Movatterモバイル変換


[0]ホーム

URL:


CN110556852B - Distributed energy storage system based on SOC dynamic balance submodule retrieval and control method - Google Patents

Distributed energy storage system based on SOC dynamic balance submodule retrieval and control method
Download PDF

Info

Publication number
CN110556852B
CN110556852BCN201910930669.3ACN201910930669ACN110556852BCN 110556852 BCN110556852 BCN 110556852BCN 201910930669 ACN201910930669 ACN 201910930669ACN 110556852 BCN110556852 BCN 110556852B
Authority
CN
China
Prior art keywords
sub
module
energy storage
bridge arm
modules
Prior art date
Legal status (The legal status is an assumption and is not a legal conclusion. Google has not performed a legal analysis and makes no representation as to the accuracy of the status listed.)
Expired - Fee Related
Application number
CN201910930669.3A
Other languages
Chinese (zh)
Other versions
CN110556852A (en
Inventor
沈千翔
闫士杰
陈仁辉
段雯雯
Current Assignee (The listed assignees may be inaccurate. Google has not performed a legal analysis and makes no representation or warranty as to the accuracy of the list.)
Northeastern University China
Original Assignee
Northeastern University China
Priority date (The priority date is an assumption and is not a legal conclusion. Google has not performed a legal analysis and makes no representation as to the accuracy of the date listed.)
Filing date
Publication date
Application filed by Northeastern University ChinafiledCriticalNortheastern University China
Priority to CN201910930669.3ApriorityCriticalpatent/CN110556852B/en
Publication of CN110556852ApublicationCriticalpatent/CN110556852A/en
Application grantedgrantedCritical
Publication of CN110556852BpublicationCriticalpatent/CN110556852B/en
Expired - Fee Relatedlegal-statusCriticalCurrent
Anticipated expirationlegal-statusCritical

Links

Images

Classifications

Landscapes

Abstract

Translated fromChinese

本发明提供了基于SOC动态均衡子模块检索的分布式储能系统及控制方法,该系统包括储能控制系统和储能系统主电路。其储能控制系统中包含DC/DC变换器调制信号发生模块、MMC子模块复合检索系统、电压电流闭环控制系统、桥臂环流控制系统,可实现对连接于电网的分布式储能系统的充放电、储能单元的SOC均衡以及桥臂环流的控制。其中,MMC子模块复合检索系统包括最近电平逼近阶梯波发生器和SOC动态均衡自主优化组合控制器,在最近电平逼近调制法的基础上结合一种依据子模块电容电压进行一次检索、依据储能单元SOC进行二次检索的子模块复合检索投入选择控制策略,以实现储能子模块的一致性控制。

Figure 201910930669

The invention provides a distributed energy storage system and a control method based on SOC dynamic balance sub-module retrieval, the system includes an energy storage control system and a main circuit of the energy storage system. Its energy storage control system includes a DC/DC converter modulation signal generation module, an MMC sub-module composite retrieval system, a voltage and current closed-loop control system, and a bridge arm circulation control system, which can realize the charging of the distributed energy storage system connected to the power grid. Discharge, SOC balance of energy storage unit and control of bridge arm circulation. Among them, the MMC sub-module composite retrieval system includes the nearest level approximation ladder wave generator and the SOC dynamic balance self-optimization combined controller. On the basis of the nearest level approximation modulation method The sub-module compound retrieval input selection control strategy for the secondary retrieval of the energy storage unit SOC is used to realize the consistency control of the energy storage sub-modules.

Figure 201910930669

Description

Distributed energy storage system based on SOC dynamic balance submodule retrieval and control method
Technical Field
The invention relates to an energy storage system and a control method thereof, in particular to a comprehensive control system for performing SOC dynamic balance control on the energy storage system which realizes distributed energy storage through a modular multilevel converter.
Background
A distributed energy storage system based on a Modular Multilevel Converter (MMC) is a novel energy storage system which can be used for large-scale energy storage, and due to the inherent characteristics of the structure, the energy storage system can greatly increase the energy storage scale and greatly enhance the risk resistance of the energy storage system. And due to the characteristics of multiple modules, the distributed energy storage system has quite flexible controllability, so that the control system almost plays a decisive role in the aspects of performance, functions and the like. In recent years, as large computers and various novel control methods are developed rapidly, distributed energy storage systems are receiving more and more attention. At present, a distributed energy storage system is gradually applied to various fields of peak clipping and valley filling, power supply reliability and electric energy quality improvement, frequency modulation, network tide distribution optimization and the like.
The distributed energy storage system is different from a common centralized energy storage system, and the biggest difference is that a converter used by the distributed energy storage system is a multi-level converter which can be infinitely expanded. The modular multilevel converter has very high control freedom, which also leads to a more complex control method compared with the common converter, and as the number of modules increases, the control difficulty increases. Due to the development of distributed energy storage technology in recent years, various new control methods are developed, and the control theory system is also continuously perfected. Compared with the conventional energy storage system control, the control of the distributed energy storage system not only realizes the control of closed loop and energy flow, but also needs to ensure the balance among all the sub-modules. In order to ensure that the distributed energy storage system can be efficient and stable, the SOC balance of the energy storage sub-modules is particularly important. On the basis, the bridge arm circulation is controlled, so that the system loss is reduced, the distortion rate is reduced, and the high-quality work of the system is ensured. For the modular multilevel converter, a modulation method, a closed-loop control method, a circulation control method and an SOC balance strategy of a sub-module energy storage unit are described in documents respectively, the methods are numerous but are generally only controlled aiming at a single aspect, and a practical method for controlling the whole energy storage system is still lacked.
When the number of the sub-modules of the distributed energy storage system is large, the modulation of the modular multi-level converter by using the nearest level approximation method is reasonable, and the characteristics that the more the number of the modules is, the more the waveform is ideal are provided, and compared with other modulation methods, the modulation method is easier to understand and is convenient to implement. On the basis of the modulation method of the converter, system closed loop, energy storage unit charging and discharging control, submodule balance control and bridge arm circulation control are realized, and all parts are matched with each other to realize system coordination control.
Disclosure of Invention
Aiming at the defects in the prior art, the invention aims to design a distributed large-scale energy storage system based on SOC dynamic equalization submodule composite retrieval and provides a control method thereof to realize large-scale distributed energy storage control. The control system can realize the closed-loop stable operation of the converter, the control of the charging and discharging of the energy storage system, the SOC balance of the energy storage sub-modules and the loop current suppression of the bridge arms, and can enable the control of each part to be coordinated.
The distributed energy storage system consists of an energy storage control system and an energy storage system main circuit, the energy storage units are distributed in each submodule of the MMC, the front end of the submodule is a half-bridge type MMC unit, the rear end of the submodule is connected with the energy storage units through a bidirectional DC/DC converter, a submodule capacitor is connected in parallel between the front end and the rear end, the MMC is provided with three-phase bridge arms, each phase of the bridge arms is provided with 2N submodules, wherein, the sub-modules on the same bridge arm are connected in series through a half-bridge MMC unit, a bridge arm inductor is connected between the upper bridge arm and the lower bridge arm, and the output signal of the MMC sub-module composite retrieval system is transmitted to the grid electrodes of all IGBTs of an MMC bridge arm. The energy storage control system transmits direct-current side bridge arm voltage and alternating-current side three-phase current data collected in an energy storage system main circuit to a voltage and current closed-loop control system, a voltage reference signal obtained by superposing a signal output by the voltage and current closed-loop control system and a correction signal generated by a bridge arm circulating current control system is transmitted to an MMC sub-module composite retrieval system, a signal output by the MMC sub-module composite retrieval system is used as a switching tube trigger pulse to directly control the on-off of an IGBT in a half-bridge type MMC unit in each sub-module of an MMC, and a DC/DC converter modulation signal generation module directly generates a trigger signal to control a bidirectional DC/DC converter in the sub-module according to preset parameters.
The energy storage control system comprises a DC/DC converter modulation signal generation module, an MMC sub-module composite retrieval system, a voltage and current closed-loop control system and a bridge arm circulation control system, wherein the MMC sub-module composite retrieval system comprises a nearest level approximation step wave generator and an SOC dynamic balance autonomous optimization combined controller, the nearest level approximation step wave generator generates step waves according to voltage reference waves and determines the number of sub-modules to be put into the bridge arm at each moment according to the relative height of the current steps of the step waves, and the sub-module retrieval and input selection control system retrieves and selects the sub-modules to be put into the bridge arm at the moment according to the number of the sub-modules to be put into the bridge arm. In order to realize the control of the distributed energy storage system, firstly, the converter in the energy storage system is modulated in a matching way, when the DC/DC converter is controlled to work in a Buck mode, the MMC is in an inversion state, energy flows to the energy storage system from a power grid, and an energy storage battery is charged; when the DC/DC converter is controlled to work in a Boost mode, the MMC is in a rectification state, energy flows to a power grid from the energy storage system, and the energy storage battery discharges. The coordinated modulation of the converters is the fundamental stone of the control of the system, the output signals of which are applied directly to the individual switching tubes in each submodule. Due to the inherent characteristics of the MMC multi-module, a sub-module comprehensive selection control system which is formed by sub-module capacitor voltage sequencing and energy storage unit SOC sequencing is integrated in a modulation system of the MMC multi-module. The upper level of the system receives the step wave which is output by a nearest level approximation step wave generator and approximates to the reference wave, and respectively generates control signals of the input quantity of upper and lower bridge arm sub-modules at each moment; and the lower stage outputs trigger pulses of each switching tube in the MMC. The converter modulation system belongs to the keystone part of the control system and directly acts on each switch tube of the converter; above that is a voltage-current dual-loop control system. The system performs double-loop control by taking three-phase current at the alternating current side and direct-current bus voltage as feedback quantities, so that the bus voltage reaches a stable state and keeps constant. The closed-loop control system provides a stable control environment for a low-level system, and ensures the stability and reliability of the whole system. The circulation control system operates in parallel with the rest of the control system. The closed-loop control is carried out on alternating current frequency doubling components in the bridge arms, and the reference value of the bridge arm circulation is set to be 0 so as to inhibit the bridge arm circulation. The output bridge arm circulation control signal is used as a correction signal and is directly superposed into the three-phase reference voltage of the converter modulation system, so that the functions of optimizing the working efficiency of the energy storage system and reducing energy loss can be achieved. The specific contents of each module in the control system are as follows.
The bidirectional DC/DC converter in the submodule is a parallel-connection laminated bidirectional DC/DC converter, the structure of the bidirectional DC/DC converter consists of four SIC MOSFETs, four anti-parallel diodes and two inductors, the four SIC MOSFETs are connected in parallel in pairs to form two bridge arms, each SIC MOSFET is connected with a diode in parallel in a reverse direction, a line taking the energy storage unit as a starting end is divided into two paths, each path is connected with an inductor and then is respectively connected to the two bridge arms; the circuit structure forms a two-layer overlapped parallel bidirectional DC/DC converter, the current flowing out of the energy storage unit is divided into two paths, the current flowing through each SIC MOSFET is only half of the current flowing through a normal bidirectional DC/DC converter, and the ripple wave flowing through the energy storage battery can be reduced. The bidirectional DC/DC converter modulation signal generation module has two working modes: when the energy storage unit of the sub-module needs to be charged, the modulation signal generation module of the DC/DC converter controls the DC/DC converter to work in a Buck mode; when the energy storage unit of the sub-module needs to discharge, the modulation signal generation module of the DC/DC converter controls the DC/DC converter to work in a Boost mode, the two modes both have preset duty ratios, and the system needs to be manually switched during working.
The voltage and current closed-loop control system adopts a closed-loop control method of a voltage outer loop and a current inner loop, the voltage outer loop controls the voltage of a direct-current side bridge arm to keep constant, and the current inner loop controls the output or absorption power of the energy storage system. This voltage current control system passes through PI regulation, makes the input variable track the given quantity all the time, after given direct current voltage value, can guarantee that the total voltage of system direct current side is invariable, creates stable condition for MMC work.
And an input signal of the MMC sub-module composite retrieval optimized combination control system is a three-phase alternating current reference voltage. A three-phase alternating voltage reference wave obtained by superposing a signal output by the voltage and current closed-loop control system and a correction signal output by the bridge arm circulating current control system is used as an input signal of a nearest level approximation stepped wave generator, the nearest level approximation stepped wave generator takes the relative height of zero level of the stepped wave as 0, if 2N sub-modules are arranged in one bridge arm, the relative height of the maximum amplitude of the stepped wave corresponding to the upper bridge arm is taken as N, the relative heights of other steps are from 0, 1, 2, 3 to N, the number of the submodules to be input at a certain moment is determined by the relative height of the corresponding step wave at the moment and is used as the basis for selecting input after the submodules are sequenced, and the duration of a single step of the step wave is used as a refreshing period of the sequencing data of the submodules and used as a bridge arm containing 2N submodules, and the sequencing refreshing time is the period of the voltage reference wave divided by 2N.
The system adopts secondary composite retrieval, namely primary retrieval based on the capacitance and voltage of the sub-modules and secondary retrieval based on the SOC of the energy storage unit, and selects the sub-modules to be put into the same bridge arm at each moment through secondary retrieval to achieve dynamic SOC balance of the energy storage unit.
The control method of the distributed energy storage system based on SOC dynamic balance submodule retrieval comprises the following steps:
firstly, direct current side bridge arm voltage and alternating current side three-phase current data collected in a main circuit of a distributed energy storage system are transmitted to a voltage and current closed-loop control system, a voltage reference signal obtained by superposing a signal output by the voltage and current closed-loop control system and a correction signal generated by a bridge arm loop current control system is transmitted to a nearest level approximation stepped wave generator in an MMC sub-module composite retrieval system, and the nearest level approximation stepped wave generator generates stepped waves by approximating voltage reference waves;
secondly, after the SOC dynamic balance autonomous optimization combined controller receives the step wave signals generated in the first step, firstly, the working state of the system at the moment is judged, if the energy storage system is in a charging state, firstly, capacitor voltage values of bridge arm sub-modules measured at the moment are arranged in an ascending order, the sorted capacitor voltage values are corresponding to the bridge arm sub-modules within a certain error range through fuzzy comparison, a corresponding number of capacitor voltage values are selected in sequence according to the number of sub-modules to be put in at the moment, the sub-modules are retrieved according to the selected voltage values, all sub-modules retrieved within the certain error range are used as preferred sub-modules, and the number of the preferred sub-modules is larger than or equal to the number of the sub-modules to be put in by the bridge arm at the moment; secondly, performing ascending arrangement on the SOC values of the sub-module energy storage units of the optimal sub-modules obtained at the moment, selecting SOC values in corresponding quantity arrangement according to the number of sub-modules to be put into the sub-modules at the moment in a sequence mode, retrieving the sub-modules according to the selected SOC values within a certain error range, and after secondary retrieval, selecting the sub-modules with corresponding quantity from the sub-modules obtained by the secondary retrieval as the sub-modules to be finally selected to be put into through a quantity control module if the quantity of the sub-modules obtained by the retrieval is still larger than the number of the sub-modules to be put into the sub-modules at the moment, wherein the selection here does not set conditions; when the energy storage system is in a discharging state at a certain time, the sorting mode of the capacitor voltage is changed into descending order;
and thirdly, determining the input condition of the sub-module at the moment in the second step, outputting 2N paths of trigger signals by the phase bridge arm MMC sub-module composite retrieval system, wherein the trigger signals corresponding to the sub-modules determined to be in the input state are high level, the trigger signals corresponding to the sub-modules determined to be not in the input state are low level, each path of trigger signals are respectively transmitted to the trigger ends of two IGBTs of the half-bridge MMC in each corresponding sub-module, the upper pipe receives a forward signal, and the lower pipe receives a reverse signal.
Further, a correction signal obtained by multiplying the control signal output by the bridge arm circulating current control system by the weight is superposed on the control signal output by the voltage and current closed-loop control system, and a three-phase alternating voltage reference wave is obtained after superposition.
Further, the relative height of zero level of the step wave is taken as 0 by the nearest level approaching step wave generator, if 2N submodules are totally arranged in one bridge arm, the relative height of the maximum amplitude of the step wave corresponding to the upper bridge arm is taken as N, the relative heights of the rest steps are from 0, 1, 2 and 3 to N, the number of submodules to be input at a certain moment is determined by the relative height of the step wave corresponding to the certain moment, the submodules are used as the basis for selecting input after the submodules are sorted, the duration of a single step of the step wave is used as the refreshing period of the submodule sorting data, the bridge arm containing 2N submodules is used, and the sorting refreshing time is required to divide the voltage reference wave period by 2N.
And further, a fuzzy interval is set when the sub-modules are searched, the sub-modules which correspond to the capacitor voltage value or the energy storage unit SOC value within the range of the number of the sub-modules to be put into are used as the preferred sub-modules if the numerical difference is judged to be corresponding to the fuzzy interval, and the error range during the first search is larger than the error range during the second search.
Further, the MMC sub-module composite retrieval system mainly works in one of the following two states:
state (1): when the difference value of the capacitance and voltage of each submodule in the MMC bridge arm is large, the number of the optimized submodules selected by one-time retrieval is equal to the number of submodules to be put in at the moment, and the secondary retrieval is invalid, wherein the MMC submodule composite retrieval system mainly plays a role in balancing the capacitance and voltage values of the submodules in the MMC bridge arm under the condition;
state (2): when the difference value of the capacitance and voltage of each submodule in the MMC bridge arm is small, the number of the optimal submodules selected by one-time retrieval is close to the total number of the submodules in the bridge arm, and the secondary retrieval is invalid, wherein the comprehensive selection control system of the submodules mainly acts to adjust the SOC balance of the energy storage units of the submodules in the bridge arm;
when the difference value of the capacitance and voltage of each submodule in the MMC bridge arm is large, the number of the optimized submodules selected by one-time retrieval is equal to the number of submodules to be put in at the moment, and the secondary retrieval is invalid, wherein the MMC submodule composite retrieval system mainly plays a role in balancing the capacitance and voltage values of the submodules in the MMC bridge arm under the condition; when the difference value of the capacitance and voltage of each submodule in the MMC bridge arm is small, the number of the optimal submodules selected by one-time retrieval is close to the total number of the submodules in the bridge arm, and the secondary retrieval is invalid, the comprehensive selection control system of the submodules mainly plays a role in adjusting the SOC balance of the energy storage units of the submodules in the bridge arm under the condition that the secondary retrieval is invalid. The MMC sub-module composite retrieval system has a transition process between two working states, in the state (1), due to the effect of one-time retrieval, the capacitance voltage of each sub-module in a bridge arm gradually tends to be consistent after the system is started, the number of the selected optimal sub-modules in one-time retrieval is gradually larger than the number of the sub-modules which should be put into the system at present, the effect of the system on balancing the capacitance voltage value of the sub-modules in the bridge arm is gradually reduced, the effect of adjusting the SOC balance of the energy storage unit of the sub-modules in the bridge arm is gradually increased, and finally the system is transited to the state (2), and when the system is started and runs for a period of time; due to the self property of the circuit, the sub-module capacitor voltage tends to be consistent fast, the energy storage unit SOC is balanced slowly, and therefore the system is in a transient state when the sub-module capacitor voltage does not reach the consistency, primary retrieval plays a leading role, the system is in a steady state after the sub-module capacitor voltage reaches the consistency, and secondary retrieval plays a leading role. The output signal of the MMC sub-module composite retrieval system is composed of a series of narrow pulses, if 2N sub-modules exist in a bridge arm, the phase bridge arm MMC sub-module composite retrieval system outputs 2N paths of pulse signals, wherein the pulse signals of the N paths of an upper bridge arm and the N paths of a lower bridge arm are input to an enabling end of a switch tube in the bridge arm sub-module and directly serve as trigger pulses of the MMC switch tube. The switching tube of the sub-module selected by the MMC sub-module composite retrieval system is triggered to work in an access state, and the sub-module which is in the access state as well as other sub-modules are connected in series in a bridge arm; the sub-modules that are not selected will be in the cut-out state. The sub-modules comprehensively select the control system to control so that the sub-modules with low capacitance voltage and small energy storage unit SOC value are preferentially connected into the bridge arm when the energy storage system is charged; when the energy storage system discharges, the sub-modules with high capacitance voltage and large energy storage unit SOC value are connected into the bridge arm preferentially.
Each period of the step wave generated by the latest level approaching step wave generator has a certain time length, the amplitude of the step wave in the time length is kept unchanged, and the number of submodules to be input is also unchanged, so that the submodule retrieval input selection control system carries out retrieval in a certain period, and the SOC dynamic balance autonomous optimization combined controller works according to the following steps:
step (1): detecting the rising edge or the falling edge of an input step wave, and adding a delay with the time length of ts after the edge is triggered, wherein the delay time length is less than one fourth of the step time length of a single step wave;
step (2): after delaying, sequencing the detected sub-module capacitor voltage values;
and (3): selecting a corresponding number of capacitor voltage values according to the number of submodules to be put into corresponding to the time step in a sequencing order;
and (4): carrying out primary retrieval on the submodules according to the set error range and the selected capacitor voltage value, and selecting a preferred submodule;
and (5): sorting the energy storage unit SOC of the selected optimal sub-module in the step (4), and selecting SOC values of corresponding quantity according to the number of the sub-modules input at the moment;
and (6): carrying out secondary retrieval on the selected optimal sub-module in the step (4) according to the set error range and the selected SOC value of the energy storage unit;
and (7): and controlling the quantity of the submodules selected by the secondary retrieval, and if the quantity of the selected submodules is still larger than the quantity of the submodules to be put in at the moment, unconditionally selecting the submodules with the quantity to be put in.
And (8): putting the finally selected sub-module after two times of retrieval into a bridge arm;
it should be noted that the sorting in the above steps is in an ascending order when the system is in a charging state, and in a descending order when the system is in a discharging state.
And the control system performs coordinated control on the sub-modules of the upper bridge arm and the lower bridge arm in the same bridge arm, so that the input quantity of the sub-modules in the same bridge arm is unchanged at each moment and is equal to half of the total number of the sub-modules in one bridge arm. The input quantity of the upper and lower bridge arm sub-modules at each moment is consistent with the requirement that the recent level approaches to modulation, and the sub-modules are input at each moment and are selected by the sub-module comprehensive selection control system, so that normal modulation of the converter is met, and meanwhile, sub-module capacitance voltage balance and energy storage unit SOC balance are realized.
The method has the advantages that the system realizes the coordination control of the distributed energy storage system, compared with other control methods, the nearest level approximation modulation method used by the system is well adapted to the characteristic of large quantity of sub-modules of the distributed energy storage system, and meanwhile, the principle is simple and has strong practicability; in addition, the recent level approximation modulation method can be well adapted to the designed MMC sub-module composite retrieval system, step waves generated by recent level approximation modulation are input into the MMC sub-module composite retrieval system as input signals to serve as sub-module input quantity control signals, the sub-module input quantity serves as a basis, and the sub-module is subjected to composite retrieval according to the sub-module capacitance voltage and the sub-module energy storage unit SOC value, so that the sub-module can be input or cut off in real time according to an optimal scheme, the sub-module voltage dynamic balance and the energy storage unit SOC dynamic balance are realized by a simple and feasible method, a complex control algorithm is avoided, and the system is more convenient to understand, realize and maintain.
Drawings
Fig. 1 is a connection diagram of a main circuit and a control circuit of a three-bridge-arm n +1 level MMC distributed modular energy storage system according to an embodiment of the present invention;
fig. 2 is a connection diagram of an internal circuit of an energy storage submodule of a distributed energy storage system and a control circuit thereof according to an embodiment of the present invention;
FIG. 3 is a logic flow diagram of an energy storage control method according to an embodiment of the present invention;
FIG. 4 and FIG. 5 are respectively a reference voltage amplitude U according to an embodiment of thepresent inventionref1 and UrefWhen the voltage is equal to 0.6, the upper bridge arm of the closest level approaching step wave generator approaches the reference voltage modulates the step wave;
FIG. 6 is a diagram of DC side voltage waveforms of the energy storage system in accordance with an embodiment of the present invention;
FIG. 7 is a waveform of an output power of an energy storage system according to an embodiment of the invention;
FIG. 8 is an SOC curve of the energy storage unit of the upper bridge arm No. 1 sub-module of the phase bridge arm in the embodiment of the invention;
FIG. 9 is a diagram of waveforms of AC side voltages when switching the bridge arm modes of phase a according to the embodiment of the present invention;
FIG. 10 is a schematic block diagram of voltage current control according to an embodiment of the present invention;
FIG. 11 is a schematic block diagram of bridge arm loop current control in accordance with an embodiment of the present invention;
fig. 12 is a graph of output voltage waveforms of the energy storage unit when a common bidirectional DC/DC converter is used in the upper arm No. 1 sub-module of the phase arm according to the embodiment of the present invention;
fig. 13 is a graph of waveforms of output voltages of the energy storage unit when the parallel stacked bidirectional DC/DC converter is used in the upper arm No. 1 sub-module of the phase arm according to the embodiment of the present invention.
Detailed Description
The present invention is described in detail below with reference to specific embodiments, which will assist those skilled in the art in further understanding the present invention, and the accompanying drawings, but the present invention is not limited thereto in any way.
The invention relates to a distributed large-scale energy storage system based on SOC dynamic balance submodule composite retrieval and a control method thereof, and as shown in a figure 1, the invention is a connection diagram of a main circuit and a control circuit of a three-bridge-arm N +1 level MMC distributed modular energy storage system, wherein the main circuit is divided into three-phase bridge arms, each phase of the bridge arm is divided into an upper bridge arm and a lower bridge arm, the upper bridge arm and the lower bridge arm are respectively provided with N submodules, the upper bridge arm and the lower bridge arm are connected through bridge arm inductors, and the three-phase bridge arms can be connected with a power grid through; the control system mainly comprises a voltage and current control loop and an MMC submodule composite retrieval optimization combination control system, wherein the voltage and current control loop comprises voltage and current double closed loop control and bridge arm circulating current correction. A three-phase alternating current reference voltage signal generated by the voltage and current control loop is output to a nearest level approximation step wave generator in the MMC sub-module composite retrieval system, and the output step wave is transmitted to the sub-module retrieval input selection control system; the submodule retrieves the control signal outputted by the input selection control system and directly connects to each submodule of the three bridge arms as the trigger signal of the MMC switch tube. Fig. 2 is a connection diagram of an internal circuit and a control circuit of an energy storage submodule of a distributed energy storage system, where the submodule is a half-bridge MMC unit at the front end and is connected with the energy storage unit through a parallel stacked bidirectional DC/DC converter at the rear end. Because the half-bridge MMC unit is composed of two IGBTs, the DC/DC converter is composed of four SIC MOSFETs, four anti-parallel diodes and two inductors, the four SIC MOSFETs are connected in parallel in pairs to form two bridge arms, each SIC MOSFET is connected with one diode in parallel in a reverse direction, a line taking the energy storage unit as a starting end is divided into two paths, each path is connected with one inductor and then is respectively connected to the two bridge arms; the circuit structure forms a two-layer stacked parallel bidirectional DC/DC converter, the current flowing out of the energy storage unit is divided into two paths, the current flowing through each SIC MOSFET is only half of that of a normal bidirectional DC/DC converter, and the ripple waves flowing through the energy storage battery are reduced. A sub-module is provided with six switching tubes in total; between the front and back ends of the sub-module are parallel sub-module capacitors.
Fig. 3 is a logic flow diagram of an energy storage control method according to an embodiment, and the energy storage control system is known from the diagram, in which DC-side arm voltage and ac-side three-phase current data collected in a main circuit of a distributed energy storage system are transmitted to a voltage-current closed-loop control system, a voltage reference signal obtained by superimposing a signal output by the voltage-current closed-loop control system and a correction signal generated by a bridge arm loop current control system is transmitted to an MMC sub-module composite retrieval system, the signal output by the MMC sub-module composite retrieval system is used as a switching tube trigger pulse to directly control on/off of switching tubes of each sub-module of an MMC, and a DC/DC converter modulation signal generation module directly generates a trigger signal according to preset parameters to control a parallel stacked bidirectional DC/DC converter in the sub-module.
Based on the scheme provided in the summary of the invention, a three-phase 9-level (N ═ 8) embodiment is given below for explanation:
MMC modulation method
The nine-level MMC may output nine different levels at most. One phase of the bridge has 16 sub-modules, namely eight sub-modules of an upper bridge arm and eight sub-modules of a lower bridge arm. Eight submodules in one phase bridge arm are in the input state at each moment, and different levels can be output according to the difference of the number of the input submodules of the upper bridge arm and the lower bridge arm. The given value of the capacitor voltage in the MMC sub-module is set to
Figure BDA0002220196710000071
Because the virtual neutral point at the direct current side can be arranged on the voltage bisection point of the direct current bus voltage when the output is three-phase symmetrical sinusoidal voltage, the potential of the upper bridge arm public bus is Udc/2, the potential of the common bus of the lower bridge arm is-Udc2; the relationship between the input quantity and the output voltage of the submodules of the upper and lower bridge arms is as follows:
TABLE 1 output voltage and submodule input condition relation table
Figure BDA0002220196710000081
As can be seen from the data in the table, a total of nine different outputs can be output from the AC sideA level. The maximum value of the amplitude of the input reference wave of the MMC modulation pulse generator is set to be 1, in order to control the number of input sub-modules, the period of the reference wave is firstly kept unchanged through a proportional amplifier, and the amplitude is amplified by eight times in an equal proportion. If the nine levels of the nine-level MMC are set to "4, 3, 2, 1, 0, -1, -2, -3, -4", the implementation manner of approximating the instantaneous value of the reference wave by the latest level is as follows:
(a) when the reference wave is between-1 and-0.875, the output level is "-4";
(b) when the reference wave is between-0.875 and-0.625, the output level is "-3";
(c) when the reference wave is between-0.625 and-0.375, the output level is "-2";
(d) when the reference wave is between-0.375 and-0.125, the output level is "-1";
(e) when the reference wave is between-0.125 and 0.125, the output level is 0;
(f) when the reference wave is in [ 0.125-0.375 ], the output level is 1;
(g) when the reference wave is in [ 0.375-0.625 ], the output level is '2';
(h) when the reference wave is in the range of 0.625-0.875 ], the output level is 3;
(i) when the reference wave is in [ 0.875-1 ], the output level is "4".
The level number output by the MMC is determined by the number of sub-modules input by an upper bridge arm and a lower bridge arm; on the premise that selective input of the sub-modules is not considered, in a certain phase arm, the serial numbers of the eight sub-modules of the upper arm are respectively ' 1, 2, 3, 4, 5, 6, 7 and 8 ', the serial numbers of the eight sub-modules of the lower arm are respectively ' 9, 10, 11, 12, 13, 14, 15 and 16 ', 1 ' represents input, and ' 0 ' represents cut-off. The following drive signal truth table for the submodule can thus be obtained:
TABLE 2 truth table of driving signals for nearest level approximation modulation submodule
Figure BDA0002220196710000091
According to the relation, the input and the cut-off of each submodule can be controlled, and therefore the target waveform is output.
FIG. 4 shows the reference wave voltage amplitude UrefThe upper arm when 1 modulates the step wave. Because the amplitude of the reference wave reaches the maximum at the moment, the voltage value of the fitted step wave is 0-8, and eight steps are total. FIG. 5 shows the reference wave voltage amplitude UrefThe upper arm when 0.6 is obtained modulates the step wave. At this time, due to the decrease of the reference wave voltage amplitude, it can be seen that the MMC only outputs five levels of "-2", "-1", "0", "1", "2". And (3) outputting trigger pulses on the basis of step waves, wherein each rising edge and each falling edge of the step waves are the trigger time of the switching tube of the submodule, and the number of the added submodules changes once on each rising edge or each falling edge. When the voltage value of the step wave of the upper arm rises from 2 to 3, the upper arm changes from putting two submodules into three, the lower arm changes from putting six submodules into five, and the output level also changes from "2" to "1". And then, the alternating-current side voltage obtains a sine waveform after passing through a bridge arm filter reactance.
Control strategy of DC/DC converter and principle of controlling charging and discharging by changing working state of DC/DC converter
Because the MMC converter can operate in four quadrants, the charging and discharging control of the energy storage system can be effectively realized by reasonably matching the MMC converter with the DC/DC converter. As shown in fig. 2, four switching tubes of the DC/DC converter are S3, S4, S5 and S6, when the voltage of the MMC DC bus is controlled to be constant, the capacitance voltage of the submodules is also substantially constant because the number of the submodules put into one bridge arm at each moment in the normally operating MMC is constant. At this time, if the energy storage battery system needs to be charged, the DC/DC converter is operated in the Buck mode, the switching tubes S3 and S5 are simultaneously subjected to Buck chopper modulation, and the switching tubes S4 and S6 are always turned off. After the capacitor voltage is reduced through the Buck circuit by adjusting the duty ratio of the PWM wave, the voltage value is higher than the rated voltage output by the energy storage battery pack, the sub-module capacitor discharges to the energy storage battery pack, and the energy storage battery pack is in a charging state. At the moment, the sub-module capacitor starts to discharge from the reference voltage value, and the capacitor voltage is in a descending trend; in order to ensure that the voltage of the direct current bus is constant, the closed-loop control system enables the MMC to work in a rectification state, and the power grid outputs energy to the MMC. If the energy storage battery system is required to discharge to the power grid, the DC/DC converter is enabled to work in a Boost mode, the switching tubes S4 and S6 are subjected to Boost chopper modulation at the same time, and the switching tubes S3 and S5 are always turned off. After the output voltage of the energy storage battery pack is boosted through the Boost circuit by adjusting the duty ratio of the PWM wave, the voltage value of the output voltage is higher than the reference voltage of the sub-module capacitor, the energy storage battery pack discharges to the sub-module capacitor, and the energy storage battery pack is in a discharging state. At the moment, the sub-module capacitor starts to be charged from the reference voltage value, and the capacitor voltage is in a rising trend; in order to ensure that the voltage of the direct current bus is constant, the closed-loop control system enables the MMC to work in an inversion state, and the converter feeds energy back to the power grid. Therefore, after appropriate modulation parameters are set, the charging and discharging of the energy storage battery pack can be controlled only by changing the working state of the bidirectional DC/DC converter, namely, the DC/DC converter works in a Buck mode, a power grid charges an energy storage system, and an MMC performs rectification; and enabling the DC/DC converter to work in a Boost mode, enabling the energy storage system to feed back energy to the power grid, and enabling the MMC to work in an inversion mode.
3. Submodule capacitor voltage balance control method
In the starting process of the distributed energy storage system, because the input time values of the submodules are not equal, the charging of the capacitors of the submodules is different, and the difference value of the capacitor voltage is amplified continuously; the difference value of the capacitor voltage is larger after the voltage of the direct current bus reaches a stable value. In order to balance the capacitance and voltage values of each submodule in the same bridge arm, a certain selectivity is needed when the submodules are put into and cut out, and at the moment, the putting into and the cutting out of the submodules are controlled by using a submodule capacitance and voltage sequencing priority determination method. If the positive direction of the bridge arm current is the direction that the upper bridge arm points to the lower bridge arm, when the bridge arm current is positive, the sub-module capacitor is charged; and when the bridge arm current is negative, the sub-module capacitor discharges. The bridge arm is taken as an example: when the upper bridge arm current is detected to be positive, the voltage values of the upper bridge arm sub-module capacitors measured at the moment are arranged in an ascending order, the arranged voltage values correspond to the sub-module input priorities one by one, and the sub-module input priorities are sequentially reduced according to the arrangement order; the capacitor voltage value arranged in the first place corresponds to the submodule with the lowest capacitor voltage value, which has the highest input priority. Then, the first m voltage values in the capacitor voltage arrangement are extracted according to the number m of the submodules to be put in at the moment, then m submodules with the capacitor voltages closest to the extracted m voltage values are selected through fuzzy comparison, and then the m submodules are put in. When the bridge arm voltage is detected to be negative, the capacitor voltage values of the upper bridge arm sub-modules detected at the moment are arranged in a descending order, the control selection method is the same as the bridge arm current is positive, and the sub-module with the highest capacitor voltage is input with the highest priority. For the lower bridge arm, the control selection method is completely the same as that of the upper bridge arm, and the judgment basis is only changed into the current measurement value of the lower bridge arm. It should be noted that, because the sub-modules are selected by fuzzy comparison of voltage values, depending on the comparison accuracy, there may be cases where more than m sub-modules are selected at some time; at this point, a secondary rank selection system is required to further screen the sub-modules, as will be described in more detail below, ignoring this problem which can lead to failure of the selection system.
Because the reference voltage value of the MMC is changed all the time during closed-loop control, frequent charging and discharging can cause the capacitor voltage of each submodule to fluctuate continuously. If the input of the sub-modules is selected at each moment, the switching of the sub-modules is too frequent, and a large amount of unnecessary switching actions are generated. Therefore, the design provides a submodule capacitor voltage edge delay triggering sequencing strategy for a nearest level approximation method. By means of the characteristic that a reference wave generated by a recent level approximation method is a step wave, the method collects the voltage value of the sub-module capacitor only after the reference wave has a rising edge or a falling edge and a short time delay, and keeps the collected voltage value until the next trigger edge; a short delay is provided to prevent repeated edge glitches. The voltage edge delay triggering sorting strategy only specifies the time for reordering the capacitance voltages of the sub-modules, namely, the capacitance voltages of the sub-modules are sorted once at intervals of a certain time value to update the input priority of each sub-module, and the input quantity of the sub-modules has no influence, so that the MMC output level is not influenced, and the method belongs to a sub-module input priority coding method parallel to the switching of the sub-modules.
4. Submodule energy storage unit SOC balance and secondary retrieval system
The submodule SOC sorting and selecting input method is similar to the submodule capacitor voltage sorting and input priority determination method. After the SOC of the energy storage batteries is estimated, the SOC of the energy storage battery packs in each sub-module is sequenced; carrying out SOC ascending sequencing in a charging mode, and preferentially putting the submodules with lower SOC values to charge the battery packs; in the discharging mode, SOC descending order is carried out, sub-modules with higher SOC values are preferentially put in, and the put battery pack is discharged. The submodule retrieval input selection control system works according to the following steps:
step (1): detecting the rising edge or the falling edge of an input step wave, and adding a delay with the time length of ts after the edge is triggered, wherein the delay time length is less than one fourth of the step time length of a single step wave;
step (2): after delaying, respectively sequencing the detected capacitor voltages of 8 sub-modules of the upper and lower bridge arms in the same bridge arm;
and (3): selecting a corresponding number of capacitor voltage values according to the number of submodules to be put into corresponding to the time step in a sequencing order;
and (4): carrying out primary retrieval on the submodules according to the set error range and the selected capacitor voltage value, and selecting a preferred submodule;
and (5): sorting the energy storage unit SOC of the selected optimal sub-module in the step (4), and selecting SOC values of corresponding quantity according to the number of the sub-modules input at the moment;
and (6): carrying out secondary retrieval on the selected optimal sub-module in the step (4) according to the set error range and the selected SOC value of the energy storage unit;
and (7): and controlling the quantity of the submodules selected by the secondary retrieval, and if the quantity of the selected submodules is still larger than the quantity of the submodules to be put in at the moment, unconditionally selecting the submodules with the quantity to be put in.
And (8): putting the finally selected sub-module after two times of retrieval into a bridge arm;
5. voltage and current closed-loop control system
Assuming three-phase symmetry of the grid voltage, the three-phase ac voltage can be expressed as follows:
ua=Um cos(ωt)
Figure BDA0002220196710000111
Figure BDA0002220196710000121
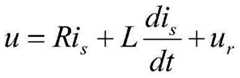
in the formula of UmAnd ω is the amplitude and phase angle of the phase voltage, respectively. Now let the resistance and inductance on the AC side be RsAnd LsThen the following equation can be obtained:
Figure BDA0002220196710000122
wherein u is [ u ]a,ub,uc]T,is=[isa,isb,isc]T,ur=[ura,urb,urc]T;urAnd outputting voltage for the MMC alternating current side. Now, coordinate conversion is performed on the above equation, and the d axis in the dq rotation coordinate system is made to coincide with the voltage vector, so that the equation can be changed into an equation in the following rotation coordinate system through Park transformation:
Figure BDA0002220196710000123
Figure BDA0002220196710000124
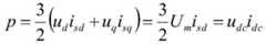
when the resistance loss of the alternating current side and the sub-module switching loss of the MMC are neglected, the following power balance equation of the alternating current side and the direct current side can be approximately obtained:
Figure BDA0002220196710000125
therefore, when the d axis is selected to coincide with the voltage vector, the active power p is only equal to isdAfter that, i will besdReferred to as active current; and the reactive power is equal to isqThis is referred to as reactive current. Thus, the DC side bus voltage udcThe active current control can be carried out, the voltage and current double closed-loop control of a given direct current bus voltage reference value is adopted in the design, and the active current reference value of a current inner ring can be obtained by adopting PI regulated direct current voltage outer ring control as long as the direct current bus reference value is given; after the current inner ring is controlled by an algorithm evolved based on formulas (3.3) and (3.4), the obtained dq axis voltage u of the MMC alternating current siderdAnd urqAnd performing inverse Park conversion to finally obtain the MMC three-phase modulation reference wave which can be directly used for MMC nearest level approximation modulation, and realizing closed loop of the system. The control schematic block diagram of the double closed-loop controller is shown in FIG. 10.
6. Loop control
The MMC bridge arm circulating current is formed by superposing direct current bridge arm circulating current and alternating current bridge arm circulating current; the direct current bridge arm circulation is related to direct current of the MMC sub-module, and external characteristics of an alternating current side are not influenced; the AC bridge arm circulating current is related to the characteristics of an AC side power grid. When the three phases of the alternating-current side power grid are not ideal symmetrical three-phase alternating currents, the alternating-current side currents of the MMC are not balanced any more. At the moment, three-phase power at the alternating current side is superposed into time-varying fluctuation quantity, and power oscillation is generated on the MMC converter. When the circulation control is not performed on the system, a large frequency doubling current and voltage fluctuation occur on the direct current side, and the fluctuation has different degrees of influence on the direct current side according to the size of the fluctuation.
DC current I of energy storage system of current submoduleeWhen the current is small, the main component of the bridge arm circulation of the MMC is alternating current double-frequency current, so that the bridge arm circulation of the MMC is restrainedCan be equivalent to suppressing double frequency current in the circulating current. If the difficulty in directly controlling the alternating current bridge arm loop current is high, the frequency-doubled alternating current can be converted into direct current through Park conversion and then controlled, and a logic block diagram of the controller is shown in fig. 11.
Fig. 6 is a voltage waveform diagram of a dc side of an energy storage system according to an embodiment of the present invention, where a set dc side reference voltage value is 4000V, and if the dc side voltage enters steady state after the system is started up after about 0.6s, the dc side voltage is stabilized at 4000V; the system carries out mode switching in 1.5s, the system is in a charging mode before mode switching, and is in a discharging mode after switching, and voltage waveform on a direct current side has small fluctuation during mode switching, and then the system quickly enters a stable state.
FIG. 7 is a waveform of output power of the energy storage system according to an embodiment of the present invention, where the energy storage system absorbs energy from the power grid and the output power is negative when the system is in the charging mode before the mode switching point; and after the switching point, the system is in a discharging mode, the energy storage system outputs energy to the power grid, and the output power is positive.
Fig. 8 is an SOC curve of the energy storage unit of the sub-module No. 1 of the upper bridge arm of the phase bridge arm in the embodiment of the present invention, where the discharge SOC of the energy storage system before the switching point is reduced; the system charge SOC increases after the switch point.
Fig. 9 shows waveforms of ac side voltages of a phase bridge arm according to an embodiment of the present invention, where the waveforms of the ac side voltages generate disturbance when the system switches the mode, and then the waveforms of the ac side voltages recover to the steady state.
The bidirectional DC/DC converter in the sub-module of the invention is a parallel-stacked bidirectional DC/DC converter as shown in FIG. 2, and the switching tube in the converter adopts SIC MOSFET. FIG. 12 is a diagram illustrating an output voltage waveform of an energy storage unit when a normal bidirectional DC/DC converter is used in a submodule according to an embodiment; fig. 13 shows that the DC/DC converter is replaced by a parallel stacked bidirectional DC/DC converter, so that the output voltage ripple of the energy storage unit is reduced and a higher switching frequency can be satisfied after the parallel stacked bidirectional DC/DC converter is used.
The above is a description of a specific embodiment of the present invention, and it should be noted that the present invention is not limited in any way, but is only illustrated and referred to.

Claims (6)

Translated fromChinese
1.一种基于子模块复合检索的分布式储能系统控制方法,其特征在于,该分布式储能系统由储能控制系统和储能系统主电路两部分组成,所述的储能控制系统包括DC/DC变换器调制信号发生模块、MMC子模块复合检索系统、电压电流闭环控制系统、桥臂环流控制系统;所述的储能系统主电路有三相桥臂,每相桥臂中有2N个子模块,N为正整数,其中上桥臂N个子模块、下桥臂N个子模块,同一桥臂上子模块内的半桥式MMC单元串联连接,上下桥臂之间接有桥臂电感;MMC的各个子模块中皆分布储能单元,子模块前端为半桥式MMC单元,后端通过双向DC/DC变换器与储能单元相连,前后端之间是并联的子模块电容器;其中DC/DC变换器调制信号发生模块根据预设参数直接产生输出信号输送到各个子模块中的双向DC/DC变换器的四个MOS管的栅极;储能系统主电路中采集到的直流侧桥臂电压和交流侧三相电流数据输送给电压电流闭环控制系统,电压电流闭环控制系统输出的信号与桥臂环流控制系统产生的修正信号叠加后得到的电压参考信号传递给MMC子模块复合检索系统,MMC子模块复合检索系统输出的信号作为开关管触发脉冲直接控制各个子模块中半桥式MMC单元中IGBT的通断;1. a distributed energy storage system control method based on sub-module composite retrieval, is characterized in that, this distributed energy storage system is made up of two parts of energy storage control system and energy storage system main circuit, described energy storage control system Including DC/DC converter modulation signal generation module, MMC sub-module composite retrieval system, voltage and current closed-loop control system, bridge arm circulation control system; the main circuit of the energy storage system has three-phase bridge arms, and each phase bridge arm has 2N A number of submodules, N is a positive integer, among which there are N submodules in the upper bridge arm and N submodules in the lower bridge arm. The half-bridge MMC units in the upper submodules of the same bridge arm are connected in series, and a bridge arm inductance is connected between the upper and lower bridge arms; MMC The energy storage units are distributed in each sub-module, the front end of the sub-module is a half-bridge MMC unit, the rear end is connected to the energy storage unit through a bidirectional DC/DC converter, and the sub-module capacitors are connected in parallel between the front and rear ends; The DC converter modulation signal generation module directly generates the output signal according to the preset parameters and sends it to the gates of the four MOS tubes of the bidirectional DC/DC converter in each sub-module; the DC side bridge arm collected in the main circuit of the energy storage system The voltage and three-phase current data on the AC side are sent to the voltage and current closed-loop control system, and the voltage reference signal obtained by superimposing the signal output by the voltage and current closed-loop control system and the correction signal generated by the bridge arm circulation control system is transmitted to the MMC sub-module composite retrieval system. The signal output by the composite retrieval system of the MMC sub-module is used as the trigger pulse of the switch tube to directly control the on-off of the IGBT in the half-bridge MMC unit in each sub-module;所述的MMC子模块复合检索系统,包括最近电平逼近阶梯波发生器和SOC动态均衡自主优化组合控制器,其中SOC动态均衡自主优化组合控制器根据子模块电容电压对子模块进行一次检索,根据子模块中储能单元的SOC值对子模块进行二次检索,最后得到该时刻的子模块投入情况;其中一次检索为了实现子模块电容电压平衡,二次检索为了实现子模块储能单元SOC均衡;The MMC sub-module composite retrieval system includes the nearest level approximation ladder wave generator and the SOC dynamic balance self-optimization combined controller, wherein the SOC dynamic balance self-optimization combined controller performs a retrieval of the sub-modules according to the sub-module capacitor voltage, The sub-module is searched twice according to the SOC value of the energy storage unit in the sub-module, and finally the input status of the sub-module at that moment is obtained. balanced;所述的控制方法包括如下步骤:The control method includes the following steps:第一步,将分布式储能系统主电路中采集到的直流侧桥臂电压和交流侧三相电流数据输送给电压电流闭环控制系统,电压电流闭环控制系统输出的信号与桥臂环流控制系统产生的修正信号叠加后得到的电压参考信号输送给MMC子模块复合检索系统中的最近电平逼近阶梯波发生器,最近电平逼近阶梯波发生器通过逼近电压参考波产生阶梯波;The first step is to transmit the DC side bridge arm voltage and AC side three-phase current data collected in the main circuit of the distributed energy storage system to the voltage and current closed-loop control system, and the output signal of the voltage and current closed-loop control system is related to the bridge arm circulation control system. The voltage reference signal obtained by the superposition of the generated correction signals is sent to the nearest level approximation staircase wave generator in the MMC sub-module composite retrieval system, and the nearest level approximation staircase wave generator generates a staircase wave by approximating the voltage reference wave;第二步,SOC动态均衡自主优化组合控制器接收到第一步中产生的阶梯波信号后,首先对此时系统的工作状态进行判断,若储能系统处于充电状态,首先将这一时刻测量得到的桥臂子模块电容电压值按升序排列,通过模糊比较以一定误差范围将排序后的电容电压值与桥臂子模块对应,根据此时刻应投入的子模块数按顺序选取相应数量的电容电压值,并以所选取的电压值对子模块进行检索,将以一定误差范围检索到的子模块全部作为优选子模块,优选子模块的数量应大于或等于此时刻该桥臂应投入的子模块数;其次将这一时刻得到的优选子模块的子模块储能单元SOC值进行升序排列,根据此时刻应投入子模块数按顺序方式选取相应数量排列中的SOC值,并以一定误差范围按所选取的SOC值对子模块进行检索,经过二次检索后,若检索得到的子模块数量仍大于此时刻应投入子模块数,则通过数量管控模块从二次检索得到的子模块中选出相应数量的子模块作为最终选择投入的子模块,此处的选择不设置条件;当某时刻储能系统处于放电状态时,将电容电压的排序方式改为降序排列即可;In the second step, after receiving the ladder wave signal generated in the first step, the SOC dynamic balance autonomous optimization combined controller firstly judges the working state of the system at this time. If the energy storage system is in the charging state, firstly measure the The obtained capacitor voltage values of the bridge arm sub-modules are arranged in ascending order, and the sorted capacitor voltage values are corresponding to the bridge arm sub-modules with a certain error range through fuzzy comparison. The selected voltage value is used to retrieve the sub-modules, and all the sub-modules retrieved with a certain error range are selected as the preferred sub-modules. The number of modules; secondly, arrange the SOC values of the sub-module energy storage units of the preferred sub-modules obtained at this moment in ascending order, and select the SOC values in the corresponding number arrangement in order according to the number of sub-modules that should be input at this moment, and use a certain error range. The sub-modules are retrieved according to the selected SOC value. After the secondary retrieval, if the number of sub-modules retrieved is still greater than the number of sub-modules that should be invested at this moment, the quantity control module will select the sub-modules obtained from the secondary retrieval through the quantity control module. The corresponding number of sub-modules are selected as the final selected sub-modules. The selection here does not set conditions; when the energy storage system is in a discharge state at a certain moment, the sorting method of capacitor voltages can be changed to descending order;第三步,在第二步中确定了此时刻子模块的投入情况,该相桥臂MMC子模块复合检索系统输出2N路触发信号,其中上桥臂N路、下桥臂N路,确定为投入状态的子模块对应的触发信号为高电平,确认为非投入状态的子模块对应的触发信号为低电平,各路触发信号分别传输到对应的各个子模块内的半桥MMC的两个IGBT的触发端,其中上管接受正向信号,下管接受反向信号。In the third step, the input of the sub-module at this moment is determined in the second step. The composite retrieval system of the MMC sub-module of the phase bridge arm outputs 2N trigger signals, of which the upper bridge arm N channels and the lower bridge arm N channels are determined as The trigger signal corresponding to the sub-module in the active state is high level, and the trigger signal corresponding to the sub-module in the non-active state is confirmed to be low level. The trigger terminal of each IGBT, in which the upper tube receives the forward signal, and the lower tube receives the reverse signal.2.根据权利要求1所述的一种基于子模块复合检索的分布式储能系统控制方法,其特征在于,所述的双向DC/DC变换器是一组并联层叠式双向DC/DC变换器,其结构由四个SICMOSFET、四个反并联二极管和两个电感器组成,四个SIC MOSFET两两并联组成两个桥臂,每个SIC MOSFET都反向并联一个二极管,由储能单元为始端的线路分为两路,每路均连接一个电感,之后分别连接到两桥臂中。2 . The method for controlling a distributed energy storage system based on sub-module composite retrieval according to claim 1 , wherein the bidirectional DC/DC converter is a set of parallel stacked bidirectional DC/DC converters. 3 . , its structure consists of four SICMOSFETs, four anti-parallel diodes and two inductors, four SIC MOSFETs are connected in parallel to form two bridge arms, each SIC MOSFET is connected in reverse parallel with a diode, and the energy storage unit is the starting end The circuit is divided into two paths, each path is connected with an inductor, and then connected to the two bridge arms respectively.3.根据权利要求1所述的一种基于子模块复合检索的分布式储能系统控制方法,其特征在于,桥臂环流控制系统输出的控制信号乘以权重得到的修正信号叠加到电压电流闭环控制系统输出的控制信号中,叠加后得到三相交流电压参考波。3. The method for controlling a distributed energy storage system based on composite retrieval of sub-modules according to claim 1, wherein the control signal output by the bridge arm circulating current control system is multiplied by the weighted correction signal and superimposed on the voltage and current closed loop In the control signal output by the control system, the three-phase AC voltage reference wave is obtained after superposition.4.根据权利要求1所述的一种基于子模块复合检索的分布式储能系统控制方法,其特征在于,最近电平逼近阶梯波发生器将阶梯波的零电平的相对高度作为0,若一桥臂中共有2N个子模块,则上桥臂对应的阶梯波的最大幅值的相对高度作为N,其余阶梯相对高度由0、1、2、3直到N,通过在某一时刻对应的阶梯波的相对高度确定该时刻应投入的子模块个数,作为子模块排序后选择投入的依据,并由阶梯波单个阶梯的持续时长作为子模块排序数据的刷新周期,作为含有2N个子模块的桥臂,其排序刷新时间应是电压参考波周期除以2N。4. a kind of distributed energy storage system control method based on sub-module composite retrieval according to claim 1, it is characterized in that, the nearest level approximation ladder wave generator takes the relative height of the zero level of ladder wave as 0, If there are 2N sub-modules in a bridge arm, the relative height of the maximum amplitude of the step wave corresponding to the upper bridge arm is taken as N, and the relative heights of the remaining steps are from 0, 1, 2, 3 to N. The relative height of the ladder wave determines the number of sub-modules that should be invested at this moment, which is used as the basis for the selection of investment after the sub-modules are sorted. For the bridge arm, the sequencing refresh time should be the voltage reference wave period divided by 2N.5.根据权利要求1所述的一种基于子模块复合检索的分布式储能系统控制方法,其特征在于,对子模块进行检索时设置一个模糊区间,数值差在区间内时判断为对应,否则判断为不对应,与在应该投入子模块数范围内的电容电压值或储能单元SOC值为对应关系的子模块作为优选子模块,其中一次检索时的误差范围大于二次检索时的误差范围。5 . The method for controlling a distributed energy storage system based on sub-module composite retrieval according to claim 1 , wherein a fuzzy interval is set when the sub-module is retrieved, and when the numerical difference is within the interval, it is judged as corresponding, 6 . Otherwise, it is judged that it does not correspond, and the sub-module corresponding to the capacitor voltage value or the SOC value of the energy storage unit within the range of the number of sub-modules that should be put into is selected as the preferred sub-module, and the error range during the first retrieval is greater than the error during the second retrieval. scope.6.根据权利要求1所述的一种基于子模块复合检索的分布式储能系统控制方法,其特征在于,MMC子模块复合检索系统工作时主要处于下述两种状态中的一种:6. a kind of distributed energy storage system control method based on sub-module composite retrieval according to claim 1, is characterized in that, MMC sub-module composite retrieval system is mainly in one of the following two states when working:状态(1):当MMC桥臂内各子模块电容电压差值较大,由一次检索选择出的优选子模块数量等于此时刻应投入子模块数,二次检索失效,该情况下MMC子模块复合检索系统主要作用为平衡MMC桥臂内子模块电容电压值;State (1): When the capacitor voltage difference of each sub-module in the MMC bridge arm is large, the number of preferred sub-modules selected by the first search is equal to the number of sub-modules that should be input at this moment, and the second search fails. In this case, the MMC sub-modules The main function of the composite retrieval system is to balance the capacitor voltage value of the sub-module in the MMC bridge arm;状态(2):当MMC桥臂内各子模块电容电压差值较小,由一次检索选择出的优选子模块数量接近于桥臂内子模块总数,二次检索失效,该情况下子模块综合选择控制系统主要作用为调节桥臂内子模块储能单元SOC均衡。State (2): When the capacitance voltage difference of each sub-module in the MMC bridge arm is small, the number of preferred sub-modules selected by one search is close to the total number of sub-modules in the bridge arm, and the second search fails. In this case, the sub-module comprehensive selection control The main function of the system is to adjust the SOC balance of the sub-module energy storage units in the bridge arm.
CN201910930669.3A2019-09-292019-09-29Distributed energy storage system based on SOC dynamic balance submodule retrieval and control methodExpired - Fee RelatedCN110556852B (en)

Priority Applications (1)

Application NumberPriority DateFiling DateTitle
CN201910930669.3ACN110556852B (en)2019-09-292019-09-29Distributed energy storage system based on SOC dynamic balance submodule retrieval and control method

Applications Claiming Priority (1)

Application NumberPriority DateFiling DateTitle
CN201910930669.3ACN110556852B (en)2019-09-292019-09-29Distributed energy storage system based on SOC dynamic balance submodule retrieval and control method

Publications (2)

Publication NumberPublication Date
CN110556852A CN110556852A (en)2019-12-10
CN110556852Btrue CN110556852B (en)2021-01-08

Family

ID=68741935

Family Applications (1)

Application NumberTitlePriority DateFiling Date
CN201910930669.3AExpired - Fee RelatedCN110556852B (en)2019-09-292019-09-29Distributed energy storage system based on SOC dynamic balance submodule retrieval and control method

Country Status (1)

CountryLink
CN (1)CN110556852B (en)

Families Citing this family (14)

* Cited by examiner, † Cited by third party
Publication numberPriority datePublication dateAssigneeTitle
CN113765426B (en)*2020-06-012024-08-20台达电子企业管理(上海)有限公司Control method and control system of modularized multi-level converter and power transmission system
CN111688539B (en)*2020-06-042023-07-28国网天津市电力公司电力科学研究院 Multi-level energy storage electric vehicle DC charging optimization control system and method
ES2887779A1 (en)*2020-06-222021-12-27Univ ZaragozaELECTRONIC GENERATOR OF VARIABLE WAVE POWER (Machine-translation by Google Translate, not legally binding)
US11742664B2 (en)2020-10-272023-08-29Caterpillar Inc.Methods and systems for charging or discharging energy storage systems
CN112769151B (en)*2020-12-282024-07-23国网天津市电力公司电力科学研究院 Deep learning model predictive control system and method for multi-level energy storage converter
CN112803476B (en)*2020-12-312022-04-15山东大学Method and system for controlling voltage of variable direct current bus of modular multi-level energy storage converter
CN113258803B (en)*2021-04-282023-03-28上海电机学院Capacitor voltage balance control system and method of modular multilevel converter
CN113556041B (en)*2021-07-212024-07-23国网江苏省电力有限公司南通供电分公司 A central controller power supply system and power supply method for MMC type converter
CN113809945B (en)*2021-09-272023-11-24国网江苏省电力有限公司电力科学研究院 An MMC control method and device based on integral modulation
CN114465507B (en)*2022-01-202025-09-09南京师范大学Universal pulse distribution method for MMC under optimal PD-PWM modulation
CN114679074B (en)*2022-03-302024-09-06中国科学院电工研究所Method for stabilizing and controlling voltage fluctuation of supporting capacitor of cascade multi-level energy storage converter
CN115313440B (en)*2022-08-162024-01-26南京合智电力科技有限公司Electric energy storage system
CN115133562B (en)*2022-08-302023-01-24北京金冠智能电气科技有限公司Distributed energy storage power supply system
CN116094017B (en)*2023-04-112023-06-30深圳市德兰明海新能源股份有限公司Energy storage equipment alternating current multiphase system and electric quantity balance control method thereof

Family Cites Families (4)

* Cited by examiner, † Cited by third party
Publication numberPriority datePublication dateAssigneeTitle
KR101666712B1 (en)*2014-05-132016-10-14엘에스산전 주식회사Modular Multi-Level Converter
CN107769216B (en)*2016-08-182022-03-08中国电力科学研究院Voltage modulation method for weak alternating current power grid access
CN107123998A (en)*2017-07-092017-09-01华北电力大学A kind of scale electric automobile charge-discharge circuit topology and control strategy based on MMC
CN108092352B (en)*2017-11-272019-12-31浙江大学 A modulation method suitable for state-of-charge balance of multi-module battery modules

Also Published As

Publication numberPublication date
CN110556852A (en)2019-12-10

Similar Documents

PublicationPublication DateTitle
CN110556852B (en)Distributed energy storage system based on SOC dynamic balance submodule retrieval and control method
US6236580B1 (en)Modular multi-level adjustable supply with series connected active inputs
TWI530082B (en)Method of current control for three-phase modular multilevel inverter with inductance change allowed
US9473013B2 (en)Controlling a modular converter with a plurality of converter modules
CN112930645B (en) Switching String Converter
CN106877365A (en) Phase-to-phase power unbalance control method for modular multilevel converters
CN106451544A (en)Energy-storage combined tri-level grid-connected system control method
CN113179040A (en)Three-phase three-level inverter neutral point potential balance and common mode voltage suppression method
Iglesias et al.Comparative study and simulation of optimal converter topologies for SMES systems
Panda et al.Reduced switch count seven-level self-balanced switched-capacitor boost multilevel inverter
CN104811069A (en)Prediction control method for modularized multi-level inverter
JP2001016856A (en)Ac-dc converter
Haider et al.Novel single-phase Buck+ Boost PFC rectifier with integrated series power pulsation buffer
Silva et al.Nineteen-level active filter system using asymmetrical cascaded converter with DC voltages control
JP4365171B2 (en) Power converter and power conditioner using the same
WO2023031345A1 (en)Flying capacitor circuit with active capacitor voltage control
Wu et al.A novel cascaded multilevel inverter topology and its control strategy for medium-voltage direct-mounted photovoltaic grid-connected system
Jin et al.Nine-level she-pwm vsc based statcom for var compensation
CN113965139A (en) Two-phase frequency conversion control circuit and method of three-phase motor with thyristor and IGBT mixed
Neti et al.Common ground single-phase single-stage transformerless inverter five levels using reduced components and switched capacitor cell
Guler et al.Current sensorless control strategy for nine-level packed-E-cell rectifier
CN115037138B (en) Model predictive control method for star-bridge phase-coupled MMC suitable for low-frequency conditions
CN115102377B (en) Modular multi-level inverter control method and system
Yalla et al.Reduced switching state five-level high power factor converter
CN110011555B (en)Charging control method for direct-current side capacitor of diode-clamped three-level converter

Legal Events

DateCodeTitleDescription
PB01Publication
PB01Publication
SE01Entry into force of request for substantive examination
SE01Entry into force of request for substantive examination
GR01Patent grant
GR01Patent grant
CF01Termination of patent right due to non-payment of annual fee
CF01Termination of patent right due to non-payment of annual fee

Granted publication date:20210108

Termination date:20210929


[8]ページ先頭

©2009-2025 Movatter.jp