interval between the first time and the second time may be determined.
In the exemplary embodiment of the present disclosure, as can be seen by referring to the above-mentioned related explanation of step S110, the regional feature vector F of 2018i,jIs [6000,200,0.2 ]]Estimated regional characteristic vector F in 2020i,tIs [8000,300,0.6 ]]Then the above vector distance can be expressed as
Figure BDA0002197760650000121
The time interval may be represented by k-t-j-2020-2018-2.
In step S203, determining similarity weights of the first time and the second time according to the vector distance and the time interval.
In an exemplary embodiment of the disclosure, the similarity weight is a value that combines the vector distance and the event distance to measure the similarity between the first time j and the second time t (there are a plurality of values based on the first time, and thus the similarity weight corresponds to a plurality of values). Illustratively, the similarity weight WjThe calculation formula of (c) may be: wj=e-(t-j)+λsim(Fi,t,Fi,j) (ii) a Wherein sim (F)i,t,Fi,j) The vector distance is defined as k, the time interval is defined as k ═ t-j; e is a natural logarithm; λ is a constant, and represents the weight occupied by the vector distance, and is inversely proportional to the vector distance, i.e. when the vector distance is smaller, the region feature vector is represented to be more similar to the target region feature vector, and the value of λ is correspondingly larger. When the distance of the vector is larger, the similarity between the region feature vector and the target region feature vector is lower, and the corresponding numerical value of lambda is smaller.
In step S204, a predicted value of the number of talent transitions of the reference region at the second time is determined according to the number of talent transitions of the reference region at the first time and the similarity weight.
In an exemplary embodiment of the present disclosure, after the similarity weight is calculated, a predicted value of the number of talent migrations of the reference region at the second time may be determined according to the number of talent migrations of the reference region at the first time (5000 people) and the similarity weight Wj.
In an exemplary embodiment of the present disclosure, the talent transfer number and the similarity weight may be input into the following formula to determine the talent transfer number prediction value:
Figure BDA0002197760650000131
wherein, numi,jThe number of talent migrations of the reference area i at the first time j; wjFor the purposes of the similarity weights described above,
Figure BDA0002197760650000132
is the sum of a plurality of similarity weights, numi,tAnd predicting the number of talents migrated in the second time t for the reference area i. By predicting the talent transfer quantity of the reference area, the technical problems that only the current situation is analyzed, prediction of the situation of talents which does not come can not be provided, the dependence on manual analysis is strong, and the analysis range is limited in the prior art can be solved, the labor cost is reduced, and the prediction efficiency is improved.
In an exemplary embodiment of the present disclosure, the talent migration tendency of the reference region may also be predicted, specifically, refer to fig. 3, where fig. 3 schematically illustrates a flow diagram of a processing method of talent information in an exemplary embodiment of the present disclosure, and specifically illustrates a flow diagram of predicting talent migration tendency of the reference region, and a specific implementation manner is explained below with reference to fig. 3.
In step S301, talent transfer information of the reference area at the first time is acquired.
In an exemplary embodiment of the present disclosure, talent transfer information of the reference area at the first time may be acquired.
In an exemplary embodiment of the present disclosure, the talent migration information is information (distribution information) of a ratio of the number of migrations distributed in each area to the total number of migrations in the reference area after the talent migration. For example, referring to fig. 4, fig. 4 schematically shows a flowchart of a processing method of talent information in an exemplary embodiment of the present disclosure, and specifically shows a flowchart of obtaining talent migration information of the reference region at the first time, and the step S301 is explained below with reference to fig. 4.
In step S401, the number Xu of talents migrating from the reference area to the Du th area within a preset time period is obtained.
In an exemplary embodiment of the disclosure, for example, the number of talents migrated from the reference area beijing to the Du area within a preset time period may be obtained, where u has a value ranging from 0 to N, where N is a positive integer, and specifically, the value of u may be determined according to a specific situation of talent migration (if a talent migrates to N areas, u has a value of N). Illustratively, in the above-mentioned preset time period (within 2018), the number of talents migrated from beijing to D0 (siegan), the number of talents migrated from beijing to D1 (shanghai), the number of talents migrated from beijing to D48325 (shanghai), the number of talents migrated from beijing to D2 (shenzhen), the number of talents migrated from beijing to D3 (guangzhou), the number of talents migrated from beijing to D3 (guangzhou), and the number of talents migrated from beijing to D4 (chengdu), the number of talents, the number of X4, were 1000.
In step S402, a ratio of the number of talents Xu to the total number of persons in the reference area is obtained.
In an exemplary embodiment of the disclosure, after obtaining the number Xu of talents, a ratio of Xu to the total number of migratory people in the reference area may be obtained, and when the total number of migratory people is 5000 people, the ratio is obtained
Figure BDA0002197760650000141
Ratio of
Figure BDA0002197760650000142
Ratio of
Figure BDA0002197760650000143
Ratio of
Figure BDA0002197760650000144
Ratio of
Figure BDA0002197760650000145
In step S403, a vector composed of the ratios is determined as the talent transfer information of the reference region.
In an exemplary embodiment of the present disclosure, after determining a ratio of the number Xu of talents to the total number of migrations in the reference area, a vector composed of the ratio may be determined as the talent migration information in the reference area.
In an exemplary embodiment of the present disclosure, referring to the related explanation of the step S402, the ratio 1, the ratio 2, the ratio 3, the ratio 4, and the ratio 5 may be formed into a vector [0.4,0.1,0.1,0.2,0.2], and further, the vector may be determined as the talent transfer information of the reference region.
With continued reference to fig. 3, in step S302, a talent transfer information prediction value of the reference region at the second time is determined according to the talent transfer information and the similarity weight.
In an exemplary embodiment of the present disclosure, after acquiring the talent transfer information, a predicted talent transfer information value of the reference area at the second time may be determined according to the talent transfer information and the similarity weight.
In an exemplary embodiment of the present disclosure, specifically, the talent migration information prediction value may be determined based on the following formula:
Figure BDA0002197760650000146
wherein, disti,jInformation, W, of talent migration for said reference area i at a first time jjFor the purposes of the similarity weights described above,
Figure BDA0002197760650000151
is the sum of a plurality of similarity weights, disti,tAnd predicting the talent transfer information of the reference area i at the second time t. Similarity weight WjThe specific calculation method in (2) can refer to the related explanation of the step S302, and the disclosure is not repeated herein.
In the exemplary embodiment of the disclosure, by predicting the talent transfer information of the reference area i at the second time t, relevant personnel can know the transfer trend of talents in time, so as to adjust the relevant talent introduction policies in time, and help talent introduction work to be carried out in a targeted manner.
In an exemplary embodiment of the present disclosure, the written information of the talents may also be obtained, and the professional classification labels of the talents are labeled according to the written information, specifically, refer to fig. 5, and fig. 5 schematically show a flow diagram of a processing method of talent information in an exemplary embodiment of the present disclosure, specifically show a flow diagram of labeling the talents, and a specific implementation manner is explained below with reference to fig. 5.
In step S501, word segmentation processing is performed on the acquired literary work information to obtain word segmentation information.
In an exemplary embodiment of the present disclosure, the written information may be a talent-published paper, an owned patent and software copyright, and the like. For example, the word segmentation process may be performed on one or more of the title, abstract or text content of the written information to obtain word segmentation information.
In an exemplary embodiment of the present disclosure, for example, taking word segmentation processing on the subject of the written information as an example, when the subject of the written information of talents is "phenomenon of shallow talk artificial intelligence", the word segmentation information obtained after the word segmentation processing may be "phenomenon of shallow talk, artificial intelligence, and current situation".Furthermore, the bag of words P corresponding to talents can be constructed according to the analysis informationi(collection of word segmentation information). Therefore, word segmentation information corresponding to each talent can be obtained and a word bag corresponding to each talent can be constructed.
In step S502, frequency information corresponding to the word segmentation information is acquired.
In an exemplary embodiment of the present disclosure, after the analysis information is obtained, frequency information corresponding to the word segmentation information may be obtained. Illustratively, the TF-IDF frequency corresponding to each participle information may be calculated based on a TF-IDF algorithm (term frequency-inverse document frequency, a weighting technique for information retrieval and data mining).
In an exemplary embodiment of the present disclosure, specifically, the frequency information corresponding to the above participle information may be determined based on the following formula 1:
Figure BDA0002197760650000161
wherein w is the above-mentioned word segmentation information (for example, "artificial intelligence"), Pi is the above-mentioned set of word segmentation information,
Figure BDA0002197760650000162
indicating frequency information corresponding to the participle information w,
Figure BDA0002197760650000163
indicating the word frequency, IDF, of the occurrence of the participle information wwAn inverse text frequency index representing the participle information w.
In an exemplary embodiment of the present disclosure, the word frequency refers to a frequency of occurrence of each piece of word information in the word bag Pi. Taking the word frequency of the participle information w as an example for explanation,
Figure BDA0002197760650000164
count(w)in Piword bag P for indicating word segmentation information w in talent AiNumber of occurrences, | PiAnd | represents the total amount of participle information in the bag of words of talent a. Exemplary ofIf the number of times of the word segmentation information w appearing in the talent bag is 10, the bag P of talent AiIf the total number of the word segmentation information contained in the Chinese character is 100, count (w) in Pi=10,|Pi|=100,
Figure BDA0002197760650000165
In an exemplary embodiment of the present disclosure, the inverse text frequency index represents how many pockets of talent word segmentation information have appeared. Taking the example of calculating the inverse text frequency index of the word segmentation information w as an example,
Figure BDA0002197760650000166
where N is the total number of talents, the explanation is made with the total number of talents N being 5 (talents A, B, C, D, E) as an example. (w in P)i) Is there a And the ratio of 1 to 0 represents whether the word segmentation information w appears in the word bag corresponding to each person, if so, the value is 1, otherwise, the value is 0. Illustratively, when the total number of talents is 5, the participle information w appears in the pocket of talent A, B, C but not in the pocket of talent D, E, then the above is true
Figure BDA0002197760650000167
Further, the above
Figure BDA0002197760650000168
In an exemplary embodiment of the present disclosure, the word frequency is determined
Figure BDA0002197760650000169
And the above inverse text frequency index IDFwThereafter, frequency information (TF-IDF frequency) corresponding to the segmentation information may be determined according to the above formula 1. Specifically, the determined frequency information may be
Figure BDA00021977606500001610
In step S503, if the frequency information is greater than a second preset threshold, the word segmentation information is marked as a classification label of the talent.
In an exemplary embodiment of the present disclosure, after the frequency information is determined, if the frequency information is greater than a second preset threshold, the word segmentation information may be used as a classification label corresponding to the talent.
In an exemplary embodiment of the disclosure, for example, when the second preset threshold is 0.01, it may be determined that the frequency information is greater than the second preset threshold, and then, the participle information w (artificial intelligence) may be used as the classification label of the talent a. Therefore, the problem that in the prior art, the situation that people are inaccurately mastered in the talent professional field due to talent introduction according to the educational experience and the like which is subjectively filled by talents can be solved, relevant personnel can more accurately know the adequacy field and the adequacy technology of talents, and the pertinence of introduced talents is improved.
In an exemplary embodiment of the present disclosure, by way of example, referring to fig. 6, fig. 6 schematically shows an overall architecture diagram of a processing method of talent information in an exemplary embodiment of the present disclosure, which is explained below with reference to fig. 6.
In an exemplary embodiment of the present disclosure, in conjunction with fig. 6, the processing method of talent information in the present disclosure may crawltalent authoring information 601, number oftalent migrations 602, and region feature vector (composed of migration factors that may affect talent migration) 603. Further, on the one hand, thetalent writing information 601 may be participled to obtain participle information, and the talents may be professionally marked according to the frequency of the participle information (604) to determine the classification labels 605 of the talents. On the other hand, a KNN prediction model (a prediction model based on a KNN algorithm, namely a K nearest neighbor classification algorithm (KNN, K-nearest neighbor) can be constructed according to a preset correlation coefficient calculation formula, namely each sample can be represented by K neighbors closest to the sample, the KNN algorithm is suitable for a multi-classification problem, is suitable for classifying rare events, and has the advantages of simple model, easiness in understanding, easiness in implementation, no need of parameter estimation and no need of training), and the talent migration number is input into the (KNN)prediction model 606 to determine the talent migrationnumber prediction value 607 and the talent migrationinformation prediction value 608. Further,migration factor analysis 609 can be performed according to thetalent migration number 602 and theregion migration factor 603 to determine the correlation between the number of migrants and the migration factor (610).
The present disclosure also provides a talent information processing apparatus, and fig. 7 shows a schematic structural diagram of a talent information processing apparatus in an exemplary embodiment of the present disclosure; as shown in fig. 7, the talentinformation processing apparatus 700 may include a featurevector obtaining module 701, a first determiningmodule 702, afactor analyzing module 703, and a second determiningmodule 704. Wherein:
the featurevector obtaining module 701 is configured to obtain a region feature vector of a reference region at a first time, and obtain a target region feature vector of a target region at the first time.
In an exemplary embodiment of the disclosure, the feature vector obtaining module is configured to obtain a region feature vector of the reference region at a first time, and obtain a target region feature vector of the target region at the first time.
A first determiningmodule 702, configured to determine a difference value between the region feature vector and the target region feature vector as a migration feature vector.
In an exemplary embodiment of the disclosure, the first determining module is configured to determine a difference value between the region feature vector and the target region feature vector as a migration feature vector.
Afactor analysis module 703, configured to determine a correlation between the talent transfer number and the transfer factor according to the talent transfer number of the reference area at the first time, the transfer feature vector, and a preset correlation coefficient calculation formula.
In an exemplary embodiment of the present disclosure, the migration factor analysis module determines the correlation between the number of talent migrations and the migration factor based on the following formula:
Figure BDA0002197760650000181
wherein r is(m)The correlation between the number of talent migrations and migration factors; y isi,s,jThe number of talent migrations from the reference region i to the target region s at a first time j; xi,s,jIn order to migrate the feature vector, the feature vector is migrated,
Figure BDA0002197760650000182
Figure BDA0002197760650000183
m is a migration feature vector Xi,s,jA vector dimension of; fs,jA target region feature vector of the target region s at a first time j; fi,jA region feature vector of a reference region i at a first time j;
Figure BDA0002197760650000184
it means that when i is any reference region, s is any target region, and j is any first time,
Figure BDA0002197760650000185
average value of corresponding values;
Figure BDA0002197760650000186
when i is any reference region, s is any target region, and j is any first time, Y is expressedi,s,jCorresponding to the average value of the values.
A second determiningmodule 704, configured to determine the migration feature vector as a target migration factor that affects talent migration if the correlation is greater than a first preset threshold.
In an exemplary embodiment of the disclosure, the second determining module is configured to determine the migration feature vector as a target migration factor affecting talent migration if the correlation is greater than a first preset threshold.
In an exemplary embodiment of the disclosure, the second determining module is further configured to obtain an estimated region feature vector of the reference region at a second time; determining the vector distance between the region feature vector and the pre-estimated region feature vector, and determining the time interval between the first time and the second time; determining similarity weight of the first time and the second time according to the vector distance and the time distance; and determining the predicted value of the talent transfer quantity of the reference region at the second time according to the talent transfer quantity of the reference region at the first time and the similarity weight.
In an exemplary embodiment of the disclosure, the second determining module is further configured to obtain talent transfer information of the reference region at the first time; and determining the predicted value of the talent transfer information of the reference region at the second time according to the talent transfer information and the similarity weight.
In an exemplary embodiment of the disclosure, the second determining module is further configured to obtain the number Xu of talents migrated from the reference area to the target area within a preset time period, where a value range of u is from 0 to N, and N is a positive integer; acquiring the ratio of the number Xu of talents to the total number of people in the standard area; and determining the vector formed by the ratios as talent migration information of the reference region.
In an exemplary embodiment of the disclosure, the second determining module is configured to determine the talent transfer quantity predicted value based on the following formula:
Figure BDA0002197760650000191
wherein, numi,jThe number of talent migrations in the first time j for the reference area i; wjFor similarity weight, numi,tAnd predicting the number of talent migrations of the reference area i at the second time t.
In an exemplary embodiment of the present disclosure, the second determination module determines the talent migration information prediction value based on the following formula:
Figure BDA0002197760650000192
wherein, disti,jTalent transfer information for a reference area i at a first time j; disti,tAnd predicting the talent transfer information of the reference area i at the second time t.
In an exemplary embodiment of the present disclosure, the second determining module is further configured to perform word segmentation processing on the acquired literary work information to obtain word segmentation information; acquiring frequency information corresponding to word segmentation information; and if the frequency information is greater than a second preset threshold value, marking the word segmentation information as a classification label of talents.
In an exemplary embodiment of the disclosure, the second determining module is further configured to determine frequency information corresponding to the word segmentation information based on the following formula:
Figure BDA0002197760650000201
wherein w is the above word segmentation information, PiFor the set of word segmentation information described above,
Figure BDA0002197760650000202
is the frequency information corresponding to the word segmentation information w,
Figure BDA0002197760650000203
word frequency, IDF, for occurrence of word-segmented information wwIs the inverse text frequency index of the participle information w.
The specific details of each module in the device for processing talent information are already described in detail in the method for processing talent information, and therefore are not described herein again.
It should be noted that although in the above detailed description several modules or units of the device for action execution are mentioned, such a division is not mandatory. Indeed, the features and functionality of two or more modules or units described above may be embodied in one module or unit, according to embodiments of the present disclosure. Conversely, the features and functions of one module or unit described above may be further divided into embodiments by a plurality of modules or units.
Moreover, although the steps of the methods of the present disclosure are depicted in the drawings in a particular order, this does not require or imply that the steps must be performed in this particular order, or that all of the depicted steps must be performed, to achieve desirable results. Additionally or alternatively, certain steps may be omitted, multiple steps combined into one step execution, and/or one step broken down into multiple step executions, etc.
Through the above description of the embodiments, those skilled in the art will readily understand that the exemplary embodiments described herein may be implemented by software, or by software in combination with necessary hardware. Therefore, the technical solution according to the embodiments of the present disclosure may be embodied in the form of a software product, which may be stored in a non-volatile storage medium (which may be a CD-ROM, a usb disk, a removable hard disk, etc.) or on a network, and includes several instructions to enable a computing device (which may be a personal computer, a server, a mobile terminal, or a network device, etc.) to execute the method according to the embodiments of the present disclosure.
In an exemplary embodiment of the present disclosure, there is also provided a computer storage medium capable of implementing the above method. On which a program product capable of implementing the above-described method of the present specification is stored. In some possible embodiments, aspects of the present disclosure may also be implemented in the form of a program product comprising program code for causing a terminal device to perform the steps according to various exemplary embodiments of the present disclosure as described in the "exemplary methods" section above of this specification, when the program product is run on the terminal device.
Referring to fig. 8, aprogram product 800 for implementing the above method according to an embodiment of the present disclosure is described, which may employ a portable compact disc read only memory (CD-ROM) and include program code, and may be run on a terminal device, such as a personal computer. However, the program product of the present disclosure is not limited thereto, and in this document, a readable storage medium may be any tangible medium that can contain, or store a program for use by or in connection with an instruction execution system, apparatus, or device.
The program product may employ any combination of one or more readable media. The readable medium may be a readable signal medium or a readable storage medium. The readable storage medium may be, for example, but not limited to, an electronic, magnetic, optical, electromagnetic, infrared, or semiconductor system, apparatus, or device, or any combination of the foregoing. More specific examples (a non-exhaustive list) of the readable storage medium include: an electrical connection having one or more wires, a portable disk, a hard disk, a Random Access Memory (RAM), a read-only memory (ROM), an erasable programmable read-only memory (EPROM or flash memory), an optical fiber, a portable compact disc read-only memory (CD-ROM), an optical storage device, a magnetic storage device, or any suitable combination of the foregoing.
A computer readable signal medium may include a propagated data signal with readable program code embodied therein, for example, in baseband or as part of a carrier wave. Such a propagated data signal may take any of a variety of forms, including, but not limited to, electro-magnetic, optical, or any suitable combination thereof. A readable signal medium may also be any readable medium that is not a readable storage medium and that can communicate, propagate, or transport a program for use by or in connection with an instruction execution system, apparatus, or device.
Program code embodied on a readable medium may be transmitted using any appropriate medium, including but not limited to wireless, wireline, optical fiber cable, RF, etc., or any suitable combination of the foregoing.
Program code for carrying out operations for the present disclosure may be written in any combination of one or more programming languages, including an object oriented programming language such as Java, C + + or the like and conventional procedural programming languages, such as the "C" programming language or similar programming languages. The program code may execute entirely on the user's computing device, partly on the user's device, as a stand-alone software package, partly on the user's computing device and partly on a remote computing device, or entirely on the remote computing device or server. In the case of a remote computing device, the remote computing device may be connected to the user computing device through any of a variety of networks, including a Local Area Network (LAN) or a Wide Area Network (WAN), or may be connected to an external computing device (e.g., through the internet using an internet service provider).
In addition, in an exemplary embodiment of the present disclosure, an electronic device capable of implementing the above method is also provided.
As will be appreciated by one skilled in the art, aspects of the present disclosure may be embodied as a system, method or program product. Accordingly, various aspects of the present disclosure may be embodied in the form of: an entirely hardware embodiment, an entirely software embodiment (including firmware, microcode, etc.) or an embodiment combining hardware and software aspects that may all generally be referred to herein as a "circuit," module "or" system.
Anelectronic device 900 according to this embodiment of the disclosure is described below with reference to fig. 9. Theelectronic device 900 shown in fig. 9 is only an example and should not bring any limitations to the functionality or scope of use of the embodiments of the present disclosure.
As shown in fig. 9, theelectronic device 900 is embodied in the form of a general purpose computing device. Components ofelectronic device 900 may include, but are not limited to: the at least oneprocessing unit 910, the at least onememory unit 920, and abus 930 that couples various system components including thememory unit 920 and theprocessing unit 910.
Wherein the storage unit stores program code that can be executed by theprocessing unit 910 to cause theprocessing unit 910 to perform the steps according to various exemplary embodiments of the present disclosure described in the above section "exemplary method" of the present specification. For example, theprocessing unit 910 may perform the following as shown in fig. 1: step S110, obtaining a region feature vector of a reference region at a first time, and obtaining a target region feature vector of a target region at the first time; determining the difference value between the region feature vector and the target region feature vector as a migration feature vector; determining the correlation between the talent transfer quantity and the transfer factors according to the talent transfer quantity of the reference region at the first time, the transfer characteristic vector and a preset correlation coefficient calculation formula; and if the correlation is greater than a first preset threshold value, determining the migration characteristic vector as a target migration factor influencing talent migration.
Thestorage unit 920 may include a readable medium in the form of a volatile storage unit, such as a random access memory unit (RAM)9201 and/or acache memory unit 9202, and may further include a read only memory unit (ROM) 9203.
Storage unit 920 may also include a program/utility 9204 having a set (at least one) ofprogram modules 9205,such program modules 9205 including but not limited to: an operating system, one or more application programs, other program modules, and program data, each of which, or some combination thereof, may comprise an implementation of a network environment.
Bus 930 can be any of several types of bus structures including a memory unit bus or memory unit controller, a peripheral bus, an accelerated graphics port, a processing unit, or a local bus using any of a variety of bus architectures.
Theelectronic device 900 may also communicate with one or more external devices 1100 (e.g., keyboard, pointing device, bluetooth device, etc.), with one or more devices that enable a user to interact with theelectronic device 900, and/or with any devices (e.g., router, modem, etc.) that enable theelectronic device 900 to communicate with one or more other computing devices. Such communication may occur via input/output (I/O)interface 950. Also, theelectronic device 900 may communicate with one or more networks (e.g., a Local Area Network (LAN), a Wide Area Network (WAN) and/or a public network, such as the Internet) via thenetwork adapter 960. As shown, thenetwork adapter 960 communicates with the other modules of theelectronic device 900 via thebus 930. It should be appreciated that although not shown, other hardware and/or software modules may be used in conjunction with theelectronic device 900, including but not limited to: microcode, device drivers, redundant processing units, external disk drive arrays, RAID systems, tape drives, and data backup storage systems, among others.
Through the above description of the embodiments, those skilled in the art will readily understand that the exemplary embodiments described herein may be implemented by software, or by software in combination with necessary hardware. Therefore, the technical solution according to the embodiments of the present disclosure may be embodied in the form of a software product, which may be stored in a non-volatile storage medium (which may be a CD-ROM, a usb disk, a removable hard disk, etc.) or on a network, and includes several instructions to enable a computing device (which may be a personal computer, a server, a terminal device, or a network device, etc.) to execute the method according to the embodiments of the present disclosure.
Furthermore, the above-described figures are merely schematic illustrations of processes included in methods according to exemplary embodiments of the present disclosure, and are not intended to be limiting. It will be readily understood that the processes shown in the above figures are not intended to indicate or limit the chronological order of the processes. In addition, it is also readily understood that these processes may be performed synchronously or asynchronously, e.g., in multiple modules.
Other embodiments of the disclosure will be apparent to those skilled in the art from consideration of the specification and practice of the disclosure disclosed herein. This application is intended to cover any variations, uses, or adaptations of the disclosure following, in general, the principles of the disclosure and including such departures from the present disclosure as come within known or customary practice within the art to which the disclosure pertains. It is intended that the specification and examples be considered as exemplary only, with a true scope and spirit of the disclosure being indicated by the following claims.

Claims (8)

1. A talent information processing method, comprising:
acquiring a region feature vector of a reference region at a first time, and acquiring a target region feature vector of a target region at the first time;
determining the difference value between the region feature vector and the target region feature vector as a migration feature vector;
determining the correlation between the talent transfer quantity and transfer factors according to the talent transfer quantity of the reference region at the first time, the transfer characteristic vector and a preset correlation coefficient calculation formula; the migration factors comprise average salary, average price level and average environmental pollution index;
if the correlation is larger than a first preset threshold value, determining the migration characteristic vector as a target migration factor influencing talent migration;
acquiring an estimated region feature vector of the reference region at a second time; determining the vector distance between the region feature vector and the pre-estimated region feature vector, and determining the time interval between the first time and the second time; determining similarity weights of the first time and the second time according to the vector distance and the time interval; determining a talent transfer quantity predicted value of the reference region at the second time according to the talent transfer quantity of the reference region at the first time and the similarity weight;
acquiring the number Xu of talents transferred from the reference area to the target area within a preset time period, wherein the value range of u is 0-N, and N is a positive integer; acquiring the ratio of the number Xu of talents to the total number of people in the reference area; determining a vector formed by the ratio as talent transfer information of the reference region; the talent migration information is distribution information of the number of migrations distributed in each region accounting for the total number of migrations in the reference region after the talents are migrated; determining a talent transfer information predicted value of the reference region at the second time according to the talent transfer information and the similarity weight;
performing word segmentation processing on the acquired literary work information to obtain word segmentation information; acquiring frequency information corresponding to the word segmentation information; and if the frequency information is greater than a second preset threshold value, marking the word segmentation information as a classification label of the talent.
2. The method according to claim 1, wherein the determining the correlation between the number of talent migrations and the migration factor according to the number of talent migrations of the reference area at the first time, the migration feature vector and a preset correlation coefficient calculation formula comprises:
determining a correlation of the number of talent migrations to the migration factor based on the following formula:
Figure FDA0002981160610000021
wherein r is(m)A correlation of the number of talent migrations to the migration factor; y isi,s,jA number of talent migrations for migrating from the reference territory i to the target territory s at the first time j; xi,s,jFor the purpose of the migration feature vector,
Figure FDA0002981160610000022
Figure FDA0002981160610000023
m is the migration feature vector Xi,s,jThe vector dimension of (a); fs,jThe target region feature vector for the target region s at the first time j; fi,jThe region feature vector for the reference region i at the first time j;
Figure FDA0002981160610000024
when i is any reference area, s is any target area, and j is any first time,
Figure FDA0002981160610000025
average value of corresponding values;
Figure FDA0002981160610000026
when i is any reference region, s is any target region, and j is any first time, Y isi,s,jCorresponding to the average value of the values.
3. The method according to claim 1, wherein the determining the predicted value of the number of talent migrations of the reference region at the second time according to the number of talent migrations of the reference region at the first time and the similarity weight comprises:
determining the talent migration quantity predicted value based on the following formula:
Figure FDA0002981160610000027
wherein, numi,jThe number of talent migrations of the reference area i at the first time j is obtained; wjFor the similarity weight, numi,tAnd d, predicting the talent transfer quantity of the reference area i at the second time t, wherein k is a time interval.
4. The method of claim 1,
the determining the talent transfer information predicted value of the reference region at the second time according to the talent transfer information and the similarity weight comprises:
determining the talent migration information prediction value based on the following formula:
Figure FDA0002981160610000031
wherein, disti,jMigrating information for talents of the reference area i at a first time j; disti,tPredicting a talent transfer information prediction value of the reference area i at a second time t; wjIs the similarity weight; k is the time interval.
5. The method of claim 1, wherein the frequency information corresponding to the word segmentation information is determined based on the following formula:
Figure FDA0002981160610000032
wherein w is the word segmentation information, PiIs a set of the word segmentation information,
Figure FDA0002981160610000033
the frequency information corresponding to the word segmentation information w,
Figure FDA0002981160610000034
the word frequency, IDF, of occurrence of the word segmentation information wwAnd the word segmentation information w is the inverse text frequency index.
6. An apparatus for processing talent information, comprising:
the characteristic vector acquisition module is used for acquiring a region characteristic vector of a reference region at a first time and acquiring a target region characteristic vector of a target region at the first time;
the first determining module is used for determining the difference value between the region feature vector and the target region feature vector as a migration feature vector;
the factor analysis module is used for determining the correlation between the talent transfer quantity and transfer factors according to the talent transfer quantity of the reference region at the first time, the transfer characteristic vector and a preset correlation coefficient calculation formula; the migration factors comprise average salary, average price level and average environmental pollution index;
a second determining module, configured to determine the migration feature vector as a target migration factor that affects talent migration if the correlation is greater than a first preset threshold;
acquiring an estimated region feature vector of the reference region at a second time; determining the vector distance between the region feature vector and the pre-estimated region feature vector, and determining the time interval between the first time and the second time; determining similarity weights of the first time and the second time according to the vector distance and the time interval; determining a talent transfer quantity predicted value of the reference region at the second time according to the talent transfer quantity of the reference region at the first time and the similarity weight;
acquiring the number Xu of talents transferred from the reference area to the target area within a preset time period, wherein the value range of u is 0-N, and N is a positive integer; acquiring the ratio of the number Xu of talents to the total number of people in the reference area; determining a vector formed by the ratio as talent transfer information of the reference region; the talent migration information is distribution information of the number of migrations distributed in each region accounting for the total number of migrations in the reference region after the talents are migrated; determining a talent transfer information predicted value of the reference region at the second time according to the talent transfer information and the similarity weight;
performing word segmentation processing on the acquired literary work information to obtain word segmentation information; acquiring frequency information corresponding to the word segmentation information; and if the frequency information is greater than a second preset threshold value, marking the word segmentation information as a classification label of the talent.
7. A computer storage medium having a computer program stored thereon, wherein the computer program, when executed by a processor, implements the talent information processing method according to any one of claims 1 to 5.
8. An electronic device, comprising:
a processor; and
a memory for storing executable instructions of the processor;
wherein the processor is configured to execute the processing method of talent information according to any one of claims 1-5 via execution of the executable instructions.
CN201910854006.8A2019-09-102019-09-10Talent information processing method and device, computer storage medium and electronic equipmentActiveCN110610267B (en)

Priority Applications (1)

Application NumberPriority DateFiling DateTitle
CN201910854006.8ACN110610267B (en)2019-09-102019-09-10Talent information processing method and device, computer storage medium and electronic equipment

Applications Claiming Priority (1)

Application NumberPriority DateFiling DateTitle
CN201910854006.8ACN110610267B (en)2019-09-102019-09-10Talent information processing method and device, computer storage medium and electronic equipment

Publications (2)

Publication NumberPublication Date
CN110610267A CN110610267A (en)2019-12-24
CN110610267Btrue CN110610267B (en)2021-06-29

Family

ID=68891147

Family Applications (1)

Application NumberTitlePriority DateFiling Date
CN201910854006.8AActiveCN110610267B (en)2019-09-102019-09-10Talent information processing method and device, computer storage medium and electronic equipment

Country Status (1)

CountryLink
CN (1)CN110610267B (en)

Families Citing this family (2)

* Cited by examiner, † Cited by third party
Publication numberPriority datePublication dateAssigneeTitle
CN111241462B (en)*2020-01-202023-07-07北京正和恒基滨水生态环境治理股份有限公司 Method, device, storage medium and computer for calculating carrying capacity of bird habitat
CN113763099B (en)*2020-12-292024-07-16京东城市(北京)数字科技有限公司Data searching method, device, equipment and storage medium

Family Cites Families (8)

* Cited by examiner, † Cited by third party
Publication numberPriority datePublication dateAssigneeTitle
US7424438B2 (en)*2002-03-192008-09-09Marc VianelloApparatus and methods for providing career and employment services
CN102521989B (en)*2011-12-312014-03-12山西省交通规划勘察设计院Dynamic-data-driven highway-exit flow-quantity predicting method
CN105787619A (en)*2014-12-252016-07-20阿里巴巴集团控股有限公司Data processing method, data processing device, and data processing system
CN105959663B (en)*2016-05-242018-09-21厦门美图之家科技有限公司The successional optimized treatment method of video interframe signal, system and camera terminal
CN106251642B (en)*2016-09-182018-10-26北京航空航天大学A kind of public transport road chain speed calculation method based on real-time bus GPS data
CN106845842A (en)*2017-01-222017-06-13北京航空航天大学A kind of airport employe's error rate computational methods
CN108829676A (en)*2018-06-112018-11-16安徽引航科技有限公司Talent's professional ability appraisal procedure based on text analysis technique
CN110046174B (en)*2019-03-072020-01-31特斯联(北京)科技有限公司population migration analysis method and system based on big data

Also Published As

Publication numberPublication date
CN110610267A (en)2019-12-24

Similar Documents

PublicationPublication DateTitle
Srinivasan et al.Biases in AI systems
Jiang et al.Public-opinion sentiment analysis for large hydro projects
US11809505B2 (en)Method for pushing information, electronic device
GluckExploring the relationship between user satisfaction and relevance in information systems
RU2517368C2 (en)Method and apparatus for determining and evaluating significance of words
CN109558530A (en)User's portrait automatic generation method and system based on data processing
CN110019837B (en)User portrait generation method and device, computer equipment and readable medium
CN110310163A (en)A kind of accurate method, equipment and readable medium for formulating marketing strategy
CN106445988A (en)Intelligent big data processing method and system
CN113239173B (en)Question-answer data processing method and device, storage medium and electronic equipment
CN111210335A (en)User risk identification method and device and electronic equipment
JP7454630B2 (en) Training method and device for label recommendation model, label acquisition method and device
CN114297478B (en) Page recommendation method, device, equipment and storage medium
Kirsh et al.Splitting the web analytics atom: from page metrics and KPIs to sub-page metrics and KPIs
KR20190136337A (en)Social Media Contents Based Emotion Analysis Method, System and Computer-readable Medium
CN119646207B (en) Research direction recommendation method and related equipment based on student portraits
CN110610267B (en)Talent information processing method and device, computer storage medium and electronic equipment
CN117891939A (en)Text classification method combining particle swarm algorithm with CNN convolutional neural network
Han et al.Crowdsourcing human annotation on web page structure: Infrastructure design and behavior-based quality control
Gezici et al.Neural sentiment analysis of user reviews to predict user ratings
CN113688120B (en) Data warehouse quality detection method, device and electronic equipment
GutscheAutomatic weak signal detection and forecasting
CN114782224A (en) Method, device and electronic device for monitoring cheating in webpage assessment based on user characteristics
Barbosa et al.Using performance profiles for the analysis and design of benchmark experiments
CN113254761A (en)Intelligent early warning system and method for specific behavior information

Legal Events

DateCodeTitleDescription
PB01Publication
PB01Publication
SE01Entry into force of request for substantive examination
SE01Entry into force of request for substantive examination
TA01Transfer of patent application right

Effective date of registration:20200721

Address after:Room 806, 8 / F, Zhongguancun International Innovation Building, Haidian District, Beijing 100080

Applicant after:Beijing Jingdong intelligent city big data research institute

Address before:100086 No.76 Zhichun Road, Haidian District, Beijing, Building No.1, Building No.9, Floor 1-7-5

Applicant before:Jingdong City (Beijing) Digital Technology Co.,Ltd.

TA01Transfer of patent application right
GR01Patent grant
GR01Patent grant

[8]ページ先頭

©2009-2025 Movatter.jp