Movatterモバイル変換


[0]ホーム

URL:


CN110507361B - Shear wave imaging method and system - Google Patents

Shear wave imaging method and system
Download PDF

Info

Publication number
CN110507361B
CN110507361BCN201910848338.5ACN201910848338ACN110507361BCN 110507361 BCN110507361 BCN 110507361BCN 201910848338 ACN201910848338 ACN 201910848338ACN 110507361 BCN110507361 BCN 110507361B
Authority
CN
China
Prior art keywords
shear wave
shear
pulses
tracking
positions
Prior art date
Legal status (The legal status is an assumption and is not a legal conclusion. Google has not performed a legal analysis and makes no representation as to the accuracy of the status listed.)
Active
Application number
CN201910848338.5A
Other languages
Chinese (zh)
Other versions
CN110507361A (en
Inventor
李双双
樊睿
Current Assignee (The listed assignees may be inaccurate. Google has not performed a legal analysis and makes no representation or warranty as to the accuracy of the list.)
Shenzhen Mindray Bio Medical Electronics Co Ltd
Original Assignee
Shenzhen Mindray Bio Medical Electronics Co Ltd
Priority date (The priority date is an assumption and is not a legal conclusion. Google has not performed a legal analysis and makes no representation as to the accuracy of the date listed.)
Filing date
Publication date
Application filed by Shenzhen Mindray Bio Medical Electronics Co LtdfiledCriticalShenzhen Mindray Bio Medical Electronics Co Ltd
Priority to CN201910848338.5ApriorityCriticalpatent/CN110507361B/en
Publication of CN110507361ApublicationCriticalpatent/CN110507361A/en
Application grantedgrantedCritical
Publication of CN110507361BpublicationCriticalpatent/CN110507361B/en
Activelegal-statusCriticalCurrent
Anticipated expirationlegal-statusCritical

Links

Images

Classifications

Landscapes

Abstract

The invention provides a shear wave imaging method, which comprises the following steps of generating shear waves in tissues; estimating shear waves, sending a plurality of tracking pulses corresponding to the positions of the shear waves at different moments, and receiving echo information of the tracking pulses; calculating the parameters of the shear wave according to the echo information of the tracking pulse; and imaging and displaying the result of the shear wave parameter calculation. According to the shear wave imaging method and system provided by the invention, the detection position of the shear wave is estimated in advance, so that the detection of the shear wave can be accurately carried out in a small range, the detection energy is relatively concentrated, and the detection signal-to-noise ratio is improved. Meanwhile, the redundant detection times are reduced, the detection process is accelerated, and the data processing burden is reduced. The invention also provides a shear wave imaging system.

Description

Shear wave imaging method and system
Technical Field
The invention relates to the field of ultrasonic imaging, in particular to a shear wave imaging method and system.
Background
Ultrasound elastography is one of the hot spots concerned by clinical research in recent years, mainly reflects elasticity or hardness of tissues, and is increasingly applied to the aspects of auxiliary detection of tissue cancer lesions, benign and malignant discrimination, prognosis recovery evaluation and the like. One of the existing ultrasound elastography uses shear waves for imaging, and mainly reflects the hardness difference between tissues by generating shear wave propagation inside the tissues and detecting propagation parameters thereof and imaging.
The method has good stability and repeatable operation. However, in the method, the shear wave generated inside the tissue is weak, the propagation of the shear wave in the tissue is a transient process, and the shear wave is attenuated and disappears after being propagated for a certain time and a certain distance, so that the shear wave information must be rapidly extracted in a large area within a period of time, the requirement on shear wave extraction is high, the data processing load of an extraction system for extracting the shear wave is large, and the accuracy is low.
Disclosure of Invention
The shear wave imaging method and the shear wave imaging system are provided, the signal to noise ratio of detection is improved, the redundant detection times are reduced, and the detection process is accelerated.
A shear wave imaging method comprising the steps of,
generating shear waves within the tissue;
estimating the positions of the shear waves at different moments, sending a plurality of tracking pulses corresponding to the positions of the shear waves at different moments, and receiving echo information of the tracking pulses;
calculating the parameters of the shear wave according to the echo information of the tracking pulse;
and imaging and displaying the result of the shear wave parameter calculation.
Further, when estimating the shear wave, transmitting a plurality of tracking pulses corresponding to the positions of the shear wave at different time instants and receiving echo information of the tracking pulses, further comprising the following steps,
estimating the propagation speed of the shear wave in the target tissue;
estimating the estimated shear wave position of the shear wave in the target tissue at each moment according to the propagation speed of the shear wave in the target tissue;
and respectively sending tracking pulses to the corresponding shear wave estimation positions at each moment, and receiving echo information of each tracking pulse.
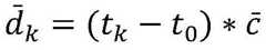
Further, when the estimated position of the shear wave at each moment is obtained, the position distance of the shear wave from the wave source is obtained
Figure BDA0002196051700000021
Satisfies the following conditions:
Figure BDA0002196051700000022
wherein, t isk At any time after the generation of the shear wave, t0 For the moment of initial propagation of the shear wave,
Figure BDA0002196051700000023
is the average velocity of the shear wave propagating within the target tissue.
Further, the moving distance of the detection position of the shear wave between two adjacent detection times is less than or equal to ch Δ t, and the detection width of the shear wave at each detection is greater than or equal to Δ t (c)h -cl ) Wherein the variation range of the estimated shear wave velocity is cl To ch And delta t is the time interval between two adjacent detection moments.
Further, when shear wave parameters are calculated based on the echo information of the tracking pulse, at least one of the propagation distance of the shear wave, the propagation velocity of the shear wave, and the young's modulus of the target tissue is calculated.
Further, when calculating the shear wave parameters according to the echo information of the tracking pulse, the method further comprises the following steps:
setting reference information;
and performing cross-correlation comparison on the echo information of the tracking pulse at different moments of each position in the target area and the reference information corresponding to the position to acquire particle displacement data at the position at different moments.
Further, when the reference information is set, the echo information of the tracking pulse at a certain time is selected as the reference information or the reference pulse is sent before the shear wave is propagated, and the echo information of the reference pulse is used as the reference echo information.
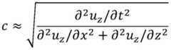
Further, when shear wave parameters are calculated according to the echo information of the tracking pulse, the propagation velocity of the shear wave satisfies the following formula:
Figure BDA0002196051700000024
wherein c represents a propagation velocity, uz It can be considered as longitudinal displacement data, or it can be calculated using longitudinal velocity data, x representing the lateral coordinate and z representing the longitudinal coordinate.
Further, when the result of the shear wave parameter calculation is displayed in an imaging mode, at least one of a propagation velocity distribution diagram, a young modulus parameter diagram, a shear modulus parameter diagram, a propagation distance parameter diagram in a certain period of time, and an average velocity value parameter diagram in a target region is formed.
A shear wave imaging system comprises an ultrasonic probe, a control module, a signal processing module, a calculation module and a display system, wherein the ultrasonic probe is provided with a transceiver module, the signal processing module, the calculation module and the display system of the ultrasonic probe are sequentially connected, the control module is connected with the transceiver module,
the receiving and transmitting module is used for transmitting a tracking pulse according to the estimated position of the shear wave and receiving echo information of the tracking pulse and the reference pulse;
the control module is used for controlling the transceiver module to transmit the tracking pulse;
the signal processing module is used for carrying out signal preprocessing on the echo information;
the computing module is used for predicting the predicted positions of the shear waves at different moments and processing and computing the signals output by the signal processing module;
the display system is used for displaying the image of the calculation result of the shear wave parameters generated by the calculation module.
Further, the calculation module comprises a calculation module,
and the estimation unit is used for estimating the estimated position of the shear wave at each moment according to the propagation time of the shear wave and the average propagation speed of the shear wave in the target tissue.
And the data calculation unit is used for calculating the propagation parameters of the shear wave.
According to the shear wave imaging method and system provided by the invention, the detection position of the shear wave is estimated in advance, so that the detection of the shear wave can be accurately carried out in a small range, the detection energy is relatively concentrated, and the detection signal-to-noise ratio is improved. Meanwhile, the redundant detection times are reduced, the detection process is accelerated, and the data processing burden is reduced.
Drawings
In order to more clearly illustrate the embodiments of the present invention or the technical solutions in the prior art, the drawings used in the embodiments or the prior art descriptions will be briefly described below, it is obvious that the drawings in the following description are only some embodiments of the present invention, and other drawings can be obtained by those skilled in the art without creative efforts.
FIG. 1 is a schematic flow diagram of a method of shear wave imaging according to the present invention;
FIGS. 2 to 5 are schematic diagrams of a sequence of pulses emitting different acoustic radiation forces in a shear wave imaging method of the invention;
FIG. 6 is a schematic diagram of the shear wave detection position over time for a shear wave imaging method of the present invention;
FIGS. 7-8 are schematic views of transmit deflection angles using different tracking pulse transmit deflection angles in accordance with the present invention;
fig. 9 is a schematic diagram of a shear wave imaging system according to the present invention.
Detailed Description
The technical solutions in the embodiments of the present invention will be clearly and completely described below with reference to the drawings in the embodiments of the present invention, and it is obvious that the described embodiments are only a part of the embodiments of the present invention, and not all of the embodiments. All other embodiments, which can be derived by a person skilled in the art from the embodiments given herein without making any creative effort, shall fall within the protection scope of the present invention.
Referring to fig. 1, a shear wave imaging method according to a preferred embodiment of the present invention pre-estimates a detection position of a shear wave, so that the detection of the shear wave can be accurately performed in a small range, and thus, the detection energy is relatively concentrated, and the detection signal-to-noise ratio is improved. Meanwhile, the redundant detection times are reduced, the detection process is accelerated, and the data processing burden is reduced.
The shear wave imaging method of the present invention comprises the steps of:
step S101, generating shear waves in the tissue. In this step, various methods can be used to generate shear waves inside the tissue, such as generating shear waves inside the tissue by external force vibration outside the tissue, generating shear waves inside the tissue by emitting acoustic radiation force pulses (ARFI) into the tissue, and the like. Wherein the acoustic radiation force pulses may or may not be focused.
It can be understood that, because the amplitude of the shear wave generated by emitting the acoustic radiation force pulse is relatively small, and because the shear wave can be rapidly attenuated along with propagation, the intensity of the shear wave can be improved by emitting a series of acoustic radiation force pulses, or the propagation range of the shear wave can be widened, or the detection sensitivity can be improved by changing the waveform characteristics of the shear wave, so as to avoid the influence on the imaging due to the attenuation of the shear wave.
As shown in fig. 2, multiple focused pulses may be transmitted sequentially to the same location to increase the intensity of the generated shear wave. As shown in fig. 3 and 4, the longitudinal (referring to the direction of focused transmission) and transverse (referring to the direction perpendicular to the focused transmission) positions of the continuously transmitted focused pulses can be changed to widen the propagation range of the shear wave and make the shear wave propagate along a specific direction. As shown in fig. 5, pulses may be transmitted simultaneously at different lateral positions so that two shear waveforms arriving at different times in succession are superimposed for ease of detection.
And S102, estimating the positions of the shear waves at different moments, sending a plurality of tracking pulses corresponding to the positions of the shear waves at different moments, and receiving echo information of the tracking pulses.
The step S102 further includes the steps of:
step S1021, estimating the propagation speed of the shear wave in the target tissue.
After the shear wave is generated, the shear wave starts to propagate in the tissue, and the propagation speed is different along with the difference of the elastic characteristics of the tissue. To predict the pursuit shear wave, it is necessary to estimate an average velocity from the target tissue
Figure BDA0002196051700000053
And estimating a possible speed variation range cl To ch This average speed and range may be pre-specified by the system on a case-by-case basis with reference to existing academic measurement data, or measurement experience, and the like. For example, the average propagation velocity of the shear wave in the target tissue is assumed to be about 2m/s, and the possible variation range is 1-4 m/s, or the average propagation velocity is assumed to be 1m/s, and the possible variation range is 0.5-2 m/s.
Step S1022, estimating the position of the shear wave in the target tissue at each time according to the propagation speed of the shear wave in the target tissue, and obtaining the estimated position of the shear wave at each time.
At different times t after the generation of the shear wavek Assuming the initial propagation time t of the shear wave0 Then the position distance from the wave source can be estimated
Figure BDA0002196051700000051
Satisfies the following relation:
Figure BDA0002196051700000052
assuming that the time interval between two adjacent detection moments is Δ t, the following conditions are satisfied: Δ t = tk -tk-1 Then the propagation range Δ d of the shear wave between two detection instants can be estimatedl ~Δdh Satisfies the following conditions:
Δdl =cl Δt
Δdh =ch Δt
then, the moving distance of the shear wave detection position between the two adjacent detection times is less than or equal to Δ dl The estimated positioning advance is avoided when the shear wave propagation is too slow, and the detection width of the shear wave is more than or equal to delta d during each detectionh -Δdl =Δt(ch -cl ) So as to ensure that each estimated positioning can include all possible positions of the shear wave at the moment.
Step S1021, respectively sending tracking pulse to the corresponding estimated shear wave position at each moment, and receiving echo information of each tracking pulse.
As shown in fig. 6, starting from the beginning of the propagation of the shear wave, the system sends tracking pulses at an interval Δ t to continue the detection, and each detection maintains a certain detection transverse beam width, i.e. simultaneously retrieves a certain width of echo information, which includes information of each transverse position in the certain width, and the interval of the transverse positions cannot be too large to ensure a certain transverse resolution. At the same time, the beam center remains less than Δ d between adjacent detectionsl Or if Δ t is small, results in Δ dl Too small is also equivalent to keeping the beam center distance smaller than n Δ d between every n detection instantsl The moving distance of (2). Of course, the system may start detection from any time or from a distance from the shear wave source, and only needs to estimate the possible location of the shear wave at the current location or at the current time according to the average propagation velocity, and needs to start changing the center location of each detection after the shear wave is transmitted to and departed from the location.
Since each detection must maintain a certain lateral beam width and the lateral line spacing cannot be too large to ensure a certain lateral resolution, it may be desirable to have an ultra-wide beam-forming capability, i.e., the ability to recover echo information for multiple lateral positions simultaneously, as shown in fig. 7 and 8. The number of beams is, for example, 1 to 1024, and the system is adjusted as needed, for example, 4 beams, 16 beams, 32 beams, 64 beams, 96 beams, 128 beams, and the like. The wider the beam, the weaker the focus of the transmitted sound field is, the more uniform and less concentrated the lateral distribution of the sound field energy is, which also brings about a reduction in the signal-to-noise ratio of each detection position in the beam. In order to improve the detection quality, the same central position can be continuously transmitted for a plurality of times, the angle of each transmitted beam is different, and then echo signals of different angles are synthesized to increase the signal to noise ratio. The number of the angles and the size of the deflection angle are adjusted by the system according to actual needs, for example, 3 angles, deflection-5 degrees, 0 degrees, 5 degrees and the like are adopted.
And step S103, calculating shear wave parameters according to the echo information of the tracking pulse. From the echo information of the tracking pulse, various parameters such as propagation distance, propagation velocity, young's modulus, etc. can be calculated.
In this step, the echo information of the tracking pulse at each time can be integrated, so as to obtain the echo information of the shear wave in a short period of time at each position of the target tissue in the propagation process, and the shear wave just passes through the corresponding position in the short period of time.
The step S103 further includes the steps of:
step S1031, acquiring reference information; it is to be understood that the reference information may be selected as desired. For example, the echo information of the tracking pulse at a certain time at the corresponding position is selected as the reference information. It is also possible to send a reference pulse before the propagation of the shear wave and to use the echo information of the reference pulse as reference echo information. The reference needs to be used for cross-correlation comparison with the tracking pulse that chases the shear wave.
Step S1032 performs cross-correlation comparison between the echo information of the tracking pulse at each position in the target area at different time and the reference information corresponding to the position, and acquires particle displacement data at the position at different time. Further, a displacement versus time curve may be developed at the location, during which time the shear wave may undergo the entire process of approaching, arriving at, and leaving the location, corresponding to the appearance of a peak in the curve. As shown in fig. 5, due to the pre-estimated chase detection, each lateral position can obtain a corresponding small displacement-time curve, but the corresponding time of the curve is different, and the corresponding time of adjacent positions may have a part of overlap. The position of the peak on the displacement-time curve corresponds to the time at which the shear wave reaches that position.
For example, the propagation velocity of the shear wave may be calculated by performing a cross-correlation comparison on displacement-time curves corresponding to two different lateral positions at the same depth to obtain a time difference corresponding to the propagation time of the shear wave between the two lateral positions. The ratio of the distance between the transverse positions to the propagation time is the propagation velocity between the two transverse positions.
For example, for a certain position, the displacement data of each transverse position corresponding to two times near the time when the shear wave reaches the position are extracted to form displacement-transverse position curves at the two times, and the transverse position difference between the two times can be obtained by performing cross-correlation comparison on the two curves, wherein the position difference corresponds to the propagation distance of the shear wave between the two times. The ratio of the propagation distance to the time difference between the two moments is the propagation velocity near the location.
For example, the approximate calculation formula can be derived directly from the wave propagation equation as follows:
Figure BDA0002196051700000071
wherein c represents a propagation velocity, uz It can be considered longitudinal displacement data, and it can also be calculated using longitudinal velocity data, x representing the lateral coordinate and z representing the longitudinal coordinate. The above formula can also be transformed into the frequency domain for calculation.
Under certain conditions, the propagation velocity of shear waves has an approximately fixed relationship to tissue stiffness:
E=3ρc2
where ρ represents the tissue density and E represents the Young's modulus value of the tissue. Under certain conditions, a greater Young's modulus means greater tissue stiffness.
Further, from the propagation velocity values of the shear wave at the respective positions, the shear modulus, the propagation distance in a certain fixed time, the average propagation velocity in the target region, and the like can be further calculated.
And step S104, imaging and displaying the result of the shear wave parameter calculation.
After the final propagation velocity data is obtained, the propagation velocity data can be displayed on an image to form a propagation velocity distribution graph, and the propagation velocity difference between positions on the graph directly reflects the hardness difference. Of course, other parameter maps may be displayed, such as a young's modulus parameter map, a shear modulus parameter map, a propagation distance parameter map over a certain period of time, an average velocity value parameter map within a target region, and the like. The parameters can be processed and displayed into a movie picture, a plane or space distribution picture, parameter values, a curve graph and the like, can also be subjected to gray scale or color coding, and can also be displayed together with other mode pictures such as an anatomical picture after being superposed or fused.
As shown in fig. 9, the present invention further provides a shear wave imaging system, which includes an ultrasonic probe 11, acontrol module 12, asignal processing module 13, acomputing module 15, and adisplay system 17, where the ultrasonic probe 11 is provided with atransceiver module 110, thesignal processing module 13, thecomputing module 15, and thedisplay system 17 of the ultrasonic probe 11 are sequentially connected, and thecontrol module 12 is connected to thetransceiver module 110. Wherein:
thetransceiver module 110 is configured to transmit a tracking pulse and receive echo data of the tracking pulse and the reference pulse.
Thecontrol module 12 is configured to control thetransceiver module 110 to transmit tracking pulses. In practical use, thecontrol module 12 transmits a specific ultrasonic sequence of tracking pulses at preset time intervals, so as to trace shear waves and provide thetransceiver module 110 of the ultrasonic probe 11 with receiving corresponding echo data.
Thesignal processing module 13 is used for performing signal preprocessing on the echo data, so as to facilitate the subsequent calculation by the calculatingmodule 15, where the signal preprocessing may include beam forming processing, and may further include signal amplification, analog-to-digital conversion, quadrature decomposition, and the like.
Thecomputation module 15 is used for estimating the positions of the shear waves at different time instants, and for performing processing computation on the signals output by the beam synthesis.
In this embodiment, the calculatingmodule 15 includes:
theestimating unit 151 is configured to estimate estimated positions of the shear wave at various times according to a propagation duration of the shear wave and an average speed of the shear wave propagating in the target tissue.
And a data calculating unit 153 for calculating propagation parameters of the shear wave.
Thedisplay system 17 is configured to display an image of the calculation result of the shear wave parameters generated by thecalculation module 15.
It can be understood that the physical arrangement positions of the ultrasonic probe 11, thecontrol module 12, thesignal processing module 13, thecalculation module 15 and thedisplay system 17 can be adjusted by themselves according to the needs, for example, the ultrasonic probe 11, thecontrol module 12, thesignal processing module 13, thecalculation module 15 and thedisplay system 17 can be uniformly arranged in the same shell, so as to realize integral arrangement; or the device can be arranged separately and connected in a wired or wireless mode to carry out data communication.
The shear wave imaging method and the shear wave imaging system provided by the invention generate shear waves in tissues, estimate and track the propagation process of the shear waves within a period of time, and track the propagation position continuously, so that the propagation position information of the shear waves is acquired in a small range at each moment, the acquired information is integrated, elasticity-related parameters such as a shear wave wavefront electrogram, a propagation distance and a propagation speed in a target area are calculated, and finally imaging is carried out to reflect the elasticity difference among different tissues. The shear wave imaging method of the invention can accurately detect the shear wave in a small range due to the pre-estimated detection position of the shear wave, thereby relatively concentrating the detection energy and improving the detection signal-to-noise ratio. Meanwhile, the redundant detection times are reduced, the detection process is accelerated, and the data processing burden of the system is reduced.
While the invention has been described with reference to a preferred embodiment, it will be understood by those skilled in the art that various changes in form and detail may be made therein without departing from the spirit and scope of the invention as defined by the appended claims.

Claims (9)

1. A shear wave imaging method comprising the steps of,
generating shear waves within the tissue;
estimating the positions of the shear waves at different moments to obtain estimated shear wave positions of the shear waves in the target tissue at all moments, wherein the estimated shear wave positions of the shear waves at all moments are estimated according to the propagation duration of the shear waves and the average propagation speed of the shear waves in the target tissue;
sending multiple tracking pulses to the shear wave estimation positions of the shear waves at different moments corresponding to the shear waves at different moments, and receiving echo information of the tracking pulses, wherein the sending of the multiple tracking pulses to the shear wave estimation positions of the shear waves at different moments corresponding to the shear waves comprises sending the multiple tracking pulses to the corresponding shear wave estimation positions at all moments;
calculating the parameters of the shear wave according to the echo information of the tracking pulse;
imaging and displaying the result of the shear wave parameter calculation;
wherein the generating shear waves inside the tissue comprises at least one of the following modes:
continuously transmitting multiple focusing pulses to the same position;
alternatively, the longitudinal and transverse positions of the continuously transmitted focused pulses are varied to cause the shear wave to propagate along a particular direction;
alternatively, the focusing pulses are transmitted simultaneously at different lateral positions so that the shear wave waveforms arriving at different times one after the other are superimposed.
2. The shear wave imaging method of claim 1,
when estimating the positions of the shear waves at different moments to obtain estimated shear wave positions of the shear waves in the target tissue at various moments, transmitting a plurality of tracking pulses corresponding to the estimated shear wave positions of the shear waves at different moments and receiving echo information of the tracking pulses, further comprising the following steps,
estimating the propagation speed of the shear wave in the target tissue;
estimating the estimated position of the shear wave in the target tissue at each moment according to the propagation speed of the shear wave in the target tissue;
and respectively sending a plurality of tracking pulses to the corresponding shear wave estimation positions at each moment, and receiving echo information of each tracking pulse.
3. A method of shear wave imaging as claimed in claim 2 wherein the estimated location of the shear wave at each time is obtained as a distance from the source of the shear wave
Figure FDA0003763071540000011
Satisfies the following conditions:
Figure FDA0003763071540000021
wherein, t isk At any time after the generation of the shear wave, t0 For the moment of initial propagation of the shear wave,
Figure FDA0003763071540000022
is the average velocity of the shear wave propagating within the target tissue.
4. The shear wave imaging method according to claim 1, wherein at least one of a propagation distance of the shear wave, a propagation speed of the shear wave, and a young's modulus of the target tissue is calculated when the shear wave parameter calculation is performed based on the echo information of the tracking pulse.
5. The method of shear wave imaging according to claim 1 wherein when performing shear wave parameter calculations based on echo information of said tracking pulses, further comprising the steps of:
setting reference information;
and performing cross-correlation comparison on the echo information of the tracking pulse at different moments of each position in the target area and the reference information corresponding to the position to acquire particle displacement data at different moments of the position.
6. The shear wave imaging method of claim 5, wherein in setting the reference information, echo information of a tracking pulse at a certain time is selected as the reference information or a reference pulse is transmitted before the shear wave propagates, and the echo information of the reference pulse is used as the reference echo information.
7. The shear wave imaging method of claim 1, wherein when performing shear wave parameter calculation based on echo information of the tracking pulse, the propagation velocity of the shear wave satisfies the following equation:
Figure FDA0003763071540000023
wherein c represents a propagation velocity, uz It can be considered as longitudinal displacement data, or it can be calculated using longitudinal velocity data, x representing the lateral coordinate and z representing the longitudinal coordinate.
8. The shear wave imaging method of claim 1, wherein at least one of a propagation velocity profile, a young's modulus parameter map, a shear modulus parameter map, a propagation distance parameter map over a certain period of time, and an average velocity parameter map within a target region is formed when imaging and displaying the results of said shear wave parameter calculation.
9. A shear wave imaging system is characterized by comprising an ultrasonic probe, a control module, a signal processing module, a calculation module and a display system, wherein the ultrasonic probe is provided with a transceiver module, the signal processing module, the calculation module and the display system of the ultrasonic probe are sequentially connected, the control module is connected with the transceiver module,
the receiving and transmitting module is used for transmitting a plurality of tracking pulses according to the estimated shear wave position and receiving echo information of the tracking pulses and the reference pulses, wherein the transmitting of the plurality of tracking pulses according to the estimated shear wave position comprises the step of transmitting the plurality of tracking pulses to the corresponding estimated shear wave position at each moment;
the control module is used for controlling the transceiver module to transmit the tracking pulse;
the signal processing module is used for carrying out signal preprocessing on the echo information;
the computing module is used for predicting the predicted positions of the shear waves at different moments and processing and computing the signals output by the signal processing module;
the display system is used for displaying the image of the calculation result of the shear wave parameters generated by the calculation module;
wherein the computing module comprises a plurality of computing modules,
the estimation unit is used for estimating the estimated shear wave position of the shear wave at each moment according to the propagation time of the shear wave and the average propagation speed of the shear wave in the target tissue;
a data calculation unit for calculating propagation parameters of the shear wave;
wherein, the emitting multiple tracking pulses according to the estimated position of the shear wave comprises:
continuously transmitting multiple focusing pulses to the same position;
alternatively, the longitudinal and transverse positions of the continuously transmitted focused pulses are varied to cause the shear wave to propagate along a particular direction;
alternatively, the focusing pulses are transmitted simultaneously at different lateral positions so that the shear wave waveforms arriving at different times one after the other are superimposed.
CN201910848338.5A2014-08-282014-08-28Shear wave imaging method and systemActiveCN110507361B (en)

Priority Applications (1)

Application NumberPriority DateFiling DateTitle
CN201910848338.5ACN110507361B (en)2014-08-282014-08-28Shear wave imaging method and system

Applications Claiming Priority (3)

Application NumberPriority DateFiling DateTitle
CN201480081075.5ACN106572837B (en)2014-08-282014-08-28 Shear wave imaging method and system
CN201910848338.5ACN110507361B (en)2014-08-282014-08-28Shear wave imaging method and system
PCT/CN2014/085391WO2016029402A1 (en)2014-08-282014-08-28Shear wave imaging method and system

Related Parent Applications (1)

Application NumberTitlePriority DateFiling Date
CN201480081075.5ADivisionCN106572837B (en)2014-08-282014-08-28 Shear wave imaging method and system

Publications (2)

Publication NumberPublication Date
CN110507361A CN110507361A (en)2019-11-29
CN110507361Btrue CN110507361B (en)2022-11-29

Family

ID=55398616

Family Applications (4)

Application NumberTitlePriority DateFiling Date
CN201910847961.9AActiveCN110507359B (en)2014-08-282014-08-28Shear wave imaging method and system
CN201910848338.5AActiveCN110507361B (en)2014-08-282014-08-28Shear wave imaging method and system
CN201480081075.5AActiveCN106572837B (en)2014-08-282014-08-28 Shear wave imaging method and system
CN201910847967.6AActiveCN110507360B (en)2014-08-282014-08-28Shear wave imaging method and system

Family Applications Before (1)

Application NumberTitlePriority DateFiling Date
CN201910847961.9AActiveCN110507359B (en)2014-08-282014-08-28Shear wave imaging method and system

Family Applications After (2)

Application NumberTitlePriority DateFiling Date
CN201480081075.5AActiveCN106572837B (en)2014-08-282014-08-28 Shear wave imaging method and system
CN201910847967.6AActiveCN110507360B (en)2014-08-282014-08-28Shear wave imaging method and system

Country Status (2)

CountryLink
CN (4)CN110507359B (en)
WO (1)WO2016029402A1 (en)

Families Citing this family (6)

* Cited by examiner, † Cited by third party
Publication numberPriority datePublication dateAssigneeTitle
CN120203627A (en)*2019-08-142025-06-27深圳迈瑞生物医疗电子股份有限公司 Shear wave elastic imaging method, ultrasonic imaging system and computer readable storage medium
CN114287968B (en)*2019-09-272024-11-29深圳迈瑞生物医疗电子股份有限公司Elastography method, elastography system and computer-readable storage medium
CN111521136B (en)*2020-05-092021-03-26大连理工大学Reinforced concrete structure crack depth detection method and detection device based on horizontal shear wave
CN112244889B (en)*2020-10-152024-08-27中国科学院苏州生物医学工程技术研究所Method for determining vibrating element array, puncture needle imaging method and ultrasonic equipment
CN115414065B (en)*2022-08-302025-09-30青岛海信医疗设备股份有限公司 A shear wave image generation method, ultrasonic equipment and device
CN114403921A (en)*2022-01-242022-04-29陕西师范大学 A shear wave velocity estimation method and system based on real-time curve tracing technology

Family Cites Families (18)

* Cited by examiner, † Cited by third party
Publication numberPriority datePublication dateAssigneeTitle
US5810731A (en)*1995-11-131998-09-22Artann LaboratoriesMethod and apparatus for elasticity imaging using remotely induced shear wave
JP4177281B2 (en)*2004-03-292008-11-05関西電力株式会社 Measuring apparatus and measuring method
US7675820B2 (en)*2007-04-172010-03-09Delphi Technologies, Inc.Method of characterizing a vehicle crash event based on shear waves in the vehicle frame
CN101569543B (en)*2008-04-292011-05-11香港理工大学Two-dimensional displacement estimation method for elasticity imaging
RU2559910C2 (en)*2009-06-302015-08-20Конинклейке Филипс Электроникс Н.В.Propagation/tracking sequences for vibrometry of dispersion transverse waves
US8500639B2 (en)*2009-09-112013-08-06Mr Holdings (Hk) LimitedSystems and methods for shear wave field formation
CN102667522B (en)*2009-11-252014-10-08皇家飞利浦电子股份有限公司Ultrasonic shear wave imaging with focused scanline beamforming
US9351707B2 (en)*2010-04-052016-05-31Hitachi Aloka Medical, Ltd.Methods and apparatus to determine shear wave propagation property
DE102010014211A1 (en)*2010-04-082011-10-13Siemens Aktiengesellschaft Evaluation method for a sequence of image data sets with twice the elastic distortion of the image data records
CN101869485B (en)*2010-06-232012-07-04深圳大学Ultrasonic imaging method and device
JP5890311B2 (en)*2010-08-312016-03-22株式会社日立メディコ Three-dimensional elastic image generation method and ultrasonic diagnostic apparatus
WO2012077579A1 (en)*2010-12-082012-06-14株式会社日立メディコUltrasound diagnosis apparatus
RU2576338C2 (en)*2010-12-222016-02-27Конинклейке Филипс Электроникс Н.В.Assessment of speed of transverse wave with use of centre of mass
CN102727255B (en)*2012-07-132014-04-30深圳市理邦精密仪器股份有限公司Method and device for ultrasonic image space compound imaging
US20140187904A1 (en)*2012-12-282014-07-03Marjan RAZANIMethod and system for determining whether arterial tissue comprises atherosclerotic plaque
CN103431874B (en)*2013-09-062015-06-03中国科学院深圳先进技术研究院Method and system for estimating acoustic radiation force pulse imaging
CN103462643B (en)*2013-09-292015-02-11深圳市开立科技有限公司Shear wave speed measurement method, device and system
CN103519848A (en)*2013-10-252014-01-22中国科学院深圳先进技术研究院Tissue displacement estimation method and system based on ultrasonic echo radio frequency signals

Also Published As

Publication numberPublication date
CN110507359A (en)2019-11-29
CN110507360A (en)2019-11-29
CN110507360B (en)2022-06-03
CN110507361A (en)2019-11-29
CN106572837A (en)2017-04-19
CN110507359B (en)2022-06-07
WO2016029402A1 (en)2016-03-03
CN106572837B (en)2019-10-08

Similar Documents

PublicationPublication DateTitle
CN110507361B (en)Shear wave imaging method and system
US11717270B2 (en)Method, apparatus and system for imaging in ultrasonic scanning
CN106572838B (en)Elasticity measurement detection method and system
JP2013544615A5 (en)
US11399805B2 (en)Ultrasound diagnostic device and ultrasound signal processing method
KR101922522B1 (en)Sound speed imaging using shear waves
CN107003403B (en) Method and apparatus for acoustic imaging
CN103777178A (en)Synchronization error compensation method, device and system
CN106466192B (en)Ultrasonic diagnostic apparatus and doppler waveform image generation method
JPWO2015166869A1 (en) Ultrasonic imaging device
US11272906B2 (en)Ultrasonic imaging device and method for controlling same
US10561400B2 (en)Ultrasonic diagnostic apparatus and ultrasonic diagnostic method
CN106373166A (en)Multi-shape plane shear wave composite imaging method based on Mach cone effects
US10107909B2 (en)Subject information acquisition apparatus, subject information acquisition method, and program
JP5992705B2 (en) Ultrasonic diagnostic equipment
KR101551469B1 (en)Ultrasonics wave transmission receive focusing method and system using plane wave
JP5854929B2 (en) Ultrasonic diagnostic apparatus, method for determining reliability of set sound speed, and program
JP2009025030A (en) Shape measuring apparatus and method
CN110946620B (en)Shear wave imaging method, apparatus and storage medium
US20230324530A1 (en)Ultrasound imaging methods
JP5925599B2 (en) Ultrasonic diagnostic apparatus, sound speed derivation method, and program
JP6165024B2 (en) Ultrasonic diagnostic equipment
JP2015084979A (en) Ultrasonic diagnostic equipment
KR20120043513A (en)Imaging Sonar with High Update Rate Using Orthogonal Transmitting Signals

Legal Events

DateCodeTitleDescription
PB01Publication
PB01Publication
SE01Entry into force of request for substantive examination
SE01Entry into force of request for substantive examination
GR01Patent grant
GR01Patent grant

[8]ページ先頭

©2009-2025 Movatter.jp